1
NEBOSH UNIT-IA Questions Matrix
S# - UNIT -
S. #
Questions
Dates
Element IA 1 : PRINCIPLE OF HEALTH AND SAFETY MANAGEMENT
01-IA1-01
RRC-IA1-
LAQ2
An organization is proposing to move from a health and safety management system based on the ILO OHS
2001 model to one that aligns itself with BS OHSAS 18001.
Outline the possible advantages AND disadvantages of such a change. (10)
Advantages includes:
- The move from ILO OHS 2001 model to BS OHSAS 18001 would facilitate easier integration with BS EN
ISO 14001 and ISO 9001:2000 to produce an integrated management system
- Publicity value;
- Improved customer perception;
- International recognition; a clearer standard for benchmarking and commitment to continual improvement.
- External registration and independent external assessment would be available and that a more
prescriptive system is easier to assess.
Examples of possible Disadvantages could have included
- The models like ILO OSH 2001 is the system recognized and used by the regulator and they are likely to
audit an organisation against this standard, as much of the published guidance is often directly linked to
the model.
- The direct on-costs of changing a system;
- How time consuming the model can be;
- The cost of external registration;
- The likelihood of increased paper work to satisfy assessors and the fact that the model may be too
sophisticated for small to medium sized enterprises.
- Additionally, since the 18001 system is often used alongside the other ISO standards of 9001 and 14001,
there is a possibility that those auditing it may not be health and safety specialists.
Q3. Jul 2012
Q1. Jul 2009
02-IA1-02
RRC-IA1-
SAQ02
(a) An extract from a company annual report is given below.
Comment critically on the suitability of the content in providing information to the stakeholders. (5)
„The company has done much better at health and safety in the last year compared to previous years.
In 2008 there were 170 accidents that required first-aid treatment compared to 180 in 2007, 185 in 2006 and
240 in 2005.
This significant reduction is due to our new health and safety manager and a reduction in staff numbers from
1500 in 2005 to 1400 in 2006 and 1300 in 2007 to 900 in 2008, which also helps reduce business costs.
Fatalities were also reduced from 11 in 2007 to 4 in 2008, a significant decrease.‟ The management team is
Q2. Jul 2012
2
confident of further reductions in 2009.
(b) Calculate the non-fatal accident incidence rates AND comment on the findings. (5)
Ans a
- The report showed no commitment to health and safety;
- There was no recognition of proactive and reactive management;
- The data was shown in an unclear way and could be improved by using graphical
representation; and
- There was no remorse shown in the fatality comments.
b
Year No of accident Avg Employees non-fatal accident incidence rates
2008 170 900 1888
2007 180 1300 1384
2006 185 1400 1321
2005 240 1500 1600
Accident incident rate = (No. of accident / AVG number employee) x 10, 000.
Once the Accident – incident rates are calculated the actual performances are revealed. Here
accident numbers decrease but the ratios / rates increase.
Since the raw accident data may give the impression that safety performance is actually improving.
But the reality may be the contrary.
Therefore, the annual reports must not show the raw accident data instead the accident – incident
rates or booths should be written for the better understanding of the readers.
NEBOSH Examiners reports says - It was generally well answered, although it did identify
candidates who did not know how to calculate the rates.
3
03-IA1-03 You are preparing a detailed report intended to persuade senior management to make resources available for
the management of health and safety.
Outline reasons for managing health and safety that you would include in the report. (20)
the legal, moral and financial reasons, refer 05-IA1-05
Q7. Jul 2012
04-IA1-04 a) Outline the purpose of the ‘organization’ and ‘arrangements’ sections of a health and safety policy. (4)
b) Outline why it is important that all workers are aware of their roles and responsibilities for health and
safety in an organization. (8)
c) Identify the issues that could be included in the ‘arrangements’ section of an organization’s health and
safety policy giving an example in EACH case. (8)
(a) The purpose of the organization section of a health and safety policy is
 To identify health and safety responsibilities within the company and ensure effective delegation
and reporting lines.
 To set out in detail the specific systems and procedures that aim to assist in the implementation of
the general policy
(b) Making all persons in an organization aware of their roles for health and safety will
 Assist in defining their individual responsibilities and will indicate the commitment and leadership of
senior management.
 A clear delegation of duties will assist in sharing out the health and safety workload, will ensure
contributions from different levels and jobs, will help to set up clear lines of reporting and
communication
 Assist in defining individual competencies and training needs particularly for specific roles such as
first aid and fire.
 Increase their motivation and help to improve morale throughout the organization.
(c) Safe systems of work
 Such as permit to work procedures;
 Arrangements for carrying out risk assessments;
 Controlling exposure to specific hazards for example noise, radiation and manual handling;
 Monitoring standards of health and safety in the organisation by means of safety tours,
inspections and audits;
 The use of personal protective equipment such as harnesses and RPE;
 Arrangements for reporting accidents and unsafe conditions;
 Procedures for controlling and supervising contractors and visitors;
Q7 Jan 2010
4
 Arrangements for maintenance whether routine or planned preventative;
 Welfare arrangements such as the provision of washing facilities; procedures for dealing with
emergencies such as fire, flooding and bomb threats; the provision of safety training;
 Arrangements for consultation with the workforce through safety representatives or safety
committees; and
 Environmental control including noise monitoring and the disposal of waste.
05-IA1-05
RRC – IA 1
– LAQ3
A financial review within your organisation has resulted in a proposal to the Board of Directors to cut its
health and safety budget and to cancel a capital project that was designed to lead to significant
improvements in the working environment.
WRITE a report to the Board giving reasons why the proposal should be rejected.
[20 – June 2000 National, Jul 2008]
There are legal, moral and economic benefits for maintaining good standard by investing in health and safety
by the organisation.
Such investments would also result in compliance with legal requirements and avoidance of legal action
particularly in view of the possible liability of directors and /or managers
The investment in improving the working environment would also indicate the organisation’s commitment to
health and safety and would have a beneficial effect on the morale of the workforce which could lead to an
improvement in productivity, efficiency, quality and employment relations.
On the other hand, the potential costs to the organisation of a decision to reduce the health and safety budget
would include those normally associated with an accident involving
 Injury and / or plant failure or fire such as
 The interruption to normal production and product damage
 The cost of replacement labour and equipments
 The cost associated with a criminal prosecution
 Potential increase in insurance premium
 Damage of organisation reputation
 Lose of public confidence which in turn could affect the demand of its product
Therefore the budget should not be reduced.
Or…RRC.
This report has been prepared following the proposal to the board to cut the health and safety budget and
cancel the health and safety capital project.
The report will argue for the rejection of this proposal based on three basic principles –
- The sound economic argument – that underpins good health and safety management within this
Q10. Jul 2008
[20 – June
2000
National, Jul
2008]
5
organisation
- The legal implications of failing to manage H&S effectively
- The moral imperative
The Economic Argument: H&S failings cost money. They can cost a lot of money. While it is true that putting
good H&S standards in place also costs money, but the costs associated with failures far outweighs those
costs. There are two ways in which this organisation may fail to ensure H&S.
- One is a failure to ensure safety, which leads to accidents.
- The other is to failure to ensure health, leading ill-health, sickness and chronic diseases.
Both have direct costs associated with them for example – a work place accident leads to
- Production downtime
- Damage to equipment, plant and premises – needs to be repaired
- Loss of product – must be remade, incurs over time or additional labor costs
- Person who got injury – remain absent from the work place, they are paid full salary during these absence
- Deployment of temporary labor to cover their (injured) job, if this is not suitable then other workers have to
pick up the work for their absent co-workers which leads to over-working, fatigue, stress increasing the
likelihood of human error.
The above mentioned costs are quite apparent and countable but there some more costs which are non-
discoverable in nature. Such costs are unrecoverable too, for example –
- If the industrial relations are severely damaged by a workplace accident that reflects in poor productivity,
higher absence rates and reduced efficiency, but how could that be exactly costed out?
- If bad publicity were to result from a workplace accident that might have direct effects on our customers
willingness to do business with us.
- Loss of reputation due to poor accident statistics will result in facing difficulties to regain the Trusts of
customers to get another jobs
These costs are very significant and would be difficult to quantify and discover.
Now the other failure that is ill-health, which often results from poor working conditions and poor working
environments. Such ill-health leading Workplace absence may be severe enough to warrant dismissal on
medical grounds. Studies which have analysed workplaces looking for the costs associated with
workplace accidents suggests that the uninsured losses to an organisation are greater than insured losses
by a factor of 8X as a minimum.
In other words our insurance company cannot be approached to fund the vast majority of losses that we incur
when we injure people at work or make them sick. We fund those losses ourselves.
The Legal arguments: there are legal standards that we must comply with and failure to comply can lead to
- Enforcement action being taken against us in form of legally binding notices that require us to carry out
such improvements or to stop certain activities.
6
- Such enforcement always carries with its costs associated with
o Carrying out the improvement to the enforcement officer’s timescale or
o Stopping an activity that we find to be financially beneficial.
- In other instances, failure to achieve legal compliances may results in prosecutions
- Payment of huge prosecution legal fees in mounting a defence in event of the case being lost
- In addition, injure a worker or cause ill health and we may well sued by injured party. THESE cases may
results in
o Payment of compensation to injured victims
- Increased premium costs - Though this compensation money may paid by insurers in first instance, it
invariably leads to higher insurance premium in the short and long term as the insurance company
attempts to claw back their losses from us
The Moral Arguments:
We have a clear policy obligation to our staff to ensure their on-going health, safety and welfare. That has
been made clear in the statement of intent signed by our managing director as head line of our health and
safety policy. Aside from above two kind of arguments, we must also consider the huge personal impact of
accidents and ill-health that can do occur as result of our H&S standards.
One worker may be injured or made ill but tha one person has a family and love ones, they have friends
and colleagues. The impacts of serious accident or case of ill health have very wide ranging implications.
We must reflect on our own personal values and decide whether we would wish to see the unpleasant and
sometime tragic consequences of poor H&S standards occurring in our organisation.
In conclusion I would state that cutbacks cannot be made to the H&S budget, nor to capital project, on the basis
of three arguments described above. We owe it to ourselves, to our workforce and to our shareholders to retain
our H&S budgets so that we are the best able to avoid the losses that workplace accidents and ill-health might
cause.
06-IA1-06
RRC – IA 1
– SAQ3
OUTLINE the way in which a health and safety practitioner could evaluate and develop their own competence
whilst working in an advisory role
[10 – Jan 2009]
H&S practitioners might evaluate their own practice in a number of ways including
 Measuring the effect of changes and developments they have introduced and implemented in their
organisation.
 By setting personal objectives and targets and assessing their performance against them
 By reviewing failure or unsuccessful attempts to produce change
 By benchmarking their practice against that of other practitioners (who are in similar role) and
 By benchmarking against good practice and case studies or information
 By seeking advice from other competent professionals.
 By seeking feedback from others such as clients, their bosses, colleagues as a part of the annual
Q2 Jan 2011
Q1. Jan 2009
7
appraisal of their performance by senior management.
They may also develop their practice through
 Work Appraisal Scheme - by agreeing a Personal Development plan with their manager means a
scheme of training and experience building that will enable them to perform better. This might include
non HSE related topics too – such as
o Management skills, interview skills, IT skills etc
 Participating in CPD (continual professional development) schemes. Such as that operated by IOSH will
enhance performance.
 Expanding their core knowledge and competence in obtaining a recognised professional qualification –
such as Undertaking academic qualifications – NEBOSH Diploma
 Background reading and periodicals , etc, also provides an opportunity to increase knowledge and
understanding.
 Keeping up to date by undertaking training in relevant areas
 Ensuring they have access to suitable information sources
 By networking with their peers at safety groups (www.buildsafeuae.com) and conferences
 By seeking advice from other competent practitioners and consultants
07-IA1-07 EXPLAIN the benefits of:
a. an integrated health and safety, environment, and quality management system;
b. separate health and safety, environment, and quality management system;
OR
Q. A multi-site business in the UK has a quality management system compliant with ISO9001:2000. It also
has a health and safety management system and an environmental management system that operate
independently. The Board of Directors is now considering the possibility of developing an integrated
management system encompassing all three elements. In order that a decision can be made objectively,
prepare a brief for the Board that outlines the key potential benefits of:-
(i) An integrated management system
(ii) retaining the existing system of separate management systems
a. The benefits of an integrated management system includes
 Reduced documentation and Promotion of a single system to reduce resources to manage the
system
 More efficient system – removes duplication;
 It lower the cost through the avoidance of duplication in work standards, procedures and systems of
work, record keeping, compliance auditing and software areas
 Consistency of formats
 Easier to prioritise on key issues - More concise reporting structure
 Avoiding conflicts and narrow decision making that solves a problem in one area but creates a
problem in another;
 Encouraging priorities and resource utilisation that reflect the overall needs of the organisation rather
Q7. Jan 2013
Q9. Jan 2012
Q11. Jan 2009
June 2004
July 2005
8
than an individual discipline
 Applying the benefits from good initiatives in one area to other areas
 Encouraging closer working and equal influence amongst specialists
 Encouraging the spread of a positive culture across all three disciplines
 Providing scope for the integration of other risk areas such as security or product safety
b. Benefits of retaining separate systems or Formal management systems includes
 Providing a more flexible approach tailored to business needs in term of system complexity and
operating philosophy – for example safety standards must meet minimum legal requirements
whereas quality standards can be set internally.
 Separate system might be clearer for external stakeholders or regulators to understand and work
with.
 It promotes clear management structure delegating authorities and responsibilities.
 It promotes continues identification of legal and other requirements
 It encourages more detailed and focused approach for auditing the standards.
 It has clear set of objectives for improvement, with measurable results
 A structured approach to risk assessment within the organisation
It allows close monitoring of all the systems, auditing of performance and review of policies and objectives.
08-IA1-08 DESCRIBE using appropriate example, the possible functions of health and safety practitioner within a medium
sized organisation.
[20 – Jan 2008]
The functions of a health and safety practitioner in medium sized organisation are as below:
 Helping to develop, implement and revise health and safety policies
 Giving advice on risk in work place and appropriate control measures to be adopted
 Drawing up procedures for vetting the design and commissioning of new plant and machinery
 Assisting management in setting performance standards Carry out proactive and reactive monitoring
 Advising management on the requirements of health and safety legislation
 Organising and reviewing emergency procedures
 Promoting positive health and safety culture within the organisation
 Investigating accidents and case of ill health
 Accident analysis and maintaining safety statistics
 Carry out or assisting safety audit of the health and safety management system
 Liaising with enforcement authority and maintaining health and safety information system
 Preparation of training requirements and organising training sessions to employees
Q6 July 2011
Q7 July 2010
Q10. Jan 2008
09-IA1-09 (a) Outline the concept of the organisation as a system. (4)
(b) Identify suitable risk controls at EACH point within the system AND give an example in EACH case. (6)
(a)
Just as a system is comprised of a number of interlinked components so might an organization,
Q1 Jul 2010
9
 The components which could be identified as inputs, such as design, procurement, recruitment of
personnel, and information; processes for example operations both routine and non-routine, plant and
maintenance and
 Outputs such as products, packaging and transport.
 The system as a whole – the organisation – would need to interact with the environment in responding
to matters such as the current markets and client needs and would need to be subjected to monitoring
procedures and react to any changes found to be necessary.
(b), an identification of the risk controls for each component was necessary.
 For inputs, this would involve controlling the quality of physical resources such as
o Managing the supply chain and
o Ensuring conformance with set standards;
 Human resources by adopting strict recruitment standards designed to
o Ensure competence in those who were invited to join the organization and
o Information by ensuring it is always up to date, relevant and comprehensible.
 Control of the process and work activities would be concerned with the premises, plant, procedures and
people and would, by the use of risk assessment,
 Involve the application of hierarchical measures such as risk avoidance, risk reduction, risk transfer, risk
retention and behavior safety.
 The control of outputs would be concerned with products and services and would address matters such
as waste management, product liability insurance, contractual obligations and customer aftercare.
RRC-IA1-
LAQ01
Explain the purpose and key feature of each stage of the safety management model described in the HSE
documents ‘successful health and safety management (HSG65). 20 marks
RRC-IA1-
SAQ01
OUTLINE the difficulties that organizations face in trying to ascertain the True cost of accidents and incidents
10m
Explain how the principles of corporate governance would support good safety management in an organization
10m
10
RRC-IA1-
SAQ02
A company’s annual report for 2002 includes the following section on health and safety
“The year 2002 produced the lowest lost time accident frequency rate, at 2.1, for the last five years (compared
with 3.3 in 2001
3.6 in 2000
2.4 in 1999
2.2 in 1998
The relocation of teeside works during the year led to some significant improvement in working condition on that
site has facilitated the successful implementation of OHSAS 18001. The major cause of accidents across the
company in 2002 was slips, trips and falls (39%), followed by manual handling (21%) and contact with moving
or stationary objects (15%).
With reference to both the style and content of the section provide notes to suggest how the annual summary of
health and safety performance might have been improved.
 The style of annual report is abrupt, reactive and riddle with technical jargon.
 There is no topic, headlines for the proactive success – for example the successful implementation of
OHSAS 18001 should be presented as headlines “news and Major Achievement of the year”.
 The report focuses on reactive data and therefore is concerned for negative performance.
 Little information on proactive performance.
 Overall the report is Dry and uninteresting, it fails to hold the readers attention or clearly communicate
the message.
 In term of contents the report deals with several sets of numeric data in a very dry way. This data have
been presented in the form of graph. Perhaps a line graph of bar chart for historic data on rates and piw
chart for accident cause data.
 There is also a lack of interpretation or explanation of this data. It is left to the reader to make their
minds if this data shows an improvement or not. Any rates used should also be explained to the reader.
 There would also appear to be missing content in the report, for ex
o There is no mention of occupational health issue;
o There is no comment about initiative taken during the year;
o Comparison against set targets and industry sectors.
END OF UNIT 1
11
Element IA2 LOSS CAUSATION AND INCIDENT INVESTIGATION
10-IA2-01
RRC-IA2 –
SAQ02
The accident rate of two companies is different although they have the same size workforce and produce
identical products.
Outline possible reasons for this difference. (10)
The possible Reason can be categorized in Two section:
a) Artificial Reason – reporting culture, rate calculation
b) Real Reasons – lay out, maintenance, workers, trainings, hours and shifts
- Variation in the level of accident reporting – this might result from different safety culture and different
reporting systems and recording accidents, so the accident rate in reality be very similar, but reporting
rates are not.
- Differences in the way that accident rates are calculated; leading two different sets of accident rates
from sets of similar raw data
- There could be management issues such as a difference in the level of commitment;
- Policies and procedures such as monitoring may be different and that disciplinary procedures for non-
compliance by workers may vary.
- Differences in workplace layout, resulting in higher rate of accidents at one site than another.
- Difference in selection, age and type of the equipment used; again resulting in higher accident rates.
- Difference in the nature of workers recruited into each workplace (staff selection) perhaps coupled with
difference in staff retention rates (turnover); this may result in less well qualified, less adept staff, working
at one site for shorter periods of time while better qualified staff, with higher ability, works at second site
for longer period of time.
- Human resource issues such as the selection, training and competence of the workforce together with a
possible
- Training and competence of workforce in each workplace may vary depending on the amount of
training conducted and the effectiveness of those trainings.
- Difference in the companies’ level of communication and consultation with the staff; such that one
workplace can respond quickly to issues raised, while the other cannot.
- Risk control issues such as the adequacy of risk assessments and the associated control measures, the
existence of safe systems of work and procedures for the use and maintenance of personal protective
equipment;
- Straightforward variations in production volumes and the rates and the numbers of hours worked at
each of the two companies. Longer hours and busier workplaces give rise to higher number of incidents,
which may not be factored in the accident rates.
- Issues connected with production such as piece work and the winning of bonus payments which could
lead to the taking of risks; and
- Different work patterns and shift system / out turn system at the two sites may result in difference in
Q1. Jan 2012
Q1. Jan 2010
12
worker fatigue. Tired workers who are changing their shift patter frequently and working long hours have
more accidents.
- Cultural Issues such as the attitude, motivation and behavior of individuals and the effect that peer
pressure might have on health and safety culture within the organization.
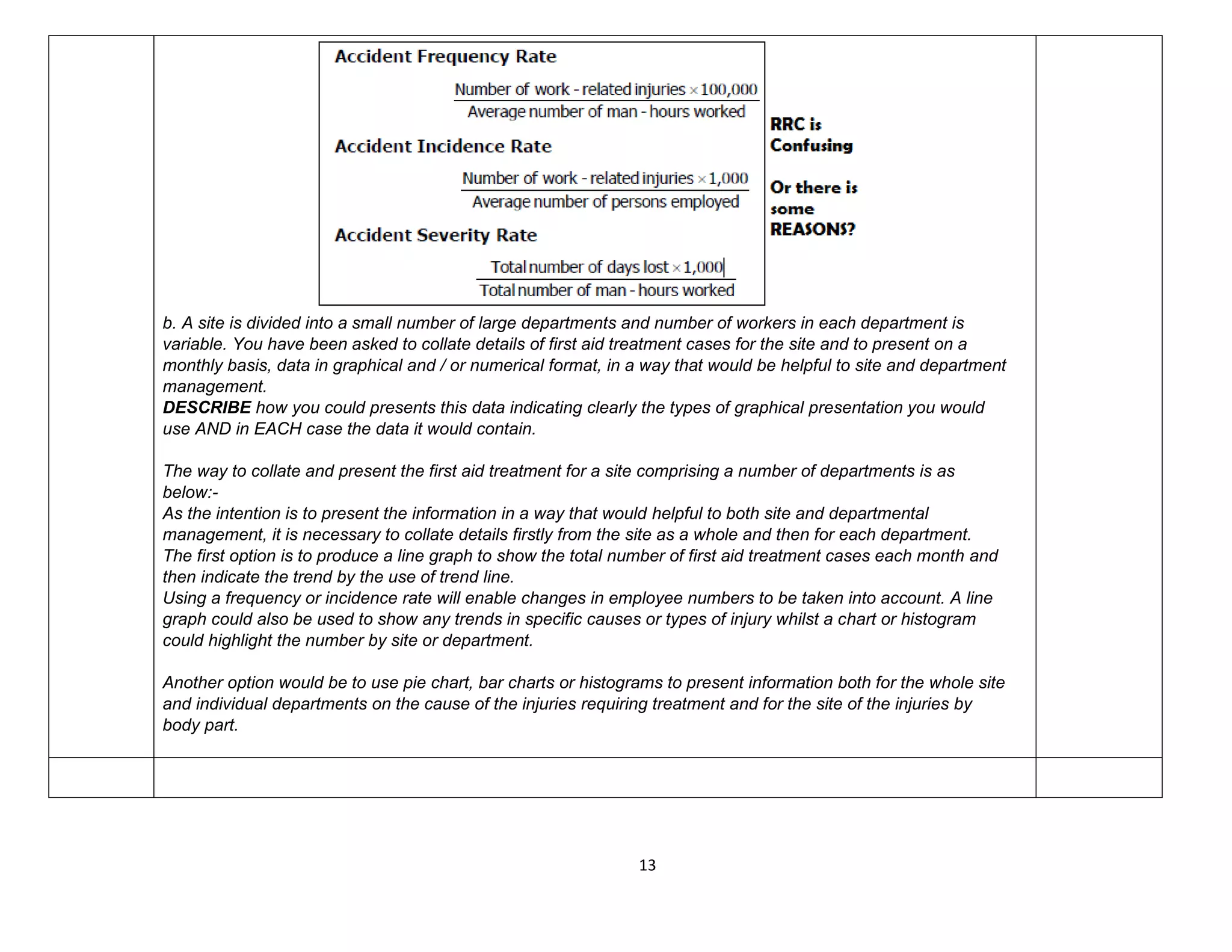
11-IA2-02 a. EXPLAIN the difference between accident incident rate and accident frequency rate. [2]
An accident incident rate is calculated by dividing the number of accidents occurring over a period of time by
the average number of person employed during the period with the result being multiplied by 10, 000.
Accident incident rate = (No. of accident / AVG number employee) x 10, 000.
An accident frequency rate is calculated by dividing the number of accident occurring during a period by total
hours worked during the period and multiplying the result by 1000,000.
Accident frequency rate = (No. of accident / Total man Hrs worked) x 1000,000
Important Info (only)
number of accidents in the period
____________________________________________ X 10,000
Average number employed during the period
SHEillds emma’s opinion
There are many different multiplier that can be used - the HSE use different ones than the ILO, the USA uses different
ones from both these - small companies uses lower numbers to keep the figures in line with the size of the company to
make it easier to do the calculations and make them more relevant.
As long as you use the same multiplier in your company each time then the results will be comparable.
Accident Severity Rate = (total Man Day Lost / Total man hrs worked)1000,000
Q6. Jan 2013
Q2. Jul 2008
13
b. A site is divided into a small number of large departments and number of workers in each department is
variable. You have been asked to collate details of first aid treatment cases for the site and to present on a
monthly basis, data in graphical and / or numerical format, in a way that would be helpful to site and department
management.
DESCRIBE how you could presents this data indicating clearly the types of graphical presentation you would
use AND in EACH case the data it would contain.
The way to collate and present the first aid treatment for a site comprising a number of departments is as
below:-
As the intention is to present the information in a way that would helpful to both site and departmental
management, it is necessary to collate details firstly from the site as a whole and then for each department.
The first option is to produce a line graph to show the total number of first aid treatment cases each month and
then indicate the trend by the use of trend line.
Using a frequency or incidence rate will enable changes in employee numbers to be taken into account. A line
graph could also be used to show any trends in specific causes or types of injury whilst a chart or histogram
could highlight the number by site or department.
Another option would be to use pie chart, bar charts or histograms to present information both for the whole site
and individual departments on the cause of the injuries requiring treatment and for the site of the injuries by
body part.
14
12-IA2-03 A chemical reaction vessel is partially filled with a mixture of highly flammable liquids. It is possible that the
vessel headspace may contain a concentration of vapour which, in the presence of sufficient oxygen, is capable
of being ignited. A powder is then automatically fed into this vessel.
Adding the powder may sometimes cause an electrostatic spark to occur with enough energy to ignite any
flammable vapour. There is concern that there may be an ignition during addition of the powder.
To reduce the risk of ignition, an inert gas blanket system is used within the vessel headspace designed to keep
oxygen below levels required to support combustion. In addition, a sensor system is used to monitor
vessel oxygen levels. Either system may fail. If the inert gas blanketing system and the oxygen sensor fail
simultaneously, oxygen levels can be high enough to support combustion.
Probability and frequency data for this system are given below.
(a) Draw a simple fault tree AND using the above data calculate the frequency of an ignition.(16)
(b) Describe, with justification, TWO plant OR process modifications that you would recommend to reduce
the risk of an ignition in the vessel headspace. (4)
ANS a.
Q8 July 2011
Q7. July 2008
15
ANS b: The two modifications can be.
 Replacement of power feed with a slurry in conducting liquid
 Selecting and using materials with higher flashpoint to minimise the probability of a flammable
atmosphere
 Redesigning the nitrogen blanketing system to improve reliability
13-IA2-04 Below is an extract from an incident investigation report form.
XYZ LTD. INCIDENT INVESTIGATION
Q8. July 2009
Q9. July 2008
16
17
A) EVALUATE the report in the term of its suitability to provide adequate information for record keeping
purposes and for subsequent statistical analysis.
[10– July 2008]
To evaluate the suitability it is required to know the deficiencies in the incident investigation report.
The report is incomplete as it provided no information on
 The time of the incident
 The type of first aid that was given
 The precise action taken to prevent a recurrence
It is vague in its description of the injury actually received, of the treatment given at the hospital, of the actual
circumstances which caused the punch to fall and thus immediate and underlying causes of the incidents.
The report is inconsistent as
 It failed to provide information on the details and findings of the investigation
 Inappropriate nature of recommendation given
 Identification of the injured person with different names being used
Additionally, it was perhaps unnecessary to name the injured person as a witness of the incident in the
absence of any other witnesses.
B) With reference to a suitable model (HSG 245, investigating accidents and incidents) OUTLINE the key
stages in health and safety incident investigations.
[10– July 2008]
The key stages of incident investigations
 Gathering all relevant information to establish exactly what had happened including the location and
time of the incident and the persons who might have been affected.
 Visual inspection of the location
 Interviewing witnesses
 Reviewing relevant documentations
Once all the information had been gathered, it would be necessary to analyse it by making use of FTA or a
similar tool, to establish the immediate and underlying cause of incident.
This would then enable the investigators to identify the appropriate risk control measures to prevent a
recurrence of similar incident.
The final stage would be to produce an action plan, setting out objective to be achieved, clearly identifying
responsibilities for their completion and maintaining record of the progress being made.
14-IA2-05 A large warehousing and distribution facility uses contractors for many of its maintenance activities.
Contractors make up approximately 5% of the total workforce but an analysis of the accident statistics for the
previous two years has shown that accidents to contractor personnel, or arising from work undertaken by
Q9. Jul 2009
18
contractors, account for 20% of the lost-time accidents on site.
(a) Assuming that the accident statistics are correctly recorded, outline possible reasons for the
disproportionate number of accidents involving contract work. (6)
(b) Describe the organisational and procedural measures that should be in place to provide effective control of
the risks from contract work. (14)
b.Issues that could have been covered to outline the reasons behind disproportionate number of accidents
associated with work by contractors.
- Those related to the nature of the work – for instance, maintenance work might be more complex,
higher risk, harder to control satisfactorily and with fewer well-established work methods than other
warehousing and distribution activities;
- A lack of established procedures and training for the management of third parties including
inadequate contractor selection and
- The provision of information from the client to contract workers;
- Poor planning and risk assessment and
- Poor communication and coordination between the parties affected by the contract work;
- Inadequate supervision of contractor workers either by the client or by the contractor;
- Staff turnover and a lack of contract worker competence and the
- Effect of contractual or financial pressures on the contractor.
c. A description of the key organisational and procedural measures required to minimise the risks
associated with contract work. Measures that could have been described include:
- The selection of a competent Contractor by obtaining evidence of past performance, Safety
Management
Arrangements, the adequacy of resources and risk control proposals;
- The provision of adequate information to the contractor prior to the work starting, on the nature of
the work to be carried out and the known hazards and site safety rules with an induction briefing to be
given to all contract personnel before admittance to site;
- The preparation of job specific risk assessments and method statements;
- The appointment of a client representative with contractor management responsibility including
communication arrangements; and
- The introduction of arrangements for coordinating and reviewing risk assessments and method
statements, for active and reactive monitoring of performance and for job completion and hand over
including a safety performance review.
Candidates who chose to answer this question were able to demonstrate a reasonable understanding
of the issues of contract work although there were a few omissions including reference to the
procedural measure in relation to handover and the completion of a safety performance review.
19
15-IA2-06
RRC–IA02–
SAQ-1
DESCRIBE the requirements of an interview process that would help to obtain from witnesses the best
quality of information relating to a workplace accident.
[10 – Jan 2009]
The interview must be conducted as soon as possible after the event though it may be necessary to postpone
the interview if the witness is injured or in shock;
To obtain the best quality of information from witness by
 Interview as soon as possible after the event – injury / shock make this difficult
 Providing a suitable environment for the interview, where the witness can be put at ease.
 Putting the witness at ease – witness may be reluctant to discuss the accident particularly if they think
that someone will get in trouble
 Interviewing only one witness at a time, with the interviewer – taking time to establish good relation.
 Explaining the purpose of interview (that it is fact finding process only) and the need to record it.
 Using an appropriate questioning technique to establish key facts and avoiding leading questions (such
as Why was the forklift operator driving recklessly) rather asking open-ended questions like what did you
see? What happened?
 Not making suggestion – if the witness is stumble over a word or concept, do not help them out.
 Taking care to stress the preventive purpose of the investigation rather than the apportioning of blame
 Using appropriate sketches or photographs to help with the interview
 Listening to the witness without interruptions and allowing sufficient time to give their answers
 Adjusting language to suit the witness
 Summarising and checking agreement at the end of the interview
 Establishing a good report by getting written signed statement from the witness
 Asking the witness for recommendations to prevent recurrence
Q2. Jan 2009
16-IA2-07
(a)Giving reasons in EACH case, identify FIVE persons` who could be interviewed to provide information for an
investigation into a workplace accident. (5)
(b)Outline the issues to consider when preparing the accident investigation interviews for workers from within
the organisation. (5)
(a) Five persons who could be interviewed and would be able to provide information for the investigation of a
Workplace accident. They were also expected to give reasons for their choice. They could have chosen from
potential interviewees such as
- The injured person who would be able to relate what happened;
- An eye witness or the first person on the scene who might have observed what happened;
- The first aid person who attended to the injured party at the scene of the accident with respect to the
injuries received;
- The injured person’s manager and/or supervisor who would have knowledge of the process
Q1 Jan 2011
20
involved, the existing safe systems of work, the procedures that should have been followed and the
training and instruction that had been given to the victim;
- A technical expert with specialist knowledge of the process or machine involved;
- A Trade Union representative who would have knowledge of any previous complaints or incidents
associated with the machine or process; and
- The safety advisor who would be fully briefed on the systems of work that should have been followed
and any possible breaches of the legislation.
(b), One of the important issues to be considered would be the need to
- Carry out the investigation interviews as soon as possible after the event though it may be
necessary to postpone the process if the witness is injured or in shock.
- A suitable date would have to be provided taking into account the availability of the people to be
called since shift patterns might have a part to play.
- That done, the next step would be to identify the interviewers, to consider where the interviews
would be held and how they would be recorded whether by tape recorder, by dictaphone or hand
written and to gather together any relevant documentation such as risk assessments or training
records.
- It would also be important to bear in mind the requirements of employment law and trade union issues
such as employee rights, the right to be accompanied or to have legal representation.
- Finally consideration would have to be given to the format and distribution of the final accident report
and how the information gathered might be used to introduce measures to prevent a recurrence or as
a possible defence in any possible prosecution or civil law suit.
