Number Theory
                by

          Nittaya Noinan
 Kanchanapisekwittayalai Phetchabun
Definitions.

Let a,b be integers with b ≠ 0. if there exists an
  integer c such that a = bc,
we say b divides a which is denoted by b|a

  b is called divisor of a
  a is called multiple of b
Symbol .

     b|a   instead of “b divides a “

     b|a   instead of “b can’t divides a “
Example

 1. 3 | 12     because 12 = 3 4
 2. -5 | 15    because 15 = (-5) (-3)
 3. 8 | 0      because 0 = 8 0
 4. 9 | 30     because there is not integer c
 to make 30 = 9c
 5. 11 | 66 and 66 | 198 then 11 | 198
 6. 21 | 126 and 126 | 882 then 21 | 882
Theorem 1.
Let a,b be integers with a ≠ 0 and b ≠ 0 .
      if a | b and b there exists an integer x such
  that b = ax c then a | c
Proof.
      assume that a | b and      b|c
       there exists an integer   x such that b = ax
       there exists an integer   y such that c = by
       therefore c = (ax)y
                    c = a(xy)    and xy be integer
      thus a | c
Theorem 2.
If a,b be positive integers such a | b then a        b
Proof.
     assume that a | b
      there exists an integer x such that b = ax
     since a and b be positive integer then x be
  positive integer
      therefore x ≥ 1
     then         ax ≥ a ( because a be positive integer)
     thus      b ≥ a
Theorem 3.
If a,b and c be integers with a | b and a | c then
a | (bx + cy) when x and y be each integer.

Proof. bx + cy is called linear combination of b and c
  assume that a | b and a | c
  there exists an integer d such that b = ad
  there exists an integer e such that c = ae
  therefore bx + cy = (ad)x + (ae)y (when x and y be integer)
                       = a (dx + ey) (since dx + ey be integer)
      thus a | (bx + cy)
Prime numbers
Definition. Let positive integer P is prime numbers
 if and only if p 1 and if there exist integer x
 divided p then x { 1 , -1 , p , -p}

Example. The following is a prime numbers
  2, 3 , 5, 7, 11 , 13 , 17 , 19 , 23 etc.
A number that has only 1 and itself as factors is a
    prime number.
A number like 24 that has factors other than 1 and
    itself is called a composite number.
Example. Composite number
24         = 4 6
           = 2 2 2 3
           = 23 3 (composite numbers can write
     be factor a prime number)

120        = 10 12
           = 2 5 2 2 3
           = 23 3 5 (composite numbers can
     write be factor a prime number)
Theorem 4.
Fundamental Theorem of Arithmetic
The fundamental theorem of arithmetic states that any
integer n > 1 can be expressed uniquely as a product of
prime numbers apart from the order of primes.
           6 3 2 or 36     2 2 3 3
Express 430 as a product of prime numbers.
 430 2    215
 215 5 43               430 2 5 43
 43 43 1
Division Algorithm
Theorem 5. Division Algorithm. if a and b
 be integers with b 0 then There exist
 uniquely determined integers q and r such that
  a = bq + r and 0 r < b

  q is called quotient and
  r is called remainder
Example.
     1)   4     =   9(0) + 4
     2)   24    =   4(6) + 0
     3)   62    =   12(5) + 2
     4)   -22   =   6(-4) + 2
     5)   -34   =   5(7) + 1
Denifition.
    integer a be even number if and only if
 there exit integer k such that a = 2k

    integer a be odd number if and only if
 there exit integer k such that a = 2k + 1
Example. 1
Prove that “Squares of odd numbers is odd”

Proof. Give a is odd numbers then there exist
  integer k with a = 2k + 1
      a2 =       (2K + 1)2
           =     4K2 + 4K + 1
           = 2(2K2 + 2K) + 1
When K be integer then 2(2K2 + 2K) be even numbers
Then 2(2K2 + 2K) + 1 be odd numbers
Hence a2 be odd numbers
Example. 2
Prove that “when 6 divides integer x then it has
remainder be 3. find the remainder when
6 divides 3x “
Proof. when 6 divides integer x then it has
remainder be 3 can write following
           x    =     6n + 3 when n be integer
           3x =       18n + 9
           3x =        18n + 6 + 3
           3x =       6(3n + 1) + 3
Hence when 3x is divided by 6 has remainder is 3
Example.3
Give n be positive integers .Find the remainder
  when n(n+1)(n+2) is divided by 3 .
Proof. When n is divided by 3 .it will probability
has remainder are 0 , 1 and 2 .
Case 1. when the remainder is 0 can be write n
  following n = 3k when k is integer .
  then n(n+1)(n+2) = 3k(3k+1)(3k+2)
Thus n(n+1)(n+2) divided by 3 has remainder is
  0 because 3 3k
Case 2. when the remainder is 1 can be write n
  following n = 3k + 1 when k is integer .
  then n(n+1)(n+2) = (3k+1)(3k+2)(3k+3)
Thus n(n+1)(n+2) divided by 3 has remainder is
  0 because 3 (3k + 3)
Case 3. when the remainder is 2 can be write n
  following n = 3k + 2 when k is integer .
  then n(n+1)(n+2) = (3k+2)(3k+3)(3k+4)
Thus n(n+1)(n+2) divided by 3 has remainder is
  0 because 3 (3k + 3)
Hence from all 3 cases we can said n(n+1)(n+2)
  divided by 3 has remainder is 0
Example.4
Find all positive integer that divide between
417 and 390 with the remainder equally.
Proof. Give x be positive integer that
divide between 417 and 390 with remainder is r
Then        417 = kx + r when k be integer ..(1)
            390 = mx + r when m be integer..(2)
(1) – (2) then 27 = (k – m)x …(3)
Since k – m be integers thus x 27
Thus the possible value of x is 1, 3 , 9 , 27
Of checking see that 1 and 3 divide between 419
and 390 and the remainder is 0 equally ,
9 divide between 419 and 390 and the remainder
is 3 equally and 27 divide between 419 and 390
and the remainder is 12 equally .
Hence all positive integer that divide between
417 and 390 with the remainder equally are
1 , 3 , 9 and 27
Theorem 6.
Let b be integer more than 1 .each integer n
can write in distributed base b such that

