Robotics kinematics and
Dynamics
C. Sivakumar
Assistant Professor
Department of Mechanical Engineering
BSA Crescent Institute of Science and Technology
1
Robot Kinematics and
Dynamics_Sivakumar_C
Robot kinematics
• KINEMATICS – the analytical study of the
geometry of motion of a mechanism:
– with respect to a fixed reference co-ordinate system,
– without regard to the forces or moments that cause
the motion.
• In order to control and programme a robot we
must have knowledge of both its spatial
arrangement and a means of reference to the
environment.
2
Robot Kinematics and
Dynamics_Sivakumar_C
Open Chain Kinematics
• Mechanics of a manipulator can be
represented as a kinematic chain of
rigid bodies (links) connected by
revolute or prismatic joints.
• One end of the chain is constrained
to a base, while an end effector is
mounted to the other end of the
chain.
• The resulting motion is obtained by
composition of the elementary
motions of each link with respect to
the previous one
3
Robot Kinematics and
Dynamics_Sivakumar_C
Robot kinematics
• Joint labeling: started from 1 and moving
towards end effector, base being joint 1
4
Robot Kinematics and
Dynamics_Sivakumar_C
Two Basic Joints
5
Robot Kinematics and
Dynamics_Sivakumar_C
Position representation
• Kinematics of RR robot is difficult compared to
LL robot
• Analyzing in 2-D
6
Robot Kinematics and
Dynamics_Sivakumar_C
• Position of end of the arm can be represented
using:
• Joint space method: using joint angles
• World space : using cartesian coordinate
system.
7
Robot Kinematics and
Dynamics_Sivakumar_C
• Transformation from one representation to
other is necessary for many application.
Type of transformation:
• Forward transformation or forward kinematics
– going from joint space to world space
• Reverse transformation or inverse kinematics
– going from world space to joint space.
8
Robot Kinematics and
Dynamics_Sivakumar_C
• Direct (also forward) kinematics – Given are
joint relations (rotations, translations) for the
robot arm. Task: What is the orientation and
position of the end effector?
• Inverse kinematics – Given is desired end
effector position and orientation. Task: What
are the joint rotations and orientations to
achieve this?
9
Robot Kinematics and
Dynamics_Sivakumar_C
10
Robot Kinematics and
Dynamics_Sivakumar_C
11
Robot Kinematics and
Dynamics_Sivakumar_C
12
Robot Kinematics and
Dynamics_Sivakumar_C
Reverse transformation of 2 DOF arm
13
Robot Kinematics and
Dynamics_Sivakumar_C
14
Robot Kinematics and
Dynamics_Sivakumar_C
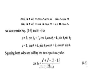
Figure 4-4
15
Robot Kinematics and
Dynamics_Sivakumar_C
16
Robot Kinematics and
Dynamics_Sivakumar_C
17
Robot Kinematics and
Dynamics_Sivakumar_C
3 DOF arm in two dimension
18
Robot Kinematics and
Dynamics_Sivakumar_C
3 DOF arm in two dimension
19
Robot Kinematics and
Dynamics_Sivakumar_C
4 DOF manipulator in three
dimensions
20
Robot Kinematics and
Dynamics_Sivakumar_C
21
Robot Kinematics and
Dynamics_Sivakumar_C
22
Robot Kinematics and
Dynamics_Sivakumar_C
Robot Dynamics
• Accurate control of manipulator depends on
precise control of joints
• Control of joints depends on forces and
intertias acting on them
23
Robot Kinematics and
Dynamics_Sivakumar_C
a. Static analysis
24
Robot Kinematics and
Dynamics_Sivakumar_C
Balancing the forces to know the
torque
25
Robot Kinematics and
Dynamics_Sivakumar_C
Compensating for gravity
26
Robot Kinematics and
Dynamics_Sivakumar_C
Robot arm dynamics
27
Robot Kinematics and
Dynamics_Sivakumar_C
Torque requirement
28
Robot Kinematics and
Dynamics_Sivakumar_C
Kinematic
• Forward (direct) Kinematics
• Given: The values of the joint variables.
• Required: The position and the orientation of the end
effector.
• Inverse Kinematics
• Given : The position and the orientation of the
end effector.
• Required : The values of the joint variables.
29
Robot Kinematics and
Dynamics_Sivakumar_C
Why DH notation
• Find the homogeneous transformation H
relating the tool frame to the fixed base frame
30
Robot Kinematics and
Dynamics_Sivakumar_C
Why DH notation
• A very simple way of modeling robot links and
joints that can be used for any kind of robot
configuration.
• This technique has became the standard way
of representing robots and modeling their
motions.
31
Robot Kinematics and
Dynamics_Sivakumar_C
DH Techniques
1. Assign a reference frame to each joint (x-axis
and z-axis). The D-H representation does not use
the y-axis at all.
2. Each homogeneous transformation Ai is
represented as a product of four basic
transformations
32
Robot Kinematics and
Dynamics_Sivakumar_C
DH Techniques
33
• Matrix Ai representing the four movements is found by: four
movements
, , , ,
i i i i
i z z d x a x
A Rot Trans Trans Rot
 