17-IA2-08
RRC –IA2–
LAQ - 02
A forklift truck is used to move loaded pallets in a large distribution warehouse. On one particular occasion the
truck skidded on a patch of oil. As a consequence the truck collided with an unaccompanied visitor and
crushed the visitor's leg.
(A) STATE reasons why the accident should be investigated. (4)
[4+8+8 – Jan 2008]
A- There are many reasons to investigate accidents such as
a. To identify the causes of the accident ( immediate & root causes ) in order to prevent recurrence,
b. For Identifications of corrective actions necessary to prevent recurrence
c. To determine compliance with relevant legislation
d. To demonstrate management commitment to H&S and to restore employee morale
e. To collect information and evidence that may be needed in the event of a civil claim,
f. To provide useful information for the costing of accidents and for identifying trends
g. To identify the need to review risk assessments and safe system of work.
(B) Assume that the initial responses of reporting and securing the scene of the accident have been carried
out. OUTLINE the steps which should be followed in order to collect evidence for an investigation of the
accident. (8)
Q11. Jan 2013
Q8. Jan 2010
Q11. Jan 2008
21
 Photographs, sketches and measurements may be taken before the scene of the accident is disturbed
 Examining and retaining any available CCTV footage,
 Checking the condition of the forklift truck and if possible determining it's speed at the time of the
accident,
 Checking the load that was being carried & the safe working load of the truck.
 Have there been any issues with visibility as the load was being carried?
 Finding the reasons of oil spillage,
 Determining whether emergency spillage procedures are there in place & why they were not followed in
this occasion?
 Assessing the competence of forklift driver
 Examining the workplace to determine any contributing environmental factors e.g. adequate lighting,
condition of floor?
 If possible, Interviewing relevant witness and visitors, and
 Checking existing procedures for dealing with visitors, what are reception staffs meant to do when
meeting visitors?
(C) The investigation reveals that there have been previous incidents of forklift trucks skidding which had not
been reported. The company therefore decides to introduce a formal system for reporting 'near miss'
incidents.
OUTLINE the factors that should be considered when developing and implementing such a system. (8)
 First of all, determine what a near miss is, and ensure that everyone is clear about the meaning of it,
 Carry out consultations with employees on the purpose of the proposed system,
 Arranging necessary training and information for employees,
 Ensure that the new reporting method is simple to understand and operate,
 Establishing a clear reporting lines
 Introducing and practicing no blame culture to encourage employees to report incidents,
 Arranging for investigation of incidents by line management to ensure identification and implementation
of remedial action needed,
 A procedure for reporting back is to be established in order for affected individuals or groups to be
informed of conclusions and future action to prevent recurrence.
 The introduction of a system to collate, analyse and monitor data periodically.
18-IA2-09
IA02-LAQ2
/ 3
A forklift truck skidded on an oil spill causing a serious injury to a visitor.
(a) Explain why the accident should be investigated. (4)
(b) Outline the steps to follow in order to investigate the accident. (10)
(c) Identify the possible underlying causes of the accident. (6)
(a) Reasons for investigating accidents such as
- To identify their causes, both immediate and underlying;
- To prevent a recurrence;
Q7 July 2011
22
- To assess compliance with legal requirements;
- to demonstrate management’s commitment to health and safety and to restore employee morale;
- to obtain information and evidence for use in the event of any subsequent civil claim or criminal
prosecution;
- to provide useful information for the costing of accidents and for identifying trends and
- To identify the need to review risk assessments and safe systems of work.
(b) The steps to be followed in a realistic chronological order including
- Gathering information such as taking photographs and making sketches and taking measurements of
the scene of the accident before anything was disturbed;
- Obtaining any CCTV footage available;
- Examining the condition of the fork lift truck and determining its speed at the time of the accident;
- Determining the load that was being carried, the safe working load of the truck and any forward
visibility problems with the load in place;
- Inspecting maintenance records and defect reports;
- Finding out the reasons for the oil spillage, the emergency spillage procedures in place and the
reasons why they were not followed on this occasion;
- Assessing the competence of the fork lift truck driver and examining the workplace to determine any
contributing environmental factors such as the condition of the floor and the standard of lighting and
interviewing relevant witnesses including the injured person if possible.
- When all the information has been gathered,
o It would need to be analysed to establish the immediate and underlying causes of the accident
and a decision made on the measures to be put in place to control similar risks.
o The actions to be taken should be prioritised with responsibilities clearly identified and periodic
reviews carried out to assess progress with the completion of the work.
(c), The possible underlying causes such as
- Inadequate or the absence of risk assessments;
- Cultural and organisational factors and work pressures;
- Poor visitor control on the premises;
- Inadequate or poorly signed pedestrian routes and walkways;
- Environmental factors such as lighting, floor conditions and spillage control;
- Poor maintenance and defect reporting procedures;
- Inadequate monitoring procedures; and
- A failure to train and supervise the workforce.
RRC – IA02-LAQ2 – c: Describe the factors which should be considered in analysis of the information
gathered in the evidence collection.
23
21-IA2-12
The employer should set up appropriate arrangements to notify occupational accidents, occupational
diseases, dangerous occurrences and commuting accidents to the competent authority in accordance with
national laws.
(a) Outline appropriate arrangements which the employer should have in place for notifying such events.
(10)
(b) The following information is from a company’s annual report :
The company has done much better at health and safety in the last year compared to previous years. The
significant reduction in accidents and fatalities shown in the table below is due to our new health and safety
advisor and a reduction in staff numbers. The management team are confident of further reductions in 2010.
Year Accidents Staff No Fatalities
2006 240 1500 ?
2007 185 1400 ?
2008 180 1300 11
2009 170 900 4
(i) Calculate the accident incidence rates AND comment on the findings. (5)
(ii) Assess the company’s management of health and safety from the information in the annual report. (5)
ANS a
- The employer should first identify a competent person who will be responsible for reporting accidents
and other reportable events to the competent authority.
- If the workplace is shared, an agreement will need to be reached on who accepts the responsibility for
reporting.
- All reported incidents should be investigated again by a competent person and information on all
accidents provided to the workers.
- Workers will have to be informed of the system that is adopted and what is expected of them and their
cooperation ensured.
- Records should be kept of any incident that occurs and these should be easily retrievable though the
medical confidentiality of individuals will have to be respected.
(b)(i), in calculating the accident incidence rates from the information given, candidates should have divided
the number of accidents that occurred by the number of persons employed and then multiplied the answers
by a common and appropriate multiplier (in this case 1000 workers). The rates would thus appear as follows:
2006: (240/1500) x 1000 = 160
2007 (185/1400) x 1000 = 132
Q9 Jul 2010
24
2008 (180/1300) x 1000 = 138
2009 (170/900) x 1000 = 188
Whilst the number of accidents decreased between 2006 and 2009 so did the number of workers but in 2009
there was a rise in the incidence rate. This part of the question was in general well answered, though a few
candidates did err in their calculations while others appeared not to notice the rise in the incidence rate for
2009.
(b)(ii). The annual report was expressed in very general terms, gave no commitment to the management of
health and safety and lacked detail both on the causes of the accidents and on the safety management
systems in place.
The fatality rate seemed to be tolerated and accepted and the company expressed no remorse about their
accident performance.
Whilst the directors might be confident that further reductions in the number of accidents would occur,
apparently ignoring the rise in the incidence rate, they gave no indication of how this would occur.
END OF UNIT 2
25
Element IA3 IDENTIFYING HAZARD ASSESSING AND EVALUATING RISKS
22-IA3-01
RRC – IA3-
SAQ - 01
For a range of internal and external information sources outline how each source contributes to hazard
identification or risk assessment. (10)
OR
OUTLINE the range of internal and external information sources that may be useful in the identification of
hazards and assessment of the risks. For each source indicated the type of information available and how it
contributes in hazard identification or risk assessment.
Internal sources such as
 Incident: Accident, Near-miss Reports, Ill-health data / Investigation Reports: these reports are
useful information as they clearly identify hazards that either have or had potential to cause injury / ill
health.
These data are useful during the risk assessment as they help in the evaluation of likelihood and
severity of injury and hence contributing to estimate the degree of risk involved;
 Proactive Monitoring data such as Inspection reports – may be useful in identifying the easily
observed hazardous conditions in the work place and also common type of control failures. This process
not only aids the hazard identification process but also influence risk assessment; the effectiveness of
various control options can be better estimated based on current controls
 Audit reports may be useful in similar way; in identifying hazards that have been overlooked and
identifying the effectiveness / reliability of existing control measures.
 Maintenance Records – may be useful in determining the effectiveness of particular control in the work
place, such as automatic warning system, guards, PPEs etc.
External source of information that might prove useful during the risk assessment process would include:
 National Governmental enforcement agencies such as UK’s HSE, USA’s OSHA, Western Australia’s
worksafe. These all produce legal and best practices Guidance.
 These organization also produced statistics such as accident and ill-health data which again assist
with the identification of hazards and the probability of their associated risk;
 International bodies – such as International Labour organization, the world health organization, the
European Agency for Safety and Health (EU OSHA)
 Professional bodies such as IOSH, IIRSM
 Trade Unions / Trade associates – they produces information on safety and health matters, specially
the awareness for compensation among the workers.
 Insurance companies – set the level of premiums and need the data to calculate the probable risks of
any venture. The average risks involved in the most activities can be found in the insurance tables.
Since the risk manager is involved in managing risks, these tables will be extremely useful.
 Finally information can be obtained from manufacturers / suppliers which can indicate the extent
of hazards and relevant control option that might be necessary for example MSDS from chemical
suppliers provides essential information on the chemical nature of a hazardous substances and
necessary control measures.
 Similarly the noise and vibration magnitude data from a machinery supplier can give an insight into the
potential noise or vibration exposure and the subsequent exposure controls necessary.
Q1. Jan 2013
Q2. Jul 2009
26
23-IA3-02 (a) Explain the purpose of Job Safety Analysis.(2)
(b) Outline the methodology of Job Safety Analysis. (8)
a)
A method to review job procedures or practices to identify hazards and subsequently determine appropriate
equipment and controls for implementation during performance of the job or task.
b) The methodology of Job Safety Analysis
1) Selecting jobs for analysis;
2) Breaking the job into steps;
3) Identifying hazards, unsafe conditions and unsafe work practices associated with the steps; and
4) Identifying the correct and safe way to perform the steps.
Q4. Jan 2012
24-IA3-03
RRC – IA3-
SAQ - 02
(a) Identify the objectives of Failure Mode and Effects Analysis (FMEA). (2)
(b) Outline the methodology of FMEA AND give an example of a typical safety application. (8)
The objective of FMEA is to analyse each component of a system in order to identify the possible causes of a
component failure and the subsequent effects of the failure on the system as a whole.
The methodology of FMEA includes
- Break down the system into component parts and
- Identify how each component could Fail, and the possible causes of failure of the component;
- Identify the effects on the system as a whole;
- Assess the probability and severity of failure
- Identify the means of detection of the failure : for example by a sensor;
- Prioritise failures in terms of severity and probability
- Determine actions to reduce risks to an acceptable level
- Record / Document the findings
Memorizing Mantra: B F Effects P&S Means P D act R
A typical safety application would be chemical process or nuclear safety. Where a failure of a simple
component could have disastrous consequences.
Q5. Jul 2010
25-IA3-04
RRC – IA3-
SAQ - 03
a. OUTLINE the factors that need to be considered to ensure that a risk assessment is suitable and sufficient. 5
b. Identify the circumstances that would necessitate a risk assessment to be reviewed.
ANS a
The following factors to be considered to determine that the Risk assessment is suitable and sufficient
27
- The RA must address the significant hazards that are existing.
- The RA must clearly identify those exposed to the significant hazard. This might include broad groups
of people; staff, vulnerable groups (e.g.; young persons) and individuals (e.g.; a pregnant woman).
- The assessment must correctly evaluate the risk generated (likelihood and severity) and
- The RA must include the adequacy of existing controls.
- It must correctly recognize the need for any further controls.
- It must be recorded suitably (significant findings in a retrievable medium).
- Reference to relevant standards and legislation should be made.
- The complexity of the assessment process and the competence of the assessors must be
proportionate to the complexity and level of risk.
- Finally it should remain valid for reasonable period of time.
-
B
A risk Assessment might be reviewed because of a variety of circumstances.
- A RA must be reviewed on significant change or if the employer has reason to suspect that it is no
longer valid.
- Change might include –
o A change in nature of work
o Introduction of new materials / equipments
o The modification of plants / premises
o Change / revision in legal requirements
- Reasons to suspect that the RA is no longer valid would include –
o Following an accident,
o A report of ill health linked to the circumstances that the risk assessment relate too
o Good practice would indicate that a risk assessment should be reviewed periodically as well.
The review period might be determined by the level of risk inherent in the operation to which the assessment
relates.
26-IA3-05
RRC – IA3-
LAQ - 01
A Fuel storage depot situated close to a residential housing area contains a vessel for the storage of liquefied
petroleum gas. It is estimated that a major release of the contents of the vessel could occur once every one
hundred years (frequency = 0.1/yr). Such a release, together with the presence of an ignition source
(probability, p=0.1), could lead to a flash fire or a vapor cloud explosion on site. Alternatively, if the wind is in
certain direction (p=0.7) and there is stable wind speed of less than 8 m/s (p=0.5) a vapor cloud may drift to
the residential housing area where it could be ignited (p=0.8)
a. Using the data provided construct an event tree to calculate the expected frequency of fire / explosion
BOTH on site AND in nearby residential housing area.
b. Comment on the significance of the results obtained
c. OUTLINE, with example a hierarchy of control options to minimize the risks.
Q1. Jan 2013
28
Ans:
a. The Event Tree should be
(Remember that the probabilities on each yes / no branch point must add up to 1, So having been given
- The probability of there being an ignition source on site as 0.1
- The probability of there NOT being an on site ignition source (and therefore no on-site explosion) must
be 1 – 0.1 = 0.9
This is a vital step to remember when calculating the probability of an off-site explosion because the question
itself will not give u this vital number – you have to work it out for yourself)
An explosion will only occur on-site if the release encounter the on-site ignition source. The frequency of
such an occurance on-site is 0.01 x 0.1 = 0.001/ year, which is once in every 1000 years (i.e. 1 / 0.001).
An offsite ignition will only occur if:
- The vapour is not ignited on site AND
- the wind is in a certain direction AND
- the wind speed is < 8m/s AND
- the vapour finds and ignition source in the housing estate.
Thus, the expected frequency of offsite explosion is (0.01 / yr x 0.9 x 0.6 x 0.5 x 0.9 = 0.00243 per year)
This result can be alternatively expressed as approximately once in about 411 years.
29
Formulae
0.00243 IN A 1 YEAR
1 IN A = 1/0.00243 = 411 YEARS
b.Comment on the significance of the results obtained
- Risks to members of public greater than risk to employees. Figures allow comparision with benchmark
data; e.g. UK HSE proposes individual risk of death from workplace activities as on in a million per
annum.
- The greater risk to members of the public is clearly unacceptable and given the fact that an explosion is
likely to cause multiple fatalities, both of these expected frequencies would appear unacceptable.
c.A standard hierarchical approach – elimination, substitution or minimization of quantity / use of LPG, reduce
probability of release (protective systems, maintenance, operations, ignition sources, emergency procedures,
siting of tanks )
27-IA3-06 a. OUTLINE the principles, application and limitations of EVENT TREE ANALYSIS as risk assessment
techniques. [6]
[6+10+4 – Jan 2008]
b. A mainframe computer suits has a protective system to limit the effects of fire. The system comprises a
smoke detector connected by power supply to a mechanism for releasing extinguishing gas. It has been
estimated that a fire will occur once in a five years (f=0.2 / year).
Reliability data for the system components are as follows
i)Construct an event tree for the above scenario to calculate the frequency of an uncontrolled fire in the
computer suit. [10]
ii)Suggest ways in which the reality of the system could be improved. [4]
ANS
A. the principles, application and limitations of EVENT TREE ANALYSIS as risk assessment techniques
Event Tree Analysis is based upon binary logic and is often used to estimate the likelihood of success or
failure of safety systems.
In other words, An event tree is a visual representation of all the events which can occur in a system. As the
number of events increases, the picture fans out like the branches of a tree.
Event trees can be used to analyze systems in which all components are continuously operating, or for
Q7 Jan 2011
Q7. Jan 2008
30
systems in which some or all of the components are in standby mode – those that involve sequential
operational logic and switching. The starting point (referred to as the initiating event) disrupts normal system
operation. The event tree displays the sequences of events involving success and/or failure of the system
components.
ETA is limited by the lack of knowledge of components reliabilities – success or failure – it does not take
into account partial downgrade i.e. limited success.
AN EXAMPLE
b. i
Formulae
0.031 IN A 1 YEAR
1 IN A = 1/0.031 = 32 YEARS
b.ii.The ways to improve the reality of system includes:
 Choosing more reliable components
 Using components is parallel
 The detector should be logical first choice for such techniques as it least reliable components.
 Installation of second independent but parallel system is a additional way to improve the
reliability of the system
31
 Introduction of a regular programme of maintenance and testing.
32
28-IA3-07 A manufacturing company with major on and off site hazards is analysing the risks and controls associated
with a particular process and containment failure.
Following a process containment failure (f=0.5/yr), a failure detection mechanism should detect the
release. Once detected, an alarm sounds then a suppressant is activated. Finally, in order to control the initial
release, an operator is required to initiate manual control measures following the release of the suppressant.
As part of the analysis, the company has decided to quantify the risks associated with a substance release
from the process and develop a quantified event tree from the data.
Activity Frequency/reliability
Process containment failure 0.5 per year
Failure detection 0.95
Alarm sounders 0.99
Release suppression 0.85
Manual control measures activated 0.8
(a)Using the data provided, draw an event tree that shows the sequence of events following a process
containment failure.6
(b) Calculate the frequency of an uncontrolled release resulting from process containment failure. (6)
(c) Outline the factors that that should be considered when determining whether the frequency of the
uncontrolled risk is tolerable or not.(5)
(d) If the risk is found to be intolerable, outline the methodology for a cost benefit analysis with respect to
the process described. (3)
a. Event Tree could be like
10 Jan, 2012
33
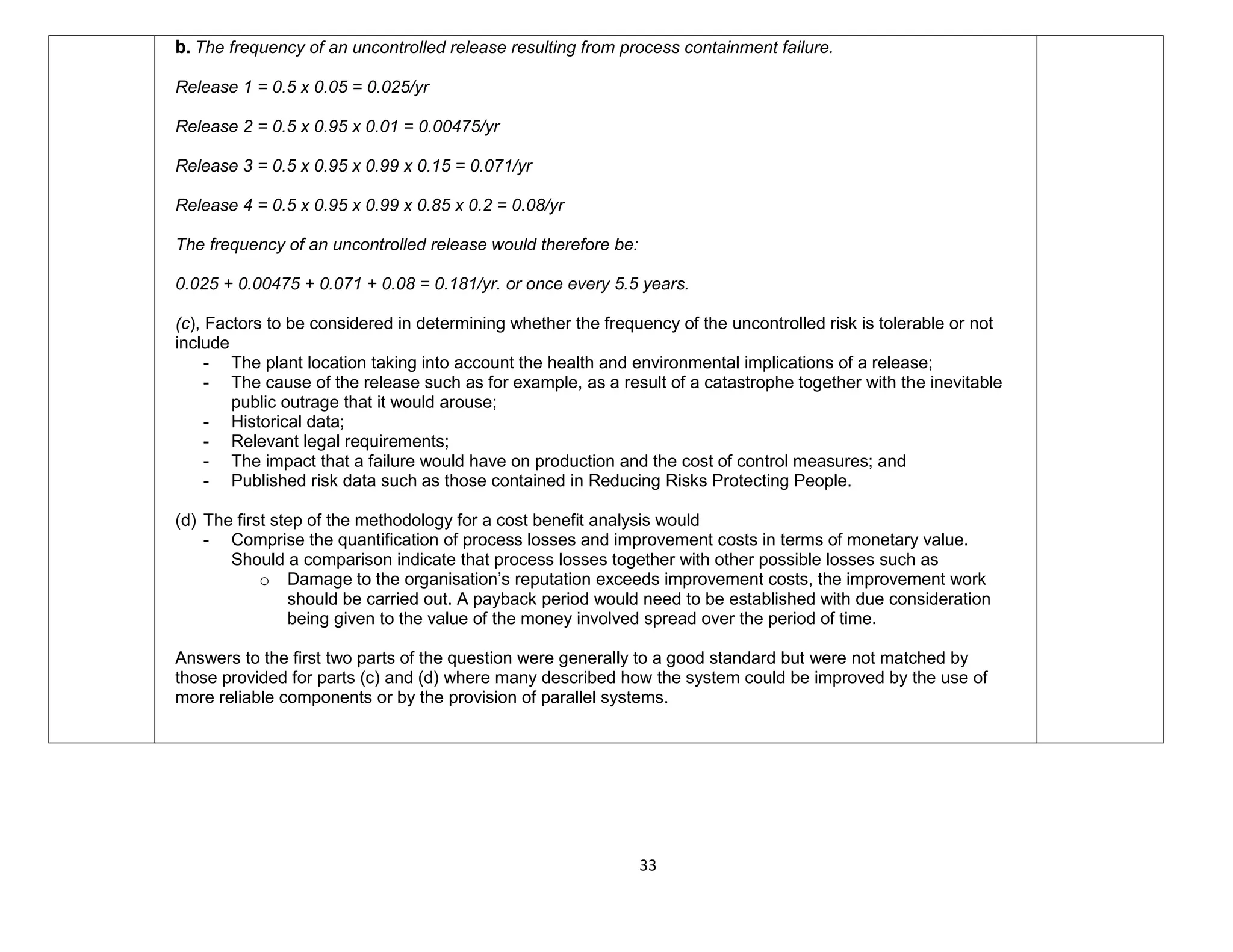
b. The frequency of an uncontrolled release resulting from process containment failure.
Release 1 = 0.5 x 0.05 = 0.025/yr
Release 2 = 0.5 x 0.95 x 0.01 = 0.00475/yr
Release 3 = 0.5 x 0.95 x 0.99 x 0.15 = 0.071/yr
Release 4 = 0.5 x 0.95 x 0.99 x 0.85 x 0.2 = 0.08/yr
The frequency of an uncontrolled release would therefore be:
0.025 + 0.00475 + 0.071 + 0.08 = 0.181/yr. or once every 5.5 years.
(c), Factors to be considered in determining whether the frequency of the uncontrolled risk is tolerable or not
include
- The plant location taking into account the health and environmental implications of a release;
- The cause of the release such as for example, as a result of a catastrophe together with the inevitable
public outrage that it would arouse;
- Historical data;
- Relevant legal requirements;
- The impact that a failure would have on production and the cost of control measures; and
- Published risk data such as those contained in Reducing Risks Protecting People.
(d) The first step of the methodology for a cost benefit analysis would
- Comprise the quantification of process losses and improvement costs in terms of monetary value.
Should a comparison indicate that process losses together with other possible losses such as
o Damage to the organisation’s reputation exceeds improvement costs, the improvement work
should be carried out. A payback period would need to be established with due consideration
being given to the value of the money involved spread over the period of time.
Answers to the first two parts of the question were generally to a good standard but were not matched by
those provided for parts (c) and (d) where many described how the system could be improved by the use of
more reliable components or by the provision of parallel systems.
34
29-IA3-08
RRC – IA3
– LAQ3
(A) Outline the use and limitations of fault tree analysis. (4)
(B) A machine operator is required to reach between the tools of a vertical hydraulic press between each
cycle of the press. Under fault conditions, the operator is at risk from a crushing injury due to either
(a) the press tool falling by gravity
Failure type Frequency (per year) Effect
Flexible hose failure 0.2 a
Detachment of press tool 0.1 a
Hydraulic valve failure 0.05 a
Activation button failure 0.05 b
Electrical fault 0.1 b
or (b) an unplanned(powered) stroke of the press. The expected frequencies of the
failures that would lead to either of these effects are given in the
table below:
(i) Given that the operator is at risk for 20 per cent of the time that the machine is operating, construct and
quantify a simple fault tree to show the expected frequency of the top event (a crushing injury to the
operator‟s hand). 10
(ii) Outline, with reasons, whether or not the level of risk calculated should be tolerated. (4)
(iii)Assuming that the nature of the task cannot be changed, explain how the fault tree might be used to
prioritise remedial actions. (2)
a. Limitation of FTA:
FTA is used for analysis of events which may have multiple causes. The probability / frequency of the
“top event” can be quantified provided there is sufficient data on the probabilities / frequencies of the
underlying events. It also helps identify critical stages where intervention might be most effective (to
reduce probability of top event).
However complex events require skill to work out and of course the top event probability calculation is
only as good as the data which is input into the calculation.
b.i.
Q8. July 2012
35
b.ii.
If the frequency of a crush injury to an operators hand is once every ten years and there are ten such presses,
then across the entire workshop the crush injury frequency will be (0.1 / yr x 10) = 1 year. Given the nature of
the likely disabling injury this frequency is obviously far too high to be tolerable without some attempt to reduce
the risk.
b.iii.
Looking at the fault tree priority should be given to those factors that would give greatest reduction in frequency
of top event.
In the diagram flexible hose failure makes the greatest contribution to the frequency of the top event, followed
by detachment of the tool and electrical fault. Controls include:
- Solid pipe instead of flexible hose
- More reliable components
- Maintenance and testing.
30-IA3-09
RRC – IA3
– LAQ2
Dental practitioner often works alone or in small teams in the community.
a.OUTLINE the type of hazards to which the dentist or his / her staff may be exposed.
b. Explain how the risks from the hazards identified can be minimized to protect the dentists and others.
36
31-IA3-10 An employer wishes to build a new gas compression installation to provide energy for its manufacturing
processes. An explosion in the installation could affect the public and a nearby railway line. In view of this the
employer has been told that a qualitative risk assessment for the new installation may not be adequate and
some aspects of the risk require a quantitative risk assessment.
a. EXPLAIN the terms ‘Qualitative Risk Assessment’ AND ‘’Quantitative risk assessment’ [5]
[10 – Jan 2009]
a. Qualitative risk assessment involves the use of broad categories to arrive at broad measures of risk.
Following a comprehensive identification of hazards, broad categories are used to classify the likelihood
of hazards being realised and the severity of their consequences. The categories may be descriptors or
numbers. Most everyday risk assessments are quantitative and such assessments tend to be
subjective.
Quantitative risk assessment on the other hand is a numerical representation of actual frequency and
/or probability of an event and its consequences. It often involves comparison with specific criteria and is
objectives.
b. IDENTIFY the external sources of information and advice that the employer could refer to when deciding
whether the risk from the new installation is acceptable. [5]
In identifying external sources of information and advice the company could referred to
i. the acceptability or tolerability criteria for risk for example a set down in the prevention of
major industrial hazards;
ii. Guidance from enforcing authorities which identify hazards and sets risk control
standards to meet legal and good practice requirements.
iii. Statistics and guidance from other authoritative sources such as professional bodies,
trade associations and insurer.
iv. Instructions from plant manufactures and guidance from similar companies.
b. A preliminary part of risk assessment process is to be a hazard and operability study. Describe the
principles and methodology of a hazard and operability (HAZOP) Study.
Hazard and Operability Studies (HAZOPS) is designed for dealing with complicated systems, such as large
chemical plants or a nuclear power station, where a small error or fault can have drastic consequences.
The purpose of a HAZOP study is to identify deviations from intended normal operation and is the best used
at the design stage or when modifications are proposed for an existing installation.
Studies are carried out by a multidisciplinary team who make a critical examination of a process to discover
any potential hazards and operability problems.
The process is first fully described and then every part is questioned to discover all possible deviations from
the intended design which might occur, and what their causes and consequences might be.
The methodology of HAZOP Study
Q7. Jan 2009
37
The HAZOP study process involves applying in a systematic way all relevant keyword combinations to the
plant in question in an effort to uncover potential problems. The results are recorded in columnar format under
the following headings:
DEVIATIO
N
CAUS
E
CONSEQUENCE SAFEGUARDS ACTION
A number of 'guide words' are applied to the statement of intention, so that every possible deviation from the
required intention is considered. The main guide words are:
 NO or NOT
 MORE
 LESS
 AS WELL AS
 OTHER THAN
 PART OF
 REVERSE
There are slight differences between the method for a continuous process and a batch process.
For a continuous process, the working document is normally the flow diagram. Each pipe is examined in turn,
checking flow, pressure, temperature and concentration, using a checklist of guide words. The study should
also consider the situation during commissioning, start-up and shut-down.
32-IA3-11
RRC –
SAQ - 01
OUTLINE a range of external individuals and bodies to whom, for legal or good practice reasons, an
organisation may need to provide health and safety information
In EACH case, indicate the broad type of information to be provided. [10 – Jan 2008]
Body / Individual Type of information
Enforcing authorities
Information required by law or in accordance with ILO code of practice or as
a part of inspection or investigation activities
Emergency services
Inventories of potentially hazardous and flammable materials used or store
on the site and on the means of access and egress to the site
Customers
Health and Safety Information on articles and substances they might use for
work activities
Members of public Information on emergency action plan for major hazards
Visiting contractors Information on safe working arrangements and procedures.
Waste disposal contractors Information on controlled or hazardous waste produced by the organisation
Transport companies
Information on precautions to be taken in transporting hazardous
substances from the organisation’s site
Legal representative or courts To be informed regarding Civil claims
Q3. JAN 2012
Q4. Jan 2008
END OF UNIT 3
38
Element IA4 RISK CONTROL AND EMERGENCY PLANNING
33-IA4-01
RRC-IA4-
SAQ-01
Outline, with appropriate examples, the key features of the following risk management concepts:
(a) Risk Avoidance; (2)
(b) Risk Reduction; (2)
(c) Risk Transfer; (3)
(d) Risk Retention. (3)
Identify the key features of EACH of these concepts AND give an appropriate example in EACH case.
Risk Avoidance: actively avoiding or eliminating the risk for example –
- By discontinuing the process, avoiding the activity or eliminating hazardous substances such as
o Using water based paint instead of solvent based paint eliminate the FIRE risk.
o Using a paint roller instead of using paint brush along with ladders / work platform to paint the
wall of a house.
o Closing down butchery operation in food factory (with hazard associated with that operation)
and buying a ready –prepared meat from supplier.
Risk reduction: reducing the level of residual risk. For example –
- By adopting a hierarchy of measures to control the risks / evaluating the risks and developing risk
reduction strategies. Such as
o Removing one hazardous agent and introducing another less hazardous agent in its place, or
such as replacing a toxic chemical with one that is not dangerous or less dangerous, use less
noisy pumps, using battery operated power tools instead of electrical power tools
o Adopting an engineering control by guarding a piece of machinery or
o Adopting a safe person strategy by training workers so that they are aware of hazards and can
behave accordingly
Risk transfer:: transfer of risk to a third party. For example
- By transferring risk to other parties but paying a premium for this for example by the use of insurance;
if the risk realised and a loss occurs then the insurance policy will pay for the loss. Thus the financial
risk has been transferred from the workplace on to the insurer (at a cost).
o Alternatively risk might be transferred to a contractor. Here, a separate organisation is
retained to undertake an activity that work place does not want to carry out directly.
o The use of third parties for the business interruption recovery planning or outsourcing a
process or processes.
Risk retention: accepting a residual level of risk within a company. This is often done with the knowledge of
workplace (i.e; knowingly) where the risk is small and the costs of reducing risk seem disproportionate / not
balanced to any benefits. If a loss occurs then organisation will have to cover the losses from revenues.
Sometimes the risk may be retained without knowledge (i.e.; unknowingly). This can occur
Q6. July 2012
Q3. Jan 2011
Q3. Jan 2009
39
- when a risk has not been recognised (and therefore goes uninsured) or
- when a risk is recognised and insurance is put in place, but insurance fails to cover the loss. This
might occur if the loss is greater that the amount of insurance cover purchased, if there is a large
excess, or if there are policy exclusions that mean the insurer avoids payment.
34-IA4-02
RRC – IA4-
SAQ-02
Production line workers in a textile plant are required to use knives routinely as part of their work.
OUTLINE the factors to be considered when developing a system of work designed to minimize the risk to
these employees. 10 m
- The first factor to consider is the identification of the tasks requiring the use of knives (by tasks
analysis for example)
- The people at risk, the hazards and various risk factors must be identified and recorded in this risk
assessment.
- The correct methods needed to control the risk must be designed and implemented.
- During the risk assessment process the potential for risk elimination by automation or process change
should be considered ( though it must be expected that use of knives will remain)
- Consideration must be given to the types of knives, its safety features, safe storage of knives, safe
carrying of knives, and safe sharpening arrangements.
- The environment must be considered (factors such as space constraints and lighting), as must
- Individual factors relevant to staff using knives (age, attitude, skill).
- Suitable PPE must be selected and supplied.
- Staff training in much of above will be necessary.
35-IA4-03
RRC – IA4-
SAQ-03
a. A production process has a safety critical control system that depends on a single component to remain
effective.
OUTLINE ways of reducing the likelihood of the failure of this component AND describe additional ways to
increase the reliability of the system. 10 marks (RRC)
b. Describe the meaning of common mode failure AND Outline equipments design features which could help
to minimise the probability of such failure.
[4 – July 2008]
ANS A.
Ways to reduce likelihood of the failure of the component:
 Burning in the component before placing it correctly in the system
 Planned replacement of the component before wear out
 Increasing its useful life by a planned programme of maintenance
 Initial design of and material specification for the component together with the use of quality
assurance
Ways to increase the reliability of the system:
Q4 July 2011
Q3. Jan 2010
Q8. JUL 2008
40
Use of Reliable Components:
 Suitable, good quality and well proven components from reputed supplier to be used in the
system
 To meet the legal specification a quality check on components should be ensured.
Planned Preventive Maintenance
 Planned preventive maintenance will improve safety and plant integrity as well as reliability. It is
a means of detecting and dealing with problems before a breakdown occurs.
