Mapping and Optimisation
Based on Australia National Broadband Network Design Rule
By
JIANLI MA, CHENG LIN, HAOZHENG WEI, CHIEN-CHENG LAI
Melbourne School of Engineering
UNIVERSITY OF MELBOURNE
OCTOBER 2014
Created by LATEX
EXECUTIVE SUMMARY
T
he project regards the National Broadband Network (NBN) Corporation as a reference for
network deployment of Fibre To The Premises (FTTP) by Google Map API with JavaScript
in urban, suburban areas. The algorithm includes Travelling Sales Man (TSP) and min-
imum spanning tree in order to find minimum distances among FDH, splitters and end users.
The cost optimisation is also based on the Gigabit Passive Optical Network (GPON) structure
with a 1:32 splitter design to each end user premise. By using Google Map API, each premise will
be found following by FTTH deployment to meet NBN requirements. The structure of this project
is illustrated in Figure 1.
FIGURE 1. Mapping and Optimization1
In the project, the brief background will be provided following by optimisation of construction
and algorithms. After implementation of design via Google Map API, the conclusion is presented
at the end.
i
TABLE OF CONTENTS
Page
List of Figures v
1 Background 1
1.1 Introduction of FTTH Architecture . . . . . . . . . . . . . . . . . . . . . . . . . . . . . 1
1.2 DFN . . . . . . . . . . . . . . . . . . . . . . . . . . . . . . . . . . . . . . . . . . . . . . . 1
1.3 LFN . . . . . . . . . . . . . . . . . . . . . . . . . . . . . . . . . . . . . . . . . . . . . . . 2
1.4 Construction Optimization . . . . . . . . . . . . . . . . . . . . . . . . . . . . . . . . . . 3
2 Optimisation 5
2.1 DFN Optimisation . . . . . . . . . . . . . . . . . . . . . . . . . . . . . . . . . . . . . . . 5
2.2 LFN Optimisation . . . . . . . . . . . . . . . . . . . . . . . . . . . . . . . . . . . . . . . 5
2.3 Conclusion . . . . . . . . . . . . . . . . . . . . . . . . . . . . . . . . . . . . . . . . . . . 6
3 Design 7
3.1 Retrieving Geography Data and Data Pre-processing . . . . . . . . . . . . . . . . . . 7
3.2 Analysis Residency Data(Fibre Access Point) . . . . . . . . . . . . . . . . . . . . . . . 7
3.3 Automatic Layout . . . . . . . . . . . . . . . . . . . . . . . . . . . . . . . . . . . . . . . 8
3.3.1 Suburban Areas . . . . . . . . . . . . . . . . . . . . . . . . . . . . . . . . . . . 9
3.3.2 CBD Areas . . . . . . . . . . . . . . . . . . . . . . . . . . . . . . . . . . . . . . . 10
3.4 Visualisation . . . . . . . . . . . . . . . . . . . . . . . . . . . . . . . . . . . . . . . . . . 10
4 Suburban Area Example 11
4.1 Suburb One . . . . . . . . . . . . . . . . . . . . . . . . . . . . . . . . . . . . . . . . . . . 11
4.1.1 Data Collection . . . . . . . . . . . . . . . . . . . . . . . . . . . . . . . . . . . . 11
4.1.2 Data Processing . . . . . . . . . . . . . . . . . . . . . . . . . . . . . . . . . . . 11
4.1.3 Spanning Tree Layout . . . . . . . . . . . . . . . . . . . . . . . . . . . . . . . . 12
4.2 Suburb Two . . . . . . . . . . . . . . . . . . . . . . . . . . . . . . . . . . . . . . . . . . . 12
4.2.1 Data Collection . . . . . . . . . . . . . . . . . . . . . . . . . . . . . . . . . . . . 12
4.2.2 Data Processing . . . . . . . . . . . . . . . . . . . . . . . . . . . . . . . . . . . 13
4.2.3 Spanning Tree Layout . . . . . . . . . . . . . . . . . . . . . . . . . . . . . . . . 13
iii
TABLE OF CONTENTS
4.2.4 Optimisation . . . . . . . . . . . . . . . . . . . . . . . . . . . . . . . . . . . . . 13
5 CBD Area Example 23
5.1 Data Collection . . . . . . . . . . . . . . . . . . . . . . . . . . . . . . . . . . . . . . . . . 23
5.2 Data Processing . . . . . . . . . . . . . . . . . . . . . . . . . . . . . . . . . . . . . . . . 23
5.3 Visualisation . . . . . . . . . . . . . . . . . . . . . . . . . . . . . . . . . . . . . . . . . . 24
6 Conclusion 27
A Maps Data Retrieving and Processing Program 29
A Suburban Area Layout Program 35
A CBD Area Layout Program 39
A Contribution Table 47
A Gantt Chart for Mapping and Optimization 49
Bibliography 51
iv
LIST OF FIGURES
1 Mapping and Optimization . . . . . . . . . . . . . . . . . . . . . . . . . . . . . . . . . . . . i
FIGURE Page
1.1 The passive optical network architecture of FTTH deployment. . . . . . . . . . . . . . . 2
1.2 GPON Standard . . . . . . . . . . . . . . . . . . . . . . . . . . . . . . . . . . . . . . . . . . 2
1.3 FASM with 16 FDAs. . . . . . . . . . . . . . . . . . . . . . . . . . . . . . . . . . . . . . . . 3
1.4 Hierarchical Components in LFN . . . . . . . . . . . . . . . . . . . . . . . . . . . . . . . . 4
1.5 Comparison of 2011-13 Corporate Plan vs. 2012-15 Corporate Plan for the Fibre Network 4
3.1 FlowChart of Addresses Acquiring . . . . . . . . . . . . . . . . . . . . . . . . . . . . . . . 8
3.2 FlowChart of Data Processing . . . . . . . . . . . . . . . . . . . . . . . . . . . . . . . . . . 9
4.1 Original Map in Sub 1 . . . . . . . . . . . . . . . . . . . . . . . . . . . . . . . . . . . . . . 12
4.2 Residential Premises in Sub 1 . . . . . . . . . . . . . . . . . . . . . . . . . . . . . . . . . . 13
4.3 Residential Premises in Sub 1 . . . . . . . . . . . . . . . . . . . . . . . . . . . . . . . . . . 14
4.4 Coordinates of Access Points . . . . . . . . . . . . . . . . . . . . . . . . . . . . . . . . . . . 14
4.5 Distances between Access Points and Exchange Centre. . . . . . . . . . . . . . . . . . . 15
4.6 Distances between Access Points and Exchange Centre. . . . . . . . . . . . . . . . . . . 15
4.7 Spanning Tree Result . . . . . . . . . . . . . . . . . . . . . . . . . . . . . . . . . . . . . . . 16
4.8 Visualisation of Spanning Tree Result . . . . . . . . . . . . . . . . . . . . . . . . . . . . . 16
4.9 Optimisation Result . . . . . . . . . . . . . . . . . . . . . . . . . . . . . . . . . . . . . . . . 17
4.10 Original Map in Sub 2 . . . . . . . . . . . . . . . . . . . . . . . . . . . . . . . . . . . . . . 17
4.11 Residential Premises in Sub 2 . . . . . . . . . . . . . . . . . . . . . . . . . . . . . . . . . . 18
4.12 Residential Premises in Sub 2 . . . . . . . . . . . . . . . . . . . . . . . . . . . . . . . . . . 18
4.13 Coordinates of Access Points . . . . . . . . . . . . . . . . . . . . . . . . . . . . . . . . . . . 19