1. Rotation of about current Z axis
2. Translation of d along current Z axis
3. Translation of a along current X axis
4. Rotation of about current X axis


Robot Kinematics and
Dynamics_Sivakumar_C
34
i i i i i i i
i i i i i i i
i i i
c -c s s s a c
s c c -s c a s
0 s c d
0 0 0 1
i
A
     
     
 
 
 
 

 
 
 



















C
S
S
C
x
Rot
Rx
0
0
0
0
1
)
,
(
,









 


1
0
0
0
0
)
,
(
, 




 C
S
S
C
z
Rot
Rz
















































 

1
0
0
0
0
0
0
0
0
0
0
1
1
0
0
0
0
1
0
0
0
0
1
0
0
0
1
1
0
0
0
1
0
0
0
0
1
0
0
0
0
1
1
0
0
0
0
1
0
0
0
0
0
0
i
i
i
i
i
i
i
i
i
i
i
C
S
S
C
a
d
C
S
S
C
A








Robot Kinematics and
Dynamics_Sivakumar_C
DH Techniques
• The link and joint parameters :
• Link length ai : the offset distance between the Zi-1
and Zi axes along the Xi axis.
• Link offset di the distance from the origin of frame
i−1 to the Xi axis along the Zi-1 axis.
35
Robot Kinematics and
Dynamics_Sivakumar_C
DH Techniques
36
•Link twist αi :the angle from the Zi-1 axis to the Zi axis about the
Xi axis. The positive sense for Îą is determined from zi-1 and zi by
the right-hand rule.
•Joint angle θi the angle between the Xi-1 and Xi axes about the
Zi-1 axis.
Robot Kinematics and
Dynamics_Sivakumar_C
DH Techniques
• The four parameters:
ai: link length, Îąi: Link twist , di : Link offset and
θi : joint angle.
• The matrix Ai is a function of only a single
variable qi , it turns out that three of the above
four quantities are constant for a given link,
while the fourth parameter is the joint
variable.
37
Robot Kinematics and
Dynamics_Sivakumar_C
DH Techniques
• With the ith joint, a joint variable is qi associated
where
All joints are represented by the z-axis.
• If the joint is revolute, the z-axis is in the direction
of rotation as followed by the right hand rule.
• If the joint is prismatic, the z-axis for the joint is
along the direction of the liner movement.
38
Robot Kinematics and
Dynamics_Sivakumar_C
DH Techniques
3. Combine all transformations, from the first joint
(base) to the next until we get to the last joint, to
get the robot’s total transformation matrix.
4. From , the position and orientation of the tool
frame are calculated.
39
0
1 2
. .......
n n
T A A A

0
n
T
Robot Kinematics and
Dynamics_Sivakumar_C
DH Techniques
40
Robot Kinematics and
Dynamics_Sivakumar_C
DH Techniques
41
Robot Kinematics and
Dynamics_Sivakumar_C
DH Techniques
42
Robot Kinematics and
Dynamics_Sivakumar_C
DH Techniques
43
i i i i i i i
i i i i i i i
i i i
c -c s s s a c
s c c -s c a s
0 s c d
0 0 0 1
i
A
     