 For example, car manufacturers recommend that the oil is changed at specified intervals to
prevent failure of the system and increase reliability.
Parallel redundancy / Circuit
 Additional components can be added in parallel series so that if one component fails the other
one will keep the system going.
Standby Systems
 A standby system can be installed so that should part of the system or a component stop
working, then an alternative system automatically steps in to continue operation. This type of
system is invaluable where failure of the system could affect safety, e.g. lighting in an operating
theatre.
Minimising Failures to Danger
 When a system does fail, it is important that the failure does not end with the production of a
hazardous situation. For this reason, it is vital that systems fail to safety. Through good design,
e.g. ensuring that dangerous machinery has an automatic power cut out as soon as a hazardous
component fails.
Other ways:
 Operational and detection protective system to maintain the system within its design
specifications
 The use of hazard analysis system techniques to predict failure routes
 Collection and use of failure data.
Minimising Human Error
Human error does occur but can be minimised by ensuring that:
 The 'right' person is doing the 'right' job.
 The individual has adequate training and instruction.
 The individual receives appropriate rest breaks.
 The man-machine interface is ergonomically suitable.
 The working environment is comfortable, e.g. noise, lighting, heating, etc.
ANS B:
The common mode failure can be defined as the termination of the ability of an item to perform a required
41
function.
Common mode failure is type or cause of failure that could affects more than one component at a time, even
when the components are supposed to be arranged to operate independently of each other. It is particularly
relevant for components in parallel designed to improve reliability of a system by redundancy.
Measures that could help to minimise the probability of such failure include:
 Functional diversity where reliance is placed on safety components designed to act by different
mechanism. For example one detector for pressure and another for temperature, and one hydraulic
interlock and one electrical interlock;
 Equipments Diversity where components are sourced from different manufacturers or from different
manufacturing processes to avoid common manufacturing defects and vulnerabilities
 Isolating components from each other and from the environment so that they do not fail from common
causes such as high temperature or vibration
 Routing cables by multiple routes so that local physical damage does not affect all components
 Using well known and established equipment designs where most of the failure modes will have been
understood.
36-IA4-04 a. A mixing vessel that contains solvent and product ingredients must be thoroughly cleaned every two days
for process reasons. Cleaning requires an operator to enter the vessels, for which a permit to work is
required. During a recent audit of permit records it has been discovered that many permits have not been
completed correctly or have not been signed back.
OUTLINE possible reason why the permit system is not being followed correctly.
[5+5 – Jan 2008]
b. A sister company operating the same process has demonstrated that the vessel can be cleaned by
installing fixed, high pressure spray equipment inside the vessels which would eliminate the need for vessel
entry. You are keen to adopt this system for safety reasons but the board has requested a cost-benefits
analysis for the proposal.
OUTLINE the principle of cost-benefits analysis in such circumstances. (Detailed discussion of individual cost
elements is not required)
Ans a.
There are many reasons to account for the failure to adhere to a permit to work system. They includes
 The lack of competence of both permit issuer and permit receiver
 The level of training and information that has been given to both
 A poor health and safety culture within the organisation
 Routine violation
 Pressure to complete the task and
 The complexity and impracticability of the system which makes it difficult to understand
 Inadequate level of supervision
Q3. JAN 2008
42
 Lack of routine monitoring and the non-availability of the permit issuer to activate the sign back
procedure and cancel the permit once the work had been completed.
b.
Cost benefits analysis in this scenario can be prepared after considering the below requirements
 The total cost of the system should be calculated including capital and ongoing of each option
 The benefits that would accrue from the use of proposed system should be quantified.
 The benefits includes process efficiency gains, lower operating costs and a reduction in accidents
and cases of ill health and their associated costs
By replacing the manual washing with high pressure spray equipment will definitely eliminate the personal
entry which will stop any personal injury due to entry inside the vessel.
Once the cost and benefits of the proposal have been identified a comparison might then be made with those
of the system currently in use.
37-IA4-05 A maintenance workers was asphyxiated when working in an empty fuel tank. A subsequent investigation
found that the worker had been operating without a permit-to-work.
(a) Outline why a permit-to-work would be considered necessary in these circumstances. 3
(b) Outline possible reasons why the permit-to-work procedure was not followed on this occasion. (7)
a) A risk assessment of the work to be done would have identified the need for a permit to work since the
activity involved was a non-routine high risk task in a confined space where the precautions to be taken
were complex particularly since additional hazards might be introduced as the work progressed and it
was, therefore an activity requiring a structural and systematic approach.
b) Possible reasons why the permit-to-work procedure was not followed
- One possible reason might have been that no, or an inadequate risk assessment had been carried
out and consequently the potential hazards had not been identified.
- There could also have been a poor health and safety culture within the organization
o where violations were routine and
o where a permit to work system was considered to be too bureaucratic and
o where complying with the terms of a permit prevents a task being finished quickly particularly
when there is pressure to complete.
- Other reasons such as the difficulty in organizing the required control measures before starting work,
particularly if a competent person was not at hand to authorize the permit;
- The failure on the part of management to stress the importance of using a permit in such
circumstances and ultimately the possibility that the organization had failed to introduce and operate a
permit to work system.
Q2. Jul 2010
43
38-IA4-06
RCC-IA4-
LAQ-03
(a) An organisation has decided to introduce a permit-to-work system for maintenance and engineering
work at a manufacturing plant which operates continuously over three shifts.
Outline the issues that will need to be addressed in introducing and maintaining an effective permit-to-
work system in these circumstances. (10)
(b) A year after the introduction of the permit-to-work system an audit shows that many permits-to-work
have not been completed correctly or have not been signed back.
Outline possible reasons why the system is not being properly adhered to.
(a) The key issues that could have been outlined include:
- Arriving at a clear definition of the jobs and areas for which permits will be required;
- Consideration of the operation of the system where contractors are involved;
- Developing a permit to work procedure that defines how the system will operate;
- Developing the permit format and multi-copy documentation system to encompass issues such as job
description, hazard identification, specification of risk control measures, time limits and authorising, and
receiving and cancellation signatures and
- The allocation of a unique reference number; arrangements for the return of permits and record keeping;
- Arrangements for the display of multiple live permits;
- Arrangements for communication between shifts;
- Identification of the training needs for, and the delivery of training to, persons authorising or receiving
permits and those working in areas where permits may be required;
- Provision of supporting arrangements and equipment for safe working such as lock-off, isolation or gas
testing facilities;
- And arrangements for routine monitoring and auditing the effectiveness of the system.
(b) Possible reasons for the fact that there is not strict adherence to the permit to work system include:
- Permit issuers and receivers are not competent and have not been adequately trained;
- There is no routine monitoring or auditing of the system and the level of supervision is poor;
- There is a lack of perceived importance of the system with production seen as having the greater
importance and violations have become routine;
- The permit system is seen as too complex and cumbersome and difficult to understand; the potential
hazards of maintenance and engineering work are not fully identified or understood and the required
controls are not fully understood by the permit issuer;
- The difficulties that arise in organising controls before the start of the work to be carried out; a lack of
effective communication between shifts and the person responsible for issuing permits is not always
available.
This was a popular question and most answers produced were to a reasonable standard though others lacked
context in relation to the points made leaving examiners unable to award all the marks available.
Q6.Jan 2012
Q7.Jul 2009
44
39-IA4-07 A new maintenance activity is being planned
a. Describe the components of the safe system of work that should be considered for the maintenance
activity.
b. OUTLINE TWO reasons why Permit to work may be required for the maintenance activity. 8 + 2
Q2. Jan 2013
40-IA4-08
RCC-IA4-
LAQ-03
Q . An investigation of a serious accident has concluded that maintenance operation in a particular area of a
factory should have been subject to a permit to work system.
Identify and Explain the main factors that should be considered when setting up such system
Maintenance operation in a factory environment may involve various high risk types of work such as
- Work on large complex items of machinery
- Work on pressure system
- Work on high voltage electrical system
- Work in confined
- work on plant containing hazardous chemicals
- work at height and work on plant at extremes of temperature, to name but few.
And very often multiple hazards will exist at the same time and generate high and complex risk. Consequently,
maintenance work may often be designated as high risk and made subject to permit to work control.
In these cases, a PTW system must be carefully designed and implemented to ensure safety at all stages of the
maintenance work.
Various factors must be considered when such a system is being designed, developed and implemented.
- The system parameter must be clearly identified, so that there will be clear understanding of what the
permit system covers. The system must define the range of works falls under the PTW system and list
those works fall outside of the permit control.
o This may sometime subject to legal requirements. For example, confined space entry should
always be made subject to permit control as matter of course.
o In other instance the use of a permit system will be dependent on perceived risk on site – for
example hot work.
- Clear accountability: The definition of permit parameter must also identify who key personnel are and
what their specific responsibilities and authorities with regards to permit system.
o Persons with responsibility of authorizing the work under the permit system must be clearly
identified – that is called permit issuer,
o Personnel responsible for undertaking specific activities, such as risk assessment or
atmospheric monitoring, should have their responsibilities clearly allocated.
o And the persons who are responsible for monitoring the effective operation of the permit system
should also be defined.
45
- Effective selection, training and competence of personnel: all personnel associated with PTW
system must have necessary competency to undertake their assigned work and tasks. This implies –
o Training, knowledge, experience and other quality such as ability.
o Assessment of competence may be necessary.
o Training records, specific certification for key personnel may have to be obtained and recorded.
- The Recommendation / Control Measures: what the permit itself prescribes must be considered of
the permit system, this will vary depending on the types of work.
o Generally there would be arrangements designed into the system for the formal specifications of
key safety requirements before commencement of job.
o These safety requirements should be communicated to all concerned
o Auctioning of key controls should be verified
o System for hand over of control from authorizing manager to the person undertaking the
maintenance work.
o And there would be written do’s and don’t’s in the permits
- Cross check and verification: the verification of safety throughout the operation and the formal hand-
back of plant / equipment or areas would then follow. Formal acceptance of these areas would follow,
with the cancellation of the permit to prevent future work being carried out under old permissions.
- The Permit to work must clearly identify how the work should be coordinated and monitored. Personnel
with key responsibilities must be identified here, as well as the coordination and monitoring
arrangements being described in the system.
41-IA4-09 An organisation should carry out a risk assessment before developing a safe system of work.
(a) Outline the factors that should be considered when carrying out a risk assessment. (10)
(b) Give the meaning of the term ‘safe system of work’. (2)
(c) Outline the issues to be addressed to effectively implement a safe system of work. (8)
a) The factors to be considered when carrying out a risk assessment include
- The detail of the activity or task concerned and the equipment and materials involved;
- Any guidelines or information provided by the manufacturer;
- The number and type of persons to be involved in the activity;
- The hazards associated with the activity and the likelihood and severity of their associated risks;
- The adequacy of existing control measures;
- Accident history and previous experience;
- Legal requirements;
- The need to involve and consult workers and to use appropriate and familiar language to enhance
understanding;
- Monitoring the effects of the assessment once it has been introduced and arranging for periodic
reviews and finally ensuring the competency of the assessor.
Q11. Jul 2011
Q9. Jan 2010
46
b) The integration of people, equipment, materials and the environment to produce an acceptable level of
safety or a method of carrying out a task in which hazards have been identified and eliminated, or risks
reduced to an acceptable level is called “Safe System of Work”.
c) Issues that should be addressed to ensure the effective implementation of a safe system of work include –
- Its timing taking into consideration
- The need to avoid shift changes and holidays;
- The number of persons affected;
- The need to communicate with the workforce and to provide them with relevant information using
clear and unambiguous language;
- Arranging for the provision of the necessary training;
- Ensuring that managers and supervisors are made aware of and understand their responsibilities;
- Introducing procedures for securing feedback from the workers; and
- Making arrangements for the monitoring and periodic review of the system and to introduce any
changes found to be necessary
42-IA4-10 (a)Outline the site operator requirements for emergency planning and procedures within the International
Labour Organisation Convention C174 ‘Prevention of Major Industrial Accidents’ 1993. (6)
(b)As part of the on-site emergency planning process a large manufacturing site intends to provide
information to the external emergency services.
Outline the types of information that the site should consider providing to the ambulance service. (4)
a.
Under the ILO’s convention C174 on the subject of the Prevention of Major Industrial Accidents, the site
operator is required to:
- Identify major hazards and assess their potential outcomes;
- Prepare written site emergency plans and procedures;
- Draw up emergency medical procedures;
- Carry out periodic testing / mock drills and evaluation of the effectiveness of the emergency plans and
introduce any revisions to the plans shown by the evaluation to be necessary;
- Include reference in the plan to the protection of the public and the environment outside the site
following consultation with the authorities and communities concerned and
- Submit the emergency plans to the responsible authorities.
B,)Types of information such as
- The location of the site and its various access points;
- Details of the main hazards on site such as fire, explosion or toxic release;
- Details of any hazardous chemicals used and stored;
- The number of personnel on site both in daytime and at night;
- Plans showing the layout of the site;
- The location of any emergency control center;
- The identity and contact details of key personnel;
Q4. Jan 2011
Q3. Jul 2009
47
- Details of the establishment’s medical personnel and facilities;
- Details of any specific medical conditions of workers and particularly information relating to those known
to be vulnerable; and
- Any other information necessary to enable the ambulance service to carry out a risk assessment for its
own personnel.
43-IA4-11 The manufacturing process of a planned new chemical plant will involve toxic and flammable substances. The
plant is near to a residential area.
Outline the issues to be considered in the development of an emergency plan to minimise the
consequences of any major incident. (20)
The initial issues to be considered in the development of an emergency plan would be
- To consider the quantity of toxic and flammable substances involved,
- The possible causes of a major incident,
- The likely extent of the damage and the area of the plant and the surrounding area which is
vulnerable.
- Consideration will then have to be given to the availability of resources to deal with the incident
should it occur and what action would be taken to minimise its extent by for example shutting off
services and controlling spillage and pollution.
- There will need to be a clear allocation of responsibilities on site to deal with the incident, to
establish a control centre and to make arrangements for staff and equipment call out.
- A decision will have to be made on how the alarm will be raised on site and in the neighborhood
and this will require liaison with the community and particularly with representatives of the local
authority, the police and the emergency services since while the on site plan will be prepared by
the plant operator,
- A second off site plan, which may have to consider amongst other things the provision of
information to nearby residents and the possibility of their evacuation if an incident were to occur,
will be very much the responsibility of the local authority.
- The onsite plan will also need to address the arrangements for clean up and decontamination after
the event and for dealing with the media. It will of course be imperative for the plan once it has
been developed to be tested and assessed in a ‘mock incident’ involving both workers and
residents.
Q8 July 2010
44-IA4-12 A small company formulating a range of chemical products operates from a site on which it employs about 50
staff. The site poses a risk to employees, the neighboring community and the environment and the company
has been asked by the enforcement agency to provide details of its procedures for dealing with a range of
emergencies.
i. OUTLINE the types of emergency procedure that a site of this nature may need to put in place in order to
deal with incidents affecting the safety of site personnel.10
ii.Describe the arrangements that should be in place in order to demonstrate an effective major incident
procedure. 10
48
ANS
i.A site of this nature might have a range of procedures in place to ensure the safety of the site personnel.
These procedure would includes –
- A Local spillage / release procedure to deal with small onsite spillages or release to atmosphere.
- Fire Evacuation procedure in the event of fire breaking out
- First aid treatment arrangements would have to be in place, comprising facilities, equipments, first aid
providers which might be suitable to the specific risk present on the site (toxic chemicals).
- Major incident procedures would need to be developed to deal with more serious spillages, fires and
release, where large amount of chemical might release into the local environment and may present a
risk to the local population off site, as well as personnel on site.
- Procedure should also be in place to counter the sabotage and bomb threats.
ii.Arrangements would include:
- The identification of major incident risks
- On site personnel and external agencies should be consulted on the development of the major
incident plan
- The plan would require clear allocations of responsibilities of key personnel such as a main contractor,
an incident controller and subordinates
- Clear procedures for initiation / activation of the plan would be needed, which includes contact details
and method of call out of key people.
- An emergency control center would have to be set up, suitably equipped with emergency information,
site plans, appropriate communication equipment, etc.
- Additional equipment would have to be obtained and stored at suitable locations on site, this might
include spillage control kit, PPE for cleanup personnel, eye / body shower, communications
equipment (fire alarm, air horn, mega phone etc)
- Arrangement for the communication with the public such as neighbors would have to be developed
pre-incident.
- Arrangement for management of media
Once in place, the plan would have to be communicated to site staffs and regular training and drill
undertaken to ensure the practicalities and adequacy of the plan and clear understanding by key
personnel.
END OF UNIT 4
49
IA 5 : ORGANISATION FACTOR
45-IA5-01
RRC-IA 5 –
SAQ 1 (a)
(a) Give the meaning of the term ‘health and safety culture’. (2)
(b) Outline the role of an organisation in the development of a positive health and safety culture. (12)
(c) Identify ways of measuring the effectiveness of a health and safety culture. (6)
(a), The term “health and safety culture” by referring to the shared perceptions, beliefs, attitudes and behavior
patterns and values that member of an organisation have in the area of health and safety.
The safety culture of an organization is the system of shared values and beliefs about the importance of
health and safety in that workplace. The culture is how workers at all level within the organization think and
feels about the health and safety, and about how this translates into their behaviors. The culture may be
positive or negative and will pervade / spread the whole organization from top to the bottom.
b)
An important role for the organisation in the development of a positive health and safety culture would be
- To demonstrate leadership and commitment from the top which would include the development
and implementation of a health and safety policy,
- Identifying and allocating key health and safety responsibilities and
- Ensuring both that adequate resources are provided for health and safety but that also it is given
the same importance as other objectives such as production and quality.
- This should then lead to the completion of the necessary risk assessments,
- The introduction of safe systems of work and
- The provision of training for the workforce.
During this process communication and consultation with the workforce will be of paramount
importance.
Once the systems are in place, it will be imperative that their effectiveness is monitored on a regular basis and
that any deficiencies are seen to be rectified in as short a time as practicable.
c)
Ways of measuring the effectiveness of a health and safety culture through
- The assessment of records such as those of accidents and/or incidents together with the findings
of any investigations that were carried out; cases of ill-health; staff turnover and sickness
absenteeism;
- The effectiveness of communication with the workforce and any complaints received on the
subject of working conditions.
- The organisation might also make use of surveys, value questionnaires on the subject of health
and safety, appraisal interviews and/or simply by observing the behaviour and commitment of the
workforce.
Q11. Jan 2011
50
46-IA5-02
RRC-IA 5 –
SAQ 1 (b)
(a) Give the meaning of the term ‘safety culture’. (2)
(b) Outline a range of organisational issues that may act as barriers / (negative H&S culture) to the
improvement of the safety culture of an organisation. (8)
a The safety culture of an organization is the system of shared values and beliefs about the importance of
health and safety in that workplace. The culture is how workers at all level within the organization think and
feels about the health and safety, and about how this translates into their behaviors. The culture may be
positive or negative and will pervade / spread the whole organization from top to the bottom.
B There are many possible barriers to the development of a positive health and safety culture within an
organization. These are not dissimilar from the factors that promote a negative health and safety culture and
include the following –
Organisational issues that could act as barriers to the improvement of the safety culture of an organisation
such
as
- The lack of senior management commitment;
- A failure to allocate adequate resources to support improvement;
- The absence of effective means of communication with workers to secure their involvement;
- A lack of trust and confidence in management by the workforce;
- High staff turnover making cultural improvement difficult to embed;
- A history of poor industrial relations;
- The existence of a blame culture;
- Workforce cultural issues such as race and language and the lack of positive decision making by
management on the level of priority accorded to health and safety leading to uncertainty among the
workforce.
(Refer RRC) for all detailed barriers (negative H&S culture). 20 marks
There are many possible barriers to the developments of a positive H&S culture within an organization. These
are not dissimilar from the factors that promote negative H&S culture and include following:
Company reorganization – change is unsettling for all people in an organization and during times of change
people may lose their belief in the company and its aim and means. For example, a company downsizing and
making workers redundant will struggle to secure worker commitment to a H&S policy that state that “ People
are most valuable asset”.
Lack of confidence in the management – if workers do not trust management to make sound decision
about the direction of the organization and the methods used, then they will not engage in initiatives started by
management.
Q4. Jan 2013
Q4. Jan 2010
51
Lack of leadership – people in organization need to see that people in management positions are showing
clear leadership with regards to H&S. If no managers are clearly showing the leadership and indicating the
way forward, then workers will not be able to make their own way. Clear leadership, demonstrated by clear
decision making as the way forward, coupled with action will show others where to head.
Lack of resources – H&S costs money. If safety is not adequately resourced in terms of money and
personnel then positive improvements will be hard to achieve. For example: a H&S safety budget being cut to
achieve a short term financial target, resulting in the loss of part time safety officer.
Lack of management commitment – in the absence of senior management commitment, resource and
attention will not be paid to H&S. priorities will lie elsewhere and others within the organization will respond
accordingly.
It is only with the clear commitment from senior management that organization can hope to make positive
improvement to their safety culture. For example if senior managers are heard to belittle and denigrate /
degrade H&S in meetings, this will send a clear and negative message to middle and junior staff.
Poor communications – in the absence of clearly communicated policies and decision making, people will
not be subject to the positive influence to their organization. They will be left to make their own minds up
about how important H&S is. If communications are clear, then they will know what the organization is thinking
and what the organization is doing to improve H&S. for example; notice boards, team briefings and
management meeting minutes do not feature any H&S element.
47-IA5-03
RRC-IA 5 –
LAQ 3
a. Describe the indicators and measures that could be used to assess the H&S culture of an organisation. 12
b. Describe the organisational factors that may influence the success of an org ‘s H&S culture. 8
a. The indicators and the measures that could be used to assess the H&S culture of an organisation would
include:
- Attitude towards H&S by workers / managers
- Acceptance of H&S responsibilities which can be assessed by questionnaire or interview
- The extent of communication on H&S within the org. this might be assess by viewing all of the various
forms of communication that are apparent.
- The integration of H&S into other management function (e.g. purchasing) this might be assessed by
reference to policy and procedure documentation and by interview.
- The influence of H&S into other management decision- making. This might be assessed by reviewing
management meetings minutes and by interview.
- The effectiveness and composition of the safety committee. This could be assessed by viewing meetings
minutes and by interview
- The status of safety advisors. This could be assessed by examining the position of the safety advisor .
within the org and by ref to salary.
- The relationship with the enforcement authorities
52
- The quality of H&S policy and its effectiveness. This might be assess by reading policy documents and by
audit
- Ref to H&S in the org’s annual report.
- The standard reactive monitoring data such as loss time indents etc. though these are fairly limited in the
context of assessing safety culture.
b)the factors that may influence the success of an attempt to improve an org’s H&S culture would include :
- The industrial relations (IR) climate within the org. if this is good then achieving harmony and buy in will
be fairly easy. If IR is poor then certain groups of workers may not engage with attepts to improve the
culture and may even deliberately sabotage such attempts.
- The confidence of the workforce in their management’s ability to control risks. If management have the
trust of the workforce in this respect then workers are more likely to listen to and respond to improvement
programmes
- Management commitment to H&S. is commitment is seen to be demonstrated, then those workers who
support any improvement programmes have ammunition to win the argument. If management commitment
does not exist or is not see to exist then those arguments will be lost.
- The resources and expertise devoted to H&S. lack of resource handicaps any improvement
programme. Good resourcing and the presence of the right people in the right positions will allow the best
chance of success.
48-IA5-04 (a)Organisations are said to have both formal and informal structures and groups. Outline the difference
between ‘formal’ AND ‘informal’ in this context. (6)
(b)The development of a health and safety culture requires control, co-operation, communication and
competence. Outline what ‘co-operation’ means in this context, AND give examples to support your answer. 6
(c)Organizational change can, if not properly managed, promote a negative health and safety culture. Outline
the reasons for this. (8)
a. A formal structure or group is hierarchical, generally shown in an organisational chart and characterised by
defined responsibilities and agreed reporting lines, while an informal structure is characterised by social
and personal relationships, habitual and related contacts and the presence of strong characters with
personality and communication skills that may exert personal influence.
<b. Internationally recognised H&S Management models, including OHSAS 18001 and HSG65, include an
’organisation’ element which requires control, co-operation, communication and competence.
OUTLINE, using practical examples what co-operation means in this context.>
b. The co-operation in the organisation section of H&S Model includes
 Direct consultation with employees at team meetings
 Participation in safety committee meetings
 Involvement of employees in Risk assessments and in development of safe system of work.
Q8. Jan 2012
Q8. Jan 2009
53
 Involvement of employees in incident investigation, inspections, audits and other monitoring
processes
 Employees should be encouraged to report hazards and nearmiss and incidents.
 Provision of safety training.
c. Organisation change can, if not properly managed, promote a negative health and safety culture. Outline
the reason for this.
c. Organisation change can, if not properly managed, promote a negative health and safety culture for a
number of reason such as:
 The profile of safety may not be maintained during the change and new job responsibilities may not
have fully covered safety issues.
 Normal consultation mechanism and routes may be disrupted.
 Training in safety issue for new job holders or for new responsibilities may not have been completed.
 The lack of adequate means of communication during the change may compromise trust and poor
consultation on change issues may negative effect on cooperation and other safety issues.
 There may be concern about job security which could encourage risk taking.
 Redundancy process or cost reduction measures may produce a perception that the organisation is
not concerned with personal well-being.
 Experience and knowledge of risk control may be lost with changes of personnel
 Extensive movement of personnel makes it harder to establish shared perceptions and values.
 A greater use of outsourcing without good control may result in lower safety standards by
contractors which may affect the perception of priorities.
 The effect of natural resistance of change.
49-IA5-05
RRC – IA
05-SAQ -
02
A, OUTLINE the reasons for establishing effective consultation arrangements with employees concerning
health and safety matters in the work place.
[4+6 - JAN 2008]
B, OUTLINE the range of formal and informal arrangements that may contribute to effective consultation on
health and safety matter in the workplace.
a. The reasons for establishing effective consultation arrangements includes:
 It is a legal requirement
 The Demonstration of Management Commitment
 The development of ownership of safety measures among the employees and promoting their
commitment and motivation
 Improving perceptions about the value and importance of health and safety so that they might
play an active part in developing the culture of the organisation
 Gaining the input of the knowledge of employees to ensure more workable improvements and
solutions
 Encouraging the submission of improvement ideas by the employees.
Q6. July 2010
Q4. Jul 2009
Q5. Jan 2008
54
b. The range of formal arrangements for the effective consultation includes:
 Establishment of safety committee
 Consultation with safety representatives
 Planned direct consultation at departmental meetings and Team briefings
Less formal consultation arrangement such as
 Consultation as part of accident / incident investigation
 Consultation as part of completion of risk assessments
And other informal consultation arrangements such as
 Day to day informal consultation by supervisors with employees at the workplace
 Tool box talk
 Discussion as a part of safety circles or improvement groups
 Use of departmental meeting for ad-hoc consultation on safety issues
 Raising the subject of health and safety at staff appraisals
 Questionnaires and suggestion scheme
50-IA5-06
RRC – IA 5
– SAQ 3
The management of an organisation intends to introduce new, safer working procedures but the workers
are resisting this change.
(a) OUTLINE practical measures the organisation could take to communicate effectively when managing
this change. (10)
(b) OUTLINE additional steps the management could take to gain the support and commitment of workers
when managing this change. (10)
ANS
(a) Measures that could have been considered in this scenario include:
- The provision of regular and frequent newsletters or memos using language and technical content which
is clear and easily understood;
- Holding regular meetings between management and the workforce such as team briefings and tool box
talks; Providing the opportunity for regular meetings between the workforce and their safety delegates;
- Placing notice boards at various locations on the site and ensuring that they display relevant information
and are updated at regular intervals;
- Introducing team building activities and staff suggestion schemes; and
- Providing accident and incident data to all the workers.
(b) Additional steps that management might take to gain the support and commitment of workers include:
- The very first step should be “to Find out the reasons for the resistance” whether fear of redundancy, de-
skilling or simply a dislike of any type of change.
- The most important requirement is to effectively consult with the workforce. This could be through formal
means – such as the safety committee or more informally – through day to day meetings with leaders ,
employees; tool box talk; safety circles or improvement groups
- A steady / progressive or step by step change process with trials and pilots of the proposed changes
- Setting out clearly the reasons for, and the benefits of, the proposed changes such as improved
accident rates and production rates
Q11. July 2012
Q11. Jan 2010
55
- It will be important to actively involve the workforce in the proposals, take on board suggestions and
offer trainings in the new methods.
- A final part of the process should be continuing demonstration of senior management commitment and
- Regular review of the changes to learn from any mistakes.
51-IA5-07
RRC – IA 5
– LAQ 1
A manufacturing company is about to embark on a process of organizational change that is intended to
reduce costs and increase productivity. As planned, the change will lead to a similar workforce, a flatter
management structure, enlarged responsibilities for the remaining staff, outsourcing of most maintenance
task, increased use of automated processes and the need for some employees to be multi skilled.
Review the elements of strategy designed to ensure that the company maintains its current high standards of
health and safety, and its positive health and safety culture, both during and after the change. 20 marks
Clear policy – the strategy should commence with the org making a definite statement of safety objectives as
part of change process so that the policy regarding H&S during the change is well understood.
Amend plans where safety is compromised – it should be clear that plans will be amended if it is identified
that the changes process is adversely affecting H&S.
Allocation of senior management responsibilities – there should be senior managers identified with clear
responsibilities for managing safety during the change and performance measures identified and set,
against which the impact of the change can be measured.
Consultation at all levels / Involve employees – to maintain H&S culture there should be regular
consultation at all levels in the org and employees and their representatives should be involved in working
groups dealing with the changes. In this way, the org can utilize employee experience and also encourage
ownership of the change process.
Communicate – ensure regular communication of plans and progress.
New risk assessment with employees involvement – the planned change will render current RA invalid
and therefore a programme of RA revisions will need to be undertaken with full involvements of employees.
Map job skills / Assess training needs - the new roles will require mapping of job skills and experience
and also an assessment of training needs.
Capture / replace lost process knowledge / experience – as the proposed change will result in much
smaller work force, this will lead to loss of informal knowledge and process experience which will need to be
identified and preserved before employees are made redundant.
56
Procedure to manage risks at outsourced tasks – the move to out sourcing will lead to increased use of
third parties and contractors, and therefore these new risks will need to be managed, and also consideration
given to contractor competence.
Mitigate employees anxiety (communication , job rotation, redundancy) – the proposed change will be
stressful for the workers and therefore steps need to be taken to mitigate employee anxiety by regular and
honest communication, help with job replacement and an open approach to redundancy.
Allocate time and resources - it will also be important not to rush through the changes and to allow
adequate time and resources for training and implementation of the new structure.
Monitor safety performance during and after the change and also Review change process and safety
implications.
52-IA5-08 A multi-site organisation has recently been audited. This has highlighted deficiencies in worker involvement in
health and safety matters.
Outline recommendations to assist the employer to effectively consult with the workers on health and
safety matters. (10)
There are a number of recommendations that might be made to the employer in the scenario described
including
- Arranging for safety representatives to be appointed for each site, by election if required, and
protecting them from dismissal or other measures prejudicial to them;
- Ensuring that the safety representatives have access to appropriate resources to fulfil their functions
and have time off their normal duties for training;
- Setting up a formal safety committee, to meet on a regular basis to a set agenda and ensuring that the
minutes of the meetings are circulated throughout the organisation;
- Providing adequate information to the workforce on health and safety and consulting them when
alterations to work processes are planned which will have health and safety implications;
- Allowing access to representatives to all parts of the site to carry out inspections and arranging for them
to meet representatives of the enforcing authority when they pay a visit to the site;
- Ensuring there is a visible interest by management in health and safety matters with a readiness to have
consultations on an informal basis with all workers; and
- Setting up an individual appraisal system where health and safety concerns will be discussed on a par
with other relevant issues.
Q3. July 2011
53-IA5-09
RRC – IA 5
– LAQ 2
The refurbishment of an organisation’s offices will involve the services of several different trades from a number
of small local companies and is to be completed while the building is occupied. an interior designer specializing
in commercial properties will manage the project.
a) OUTLINE the criteria that should be used when selecting contractors to undertake their part of the project.
b) OUTLINE the organizational measures that the PM may need to consider in order to ensure the H&S of
office personnel during the work.
You are not required to consider the specific risks associated with the work.
57
a) Steps for prequalifying / ensuring competency the contractors
 Previous experience in similar type of works
 Reputation with previous and recent clients – they could have provided the information about the
performance of the contractor which can be obtained by taking up references.
 Content and quality of H&S policy document and risk assessments
 Level of trainings and competence of staffs
 Accident and enforcement history (accident statistics going back over 3-5 years; enforcement
notices and prosecutions)
 Memberships of relevant professional bodies
 Equipment and statutory examination records
 Quality control techniques
 Examples of risk assessment and method statements for work carried out.
 Finally the contractors should prepare a detailed plan Outlining the construction safety and
installation arrangements
b) Orgnisational measures that may be considered to ensure safety of office staff during the work
 Clear agreement on work schedules and timescales that are then clearly communicated to all
contractor and office staffs
 Induction issues for the contractors – so that they understand the implication of their work for office
staff.
 Security procedure such as signing in and out
 Accident reporting procedures – so that in the event of incident involving office staff, the PM is
informed immediately.
 Clear communication and coordination on the means of escape that have to be maintained to
ensure safety of office workers as the project progress.
 Procedure to be followed in the event of an emergency.
 Information on hazards in the building – that is utilities, asbestos, - its locations and presence. Not
only present a hazard to contractor but also present a hazard (if disturbed) to office worker
 Arrangement for delivery and storage of materials – so as not interfere with office wirker access
and egress or emergency escape routes
 Removal of waste that may pose hazards to office workers
 Information on part of the buildings where access might be temporarily restricted.