4.14 Distances between Access Points and Exchange Centre. . . . . . . . . . . . . . . . . . . 19
4.15 Distances between Access Points and Exchange Centre. . . . . . . . . . . . . . . . . . . 20
4.16 Spanning Tree Result . . . . . . . . . . . . . . . . . . . . . . . . . . . . . . . . . . . . . . . 20
4.17 Visualisation of Spanning Tree Result . . . . . . . . . . . . . . . . . . . . . . . . . . . . . 21
4.18 Optimisation Result . . . . . . . . . . . . . . . . . . . . . . . . . . . . . . . . . . . . . . . . 21
5.1 Original Map in CBD . . . . . . . . . . . . . . . . . . . . . . . . . . . . . . . . . . . . . . . 24
v
LIST OF FIGURES
5.2 Commercial Premises in CBD . . . . . . . . . . . . . . . . . . . . . . . . . . . . . . . . . . 25
5.3 TSP Solution . . . . . . . . . . . . . . . . . . . . . . . . . . . . . . . . . . . . . . . . . . . . 25
5.4 TSP Solution . . . . . . . . . . . . . . . . . . . . . . . . . . . . . . . . . . . . . . . . . . . . 26
vi
CHAPTER
1
BACKGROUND
D
elivering fibre to the end user premises dominates 93% of the NBN Co access network[4].
The access network consists of distribution fibre network (DFN) and local fibre net-
work(LFN).
1.1 Introduction of FTTH Architecture
The project utilises home run architecture of FTTH that dedicated fibres connect each home to
the point of presence (POP). A Remote Node (RN) is deployed between the POP and the user’s
premises and they do not have any active electronics. A passive splitter at the RN delivers
the downstream optical messages from the feeder fibre to the individual distribution fibre. The
passive optical network architecture of FTTH deployment is shown in Figure 1.1. The feature is
that passive optical splitters distribute the fibre to each end user with splitting ratios 1:32 as
GPON architecture in our project.
The standard of GPON is summarised in Figure 1.2. This shows that bandwidths bit rates in
upstream and downstream are shared by 16, 32, 64 or 128 users depending on the requirements
of deployment. According to NBN Co, GPON is the most cost-effective approach for higher
downstream bit rates and lower overhead than other PON architectures.
1.2 DFN
DFN is used to connect fibre access node(FAN) located at central office and fibre distribution
hubs(FDHs) located at the street side cabinets with ribbon fibre core needed between 288 to 864
fibres, but preferred 576[7]. It could be shown in Figure 1.3. Maximum 16 FDHs can be connected
to one FAN in the fibre serving area module(FSAM) with loop topology, starting from a FAN site
1
CHAPTER 1. BACKGROUND
FIGURE 1.1. The passive optical network architecture of FTTH deployment.
FIGURE 1.2. GPON Standard
and finishing at the same site. Each FDH located at one fibre distribution area(FDA) can serve
200 premises on average.
1.3 LFN
LFN is used to connect FDH and end user premises in start topology with 1:32 passive splitter,
or in a P2P topology with direct connection. The underground deployment LFN is composed of
local network splice and multi-port located at the pits, which is indicated in Figure 1.4.[3]
2
1.4. CONSTRUCTION OPTIMIZATION
FIGURE 1.3. FASM with 16 FDAs.[7]
1.4 Construction Optimization
As can be seen from Figure 1.5, the 2012-15 Corporate Plan forecasts a net increase ($1.4 billion
and $3.2 billion respectively) in Capital Expenditure and Operating Expenditure during the
Fibre Network Construction period to FY2021. And one of the reasons is due to the implications
of the Government’s New Developments policy.[9][2]
In order to keep undesired growth of expenditure under an acceptable level, strategies must be
implemented to optimise the construction cost. For example, optimising the trench paths of drop
fibres and allocation of pits following the existing civil infrastructure and network.[1]
However, all the methods have to refer to the latest NBN Co Network Design Rules.
3
FIGURE 1.4. Hierarchical Components in LFN.[6]
FIGURE 1.5. Comparison of 2011-13 Corporate Plan vs. 2012-15 Corporate Plan for the
Fibre Network
CHAPTER
2
OPTIMISATION
S
ince NBN Co divides access network into two parts, DFN in a loop topology and LFN
in a star topology. In this section, two optimisation methods are used to DFN and LFN
respectively.
2.1 DFN Optimisation
Constraints of the NBN Co DFN network:
1. The distance between FAN and the farthest FDH is 4km
2. Fibre core counts should be between 288 to 864 fibres
3. Maximum 16 FDAs connects to one FAN.
The Travelling Salesman Problem(TSP) algorithm is used for DFN optimisation to make the
shortest loop between FAN and FDHs, so that the cost mainly on civil work can be saved as
much as possible. Branch and Bound algorithm as one of the TSP method is chosen to design the
distribution network in this project under the constraints of NBN Co network.
2.2 LFN Optimisation
Constraints of the NBN Co LFN network:
1. Fibre core counts between 72 to 288 fibres
2. On average of 200 premises can be served by one FDH
3. Residential users in SDU or MDU should be provided with 1.5 fibres for each premise
4. Commercial MDU should be served by 2 fibres for each premises.
5
CHAPTER 2. OPTIMISATION
Minimum Spanning Tree(MST) algorithm is used to optimise the LFN in suburb. Consider-
ing the constraints defined by NBN Co, 20 premises in suburb area are served by one 1:32 splitter
to guarantee 1.5 fibres connection. In order to serve 200 end users in one FDA, 18 splitters
are needed for splitting cable with 576 core count fibres. MST algorithm is used to connect all
splitters with minimum path and avoid loop connection to achieve cost optimisation.[5]
2.3 Conclusion
In CBD areas, the premises are usually in demand of high throughput and availability. With the
account of incomes resulted from the high population density, the heavy investment in this area
could be shouldered by ISP. Therefore, P2P topology is used to connect FAN to CBD and followed
by TSP algorithm. While TSP algorithm and MST are implemented for DFN and LFN in suburb
respectively.[8]
6
CHAPTER
3
DESIGN
I
n this part, the description of coding part and related algorithm are included. This part
would be discussed by dividing into four sections: 1. Retrieving geography data; 2. Analysis
Residency Data(Fibre Access Point); 3. Automatic Layout; 4. Visualisation.
