PELUANG BERSYARAT
Eni Sumarminingsih, SSi, MM
DEFINISI
 Peluang bersyarat A bila B diketahui dilambangkan
dengan P(A|B) dan didefinisikan sebagai
jika P(B) > 0 )
(
)
(
)
|
(
B
P
B
A
P
B
A
P


CONTOH
Melanjutkan
ke perguruan
tinggi
Tidak
melanjutkan
ke perguruan
tinggi
Laki – laki 450 50
Perempuan 150 250
Perhatikan kejadian – kejadian berikut :
L : kejadian yang terpilih laki - laki
K: kejadian yang terpilih adalah orang yang
melanjutkan ke perguruan tinggi
Dengan menggunakan ruang contoh yang
dipersempit K, maka akan didapatkan
P(L|K) = 450/600 = ¾
 Misalkan n(A) melambangkan banyaknya unsur
dalam himpunan A
,
)
(
)
(
)
(
/
)
(
)
(
/
)
(
)
(
)
(
)
|
(
K
P
L
K
P
S
n
K
n
S
n
L
K
n
K
n
L
K
n
K
L
P






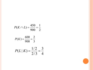
3
2
900
600
)
( 

K
P
2
1
900
450
)
( 

 L
K
P
4
3
3
/
2
2
/
1
)
|
( 

K
L
P
CONTOH LAIN
Peluang Kereta Api Gajayana berangkat tepat pada
waktunya adalah P(B) = 0.85, peluang Kereta Api
Gajayana datang tepat pada waktunya adalah P(D)
= 0. 90 dan peluang kereta api tersebut berangkat
dan datang tepat pada waktunya adalah P(BD) =
0.75. Hitung peluang bahwa Kereta Api Gajayana
itu (a) datang tepat pada waktunya bila diketahui
kereta api tersebut berangkat tepat pada waktunya,
dan (B) berangkat tepat pada waktunya bila
diketahui kereta api tersebut datang tepat pada
waktunya.
KAIDAH BAYES
A
B Bc
A = (BA)  (BcA)
P(A) = P [(BA)  (BcA)]
= P(BA) + P(BcA)]
= P(B)P(A|B) + P(Bc)P(A|Bc)
KAIDAH TOTAL PELUANG
Bila kejadian – kejadian Bi  untuk i = 1, 2, …,k,
maka untuk sembarang kejadian A yang
merupakan himpunan bagian S berlaku
P(A) = P(B1) P(A|B1) + P(B2) P(A|B2)
+ … + P(Bk) P(A|Bk).
CONTOH 1
Tiga wakil partai A, B dan C mencalonkan diri sebagai
presiden. Peluang wakil dari partai A terpilih
sebagai presiden adalah 0.4, peluang wakil dari
partai B terpilih adalah 0.3 dan peluang wakil dari
partai C terpilih adalah 0.3. Seandainya wakil dari
partai A terpilih sebagai presiden, peluang
terjadinya kenaikan harga BBM adalah 0.7.
Seandainya yang terpilih adalah wakil dari partai B,
peluang terjadinya kenaikan harga BBM adalah 0.4.
Bila yang terpilih adalah wakil dari partai C maka
peluang terjadinya kenaikan harga BBM adalah 0.6.
Berapa peluang terjadinya kenaikan harga BBM ?
CONTOH 2
 Sebuah toko menjual bola lampu. Empat
puluh lima persen dari bola lampu yang
dijual toko tersebut diproduksi oleh pabrik A
dan sisanya diproduksi oleh pabrik B.Bola
lampu yang diproduksi pabrik A mempunyai
peluang cacat sebesar 3 persen sedangkan
yang diproduksi pabrik B mempunyai
peluang cacat sebesar 5 persen. Bila
seseorang membeli bola lampu dari toko
tersebut, berapa peluang dia akan
mendapatkan bola lampu yang cacat?
KAIDAH BAYES
Jika kejadian – kejadian B1, B2, …, Bk merupakan
sekatan dari ruang contoh S dengan P(Bi)  0
untuk I = 1, 2, …, k, maka untuk sembarang
kejadian A yang bersifat P(A)  0,
)
|
(
)
(
...
)
|
(
)
(
)
|
(
)
(
)
|
(
)
(
)
|
(
2
2
1
1 k
k
r
r
r
B
A
P
B
P
B
A
P
B
P
B
A
P
B
P
B
A
P
B
P
A
B
P