END OF UNIT 5
58
IA 6 : HUMAN FACTOR
54-IA6-01
RRC – IA
06 –
SAQ01
‘Perception’ may be defined as the process by which people interpret information that they take in through
their senses.
OUTLINE a range of factors that may affect how people perceive hazards in the workplace. (10)
The range of factors that might affect how people perceive hazards in the workplace are mostly factors
associated with the person themselves which includes
 The effects of fatigue. A tired person is less likely to take note of sensory information that an
alert person would detect early
 Drugs and Alcohol – have an obvious effect on mental process and in some instances will be
psycho-active and therefore directly interfere with the processing of sensory information.
 Education and Training – a trained person will know the meaning of various sensory inputs, will
recognize their importance and act accordingly. An untrained poorly education person may not
make the same associations between sensory input and hazards.
 Experience – Inexperienced workers often fail to recognize hazards for what they are and
underestimate the risk associated with hazards precisely because they lack experience. More
experienced workers do not fall into the same trap.
 Aptitude – some individuals will have an innate ability to respond to sensory stimuli in an
appropriate manner.
 IQ – A worker with low IQ may struggle to correctly perceive the level of risk associated with a
particularly if the hazard is not visible in nature. A person with high IQ may be better able to
interpret sensory information and translate that into hazard awareness.
 Environment Factors may interfere with a workers ability to perceive hazards in the workplace.
Factors such as low light levels, dust, noise and extreme of temperature can have an effect on
hazard perception.
 Any form of sensory impairment will have an obvious impact on perception of hazards. A
particularly sighted worker may not be able to see hazards to avoid them. A color blind worker
may mistake red and green indicator light.
Q1 July 2011
55-IA6-02
RRC – IA
06 –
SAQ02
OUTLINE the organizational and behavioral FACTORS that may lead new employees to disregard instruction
given during health and safety induction training 10
Organizational Factors:
 The employee selection process, whereby poor recruitment and selection processes allow
employees with poor attitude, intelligence and behavior patterns into the workplace.
 A poor induction process that fails to engage the employees, especially if training provided is
not applicable to actual practice in the workplace or the trainer is fail to communicate adequately
with the workers due to language gaps, trainers ability, training locations, training media etc.
59
 The absence of refresher training. And poor training needs analysis.
 A lack of awareness on the part of experienced workers for the safety of new starters.
 Peer group pressure coming to play on new starters; forcing them to disregard instruction so as
to fit in their newly acquired peer group.
 Poor level of supervision – such that inappropriate behavior detected or challenged early
 Poor safety culture – including lack of management commitment within the organization, which
will be perceived by new starter early on.
The behavioral factors: the behavioral factors are those that relate specifically to the character of the
employee themselves, rather than relating to the organization in which they find themselves working. The
behavioral factors might lead to employees disregarding instruction given during induction training might
include:
 A lack of familiarity with working environment
 Poor risk perception as a result of young age or a lack of workplace experience.
 Cultural issues associated with the cultural background (Bangladeshi workers) of the individual
and consequently the beliefs and values that they bring into the workplace.
 Language issues that might arise as a result of the nationality or cultural background of the
workers, their reading ability and any learning difficulties they may suffer from.
 Sensory impairment such as deafness, impaired hearing, impaired sight.
 LOW IQ or poor mental capabilities leading to difficulties in understanding instruction,
understanding the true nature of hazards and risk.
56-IA6-03
RRC – IA
06 –
SAQ03
a. OUTLINE the meaning and relevance of the following terms in the context of controlling human error
i) Ergonomics
ii) Anthropometry
iii) Task Analysis
[6+14 – Jan 2008]
i. Ergonomics: the human error at the workplace can be controlled by
 The design of equipments
 Task and environment to take account of human limitations and capabilities
ii. Anthropometry – the collection of data on human physical dimensions and its application to
equipment design
iii. Task analysis – the breaking down of tasks into successively more detailed actions and the
analysis of the scope for human error with each station.
b. Excluding ergonomic issue, OUTLINE ways in which human reliability in the work place may be improved.
In your answer, consider individual, job and organisational issues.
(improving safety related behaviour / human reliability means reducing the risk of human error , violation etc)
b. Human reliability plays a vital role in health and safety in work place. The ways to improve the human
reliability is as below
Q8. Jan 2013
Q8. Jan 2008
60
 Individual factors:
o Training (Safety induction, Job specific and refresher) – in the absence of proper, effective
training, worker will not know how to behave correctly and they will do what they see as the best.
o Incentive Scheme: if worker see some form of reward for good behaviour then they are more
likely to comply with the rules, etc. and they are also more likely to exercise care when
performing their duties because they have a personal reason for caring about outcomes.
Incentive can be financial in nature , but may have no financial value at all (e.g; Employee of the
Month scheme )
o Individual characteristics such as personal attitudes, skills, qualifications and aptitude.
o The consideration of special needs of those who may be more vulnerable.
o Monitoring personal safety performance
o Using workplace incentive schemes.
o Assessing job satisfaction and a counselling service for those recognised as suffering from the
effect of stress.
 Job factors:
o Allowing Appropriate rest breaks
o Introduction of task analysis for the critical task
o The design of work patterns
o Shift organisation to minimise stress and fatigue
o The use of job rotation to counter monotony and boredom and maintain some form of interest
o Usage of sufficient number of personnel to avoid constant time pressures
 Organisation factors:
o Employee selection: recruiting the right worker for the job is an important measure. For
example a worker with high IQ on a monotonous job is likely to bend and break the rules to
relieve the monotony.
o Supervision: The provision of adequate level of supervision. It is vital that workers are
supervised to an adequate level in the workplace so that non-compliance and errors are
detected and corrected early. This prevents bad habits from forming and sends a clear message
to the workers: rule breaking will not be tolerated.
o Demonstrable Management commitment - without strong leadership workers will not feel
motivated to behave correctly.
o Development of a positive health and safety culture through
 Introduction of effective health and safety management system
 Maximising employees’ involvement in health and safety issues.
 Ensuring effective arrangements for employees’ consultation.
 The introduction of procedures for change management.
o The introduction of good communication arrangements between individuals, shifts and
groups, so that workers feel engaged in the decision making process in the workplace and
therefore feel a greater level of commitment to work.
61
57-IA6-04 Outline a range of factors relating to the individual which influence behaviour in the workplace AND give an
example in EACH case. (10)
The range of factors relating to an individual that might influence his/her behaviour in the workplace. These
could have included amongst others,
 Motivation;
 Personality involving individual traits and preferences;
 Aptitude perhaps involving innate skills such as the possession of special awareness;
 Experience, education and intelligence;
 Training involving the development of cognitive and physical skills;
 Perception of risk and disability.
Q4. Jul 2010
58-IA6-05 (a) Give the meaning of the term ‘motivation’. (2)
(b) OUTLINE, with an example in EACH case, how workers can be motivated to behave in a positive way. (8)
Motivation is a driving force or incentive which encourages people to behave in a certain way and to do
something willingly.
 A prime factor in motivating workers to behave in a positive way is
 The attitude of management who should show commitment, lead by example,
 Involve and communicate with the workers and give them praise, recognition and
encouragement where this is appropriate.
 Other motivational factors include job satisfaction where sufficient time is allowed to carry out a
particular activity,
 Where the right equipment is available and
 The working environment including welfare facilities is to a good standard and
 Where there is positive peer pressure to attain certain goals.
 Reward and incentive schemes together with safety campaigns have a part to play and individuals are
inclined to react more positively when they are told what particular desired behaviour is expected of
them and when this is facilitated in such a way as to make it easy to attain.
 Training and Safety Campaigns are also effective to motivate the employees towards positive H&S.
 Finally, in certain cases, discipline may prove to be a powerful motivational tool.
Q6 Jan 2011
62
59-IA6-06 a. In relation to workplace behaviour OUTLINE what is meant by the term attitude. 2
b. OUTLINE how the media can influence attitudes towards health and safety. Making reference to suitable
example wherever appropriate. 8
a. Attitude can be defined as a:
 ‘Predetermined set of responses, built up as a result of experience of similar situations’; or
 ‘A shorthand way of responding to a situation’; or
 ‘A tendency to respond positively or negatively to certain persons, objects or situations’
OR, attitude is a predisposition to act in certain way which may be determined by ancestry, personal
experience and training.
b. OUTLINE how the media can influence attitudes towards health and safety. Making reference to suitable
example wherever appropriate.
The media can be used to help change attitudes to occupational health and safety; examples of this include:
 The media facilitate a global coverage of events (such as Bhopal Gas tragedy, Piper Alpha etc) and
can reach a vide audience using a verity of methods such as print, television, videos and the internet.
 The coverage is often sensationalist and can be influenced on occasions by pressure groups and
other bodies such as greenpeace*.
 The influence exerted by the media may be advantageous or detrimental for the industry or organisation
involved particularly those who have high media converge which can effect the perceptions of
customers, client and other stakeholders.
 Media makes the public, and in particular duty holders, aware of enforcement action such as
prosecutions, convictions and civil actions, through the newspapers, TV/radio and the Internet.
 Enforcement bodies making information on good health and safety practice easily accessible to duty
holders.
 Companies publicising good health and safety performance to promote their services and to secure
a competitive advantage by being seen as good employers.
 Adverse Publicity Orders are a sanction that the courts may impose against organisations that fail to
comply with legal requirements. They will have an adverse effect on the perceived reputation of the
organisation.
* Greenpeace is the largest environmental organization in the world, with an international membership of over
5 million and offices in over 20 countries. VISIT www.greenpeace.org
Q2. Jan 2012
Q1. Jan 2008
60-IA6-07 DESCRIBE the possible strengths and weakness of the role of employee representative in improving
workplace health and safety standards and culture for the groups of employees that they represent. 10
The possible strength of the role of the employee representative in improving health and safety culture at
the workplace can include
 Ensuring that employee concerns which might otherwise remain unknown brought to the attention of
management and if necessary to an inspector from the enforcing authority.
Q3.JUL 2008
63
 Applying pressure to ensure that the action promised to improve work conditions has been taken
 Ensuring employee involvement in and commitment to good health and safety practices
 Encouraging and supporting active monitoring by exercising the entitlement to carry out inspections of
the workplace.
 Ensuring employees input during the investigation of accidents and incidents
 Acting as a champion for health and safety and so promoting awareness and interest and encouraging
employee input on proposals affecting health and safety.
The appointment of a safety representative could have its weaknesses in that
 It could result in less direct engagement and consultation by management with the workforce on health
and safety issues.
 The investigative role could lead to a focusing on compensation claims rather than on introduction of
control measures to prevent recurrence.
 A danger could arise where health and safety issues might be mixed up and confused with other
employment relation issues.
 An employee representative who has not received appropriate training may fail to establish correct
priorities and cause resources to be wasted.
 An employee representative who is ineffective or unmotivated may undermine the existing safety culture
of the organisation by failing to represent the views and opinions of employees.
61-IA6-08 Train drivers may spend long periods of time in the cab of a train and may experienced loss of alertness. This
can increase the risk of human error.
Outline a range of measures that could reduce loss of alertness in train drivers. 10
The range of measures that could reduce loss of alertness in train drivers are as below
 Introduction of shift system to minimise the risk of fatigue with controls being introduced on shift length
 Provisions of regular breaks and sufficient recovery time particularly during and after the potential high
risk period between midnight and 06.00 hrs
 Provision of pre-employment medical examination followed by regular health screening including
measures to manage stress during the service period
 Enforcement of drugs and alcohol policy including random testing for any alcohol consumption.
 Availability of ergonomically designed cabin with air conditioning facility controls for illumination and sun
shading.
 Adjustable seating arrangements, provision of noise control measures
 The variation of route allocation may help to maintain the alertness and other measures like audible
warning devices and means of suitable communication between drivers and guard or control room.
Q4. Jan 2009
64
62-IA6-09 A train driver has passed a stop signal resulting in a collision with another train. Investigation of the incident
concluded that the driver had seen the overhead signal but had not perceived the overhead signal correctly.
There had been a number of previous similar incidents at the signal, although the driver was not aware of this.
The driver concerned was inexperienced and had not received information and training associated with that
route. The signal was hard to see being partly obscured by a bridge and affected by strong sunlight.
In addition, the arrangement of the lights on the signal was a non-typical formation. The driver had approached
the signal with no expectation from previous signals that it would be on ‘stop’.
(a) Give practical reasons why the driver may not have perceived the signal correctly. (7)
(b) Outline the steps that could be taken to reduce the likelihood of a recurrence of this incident. (13)
i. The reasons behind that why the driver may not have perceived the signal correctly includes:
 The perception may be affected by sensory input and expectation, the colour of the signal being
mistaken either because it was affected by strong sunlight or the driver’s colour vision was defective;
 The signal itself could have been defective;
 The driver may have read the wrong signal because of its unusual formation;
 The signal was visible for a short time only and its perception would have needed the full attention of
the driver;
 The driver’s expectation from previous signal positions may have influenced his perception; and
 Finally his perception may have been dulled by the effects of alcohol, drugs or fatigue.
ii. The initial steps that could be taken to reduce the likelihood of a recurrence of this incident would be
- To re-design and re-locate the signal and
- Replacing unusual signal formations, consulting with drivers during this process.
Long term actions would centre on driver recruitment and selection processes involving
 Pre- employment screening for example for vision and physical capability and
 The provision of training to include local route information, unusual signal formations,
 Information on signals which have been passed on danger on previous occasions with a final
assessment being made of the driver’s competence before he is allowed to become operational.
Other measures would include
 Ongoing supervision and competence assessment together with a programme of health surveillance;
 The avoidance of driver fatigue by the provision of breaks and the organisation of shift work;
 The introduction of an alcohol and substance policy;
 Modifying the design of cab glazing to minimise the effect of glare or reflections;
 The use of automatic train protection or warning systems and the introduction of procedures to
encourage the reporting of similar incidents and to ensure prompt action is taken by management
following the receipt of such a report.
Q 10. Jul 2009
65
63-IA6-10 An employee has been seriously injured after being struck by material transported using an overhead crane
Using the categorisation of human failure in HSE’s `Reducing error and influencing behaviour` (HSG48),
PROVIDE EXAMPLES of the possible role that human failure may have played in the accident.
[10 – Jan 2008 & National Dip Dec 2004]
OR
A worker has been seriously injured after being struck by material transported using an overhead crane.
Outline the types of human failure which may have contributed to the accident AND, in EACH case, give
examples relevant to the scenario to illustrate your answer. (10) – July 2012
The categorisation of human failure contained in HSG48 can stated as below which played a role in this
accident.
Skill Based Behaviour involves a low level, pre-programmed sequence of actions where employees carry
out routine operations.
Errors (Human failure) may arise if similar routine is incorrectly selected, if there is interruption or inattention
causing a stage in the operation to be omitted or repeated or if checks are not carried out to verify that the
correct routine has been selected.
In the scenario described in the question, errors that may have contributed to the accident include
 The operation by the crane driver of the wrong switch or
 Control or commencing the lifting operation out of sequence when worker were not prepared
Rule Based Behaviour involves action based on recognised patterns or situations and then selecting and
applying the appropriate rule set.
Errors (Human failure) would involve the application of the wrong rule for example the driver lifting instead of
lowering or the worker crossing the path of the lifting operation.
Knowledge Based Behaviour involves a higher problem solving level, when there are not set rules and is
based on having knowledge of the system.
Errors (Human failure) will consequently occur if there is a lack of knowledge or inadequate understanding
of the system. In this case described, the driver may have had little experience of the type of lifting operation
being carried out and was carrying the load at the wrong height while the injured person may have been
unaware that a lifting operation was taking place.
Finally the accident may have been caused by a deliberate failure to follow rules – a violation – where for
example, the driver had failed to operate the siren before commencing the lifting operation or the injured
person had intentionally walked too closed to the load being lifted.
Q5. July 2012
Q2. Jan 2010
Q2. Jan 2008
64-IA6-11
RRC – IA06-
LAQ1
(a) Outline the meaning of ‘skill based’, ‘rule based’ AND ‘knowledge based’ behaviour. (6)
(b) With reference to practical examples or actual incidents, explain how EACH of these types of operating
behaviour can cause human error AND, in EACH case, explain how human error can be prevented. (14)
Q10 Jan 2011
66
(a) ‘Skill Based’ behaviour occurs when a person is carrying out tasks that are routine and similar. They may
be physical task such as pushing a button on control panel. They may be mental tasks such as adding a
column of figure in the head. The person is not using any higher level reasoning skills in performing the
tasks, they are acting automatically.
‘Rule-based’ behavior is more complex, here a person is starting to use reasoning skills with higher level
decision making. Because the person is familiar with situation, they have a set of options that they can
chose from in order to help them decide on appropriate action to take.
In short, a logical approach is made to a situation along with the lines of “If A, then B” where B is the rule
apply if situation A occurs: rule based mistake.
Finally, ‘knowledge-based’ behaviour occur when a person or group of persons trouble-shooting and
problem solving. It involves higher cognitive skills reasoning and decision making. It occurs when an
unusual situation occurs and the people involve have to take action and make decision based on their
knowledge and understanding of the situation rather than relying on rule of thumb.
(b), an explanation was required of how the three types of operating behaviour might give rise to human
error and how such errors could be prevented.
In the case of ‘skill-based’ behaviour, In this mode of operation Two types of human error can occur: slips
and lapses.
A slip occurs when the person performs action incorrectly. For example
 An experienced crane operator attempts to lower the load slowly, but applies too much pressure
to the control lever resulting in a sudden violent lowering of the load.
A Lapse occurs when a person omits a step in a process. For example
 An experienced machine operator forgets to remove the chuck key from a grinder, resulting in
the key being ejected on start-up.
These types of human error, which occur when a person is behaving in skill-based mode, can be
avoided by
 Ensuring that people are not fatigued: this might require attention to shift patterns and hours of
work as well as ensuring that adequate break has been taken
 Ensuring that individuals are taking varieties of tasks may help, by avoiding complacency and
reducing repetitiveness and boredom.
 Minimising distraction in the work place can reduce the likelihood of lapses
 Slips and lapses can be reduced by introducing double check system into the work routine so
that others check that certain actions have been carried out correctly
 Supervisions to detect errors is also useful.
Examples: Signals passed at danger on the railway are often a result of skill-based errors while
67
incidents that could have been quoted include Bhopal, Seveso and Chernobyl.
As for ‘rule-based’ behaviour, A rule based mistake occurs when
 A person incorrectly applies a rule to a situation – for example a security guard attempts to
evacuate a building during a bomb threat. They know the rule for Fire is “get out and stay out”
and they incorrectly apply this rule to the bomb threat situation. The correct procedure would be
to stay in the building. The security guard has applied a general rule incorrectly to the situation.
These types of human error can be avoided by
 Providing clear guidelines to follow for all foreseeable eventualities
 By Training people in correct diagnosis of problems and the rules to apply and
 By practice of the rule so that they become well known.
 By good background training so that the workers are more capable to recognize the risks
inherent with applying simplistic rule based solutions to problems
 By exposing workers rare event situations to become aware of times when standard rules do not
apply (for ex – conducting emergency Drills
Examples could have included the Piper Alpha (Permit System Failure) or Three Mile Island.
In the case of ‘knowledge-based’ behaviour A knowledge based mistake occurs when
 A person makes a mistake because they do not fully understand the situation, the system they
are working on or they lack background knowledge for example – an electrician electrocutes
himself while fault finding on complex electrical system, because they lack the competence to
correctly diagnose the problem safely. Ex- Chernobyl
Preventive measures would again involve
 Training particularly in risk and hazard assessment,
 The provision of adequate resources in terms of information and time and
 The use of supervision and checking systems such as group or peer review.
These types of human error can be avoided by
 Ensuring that people have right level of competence for their roles that is training; background
knowledge and understandings
 By allowing people time to think a problem through and correctly diagnoses the problems and
solutions.
 By ensuring that workers are overseen by competent persons and that they have access to
source of advice either within or external to the organization.
Examples Flixborough (Incorrect Design of bypass pipe between R4 and R6) and Port Ramsgate
provide examples of this type of error.
68
65-IA6-12
RRC – IA06-
LAQ2 (a)
A poor organisational safety culture is said to lead to higher level of violation by employees
a. EXPLAIN the meaning of the term violation and the classification of violation as routine, situational or
exceptional. [6]
b. OUTLINE the reasons why a poor safety culture might lead to higher levels of violations by employees. [4]
a)
Violation is a deliberate deviation from a rule, procedure, instruction or regulation.
Routine Violations – is a violation that has become the normal way of working within the work group – for
example speeding when driving a car; it has become custom and practice to break the rule in this way.
Situational Violations – occur because the pressures of the job encourage the rule to be broken; the
procedures cant be adhered to if the job is to be done, e.g.; no PPE available in store, so pressure to continue
work without PPE.
Situational violations are not the norm within the workplace and you would often expect workers to do the job
the right way, but then they will break the rule because of some form of pressure. If a deadline is approaching
the rule breaking starts (in order to meet the dead lines) once the dead line is passed, the pressure relived
and the proper application of the rule returns.
Exceptional Violations (such as ruled based behaviour) – occur when things have gone wrong (typically
emergencies) and a rule is broken in an attempt to rectify the situation. As the name suggests, exceptional
violations only occur in exceptional circumstances.
b.OUTLINE the reasons why a poor safety culture might lead to higher levels of violations by employees. [4]
A good or poor safety culture in an organisation is based on the common beliefs and perceptions of the staff
and then the lack of a shared perception about the importance of safety could lead to individual employees
violating a rule or procedure because
 They are driven by their own perception of what is really important.
 They may be influenced by peer group pressure.
A negative perception that rules are not important and that production is more important – both prime factors
of poor safety culture could lead to higher levels of violations
Q4. July 2008
RRC – IA06-
LAQ2 (b)
OUTLINE, with appropriate reference to workplace examples, the factors that might promote routine violations
at work 14 marks
Routine violations often occur due to cutting corners to save time / energy, which is encouraged by:
69
 Awkward / uncomfortable , painful working posture
 Excessive awkward, tiring or slow controls or equipment
 Difficulty in getting in and out of maintenance or operation position (posture)
 Equipment or software which seems excessively slow to respond
 High noise level which prevents clear communication
 Frequent false alarm from instrumentation
 Instrumentation perceived to be unreliable
 Procedure which are hard to read and out of date
 Difficult to use or uncomfortable personal protective equipment
 Unpleasant working environment (dust, fumes, extreme heat or cold etc)
 Inappropriate reward / incentive schemes;
 Work load / lack of resources
In addition,
 Wrong perception, that rules are too restrictive / impractical / unnecessary (practically true where
has been lack of consultation in drawing of the rules)
 Belief that the rules no longer apply
 Lack of enforcement of the rules (e.g.; through lack of supervision / monitoring / management
commitment – even sanction by management “turning a blind eye” in order to get the job done.
 New workers starting a job where routine violations are the norm and not realizing this is not the
correct way of working (may be due to culture / peer pressure or lack of training)
66-IA6-13
RRC-IA06-
LAQ3
OUTLINE the desirable features of controls AND displays on a control panel for a complex industrial
process aimed at reducing the likelihood of human error [20 – July 2008]
 Careful design of control – those parts of control panel that an operator has to interact with to make
changes to the operation of the equipment.
 The suitable design of displays – those parts of the panel that deliver information to the operator about
the status of the equipment.
Desirable design features of control include
 Minimising the number of control needed so as to avoid operator confusion.
 Place controls in positions where they are easily operated
 Ensure that controls are ordered logically – in such a way that the operation of controls follow the
logical order of the process being controlled
 Design controls so that they require positive action in order to be operated and cannot operated
accidently or knocked, for example a hand brake of a car cannot be released simply by pushing down
on the lever
 Ensure that feedback is available to the operator to indicate successful operation of control.
 Obey any stereotyping / conventions that might already exist for that type of control. For example
Q9 July 2011
Q11. July 2008
70
switch up for off, down for on; knobs turn clockwise for increase, etc.
 If may be possible and desirable to position controls next to corresponding displays. For example – if
a knob alters temperature it might be desirable to site the knob next to the temperature readout.
 Emergency control should be prominent and distinctive so that they are easy to see and activate.
They might be positioned near to the operator’s position so that they are within easy reach in the event
of emergency.
 Controls that have to be operated frequently might be closely positioned to the operator for ease for
access, whilst those that are used infrequently might be positioned further away.
 Controls might be laid out in an arc around the operator so that they can all be activated without need to
over reach.
 Controls that require force to operate should be power or servo assisted.
 The type of control should be appropriate to the degree of control required, for example a lever may
be more appropriate than a knob.
 A system restart should again only occur after operating a control after a deliberate or non-intentional
stop. A stop function should be easy to activate and override start and adjust control.
 Labelling, shape or colour can be put to effective use to ensure controls are easily identified.
Design Features of displays includes:
 Display must be visible to the operator from their normal operating position. They must also be large
enough to be easily visible.
 They must be appropriately labelled, so that the parameter they are displaying is clear to the operator,
this might require the use of pictograms (which might also help overcome language barriers).
 The positioning of safety critical displays must be carefully selected so that they are in the operator’s
normal line of sight and in a commanding position
 Again, any conventions / stereotyping that exist should be recognised and used, for example, colours on
dials relating to changer and safe conditions would normally use green for safe, red for danger. Dials
should all increase the same way, normally clockwise.
 Careful selection of analogue vs digital displays should be made. There are times when a digital readout
is perfectly acceptable and desirable. There are other times when analogue is preferred since the
position of the needle on an analogue dial can be determined by a quick glance that does not require
the accurate reading of numbers.
Or, It is important to use the appropriate type of display for the reading i.e.; analogue or digital
 Display must be carefully placed and lit so as to avoid glare.
 Duplication of adjacent displays should be avoided in some instances where accidently reading the
wrong display might end in disaster.
 Displays should also clearly indicate the change, match expectation and attract the appropriate sense
such as flashing to draw visual attention
 Ensure all dials are in similar position for normal operation
 Marking on dials and the application of different colours can be used to indicate abnormal situations.
END OF UNIT 6
71
IA 7 : REGULATING HEALTH AND SAFETY
67-IA7- 01
RRC- IA7 –
SAQ-03
(a) Outline what is meant by punitive damages in relation to a compensation award clearly stating their
purpose AND to whom the damages are paid. (5)
(b) In relation to a claim for compensation, outline the meaning of the terms:
(i) No fault liability; (2)
(ii) Breach of duty of care. (3)
a) Punitive Damage: Punitive damages are
 Financial or monetary award which, though paid to plaintiff (claimant),
 not awarded to compensate,
 Awarded to reform or deter (discourage) the defendant and similar persons from pursuing a
course of action such as breach of health and safety procedure which damaged the plaintiff. As
such they are both a punishment and a deterrent.
 The amount of the award is determined by a court and is not linked to the losses suffered by
plaintiff (claimant).
b.i) no fault liability: is a liability which is
 Independent of any wrongful intent or negligence.
 As such, an injury alone is sufficient to confer liability (without proving the fault)
 Compensation being paid either by an insurance company or from a government fund.
The general principle of liability in tort under the English legal system is that of proving fault against
another who causes damage, harm or some other loss. If fault can be proved, the defendant,
assuming, that he or she has sufficient financial resources or is insured for the event that has
occurred, pays damages to the plaintiff. This is called fault liability.
b. ii) breach of duty of care: there are three standard conditions that must be satisfied in order to establish
a breach of duty of care. These are that a
- Duty of care was owed by an employer to his employees
- Employer acted in breach of that duty by not doing everything that was reasonable to prevent
foreseeable harm
- The breach led directly to the loss, damage or injury
4. July 2012
6. July 2009
5. July 2008
68-IA7- 02
RRC - IA7
SAQ-01
An organisation has decided to adopt a Self-Regulatory Model for its health and safety management system
Explain:
(b) The Benefits; and [6 – Jan 2009]
(c) The Limitation [4 – Jan 2009]
a. The benefits
 One of the more important benefits of self-regulation is that it is developed by those directly involved in
the management of health and safety and this can generate a sense of ownership.
Q5 July 2011
Q6. Jan 2009
72
 It may be quicker to achieve than statutory regulation.
 It can result in higher level of compliance.
 It can easily be adapted and updated.
 It often offer a cheaper and quicker means of addressing issues;
 It may often result in a closer relationship between industry and its clients.
b. The limitation
The limitations of the model are that
 All those involved may not operate within the self-regulatory rules
 Danger of self-interest being put ahead of employee or public interest.
 Lower level of compliance
 There is no third party or independent auditing and it is not valued as highly stakeholders.
69-IA7- 03
RRC –
IA&– SAQ
- 02
In relation to the improvement of health and safety within the companies, DESCRIBE what is meant by;
A) Prescriptive legislation [5]
B) Goal setting legislation [5]
[5+5 – July 2008, National – June 1999]
A)
Benefits of prescriptive legislation:
 Its requirements are clear and easy to both duty holders and enforcement officers.
 It provides same standard for all
 It is not difficult to enforce and
 It does not require a high level of expertise.
 Many aspects of legislation need to be prescriptive e.g. the requirement to carry out risk assessments or
to have a written safety policy.
Limitation of prescriptive legislation:
 It is flexible, may be inappropriate in some circumstances by requiring too high or too low a standard
 It does not take account of local risks and
 It may need frequent revision to keep up with changes in technology and knowledge.
 It may be necessary to amend it more frequently because it has become out-dated.
 If new hazards are created it may require new legislation.
B)
Benefits of Goal setting legislation:
 It has more flexibility in the way compliance may be achieved,
 It is related to actual risk and
 It can apply to a wide variety of workplace
 Less likely to become out of date so Infrequency of amendment
 The ability to keep pace more easily with technological change
Q5. Jan 2013
Q5. Jan 2011
Q1. July 2008
73
 Speedier method of enactment by way of negative resolution procedure
Limitation of Goal setting legislation:
 Open to wide interpretation and
 The duties it lays and the standards may be unclear until tested in courts of law.
 More difficult to enforce
 It may require higher level of expertise to achieve compliance.
70-IA7- 04
RRC – IA7
– LAQ 1 ( c
)
(a) Outline the role of health and safety legislation in the workplace. (10)
(b) Outline the limitations of health and safety legislation in the workplace. (10)
a)
The role of health and safety legislation in the workplace is
- To provide workers with the minimum standards of health and safety which through employer
compliance, prevents injuries and occupational illness
- The legislation kept up to date by government and applies to all workplaces ensuring consistent
application.
- The legislation may be prescriptive, or goal setting, supported by approved code of practices or
guidance to assist interpretation of standards required.
- Prescriptive legislation provides specific advice and rules to follow while the role of goal setting legislation
is to provide general advice and localized interpretation and ownership.
- It ensures the appointment of competent workplace inspectors and allows for penalties against those
who are found to be breaking the law.
- Legislation can address any specific regional needs, may harmonize standards amongst countries,
provides a civil route for obtaining compensation even if no fault liability exists in certain countries and is
a demonstration of compliance with ILO conventions.
b) The limitations of health and safety legislation are that
- In the case of prescriptive legislation, it quickly becomes outdated, does not address social, technological
or economic changes and often lacks detailed regulations to supplement its requirements while the
interpretation of goal setting legislation is variable and inconsistent.
- Much of the legislation addresses industrial safety and not occupational health.
- There are often insufficient resources available for inspecting workplaces and enforcing the legislation
and often the limited penalties awarded are not a sufficient deterrent for employers caught breaking the
law.
- Additionally, many employers and workers are unfamiliar with the content of the legislation and this is not
helped by the lack of involvement of employers, trade unions and workers in the process of standard
setting.
Q9. July 2012
Q10 July 2010
74
- Again, the main and often sole limitation that came to mind and was mentioned was the variety and
inconsistency in the interpretation of goal setting legislation.
71-IA7- 05
RRC – IA7
– LAQ - 01
a. In relation to the improvement of health and safety within the companies, DESCRIBE what is meant by;
 corporate probation [2]
 adverse publicity order [2]
 punitive damage [2]
[6+10+4 – Jan 2008, Jan 2009]
I. Corporate Probation: a corporate probation is a supervision order imposed by a court on a company that
has committed a criminal offence, the order might require the company and its officers and directors to
alter their conduct in a particular way by
 Reviewing its safety policy or its health and safety procedures,
 Initiate a training program for its director and senior management to reduce the number its
accidents improve its safety standards.
Therefore, a corporate probation or remedial Order is the most effective means whose aim is to instigate a
change in the organisation’s culture under the supervision of the court.
II. Adverse Publicity Order: If company has been found guilty of gross negligence and been convicted of
corporate manslaughter, the court will want to impose penalties or corporate probation Order that would
be in the public domain and therefore, by default, act as Adverse Publicity Orders.
The intention of an adverse publicity orders would be to make a public statement and to change its
approach to the management of H&S.
III. Punitive Damage: are
 Financial or monetary award which, though paid to plaintiff (claimant),
 not awarded to compensate,
 Awarded to reform or deter (discourage) the defendant and similar persons from pursuing a
course of action such as breach of health and safety procedure which damaged the plaintiff. As
such they are both a punishment and a deterrent.
 The amount of the award is determined by a court and is not linked to the losses suffered by
plaintiff (claimant).
*Plaintiff - A person who brings an action in a court of law
b. OUTLINE the mechanism by which ILO can influence health and safety standards in different countries. [10]
The mechanism by which ILO can influence H&S standards in different countries includes
 The development of international labour standards through conventions supplemented by
recommendations containing additional or more detailed provisions
 The ratification of conventions by member states which commits them to apply the term of convention
in national law and practice
Q9 Jan 2011
Q10. Jan 2009
Q9. Jan 2008
75
 The requirement for member states to submit reports to the ILO detailing their compliance with
obligations of the conventions they have ratified.