       n = akbk + ak-1bk-1 +…+ a1b + a0

When k is integer and a0 , a1 , a2 ,…,ak be
not negative integer and less than with b and
ak 0
Proof. By division algorithm.
When n is divided by b then the quotient q0
and remainder a0 such that
             n = bq0 + a0           0 a0 b ….1)
q0 is divided by b such that
             q0 = bq1 + a1          0 a1 b ….2)
To do it as same the upper until the quotient be zero
              q1 = bq2 + a2         0 a2 b
              q2 = bq3 + a3         0 a3 b
                   .
                   .
                   .
qk-2 = bqk-1 + ak-1   0 ak-1 b
          qk-1 = b(0) + ak      0 ak b

Since n q0 q1 q2 …≥ 0 is not negative integer
Sequence that is decreased. Thus the division
algolithm have to finished by the last quotience
is zero.
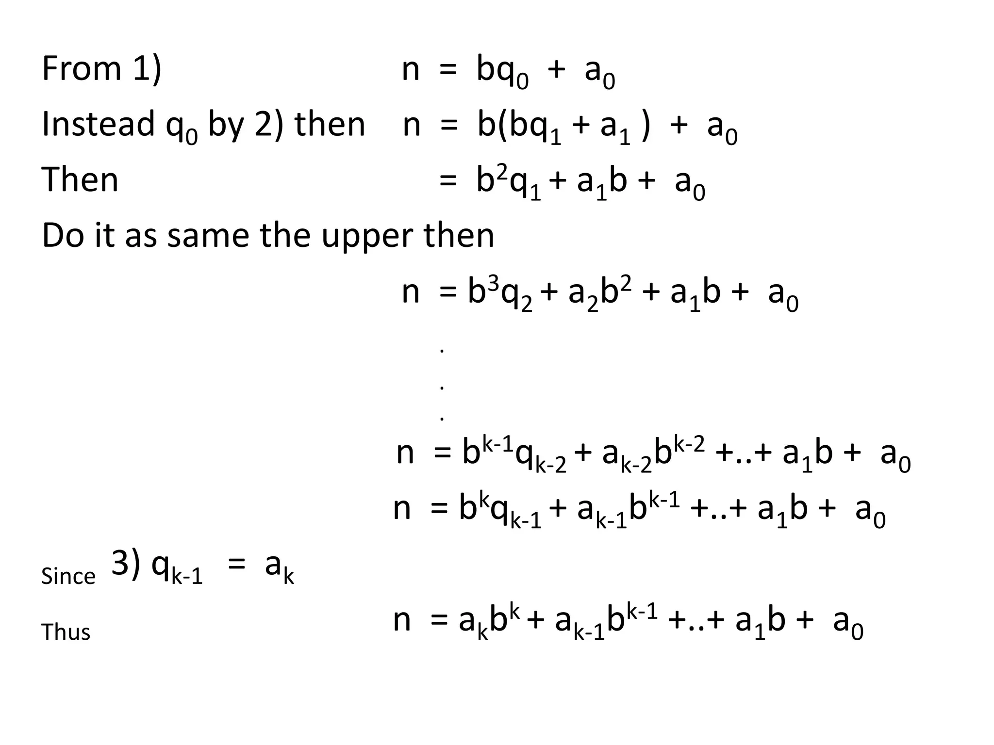
From 1)               n = bq0 + a0
Instead q0 by 2) then n = b(bq1 + a1 ) + a0
Then                     = b2q1 + a1b + a0
Do it as same the upper then
                      n = b3q2 + a2b2 + a1b + a0
                          .
                          .
                          .
                       n = bk-1qk-2 + ak-2bk-2 +..+ a1b + a0
                       n = bkqk-1 + ak-1bk-1 +..+ a1b + a0
Since   3) qk-1 = ak
Thus                   n = akbk + ak-1bk-1 +..+ a1b + a0
Example. Write        96 in distributed base 5.

Solve.      96    =     (5 19) + 1
            19    =     (5 3) + 4
            3     =     ( 5 0) + 3
Then
            96     =       (5 19) + 1
                   =       [5 (5 3) + 4 ] + 1
                   =       (52 3)+( 5 4) + 1
Hence 96 = (3 52)+(4 5) + 1
We use symbol ( akak-1 …a0 )b instead of
              akbk + ak-1bk-1 +..+ a1b + a0
  Hence 96 = (3 52)+(4 5) + 1 = (341) 5
Example. Write    25 in distributed base 2.

Solve.     25 =     (2 24) + 1
           24 =     (2 12) + 0
           12 =     ( 2 6) + 0
           6    =   ( 2 3) + 0
           3    =   ( 2 1) + 1
           1    =   ( 2 0) + 1
Hence    25 = (11001) 2
Example. Write    12345 in distributed base 8.

Solve.   12345     =     (8 1543) + 1
         1543      =     (8 192) + 7
         192       =     ( 8 24) + 0
         24        =     ( 8 3) + 0
         3         =     ( 8 0) + 3

 Hence   12345 = (30071) 8
Greatest Common Divisor
            Relatively Prime
Definition. Let a,b be integers. Integer c which
    divide of a and b is called common divisor

Definition. Let a,b be integers, not both zero.
    The greatest common divisor of a and b
    (or gcd(a,b) ) is the biggest number d which
    divides both a and b.

Definition. a and b are said to be relatively prime
    if gcd(a,b) = 1, so no prime common divisors.
The first ways to find the greatest common divisor.
1) The common divisor of 4 and 8 is 1, 2, 4
thus The greatest common divisor of 4 and 8 is 4
2) The common divisor of 8 and 12 is 1, 2, 4
thus The greatest common divisor of 4 and 8 is 4
3) The common divisor of 12 and 35 is 1
thus The greatest common divisor of 4 and 8 is 1
4) The common divisor of 24 and 32 is 1, 2, 4,
     6, 8
thus The greatest common divisor of 4 and 8 is 8
The second ways to find the greatest common divisor.