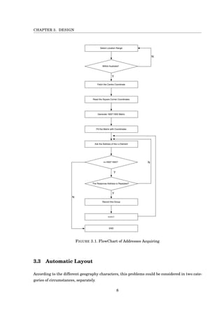
3.1 Retrieving Geography Data and Data Pre-processing
Google Maps is used to acquire the map data, which provides API for developers. For privacy
consideration, Google Maps API does not provide the accuracy coordinate for every residential
addresses.[13] Therefore, a traversal method to recognise the addresses and acquire their coordi-
nates. To be detailed, after an area is selected in the map, a traversal robot would be triggered
from the top-left corner to bottom-right corner to test every point. For each point, the robot would
request its address information through Google Maps API and recorded it with the correspond
coordinate of this point in its database. After all the points in this area have been scanned, the
robot would delete the items with the same addresses and calculate the mean coordinates of
these addresses. The Figure 3.1 reveals this processing.[10][11]
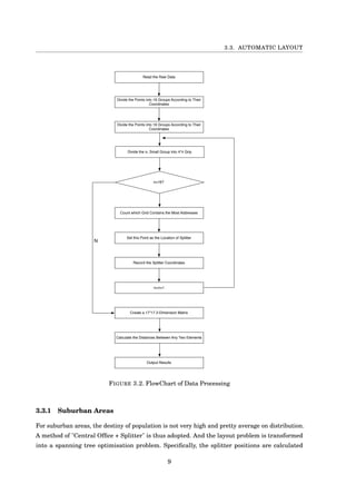
3.2 Analysis Residency Data(Fibre Access Point)
After doing it, these raw data will be processed, and for convenience, all of absolute coordinates
to the relative coordinates are transformed. The practical method is setting the top-left corner as
(0,0) while the bottom-right corner has a new coordinate of (1600,1600)(As we always require a
square area). Then a matrix recorded all the residential places with their relative coordinates is
recorded. The Figure 3.2 illustrates the acquiring processes in suburban areas.[12]
7
CHAPTER 3. DESIGN
Select Location Range
Within Australia?
Fetch the Centre Coordinate
Read the Square Corner Coordinates
Generate 1600*1600 Matrix
Fill the Matrix with Coordinates
Ask the Address of the nth Element
n<1600*1600?
Y
N
The Response Address is Repeated?
Record this Group
n=n+1
Y
Y
END
N
N
FIGURE 3.1. FlowChart of Addresses Acquiring
3.3 Automatic Layout
According to the different geography characters, this problems could be considered in two cate-
gories of circumstances, separately.
8
3.3. AUTOMATIC LAYOUT
Read the Raw Data
Divide the Points into 16 Groups According to Their
Coordinates
Divide the Points into 16 Groups According to Their
Coordinates
Divide the nth Small Group into 4*4 Grip
n<16?
Count which Grid Contains the Most Addresses
Set this Point as the Location of Splitter
Create a 17*17 2-Dimension Matrix
N
Record the Splitter Coordinates
n=n+1
Calculate the Distances Between Any Two Elements
Output Results
FIGURE 3.2. FlowChart of Data Processing
3.3.1 Suburban Areas
For suburban areas, the destiny of population is not very high and pretty average on distribution.
A method of "Central Office + Splitter" is thus adopted. And the layout problem is transformed
into a spanning tree optimisation problem. Specifically, the splitter positions are calculated
9
CHAPTER 3. DESIGN
initially. According to the distribution of Users’ Premises, the principle that splitters are always
set in the areas where most of the premises locate is adopted. Therefore, we create a two-layers
structure to finish this algorithm. The first layer divides the area into 16 small areas which
means there would be 16 splitters in this district. Then, a further 16-cells grid would be put over
the first layer to identify the location of splitter in this area.
3.3.2 CBD Areas
In terms of CBD areas, the subscribers are dominated by business users which require high
throughputs and reliability. Consequently, the "Loop Access" method will be utilised as it can
provide not only a redundant access guarantee but also improve the bandwidth between local
business users. The problem becomes a Travelling Salesman Problem(TSP).
3.4 Visualisation
Then the data would be processed again which involves transformation from relative coordinates
to absolute coordinates before visualisation. According to the absolute coordinates of linking
nodes, the solution is re-drawn on the map.
10
CHAPTER
4
SUBURBAN AREA EXAMPLE
S
uburban areas comprise the majority spaces of Australia. Therefore the discussion of
coverage, layout and optimisation work in suburbs is essential. In this chapter, two
instances are presented, which one of them is a low-population destiny residential area
while the other one is a common community. The explanation of algorithm running with analysis
and results would be given step-by-step.
4.1 Suburb One
This area is selected randomly where located in the eastern of Melbourne Metropolis.Figure 4.1
is the original map retrieving from Google Maps.
4.1.1 Data Collection
Google Maps API is used to collect the geography data for the following analysis. As described
before, our program could acquire the addresses of every residential premises in this area. And
the raw data is presented in Figure 4.2.
4.1.2 Data Processing
Then the Access Point is selected based on these residential premises. Figure 4.3 illustrates the
locations of Access Points.
Figure 4.4 illustrates the coordinates of Access Points.
11
CHAPTER 4. SUBURBAN AREA EXAMPLE
FIGURE 4.1. Original Map in Sub 1
Figure 4.5 and Figure 4.6 illustrate the distances between Access Points and Exchange Centre.
4.1.3 Spanning Tree Layout
Then, the Prim Algorithm is used to calculate the minimum spanning tree. The result output is
shown in Figure 4.7 and the visualisation result is shown in Figure 4.8.
4.2 Suburb Two
This area is selected randomly where located in the northern of Melbourne Metropolis.Figure 4.10
is the original map retrieving from Google Maps.
4.2.1 Data Collection
Google Maps API is used to collect the geography data for the following analysis. As described
before, our program could acquire the addresses of every residential premises in this area. And
the raw data is presented in Figure 4.11.
12
4.2. SUBURB TWO
FIGURE 4.2. Residential Premises in Sub 1
4.2.2 Data Processing
Then the Access Point is selected based on these residential premises. Figure 4.12 illustrates the
locations of Access Points.
Figure 4.13 illustrates the coordinates of Access Points.
Figure 4.14 and Figure 4.15 illustrate the distances between Access Points and Exchange
Centre.
4.2.3 Spanning Tree Layout
Then, Prim Algorithm is used to calculate the minimum spanning tree. The result output is
shown in Figure 4.16 and the visualisation result is shown in Figure 4.17.