 Untuk masalah dalam Contoh 1 misalkan ada
orang yang tidak mengetahui siapa yang menjadi
presiden karena dia tinggal di pelosok daerah. Bila
beberapa waktu kemudian ternyata harga BBM
naik, berapa peluang bahwa yang menjadi presiden
adalah wakil dari partai A?
Untuk masalah pada contoh 2, misalkan ada
seseorang yang membeli bola lampu dari toko
tersebut. Setelah sampai rumah dan dicoba,
ternyata lampu tersebut cacat. Berapa peluang
bahwa lampu tersebut diproduksi oleh pabrik A?
SOAL - SOAL
1. Proses produksi bola lampu dalam suatu
pabrik dibagi dalam empat shift. Pada
suatu hari, 1% dari bola lampu yang
diproduksi oleh shift pertama rusak, 3%
dari yang diproduksi shift kedua rusak,
2% dari yang diproduksi shift ketiga rusak
dan 1% dari yang diproduksi oleh shift
keempat rusak. Bila produktivitas
keempat shift tersebut sama, berapa
peluang bola lampu yang diproduksi pada
hari itu rusak?
2. Kantong A berisi 3 bola biru, 2 bola merah dan 5
bola hijau. Kantong B berisi 1 bola biru, 4 merah
dan 3 hijau. Sebuah bola diambil dari kantong A
dan tanpa dilihat warnanya kemudian dimasukkan
ke kantong B. Lalu dari kantong B diambil 1 bola.
Berapa peluang terambilnya bola hijau.
3. Suatu produk yang dijual oleh toko A, 30%
- nya diproduksi oleh pabrik X dan
sisanya diproduksi oleh pabrik Y. Produk
yang diproduksi oleh pabrik X mempunyai
peluang cacat sebesar 0.05 dan produk
yang diproduksi pabrik Y mempunyai
peluang cacat sebesar 0.07. Bila Dion
membeli produk tersebut dari toko A dan
ternyata produk tersebut cacat, berapa
peluang bahwa produk tersebut adalah
produk yang diproduksi oleh pabrik X?
4. Suatu percobaan pelemparan dadu dilakukan.
Misalkan F adalah kejadian munculnya mata dadu
6 dan E adalah kejadian munculnya mata dadu > 4.
berapa peluang munculnya mata dadu 6 jika
diketahui bahwa mata dadu yang muncul adalah >4
5. Dalam Tabel kehidupan diketahui bahwa dalam
populasi yang terdiri dari 100,000 wanita, 89.835%
dapat hidup sampai usia 60 tahun dan 57.067%
dapat hidup sampai usia 80 tahun. Berapa peluang
seorang wanita yang berusia 60 tahun dapat hidup
sampai usia 80 tahun?
6. Saya memiliki 2 kantong, I dan II. Kantong I berisi
2 bola hitam dan 3 bola putih. Kantong II berisi 1
bola hitam dan 1 bola putih. Satu kantong diambil
secara acak dan satu bola diambil dari kantong
tersebut. Bila yang terambil adalah bola hitam,
berapa peluang kantong yang terambil adalah
kantong I
7. Sebuah dadu dilempar dua kali. Berapa peluang
jumlah mata dadu yang muncul adalah 8 jika
a. pada lemparan pertama muncul 4?
b. pada lemparan pertama lebih dari 3
8. Suatu kuliah Pengantar Teori Peluang diikuti oleh
50 mahasiswa tahun ke-2, 15 mahasiswa tahun ke-
3 dan 10 mahasiswa tahun ke-4. Diketahui
mahasiswa yang mendapat nilai A adalah 10 orang
dari mahasiswa tahun ke-2, 8 orang dari
mahasiswa tahun ke-3 dan 5 orang dari mahasiswa
tahun ke-4. Bila seorang mahasiswa dipilih secara
acak, berapa peluang dia :
 Mendapat nilai A, bila diketahui dia mahasiswa dari tahun
ke-3?
 Mendapat nilai A?
 Mahasiswa tahun ke-2, bila diketahui dia mendapat nilai
A?