 The initiation of representation and compliant procedures against countries for violation of a convention
they have ratified
 The provision of technical assistance to member states where this is seen to be necessary and indirectly
through the pressure applied internationally on non-participating countries to adopt ILO standards
c. DESCRIBE what is meant by the term ‘Self-Regulation’ in relation to health and safety management within
the organisation. [4]
Self-Regulation in general term might refer to the health and safety legislation to set standards and
objectives and leave it to the duty holder to determine how best to achieve them.
More particularly it could refer to the means by which members of a profession, trade or commercial
activity are bound by a mutually agreed set of rules often set out in a code of practice or conduct.
It governs their inter relationship and the way they operate.
The rules may be accepted voluntarily or they may be compulsory.
There will normally be a procedure for resolving complaints and for the application of sanctions against
those who infringe the rules.
72-IA7- 06
RRC – IA 7
– LAQ2
(a) Identify influential bodies in regulating health and safety performance AND outline how they may exert
their influence. (10)
=>Non-governmental bodies have an important role in influencing H&S standards. Identify FIVE relevant parties
and OUTLINE their roles in regulating the H&S performance. 20 marks (LONG)
(b) Some organisations may decide to adopt standards such as OHSAS 18001. Describe how
demonstrating compliance with such a standard can be used to:
(i) Promote health and safety performance in a company; (5)
(ii) Regulate health and safety performance in a company. (5)
(a)
 Employer bodies:
 Represents the interest of employers,
 CBI (Confederation of British Industry) which is main lobbying organization in UK business.
 Works with government, legislators, policymakers to jelp UK businesses complete more
effectively.
 Trade Association: are formed from a membership of companies who operate in a particular area of
commerce and exist for their benefits. It Promote common interest / improvements in Quality, health,
safety and environment and technical standards; through
 Publication of guidelines, information notes, codes of practice and regular briefing notes on
technical issues and regulatory development.
Q7. Jan 2012
76
 Sharing of good practice
 Provision of news and events appropriate to the members’ areas of activity.
 Meeting, workshops seminar to enable networking / exchange of information / ideas on technical
and safety issues.
 Trade union: are organization of workers who have form together to achieve common goals in key areas
such as wages, hours and working conditions. The trade unions negotiate with the employer on behalf of
its members and negotiation contracts with employers. This may include –
 The negotiation wages, work rules, complaint procedures, rules governing hiring, firing and
promotion of workers, benefits, workplace safety and policies.
 Agreements negotiated binding on rank and file members.
 Unions may appoint safety representatives among the workers who may investigate the accidents,
conduct inspection and sit on a safety committee.
 Professional Groups: is an organization of individuals who work in a particular profession and have
achieved a defined level of competence. Members pay a subscription fees and receives a range of
benefits, such as In UK, IOSH:
 Largest body for H&S professionals
 It is an independent, non-profit organization that set professional standards
 Support and develop members
 Provides authoritative advice and guidance on H&S issues
 Pressure groups :called lobby groups or protest group organized group of people who have a common
interest, seeks to influence governmental policy or legislation
 They carry out research, lobby members of parliament and so aim to influence public and
ultimately government opinion
 For instance in UK, the Centre for Corporate Accountability, concerned with the promotion of
worker and public safety.
 It focuses on role of state bodies in enforcing H&S law and investigating work related death and
injuries.
b) Demonstrating compliance with a standard such as OHSAS 18001 can promote health and safety
performance in a company by
- Communicating minimum standards of performance;
- Developing systems for compliance supported by senior management and involving workers in their
development;
- Using departmental auditing scores and internal performance league tables to encourage
compliance;
- Introducing reward schemes linked to compliance;
- Using compliance as a marketing tool in attracting clients; and
- Publishing performance achievements in the company’s annual report.
77
There are number of ways in which compliance with the standard might help to regulate health and safety
performance in a company. For instance,
- In the case of a failure to maintain compliance, stakeholders might take retribution against the
management team, clients and business partners may cease to engage with the company, and
insurance companies may withdraw their cover.
Accordingly, the threat of loss of business and damage to the company image may help to improve standards
and management commitment.
Additionally, internal and third party audits will identify failing compliance and require solutions to be put in
place to maintain accreditation with the possibility of internal sanctions being imposed on offending
departments for non-compliance.
Finally, the organisation will always be conscious of the various actions that might be taken by the accrediting
body from informal notification of failure to comply with the standard, through formal notification if non-
conformance were to continue to the ultimate act of withdrawal of its accreditation.
73-IA7- 07 a) In relation to a binding contractual agreement state the meaning of: [5]
i) Express term 5
ii) Implied terms 5
b) In relation to a new grounds maintenance contract, GIVE examples of the information which should be
stated in the contract terms, in order for the work to be undertaken safely. [5]
a.i) Express term: those specifically mentioned and agreed by all parties at the time the contract is made.
They may take account of unusual circumstances but should not include unfair terms.
a. ii) Implied terms: are neither written in the contract nor specifically agreed. They include terms such as
matters of fact, matters of law, matter of custom and practice. In case of dispute the may ultimately have to be
determined by the court.
b.
The following information to be included in contract terms in order for the work to be undertaken safely:-
 Responsibilities of contractor to provide safe working environment including safe means of access and
egress to the site
 To provide safe plants and equipments tested and examined in accordance with any legal requirements
 To provide adequate welfare facilities for the workforce
 To ensure the employees were given relevant information, instructions and training and were properly
supervised
 Procedures for dealing with any emergency that might occur.
Q5. Jan 2012
Q3. July 2010
Q6. July 2008
78
74-IA7- 08 Companies are subjected to many influences in health and safety.
(a) In contract law state what is meant by express terms. (2)
(b)Outline how influential parties can affect health and safety performance in a company. (8)
(c)Outline how non-conformity to an accredited health and safety standard such as BS OHSAS 18001 can
be used as a form of enforcement in a self-regulatory model. (10)
a) Express terms are those specifically mentioned and agreed by all parties at the time the contract is
made. They may take account of unusual circumstances but should not include unfair terms.
b) There are a number of parties who can affect health and safety performance in a company such as
- Employer bodies who may set professional and performance standards for member organisations;
- Trade associations who set performance standards for members and can require self-regulation
and compliance with accredited management systems;
- Trade unions whose representatives check workplace conditions and provide advice and guidance;
professional groups such as IOSH who set professional standards of performance and provide
advice and guidance;
- Pressure groups who can organise campaigns to obtain bad publicity for non-performing
organisations;
- The public who as customers can influence the success of an organisation by boycotting goods and
services;
- The ILO who publish advice and guidance and enforce standards in conventions and
recommendations;
- Insurance companies who can require specific performance standards for insurance cover and
may remove statutory cover for non-compliance and the media who are always willing to provide
publicity and coverage of incidents affecting the health and safety of workers and others.
c) Non-Conformity with an accredited health and safety standard may be used as a form of enforcement in a
self-regulatory model such as:
- Stakeholders who require conformity with an accredited health and safety standard and may seek
retribution against the management team for failing to maintain the standard while clients and
business partners will not engage with the organisation unless the accreditation is maintained;
- Insurance companies may require a demonstration of a standard of performance in line with the
requirements of the standard and withdraw cover of statutory insurance if there is non- compliance;
- Third party audits will identify failing compliance and require solutions to be put in place to maintain
accreditation;
- The threat of removal of accreditation and that of loss of business may help to improve standards;
- The loss of reputation as a result of non-compliance may damage the image of the organisation;
- The possibility of expulsion from associations or trade bodies as a result of the loss of accreditation
will motivate compliance;
- The lack of credibility in not complying with a recognised system may motivate compliance as
business is affected;
Q11. Jul 2009
79
- The various levels of action open to the accrediting body such as informal notification of failures,
formal notification of non-conformance and finally the withdrawal of accreditation can provide a
strong inducement to comply with the standard.
This was the least popular of the questions in the second half of the paper with some candidates possibly
deciding to avoid it because of the reference to enforcement, and it was not well answered by those who
attempted it with many seeming not to understand what a self-regulatory model is in the context of health and
safety management.
75-IA7- 09 There are a number of external influences on an organisation in relation to the management of health and
safety.
(a) Outline the purpose of International Labour Organisation Codes of Practice. (2)
(b) Outline how International Labour Standards are created at the International Labour Conference. (4)
(c) Outline how the International Labour Organisation can influence health and safety standards in different
countries. (6)
(d) Outline how the media (television news programs, newspapers, radio broadcasts, internet pages, etc)
can influence attitudes towards health and safety. (8)
a) The ILO Codes of Practice contain practical recommendations for those responsible for health and safety
and are intended as guides for public authorities, employers and workers. They are not intended to
replace the provisions of laws and regulations and are not legally binding. They do, however, provide
additional information in clear language and provide support for conventions adopted by the ILO.
b) The creation of an International Labour Standard is organised by ILO and is initially the subject of an
agenda item at the ILO conference. The ILO prepares a report analysing the requirements of members’
laws which is circulated to all members. The item is discussed at conference and a further report is
prepared together with a proposed draft of the standard. This is again put to conference, amended where
necessary and then proposed for adoption. Adoption needs a two thirds majority of members of the
conference.
c) On the mechanisms by which the International Labour Organisation can influence health and safety
standards in different countries, such as
- The development of international labour standards through conventions supplemented by
recommendations containing additional or more detailed provisions;
- The ratification of the conventions by member states which commits them to apply the terms of the
convention in national law and practice;
- The requirement for member states to submit reports to the ILO detailing their compliance with the
obligations of the conventions they have ratified;
- The initiation of representation and complaint procedures against countries for violation of a
convention they have ratified;
Q10 Jan 2010
80
- The provision of technical assistance to member states where this is seen to be necessary and
indirectly through the pressure applied internationally on non-participating countries to adopt ILO
standards.
d) The global coverage of incidents involving health and safety by the media which may influence the
perceptions of the clients, customers and other stakeholders of the companies or industries involved.
- The influence may be positive but normally has the opposite effect. The coverage is generally
sensational, particularly when the incident has resulted in fatalities or when enforcement action is
taken and is specifically designed to attract attention with the media using to full effect the multiple
methods of delivery at its disposal such as television, radio, print, video and the internet. In addition
to the coverage of incidents, the media may also influence the attitudes of the public towards health
and safety by topic focused advertising.
END OF UNIT 7
81
IA 8 : MEASURING H&S PERFORMANCE
76-IA8- 01
RCC – IA 8
– SAQ 01
(a)
a) Explain the objectives of:
i) Active Health and Safety Monitoring
ii) Reactive Health and Safety Monitoring
b) Outline FIVE active health and safety monitoring methods
c) Outline FIVE examples of Reactive health and safety monitoring data that can be used to benchmark
health and safety performance.
a) Active / Proactive monitoring systems measures the compliance with standards. It often refferred to as leading
indicators, since they masures acheivement of objectives and targets, therefore indicate the direction that the
organisation is currently taking. Completion of safety inspection might be used as proactive measures.
Reactive Monitoring measures previous failure in performance, enabling an organisation to learn from its own
mistakes. It often referred to as lagging indicatorsince they reflects where the organisation al ready been. Its
history in effects . Number of accidents during a time period might be used as a reactive mesures.
b) Examples: Active Monitoring: Safety inspection, HSE Audits, HSE Meetings, Emergency Drills, Numbers of HSE
Trainigns conducted, Safety Tour, Safety Sampling, HSE Award etc
c) Examples: Numbers of Accidents, Number of Nearmiss, Numbers of Ill Healths, damage to property etc
Q10. Jan 2013
Q8 Jan 2011
77-IA8- 02
RCC – IA 8
– SAQ 01
(b)
Explain the limitation of relying on accident numbers only as a measure of health and safety
performance. 10
- Reactive data such as accident and ill health statistics can be seen as rather limited because they
measure failure, even though there might have been successes in other areas. They are therefore
inherently negative.
- This data as measure of performance provides only a prediction, rather than a determinant for the
future.
- The data lags current performance it does not lead current performance
- Health statistics can be very limited, simply because occupational illnesses have a long latency period.
Therefore current data reflects workplace standards that existed years previously
- One final limitation of reactive data is that they extremely reliant on good reporting system. Poor
reporting leads to poor data quality and consequently poor meaning.
Or
- The possibility of under reporting;
- The fact that though there are few accidents, this may not be as a result of an effective health and safety
management system and additionally, in a low risk business, few accidents are not always an indicator
of effective control while in a business where the risks are high, a large number of accidents may not
always indicate an ineffective management system;
- The number of accidents alone gives no indication of the incidence of ill-health or the number of near
misses that may have occurred;
- They do not provide data on the frequency or severity of the accidents that have occurred, the accident
rate relative to the number of workers nor a measurement of trends over time;
- They do not provide an opportunity for comparisons with a benchmark standard and the data produced
Q3. Jan 2013
Q6 Jan 2010
82
is historical and reactive whereas a true indication of health and safety performance relies on both
proactive and reactive monitoring measures.
78-IA8- 03
RRC – IA8
– SAQ - 02
A publicity campaign was used to encourage improvement in compliance with safety standards within a
particular organisation. During the period of the campaign the rate of reported accidents significantly
increased and the campaign was considered to be a failure.
(a) Outline reasons why the rate of reported accidents may have been a poor measure of the
campaign’s effectiveness. (2)
(b) Outline FOUR proactive (active) monitoring techniques which might be used to assess the
organisation’s health and safety performance. (8)
a. Accident rates may have been a poor measures to use to indicate the success of the campaign because
 There have been un-reporting of accident prior to the launch of campaign, This un-reporting
would lead to an artificial low accident rate.
 The campaign would then raised the awareness of safety issues within the industry. This
draws people’s attention to safety and accident reporting, as a result accident reporting
improves despite the fact that underlying accident rate might not change at all.
 Consequently, the apparent accident rate increases during and after the campaign. This is a
common occurrence as safety awareness improves within industries and organisation.
b. Proactive Monitoring Techniques includes
 Physical inspection of work place to identify hazards and unsafe conditions
 Safety audits where the systematic critical examination of all aspects of an organisation’s H&S
performance against stated objectives is carried out.
 Safety tours involving unscheduled inspections to observe the workplace in operation without prior
warning and to check on issues such as housekeeping, use of PPE, gangways and maintenance of
fire exits
 Safety sampling of a specific area or particular items of plant with repeated sampling to observe the
trends.
 Safety surveys involving in depth examinations of specific issues or procedures such as changes in
work procedures
 Environment monitoring and / or health surveillance
 Safety climate measures such as use of employee questionnaire
 Behavioural observation and measuring health and safety performance in certain areas is compared
with other organisations with similar processes and risks.
Q6. Jan 2008
79-IA8- 04 As a part of its health and safety management system an organisation monitors its health and safety
performance.
a. Excluding safety tours, outline FOUR active monitoring techniques. [4]
b. Outline four Reactive monitoring techniques [4]
c. Explain the benefits of active monitoring and reactive monitoring [6+6]
Q9. Jan 2009
83
b. Active monitoring techniques includes
 Physical inspection of work place to identify hazards and unsafe conditions
 Safety audits where the systematic critical examination of all aspects of an organisation’s H&S
performance against stated objectives is carried out.
 Safety sampling of a specific area or particular items of plant with repeated sampling to observe the
trends.
 Safety surveys involving in depth examinations of specific issues or procedures such as changes in
work procedures
 Environment monitoring and / or health surveillance
 Safety climate measures such as use of employee questionnaire
 Behavioural observation and measuring health and safety performance in certain areas is compared
with other organisations with similar processes and risks.
c. Four Reactive monitoring techniques includes
 Accident investigation to determine root causes and reasons for substandard performances
 Ill health report which provides information about work related conditions and issue that affects
health.
 Nearmiss and dangerous occurrence report which provide details of events that point to root
causes common to accidents and point failures in control measures.
 Enforcement action which relate to specific breaches of the law and the need for the improvements
in health and safety
 The number of civil claims again pointing to areas where improvement is necessary.
 The analysis and comparison of costs associated with accidents and employee complaints which
provide an indication of workplace health and safety shortcomings that given concern.
d. Explain the benefits of active monitoring and reactive monitoring [6+6]
Active monitoring gives an organisation feedback on its performance before an accident, incident or ill
health. It is not reliant on the reporting of hazards and gives a picture of current performance. The benefits of
active monitoring includes
 It includes monitoring the achievement of specific plans and objectives, the operation of the health
and safety management system, and compliance with performance standards.
 It defines hazards before the events and allow corrective measures to be implemented thus reducing
loss
 It allows measurement of compliance and non compliance
 It identifies the reasons for non adherence to procedures
 It enables more effective decision making and finally enables employees involvement and
communications
 Active monitoring measures success and reinforces positive achievement by rewarding good work,
rather than penalising failure after the event. Such reinforcement can increase motivation to achieve
continued improvement.
84
Reactive monitoring systems are triggered after an event and include identifying and reporting
 It measures historic performance
 It relies on accurate reporting
 It identifies the consequences of hazards and importantly the cause of failure
 It identifies legal compliance and non compliance
 It demonstrate commitments and improves morale
 It allows data to be used to compare trends over time and provides an opportunity to learn
80-IA8- 05
RRC – IA8
– LAQ3
Your organisation has made a determined efforts to improve its safety culture over that last few years. The
board of directors has now requested that you provided evidence of the effect of this investment on the
organisation’s health and safety performance. Review the performance indicators that might be used to
provide such evidence.
There are various persormance indicators that might be used to assess the safety culture of the org and the effect of
investments and efforts directed at improving safety culture. These indicators can be split into two part –
- Active or pro active measures
- Reactive measures
Active / Proactive monitoring systems measures the compliance with standards. It often refferred to as leading
indicators, since they masures acheivement of objectives and targets, therefore indicate the direction that the
organisation is currently heading in and a clear indication of current actual performance. For example –
 Completion of safety inspection might be used as proactive measures. This can be done by
measuring the actual performance of inspection against standards ,
 Audit results, which reveals the stregth and weakness of the organisation by in depth, systematic and
critical look at the safety management syste of the org.
 Alternatively, hazards reporting levels might be used to assess the performance – a high level of
hazarad reporting is often perceived as a negative indicator because a lot of problems are beign
detected.
 Safety climate survey results can be an excellent indicator of culture and survey can be designed and
tailored specifically to measure culture
 Behavioural observation results are another excellent ways of measuring safety culture, since they
focus on workers behaviour rather than unsafe conditions.
 Health survilance monitoring data
 Acheivement levels againts objectives are active measures might be used to assess the effects of
improvement over the year.
Reactive Monitoring measures previous failure in performance, enabling an organisation to learn from its own
mistakes. It often referred to as lagging indicatorsince they reflects where the organisation al ready been. Its
history in effects . such as accident / ill – health, nearmiss reporting data.
There are some limititions with using reactive data of this nature as indicator of performance. Most probabily
there are issue on report rates. If accidents, nearmiss etc are not reported , then the data genrated will not give
the actual picture of actual performance.
Property damage levels are another reactive measures that might be used but it also suffer from same
inherent weakness – reporting of all events may not occur.
Level of absentiesm – are often more accurate indicators though again there are inherent difficulties with
85
making link between workplace absence or work place accident , ill health.
The level of litigition nad enforcment action that the company is engaged in , are clear indicators of safety
culture.
81-IA8- 06 Outline issues that should be considered when planning a health and safety inspection programme. 10 (
Information on the specific workplace conditions or behaviours that might
be covered in an inspection is not required.
The focus of this question was the planning of a health and safety inspection programme and not the specific
workplace conditions that should be covered in an inspection. Remember who, what, where and when.
The factors that should be considerred when planning for H&S inspection programme includes –
 The composition and competence of the inspection team;
 The specific areas of the workplace to be inspected;
 The frequency and timings of the inspections which may have to be more frequent in higher risk areas
with a decision being made as to whether the inspections would take place at peak working times or
during slow periods;
 The method of carrying out the inspections and whether check lists should be prepared and if so by
whom;
 The possible need to provide personal protective equipment for the inspection team;
 The involvement of the workforce in consultation on the proposed programme;
 The need to obtain senior management support and consulting previous inspection reports and
 Researching applicable legislation and standards;
 Deciding on procedures to be followed after the inspection to ensure appropriate remedial action is taken.
Q1. July 2012
Q5. July 2009
Extensive repair work is needed to the roof of the main production area of a large factory. The factory is to
remain fully operational during the work.
(a) Identify the criteria that might be used when selecting a contractor for the work to ensure they have the
necessary competence in health and safety. (8)
(b) Identify ways in which the factory management should control the work of the contractor to ensure that
risks to factory workers are minimised. (12)
Q10. July 2012
82-IA8- 07
RRC – IA8
– LAQ - 01
As the Health and Safety Adviser to a large organisation, you have decided to develop and introduce an in-
house auditing programme to assess the effectiveness of the organisation’s health and safety management
system.
Describe the organisational and planning issues to be addressed in the development of the audit
programme. You do not need to consider the specific factors to be audited. (20)
Q11. Jan 2012
Q11. Jan 2010
86
The issues that needed to be addressed included
- Correct identification and gain of the resource such as money, time , personnel through careful
planning and analysis.
- Gaining support of directors and senior managers – so that
o Those resources are made available
o Access is authorized to all of the necessary information and personnel across the organization
o Access to the senior managers themselves during the audit process is agreed
- A scope of the auditing to be carried out –
o Will the audit stick to H&S issues, or range across other areas as well?
o Which parts of the organization are to be audited?
These will be particularly important questions to answer with regard to geographical locations to
be audited and, consequently, the legal standards that will apply.
- The type of auditing will also need to be decided.
o Will a proprietary system be purchased, or will one be developed from scratch internally, or a
combination of two?
o The manager will have to decide on whether to use a scored audit system or one more reliant on
narrative judgments.
o Whether software need to be purchased to run the audit system and decision will have to be
taken for type of the software and resource requirement.
- An audit schedule will have to be designed, taking into account
o The resources made available for conducting audits,
o The size of the oraganisation and the frequency required, the frequency may vary from one part
of the organization to other depending on the risk level presented.
- The auditors will be selected and given adequate trainings and ongoing support, this will off course
require the co-operation of their manager.
- The standards against which the management arrangements were to be audited, the identification of the
key elements of the audit process such as the planning, interviews and verification, feedback routes and
the preparation and presentation of the final report.
- The methods used to provide feedback on audit findings, the type of feedback given, the methods used
for resolving disagreement with feedback and the review process will all have to be considered and
finalized.
- Consideration must be given to how the audit program will be launched, this might involve –
o Clear communication of programme
o Its aim, methods and processes through various media
o A test pilot may have to be conducted to ensure the efficient working of the system and to ensure
the acceptability of scheme to others.
87
83-IA8- 08 OUTLINE how safety tours could contribute to improving health and safety performance and to improving
health and safety culture within a company.
Discussion of the specific health and safety requirements problems or standards that such tours may address
is not required. 10
There number of contribution that safety tours could make in improving health and safety performance in a
company including
 Helping to identify compliance or non compliance with performance standards
 Repeated tours in same area can also reveal the improving or worsening trend
 Helping to verify the implementation and effectiveness of agreed course of actions.
Additionally when tours carried out in different areas they can point up a common organisational health and
safety problems and may identify opportunity of improved performance through observations of the tour
members or by their conversation with employees during the tour.
When tours are carried out on unscheduled basis there is additional benefits of observing normal standards of
behaviour rather than those specifically adopted for the event
Safety tours may also help to improve H&S culture of an organisation particularly if they are led on a regular
basis by members of management indicating their commitment to the cause.
Additionally, prompt remedial prompt remedial action for deficiencies noted enhances the perception of the
priority given to health and safety matters whilst the involvement of employees in the tours will again
encourage ownership and improve their perception of the importance of the subject, particularly if the findings
of the tours are shared with the workforce on a regular basis.
Q5. Jan 2009
84-IA8- 09 (a) Outline the requirements for the development of and key objectives within the policy section of a health
and safety management system such as that detailed in the ILO- OSH-2001 Guidelines on Occupational
Health and Safety Management Systems. (11)
(b) (i) Describe how the effectiveness of a health and safety management system could be measured. 6
(ii) Giving an example in EACH case, outline the format in which the data gathered on
health and safety performance could be presented clearly in a company annual report. (3)
a.The policy section of a health and safety management system should,
- Following consultation with workers and their representatives, set out in writing a policy which should
be
o Specific to the organisation,
o Appropriate to its size and the nature of its activities and be concise,
o Clearly written and dated and
88
o Made effective by the signature or endorsement of the employer or the most senior
accountable person in the organisation.
- The policy should be communicated and made readily accessible to all persons at their place of
work, reviewed for continuing suitability and revised when seen to be necessary.
- Additionally it should be made available to relevant external interested parties as appropriate.
- The key objectives of the policy should be
o to protect the safety and health of all members of the organisation by preventing work related
injuries, ill-health, diseases and incidents and these would be achieved by complying with
relevant occupational health and safety national laws and regulations, voluntary
programmes, collective agreements on occupational safety and health and other
requirements to which the organisation subscribes.
o Achievement of the objectives would also be aided by ensuring that workers and their
representatives are consulted and encouraged to participate actively in all elements of the
organisation’s occupational safety and health management system with the aim of securing a
continual improvement in the standard of the system.
This was not a popular question and attracted few reasonable answers with not many candidates seeming to
understand what ILO-OSH-2001 was or what it required. Most based their responses on either HSG65 or the
components of a health and safety policy which was not relevant.
b.i. The effectiveness of a health and safety management system could be measured by
- Proactive measures of performance involve carrying out activities such as safety inspections, tours
and audits while
- Reactive measures embrace amongst others the investigation of accidents and cases of ill-health
and the preparation of incident rates.
b.ii. Data gathered on health and safety could be presented in a company annual report by
- Graphical representations such as pie charts and histograms displaying accident statistics;
- Tabular numerical representations such as for example the number of risk assessments completed; and
- Textual representations with brief summaries of departmental initiatives and case studies.
Whilst there was the occasional reference to pie charts, very few managed to convince the Examiners that
they had a good grasp of graphical, tabular and textual representations.
END OF UNIT 8
89
Questions from:
1. Int. Exam. Rept. Jul 2013-Unit-IA
2. Int. Exam. Rept. Jan 2013-Unit-IA
3. Int. Exam. Rept. July 2012-Unit-IA
4. Int. Exam. Rept. Jan 2012-Unit-IA
5. Int. Exam. Rept. July2011-Unit-IA
6. Int. Exam. Rept. Jan 2011-Unit-IA
7. Int. Exam. Rept. July2010-Unit-IA
8. Int. Exam. Rept. Jan 2010-Unit-IA
9. Int. Exam. Rept. July2009-Unit-IA
10. Int. Exam. Rept. Jan 2009-Unit-IA
11. Int. Exam. Rept. Jan 2008-Unit-IA
12. Int. Exam. Rept. July 2008-Unit-IA
Focus on Questions of July 2012, JAN 2012, Jan 2011, Jul 2011, Jul 2010 Jan 2010

Nebosh unit ia questions matrix - ans

  • 1.
    1 NEBOSH UNIT-IA QuestionsMatrix S# - UNIT - S. # Questions Dates Element IA 1 : PRINCIPLE OF HEALTH AND SAFETY MANAGEMENT 01-IA1-01 RRC-IA1- LAQ2 An organization is proposing to move from a health and safety management system based on the ILO OHS 2001 model to one that aligns itself with BS OHSAS 18001. Outline the possible advantages AND disadvantages of such a change. (10) Advantages includes: - The move from ILO OHS 2001 model to BS OHSAS 18001 would facilitate easier integration with BS EN ISO 14001 and ISO 9001:2000 to produce an integrated management system - Publicity value; - Improved customer perception; - International recognition; a clearer standard for benchmarking and commitment to continual improvement. - External registration and independent external assessment would be available and that a more prescriptive system is easier to assess. Examples of possible Disadvantages could have included - The models like ILO OSH 2001 is the system recognized and used by the regulator and they are likely to audit an organisation against this standard, as much of the published guidance is often directly linked to the model. - The direct on-costs of changing a system; - How time consuming the model can be; - The cost of external registration; - The likelihood of increased paper work to satisfy assessors and the fact that the model may be too sophisticated for small to medium sized enterprises. - Additionally, since the 18001 system is often used alongside the other ISO standards of 9001 and 14001, there is a possibility that those auditing it may not be health and safety specialists. Q3. Jul 2012 Q1. Jul 2009 02-IA1-02 RRC-IA1- SAQ02 (a) An extract from a company annual report is given below. Comment critically on the suitability of the content in providing information to the stakeholders. (5) „The company has done much better at health and safety in the last year compared to previous years. In 2008 there were 170 accidents that required first-aid treatment compared to 180 in 2007, 185 in 2006 and 240 in 2005. This significant reduction is due to our new health and safety manager and a reduction in staff numbers from 1500 in 2005 to 1400 in 2006 and 1300 in 2007 to 900 in 2008, which also helps reduce business costs. Fatalities were also reduced from 11 in 2007 to 4 in 2008, a significant decrease.‟ The management team is Q2. Jul 2012
  • 2.
    2 confident of furtherreductions in 2009. (b) Calculate the non-fatal accident incidence rates AND comment on the findings. (5) Ans a - The report showed no commitment to health and safety; - There was no recognition of proactive and reactive management; - The data was shown in an unclear way and could be improved by using graphical representation; and - There was no remorse shown in the fatality comments. b Year No of accident Avg Employees non-fatal accident incidence rates 2008 170 900 1888 2007 180 1300 1384 2006 185 1400 1321 2005 240 1500 1600 Accident incident rate = (No. of accident / AVG number employee) x 10, 000. Once the Accident – incident rates are calculated the actual performances are revealed. Here accident numbers decrease but the ratios / rates increase. Since the raw accident data may give the impression that safety performance is actually improving. But the reality may be the contrary. Therefore, the annual reports must not show the raw accident data instead the accident – incident rates or booths should be written for the better understanding of the readers. NEBOSH Examiners reports says - It was generally well answered, although it did identify candidates who did not know how to calculate the rates.
  • 3.
    3 03-IA1-03 You arepreparing a detailed report intended to persuade senior management to make resources available for the management of health and safety. Outline reasons for managing health and safety that you would include in the report. (20) the legal, moral and financial reasons, refer 05-IA1-05 Q7. Jul 2012 04-IA1-04 a) Outline the purpose of the ‘organization’ and ‘arrangements’ sections of a health and safety policy. (4) b) Outline why it is important that all workers are aware of their roles and responsibilities for health and safety in an organization. (8) c) Identify the issues that could be included in the ‘arrangements’ section of an organization’s health and safety policy giving an example in EACH case. (8) (a) The purpose of the organization section of a health and safety policy is  To identify health and safety responsibilities within the company and ensure effective delegation and reporting lines.  To set out in detail the specific systems and procedures that aim to assist in the implementation of the general policy (b) Making all persons in an organization aware of their roles for health and safety will  Assist in defining their individual responsibilities and will indicate the commitment and leadership of senior management.  A clear delegation of duties will assist in sharing out the health and safety workload, will ensure contributions from different levels and jobs, will help to set up clear lines of reporting and communication  Assist in defining individual competencies and training needs particularly for specific roles such as first aid and fire.  Increase their motivation and help to improve morale throughout the organization. (c) Safe systems of work  Such as permit to work procedures;  Arrangements for carrying out risk assessments;  Controlling exposure to specific hazards for example noise, radiation and manual handling;  Monitoring standards of health and safety in the organisation by means of safety tours, inspections and audits;  The use of personal protective equipment such as harnesses and RPE;  Arrangements for reporting accidents and unsafe conditions;  Procedures for controlling and supervising contractors and visitors; Q7 Jan 2010
  • 4.
    4  Arrangements formaintenance whether routine or planned preventative;  Welfare arrangements such as the provision of washing facilities; procedures for dealing with emergencies such as fire, flooding and bomb threats; the provision of safety training;  Arrangements for consultation with the workforce through safety representatives or safety committees; and  Environmental control including noise monitoring and the disposal of waste. 05-IA1-05 RRC – IA 1 – LAQ3 A financial review within your organisation has resulted in a proposal to the Board of Directors to cut its health and safety budget and to cancel a capital project that was designed to lead to significant improvements in the working environment. WRITE a report to the Board giving reasons why the proposal should be rejected. [20 – June 2000 National, Jul 2008] There are legal, moral and economic benefits for maintaining good standard by investing in health and safety by the organisation. Such investments would also result in compliance with legal requirements and avoidance of legal action particularly in view of the possible liability of directors and /or managers The investment in improving the working environment would also indicate the organisation’s commitment to health and safety and would have a beneficial effect on the morale of the workforce which could lead to an improvement in productivity, efficiency, quality and employment relations. On the other hand, the potential costs to the organisation of a decision to reduce the health and safety budget would include those normally associated with an accident involving  Injury and / or plant failure or fire such as  The interruption to normal production and product damage  The cost of replacement labour and equipments  The cost associated with a criminal prosecution  Potential increase in insurance premium  Damage of organisation reputation  Lose of public confidence which in turn could affect the demand of its product Therefore the budget should not be reduced. Or…RRC. This report has been prepared following the proposal to the board to cut the health and safety budget and cancel the health and safety capital project. The report will argue for the rejection of this proposal based on three basic principles – - The sound economic argument – that underpins good health and safety management within this Q10. Jul 2008 [20 – June 2000 National, Jul 2008]
  • 5.