4.2.4 Optimisation
13
FIGURE 4.3. Residential Premises in Sub 1
FIGURE 4.4. Coordinates of Access Points
4.2. SUBURB TWO
FIGURE 4.5. Distances between Access Points and Exchange Centre.
FIGURE 4.6. Distances between Access Points and Exchange Centre.
15
CHAPTER 4. SUBURBAN AREA EXAMPLE
FIGURE 4.7. Spanning Tree Result
FIGURE 4.8. Visualisation of Spanning Tree Result
16
4.2. SUBURB TWO
FIGURE 4.9. Optimisation Result
FIGURE 4.10. Original Map in Sub 2
17
CHAPTER 4. SUBURBAN AREA EXAMPLE
FIGURE 4.11. Residential Premises in Sub 2
FIGURE 4.12. Residential Premises in Sub 2
18
4.2. SUBURB TWO
FIGURE 4.13. Coordinates of Access Points
FIGURE 4.14. Distances between Access Points and Exchange Centre.
19
CHAPTER 4. SUBURBAN AREA EXAMPLE
FIGURE 4.15. Distances between Access Points and Exchange Centre.
FIGURE 4.16. Spanning Tree Result
20
4.2. SUBURB TWO
FIGURE 4.17. Visualisation of Spanning Tree Result
FIGURE 4.18. Optimisation Result
21
CHAPTER
5
CBD AREA EXAMPLE
C
omparing with manual method to find optimising trench paths, program in this project
helps operators save CAPEX which may include expensive labour cost, save processing
time consumed, and avoid human error. The second feature of this project is that the
highly reliable program is flexible at other locations under the constraints of NBN Co network
design rules. Another important part of this program is that it works with Google Map API to
provide friendly visualise result in real scenarios.
Because it takes some time to run TSP algorithm for an optimal solution when the number
of nodes is too much. However, the program could be optimised with longer developing time.
Therefore, the program is expected to be used within a limit number of nodes in CBD and DFN.
Being similar to the processing steps of suburban areas, the first step is to retrieve the
geography data by Google Maps API.Figure 5.1 is the original map retrieving from Google Maps.
5.1 Data Collection
Google Maps API is used to collect the geography data for the following analysis. In CBD areas,
the residential addresses are rarely and the commercial premises attract more attention in terms
of layout. Figure 5.2 illustrates the location information in CBD Areas.
5.2 Data Processing
To build up a network in CBD Area, the loop layout method is adopted as the reliability is put in
the priority. Then the layout and optimisation problem is converted to a TSP. The solution of this
23
CHAPTER 5. CBD AREA EXAMPLE
FIGURE 5.1. Original Map in CBD
area is shown in Figure 5.3
5.3 Visualisation
In the end, the solution would be put back on the maps again to make this solution obviously.
24
FIGURE 5.2. Commercial Premises in CBD
FIGURE 5.3. TSP Solution
CHAPTER 5. CBD AREA EXAMPLE
FIGURE 5.4. TSP Solution
26
CHAPTER
6
CONCLUSION
T
he project aims to propose a FTTH GPON network, covering real nodes (premises) in-
cluded CBD and suburban areas under the constraint of NBN Co rules for the deployment
by implementing TSP and MST algorithms on Google Map API.
Comparing with manual method to find optimising trench paths, program in this project helps
operators save CAPEX which may include expensive labour cost, save processing time consumed,
and avoid human error. The second feature of this project is that the highly reliable program
is flexible at other locations under the constraints of NBN Co network design rules. Another
important part of this program is that it works with Google Map API to provide friendly visualise
result in real scenarios.
Because it takes some time to run TSP algorithm for an optimal solution when the number
of nodes is too much. However, the program could be optimised with longer developing time.
Therefore, the program is expected to be used within a limit number of nodes in CBD and DFN.
27
APPENDIX
A
MAPS DATA RETRIEVING AND PROCESSING PROGRAM
T
his is the source code of Maps Data Retrieving and Processing Program.
The aim of this program is retrieve the geography data from selected area and analysis the
premises in this area. This program is coded in HTML+JavaScript.
The input is coordinates of a certain area which the operator could drag the rectangle selector in
the webpage to select. The output is a matrix recorded all the addresses coordinates in a relative
distance.(i.e. The maximum coordinates in the area is 1600£1600.)
29
APPENDIX A. MAPS DATA RETRIEVING AND PROCESSING PROGRAM
30
31
33
APPENDIX
A
SUBURBAN AREA LAYOUT PROGRAM
T
his is the source code of Suburban Area Layout Program in Matlab programming lan-
guage.
The aim of this program is to read the geography data from the output of Program 1 and give
the layout solution.
The input is the coordinates matrix which is generated from Program 1. Then the input area
would be divided into 16 areas. According to the destiny of population, the optimum splitter
would be selected and put in a spot which is the distance between them is calculated and recorded
then. After that, the layout problem has been converted into a spanning tree problem and the
solution would be given to generate the minimum spanning tree.
35
37
APPENDIX
A
CBD AREA LAYOUT PROGRAM
T
his is the source code of CBD Area Layout Program in Matlab programming language.
The aim of this program is to read the geography data from the output of Program 1 and give
the layout solution.
The input is the coordinates matrix which is generated from Program 1. Then the mutual dis-
tances of all the commercial addresses would be calculated and recorded. As the requirement of a
loop structure, the TSP solution would be implemented and the final result would be given.
39
APPENDIX A. CBD AREA LAYOUT PROGRAM
40
41
APPENDIX A. CBD AREA LAYOUT PROGRAM
42
43
APPENDIX A. CBD AREA LAYOUT PROGRAM
44
45
APPENDIX
A
CONTRIBUTION TABLE
47
APPENDIX
A
GANTT CHART FOR MAPPING AND OPTIMIZATION
49
BIBLIOGRAPHY
[1] Fiber to the home primers(august 2013 premier).
[2] Fiber to the home(what fiber can do for australia).
[3] National broadband network a user’s perspective.
[4] Nbn co.,network design rule, 19th December 2011.
[5] Nbn co.,corporate plan, 2012-2015.
[6] Nbn co.,nbn co new development: Deployment of the nbn, 9th July 2013.
[7] Nbn co.,network design rule, 1st July 2014.
[8] S. AZODOLMOLKY AND I. TOMKOS, A techno-economic study for active ethernet ftth deploy-
ments., Journal of Telecommunications Management, 1 (2008), pp. 294 – 310.
[9] N. CO., The australian national broadband network: New opportunities, new challenges.
[10] D. GOSNELL, Professional Web APIs [electronic resource] : Google, eBay, Amazon.com,
MapPoint, FedEx / Denise Gosnell., Indianapolis, Ind. ; [Great Britain] : Wiley, c2005.,
2005.