1) Since  4    = 2 2
          8    = 2 2 2
Thus The greatest common divisor of 4 and 8 is
2 2 = 4

2) Since 8     = 2 2 2
          12 = 2 2 3
Thus The greatest common divisor of 8 and 12 is
2 2 = 4
The second ways to find the greatest common divisor.
3) Since    12 = 2 2 3
            35 = 5 7
Thus there is no number is the same product of prime
numbers between 12 and 35 The greatest common
divisor of 12 and 35 is 1

4) Since 24 = 2 2 2 3
           32 = 2 2 2 2 2
Thus The greatest common divisor of 4 and 8 is
2 2 2 = 8
The third ways to find the greatest common divisor.

1) Since       2    4 , 8
                2   2 , 4
                    1 ,2

Thus The greatest common divisor of 4 and 8 is
2 2 = 4
The third ways to find the greatest common divisor.

2) Since       2    8 , 12
                2   4 , 6
                    2 ,3

Thus The greatest common divisor of 4 and 8 is
2 2 = 4
The third ways to find the greatest common divisor.

3) Since       1    12 , 35
                    12 , 35



Thus there is no number divide 12 and 35
The greatest Common divisor of 12 and 35 is 1
The third ways to find the greatest common divisor.

4) Since       2 24 ,    32
                2 12 ,    16
                2 6 ,     8
                   3 ,    4

Thus The greatest common divisor of 24 and 32 is
2 2 2 = 8
The fourth ways to find the greatest common divisor.
Theorem 7. Euclidean Algorithm.
Euclidean Algorithm. Given integers a and b 1, use the
  division algorithm repeatedly:
  a = q1b + r1      0 r1 < a
  b = q2r1 + r2      0 r2 < r1
  r1 = q3r2 + r3     0 r3 < r2
   ...
   ...
  r k-2= qkrk−1 + rk 0 rk < rk-1
  rk−1 = qk+1rk
  where in each equation the divisor at the preceding stage is
  divided by the remainder. These remainders decrease
  r1 > r2 > · · · 0
so the process eventually stops when the remainder
  becomes zero. If r1 = 0, then gcd(a, b) = n. Otherwise,
  rk = gcd(a, b), where rk is the last nonzero remainder
  and can be expressed as a linear combination of a and
  b by eliminating remainders.
Proof. Express rk as a linear combination of a and b by
  eliminating remainders in the equations from the
  second last equation up. Hence every common
  divisor of a and b divides rk. But rk is itself a common
  divisor of a and b (it divides every ri—work up through
  the equations). Hence rk = gcd(a, b).
Two integers a and b are called relatively prime
if gcd(a, b) = 1.
Hence 12 and 35 are relatively prime, but this is not
true for 12 and 15
Because gcd(12, 15) = 3. Note that 1 is relatively
prime to every integer a. The following theorem
collects three basic properties of relatively prime
integers.
Example. 1. Find the gcd of 3240 and 2484
  Solve.
           3240         =   1(2484) + 756
            2484        =   3(756) + 216
             756        =   3(216) + 108
              216       =   2(108) + 0
  Hence (3240 , 2484)   = 108
Example. 2. Find the gcd of 450 and 840
  Solve.
            840         =    1(450) + 390
             450        =    1(390) + 60
              390       =    6(60) + 30
               60       =    2(30) + 0
  Hence (450 , 840) =   30
Greatest Common Factor

  Additional Example 1: Using a List to Find the GCF

    Find the greatest common factor (GCF).
       12, 36, 54

           12: 1, 2, 3, 4, 6, 12              List all of the factors of
                                              each number.
           36: 1, 2, 3, 4, 6, 9, 12, 18, 36
                                              Circle the greatest
           54: 1, 2, 3, 6, 9, 18, 27, 54      factor that is in all
                                              the lists.
           The GCF is 6.




Course 2
Insert Lesson TitleFactor
            Greatest Common Here

                             Try This: Example 1
    Find the greatest common factor (GCF).
       14, 28, 63

           14: 1, 2, 7, 14                List all of the factors of
                                          each number.
           28: 1, 2, 4, 7, 14, 28
                                          Circle the greatest
           63: 1, 3, 7, 9, 21, 63         factor that is in all
                                          the lists.
           The GCF is 7.




Course 2
Greatest Common Factor
Additional Example 2A: Using Prime Factorization to
                   Find the GCF

    Find the greatest common factor (GCF).
       A. 40, 56

           40 = 2 · 2 · 2 · 5   Write the prime factorization of
                                each number and circle the
           56 = 2 · 2 · 2 · 7   common factors.
           2·2·2=8
                                Multiply the common prime factors.
           The GFC is 8.




Course 2
Greatest Common Factor
Additional Example 2B: Using Prime Factorization to
                   Find the GCF
    Find the greatest common factor (GCF).
      B. 252, 180, 96, 60
                                          Write the prime factorization
           252 = 2 · 2 · 3 · 3 · 7        of each number and circle
           180 = 2 · 2 · 3 · 3 · 5        the common prime factors.

             96 = 2 · 2 · 2 · 2 · 2 · 3
             60 = 2 · 2 · 3 · 5
           2 · 2 · 3 = 12                 Multiply the common prime
           The GCF is 12.                 factors.

Course 2
Insert Lesson TitleFactor
           Greatest Common Here

                         Try This: Example 2A
    Find the greatest common factor (GCF).
       A. 72, 84

            72 = 2 · 2 · 2 · 9   Write the prime factorization of
                                 each number and circle the common
            84 = 2 · 2 · 7 · 3
                                 factors.
            2·2=4                Multiply the common prime factors.

            The GCF is 4.