    5 organisation - The legalimplications of failing to manage H&S effectively - The moral imperative The Economic Argument: H&S failings cost money. They can cost a lot of money. While it is true that putting good H&S standards in place also costs money, but the costs associated with failures far outweighs those costs. There are two ways in which this organisation may fail to ensure H&S. - One is a failure to ensure safety, which leads to accidents. - The other is to failure to ensure health, leading ill-health, sickness and chronic diseases. Both have direct costs associated with them for example – a work place accident leads to - Production downtime - Damage to equipment, plant and premises – needs to be repaired - Loss of product – must be remade, incurs over time or additional labor costs - Person who got injury – remain absent from the work place, they are paid full salary during these absence - Deployment of temporary labor to cover their (injured) job, if this is not suitable then other workers have to pick up the work for their absent co-workers which leads to over-working, fatigue, stress increasing the likelihood of human error. The above mentioned costs are quite apparent and countable but there some more costs which are non- discoverable in nature. Such costs are unrecoverable too, for example – - If the industrial relations are severely damaged by a workplace accident that reflects in poor productivity, higher absence rates and reduced efficiency, but how could that be exactly costed out? - If bad publicity were to result from a workplace accident that might have direct effects on our customers willingness to do business with us. - Loss of reputation due to poor accident statistics will result in facing difficulties to regain the Trusts of customers to get another jobs These costs are very significant and would be difficult to quantify and discover. Now the other failure that is ill-health, which often results from poor working conditions and poor working environments. Such ill-health leading Workplace absence may be severe enough to warrant dismissal on medical grounds. Studies which have analysed workplaces looking for the costs associated with workplace accidents suggests that the uninsured losses to an organisation are greater than insured losses by a factor of 8X as a minimum. In other words our insurance company cannot be approached to fund the vast majority of losses that we incur when we injure people at work or make them sick. We fund those losses ourselves. The Legal arguments: there are legal standards that we must comply with and failure to comply can lead to - Enforcement action being taken against us in form of legally binding notices that require us to carry out such improvements or to stop certain activities.
  • 6.
    6 - Such enforcementalways carries with its costs associated with o Carrying out the improvement to the enforcement officer’s timescale or o Stopping an activity that we find to be financially beneficial. - In other instances, failure to achieve legal compliances may results in prosecutions - Payment of huge prosecution legal fees in mounting a defence in event of the case being lost - In addition, injure a worker or cause ill health and we may well sued by injured party. THESE cases may results in o Payment of compensation to injured victims - Increased premium costs - Though this compensation money may paid by insurers in first instance, it invariably leads to higher insurance premium in the short and long term as the insurance company attempts to claw back their losses from us The Moral Arguments: We have a clear policy obligation to our staff to ensure their on-going health, safety and welfare. That has been made clear in the statement of intent signed by our managing director as head line of our health and safety policy. Aside from above two kind of arguments, we must also consider the huge personal impact of accidents and ill-health that can do occur as result of our H&S standards. One worker may be injured or made ill but tha one person has a family and love ones, they have friends and colleagues. The impacts of serious accident or case of ill health have very wide ranging implications. We must reflect on our own personal values and decide whether we would wish to see the unpleasant and sometime tragic consequences of poor H&S standards occurring in our organisation. In conclusion I would state that cutbacks cannot be made to the H&S budget, nor to capital project, on the basis of three arguments described above. We owe it to ourselves, to our workforce and to our shareholders to retain our H&S budgets so that we are the best able to avoid the losses that workplace accidents and ill-health might cause. 06-IA1-06 RRC – IA 1 – SAQ3 OUTLINE the way in which a health and safety practitioner could evaluate and develop their own competence whilst working in an advisory role [10 – Jan 2009] H&S practitioners might evaluate their own practice in a number of ways including  Measuring the effect of changes and developments they have introduced and implemented in their organisation.  By setting personal objectives and targets and assessing their performance against them  By reviewing failure or unsuccessful attempts to produce change  By benchmarking their practice against that of other practitioners (who are in similar role) and  By benchmarking against good practice and case studies or information  By seeking advice from other competent professionals.  By seeking feedback from others such as clients, their bosses, colleagues as a part of the annual Q2 Jan 2011 Q1. Jan 2009
  • 7.
    7 appraisal of theirperformance by senior management. They may also develop their practice through  Work Appraisal Scheme - by agreeing a Personal Development plan with their manager means a scheme of training and experience building that will enable them to perform better. This might include non HSE related topics too – such as o Management skills, interview skills, IT skills etc  Participating in CPD (continual professional development) schemes. Such as that operated by IOSH will enhance performance.  Expanding their core knowledge and competence in obtaining a recognised professional qualification – such as Undertaking academic qualifications – NEBOSH Diploma  Background reading and periodicals , etc, also provides an opportunity to increase knowledge and understanding.  Keeping up to date by undertaking training in relevant areas  Ensuring they have access to suitable information sources  By networking with their peers at safety groups (www.buildsafeuae.com) and conferences  By seeking advice from other competent practitioners and consultants 07-IA1-07 EXPLAIN the benefits of: a. an integrated health and safety, environment, and quality management system; b. separate health and safety, environment, and quality management system; OR Q. A multi-site business in the UK has a quality management system compliant with ISO9001:2000. It also has a health and safety management system and an environmental management system that operate independently. The Board of Directors is now considering the possibility of developing an integrated management system encompassing all three elements. In order that a decision can be made objectively, prepare a brief for the Board that outlines the key potential benefits of:- (i) An integrated management system (ii) retaining the existing system of separate management systems a. The benefits of an integrated management system includes  Reduced documentation and Promotion of a single system to reduce resources to manage the system  More efficient system – removes duplication;  It lower the cost through the avoidance of duplication in work standards, procedures and systems of work, record keeping, compliance auditing and software areas  Consistency of formats  Easier to prioritise on key issues - More concise reporting structure  Avoiding conflicts and narrow decision making that solves a problem in one area but creates a problem in another;  Encouraging priorities and resource utilisation that reflect the overall needs of the organisation rather Q7. Jan 2013 Q9. Jan 2012 Q11. Jan 2009 June 2004 July 2005
  • 8.
    8 than an individualdiscipline  Applying the benefits from good initiatives in one area to other areas  Encouraging closer working and equal influence amongst specialists  Encouraging the spread of a positive culture across all three disciplines  Providing scope for the integration of other risk areas such as security or product safety b. Benefits of retaining separate systems or Formal management systems includes  Providing a more flexible approach tailored to business needs in term of system complexity and operating philosophy – for example safety standards must meet minimum legal requirements whereas quality standards can be set internally.  Separate system might be clearer for external stakeholders or regulators to understand and work with.  It promotes clear management structure delegating authorities and responsibilities.  It promotes continues identification of legal and other requirements  It encourages more detailed and focused approach for auditing the standards.  It has clear set of objectives for improvement, with measurable results  A structured approach to risk assessment within the organisation It allows close monitoring of all the systems, auditing of performance and review of policies and objectives. 08-IA1-08 DESCRIBE using appropriate example, the possible functions of health and safety practitioner within a medium sized organisation. [20 – Jan 2008] The functions of a health and safety practitioner in medium sized organisation are as below:  Helping to develop, implement and revise health and safety policies  Giving advice on risk in work place and appropriate control measures to be adopted  Drawing up procedures for vetting the design and commissioning of new plant and machinery  Assisting management in setting performance standards Carry out proactive and reactive monitoring  Advising management on the requirements of health and safety legislation  Organising and reviewing emergency procedures  Promoting positive health and safety culture within the organisation  Investigating accidents and case of ill health  Accident analysis and maintaining safety statistics  Carry out or assisting safety audit of the health and safety management system  Liaising with enforcement authority and maintaining health and safety information system  Preparation of training requirements and organising training sessions to employees Q6 July 2011 Q7 July 2010 Q10. Jan 2008 09-IA1-09 (a) Outline the concept of the organisation as a system. (4) (b) Identify suitable risk controls at EACH point within the system AND give an example in EACH case. (6) (a) Just as a system is comprised of a number of interlinked components so might an organization, Q1 Jul 2010
  • 9.
    9  The componentswhich could be identified as inputs, such as design, procurement, recruitment of personnel, and information; processes for example operations both routine and non-routine, plant and maintenance and  Outputs such as products, packaging and transport.  The system as a whole – the organisation – would need to interact with the environment in responding to matters such as the current markets and client needs and would need to be subjected to monitoring procedures and react to any changes found to be necessary. (b), an identification of the risk controls for each component was necessary.  For inputs, this would involve controlling the quality of physical resources such as o Managing the supply chain and o Ensuring conformance with set standards;  Human resources by adopting strict recruitment standards designed to o Ensure competence in those who were invited to join the organization and o Information by ensuring it is always up to date, relevant and comprehensible.  Control of the process and work activities would be concerned with the premises, plant, procedures and people and would, by the use of risk assessment,  Involve the application of hierarchical measures such as risk avoidance, risk reduction, risk transfer, risk retention and behavior safety.  The control of outputs would be concerned with products and services and would address matters such as waste management, product liability insurance, contractual obligations and customer aftercare. RRC-IA1- LAQ01 Explain the purpose and key feature of each stage of the safety management model described in the HSE documents ‘successful health and safety management (HSG65). 20 marks RRC-IA1- SAQ01 OUTLINE the difficulties that organizations face in trying to ascertain the True cost of accidents and incidents 10m Explain how the principles of corporate governance would support good safety management in an organization 10m
  • 10.
    10 RRC-IA1- SAQ02 A company’s annualreport for 2002 includes the following section on health and safety “The year 2002 produced the lowest lost time accident frequency rate, at 2.1, for the last five years (compared with 3.3 in 2001 3.6 in 2000 2.4 in 1999 2.2 in 1998 The relocation of teeside works during the year led to some significant improvement in working condition on that site has facilitated the successful implementation of OHSAS 18001. The major cause of accidents across the company in 2002 was slips, trips and falls (39%), followed by manual handling (21%) and contact with moving or stationary objects (15%). With reference to both the style and content of the section provide notes to suggest how the annual summary of health and safety performance might have been improved.  The style of annual report is abrupt, reactive and riddle with technical jargon.  There is no topic, headlines for the proactive success – for example the successful implementation of OHSAS 18001 should be presented as headlines “news and Major Achievement of the year”.  The report focuses on reactive data and therefore is concerned for negative performance.  Little information on proactive performance.  Overall the report is Dry and uninteresting, it fails to hold the readers attention or clearly communicate the message.  In term of contents the report deals with several sets of numeric data in a very dry way. This data have been presented in the form of graph. Perhaps a line graph of bar chart for historic data on rates and piw chart for accident cause data.  There is also a lack of interpretation or explanation of this data. It is left to the reader to make their minds if this data shows an improvement or not. Any rates used should also be explained to the reader.  There would also appear to be missing content in the report, for ex o There is no mention of occupational health issue; o There is no comment about initiative taken during the year; o Comparison against set targets and industry sectors. END OF UNIT 1
  • 11.
    11 Element IA2 LOSSCAUSATION AND INCIDENT INVESTIGATION 10-IA2-01 RRC-IA2 – SAQ02 The accident rate of two companies is different although they have the same size workforce and produce identical products. Outline possible reasons for this difference. (10) The possible Reason can be categorized in Two section: a) Artificial Reason – reporting culture, rate calculation b) Real Reasons – lay out, maintenance, workers, trainings, hours and shifts - Variation in the level of accident reporting – this might result from different safety culture and different reporting systems and recording accidents, so the accident rate in reality be very similar, but reporting rates are not. - Differences in the way that accident rates are calculated; leading two different sets of accident rates from sets of similar raw data - There could be management issues such as a difference in the level of commitment; - Policies and procedures such as monitoring may be different and that disciplinary procedures for non- compliance by workers may vary. - Differences in workplace layout, resulting in higher rate of accidents at one site than another. - Difference in selection, age and type of the equipment used; again resulting in higher accident rates. - Difference in the nature of workers recruited into each workplace (staff selection) perhaps coupled with difference in staff retention rates (turnover); this may result in less well qualified, less adept staff, working at one site for shorter periods of time while better qualified staff, with higher ability, works at second site for longer period of time. - Human resource issues such as the selection, training and competence of the workforce together with a possible - Training and competence of workforce in each workplace may vary depending on the amount of training conducted and the effectiveness of those trainings. - Difference in the companies’ level of communication and consultation with the staff; such that one workplace can respond quickly to issues raised, while the other cannot. - Risk control issues such as the adequacy of risk assessments and the associated control measures, the existence of safe systems of work and procedures for the use and maintenance of personal protective equipment; - Straightforward variations in production volumes and the rates and the numbers of hours worked at each of the two companies. Longer hours and busier workplaces give rise to higher number of incidents, which may not be factored in the accident rates. - Issues connected with production such as piece work and the winning of bonus payments which could lead to the taking of risks; and - Different work patterns and shift system / out turn system at the two sites may result in difference in Q1. Jan 2012 Q1. Jan 2010
  • 12.
    12 worker fatigue. Tiredworkers who are changing their shift patter frequently and working long hours have more accidents. - Cultural Issues such as the attitude, motivation and behavior of individuals and the effect that peer pressure might have on health and safety culture within the organization. 11-IA2-02 a. EXPLAIN the difference between accident incident rate and accident frequency rate. [2] An accident incident rate is calculated by dividing the number of accidents occurring over a period of time by the average number of person employed during the period with the result being multiplied by 10, 000. Accident incident rate = (No. of accident / AVG number employee) x 10, 000. An accident frequency rate is calculated by dividing the number of accident occurring during a period by total hours worked during the period and multiplying the result by 1000,000. Accident frequency rate = (No. of accident / Total man Hrs worked) x 1000,000 Important Info (only) number of accidents in the period ____________________________________________ X 10,000 Average number employed during the period SHEillds emma’s opinion There are many different multiplier that can be used - the HSE use different ones than the ILO, the USA uses different ones from both these - small companies uses lower numbers to keep the figures in line with the size of the company to make it easier to do the calculations and make them more relevant. As long as you use the same multiplier in your company each time then the results will be comparable. Accident Severity Rate = (total Man Day Lost / Total man hrs worked)1000,000 Q6. Jan 2013 Q2. Jul 2008
  • 13.
    13 b. A siteis divided into a small number of large departments and number of workers in each department is variable. You have been asked to collate details of first aid treatment cases for the site and to present on a monthly basis, data in graphical and / or numerical format, in a way that would be helpful to site and department management. DESCRIBE how you could presents this data indicating clearly the types of graphical presentation you would use AND in EACH case the data it would contain. The way to collate and present the first aid treatment for a site comprising a number of departments is as below:- As the intention is to present the information in a way that would helpful to both site and departmental management, it is necessary to collate details firstly from the site as a whole and then for each department. The first option is to produce a line graph to show the total number of first aid treatment cases each month and then indicate the trend by the use of trend line. Using a frequency or incidence rate will enable changes in employee numbers to be taken into account. A line graph could also be used to show any trends in specific causes or types of injury whilst a chart or histogram could highlight the number by site or department. Another option would be to use pie chart, bar charts or histograms to present information both for the whole site and individual departments on the cause of the injuries requiring treatment and for the site of the injuries by body part.
  • 14.
    14 12-IA2-03 A chemicalreaction vessel is partially filled with a mixture of highly flammable liquids. It is possible that the vessel headspace may contain a concentration of vapour which, in the presence of sufficient oxygen, is capable of being ignited. A powder is then automatically fed into this vessel. Adding the powder may sometimes cause an electrostatic spark to occur with enough energy to ignite any flammable vapour. There is concern that there may be an ignition during addition of the powder. To reduce the risk of ignition, an inert gas blanket system is used within the vessel headspace designed to keep oxygen below levels required to support combustion. In addition, a sensor system is used to monitor vessel oxygen levels. Either system may fail. If the inert gas blanketing system and the oxygen sensor fail simultaneously, oxygen levels can be high enough to support combustion. Probability and frequency data for this system are given below. (a) Draw a simple fault tree AND using the above data calculate the frequency of an ignition.(16) (b) Describe, with justification, TWO plant OR process modifications that you would recommend to reduce the risk of an ignition in the vessel headspace. (4) ANS a. Q8 July 2011 Q7. July 2008
  • 15.
    15 ANS b: Thetwo modifications can be.  Replacement of power feed with a slurry in conducting liquid  Selecting and using materials with higher flashpoint to minimise the probability of a flammable atmosphere  Redesigning the nitrogen blanketing system to improve reliability 13-IA2-04 Below is an extract from an incident investigation report form. XYZ LTD. INCIDENT INVESTIGATION Q8. July 2009 Q9. July 2008
  • 16.
  • 17.
    17 A) EVALUATE thereport in the term of its suitability to provide adequate information for record keeping purposes and for subsequent statistical analysis. [10– July 2008] To evaluate the suitability it is required to know the deficiencies in the incident investigation report. The report is incomplete as it provided no information on  The time of the incident  The type of first aid that was given  The precise action taken to prevent a recurrence It is vague in its description of the injury actually received, of the treatment given at the hospital, of the actual circumstances which caused the punch to fall and thus immediate and underlying causes of the incidents. The report is inconsistent as  It failed to provide information on the details and findings of the investigation  Inappropriate nature of recommendation given  Identification of the injured person with different names being used Additionally, it was perhaps unnecessary to name the injured person as a witness of the incident in the absence of any other witnesses. B) With reference to a suitable model (HSG 245, investigating accidents and incidents) OUTLINE the key stages in health and safety incident investigations. [10– July 2008] The key stages of incident investigations  Gathering all relevant information to establish exactly what had happened including the location and time of the incident and the persons who might have been affected.  Visual inspection of the location  Interviewing witnesses  Reviewing relevant documentations Once all the information had been gathered, it would be necessary to analyse it by making use of FTA or a similar tool, to establish the immediate and underlying cause of incident. This would then enable the investigators to identify the appropriate risk control measures to prevent a recurrence of similar incident. The final stage would be to produce an action plan, setting out objective to be achieved, clearly identifying responsibilities for their completion and maintaining record of the progress being made. 14-IA2-05 A large warehousing and distribution facility uses contractors for many of its maintenance activities. Contractors make up approximately 5% of the total workforce but an analysis of the accident statistics for the previous two years has shown that accidents to contractor personnel, or arising from work undertaken by Q9. Jul 2009
  • 18.
    18 contractors, account for20% of the lost-time accidents on site. (a) Assuming that the accident statistics are correctly recorded, outline possible reasons for the disproportionate number of accidents involving contract work. (6) (b) Describe the organisational and procedural measures that should be in place to provide effective control of the risks from contract work. (14) b.Issues that could have been covered to outline the reasons behind disproportionate number of accidents associated with work by contractors. - Those related to the nature of the work – for instance, maintenance work might be more complex, higher risk, harder to control satisfactorily and with fewer well-established work methods than other warehousing and distribution activities; - A lack of established procedures and training for the management of third parties including inadequate contractor selection and - The provision of information from the client to contract workers; - Poor planning and risk assessment and - Poor communication and coordination between the parties affected by the contract work; - Inadequate supervision of contractor workers either by the client or by the contractor; - Staff turnover and a lack of contract worker competence and the - Effect of contractual or financial pressures on the contractor. c. A description of the key organisational and procedural measures required to minimise the risks associated with contract work. Measures that could have been described include: - The selection of a competent Contractor by obtaining evidence of past performance, Safety Management Arrangements, the adequacy of resources and risk control proposals; - The provision of adequate information to the contractor prior to the work starting, on the nature of the work to be carried out and the known hazards and site safety rules with an induction briefing to be given to all contract personnel before admittance to site; - The preparation of job specific risk assessments and method statements; - The appointment of a client representative with contractor management responsibility including communication arrangements; and - The introduction of arrangements for coordinating and reviewing risk assessments and method statements, for active and reactive monitoring of performance and for job completion and hand over including a safety performance review. Candidates who chose to answer this question were able to demonstrate a reasonable understanding of the issues of contract work although there were a few omissions including reference to the procedural measure in relation to handover and the completion of a safety performance review.
  • 19.
    19 15-IA2-06 RRC–IA02– SAQ-1 DESCRIBE the requirementsof an interview process that would help to obtain from witnesses the best quality of information relating to a workplace accident. [10 – Jan 2009] The interview must be conducted as soon as possible after the event though it may be necessary to postpone the interview if the witness is injured or in shock; To obtain the best quality of information from witness by  Interview as soon as possible after the event – injury / shock make this difficult  Providing a suitable environment for the interview, where the witness can be put at ease.  Putting the witness at ease – witness may be reluctant to discuss the accident particularly if they think that someone will get in trouble  Interviewing only one witness at a time, with the interviewer – taking time to establish good relation.  Explaining the purpose of interview (that it is fact finding process only) and the need to record it.  Using an appropriate questioning technique to establish key facts and avoiding leading questions (such as Why was the forklift operator driving recklessly) rather asking open-ended questions like what did you see? What happened?  Not making suggestion – if the witness is stumble over a word or concept, do not help them out.  Taking care to stress the preventive purpose of the investigation rather than the apportioning of blame  Using appropriate sketches or photographs to help with the interview  Listening to the witness without interruptions and allowing sufficient time to give their answers  Adjusting language to suit the witness  Summarising and checking agreement at the end of the interview  Establishing a good report by getting written signed statement from the witness  Asking the witness for recommendations to prevent recurrence Q2. Jan 2009 16-IA2-07 (a)Giving reasons in EACH case, identify FIVE persons` who could be interviewed to provide information for an investigation into a workplace accident. (5) (b)Outline the issues to consider when preparing the accident investigation interviews for workers from within the organisation. (5) (a) Five persons who could be interviewed and would be able to provide information for the investigation of a Workplace accident. They were also expected to give reasons for their choice. They could have chosen from potential interviewees such as - The injured person who would be able to relate what happened; - An eye witness or the first person on the scene who might have observed what happened; - The first aid person who attended to the injured party at the scene of the accident with respect to the injuries received; - The injured person’s manager and/or supervisor who would have knowledge of the process Q1 Jan 2011
  • 20.
    20 involved, the existingsafe systems of work, the procedures that should have been followed and the training and instruction that had been given to the victim; - A technical expert with specialist knowledge of the process or machine involved; - A Trade Union representative who would have knowledge of any previous complaints or incidents associated with the machine or process; and - The safety advisor who would be fully briefed on the systems of work that should have been followed and any possible breaches of the legislation. (b), One of the important issues to be considered would be the need to - Carry out the investigation interviews as soon as possible after the event though it may be necessary to postpone the process if the witness is injured or in shock. - A suitable date would have to be provided taking into account the availability of the people to be called since shift patterns might have a part to play. - That done, the next step would be to identify the interviewers, to consider where the interviews would be held and how they would be recorded whether by tape recorder, by dictaphone or hand written and to gather together any relevant documentation such as risk assessments or training records. - It would also be important to bear in mind the requirements of employment law and trade union issues such as employee rights, the right to be accompanied or to have legal representation. - Finally consideration would have to be given to the format and distribution of the final accident report and how the information gathered might be used to introduce measures to prevent a recurrence or as a possible defence in any possible prosecution or civil law suit. 17-IA2-08 RRC –IA2– LAQ - 02 A forklift truck is used to move loaded pallets in a large distribution warehouse. On one particular occasion the truck skidded on a patch of oil. As a consequence the truck collided with an unaccompanied visitor and crushed the visitor's leg. (A) STATE reasons why the accident should be investigated. (4) [4+8+8 – Jan 2008] A- There are many reasons to investigate accidents such as a. To identify the causes of the accident ( immediate & root causes ) in order to prevent recurrence, b. For Identifications of corrective actions necessary to prevent recurrence c. To determine compliance with relevant legislation d. To demonstrate management commitment to H&S and to restore employee morale e. To collect information and evidence that may be needed in the event of a civil claim, f. To provide useful information for the costing of accidents and for identifying trends g. To identify the need to review risk assessments and safe system of work. (B) Assume that the initial responses of reporting and securing the scene of the accident have been carried out. OUTLINE the steps which should be followed in order to collect evidence for an investigation of the accident. (8) Q11. Jan 2013 Q8. Jan 2010 Q11. Jan 2008
  • 21.
    21  Photographs, sketchesand measurements may be taken before the scene of the accident is disturbed  Examining and retaining any available CCTV footage,  Checking the condition of the forklift truck and if possible determining it's speed at the time of the accident,  Checking the load that was being carried & the safe working load of the truck.  Have there been any issues with visibility as the load was being carried?  Finding the reasons of oil spillage,  Determining whether emergency spillage procedures are there in place & why they were not followed in this occasion?  Assessing the competence of forklift driver  Examining the workplace to determine any contributing environmental factors e.g. adequate lighting, condition of floor?  If possible, Interviewing relevant witness and visitors, and  Checking existing procedures for dealing with visitors, what are reception staffs meant to do when meeting visitors? (C) The investigation reveals that there have been previous incidents of forklift trucks skidding which had not been reported. The company therefore decides to introduce a formal system for reporting 'near miss' incidents. OUTLINE the factors that should be considered when developing and implementing such a system. (8)  First of all, determine what a near miss is, and ensure that everyone is clear about the meaning of it,  Carry out consultations with employees on the purpose of the proposed system,  Arranging necessary training and information for employees,  Ensure that the new reporting method is simple to understand and operate,  Establishing a clear reporting lines  Introducing and practicing no blame culture to encourage employees to report incidents,  Arranging for investigation of incidents by line management to ensure identification and implementation of remedial action needed,  A procedure for reporting back is to be established in order for affected individuals or groups to be informed of conclusions and future action to prevent recurrence.  The introduction of a system to collate, analyse and monitor data periodically. 18-IA2-09 IA02-LAQ2 / 3 A forklift truck skidded on an oil spill causing a serious injury to a visitor. (a) Explain why the accident should be investigated. (4) (b) Outline the steps to follow in order to investigate the accident. (10) (c) Identify the possible underlying causes of the accident. (6) (a) Reasons for investigating accidents such as - To identify their causes, both immediate and underlying; - To prevent a recurrence; Q7 July 2011
  • 22.
    22 - To assesscompliance with legal requirements; - to demonstrate management’s commitment to health and safety and to restore employee morale; - to obtain information and evidence for use in the event of any subsequent civil claim or criminal prosecution; - to provide useful information for the costing of accidents and for identifying trends and - To identify the need to review risk assessments and safe systems of work. (b) The steps to be followed in a realistic chronological order including - Gathering information such as taking photographs and making sketches and taking measurements of the scene of the accident before anything was disturbed; - Obtaining any CCTV footage available; - Examining the condition of the fork lift truck and determining its speed at the time of the accident; - Determining the load that was being carried, the safe working load of the truck and any forward visibility problems with the load in place; - Inspecting maintenance records and defect reports; - Finding out the reasons for the oil spillage, the emergency spillage procedures in place and the reasons why they were not followed on this occasion; - Assessing the competence of the fork lift truck driver and examining the workplace to determine any contributing environmental factors such as the condition of the floor and the standard of lighting and interviewing relevant witnesses including the injured person if possible. - When all the information has been gathered, o It would need to be analysed to establish the immediate and underlying causes of the accident and a decision made on the measures to be put in place to control similar risks. o The actions to be taken should be prioritised with responsibilities clearly identified and periodic reviews carried out to assess progress with the completion of the work. (c), The possible underlying causes such as - Inadequate or the absence of risk assessments; - Cultural and organisational factors and work pressures; - Poor visitor control on the premises; - Inadequate or poorly signed pedestrian routes and walkways; - Environmental factors such as lighting, floor conditions and spillage control; - Poor maintenance and defect reporting procedures; - Inadequate monitoring procedures; and - A failure to train and supervise the workforce. RRC – IA02-LAQ2 – c: Describe the factors which should be considered in analysis of the information gathered in the evidence collection.
  • 23.
    23 21-IA2-12 The employer shouldset up appropriate arrangements to notify occupational accidents, occupational diseases, dangerous occurrences and commuting accidents to the competent authority in accordance with national laws. (a) Outline appropriate arrangements which the employer should have in place for notifying such events. (10) (b) The following information is from a company’s annual report : The company has done much better at health and safety in the last year compared to previous years. The significant reduction in accidents and fatalities shown in the table below is due to our new health and safety advisor and a reduction in staff numbers. The management team are confident of further reductions in 2010. Year Accidents Staff No Fatalities 2006 240 1500 ? 2007 185 1400 ? 2008 180 1300 11 2009 170 900 4 (i) Calculate the accident incidence rates AND comment on the findings. (5) (ii) Assess the company’s management of health and safety from the information in the annual report. (5) ANS a - The employer should first identify a competent person who will be responsible for reporting accidents and other reportable events to the competent authority. - If the workplace is shared, an agreement will need to be reached on who accepts the responsibility for reporting. - All reported incidents should be investigated again by a competent person and information on all accidents provided to the workers. - Workers will have to be informed of the system that is adopted and what is expected of them and their cooperation ensured. - Records should be kept of any incident that occurs and these should be easily retrievable though the medical confidentiality of individuals will have to be respected. (b)(i), in calculating the accident incidence rates from the information given, candidates should have divided the number of accidents that occurred by the number of persons employed and then multiplied the answers by a common and appropriate multiplier (in this case 1000 workers). The rates would thus appear as follows: 2006: (240/1500) x 1000 = 160 2007 (185/1400) x 1000 = 132 Q9 Jul 2010
  • 24.
    24 2008 (180/1300) x1000 = 138 2009 (170/900) x 1000 = 188 Whilst the number of accidents decreased between 2006 and 2009 so did the number of workers but in 2009 there was a rise in the incidence rate. This part of the question was in general well answered, though a few candidates did err in their calculations while others appeared not to notice the rise in the incidence rate for 2009. (b)(ii). The annual report was expressed in very general terms, gave no commitment to the management of health and safety and lacked detail both on the causes of the accidents and on the safety management systems in place. The fatality rate seemed to be tolerated and accepted and the company expressed no remorse about their accident performance. Whilst the directors might be confident that further reductions in the number of accidents would occur, apparently ignoring the rise in the incidence rate, they gave no indication of how this would occur. END OF UNIT 2
  • 25.
    25 Element IA3 IDENTIFYINGHAZARD ASSESSING AND EVALUATING RISKS 22-IA3-01 RRC – IA3- SAQ - 01 For a range of internal and external information sources outline how each source contributes to hazard identification or risk assessment. (10) OR OUTLINE the range of internal and external information sources that may be useful in the identification of hazards and assessment of the risks. For each source indicated the type of information available and how it contributes in hazard identification or risk assessment. Internal sources such as  Incident: Accident, Near-miss Reports, Ill-health data / Investigation Reports: these reports are useful information as they clearly identify hazards that either have or had potential to cause injury / ill health. These data are useful during the risk assessment as they help in the evaluation of likelihood and severity of injury and hence contributing to estimate the degree of risk involved;  Proactive Monitoring data such as Inspection reports – may be useful in identifying the easily observed hazardous conditions in the work place and also common type of control failures. This process not only aids the hazard identification process but also influence risk assessment; the effectiveness of various control options can be better estimated based on current controls  Audit reports may be useful in similar way; in identifying hazards that have been overlooked and identifying the effectiveness / reliability of existing control measures.  Maintenance Records – may be useful in determining the effectiveness of particular control in the work place, such as automatic warning system, guards, PPEs etc. External source of information that might prove useful during the risk assessment process would include:  National Governmental enforcement agencies such as UK’s HSE, USA’s OSHA, Western Australia’s worksafe. These all produce legal and best practices Guidance.  These organization also produced statistics such as accident and ill-health data which again assist with the identification of hazards and the probability of their associated risk;  International bodies – such as International Labour organization, the world health organization, the European Agency for Safety and Health (EU OSHA)  Professional bodies such as IOSH, IIRSM  Trade Unions / Trade associates – they produces information on safety and health matters, specially the awareness for compensation among the workers.  Insurance companies – set the level of premiums and need the data to calculate the probable risks of any venture. The average risks involved in the most activities can be found in the insurance tables. Since the risk manager is involved in managing risks, these tables will be extremely useful.  Finally information can be obtained from manufacturers / suppliers which can indicate the extent of hazards and relevant control option that might be necessary for example MSDS from chemical suppliers provides essential information on the chemical nature of a hazardous substances and necessary control measures.  Similarly the noise and vibration magnitude data from a machinery supplier can give an insight into the potential noise or vibration exposure and the subsequent exposure controls necessary. Q1. Jan 2013 Q2. Jul 2009
  • 26.
    26 23-IA3-02 (a) Explainthe purpose of Job Safety Analysis.(2) (b) Outline the methodology of Job Safety Analysis. (8) a) A method to review job procedures or practices to identify hazards and subsequently determine appropriate equipment and controls for implementation during performance of the job or task. b) The methodology of Job Safety Analysis 1) Selecting jobs for analysis; 2) Breaking the job into steps; 3) Identifying hazards, unsafe conditions and unsafe work practices associated with the steps; and 4) Identifying the correct and safe way to perform the steps. Q4. Jan 2012 24-IA3-03 RRC – IA3- SAQ - 02 (a) Identify the objectives of Failure Mode and Effects Analysis (FMEA). (2) (b) Outline the methodology of FMEA AND give an example of a typical safety application. (8) The objective of FMEA is to analyse each component of a system in order to identify the possible causes of a component failure and the subsequent effects of the failure on the system as a whole. The methodology of FMEA includes - Break down the system into component parts and - Identify how each component could Fail, and the possible causes of failure of the component; - Identify the effects on the system as a whole; - Assess the probability and severity of failure - Identify the means of detection of the failure : for example by a sensor; - Prioritise failures in terms of severity and probability - Determine actions to reduce risks to an acceptable level - Record / Document the findings Memorizing Mantra: B F Effects P&S Means P D act R A typical safety application would be chemical process or nuclear safety. Where a failure of a simple component could have disastrous consequences. Q5. Jul 2010 25-IA3-04 RRC – IA3- SAQ - 03 a. OUTLINE the factors that need to be considered to ensure that a risk assessment is suitable and sufficient. 5 b. Identify the circumstances that would necessitate a risk assessment to be reviewed. ANS a The following factors to be considered to determine that the Risk assessment is suitable and sufficient
  • 27.