[11] G. SVENNERBERG, Beginning Google Maps API 3 [electronic resource] / Gabriel Svenner-
berg., Expert’s voice in Web development, [New York] : Apress, c2010., 2010.
[12] T. R. WEISS, Google developers get revamped google api console to manage apis., eWeek,
(2013), p. 6.
[13] Z. YING, Introducing google chart tools and google maps api in data visualization courses.,
IEEE Computer Graphics and Applications, (2012), p. 6.
51
Network mapping and optimization

Network mapping and optimization

  • 1.
    Mapping and Optimisation Basedon Australia National Broadband Network Design Rule By JIANLI MA, CHENG LIN, HAOZHENG WEI, CHIEN-CHENG LAI Melbourne School of Engineering UNIVERSITY OF MELBOURNE OCTOBER 2014
  • 2.
  • 3.
    EXECUTIVE SUMMARY T he projectregards the National Broadband Network (NBN) Corporation as a reference for network deployment of Fibre To The Premises (FTTP) by Google Map API with JavaScript in urban, suburban areas. The algorithm includes Travelling Sales Man (TSP) and min- imum spanning tree in order to find minimum distances among FDH, splitters and end users. The cost optimisation is also based on the Gigabit Passive Optical Network (GPON) structure with a 1:32 splitter design to each end user premise. By using Google Map API, each premise will be found following by FTTH deployment to meet NBN requirements. The structure of this project is illustrated in Figure 1. FIGURE 1. Mapping and Optimization1 In the project, the brief background will be provided following by optimisation of construction and algorithms. After implementation of design via Google Map API, the conclusion is presented at the end. i
  • 5.
    TABLE OF CONTENTS Page Listof Figures v 1 Background 1 1.1 Introduction of FTTH Architecture . . . . . . . . . . . . . . . . . . . . . . . . . . . . . 1 1.2 DFN . . . . . . . . . . . . . . . . . . . . . . . . . . . . . . . . . . . . . . . . . . . . . . . 1 1.3 LFN . . . . . . . . . . . . . . . . . . . . . . . . . . . . . . . . . . . . . . . . . . . . . . . 2 1.4 Construction Optimization . . . . . . . . . . . . . . . . . . . . . . . . . . . . . . . . . . 3 2 Optimisation 5 2.1 DFN Optimisation . . . . . . . . . . . . . . . . . . . . . . . . . . . . . . . . . . . . . . . 5 2.2 LFN Optimisation . . . . . . . . . . . . . . . . . . . . . . . . . . . . . . . . . . . . . . . 5 2.3 Conclusion . . . . . . . . . . . . . . . . . . . . . . . . . . . . . . . . . . . . . . . . . . . 6 3 Design 7 3.1 Retrieving Geography Data and Data Pre-processing . . . . . . . . . . . . . . . . . . 7 3.2 Analysis Residency Data(Fibre Access Point) . . . . . . . . . . . . . . . . . . . . . . . 7 3.3 Automatic Layout . . . . . . . . . . . . . . . . . . . . . . . . . . . . . . . . . . . . . . . 8 3.3.1 Suburban Areas . . . . . . . . . . . . . . . . . . . . . . . . . . . . . . . . . . . 9 3.3.2 CBD Areas . . . . . . . . . . . . . . . . . . . . . . . . . . . . . . . . . . . . . . . 10 3.4 Visualisation . . . . . . . . . . . . . . . . . . . . . . . . . . . . . . . . . . . . . . . . . . 10 4 Suburban Area Example 11 4.1 Suburb One . . . . . . . . . . . . . . . . . . . . . . . . . . . . . . . . . . . . . . . . . . . 11 4.1.1 Data Collection . . . . . . . . . . . . . . . . . . . . . . . . . . . . . . . . . . . . 11 4.1.2 Data Processing . . . . . . . . . . . . . . . . . . . . . . . . . . . . . . . . . . . 11 4.1.3 Spanning Tree Layout . . . . . . . . . . . . . . . . . . . . . . . . . . . . . . . . 12 4.2 Suburb Two . . . . . . . . . . . . . . . . . . . . . . . . . . . . . . . . . . . . . . . . . . . 12 4.2.1 Data Collection . . . . . . . . . . . . . . . . . . . . . . . . . . . . . . . . . . . . 12 4.2.2 Data Processing . . . . . . . . . . . . . . . . . . . . . . . . . . . . . . . . . . . 13 4.2.3 Spanning Tree Layout . . . . . . . . . . . . . . . . . . . . . . . . . . . . . . . . 13 iii
  • 6.
    TABLE OF CONTENTS 4.2.4Optimisation . . . . . . . . . . . . . . . . . . . . . . . . . . . . . . . . . . . . . 13 5 CBD Area Example 23 5.1 Data Collection . . . . . . . . . . . . . . . . . . . . . . . . . . . . . . . . . . . . . . . . . 23 5.2 Data Processing . . . . . . . . . . . . . . . . . . . . . . . . . . . . . . . . . . . . . . . . 23 5.3 Visualisation . . . . . . . . . . . . . . . . . . . . . . . . . . . . . . . . . . . . . . . . . . 24 6 Conclusion 27 A Maps Data Retrieving and Processing Program 29 A Suburban Area Layout Program 35 A CBD Area Layout Program 39 A Contribution Table 47 A Gantt Chart for Mapping and Optimization 49 Bibliography 51 iv
  • 7.
