Embed presentation
Download as PDF, PPTX














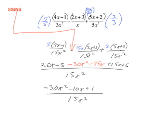
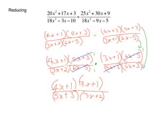
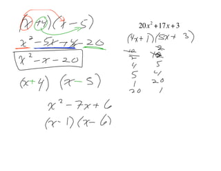
Operations on rational expressions follow the same rules as operations on fractions. There are three main operations: 1) Addition and subtraction involve finding a common denominator and then performing the operation; 2) Multiplication involves factoring and reducing the numerators and denominators; 3) Division involves multiplying the numerator by the reciprocal of the denominator. Restrictions may be needed to avoid division by zero, such as restricting denominators for addition/subtraction and multiplication, and restricting everything except the numerator of the first fraction for division.