     
 
 
 
 

 
 
 
Robot Kinematics and
Dynamics_Sivakumar_C

Robot-kinematics-and-dynamics for mechanical .pdf

  • 1.
    Robotics kinematics and Dynamics C.Sivakumar Assistant Professor Department of Mechanical Engineering BSA Crescent Institute of Science and Technology 1 Robot Kinematics and Dynamics_Sivakumar_C
  • 2.
    Robot kinematics • KINEMATICS– the analytical study of the geometry of motion of a mechanism: – with respect to a fixed reference co-ordinate system, – without regard to the forces or moments that cause the motion. • In order to control and programme a robot we must have knowledge of both its spatial arrangement and a means of reference to the environment. 2 Robot Kinematics and Dynamics_Sivakumar_C
  • 3.
    Open Chain Kinematics •Mechanics of a manipulator can be represented as a kinematic chain of rigid bodies (links) connected by revolute or prismatic joints. • One end of the chain is constrained to a base, while an end effector is mounted to the other end of the chain. • The resulting motion is obtained by composition of the elementary motions of each link with respect to the previous one 3 Robot Kinematics and Dynamics_Sivakumar_C
  • 4.
    Robot kinematics • Jointlabeling: started from 1 and moving towards end effector, base being joint 1 4 Robot Kinematics and Dynamics_Sivakumar_C
  • 5.
    Two Basic Joints 5 RobotKinematics and Dynamics_Sivakumar_C
  • 6.
    Position representation • Kinematicsof RR robot is difficult compared to LL robot • Analyzing in 2-D 6 Robot Kinematics and Dynamics_Sivakumar_C
  • 7.
    • Position ofend of the arm can be represented using: • Joint space method: using joint angles • World space : using cartesian coordinate system. 7 Robot Kinematics and Dynamics_Sivakumar_C
  • 8.
    • Transformation fromone representation to other is necessary for many application. Type of transformation: • Forward transformation or forward kinematics – going from joint space to world space • Reverse transformation or inverse kinematics – going from world space to joint space. 8 Robot Kinematics and Dynamics_Sivakumar_C
  • 9.
    • Direct (alsoforward) kinematics – Given are joint relations (rotations, translations) for the robot arm. Task: What is the orientation and position of the end effector? • Inverse kinematics – Given is desired end effector position and orientation. Task: What are the joint rotations and orientations to achieve this? 9 Robot Kinematics and Dynamics_Sivakumar_C
  • 10.
  • 11.
  • 12.
  • 13.
    Reverse transformation of2 DOF arm 13 Robot Kinematics and Dynamics_Sivakumar_C
  • 14.
  • 15.
    Figure 4-4 15 Robot Kinematicsand Dynamics_Sivakumar_C
  • 16.
  • 17.
  • 18.
    3 DOF armin two dimension 18 Robot Kinematics and Dynamics_Sivakumar_C
  • 19.
    3 DOF armin two dimension 19 Robot Kinematics and Dynamics_Sivakumar_C
  • 20.
    4 DOF manipulatorin three dimensions 20 Robot Kinematics and Dynamics_Sivakumar_C
  • 21.
  • 22.
  • 23.
    Robot Dynamics • Accuratecontrol of manipulator depends on precise control of joints • Control of joints depends on forces and intertias acting on them 23 Robot Kinematics and Dynamics_Sivakumar_C
  • 24.
    a. Static analysis 24 RobotKinematics and Dynamics_Sivakumar_C
  • 25.
    Balancing the forcesto know the torque 25 Robot Kinematics and Dynamics_Sivakumar_C
  • 26.
    Compensating for gravity 26 RobotKinematics and Dynamics_Sivakumar_C
  • 27.
    Robot arm dynamics 27 RobotKinematics and Dynamics_Sivakumar_C
  • 28.
  • 29.
    Kinematic • Forward (direct)Kinematics • Given: The values of the joint variables. • Required: The position and the orientation of the end effector. • Inverse Kinematics • Given : The position and the orientation of the end effector. • Required : The values of the joint variables. 29 Robot Kinematics and Dynamics_Sivakumar_C
