Embed presentation
Download to read offline



























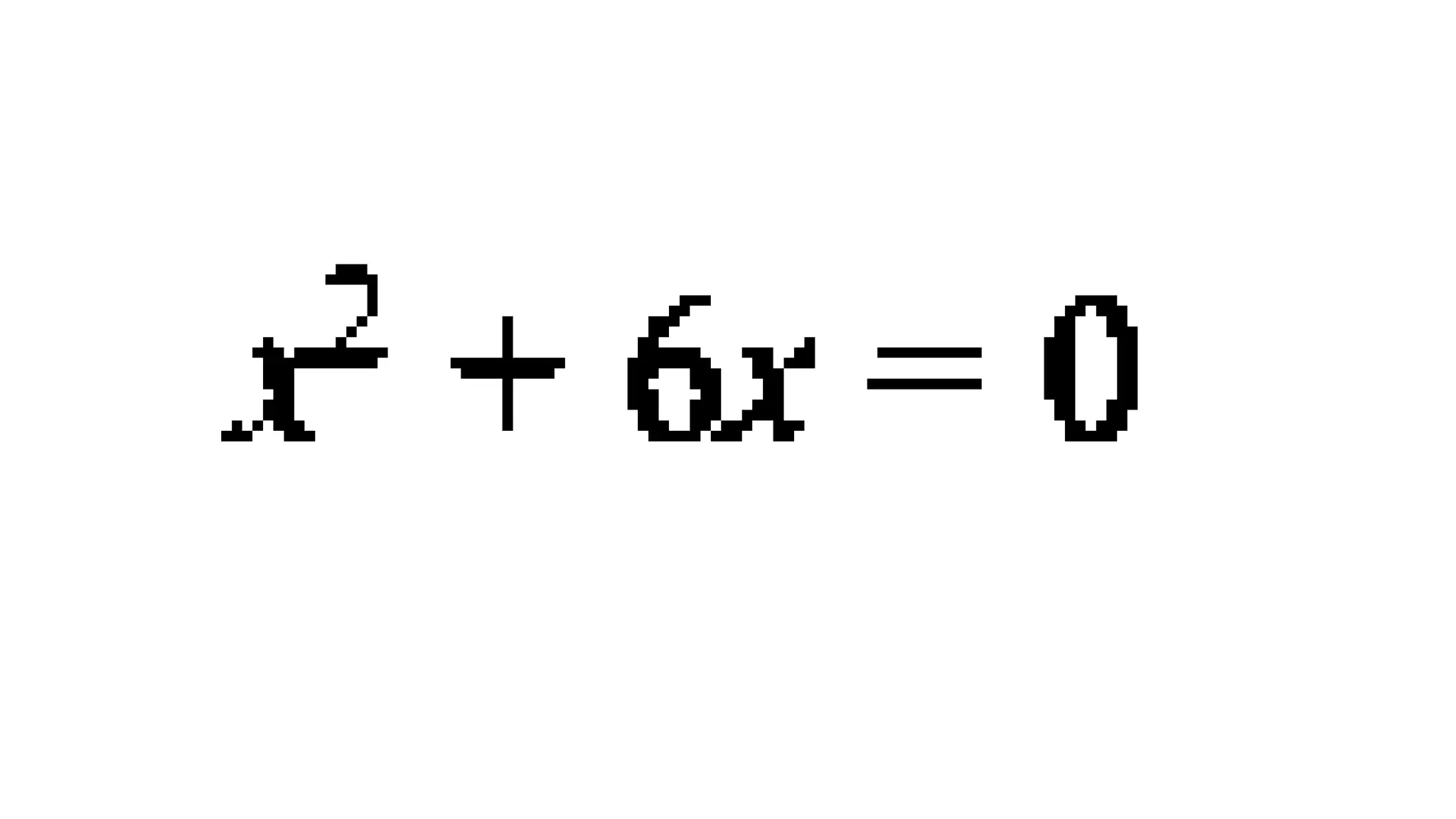
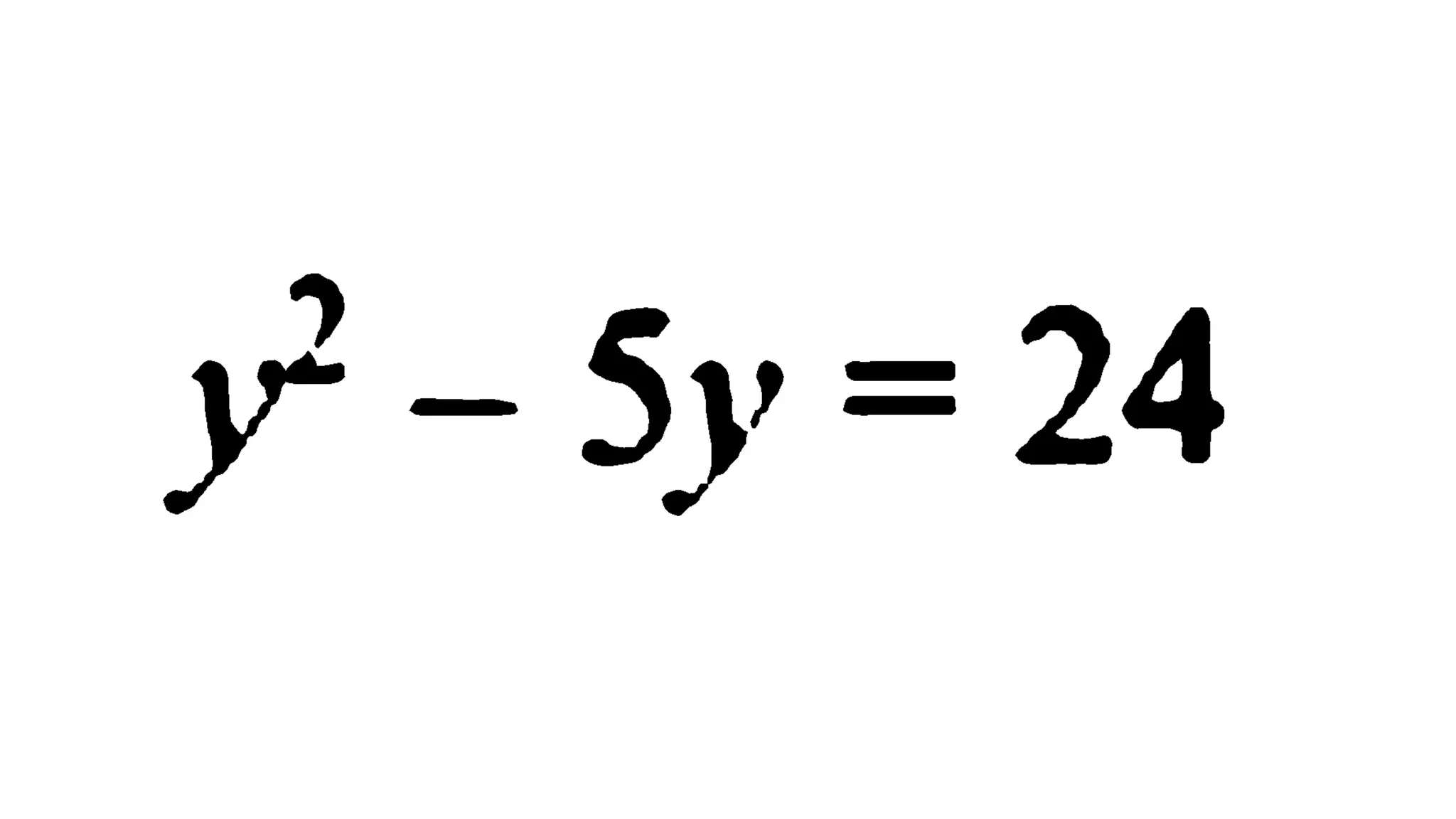
This document provides a short review of quadratic equations, outlining key terms and concepts such as the product of numbers, factors, squares, and expanding brackets. It includes a practice activity with specific equations to factor. The focus is on foundational mathematics skills related to quadratic equations.


