Course 2
Insert Lesson TitleFactor
           Greatest Common Here

                         Try This: Example 2B

    Find the greatest common factor (GCF).
      B. 360, 250, 170, 40

           360 = 2 · 2 · 2 · 9 · 5   Write the prime factorization
                                     of each number and circle
           250 = 2 · 5 · 5 · 5
                                     the common prime factors.
           170 = 2 · 5 · 17
             40 = 2 · 2 · 2 · 5
           2 · 5 = 10                Multiply the common prime
                                     factors.
           The GCF is 10.

Course 2
Greastest Common divisor Method # 3
  Find the GCM of 48 and 80.

 Common  2   48                80
 Factors  2 24                 40
 Once      2 12                 20
            2 6                 10
                3                5
                                     Remaining
  2 · 2 · 2 · 2 = 16                 Factors
                         2
       The GCF is 16.
Greastest Common divisor Method # 3
 Find the LCM of 108 , 45 and 90.

 Common  3   108        45      90
 Factors  2 36          15      30
 Once      3 18         15      15
            5 6          5      5
                6        1      1
                                  Remaining
 3 · 2 · 3 · 5 = 90               Factors

      The GCF is 90.
Greatest Common Factor

  Additional Example 3: Problem Solving Application

             You have 120 red beads, 100 white beads, and 45 blue
             beads. You want to use all the beads to make bracelets
             that have red, white, and blue beads on each. What is
             the greatest number of matching bracelets you can
             make?




Course 2
Greatest Common Factor
                   Additional Example 3 Continued
            1      Understand the Problem

       Rewrite the question as a statement.
           • Find the greatest number of matching bracelets you can
              make.
           List the important information:
           • There are 120 red beads, 100 white beads,
             and 45 blue beads.
           • Each bracelet must have the same
             number of red, white, and blue beads.
           The answer will be the GCF of 120, 100, and 45.
Course 2
Greatest Common Factor
                   Additional Example 3 Continued
           2      Make a Plan
                You can list the prime factors of 120, 100,
                and 45 to find the GFC.

           3    Solve
               120 = 2 · 2 · 2 · 3 · 5
               100 = 2 · 2 · 5 · 5
               45 = 3 · 3 · 5

               The GFC of 120, 100, and 45 is 5.
                You can make 5 bracelets.
Course 2
Greatest Common Factor
                 Additional Example 3 Continued
           4    Look Back

               If you make 5 bracelets, each one will have
               24 red beads, 20 white beads, and 9 blue
               beads, with nothing left over.




Course 2
Insert Lesson TitleFactor
           Greatest Common Here

                      Try This: Example 3
              Nathan has made fishing flies that he plans to give
              away as gift sets. He has 24 wet flies and 18 dry flies.
              Using all of the flies, how many sets can he make?




Course 2
Insert Lesson TitleFactor
           Greatest Common Here
                 Try This: Example 3 Continued

           1     Understand the Problem

               Rewrite the question as a statement.
               • Find the greatest number of sets of flies
                 he can make.
               List the important information:
               • There are 24 wet flies and 18 dry flies.
               • He must use all of the flies.

               The answer will be the GCF of 24 and 18.

Course 2
Greatest Common Factor
                     Try This: Example 3 Continued

           2      Make a Plan
                You can list the prime factors of 24 and 18
                to find the GCF.
           3     Solve
                24 = 2 · 2 · 2 · 3
                18 = 2 · 3 · 3
                                      Multiply the prime factors that
                 2·3=6                are common to both 24 and 18.


                 You can make 6 sets of flies.
Course 2
Insert Lesson TitleFactor
           Greatest Common Here
                   Try This: Example 3 Continued


           4    Look Back

               If you make 6 sets, each set will have
               3 dry flies and 4 wet flies.




Course 2
Greatest Common Factor
           Insert Lesson Title Here

                      Lesson Quiz: Part 1
     Find the greatest common factor (GCF).
     1. 28, 40        4

     2. 24, 56        8

     3. 54, 99        9

     4. 20, 35, 70    5




Course 2
Greatest Common Factor
           Insert Lesson Title Here

                       Lesson Quiz: Part 2


     5. The math clubs from 3 schools agreed to a competition.
         Members from each club must be divided into teams, and
         teams from all clubs must be equally sized. What is the
         greatest number of members that can be on a team if
         Georgia has 16 members, William has 24 members, and
         Fulton has 72 members?
           8




Course 2
The Least Common Multiple
Definition. Let a,b be integers, not both zero.
    The least common multiple of a and b
    (or lcm[a,b]) is the least number c which
    both a and b divides c.

Definition. Let a1 , a2 , a3 ,…,an be integers,not
    both zero. Integer C is the least number which
     a1 C , a2 C , …, an C is called The least
    common multiple of a1 , a2 , a3 ,…,an
    symbol is [a1 , a2 , a3 ,…,an ]
EXAMPLE:
        Find the LCM of 12 and 18

The multiples of 12:   The multiples of 18:
•12 x 1 = 12           •18 x 1 = 18
•12 x 2 =24            •18 x 2 = 36
•12 x 3 = 36           •18 x 3 = 54
•12 x 4 = 48           •18 x 4 = 72
•12 x 5 =60            •18 x 5 = 90
12, 24, 36, 48, 60
18, 36, 54, 72, 90


     The first number you see in both lists
     is 36.
    The least common multiple of 12
    and 18 is 36.
Example 2:
         Find the LCM of 9 and 10


9, 18, 27, 36, 45, 54, 63, 72 81, 90, 99
10, 20, 30, 40, 50, 60, 70, 80 90, 100, 110
If you don’t see a common multiple,
make each list go further.

The LCM of 9 and 10 is 90
Example 3:
       Find the LCM of 4 and 12

4, 8, 12, 16
12, 24, 36
                 Answer: 12
Leastest Common Factor



    Find the least common factor (LCF).
       A. 40, 56

           40 = 2 · 2 · 2 · 5        Write the prime factorization of
                                     each number and circle the
           56 = 2 · 2 · 2 · 7        common factors.
           2 · 2 · 2 · 5 · 7 = 280
                                     Multiply the common prime factors
           The LCF is 280.           and remainder number.