  • 30.
    Why DH notation •Find the homogeneous transformation H relating the tool frame to the fixed base frame 30 Robot Kinematics and Dynamics_Sivakumar_C
  • 31.
    Why DH notation •A very simple way of modeling robot links and joints that can be used for any kind of robot configuration. • This technique has became the standard way of representing robots and modeling their motions. 31 Robot Kinematics and Dynamics_Sivakumar_C
  • 32.
    DH Techniques 1. Assigna reference frame to each joint (x-axis and z-axis). The D-H representation does not use the y-axis at all. 2. Each homogeneous transformation Ai is represented as a product of four basic transformations 32 Robot Kinematics and Dynamics_Sivakumar_C
  • 33.
    DH Techniques 33 • MatrixAi representing the four movements is found by: four movements , , , , i i i i i z z d x a x A Rot Trans Trans Rot    1. Rotation of about current Z axis 2. Translation of d along current Z axis 3. Translation of a along current X axis 4. Rotation of about current X axis   Robot Kinematics and Dynamics_Sivakumar_C
  • 34.
    34 i i ii i i i i i i i i i i i i i c -c s s s a c s c c -s c a s 0 s c d 0 0 0 1 i A                                               C S S C x Rot Rx 0 0 0 0 1 ) , ( ,              1 0 0 0 0 ) , ( ,       C S S C z Rot Rz                                                    1 0 0 0 0 0 0 0 0 0 0 1 1 0 0 0 0 1 0 0 0 0 1 0 0 0 1 1 0 0 0 1 0 0 0 0 1 0 0 0 0 1 1 0 0 0 0 1 0 0 0 0 0 0 i i i i i i i i i i i C S S C a d C S S C A         Robot Kinematics and Dynamics_Sivakumar_C
  • 35.
    DH Techniques • Thelink and joint parameters : • Link length ai : the offset distance between the Zi-1 and Zi axes along the Xi axis. • Link offset di the distance from the origin of frame i−1 to the Xi axis along the Zi-1 axis. 35 Robot Kinematics and Dynamics_Sivakumar_C
  • 36.
    DH Techniques 36 •Link twistαi :the angle from the Zi-1 axis to the Zi axis about the Xi axis. The positive sense for α is determined from zi-1 and zi by the right-hand rule. •Joint angle θi the angle between the Xi-1 and Xi axes about the Zi-1 axis. Robot Kinematics and Dynamics_Sivakumar_C
  • 37.
    DH Techniques • Thefour parameters: ai: link length, αi: Link twist , di : Link offset and θi : joint angle. • The matrix Ai is a function of only a single variable qi , it turns out that three of the above four quantities are constant for a given link, while the fourth parameter is the joint variable. 37 Robot Kinematics and Dynamics_Sivakumar_C
  • 38.
    DH Techniques • Withthe ith joint, a joint variable is qi associated where All joints are represented by the z-axis. • If the joint is revolute, the z-axis is in the direction of rotation as followed by the right hand rule. • If the joint is prismatic, the z-axis for the joint is along the direction of the liner movement. 38 Robot Kinematics and Dynamics_Sivakumar_C
  • 39.
    DH Techniques 3. Combineall transformations, from the first joint (base) to the next until we get to the last joint, to get the robot’s total transformation matrix. 4. From , the position and orientation of the tool frame are calculated. 39 0 1 2 . ....... n n T A A A  0 n T Robot Kinematics and Dynamics_Sivakumar_C
  • 40.
    DH Techniques 40 Robot Kinematicsand Dynamics_Sivakumar_C
  • 41.
    DH Techniques 41 Robot Kinematicsand Dynamics_Sivakumar_C
  • 42.
    DH Techniques 42 Robot Kinematicsand Dynamics_Sivakumar_C
  • 43.
    DH Techniques 43 i ii i i i i i i i i i i i i i i c -c s s s a c s c c -s c a s 0 s c d 0 0 0 1 i A                            Robot Kinematics and Dynamics_Sivakumar_C