Peluang-Bersyarat.ppt

  • 1.
  • 2.
    DEFINISI  Peluang bersyaratA bila B diketahui dilambangkan dengan P(A|B) dan didefinisikan sebagai jika P(B) > 0 ) ( ) ( ) | ( B P B A P B A P  
  • 3.
  • 4.
    Perhatikan kejadian –kejadian berikut : L : kejadian yang terpilih laki - laki K: kejadian yang terpilih adalah orang yang melanjutkan ke perguruan tinggi Dengan menggunakan ruang contoh yang dipersempit K, maka akan didapatkan P(L|K) = 450/600 = ¾
  • 5.
     Misalkan n(A)melambangkan banyaknya unsur dalam himpunan A , ) ( ) ( ) ( / ) ( ) ( / ) ( ) ( ) ( ) | ( K P L K P S n K n S n L K n K n L K n K L P      
  • 6.
    3 2 900 600 ) (   K P 2 1 900 450 ) (   L K P 4 3 3 / 2 2 / 1 ) | (   K L P
  • 7.
    CONTOH LAIN Peluang KeretaApi Gajayana berangkat tepat pada waktunya adalah P(B) = 0.85, peluang Kereta Api Gajayana datang tepat pada waktunya adalah P(D) = 0. 90 dan peluang kereta api tersebut berangkat dan datang tepat pada waktunya adalah P(BD) = 0.75. Hitung peluang bahwa Kereta Api Gajayana itu (a) datang tepat pada waktunya bila diketahui kereta api tersebut berangkat tepat pada waktunya, dan (B) berangkat tepat pada waktunya bila diketahui kereta api tersebut datang tepat pada waktunya.
  • 8.
    KAIDAH BAYES A B Bc A= (BA)  (BcA) P(A) = P [(BA)  (BcA)] = P(BA) + P(BcA)] = P(B)P(A|B) + P(Bc)P(A|Bc)
  • 9.
    KAIDAH TOTAL PELUANG Bilakejadian – kejadian Bi  untuk i = 1, 2, …,k, maka untuk sembarang kejadian A yang merupakan himpunan bagian S berlaku P(A) = P(B1) P(A|B1) + P(B2) P(A|B2) + … + P(Bk) P(A|Bk).
  • 10.
    CONTOH 1 Tiga wakilpartai A, B dan C mencalonkan diri sebagai presiden. Peluang wakil dari partai A terpilih sebagai presiden adalah 0.4, peluang wakil dari partai B terpilih adalah 0.3 dan peluang wakil dari partai C terpilih adalah 0.3. Seandainya wakil dari partai A terpilih sebagai presiden, peluang terjadinya kenaikan harga BBM adalah 0.7. Seandainya yang terpilih adalah wakil dari partai B, peluang terjadinya kenaikan harga BBM adalah 0.4. Bila yang terpilih adalah wakil dari partai C maka peluang terjadinya kenaikan harga BBM adalah 0.6. Berapa peluang terjadinya kenaikan harga BBM ?
  • 11.
    CONTOH 2  Sebuahtoko menjual bola lampu. Empat puluh lima persen dari bola lampu yang dijual toko tersebut diproduksi oleh pabrik A dan sisanya diproduksi oleh pabrik B.Bola lampu yang diproduksi pabrik A mempunyai peluang cacat sebesar 3 persen sedangkan yang diproduksi pabrik B mempunyai peluang cacat sebesar 5 persen. Bila seseorang membeli bola lampu dari toko tersebut, berapa peluang dia akan mendapatkan bola lampu yang cacat?
  • 12.
    KAIDAH BAYES Jika kejadian– kejadian B1, B2, …, Bk merupakan sekatan dari ruang contoh S dengan P(Bi)  0 untuk I = 1, 2, …, k, maka untuk sembarang kejadian A yang bersifat P(A)  0, ) | ( ) ( ... ) | ( ) ( ) | ( ) ( ) | ( ) ( ) | ( 2 2 1 1 k k r r r B A P B P B A P B P B A P B P B A P B P A B P    
  • 13.