Course 2
Leastest Common Factor



    Find the leatest common factor (LCF).
      B. 252, 180, 96, 60
                                             Write the prime factorization
           252 = 2 · 2 · 3 · 3 · 7           of each number and circle
           180 = 2 · 2 · 3 · 3 · 5           the common prime factors.

             96 = 2 · 2 · 2 · 2 · 2 · 3
                                            Multiply the common prime
             60 = 2 · 2 · 3 · 5             factors and remainder number.
      2 · 2 · 3 · 3 · 5 · 2 · 2 · 2 · 7 = 10080
             The LCF is 10080.

Course 2
Insert Lesson TitleFactor
           Leastest Common Here



    Find the leastest common factor (LCF).
       A. 72, 84

            72 = 2 · 2 · 2 · 9        Write the prime factorization of
                                      each number and circle the common
            84 = 2 · 2 · 7 · 3
                                      factors.
       2 · 2 · 2 · 3 · 7 · 9 = 1512   Multiply the common prime factors
                                      and remainder number.
            The LCF is 1512.




Course 2
Least Common Multiple Method # 3
Find the LCM of 48 and 80.

Common  2   48               80
Factors  2 24                40
Once      2 12                20
           2 6                10
               3               5
                                   Remaining
                                   Factors
          LCM 2 2 2 2 3 5
          LCM 240
Least Common Multiple Method # 3
Find the LCM of 108 , 45 and 90.

Common  3   108           45   90
Factors  2 36             15   30
Once      3 18            15   15
           5 6             5   5
               6           1   1
                                 Remaining
3 · 2 · 3 · 5 · 6 = 540          Factors