    LIST OF FIGURES 1Mapping and Optimization . . . . . . . . . . . . . . . . . . . . . . . . . . . . . . . . . . . . i FIGURE Page 1.1 The passive optical network architecture of FTTH deployment. . . . . . . . . . . . . . . 2 1.2 GPON Standard . . . . . . . . . . . . . . . . . . . . . . . . . . . . . . . . . . . . . . . . . . 2 1.3 FASM with 16 FDAs. . . . . . . . . . . . . . . . . . . . . . . . . . . . . . . . . . . . . . . . 3 1.4 Hierarchical Components in LFN . . . . . . . . . . . . . . . . . . . . . . . . . . . . . . . . 4 1.5 Comparison of 2011-13 Corporate Plan vs. 2012-15 Corporate Plan for the Fibre Network 4 3.1 FlowChart of Addresses Acquiring . . . . . . . . . . . . . . . . . . . . . . . . . . . . . . . 8 3.2 FlowChart of Data Processing . . . . . . . . . . . . . . . . . . . . . . . . . . . . . . . . . . 9 4.1 Original Map in Sub 1 . . . . . . . . . . . . . . . . . . . . . . . . . . . . . . . . . . . . . . 12 4.2 Residential Premises in Sub 1 . . . . . . . . . . . . . . . . . . . . . . . . . . . . . . . . . . 13 4.3 Residential Premises in Sub 1 . . . . . . . . . . . . . . . . . . . . . . . . . . . . . . . . . . 14 4.4 Coordinates of Access Points . . . . . . . . . . . . . . . . . . . . . . . . . . . . . . . . . . . 14 4.5 Distances between Access Points and Exchange Centre. . . . . . . . . . . . . . . . . . . 15 4.6 Distances between Access Points and Exchange Centre. . . . . . . . . . . . . . . . . . . 15 4.7 Spanning Tree Result . . . . . . . . . . . . . . . . . . . . . . . . . . . . . . . . . . . . . . . 16 4.8 Visualisation of Spanning Tree Result . . . . . . . . . . . . . . . . . . . . . . . . . . . . . 16 4.9 Optimisation Result . . . . . . . . . . . . . . . . . . . . . . . . . . . . . . . . . . . . . . . . 17 4.10 Original Map in Sub 2 . . . . . . . . . . . . . . . . . . . . . . . . . . . . . . . . . . . . . . 17 4.11 Residential Premises in Sub 2 . . . . . . . . . . . . . . . . . . . . . . . . . . . . . . . . . . 18 4.12 Residential Premises in Sub 2 . . . . . . . . . . . . . . . . . . . . . . . . . . . . . . . . . . 18 4.13 Coordinates of Access Points . . . . . . . . . . . . . . . . . . . . . . . . . . . . . . . . . . . 19 4.14 Distances between Access Points and Exchange Centre. . . . . . . . . . . . . . . . . . . 19 4.15 Distances between Access Points and Exchange Centre. . . . . . . . . . . . . . . . . . . 20 4.16 Spanning Tree Result . . . . . . . . . . . . . . . . . . . . . . . . . . . . . . . . . . . . . . . 20 4.17 Visualisation of Spanning Tree Result . . . . . . . . . . . . . . . . . . . . . . . . . . . . . 21 4.18 Optimisation Result . . . . . . . . . . . . . . . . . . . . . . . . . . . . . . . . . . . . . . . . 21 5.1 Original Map in CBD . . . . . . . . . . . . . . . . . . . . . . . . . . . . . . . . . . . . . . . 24 v
  • 8.
    LIST OF FIGURES 5.2Commercial Premises in CBD . . . . . . . . . . . . . . . . . . . . . . . . . . . . . . . . . . 25 5.3 TSP Solution . . . . . . . . . . . . . . . . . . . . . . . . . . . . . . . . . . . . . . . . . . . . 25 5.4 TSP Solution . . . . . . . . . . . . . . . . . . . . . . . . . . . . . . . . . . . . . . . . . . . . 26 vi
  • 9.
    CHAPTER 1 BACKGROUND D elivering fibre tothe end user premises dominates 93% of the NBN Co access network[4]. The access network consists of distribution fibre network (DFN) and local fibre net- work(LFN). 1.1 Introduction of FTTH Architecture The project utilises home run architecture of FTTH that dedicated fibres connect each home to the point of presence (POP). A Remote Node (RN) is deployed between the POP and the user’s premises and they do not have any active electronics. A passive splitter at the RN delivers the downstream optical messages from the feeder fibre to the individual distribution fibre. The passive optical network architecture of FTTH deployment is shown in Figure 1.1. The feature is that passive optical splitters distribute the fibre to each end user with splitting ratios 1:32 as GPON architecture in our project. The standard of GPON is summarised in Figure 1.2. This shows that bandwidths bit rates in upstream and downstream are shared by 16, 32, 64 or 128 users depending on the requirements of deployment. According to NBN Co, GPON is the most cost-effective approach for higher downstream bit rates and lower overhead than other PON architectures. 1.2 DFN DFN is used to connect fibre access node(FAN) located at central office and fibre distribution hubs(FDHs) located at the street side cabinets with ribbon fibre core needed between 288 to 864 fibres, but preferred 576[7]. It could be shown in Figure 1.3. Maximum 16 FDHs can be connected to one FAN in the fibre serving area module(FSAM) with loop topology, starting from a FAN site 1
  • 10.
    CHAPTER 1. BACKGROUND FIGURE1.1. The passive optical network architecture of FTTH deployment. FIGURE 1.2. GPON Standard and finishing at the same site. Each FDH located at one fibre distribution area(FDA) can serve 200 premises on average. 1.3 LFN LFN is used to connect FDH and end user premises in start topology with 1:32 passive splitter, or in a P2P topology with direct connection. The underground deployment LFN is composed of local network splice and multi-port located at the pits, which is indicated in Figure 1.4.[3] 2
  • 11.
    1.4. CONSTRUCTION OPTIMIZATION FIGURE1.3. FASM with 16 FDAs.[7] 1.4 Construction Optimization As can be seen from Figure 1.5, the 2012-15 Corporate Plan forecasts a net increase ($1.4 billion and $3.2 billion respectively) in Capital Expenditure and Operating Expenditure during the Fibre Network Construction period to FY2021. And one of the reasons is due to the implications of the Government’s New Developments policy.[9][2] In order to keep undesired growth of expenditure under an acceptable level, strategies must be implemented to optimise the construction cost. For example, optimising the trench paths of drop fibres and allocation of pits following the existing civil infrastructure and network.[1] However, all the methods have to refer to the latest NBN Co Network Design Rules. 3
  • 12.
    FIGURE 1.4. HierarchicalComponents in LFN.[6] FIGURE 1.5. Comparison of 2011-13 Corporate Plan vs. 2012-15 Corporate Plan for the Fibre Network
  • 13.
    CHAPTER 2 OPTIMISATION S ince NBN Codivides access network into two parts, DFN in a loop topology and LFN in a star topology. In this section, two optimisation methods are used to DFN and LFN respectively. 2.1 DFN Optimisation Constraints of the NBN Co DFN network: 1. The distance between FAN and the farthest FDH is 4km 2. Fibre core counts should be between 288 to 864 fibres 3. Maximum 16 FDAs connects to one FAN. The Travelling Salesman Problem(TSP) algorithm is used for DFN optimisation to make the shortest loop between FAN and FDHs, so that the cost mainly on civil work can be saved as much as possible. Branch and Bound algorithm as one of the TSP method is chosen to design the distribution network in this project under the constraints of NBN Co network. 2.2 LFN Optimisation Constraints of the NBN Co LFN network: 1. Fibre core counts between 72 to 288 fibres 2. On average of 200 premises can be served by one FDH 3. Residential users in SDU or MDU should be provided with 1.5 fibres for each premise 4. Commercial MDU should be served by 2 fibres for each premises. 5
  • 14.