    27 - The RAmust address the significant hazards that are existing. - The RA must clearly identify those exposed to the significant hazard. This might include broad groups of people; staff, vulnerable groups (e.g.; young persons) and individuals (e.g.; a pregnant woman). - The assessment must correctly evaluate the risk generated (likelihood and severity) and - The RA must include the adequacy of existing controls. - It must correctly recognize the need for any further controls. - It must be recorded suitably (significant findings in a retrievable medium). - Reference to relevant standards and legislation should be made. - The complexity of the assessment process and the competence of the assessors must be proportionate to the complexity and level of risk. - Finally it should remain valid for reasonable period of time. - B A risk Assessment might be reviewed because of a variety of circumstances. - A RA must be reviewed on significant change or if the employer has reason to suspect that it is no longer valid. - Change might include – o A change in nature of work o Introduction of new materials / equipments o The modification of plants / premises o Change / revision in legal requirements - Reasons to suspect that the RA is no longer valid would include – o Following an accident, o A report of ill health linked to the circumstances that the risk assessment relate too o Good practice would indicate that a risk assessment should be reviewed periodically as well. The review period might be determined by the level of risk inherent in the operation to which the assessment relates. 26-IA3-05 RRC – IA3- LAQ - 01 A Fuel storage depot situated close to a residential housing area contains a vessel for the storage of liquefied petroleum gas. It is estimated that a major release of the contents of the vessel could occur once every one hundred years (frequency = 0.1/yr). Such a release, together with the presence of an ignition source (probability, p=0.1), could lead to a flash fire or a vapor cloud explosion on site. Alternatively, if the wind is in certain direction (p=0.7) and there is stable wind speed of less than 8 m/s (p=0.5) a vapor cloud may drift to the residential housing area where it could be ignited (p=0.8) a. Using the data provided construct an event tree to calculate the expected frequency of fire / explosion BOTH on site AND in nearby residential housing area. b. Comment on the significance of the results obtained c. OUTLINE, with example a hierarchy of control options to minimize the risks. Q1. Jan 2013
  • 28.
    28 Ans: a. The EventTree should be (Remember that the probabilities on each yes / no branch point must add up to 1, So having been given - The probability of there being an ignition source on site as 0.1 - The probability of there NOT being an on site ignition source (and therefore no on-site explosion) must be 1 – 0.1 = 0.9 This is a vital step to remember when calculating the probability of an off-site explosion because the question itself will not give u this vital number – you have to work it out for yourself) An explosion will only occur on-site if the release encounter the on-site ignition source. The frequency of such an occurance on-site is 0.01 x 0.1 = 0.001/ year, which is once in every 1000 years (i.e. 1 / 0.001). An offsite ignition will only occur if: - The vapour is not ignited on site AND - the wind is in a certain direction AND - the wind speed is < 8m/s AND - the vapour finds and ignition source in the housing estate. Thus, the expected frequency of offsite explosion is (0.01 / yr x 0.9 x 0.6 x 0.5 x 0.9 = 0.00243 per year) This result can be alternatively expressed as approximately once in about 411 years.
  • 29.
    29 Formulae 0.00243 IN A1 YEAR 1 IN A = 1/0.00243 = 411 YEARS b.Comment on the significance of the results obtained - Risks to members of public greater than risk to employees. Figures allow comparision with benchmark data; e.g. UK HSE proposes individual risk of death from workplace activities as on in a million per annum. - The greater risk to members of the public is clearly unacceptable and given the fact that an explosion is likely to cause multiple fatalities, both of these expected frequencies would appear unacceptable. c.A standard hierarchical approach – elimination, substitution or minimization of quantity / use of LPG, reduce probability of release (protective systems, maintenance, operations, ignition sources, emergency procedures, siting of tanks ) 27-IA3-06 a. OUTLINE the principles, application and limitations of EVENT TREE ANALYSIS as risk assessment techniques. [6] [6+10+4 – Jan 2008] b. A mainframe computer suits has a protective system to limit the effects of fire. The system comprises a smoke detector connected by power supply to a mechanism for releasing extinguishing gas. It has been estimated that a fire will occur once in a five years (f=0.2 / year). Reliability data for the system components are as follows i)Construct an event tree for the above scenario to calculate the frequency of an uncontrolled fire in the computer suit. [10] ii)Suggest ways in which the reality of the system could be improved. [4] ANS A. the principles, application and limitations of EVENT TREE ANALYSIS as risk assessment techniques Event Tree Analysis is based upon binary logic and is often used to estimate the likelihood of success or failure of safety systems. In other words, An event tree is a visual representation of all the events which can occur in a system. As the number of events increases, the picture fans out like the branches of a tree. Event trees can be used to analyze systems in which all components are continuously operating, or for Q7 Jan 2011 Q7. Jan 2008
  • 30.
    30 systems in whichsome or all of the components are in standby mode – those that involve sequential operational logic and switching. The starting point (referred to as the initiating event) disrupts normal system operation. The event tree displays the sequences of events involving success and/or failure of the system components. ETA is limited by the lack of knowledge of components reliabilities – success or failure – it does not take into account partial downgrade i.e. limited success. AN EXAMPLE b. i Formulae 0.031 IN A 1 YEAR 1 IN A = 1/0.031 = 32 YEARS b.ii.The ways to improve the reality of system includes:  Choosing more reliable components  Using components is parallel  The detector should be logical first choice for such techniques as it least reliable components.  Installation of second independent but parallel system is a additional way to improve the reliability of the system
  • 31.
    31  Introduction ofa regular programme of maintenance and testing.
  • 32.
    32 28-IA3-07 A manufacturingcompany with major on and off site hazards is analysing the risks and controls associated with a particular process and containment failure. Following a process containment failure (f=0.5/yr), a failure detection mechanism should detect the release. Once detected, an alarm sounds then a suppressant is activated. Finally, in order to control the initial release, an operator is required to initiate manual control measures following the release of the suppressant. As part of the analysis, the company has decided to quantify the risks associated with a substance release from the process and develop a quantified event tree from the data. Activity Frequency/reliability Process containment failure 0.5 per year Failure detection 0.95 Alarm sounders 0.99 Release suppression 0.85 Manual control measures activated 0.8 (a)Using the data provided, draw an event tree that shows the sequence of events following a process containment failure.6 (b) Calculate the frequency of an uncontrolled release resulting from process containment failure. (6) (c) Outline the factors that that should be considered when determining whether the frequency of the uncontrolled risk is tolerable or not.(5) (d) If the risk is found to be intolerable, outline the methodology for a cost benefit analysis with respect to the process described. (3) a. Event Tree could be like 10 Jan, 2012
  • 33.
    33 b. The frequencyof an uncontrolled release resulting from process containment failure. Release 1 = 0.5 x 0.05 = 0.025/yr Release 2 = 0.5 x 0.95 x 0.01 = 0.00475/yr Release 3 = 0.5 x 0.95 x 0.99 x 0.15 = 0.071/yr Release 4 = 0.5 x 0.95 x 0.99 x 0.85 x 0.2 = 0.08/yr The frequency of an uncontrolled release would therefore be: 0.025 + 0.00475 + 0.071 + 0.08 = 0.181/yr. or once every 5.5 years. (c), Factors to be considered in determining whether the frequency of the uncontrolled risk is tolerable or not include - The plant location taking into account the health and environmental implications of a release; - The cause of the release such as for example, as a result of a catastrophe together with the inevitable public outrage that it would arouse; - Historical data; - Relevant legal requirements; - The impact that a failure would have on production and the cost of control measures; and - Published risk data such as those contained in Reducing Risks Protecting People. (d) The first step of the methodology for a cost benefit analysis would - Comprise the quantification of process losses and improvement costs in terms of monetary value. Should a comparison indicate that process losses together with other possible losses such as o Damage to the organisation’s reputation exceeds improvement costs, the improvement work should be carried out. A payback period would need to be established with due consideration being given to the value of the money involved spread over the period of time. Answers to the first two parts of the question were generally to a good standard but were not matched by those provided for parts (c) and (d) where many described how the system could be improved by the use of more reliable components or by the provision of parallel systems.
  • 34.
    34 29-IA3-08 RRC – IA3 –LAQ3 (A) Outline the use and limitations of fault tree analysis. (4) (B) A machine operator is required to reach between the tools of a vertical hydraulic press between each cycle of the press. Under fault conditions, the operator is at risk from a crushing injury due to either (a) the press tool falling by gravity Failure type Frequency (per year) Effect Flexible hose failure 0.2 a Detachment of press tool 0.1 a Hydraulic valve failure 0.05 a Activation button failure 0.05 b Electrical fault 0.1 b or (b) an unplanned(powered) stroke of the press. The expected frequencies of the failures that would lead to either of these effects are given in the table below: (i) Given that the operator is at risk for 20 per cent of the time that the machine is operating, construct and quantify a simple fault tree to show the expected frequency of the top event (a crushing injury to the operator‟s hand). 10 (ii) Outline, with reasons, whether or not the level of risk calculated should be tolerated. (4) (iii)Assuming that the nature of the task cannot be changed, explain how the fault tree might be used to prioritise remedial actions. (2) a. Limitation of FTA: FTA is used for analysis of events which may have multiple causes. The probability / frequency of the “top event” can be quantified provided there is sufficient data on the probabilities / frequencies of the underlying events. It also helps identify critical stages where intervention might be most effective (to reduce probability of top event). However complex events require skill to work out and of course the top event probability calculation is only as good as the data which is input into the calculation. b.i. Q8. July 2012
  • 35.
    35 b.ii. If the frequencyof a crush injury to an operators hand is once every ten years and there are ten such presses, then across the entire workshop the crush injury frequency will be (0.1 / yr x 10) = 1 year. Given the nature of the likely disabling injury this frequency is obviously far too high to be tolerable without some attempt to reduce the risk. b.iii. Looking at the fault tree priority should be given to those factors that would give greatest reduction in frequency of top event. In the diagram flexible hose failure makes the greatest contribution to the frequency of the top event, followed by detachment of the tool and electrical fault. Controls include: - Solid pipe instead of flexible hose - More reliable components - Maintenance and testing. 30-IA3-09 RRC – IA3 – LAQ2 Dental practitioner often works alone or in small teams in the community. a.OUTLINE the type of hazards to which the dentist or his / her staff may be exposed. b. Explain how the risks from the hazards identified can be minimized to protect the dentists and others.
  • 36.
    36 31-IA3-10 An employerwishes to build a new gas compression installation to provide energy for its manufacturing processes. An explosion in the installation could affect the public and a nearby railway line. In view of this the employer has been told that a qualitative risk assessment for the new installation may not be adequate and some aspects of the risk require a quantitative risk assessment. a. EXPLAIN the terms ‘Qualitative Risk Assessment’ AND ‘’Quantitative risk assessment’ [5] [10 – Jan 2009] a. Qualitative risk assessment involves the use of broad categories to arrive at broad measures of risk. Following a comprehensive identification of hazards, broad categories are used to classify the likelihood of hazards being realised and the severity of their consequences. The categories may be descriptors or numbers. Most everyday risk assessments are quantitative and such assessments tend to be subjective. Quantitative risk assessment on the other hand is a numerical representation of actual frequency and /or probability of an event and its consequences. It often involves comparison with specific criteria and is objectives. b. IDENTIFY the external sources of information and advice that the employer could refer to when deciding whether the risk from the new installation is acceptable. [5] In identifying external sources of information and advice the company could referred to i. the acceptability or tolerability criteria for risk for example a set down in the prevention of major industrial hazards; ii. Guidance from enforcing authorities which identify hazards and sets risk control standards to meet legal and good practice requirements. iii. Statistics and guidance from other authoritative sources such as professional bodies, trade associations and insurer. iv. Instructions from plant manufactures and guidance from similar companies. b. A preliminary part of risk assessment process is to be a hazard and operability study. Describe the principles and methodology of a hazard and operability (HAZOP) Study. Hazard and Operability Studies (HAZOPS) is designed for dealing with complicated systems, such as large chemical plants or a nuclear power station, where a small error or fault can have drastic consequences. The purpose of a HAZOP study is to identify deviations from intended normal operation and is the best used at the design stage or when modifications are proposed for an existing installation. Studies are carried out by a multidisciplinary team who make a critical examination of a process to discover any potential hazards and operability problems. The process is first fully described and then every part is questioned to discover all possible deviations from the intended design which might occur, and what their causes and consequences might be. The methodology of HAZOP Study Q7. Jan 2009
  • 37.
    37 The HAZOP studyprocess involves applying in a systematic way all relevant keyword combinations to the plant in question in an effort to uncover potential problems. The results are recorded in columnar format under the following headings: DEVIATIO N CAUS E CONSEQUENCE SAFEGUARDS ACTION A number of 'guide words' are applied to the statement of intention, so that every possible deviation from the required intention is considered. The main guide words are:  NO or NOT  MORE  LESS  AS WELL AS  OTHER THAN  PART OF  REVERSE There are slight differences between the method for a continuous process and a batch process. For a continuous process, the working document is normally the flow diagram. Each pipe is examined in turn, checking flow, pressure, temperature and concentration, using a checklist of guide words. The study should also consider the situation during commissioning, start-up and shut-down. 32-IA3-11 RRC – SAQ - 01 OUTLINE a range of external individuals and bodies to whom, for legal or good practice reasons, an organisation may need to provide health and safety information In EACH case, indicate the broad type of information to be provided. [10 – Jan 2008] Body / Individual Type of information Enforcing authorities Information required by law or in accordance with ILO code of practice or as a part of inspection or investigation activities Emergency services Inventories of potentially hazardous and flammable materials used or store on the site and on the means of access and egress to the site Customers Health and Safety Information on articles and substances they might use for work activities Members of public Information on emergency action plan for major hazards Visiting contractors Information on safe working arrangements and procedures. Waste disposal contractors Information on controlled or hazardous waste produced by the organisation Transport companies Information on precautions to be taken in transporting hazardous substances from the organisation’s site Legal representative or courts To be informed regarding Civil claims Q3. JAN 2012 Q4. Jan 2008 END OF UNIT 3
  • 38.
    38 Element IA4 RISKCONTROL AND EMERGENCY PLANNING 33-IA4-01 RRC-IA4- SAQ-01 Outline, with appropriate examples, the key features of the following risk management concepts: (a) Risk Avoidance; (2) (b) Risk Reduction; (2) (c) Risk Transfer; (3) (d) Risk Retention. (3) Identify the key features of EACH of these concepts AND give an appropriate example in EACH case. Risk Avoidance: actively avoiding or eliminating the risk for example – - By discontinuing the process, avoiding the activity or eliminating hazardous substances such as o Using water based paint instead of solvent based paint eliminate the FIRE risk. o Using a paint roller instead of using paint brush along with ladders / work platform to paint the wall of a house. o Closing down butchery operation in food factory (with hazard associated with that operation) and buying a ready –prepared meat from supplier. Risk reduction: reducing the level of residual risk. For example – - By adopting a hierarchy of measures to control the risks / evaluating the risks and developing risk reduction strategies. Such as o Removing one hazardous agent and introducing another less hazardous agent in its place, or such as replacing a toxic chemical with one that is not dangerous or less dangerous, use less noisy pumps, using battery operated power tools instead of electrical power tools o Adopting an engineering control by guarding a piece of machinery or o Adopting a safe person strategy by training workers so that they are aware of hazards and can behave accordingly Risk transfer:: transfer of risk to a third party. For example - By transferring risk to other parties but paying a premium for this for example by the use of insurance; if the risk realised and a loss occurs then the insurance policy will pay for the loss. Thus the financial risk has been transferred from the workplace on to the insurer (at a cost). o Alternatively risk might be transferred to a contractor. Here, a separate organisation is retained to undertake an activity that work place does not want to carry out directly. o The use of third parties for the business interruption recovery planning or outsourcing a process or processes. Risk retention: accepting a residual level of risk within a company. This is often done with the knowledge of workplace (i.e; knowingly) where the risk is small and the costs of reducing risk seem disproportionate / not balanced to any benefits. If a loss occurs then organisation will have to cover the losses from revenues. Sometimes the risk may be retained without knowledge (i.e.; unknowingly). This can occur Q6. July 2012 Q3. Jan 2011 Q3. Jan 2009
  • 39.
    39 - when arisk has not been recognised (and therefore goes uninsured) or - when a risk is recognised and insurance is put in place, but insurance fails to cover the loss. This might occur if the loss is greater that the amount of insurance cover purchased, if there is a large excess, or if there are policy exclusions that mean the insurer avoids payment. 34-IA4-02 RRC – IA4- SAQ-02 Production line workers in a textile plant are required to use knives routinely as part of their work. OUTLINE the factors to be considered when developing a system of work designed to minimize the risk to these employees. 10 m - The first factor to consider is the identification of the tasks requiring the use of knives (by tasks analysis for example) - The people at risk, the hazards and various risk factors must be identified and recorded in this risk assessment. - The correct methods needed to control the risk must be designed and implemented. - During the risk assessment process the potential for risk elimination by automation or process change should be considered ( though it must be expected that use of knives will remain) - Consideration must be given to the types of knives, its safety features, safe storage of knives, safe carrying of knives, and safe sharpening arrangements. - The environment must be considered (factors such as space constraints and lighting), as must - Individual factors relevant to staff using knives (age, attitude, skill). - Suitable PPE must be selected and supplied. - Staff training in much of above will be necessary. 35-IA4-03 RRC – IA4- SAQ-03 a. A production process has a safety critical control system that depends on a single component to remain effective. OUTLINE ways of reducing the likelihood of the failure of this component AND describe additional ways to increase the reliability of the system. 10 marks (RRC) b. Describe the meaning of common mode failure AND Outline equipments design features which could help to minimise the probability of such failure. [4 – July 2008] ANS A. Ways to reduce likelihood of the failure of the component:  Burning in the component before placing it correctly in the system  Planned replacement of the component before wear out  Increasing its useful life by a planned programme of maintenance  Initial design of and material specification for the component together with the use of quality assurance Ways to increase the reliability of the system: Q4 July 2011 Q3. Jan 2010 Q8. JUL 2008
  • 40.
    40 Use of ReliableComponents:  Suitable, good quality and well proven components from reputed supplier to be used in the system  To meet the legal specification a quality check on components should be ensured. Planned Preventive Maintenance  Planned preventive maintenance will improve safety and plant integrity as well as reliability. It is a means of detecting and dealing with problems before a breakdown occurs.  For example, car manufacturers recommend that the oil is changed at specified intervals to prevent failure of the system and increase reliability. Parallel redundancy / Circuit  Additional components can be added in parallel series so that if one component fails the other one will keep the system going. Standby Systems  A standby system can be installed so that should part of the system or a component stop working, then an alternative system automatically steps in to continue operation. This type of system is invaluable where failure of the system could affect safety, e.g. lighting in an operating theatre. Minimising Failures to Danger  When a system does fail, it is important that the failure does not end with the production of a hazardous situation. For this reason, it is vital that systems fail to safety. Through good design, e.g. ensuring that dangerous machinery has an automatic power cut out as soon as a hazardous component fails. Other ways:  Operational and detection protective system to maintain the system within its design specifications  The use of hazard analysis system techniques to predict failure routes  Collection and use of failure data. Minimising Human Error Human error does occur but can be minimised by ensuring that:  The 'right' person is doing the 'right' job.  The individual has adequate training and instruction.  The individual receives appropriate rest breaks.  The man-machine interface is ergonomically suitable.  The working environment is comfortable, e.g. noise, lighting, heating, etc. ANS B: The common mode failure can be defined as the termination of the ability of an item to perform a required
  • 41.
    41 function. Common mode failureis type or cause of failure that could affects more than one component at a time, even when the components are supposed to be arranged to operate independently of each other. It is particularly relevant for components in parallel designed to improve reliability of a system by redundancy. Measures that could help to minimise the probability of such failure include:  Functional diversity where reliance is placed on safety components designed to act by different mechanism. For example one detector for pressure and another for temperature, and one hydraulic interlock and one electrical interlock;  Equipments Diversity where components are sourced from different manufacturers or from different manufacturing processes to avoid common manufacturing defects and vulnerabilities  Isolating components from each other and from the environment so that they do not fail from common causes such as high temperature or vibration  Routing cables by multiple routes so that local physical damage does not affect all components  Using well known and established equipment designs where most of the failure modes will have been understood. 36-IA4-04 a. A mixing vessel that contains solvent and product ingredients must be thoroughly cleaned every two days for process reasons. Cleaning requires an operator to enter the vessels, for which a permit to work is required. During a recent audit of permit records it has been discovered that many permits have not been completed correctly or have not been signed back. OUTLINE possible reason why the permit system is not being followed correctly. [5+5 – Jan 2008] b. A sister company operating the same process has demonstrated that the vessel can be cleaned by installing fixed, high pressure spray equipment inside the vessels which would eliminate the need for vessel entry. You are keen to adopt this system for safety reasons but the board has requested a cost-benefits analysis for the proposal. OUTLINE the principle of cost-benefits analysis in such circumstances. (Detailed discussion of individual cost elements is not required) Ans a. There are many reasons to account for the failure to adhere to a permit to work system. They includes  The lack of competence of both permit issuer and permit receiver  The level of training and information that has been given to both  A poor health and safety culture within the organisation  Routine violation  Pressure to complete the task and  The complexity and impracticability of the system which makes it difficult to understand  Inadequate level of supervision Q3. JAN 2008
  • 42.
    42  Lack ofroutine monitoring and the non-availability of the permit issuer to activate the sign back procedure and cancel the permit once the work had been completed. b. Cost benefits analysis in this scenario can be prepared after considering the below requirements  The total cost of the system should be calculated including capital and ongoing of each option  The benefits that would accrue from the use of proposed system should be quantified.  The benefits includes process efficiency gains, lower operating costs and a reduction in accidents and cases of ill health and their associated costs By replacing the manual washing with high pressure spray equipment will definitely eliminate the personal entry which will stop any personal injury due to entry inside the vessel. Once the cost and benefits of the proposal have been identified a comparison might then be made with those of the system currently in use. 37-IA4-05 A maintenance workers was asphyxiated when working in an empty fuel tank. A subsequent investigation found that the worker had been operating without a permit-to-work. (a) Outline why a permit-to-work would be considered necessary in these circumstances. 3 (b) Outline possible reasons why the permit-to-work procedure was not followed on this occasion. (7) a) A risk assessment of the work to be done would have identified the need for a permit to work since the activity involved was a non-routine high risk task in a confined space where the precautions to be taken were complex particularly since additional hazards might be introduced as the work progressed and it was, therefore an activity requiring a structural and systematic approach. b) Possible reasons why the permit-to-work procedure was not followed - One possible reason might have been that no, or an inadequate risk assessment had been carried out and consequently the potential hazards had not been identified. - There could also have been a poor health and safety culture within the organization o where violations were routine and o where a permit to work system was considered to be too bureaucratic and o where complying with the terms of a permit prevents a task being finished quickly particularly when there is pressure to complete. - Other reasons such as the difficulty in organizing the required control measures before starting work, particularly if a competent person was not at hand to authorize the permit; - The failure on the part of management to stress the importance of using a permit in such circumstances and ultimately the possibility that the organization had failed to introduce and operate a permit to work system. Q2. Jul 2010
  • 43.
    43 38-IA4-06 RCC-IA4- LAQ-03 (a) An organisationhas decided to introduce a permit-to-work system for maintenance and engineering work at a manufacturing plant which operates continuously over three shifts. Outline the issues that will need to be addressed in introducing and maintaining an effective permit-to- work system in these circumstances. (10) (b) A year after the introduction of the permit-to-work system an audit shows that many permits-to-work have not been completed correctly or have not been signed back. Outline possible reasons why the system is not being properly adhered to. (a) The key issues that could have been outlined include: - Arriving at a clear definition of the jobs and areas for which permits will be required; - Consideration of the operation of the system where contractors are involved; - Developing a permit to work procedure that defines how the system will operate; - Developing the permit format and multi-copy documentation system to encompass issues such as job description, hazard identification, specification of risk control measures, time limits and authorising, and receiving and cancellation signatures and - The allocation of a unique reference number; arrangements for the return of permits and record keeping; - Arrangements for the display of multiple live permits; - Arrangements for communication between shifts; - Identification of the training needs for, and the delivery of training to, persons authorising or receiving permits and those working in areas where permits may be required; - Provision of supporting arrangements and equipment for safe working such as lock-off, isolation or gas testing facilities; - And arrangements for routine monitoring and auditing the effectiveness of the system. (b) Possible reasons for the fact that there is not strict adherence to the permit to work system include: - Permit issuers and receivers are not competent and have not been adequately trained; - There is no routine monitoring or auditing of the system and the level of supervision is poor; - There is a lack of perceived importance of the system with production seen as having the greater importance and violations have become routine; - The permit system is seen as too complex and cumbersome and difficult to understand; the potential hazards of maintenance and engineering work are not fully identified or understood and the required controls are not fully understood by the permit issuer; - The difficulties that arise in organising controls before the start of the work to be carried out; a lack of effective communication between shifts and the person responsible for issuing permits is not always available. This was a popular question and most answers produced were to a reasonable standard though others lacked context in relation to the points made leaving examiners unable to award all the marks available. Q6.Jan 2012 Q7.Jul 2009
  • 44.
    44 39-IA4-07 A newmaintenance activity is being planned a. Describe the components of the safe system of work that should be considered for the maintenance activity. b. OUTLINE TWO reasons why Permit to work may be required for the maintenance activity. 8 + 2 Q2. Jan 2013 40-IA4-08 RCC-IA4- LAQ-03 Q . An investigation of a serious accident has concluded that maintenance operation in a particular area of a factory should have been subject to a permit to work system. Identify and Explain the main factors that should be considered when setting up such system Maintenance operation in a factory environment may involve various high risk types of work such as - Work on large complex items of machinery - Work on pressure system - Work on high voltage electrical system - Work in confined - work on plant containing hazardous chemicals - work at height and work on plant at extremes of temperature, to name but few. And very often multiple hazards will exist at the same time and generate high and complex risk. Consequently, maintenance work may often be designated as high risk and made subject to permit to work control. In these cases, a PTW system must be carefully designed and implemented to ensure safety at all stages of the maintenance work. Various factors must be considered when such a system is being designed, developed and implemented. - The system parameter must be clearly identified, so that there will be clear understanding of what the permit system covers. The system must define the range of works falls under the PTW system and list those works fall outside of the permit control. o This may sometime subject to legal requirements. For example, confined space entry should always be made subject to permit control as matter of course. o In other instance the use of a permit system will be dependent on perceived risk on site – for example hot work. - Clear accountability: The definition of permit parameter must also identify who key personnel are and what their specific responsibilities and authorities with regards to permit system. o Persons with responsibility of authorizing the work under the permit system must be clearly identified – that is called permit issuer, o Personnel responsible for undertaking specific activities, such as risk assessment or atmospheric monitoring, should have their responsibilities clearly allocated. o And the persons who are responsible for monitoring the effective operation of the permit system should also be defined.
  • 45.
    45 - Effective selection,training and competence of personnel: all personnel associated with PTW system must have necessary competency to undertake their assigned work and tasks. This implies – o Training, knowledge, experience and other quality such as ability. o Assessment of competence may be necessary. o Training records, specific certification for key personnel may have to be obtained and recorded. - The Recommendation / Control Measures: what the permit itself prescribes must be considered of the permit system, this will vary depending on the types of work. o Generally there would be arrangements designed into the system for the formal specifications of key safety requirements before commencement of job. o These safety requirements should be communicated to all concerned o Auctioning of key controls should be verified o System for hand over of control from authorizing manager to the person undertaking the maintenance work. o And there would be written do’s and don’t’s in the permits - Cross check and verification: the verification of safety throughout the operation and the formal hand- back of plant / equipment or areas would then follow. Formal acceptance of these areas would follow, with the cancellation of the permit to prevent future work being carried out under old permissions. - The Permit to work must clearly identify how the work should be coordinated and monitored. Personnel with key responsibilities must be identified here, as well as the coordination and monitoring arrangements being described in the system. 41-IA4-09 An organisation should carry out a risk assessment before developing a safe system of work. (a) Outline the factors that should be considered when carrying out a risk assessment. (10) (b) Give the meaning of the term ‘safe system of work’. (2) (c) Outline the issues to be addressed to effectively implement a safe system of work. (8) a) The factors to be considered when carrying out a risk assessment include - The detail of the activity or task concerned and the equipment and materials involved; - Any guidelines or information provided by the manufacturer; - The number and type of persons to be involved in the activity; - The hazards associated with the activity and the likelihood and severity of their associated risks; - The adequacy of existing control measures; - Accident history and previous experience; - Legal requirements; - The need to involve and consult workers and to use appropriate and familiar language to enhance understanding; - Monitoring the effects of the assessment once it has been introduced and arranging for periodic reviews and finally ensuring the competency of the assessor. Q11. Jul 2011 Q9. Jan 2010
  • 46.
    46 b) The integrationof people, equipment, materials and the environment to produce an acceptable level of safety or a method of carrying out a task in which hazards have been identified and eliminated, or risks reduced to an acceptable level is called “Safe System of Work”. c) Issues that should be addressed to ensure the effective implementation of a safe system of work include – - Its timing taking into consideration - The need to avoid shift changes and holidays; - The number of persons affected; - The need to communicate with the workforce and to provide them with relevant information using clear and unambiguous language; - Arranging for the provision of the necessary training; - Ensuring that managers and supervisors are made aware of and understand their responsibilities; - Introducing procedures for securing feedback from the workers; and - Making arrangements for the monitoring and periodic review of the system and to introduce any changes found to be necessary 42-IA4-10 (a)Outline the site operator requirements for emergency planning and procedures within the International Labour Organisation Convention C174 ‘Prevention of Major Industrial Accidents’ 1993. (6) (b)As part of the on-site emergency planning process a large manufacturing site intends to provide information to the external emergency services. Outline the types of information that the site should consider providing to the ambulance service. (4) a. Under the ILO’s convention C174 on the subject of the Prevention of Major Industrial Accidents, the site operator is required to: - Identify major hazards and assess their potential outcomes; - Prepare written site emergency plans and procedures; - Draw up emergency medical procedures; - Carry out periodic testing / mock drills and evaluation of the effectiveness of the emergency plans and introduce any revisions to the plans shown by the evaluation to be necessary; - Include reference in the plan to the protection of the public and the environment outside the site following consultation with the authorities and communities concerned and - Submit the emergency plans to the responsible authorities. B,)Types of information such as - The location of the site and its various access points; - Details of the main hazards on site such as fire, explosion or toxic release; - Details of any hazardous chemicals used and stored; - The number of personnel on site both in daytime and at night; - Plans showing the layout of the site; - The location of any emergency control center; - The identity and contact details of key personnel; Q4. Jan 2011 Q3. Jul 2009
  • 47.
    47 - Details ofthe establishment’s medical personnel and facilities; - Details of any specific medical conditions of workers and particularly information relating to those known to be vulnerable; and - Any other information necessary to enable the ambulance service to carry out a risk assessment for its own personnel. 43-IA4-11 The manufacturing process of a planned new chemical plant will involve toxic and flammable substances. The plant is near to a residential area. Outline the issues to be considered in the development of an emergency plan to minimise the consequences of any major incident. (20) The initial issues to be considered in the development of an emergency plan would be - To consider the quantity of toxic and flammable substances involved, - The possible causes of a major incident, - The likely extent of the damage and the area of the plant and the surrounding area which is vulnerable. - Consideration will then have to be given to the availability of resources to deal with the incident should it occur and what action would be taken to minimise its extent by for example shutting off services and controlling spillage and pollution. - There will need to be a clear allocation of responsibilities on site to deal with the incident, to establish a control centre and to make arrangements for staff and equipment call out. - A decision will have to be made on how the alarm will be raised on site and in the neighborhood and this will require liaison with the community and particularly with representatives of the local authority, the police and the emergency services since while the on site plan will be prepared by the plant operator, - A second off site plan, which may have to consider amongst other things the provision of information to nearby residents and the possibility of their evacuation if an incident were to occur, will be very much the responsibility of the local authority. - The onsite plan will also need to address the arrangements for clean up and decontamination after the event and for dealing with the media. It will of course be imperative for the plan once it has been developed to be tested and assessed in a ‘mock incident’ involving both workers and residents. Q8 July 2010 44-IA4-12 A small company formulating a range of chemical products operates from a site on which it employs about 50 staff. The site poses a risk to employees, the neighboring community and the environment and the company has been asked by the enforcement agency to provide details of its procedures for dealing with a range of emergencies. i. OUTLINE the types of emergency procedure that a site of this nature may need to put in place in order to deal with incidents affecting the safety of site personnel.10 ii.Describe the arrangements that should be in place in order to demonstrate an effective major incident procedure. 10
  • 48.
    48 ANS i.A site ofthis nature might have a range of procedures in place to ensure the safety of the site personnel. These procedure would includes – - A Local spillage / release procedure to deal with small onsite spillages or release to atmosphere. - Fire Evacuation procedure in the event of fire breaking out - First aid treatment arrangements would have to be in place, comprising facilities, equipments, first aid providers which might be suitable to the specific risk present on the site (toxic chemicals). - Major incident procedures would need to be developed to deal with more serious spillages, fires and release, where large amount of chemical might release into the local environment and may present a risk to the local population off site, as well as personnel on site. - Procedure should also be in place to counter the sabotage and bomb threats. ii.Arrangements would include: - The identification of major incident risks - On site personnel and external agencies should be consulted on the development of the major incident plan - The plan would require clear allocations of responsibilities of key personnel such as a main contractor, an incident controller and subordinates - Clear procedures for initiation / activation of the plan would be needed, which includes contact details and method of call out of key people. - An emergency control center would have to be set up, suitably equipped with emergency information, site plans, appropriate communication equipment, etc. - Additional equipment would have to be obtained and stored at suitable locations on site, this might include spillage control kit, PPE for cleanup personnel, eye / body shower, communications equipment (fire alarm, air horn, mega phone etc) - Arrangement for the communication with the public such as neighbors would have to be developed pre-incident. - Arrangement for management of media Once in place, the plan would have to be communicated to site staffs and regular training and drill undertaken to ensure the practicalities and adequacy of the plan and clear understanding by key personnel. END OF UNIT 4
  • 49.