     The LCF is 540.
Number theoryตัวจริง

Number theoryตัวจริง

  • 1.
    Number Theory by Nittaya Noinan Kanchanapisekwittayalai Phetchabun
  • 2.
    Definitions. Let a,b beintegers with b ≠ 0. if there exists an integer c such that a = bc, we say b divides a which is denoted by b|a b is called divisor of a a is called multiple of b
  • 3.
    Symbol . b|a instead of “b divides a “ b|a instead of “b can’t divides a “
  • 4.
    Example 1. 3| 12 because 12 = 3 4 2. -5 | 15 because 15 = (-5) (-3) 3. 8 | 0 because 0 = 8 0 4. 9 | 30 because there is not integer c to make 30 = 9c 5. 11 | 66 and 66 | 198 then 11 | 198 6. 21 | 126 and 126 | 882 then 21 | 882
  • 5.
    Theorem 1. Let a,bbe integers with a ≠ 0 and b ≠ 0 . if a | b and b there exists an integer x such that b = ax c then a | c Proof. assume that a | b and b|c there exists an integer x such that b = ax there exists an integer y such that c = by therefore c = (ax)y c = a(xy) and xy be integer thus a | c
  • 6.
    Theorem 2. If a,bbe positive integers such a | b then a b Proof. assume that a | b there exists an integer x such that b = ax since a and b be positive integer then x be positive integer therefore x ≥ 1 then ax ≥ a ( because a be positive integer) thus b ≥ a
  • 7.
    Theorem 3. If a,band c be integers with a | b and a | c then a | (bx + cy) when x and y be each integer. Proof. bx + cy is called linear combination of b and c assume that a | b and a | c there exists an integer d such that b = ad there exists an integer e such that c = ae therefore bx + cy = (ad)x + (ae)y (when x and y be integer) = a (dx + ey) (since dx + ey be integer) thus a | (bx + cy)
  • 8.
    Prime numbers Definition. Letpositive integer P is prime numbers if and only if p 1 and if there exist integer x divided p then x { 1 , -1 , p , -p} Example. The following is a prime numbers 2, 3 , 5, 7, 11 , 13 , 17 , 19 , 23 etc. A number that has only 1 and itself as factors is a prime number. A number like 24 that has factors other than 1 and itself is called a composite number.
  • 9.
    Example. Composite number 24 = 4 6 = 2 2 2 3 = 23 3 (composite numbers can write be factor a prime number) 120 = 10 12 = 2 5 2 2 3 = 23 3 5 (composite numbers can write be factor a prime number)
  • 10.
    Theorem 4. Fundamental Theoremof Arithmetic The fundamental theorem of arithmetic states that any integer n > 1 can be expressed uniquely as a product of prime numbers apart from the order of primes. 6 3 2 or 36 2 2 3 3 Express 430 as a product of prime numbers. 430 2 215 215 5 43 430 2 5 43 43 43 1
  • 11.
    Division Algorithm Theorem 5.Division Algorithm. if a and b be integers with b 0 then There exist uniquely determined integers q and r such that a = bq + r and 0 r < b q is called quotient and r is called remainder
  • 12.
    Example. 1) 4 = 9(0) + 4 2) 24 = 4(6) + 0 3) 62 = 12(5) + 2 4) -22 = 6(-4) + 2 5) -34 = 5(7) + 1
  • 13.
    Denifition. integer a be even number if and only if there exit integer k such that a = 2k integer a be odd number if and only if there exit integer k such that a = 2k + 1
  • 14.
    Example. 1 Prove that“Squares of odd numbers is odd” Proof. Give a is odd numbers then there exist integer k with a = 2k + 1 a2 = (2K + 1)2 = 4K2 + 4K + 1 = 2(2K2 + 2K) + 1 When K be integer then 2(2K2 + 2K) be even numbers Then 2(2K2 + 2K) + 1 be odd numbers Hence a2 be odd numbers
  • 15.
    Example. 2 Prove that“when 6 divides integer x then it has remainder be 3. find the remainder when 6 divides 3x “ Proof. when 6 divides integer x then it has remainder be 3 can write following x = 6n + 3 when n be integer 3x = 18n + 9 3x = 18n + 6 + 3 3x = 6(3n + 1) + 3 Hence when 3x is divided by 6 has remainder is 3
  • 16.
    Example.3 Give n bepositive integers .Find the remainder when n(n+1)(n+2) is divided by 3 . Proof. When n is divided by 3 .it will probability has remainder are 0 , 1 and 2 . Case 1. when the remainder is 0 can be write n following n = 3k when k is integer . then n(n+1)(n+2) = 3k(3k+1)(3k+2) Thus n(n+1)(n+2) divided by 3 has remainder is 0 because 3 3k
  • 17.
    Case 2. whenthe remainder is 1 can be write n following n = 3k + 1 when k is integer . then n(n+1)(n+2) = (3k+1)(3k+2)(3k+3) Thus n(n+1)(n+2) divided by 3 has remainder is 0 because 3 (3k + 3) Case 3. when the remainder is 2 can be write n following n = 3k + 2 when k is integer . then n(n+1)(n+2) = (3k+2)(3k+3)(3k+4) Thus n(n+1)(n+2) divided by 3 has remainder is 0 because 3 (3k + 3) Hence from all 3 cases we can said n(n+1)(n+2) divided by 3 has remainder is 0
  • 18.
    Example.4 Find all positiveinteger that divide between 417 and 390 with the remainder equally. Proof. Give x be positive integer that divide between 417 and 390 with remainder is r Then 417 = kx + r when k be integer ..(1) 390 = mx + r when m be integer..(2) (1) – (2) then 27 = (k – m)x …(3)
  • 19.
    Since k –m be integers thus x 27 Thus the possible value of x is 1, 3 , 9 , 27 Of checking see that 1 and 3 divide between 419 and 390 and the remainder is 0 equally , 9 divide between 419 and 390 and the remainder is 3 equally and 27 divide between 419 and 390 and the remainder is 12 equally . Hence all positive integer that divide between 417 and 390 with the remainder equally are 1 , 3 , 9 and 27
  • 20.
    Theorem 6. Let bbe integer more than 1 .each integer n can write in distributed base b such that n = akbk + ak-1bk-1 +…+ a1b + a0 When k is integer and a0 , a1 , a2 ,…,ak be not negative integer and less than with b and ak 0
  • 21.
    Proof. By divisionalgorithm. When n is divided by b then the quotient q0 and remainder a0 such that n = bq0 + a0 0 a0 b ….1) q0 is divided by b such that q0 = bq1 + a1 0 a1 b ….2) To do it as same the upper until the quotient be zero q1 = bq2 + a2 0 a2 b q2 = bq3 + a3 0 a3 b . . .
  • 22.
    qk-2 = bqk-1+ ak-1 0 ak-1 b qk-1 = b(0) + ak 0 ak b Since n q0 q1 q2 …≥ 0 is not negative integer Sequence that is decreased. Thus the division algolithm have to finished by the last quotience is zero.
  • 23.