    CHAPTER 2. OPTIMISATION MinimumSpanning Tree(MST) algorithm is used to optimise the LFN in suburb. Consider- ing the constraints defined by NBN Co, 20 premises in suburb area are served by one 1:32 splitter to guarantee 1.5 fibres connection. In order to serve 200 end users in one FDA, 18 splitters are needed for splitting cable with 576 core count fibres. MST algorithm is used to connect all splitters with minimum path and avoid loop connection to achieve cost optimisation.[5] 2.3 Conclusion In CBD areas, the premises are usually in demand of high throughput and availability. With the account of incomes resulted from the high population density, the heavy investment in this area could be shouldered by ISP. Therefore, P2P topology is used to connect FAN to CBD and followed by TSP algorithm. While TSP algorithm and MST are implemented for DFN and LFN in suburb respectively.[8] 6
  • 15.
    CHAPTER 3 DESIGN I n this part,the description of coding part and related algorithm are included. This part would be discussed by dividing into four sections: 1. Retrieving geography data; 2. Analysis Residency Data(Fibre Access Point); 3. Automatic Layout; 4. Visualisation. 3.1 Retrieving Geography Data and Data Pre-processing Google Maps is used to acquire the map data, which provides API for developers. For privacy consideration, Google Maps API does not provide the accuracy coordinate for every residential addresses.[13] Therefore, a traversal method to recognise the addresses and acquire their coordi- nates. To be detailed, after an area is selected in the map, a traversal robot would be triggered from the top-left corner to bottom-right corner to test every point. For each point, the robot would request its address information through Google Maps API and recorded it with the correspond coordinate of this point in its database. After all the points in this area have been scanned, the robot would delete the items with the same addresses and calculate the mean coordinates of these addresses. The Figure 3.1 reveals this processing.[10][11] 3.2 Analysis Residency Data(Fibre Access Point) After doing it, these raw data will be processed, and for convenience, all of absolute coordinates to the relative coordinates are transformed. The practical method is setting the top-left corner as (0,0) while the bottom-right corner has a new coordinate of (1600,1600)(As we always require a square area). Then a matrix recorded all the residential places with their relative coordinates is recorded. The Figure 3.2 illustrates the acquiring processes in suburban areas.[12] 7
  • 16.
    CHAPTER 3. DESIGN SelectLocation Range Within Australia? Fetch the Centre Coordinate Read the Square Corner Coordinates Generate 1600*1600 Matrix Fill the Matrix with Coordinates Ask the Address of the nth Element n<1600*1600? Y N The Response Address is Repeated? Record this Group n=n+1 Y Y END N N FIGURE 3.1. FlowChart of Addresses Acquiring 3.3 Automatic Layout According to the different geography characters, this problems could be considered in two cate- gories of circumstances, separately. 8
  • 17.
    3.3. AUTOMATIC LAYOUT Readthe Raw Data Divide the Points into 16 Groups According to Their Coordinates Divide the Points into 16 Groups According to Their Coordinates Divide the nth Small Group into 4*4 Grip n<16? Count which Grid Contains the Most Addresses Set this Point as the Location of Splitter Create a 17*17 2-Dimension Matrix N Record the Splitter Coordinates n=n+1 Calculate the Distances Between Any Two Elements Output Results FIGURE 3.2. FlowChart of Data Processing 3.3.1 Suburban Areas For suburban areas, the destiny of population is not very high and pretty average on distribution. A method of "Central Office + Splitter" is thus adopted. And the layout problem is transformed into a spanning tree optimisation problem. Specifically, the splitter positions are calculated 9
  • 18.
    CHAPTER 3. DESIGN initially.According to the distribution of Users’ Premises, the principle that splitters are always set in the areas where most of the premises locate is adopted. Therefore, we create a two-layers structure to finish this algorithm. The first layer divides the area into 16 small areas which means there would be 16 splitters in this district. Then, a further 16-cells grid would be put over the first layer to identify the location of splitter in this area. 3.3.2 CBD Areas In terms of CBD areas, the subscribers are dominated by business users which require high throughputs and reliability. Consequently, the "Loop Access" method will be utilised as it can provide not only a redundant access guarantee but also improve the bandwidth between local business users. The problem becomes a Travelling Salesman Problem(TSP). 3.4 Visualisation Then the data would be processed again which involves transformation from relative coordinates to absolute coordinates before visualisation. According to the absolute coordinates of linking nodes, the solution is re-drawn on the map. 10
  • 19.
    CHAPTER 4 SUBURBAN AREA EXAMPLE S uburbanareas comprise the majority spaces of Australia. Therefore the discussion of coverage, layout and optimisation work in suburbs is essential. In this chapter, two instances are presented, which one of them is a low-population destiny residential area while the other one is a common community. The explanation of algorithm running with analysis and results would be given step-by-step. 4.1 Suburb One This area is selected randomly where located in the eastern of Melbourne Metropolis.Figure 4.1 is the original map retrieving from Google Maps. 4.1.1 Data Collection Google Maps API is used to collect the geography data for the following analysis. As described before, our program could acquire the addresses of every residential premises in this area. And the raw data is presented in Figure 4.2. 4.1.2 Data Processing Then the Access Point is selected based on these residential premises. Figure 4.3 illustrates the locations of Access Points. Figure 4.4 illustrates the coordinates of Access Points. 11
  • 20.
    CHAPTER 4. SUBURBANAREA EXAMPLE FIGURE 4.1. Original Map in Sub 1 Figure 4.5 and Figure 4.6 illustrate the distances between Access Points and Exchange Centre. 4.1.3 Spanning Tree Layout Then, the Prim Algorithm is used to calculate the minimum spanning tree. The result output is shown in Figure 4.7 and the visualisation result is shown in Figure 4.8. 4.2 Suburb Two This area is selected randomly where located in the northern of Melbourne Metropolis.Figure 4.10 is the original map retrieving from Google Maps. 4.2.1 Data Collection Google Maps API is used to collect the geography data for the following analysis. As described before, our program could acquire the addresses of every residential premises in this area. And the raw data is presented in Figure 4.11. 12
  • 21.
    4.2. SUBURB TWO FIGURE4.2. Residential Premises in Sub 1 4.2.2 Data Processing Then the Access Point is selected based on these residential premises. Figure 4.12 illustrates the locations of Access Points. Figure 4.13 illustrates the coordinates of Access Points. Figure 4.14 and Figure 4.15 illustrate the distances between Access Points and Exchange Centre. 4.2.3 Spanning Tree Layout Then, Prim Algorithm is used to calculate the minimum spanning tree. The result output is shown in Figure 4.16 and the visualisation result is shown in Figure 4.17. 4.2.4 Optimisation 13
  • 22.
    FIGURE 4.3. ResidentialPremises in Sub 1 FIGURE 4.4. Coordinates of Access Points
  • 23.
    4.2. SUBURB TWO FIGURE4.5. Distances between Access Points and Exchange Centre. FIGURE 4.6. Distances between Access Points and Exchange Centre. 15
  • 24.
    CHAPTER 4. SUBURBANAREA EXAMPLE FIGURE 4.7. Spanning Tree Result FIGURE 4.8. Visualisation of Spanning Tree Result 16
  • 25.