     Untuk masalahdalam Contoh 1 misalkan ada orang yang tidak mengetahui siapa yang menjadi presiden karena dia tinggal di pelosok daerah. Bila beberapa waktu kemudian ternyata harga BBM naik, berapa peluang bahwa yang menjadi presiden adalah wakil dari partai A?
  • 14.
    Untuk masalah padacontoh 2, misalkan ada seseorang yang membeli bola lampu dari toko tersebut. Setelah sampai rumah dan dicoba, ternyata lampu tersebut cacat. Berapa peluang bahwa lampu tersebut diproduksi oleh pabrik A?
  • 15.
    SOAL - SOAL 1.Proses produksi bola lampu dalam suatu pabrik dibagi dalam empat shift. Pada suatu hari, 1% dari bola lampu yang diproduksi oleh shift pertama rusak, 3% dari yang diproduksi shift kedua rusak, 2% dari yang diproduksi shift ketiga rusak dan 1% dari yang diproduksi oleh shift keempat rusak. Bila produktivitas keempat shift tersebut sama, berapa peluang bola lampu yang diproduksi pada hari itu rusak?
  • 16.
    2. Kantong Aberisi 3 bola biru, 2 bola merah dan 5 bola hijau. Kantong B berisi 1 bola biru, 4 merah dan 3 hijau. Sebuah bola diambil dari kantong A dan tanpa dilihat warnanya kemudian dimasukkan ke kantong B. Lalu dari kantong B diambil 1 bola. Berapa peluang terambilnya bola hijau.
  • 17.
    3. Suatu produkyang dijual oleh toko A, 30% - nya diproduksi oleh pabrik X dan sisanya diproduksi oleh pabrik Y. Produk yang diproduksi oleh pabrik X mempunyai peluang cacat sebesar 0.05 dan produk yang diproduksi pabrik Y mempunyai peluang cacat sebesar 0.07. Bila Dion membeli produk tersebut dari toko A dan ternyata produk tersebut cacat, berapa peluang bahwa produk tersebut adalah produk yang diproduksi oleh pabrik X?
  • 18.
    4. Suatu percobaanpelemparan dadu dilakukan. Misalkan F adalah kejadian munculnya mata dadu 6 dan E adalah kejadian munculnya mata dadu > 4. berapa peluang munculnya mata dadu 6 jika diketahui bahwa mata dadu yang muncul adalah >4 5. Dalam Tabel kehidupan diketahui bahwa dalam populasi yang terdiri dari 100,000 wanita, 89.835% dapat hidup sampai usia 60 tahun dan 57.067% dapat hidup sampai usia 80 tahun. Berapa peluang seorang wanita yang berusia 60 tahun dapat hidup sampai usia 80 tahun?
  • 19.
    6. Saya memiliki2 kantong, I dan II. Kantong I berisi 2 bola hitam dan 3 bola putih. Kantong II berisi 1 bola hitam dan 1 bola putih. Satu kantong diambil secara acak dan satu bola diambil dari kantong tersebut. Bila yang terambil adalah bola hitam, berapa peluang kantong yang terambil adalah kantong I 7. Sebuah dadu dilempar dua kali. Berapa peluang jumlah mata dadu yang muncul adalah 8 jika a. pada lemparan pertama muncul 4? b. pada lemparan pertama lebih dari 3
  • 20.
    8. Suatu kuliahPengantar Teori Peluang diikuti oleh 50 mahasiswa tahun ke-2, 15 mahasiswa tahun ke- 3 dan 10 mahasiswa tahun ke-4. Diketahui mahasiswa yang mendapat nilai A adalah 10 orang dari mahasiswa tahun ke-2, 8 orang dari mahasiswa tahun ke-3 dan 5 orang dari mahasiswa tahun ke-4. Bila seorang mahasiswa dipilih secara acak, berapa peluang dia :  Mendapat nilai A, bila diketahui dia mahasiswa dari tahun ke-3?  Mendapat nilai A?  Mahasiswa tahun ke-2, bila diketahui dia mendapat nilai A?