    From 1) n = bq0 + a0 Instead q0 by 2) then n = b(bq1 + a1 ) + a0 Then = b2q1 + a1b + a0 Do it as same the upper then n = b3q2 + a2b2 + a1b + a0 . . . n = bk-1qk-2 + ak-2bk-2 +..+ a1b + a0 n = bkqk-1 + ak-1bk-1 +..+ a1b + a0 Since 3) qk-1 = ak Thus n = akbk + ak-1bk-1 +..+ a1b + a0
  • 24.
    Example. Write 96 in distributed base 5. Solve. 96 = (5 19) + 1 19 = (5 3) + 4 3 = ( 5 0) + 3 Then 96 = (5 19) + 1 = [5 (5 3) + 4 ] + 1 = (52 3)+( 5 4) + 1 Hence 96 = (3 52)+(4 5) + 1 We use symbol ( akak-1 …a0 )b instead of akbk + ak-1bk-1 +..+ a1b + a0 Hence 96 = (3 52)+(4 5) + 1 = (341) 5
  • 25.
    Example. Write 25 in distributed base 2. Solve. 25 = (2 24) + 1 24 = (2 12) + 0 12 = ( 2 6) + 0 6 = ( 2 3) + 0 3 = ( 2 1) + 1 1 = ( 2 0) + 1 Hence 25 = (11001) 2
  • 26.
    Example. Write 12345 in distributed base 8. Solve. 12345 = (8 1543) + 1 1543 = (8 192) + 7 192 = ( 8 24) + 0 24 = ( 8 3) + 0 3 = ( 8 0) + 3 Hence 12345 = (30071) 8
  • 27.
    Greatest Common Divisor Relatively Prime Definition. Let a,b be integers. Integer c which divide of a and b is called common divisor Definition. Let a,b be integers, not both zero. The greatest common divisor of a and b (or gcd(a,b) ) is the biggest number d which divides both a and b. Definition. a and b are said to be relatively prime if gcd(a,b) = 1, so no prime common divisors.
  • 28.
    The first waysto find the greatest common divisor. 1) The common divisor of 4 and 8 is 1, 2, 4 thus The greatest common divisor of 4 and 8 is 4 2) The common divisor of 8 and 12 is 1, 2, 4 thus The greatest common divisor of 4 and 8 is 4 3) The common divisor of 12 and 35 is 1 thus The greatest common divisor of 4 and 8 is 1 4) The common divisor of 24 and 32 is 1, 2, 4, 6, 8 thus The greatest common divisor of 4 and 8 is 8
  • 29.
    The second waysto find the greatest common divisor. 1) Since 4 = 2 2 8 = 2 2 2 Thus The greatest common divisor of 4 and 8 is 2 2 = 4 2) Since 8 = 2 2 2 12 = 2 2 3 Thus The greatest common divisor of 8 and 12 is 2 2 = 4
  • 30.
    The second waysto find the greatest common divisor. 3) Since 12 = 2 2 3 35 = 5 7 Thus there is no number is the same product of prime numbers between 12 and 35 The greatest common divisor of 12 and 35 is 1 4) Since 24 = 2 2 2 3 32 = 2 2 2 2 2 Thus The greatest common divisor of 4 and 8 is 2 2 2 = 8
  • 31.
    The third waysto find the greatest common divisor. 1) Since 2 4 , 8 2 2 , 4 1 ,2 Thus The greatest common divisor of 4 and 8 is 2 2 = 4
  • 32.
    The third waysto find the greatest common divisor. 2) Since 2 8 , 12 2 4 , 6 2 ,3 Thus The greatest common divisor of 4 and 8 is 2 2 = 4
  • 33.
    The third waysto find the greatest common divisor. 3) Since 1 12 , 35 12 , 35 Thus there is no number divide 12 and 35 The greatest Common divisor of 12 and 35 is 1
  • 34.
    The third waysto find the greatest common divisor. 4) Since 2 24 , 32 2 12 , 16 2 6 , 8 3 , 4 Thus The greatest common divisor of 24 and 32 is 2 2 2 = 8
  • 35.
    The fourth waysto find the greatest common divisor. Theorem 7. Euclidean Algorithm. Euclidean Algorithm. Given integers a and b 1, use the division algorithm repeatedly: a = q1b + r1 0 r1 < a b = q2r1 + r2 0 r2 < r1 r1 = q3r2 + r3 0 r3 < r2 ... ... r k-2= qkrk−1 + rk 0 rk < rk-1 rk−1 = qk+1rk where in each equation the divisor at the preceding stage is divided by the remainder. These remainders decrease r1 > r2 > · · · 0
  • 36.
    so the processeventually stops when the remainder becomes zero. If r1 = 0, then gcd(a, b) = n. Otherwise, rk = gcd(a, b), where rk is the last nonzero remainder and can be expressed as a linear combination of a and b by eliminating remainders. Proof. Express rk as a linear combination of a and b by eliminating remainders in the equations from the second last equation up. Hence every common divisor of a and b divides rk. But rk is itself a common divisor of a and b (it divides every ri—work up through the equations). Hence rk = gcd(a, b).
  • 37.
    Two integers aand b are called relatively prime if gcd(a, b) = 1. Hence 12 and 35 are relatively prime, but this is not true for 12 and 15 Because gcd(12, 15) = 3. Note that 1 is relatively prime to every integer a. The following theorem collects three basic properties of relatively prime integers.
  • 38.
    Example. 1. Findthe gcd of 3240 and 2484 Solve. 3240 = 1(2484) + 756 2484 = 3(756) + 216 756 = 3(216) + 108 216 = 2(108) + 0 Hence (3240 , 2484) = 108
  • 39.
    Example. 2. Findthe gcd of 450 and 840 Solve. 840 = 1(450) + 390 450 = 1(390) + 60 390 = 6(60) + 30 60 = 2(30) + 0 Hence (450 , 840) = 30
  • 40.
    Greatest Common Factor Additional Example 1: Using a List to Find the GCF Find the greatest common factor (GCF). 12, 36, 54 12: 1, 2, 3, 4, 6, 12 List all of the factors of each number. 36: 1, 2, 3, 4, 6, 9, 12, 18, 36 Circle the greatest 54: 1, 2, 3, 6, 9, 18, 27, 54 factor that is in all the lists. The GCF is 6. Course 2
  • 41.
    Insert Lesson TitleFactor Greatest Common Here Try This: Example 1 Find the greatest common factor (GCF). 14, 28, 63 14: 1, 2, 7, 14 List all of the factors of each number. 28: 1, 2, 4, 7, 14, 28 Circle the greatest 63: 1, 3, 7, 9, 21, 63 factor that is in all the lists. The GCF is 7. Course 2
  • 42.
    Greatest Common Factor AdditionalExample 2A: Using Prime Factorization to Find the GCF Find the greatest common factor (GCF). A. 40, 56 40 = 2 · 2 · 2 · 5 Write the prime factorization of each number and circle the 56 = 2 · 2 · 2 · 7 common factors. 2·2·2=8 Multiply the common prime factors. The GFC is 8. Course 2
  • 43.
    Greatest Common Factor AdditionalExample 2B: Using Prime Factorization to Find the GCF Find the greatest common factor (GCF). B. 252, 180, 96, 60 Write the prime factorization 252 = 2 · 2 · 3 · 3 · 7 of each number and circle 180 = 2 · 2 · 3 · 3 · 5 the common prime factors. 96 = 2 · 2 · 2 · 2 · 2 · 3 60 = 2 · 2 · 3 · 5 2 · 2 · 3 = 12 Multiply the common prime The GCF is 12. factors. Course 2
  • 44.
    Insert Lesson TitleFactor Greatest Common Here Try This: Example 2A Find the greatest common factor (GCF). A. 72, 84 72 = 2 · 2 · 2 · 9 Write the prime factorization of each number and circle the common 84 = 2 · 2 · 7 · 3 factors. 2·2=4 Multiply the common prime factors. The GCF is 4. Course 2