    4.2. SUBURB TWO FIGURE4.9. Optimisation Result FIGURE 4.10. Original Map in Sub 2 17
  • 26.
    CHAPTER 4. SUBURBANAREA EXAMPLE FIGURE 4.11. Residential Premises in Sub 2 FIGURE 4.12. Residential Premises in Sub 2 18
  • 27.
    4.2. SUBURB TWO FIGURE4.13. Coordinates of Access Points FIGURE 4.14. Distances between Access Points and Exchange Centre. 19
  • 28.
    CHAPTER 4. SUBURBANAREA EXAMPLE FIGURE 4.15. Distances between Access Points and Exchange Centre. FIGURE 4.16. Spanning Tree Result 20
  • 29.
    4.2. SUBURB TWO FIGURE4.17. Visualisation of Spanning Tree Result FIGURE 4.18. Optimisation Result 21
  • 31.
    CHAPTER 5 CBD AREA EXAMPLE C omparingwith manual method to find optimising trench paths, program in this project helps operators save CAPEX which may include expensive labour cost, save processing time consumed, and avoid human error. The second feature of this project is that the highly reliable program is flexible at other locations under the constraints of NBN Co network design rules. Another important part of this program is that it works with Google Map API to provide friendly visualise result in real scenarios. Because it takes some time to run TSP algorithm for an optimal solution when the number of nodes is too much. However, the program could be optimised with longer developing time. Therefore, the program is expected to be used within a limit number of nodes in CBD and DFN. Being similar to the processing steps of suburban areas, the first step is to retrieve the geography data by Google Maps API.Figure 5.1 is the original map retrieving from Google Maps. 5.1 Data Collection Google Maps API is used to collect the geography data for the following analysis. In CBD areas, the residential addresses are rarely and the commercial premises attract more attention in terms of layout. Figure 5.2 illustrates the location information in CBD Areas. 5.2 Data Processing To build up a network in CBD Area, the loop layout method is adopted as the reliability is put in the priority. Then the layout and optimisation problem is converted to a TSP. The solution of this 23
  • 32.
    CHAPTER 5. CBDAREA EXAMPLE FIGURE 5.1. Original Map in CBD area is shown in Figure 5.3 5.3 Visualisation In the end, the solution would be put back on the maps again to make this solution obviously. 24
  • 33.
    FIGURE 5.2. CommercialPremises in CBD FIGURE 5.3. TSP Solution
  • 34.
    CHAPTER 5. CBDAREA EXAMPLE FIGURE 5.4. TSP Solution 26
  • 35.
    CHAPTER 6 CONCLUSION T he project aimsto propose a FTTH GPON network, covering real nodes (premises) in- cluded CBD and suburban areas under the constraint of NBN Co rules for the deployment by implementing TSP and MST algorithms on Google Map API. Comparing with manual method to find optimising trench paths, program in this project helps operators save CAPEX which may include expensive labour cost, save processing time consumed, and avoid human error. The second feature of this project is that the highly reliable program is flexible at other locations under the constraints of NBN Co network design rules. Another important part of this program is that it works with Google Map API to provide friendly visualise result in real scenarios. Because it takes some time to run TSP algorithm for an optimal solution when the number of nodes is too much. However, the program could be optimised with longer developing time. Therefore, the program is expected to be used within a limit number of nodes in CBD and DFN. 27
  • 37.
    APPENDIX A MAPS DATA RETRIEVINGAND PROCESSING PROGRAM T his is the source code of Maps Data Retrieving and Processing Program. The aim of this program is retrieve the geography data from selected area and analysis the premises in this area. This program is coded in HTML+JavaScript. The input is coordinates of a certain area which the operator could drag the rectangle selector in the webpage to select. The output is a matrix recorded all the addresses coordinates in a relative distance.(i.e. The maximum coordinates in the area is 1600£1600.) 29
  • 38.
    APPENDIX A. MAPSDATA RETRIEVING AND PROCESSING PROGRAM 30
  • 39.
  • 41.
  • 43.
    APPENDIX A SUBURBAN AREA LAYOUTPROGRAM T his is the source code of Suburban Area Layout Program in Matlab programming lan- guage. The aim of this program is to read the geography data from the output of Program 1 and give the layout solution. The input is the coordinates matrix which is generated from Program 1. Then the input area would be divided into 16 areas. According to the destiny of population, the optimum splitter would be selected and put in a spot which is the distance between them is calculated and recorded then. After that, the layout problem has been converted into a spanning tree problem and the solution would be given to generate the minimum spanning tree. 35
  • 45.
  • 47.
    APPENDIX A CBD AREA LAYOUTPROGRAM T his is the source code of CBD Area Layout Program in Matlab programming language. The aim of this program is to read the geography data from the output of Program 1 and give the layout solution. The input is the coordinates matrix which is generated from Program 1. Then the mutual dis- tances of all the commercial addresses would be calculated and recorded. As the requirement of a loop structure, the TSP solution would be implemented and the final result would be given. 39
  • 48.
    APPENDIX A. CBDAREA LAYOUT PROGRAM 40
  • 49.
  • 50.
    APPENDIX A. CBDAREA LAYOUT PROGRAM 42
  • 51.
  • 52.
    APPENDIX A. CBDAREA LAYOUT PROGRAM 44
  • 53.
  • 55.
  • 57.
    APPENDIX A GANTT CHART FORMAPPING AND OPTIMIZATION 49
  • 59.
    BIBLIOGRAPHY [1] Fiber tothe home primers(august 2013 premier). [2] Fiber to the home(what fiber can do for australia). [3] National broadband network a user’s perspective. [4] Nbn co.,network design rule, 19th December 2011. [5] Nbn co.,corporate plan, 2012-2015. [6] Nbn co.,nbn co new development: Deployment of the nbn, 9th July 2013. [7] Nbn co.,network design rule, 1st July 2014. [8] S. AZODOLMOLKY AND I. TOMKOS, A techno-economic study for active ethernet ftth deploy- ments., Journal of Telecommunications Management, 1 (2008), pp. 294 – 310. [9] N. CO., The australian national broadband network: New opportunities, new challenges. [10] D. GOSNELL, Professional Web APIs [electronic resource] : Google, eBay, Amazon.com, MapPoint, FedEx / Denise Gosnell., Indianapolis, Ind. ; [Great Britain] : Wiley, c2005., 2005. [11] G. SVENNERBERG, Beginning Google Maps API 3 [electronic resource] / Gabriel Svenner- berg., Expert’s voice in Web development, [New York] : Apress, c2010., 2010. [12] T. R. WEISS, Google developers get revamped google api console to manage apis., eWeek, (2013), p. 6. [13] Z. YING, Introducing google chart tools and google maps api in data visualization courses., IEEE Computer Graphics and Applications, (2012), p. 6. 51