  • 45.
    Insert Lesson TitleFactor Greatest Common Here Try This: Example 2B Find the greatest common factor (GCF). B. 360, 250, 170, 40 360 = 2 · 2 · 2 · 9 · 5 Write the prime factorization of each number and circle 250 = 2 · 5 · 5 · 5 the common prime factors. 170 = 2 · 5 · 17 40 = 2 · 2 · 2 · 5 2 · 5 = 10 Multiply the common prime factors. The GCF is 10. Course 2
  • 46.
    Greastest Common divisorMethod # 3 Find the GCM of 48 and 80. Common 2 48 80 Factors 2 24 40 Once 2 12 20 2 6 10 3 5 Remaining 2 · 2 · 2 · 2 = 16 Factors 2 The GCF is 16.
  • 47.
    Greastest Common divisorMethod # 3 Find the LCM of 108 , 45 and 90. Common 3 108 45 90 Factors 2 36 15 30 Once 3 18 15 15 5 6 5 5 6 1 1 Remaining 3 · 2 · 3 · 5 = 90 Factors The GCF is 90.
  • 48.
    Greatest Common Factor Additional Example 3: Problem Solving Application You have 120 red beads, 100 white beads, and 45 blue beads. You want to use all the beads to make bracelets that have red, white, and blue beads on each. What is the greatest number of matching bracelets you can make? Course 2
  • 49.
    Greatest Common Factor Additional Example 3 Continued 1 Understand the Problem Rewrite the question as a statement. • Find the greatest number of matching bracelets you can make. List the important information: • There are 120 red beads, 100 white beads, and 45 blue beads. • Each bracelet must have the same number of red, white, and blue beads. The answer will be the GCF of 120, 100, and 45. Course 2
  • 50.
    Greatest Common Factor Additional Example 3 Continued 2 Make a Plan You can list the prime factors of 120, 100, and 45 to find the GFC. 3 Solve 120 = 2 · 2 · 2 · 3 · 5 100 = 2 · 2 · 5 · 5 45 = 3 · 3 · 5 The GFC of 120, 100, and 45 is 5. You can make 5 bracelets. Course 2
  • 51.
    Greatest Common Factor Additional Example 3 Continued 4 Look Back If you make 5 bracelets, each one will have 24 red beads, 20 white beads, and 9 blue beads, with nothing left over. Course 2
  • 52.
    Insert Lesson TitleFactor Greatest Common Here Try This: Example 3 Nathan has made fishing flies that he plans to give away as gift sets. He has 24 wet flies and 18 dry flies. Using all of the flies, how many sets can he make? Course 2
  • 53.
    Insert Lesson TitleFactor Greatest Common Here Try This: Example 3 Continued 1 Understand the Problem Rewrite the question as a statement. • Find the greatest number of sets of flies he can make. List the important information: • There are 24 wet flies and 18 dry flies. • He must use all of the flies. The answer will be the GCF of 24 and 18. Course 2
  • 54.
    Greatest Common Factor Try This: Example 3 Continued 2 Make a Plan You can list the prime factors of 24 and 18 to find the GCF. 3 Solve 24 = 2 · 2 · 2 · 3 18 = 2 · 3 · 3 Multiply the prime factors that 2·3=6 are common to both 24 and 18. You can make 6 sets of flies. Course 2
  • 55.
    Insert Lesson TitleFactor Greatest Common Here Try This: Example 3 Continued 4 Look Back If you make 6 sets, each set will have 3 dry flies and 4 wet flies. Course 2
  • 56.
    Greatest Common Factor Insert Lesson Title Here Lesson Quiz: Part 1 Find the greatest common factor (GCF). 1. 28, 40 4 2. 24, 56 8 3. 54, 99 9 4. 20, 35, 70 5 Course 2
  • 57.
    Greatest Common Factor Insert Lesson Title Here Lesson Quiz: Part 2 5. The math clubs from 3 schools agreed to a competition. Members from each club must be divided into teams, and teams from all clubs must be equally sized. What is the greatest number of members that can be on a team if Georgia has 16 members, William has 24 members, and Fulton has 72 members? 8 Course 2
  • 58.
    The Least CommonMultiple Definition. Let a,b be integers, not both zero. The least common multiple of a and b (or lcm[a,b]) is the least number c which both a and b divides c. Definition. Let a1 , a2 , a3 ,…,an be integers,not both zero. Integer C is the least number which a1 C , a2 C , …, an C is called The least common multiple of a1 , a2 , a3 ,…,an symbol is [a1 , a2 , a3 ,…,an ]
  • 59.
    EXAMPLE: Find the LCM of 12 and 18 The multiples of 12: The multiples of 18: •12 x 1 = 12 •18 x 1 = 18 •12 x 2 =24 •18 x 2 = 36 •12 x 3 = 36 •18 x 3 = 54 •12 x 4 = 48 •18 x 4 = 72 •12 x 5 =60 •18 x 5 = 90
  • 60.
    12, 24, 36,48, 60 18, 36, 54, 72, 90 The first number you see in both lists is 36. The least common multiple of 12 and 18 is 36.
  • 61.
    Example 2: Find the LCM of 9 and 10 9, 18, 27, 36, 45, 54, 63, 72 81, 90, 99 10, 20, 30, 40, 50, 60, 70, 80 90, 100, 110 If you don’t see a common multiple, make each list go further. The LCM of 9 and 10 is 90
  • 62.
    Example 3: Find the LCM of 4 and 12 4, 8, 12, 16 12, 24, 36 Answer: 12
  • 63.
    Leastest Common Factor Find the least common factor (LCF). A. 40, 56 40 = 2 · 2 · 2 · 5 Write the prime factorization of each number and circle the 56 = 2 · 2 · 2 · 7 common factors. 2 · 2 · 2 · 5 · 7 = 280 Multiply the common prime factors The LCF is 280. and remainder number. Course 2
  • 64.
    Leastest Common Factor Find the leatest common factor (LCF). B. 252, 180, 96, 60 Write the prime factorization 252 = 2 · 2 · 3 · 3 · 7 of each number and circle 180 = 2 · 2 · 3 · 3 · 5 the common prime factors. 96 = 2 · 2 · 2 · 2 · 2 · 3 Multiply the common prime 60 = 2 · 2 · 3 · 5 factors and remainder number. 2 · 2 · 3 · 3 · 5 · 2 · 2 · 2 · 7 = 10080 The LCF is 10080. Course 2
  • 65.
    Insert Lesson TitleFactor Leastest Common Here Find the leastest common factor (LCF). A. 72, 84 72 = 2 · 2 · 2 · 9 Write the prime factorization of each number and circle the common 84 = 2 · 2 · 7 · 3 factors. 2 · 2 · 2 · 3 · 7 · 9 = 1512 Multiply the common prime factors and remainder number. The LCF is 1512. Course 2
  • 66.
    Least Common MultipleMethod # 3 Find the LCM of 48 and 80. Common 2 48 80 Factors 2 24 40 Once 2 12 20 2 6 10 3 5 Remaining Factors LCM 2 2 2 2 3 5 LCM 240
  • 67.
    Least Common MultipleMethod # 3 Find the LCM of 108 , 45 and 90. Common 3 108 45 90 Factors 2 36 15 30 Once 3 18 15 15 5 6 5 5 6 1 1 Remaining 3 · 2 · 3 · 5 · 6 = 540 Factors The LCF is 540.