    49 IA 5 :ORGANISATION FACTOR 45-IA5-01 RRC-IA 5 – SAQ 1 (a) (a) Give the meaning of the term ‘health and safety culture’. (2) (b) Outline the role of an organisation in the development of a positive health and safety culture. (12) (c) Identify ways of measuring the effectiveness of a health and safety culture. (6) (a), The term “health and safety culture” by referring to the shared perceptions, beliefs, attitudes and behavior patterns and values that member of an organisation have in the area of health and safety. The safety culture of an organization is the system of shared values and beliefs about the importance of health and safety in that workplace. The culture is how workers at all level within the organization think and feels about the health and safety, and about how this translates into their behaviors. The culture may be positive or negative and will pervade / spread the whole organization from top to the bottom. b) An important role for the organisation in the development of a positive health and safety culture would be - To demonstrate leadership and commitment from the top which would include the development and implementation of a health and safety policy, - Identifying and allocating key health and safety responsibilities and - Ensuring both that adequate resources are provided for health and safety but that also it is given the same importance as other objectives such as production and quality. - This should then lead to the completion of the necessary risk assessments, - The introduction of safe systems of work and - The provision of training for the workforce. During this process communication and consultation with the workforce will be of paramount importance. Once the systems are in place, it will be imperative that their effectiveness is monitored on a regular basis and that any deficiencies are seen to be rectified in as short a time as practicable. c) Ways of measuring the effectiveness of a health and safety culture through - The assessment of records such as those of accidents and/or incidents together with the findings of any investigations that were carried out; cases of ill-health; staff turnover and sickness absenteeism; - The effectiveness of communication with the workforce and any complaints received on the subject of working conditions. - The organisation might also make use of surveys, value questionnaires on the subject of health and safety, appraisal interviews and/or simply by observing the behaviour and commitment of the workforce. Q11. Jan 2011
  • 50.
    50 46-IA5-02 RRC-IA 5 – SAQ1 (b) (a) Give the meaning of the term ‘safety culture’. (2) (b) Outline a range of organisational issues that may act as barriers / (negative H&S culture) to the improvement of the safety culture of an organisation. (8) a The safety culture of an organization is the system of shared values and beliefs about the importance of health and safety in that workplace. The culture is how workers at all level within the organization think and feels about the health and safety, and about how this translates into their behaviors. The culture may be positive or negative and will pervade / spread the whole organization from top to the bottom. B There are many possible barriers to the development of a positive health and safety culture within an organization. These are not dissimilar from the factors that promote a negative health and safety culture and include the following – Organisational issues that could act as barriers to the improvement of the safety culture of an organisation such as - The lack of senior management commitment; - A failure to allocate adequate resources to support improvement; - The absence of effective means of communication with workers to secure their involvement; - A lack of trust and confidence in management by the workforce; - High staff turnover making cultural improvement difficult to embed; - A history of poor industrial relations; - The existence of a blame culture; - Workforce cultural issues such as race and language and the lack of positive decision making by management on the level of priority accorded to health and safety leading to uncertainty among the workforce. (Refer RRC) for all detailed barriers (negative H&S culture). 20 marks There are many possible barriers to the developments of a positive H&S culture within an organization. These are not dissimilar from the factors that promote negative H&S culture and include following: Company reorganization – change is unsettling for all people in an organization and during times of change people may lose their belief in the company and its aim and means. For example, a company downsizing and making workers redundant will struggle to secure worker commitment to a H&S policy that state that “ People are most valuable asset”. Lack of confidence in the management – if workers do not trust management to make sound decision about the direction of the organization and the methods used, then they will not engage in initiatives started by management. Q4. Jan 2013 Q4. Jan 2010
  • 51.
    51 Lack of leadership– people in organization need to see that people in management positions are showing clear leadership with regards to H&S. If no managers are clearly showing the leadership and indicating the way forward, then workers will not be able to make their own way. Clear leadership, demonstrated by clear decision making as the way forward, coupled with action will show others where to head. Lack of resources – H&S costs money. If safety is not adequately resourced in terms of money and personnel then positive improvements will be hard to achieve. For example: a H&S safety budget being cut to achieve a short term financial target, resulting in the loss of part time safety officer. Lack of management commitment – in the absence of senior management commitment, resource and attention will not be paid to H&S. priorities will lie elsewhere and others within the organization will respond accordingly. It is only with the clear commitment from senior management that organization can hope to make positive improvement to their safety culture. For example if senior managers are heard to belittle and denigrate / degrade H&S in meetings, this will send a clear and negative message to middle and junior staff. Poor communications – in the absence of clearly communicated policies and decision making, people will not be subject to the positive influence to their organization. They will be left to make their own minds up about how important H&S is. If communications are clear, then they will know what the organization is thinking and what the organization is doing to improve H&S. for example; notice boards, team briefings and management meeting minutes do not feature any H&S element. 47-IA5-03 RRC-IA 5 – LAQ 3 a. Describe the indicators and measures that could be used to assess the H&S culture of an organisation. 12 b. Describe the organisational factors that may influence the success of an org ‘s H&S culture. 8 a. The indicators and the measures that could be used to assess the H&S culture of an organisation would include: - Attitude towards H&S by workers / managers - Acceptance of H&S responsibilities which can be assessed by questionnaire or interview - The extent of communication on H&S within the org. this might be assess by viewing all of the various forms of communication that are apparent. - The integration of H&S into other management function (e.g. purchasing) this might be assessed by reference to policy and procedure documentation and by interview. - The influence of H&S into other management decision- making. This might be assessed by reviewing management meetings minutes and by interview. - The effectiveness and composition of the safety committee. This could be assessed by viewing meetings minutes and by interview - The status of safety advisors. This could be assessed by examining the position of the safety advisor . within the org and by ref to salary. - The relationship with the enforcement authorities
  • 52.
    52 - The qualityof H&S policy and its effectiveness. This might be assess by reading policy documents and by audit - Ref to H&S in the org’s annual report. - The standard reactive monitoring data such as loss time indents etc. though these are fairly limited in the context of assessing safety culture. b)the factors that may influence the success of an attempt to improve an org’s H&S culture would include : - The industrial relations (IR) climate within the org. if this is good then achieving harmony and buy in will be fairly easy. If IR is poor then certain groups of workers may not engage with attepts to improve the culture and may even deliberately sabotage such attempts. - The confidence of the workforce in their management’s ability to control risks. If management have the trust of the workforce in this respect then workers are more likely to listen to and respond to improvement programmes - Management commitment to H&S. is commitment is seen to be demonstrated, then those workers who support any improvement programmes have ammunition to win the argument. If management commitment does not exist or is not see to exist then those arguments will be lost. - The resources and expertise devoted to H&S. lack of resource handicaps any improvement programme. Good resourcing and the presence of the right people in the right positions will allow the best chance of success. 48-IA5-04 (a)Organisations are said to have both formal and informal structures and groups. Outline the difference between ‘formal’ AND ‘informal’ in this context. (6) (b)The development of a health and safety culture requires control, co-operation, communication and competence. Outline what ‘co-operation’ means in this context, AND give examples to support your answer. 6 (c)Organizational change can, if not properly managed, promote a negative health and safety culture. Outline the reasons for this. (8) a. A formal structure or group is hierarchical, generally shown in an organisational chart and characterised by defined responsibilities and agreed reporting lines, while an informal structure is characterised by social and personal relationships, habitual and related contacts and the presence of strong characters with personality and communication skills that may exert personal influence. <b. Internationally recognised H&S Management models, including OHSAS 18001 and HSG65, include an ’organisation’ element which requires control, co-operation, communication and competence. OUTLINE, using practical examples what co-operation means in this context.> b. The co-operation in the organisation section of H&S Model includes  Direct consultation with employees at team meetings  Participation in safety committee meetings  Involvement of employees in Risk assessments and in development of safe system of work. Q8. Jan 2012 Q8. Jan 2009
  • 53.
    53  Involvement ofemployees in incident investigation, inspections, audits and other monitoring processes  Employees should be encouraged to report hazards and nearmiss and incidents.  Provision of safety training. c. Organisation change can, if not properly managed, promote a negative health and safety culture. Outline the reason for this. c. Organisation change can, if not properly managed, promote a negative health and safety culture for a number of reason such as:  The profile of safety may not be maintained during the change and new job responsibilities may not have fully covered safety issues.  Normal consultation mechanism and routes may be disrupted.  Training in safety issue for new job holders or for new responsibilities may not have been completed.  The lack of adequate means of communication during the change may compromise trust and poor consultation on change issues may negative effect on cooperation and other safety issues.  There may be concern about job security which could encourage risk taking.  Redundancy process or cost reduction measures may produce a perception that the organisation is not concerned with personal well-being.  Experience and knowledge of risk control may be lost with changes of personnel  Extensive movement of personnel makes it harder to establish shared perceptions and values.  A greater use of outsourcing without good control may result in lower safety standards by contractors which may affect the perception of priorities.  The effect of natural resistance of change. 49-IA5-05 RRC – IA 05-SAQ - 02 A, OUTLINE the reasons for establishing effective consultation arrangements with employees concerning health and safety matters in the work place. [4+6 - JAN 2008] B, OUTLINE the range of formal and informal arrangements that may contribute to effective consultation on health and safety matter in the workplace. a. The reasons for establishing effective consultation arrangements includes:  It is a legal requirement  The Demonstration of Management Commitment  The development of ownership of safety measures among the employees and promoting their commitment and motivation  Improving perceptions about the value and importance of health and safety so that they might play an active part in developing the culture of the organisation  Gaining the input of the knowledge of employees to ensure more workable improvements and solutions  Encouraging the submission of improvement ideas by the employees. Q6. July 2010 Q4. Jul 2009 Q5. Jan 2008
  • 54.
    54 b. The rangeof formal arrangements for the effective consultation includes:  Establishment of safety committee  Consultation with safety representatives  Planned direct consultation at departmental meetings and Team briefings Less formal consultation arrangement such as  Consultation as part of accident / incident investigation  Consultation as part of completion of risk assessments And other informal consultation arrangements such as  Day to day informal consultation by supervisors with employees at the workplace  Tool box talk  Discussion as a part of safety circles or improvement groups  Use of departmental meeting for ad-hoc consultation on safety issues  Raising the subject of health and safety at staff appraisals  Questionnaires and suggestion scheme 50-IA5-06 RRC – IA 5 – SAQ 3 The management of an organisation intends to introduce new, safer working procedures but the workers are resisting this change. (a) OUTLINE practical measures the organisation could take to communicate effectively when managing this change. (10) (b) OUTLINE additional steps the management could take to gain the support and commitment of workers when managing this change. (10) ANS (a) Measures that could have been considered in this scenario include: - The provision of regular and frequent newsletters or memos using language and technical content which is clear and easily understood; - Holding regular meetings between management and the workforce such as team briefings and tool box talks; Providing the opportunity for regular meetings between the workforce and their safety delegates; - Placing notice boards at various locations on the site and ensuring that they display relevant information and are updated at regular intervals; - Introducing team building activities and staff suggestion schemes; and - Providing accident and incident data to all the workers. (b) Additional steps that management might take to gain the support and commitment of workers include: - The very first step should be “to Find out the reasons for the resistance” whether fear of redundancy, de- skilling or simply a dislike of any type of change. - The most important requirement is to effectively consult with the workforce. This could be through formal means – such as the safety committee or more informally – through day to day meetings with leaders , employees; tool box talk; safety circles or improvement groups - A steady / progressive or step by step change process with trials and pilots of the proposed changes - Setting out clearly the reasons for, and the benefits of, the proposed changes such as improved accident rates and production rates Q11. July 2012 Q11. Jan 2010
  • 55.
    55 - It willbe important to actively involve the workforce in the proposals, take on board suggestions and offer trainings in the new methods. - A final part of the process should be continuing demonstration of senior management commitment and - Regular review of the changes to learn from any mistakes. 51-IA5-07 RRC – IA 5 – LAQ 1 A manufacturing company is about to embark on a process of organizational change that is intended to reduce costs and increase productivity. As planned, the change will lead to a similar workforce, a flatter management structure, enlarged responsibilities for the remaining staff, outsourcing of most maintenance task, increased use of automated processes and the need for some employees to be multi skilled. Review the elements of strategy designed to ensure that the company maintains its current high standards of health and safety, and its positive health and safety culture, both during and after the change. 20 marks Clear policy – the strategy should commence with the org making a definite statement of safety objectives as part of change process so that the policy regarding H&S during the change is well understood. Amend plans where safety is compromised – it should be clear that plans will be amended if it is identified that the changes process is adversely affecting H&S. Allocation of senior management responsibilities – there should be senior managers identified with clear responsibilities for managing safety during the change and performance measures identified and set, against which the impact of the change can be measured. Consultation at all levels / Involve employees – to maintain H&S culture there should be regular consultation at all levels in the org and employees and their representatives should be involved in working groups dealing with the changes. In this way, the org can utilize employee experience and also encourage ownership of the change process. Communicate – ensure regular communication of plans and progress. New risk assessment with employees involvement – the planned change will render current RA invalid and therefore a programme of RA revisions will need to be undertaken with full involvements of employees. Map job skills / Assess training needs - the new roles will require mapping of job skills and experience and also an assessment of training needs. Capture / replace lost process knowledge / experience – as the proposed change will result in much smaller work force, this will lead to loss of informal knowledge and process experience which will need to be identified and preserved before employees are made redundant.
  • 56.
    56 Procedure to managerisks at outsourced tasks – the move to out sourcing will lead to increased use of third parties and contractors, and therefore these new risks will need to be managed, and also consideration given to contractor competence. Mitigate employees anxiety (communication , job rotation, redundancy) – the proposed change will be stressful for the workers and therefore steps need to be taken to mitigate employee anxiety by regular and honest communication, help with job replacement and an open approach to redundancy. Allocate time and resources - it will also be important not to rush through the changes and to allow adequate time and resources for training and implementation of the new structure. Monitor safety performance during and after the change and also Review change process and safety implications. 52-IA5-08 A multi-site organisation has recently been audited. This has highlighted deficiencies in worker involvement in health and safety matters. Outline recommendations to assist the employer to effectively consult with the workers on health and safety matters. (10) There are a number of recommendations that might be made to the employer in the scenario described including - Arranging for safety representatives to be appointed for each site, by election if required, and protecting them from dismissal or other measures prejudicial to them; - Ensuring that the safety representatives have access to appropriate resources to fulfil their functions and have time off their normal duties for training; - Setting up a formal safety committee, to meet on a regular basis to a set agenda and ensuring that the minutes of the meetings are circulated throughout the organisation; - Providing adequate information to the workforce on health and safety and consulting them when alterations to work processes are planned which will have health and safety implications; - Allowing access to representatives to all parts of the site to carry out inspections and arranging for them to meet representatives of the enforcing authority when they pay a visit to the site; - Ensuring there is a visible interest by management in health and safety matters with a readiness to have consultations on an informal basis with all workers; and - Setting up an individual appraisal system where health and safety concerns will be discussed on a par with other relevant issues. Q3. July 2011 53-IA5-09 RRC – IA 5 – LAQ 2 The refurbishment of an organisation’s offices will involve the services of several different trades from a number of small local companies and is to be completed while the building is occupied. an interior designer specializing in commercial properties will manage the project. a) OUTLINE the criteria that should be used when selecting contractors to undertake their part of the project. b) OUTLINE the organizational measures that the PM may need to consider in order to ensure the H&S of office personnel during the work. You are not required to consider the specific risks associated with the work.
  • 57.
    57 a) Steps forprequalifying / ensuring competency the contractors  Previous experience in similar type of works  Reputation with previous and recent clients – they could have provided the information about the performance of the contractor which can be obtained by taking up references.  Content and quality of H&S policy document and risk assessments  Level of trainings and competence of staffs  Accident and enforcement history (accident statistics going back over 3-5 years; enforcement notices and prosecutions)  Memberships of relevant professional bodies  Equipment and statutory examination records  Quality control techniques  Examples of risk assessment and method statements for work carried out.  Finally the contractors should prepare a detailed plan Outlining the construction safety and installation arrangements b) Orgnisational measures that may be considered to ensure safety of office staff during the work  Clear agreement on work schedules and timescales that are then clearly communicated to all contractor and office staffs  Induction issues for the contractors – so that they understand the implication of their work for office staff.  Security procedure such as signing in and out  Accident reporting procedures – so that in the event of incident involving office staff, the PM is informed immediately.  Clear communication and coordination on the means of escape that have to be maintained to ensure safety of office workers as the project progress.  Procedure to be followed in the event of an emergency.  Information on hazards in the building – that is utilities, asbestos, - its locations and presence. Not only present a hazard to contractor but also present a hazard (if disturbed) to office worker  Arrangement for delivery and storage of materials – so as not interfere with office wirker access and egress or emergency escape routes  Removal of waste that may pose hazards to office workers  Information on part of the buildings where access might be temporarily restricted. END OF UNIT 5
  • 58.
    58 IA 6 :HUMAN FACTOR 54-IA6-01 RRC – IA 06 – SAQ01 ‘Perception’ may be defined as the process by which people interpret information that they take in through their senses. OUTLINE a range of factors that may affect how people perceive hazards in the workplace. (10) The range of factors that might affect how people perceive hazards in the workplace are mostly factors associated with the person themselves which includes  The effects of fatigue. A tired person is less likely to take note of sensory information that an alert person would detect early  Drugs and Alcohol – have an obvious effect on mental process and in some instances will be psycho-active and therefore directly interfere with the processing of sensory information.  Education and Training – a trained person will know the meaning of various sensory inputs, will recognize their importance and act accordingly. An untrained poorly education person may not make the same associations between sensory input and hazards.  Experience – Inexperienced workers often fail to recognize hazards for what they are and underestimate the risk associated with hazards precisely because they lack experience. More experienced workers do not fall into the same trap.  Aptitude – some individuals will have an innate ability to respond to sensory stimuli in an appropriate manner.  IQ – A worker with low IQ may struggle to correctly perceive the level of risk associated with a particularly if the hazard is not visible in nature. A person with high IQ may be better able to interpret sensory information and translate that into hazard awareness.  Environment Factors may interfere with a workers ability to perceive hazards in the workplace. Factors such as low light levels, dust, noise and extreme of temperature can have an effect on hazard perception.  Any form of sensory impairment will have an obvious impact on perception of hazards. A particularly sighted worker may not be able to see hazards to avoid them. A color blind worker may mistake red and green indicator light. Q1 July 2011 55-IA6-02 RRC – IA 06 – SAQ02 OUTLINE the organizational and behavioral FACTORS that may lead new employees to disregard instruction given during health and safety induction training 10 Organizational Factors:  The employee selection process, whereby poor recruitment and selection processes allow employees with poor attitude, intelligence and behavior patterns into the workplace.  A poor induction process that fails to engage the employees, especially if training provided is not applicable to actual practice in the workplace or the trainer is fail to communicate adequately with the workers due to language gaps, trainers ability, training locations, training media etc.
  • 59.
    59  The absenceof refresher training. And poor training needs analysis.  A lack of awareness on the part of experienced workers for the safety of new starters.  Peer group pressure coming to play on new starters; forcing them to disregard instruction so as to fit in their newly acquired peer group.  Poor level of supervision – such that inappropriate behavior detected or challenged early  Poor safety culture – including lack of management commitment within the organization, which will be perceived by new starter early on. The behavioral factors: the behavioral factors are those that relate specifically to the character of the employee themselves, rather than relating to the organization in which they find themselves working. The behavioral factors might lead to employees disregarding instruction given during induction training might include:  A lack of familiarity with working environment  Poor risk perception as a result of young age or a lack of workplace experience.  Cultural issues associated with the cultural background (Bangladeshi workers) of the individual and consequently the beliefs and values that they bring into the workplace.  Language issues that might arise as a result of the nationality or cultural background of the workers, their reading ability and any learning difficulties they may suffer from.  Sensory impairment such as deafness, impaired hearing, impaired sight.  LOW IQ or poor mental capabilities leading to difficulties in understanding instruction, understanding the true nature of hazards and risk. 56-IA6-03 RRC – IA 06 – SAQ03 a. OUTLINE the meaning and relevance of the following terms in the context of controlling human error i) Ergonomics ii) Anthropometry iii) Task Analysis [6+14 – Jan 2008] i. Ergonomics: the human error at the workplace can be controlled by  The design of equipments  Task and environment to take account of human limitations and capabilities ii. Anthropometry – the collection of data on human physical dimensions and its application to equipment design iii. Task analysis – the breaking down of tasks into successively more detailed actions and the analysis of the scope for human error with each station. b. Excluding ergonomic issue, OUTLINE ways in which human reliability in the work place may be improved. In your answer, consider individual, job and organisational issues. (improving safety related behaviour / human reliability means reducing the risk of human error , violation etc) b. Human reliability plays a vital role in health and safety in work place. The ways to improve the human reliability is as below Q8. Jan 2013 Q8. Jan 2008
  • 60.
    60  Individual factors: oTraining (Safety induction, Job specific and refresher) – in the absence of proper, effective training, worker will not know how to behave correctly and they will do what they see as the best. o Incentive Scheme: if worker see some form of reward for good behaviour then they are more likely to comply with the rules, etc. and they are also more likely to exercise care when performing their duties because they have a personal reason for caring about outcomes. Incentive can be financial in nature , but may have no financial value at all (e.g; Employee of the Month scheme ) o Individual characteristics such as personal attitudes, skills, qualifications and aptitude. o The consideration of special needs of those who may be more vulnerable. o Monitoring personal safety performance o Using workplace incentive schemes. o Assessing job satisfaction and a counselling service for those recognised as suffering from the effect of stress.  Job factors: o Allowing Appropriate rest breaks o Introduction of task analysis for the critical task o The design of work patterns o Shift organisation to minimise stress and fatigue o The use of job rotation to counter monotony and boredom and maintain some form of interest o Usage of sufficient number of personnel to avoid constant time pressures  Organisation factors: o Employee selection: recruiting the right worker for the job is an important measure. For example a worker with high IQ on a monotonous job is likely to bend and break the rules to relieve the monotony. o Supervision: The provision of adequate level of supervision. It is vital that workers are supervised to an adequate level in the workplace so that non-compliance and errors are detected and corrected early. This prevents bad habits from forming and sends a clear message to the workers: rule breaking will not be tolerated. o Demonstrable Management commitment - without strong leadership workers will not feel motivated to behave correctly. o Development of a positive health and safety culture through  Introduction of effective health and safety management system  Maximising employees’ involvement in health and safety issues.  Ensuring effective arrangements for employees’ consultation.  The introduction of procedures for change management. o The introduction of good communication arrangements between individuals, shifts and groups, so that workers feel engaged in the decision making process in the workplace and therefore feel a greater level of commitment to work.
  • 61.
    61 57-IA6-04 Outline arange of factors relating to the individual which influence behaviour in the workplace AND give an example in EACH case. (10) The range of factors relating to an individual that might influence his/her behaviour in the workplace. These could have included amongst others,  Motivation;  Personality involving individual traits and preferences;  Aptitude perhaps involving innate skills such as the possession of special awareness;  Experience, education and intelligence;  Training involving the development of cognitive and physical skills;  Perception of risk and disability. Q4. Jul 2010 58-IA6-05 (a) Give the meaning of the term ‘motivation’. (2) (b) OUTLINE, with an example in EACH case, how workers can be motivated to behave in a positive way. (8) Motivation is a driving force or incentive which encourages people to behave in a certain way and to do something willingly.  A prime factor in motivating workers to behave in a positive way is  The attitude of management who should show commitment, lead by example,  Involve and communicate with the workers and give them praise, recognition and encouragement where this is appropriate.  Other motivational factors include job satisfaction where sufficient time is allowed to carry out a particular activity,  Where the right equipment is available and  The working environment including welfare facilities is to a good standard and  Where there is positive peer pressure to attain certain goals.  Reward and incentive schemes together with safety campaigns have a part to play and individuals are inclined to react more positively when they are told what particular desired behaviour is expected of them and when this is facilitated in such a way as to make it easy to attain.  Training and Safety Campaigns are also effective to motivate the employees towards positive H&S.  Finally, in certain cases, discipline may prove to be a powerful motivational tool. Q6 Jan 2011
  • 62.
    62 59-IA6-06 a. Inrelation to workplace behaviour OUTLINE what is meant by the term attitude. 2 b. OUTLINE how the media can influence attitudes towards health and safety. Making reference to suitable example wherever appropriate. 8 a. Attitude can be defined as a:  ‘Predetermined set of responses, built up as a result of experience of similar situations’; or  ‘A shorthand way of responding to a situation’; or  ‘A tendency to respond positively or negatively to certain persons, objects or situations’ OR, attitude is a predisposition to act in certain way which may be determined by ancestry, personal experience and training. b. OUTLINE how the media can influence attitudes towards health and safety. Making reference to suitable example wherever appropriate. The media can be used to help change attitudes to occupational health and safety; examples of this include:  The media facilitate a global coverage of events (such as Bhopal Gas tragedy, Piper Alpha etc) and can reach a vide audience using a verity of methods such as print, television, videos and the internet.  The coverage is often sensationalist and can be influenced on occasions by pressure groups and other bodies such as greenpeace*.  The influence exerted by the media may be advantageous or detrimental for the industry or organisation involved particularly those who have high media converge which can effect the perceptions of customers, client and other stakeholders.  Media makes the public, and in particular duty holders, aware of enforcement action such as prosecutions, convictions and civil actions, through the newspapers, TV/radio and the Internet.  Enforcement bodies making information on good health and safety practice easily accessible to duty holders.  Companies publicising good health and safety performance to promote their services and to secure a competitive advantage by being seen as good employers.  Adverse Publicity Orders are a sanction that the courts may impose against organisations that fail to comply with legal requirements. They will have an adverse effect on the perceived reputation of the organisation. * Greenpeace is the largest environmental organization in the world, with an international membership of over 5 million and offices in over 20 countries. VISIT www.greenpeace.org Q2. Jan 2012 Q1. Jan 2008 60-IA6-07 DESCRIBE the possible strengths and weakness of the role of employee representative in improving workplace health and safety standards and culture for the groups of employees that they represent. 10 The possible strength of the role of the employee representative in improving health and safety culture at the workplace can include  Ensuring that employee concerns which might otherwise remain unknown brought to the attention of management and if necessary to an inspector from the enforcing authority. Q3.JUL 2008
  • 63.
    63  Applying pressureto ensure that the action promised to improve work conditions has been taken  Ensuring employee involvement in and commitment to good health and safety practices  Encouraging and supporting active monitoring by exercising the entitlement to carry out inspections of the workplace.  Ensuring employees input during the investigation of accidents and incidents  Acting as a champion for health and safety and so promoting awareness and interest and encouraging employee input on proposals affecting health and safety. The appointment of a safety representative could have its weaknesses in that  It could result in less direct engagement and consultation by management with the workforce on health and safety issues.  The investigative role could lead to a focusing on compensation claims rather than on introduction of control measures to prevent recurrence.  A danger could arise where health and safety issues might be mixed up and confused with other employment relation issues.  An employee representative who has not received appropriate training may fail to establish correct priorities and cause resources to be wasted.  An employee representative who is ineffective or unmotivated may undermine the existing safety culture of the organisation by failing to represent the views and opinions of employees. 61-IA6-08 Train drivers may spend long periods of time in the cab of a train and may experienced loss of alertness. This can increase the risk of human error. Outline a range of measures that could reduce loss of alertness in train drivers. 10 The range of measures that could reduce loss of alertness in train drivers are as below  Introduction of shift system to minimise the risk of fatigue with controls being introduced on shift length  Provisions of regular breaks and sufficient recovery time particularly during and after the potential high risk period between midnight and 06.00 hrs  Provision of pre-employment medical examination followed by regular health screening including measures to manage stress during the service period  Enforcement of drugs and alcohol policy including random testing for any alcohol consumption.  Availability of ergonomically designed cabin with air conditioning facility controls for illumination and sun shading.  Adjustable seating arrangements, provision of noise control measures  The variation of route allocation may help to maintain the alertness and other measures like audible warning devices and means of suitable communication between drivers and guard or control room. Q4. Jan 2009
  • 64.
    64 62-IA6-09 A traindriver has passed a stop signal resulting in a collision with another train. Investigation of the incident concluded that the driver had seen the overhead signal but had not perceived the overhead signal correctly. There had been a number of previous similar incidents at the signal, although the driver was not aware of this. The driver concerned was inexperienced and had not received information and training associated with that route. The signal was hard to see being partly obscured by a bridge and affected by strong sunlight. In addition, the arrangement of the lights on the signal was a non-typical formation. The driver had approached the signal with no expectation from previous signals that it would be on ‘stop’. (a) Give practical reasons why the driver may not have perceived the signal correctly. (7) (b) Outline the steps that could be taken to reduce the likelihood of a recurrence of this incident. (13) i. The reasons behind that why the driver may not have perceived the signal correctly includes:  The perception may be affected by sensory input and expectation, the colour of the signal being mistaken either because it was affected by strong sunlight or the driver’s colour vision was defective;  The signal itself could have been defective;  The driver may have read the wrong signal because of its unusual formation;  The signal was visible for a short time only and its perception would have needed the full attention of the driver;  The driver’s expectation from previous signal positions may have influenced his perception; and  Finally his perception may have been dulled by the effects of alcohol, drugs or fatigue. ii. The initial steps that could be taken to reduce the likelihood of a recurrence of this incident would be - To re-design and re-locate the signal and - Replacing unusual signal formations, consulting with drivers during this process. Long term actions would centre on driver recruitment and selection processes involving  Pre- employment screening for example for vision and physical capability and  The provision of training to include local route information, unusual signal formations,  Information on signals which have been passed on danger on previous occasions with a final assessment being made of the driver’s competence before he is allowed to become operational. Other measures would include  Ongoing supervision and competence assessment together with a programme of health surveillance;  The avoidance of driver fatigue by the provision of breaks and the organisation of shift work;  The introduction of an alcohol and substance policy;  Modifying the design of cab glazing to minimise the effect of glare or reflections;  The use of automatic train protection or warning systems and the introduction of procedures to encourage the reporting of similar incidents and to ensure prompt action is taken by management following the receipt of such a report. Q 10. Jul 2009
  • 65.
    65 63-IA6-10 An employeehas been seriously injured after being struck by material transported using an overhead crane Using the categorisation of human failure in HSE’s `Reducing error and influencing behaviour` (HSG48), PROVIDE EXAMPLES of the possible role that human failure may have played in the accident. [10 – Jan 2008 & National Dip Dec 2004] OR A worker has been seriously injured after being struck by material transported using an overhead crane. Outline the types of human failure which may have contributed to the accident AND, in EACH case, give examples relevant to the scenario to illustrate your answer. (10) – July 2012 The categorisation of human failure contained in HSG48 can stated as below which played a role in this accident. Skill Based Behaviour involves a low level, pre-programmed sequence of actions where employees carry out routine operations. Errors (Human failure) may arise if similar routine is incorrectly selected, if there is interruption or inattention causing a stage in the operation to be omitted or repeated or if checks are not carried out to verify that the correct routine has been selected. In the scenario described in the question, errors that may have contributed to the accident include  The operation by the crane driver of the wrong switch or  Control or commencing the lifting operation out of sequence when worker were not prepared Rule Based Behaviour involves action based on recognised patterns or situations and then selecting and applying the appropriate rule set. Errors (Human failure) would involve the application of the wrong rule for example the driver lifting instead of lowering or the worker crossing the path of the lifting operation. Knowledge Based Behaviour involves a higher problem solving level, when there are not set rules and is based on having knowledge of the system. Errors (Human failure) will consequently occur if there is a lack of knowledge or inadequate understanding of the system. In this case described, the driver may have had little experience of the type of lifting operation being carried out and was carrying the load at the wrong height while the injured person may have been unaware that a lifting operation was taking place. Finally the accident may have been caused by a deliberate failure to follow rules – a violation – where for example, the driver had failed to operate the siren before commencing the lifting operation or the injured person had intentionally walked too closed to the load being lifted. Q5. July 2012 Q2. Jan 2010 Q2. Jan 2008 64-IA6-11 RRC – IA06- LAQ1 (a) Outline the meaning of ‘skill based’, ‘rule based’ AND ‘knowledge based’ behaviour. (6) (b) With reference to practical examples or actual incidents, explain how EACH of these types of operating behaviour can cause human error AND, in EACH case, explain how human error can be prevented. (14) Q10 Jan 2011
  • 66.
    66 (a) ‘Skill Based’behaviour occurs when a person is carrying out tasks that are routine and similar. They may be physical task such as pushing a button on control panel. They may be mental tasks such as adding a column of figure in the head. The person is not using any higher level reasoning skills in performing the tasks, they are acting automatically. ‘Rule-based’ behavior is more complex, here a person is starting to use reasoning skills with higher level decision making. Because the person is familiar with situation, they have a set of options that they can chose from in order to help them decide on appropriate action to take. In short, a logical approach is made to a situation along with the lines of “If A, then B” where B is the rule apply if situation A occurs: rule based mistake. Finally, ‘knowledge-based’ behaviour occur when a person or group of persons trouble-shooting and problem solving. It involves higher cognitive skills reasoning and decision making. It occurs when an unusual situation occurs and the people involve have to take action and make decision based on their knowledge and understanding of the situation rather than relying on rule of thumb. (b), an explanation was required of how the three types of operating behaviour might give rise to human error and how such errors could be prevented. In the case of ‘skill-based’ behaviour, In this mode of operation Two types of human error can occur: slips and lapses. A slip occurs when the person performs action incorrectly. For example  An experienced crane operator attempts to lower the load slowly, but applies too much pressure to the control lever resulting in a sudden violent lowering of the load. A Lapse occurs when a person omits a step in a process. For example  An experienced machine operator forgets to remove the chuck key from a grinder, resulting in the key being ejected on start-up. These types of human error, which occur when a person is behaving in skill-based mode, can be avoided by  Ensuring that people are not fatigued: this might require attention to shift patterns and hours of work as well as ensuring that adequate break has been taken  Ensuring that individuals are taking varieties of tasks may help, by avoiding complacency and reducing repetitiveness and boredom.  Minimising distraction in the work place can reduce the likelihood of lapses  Slips and lapses can be reduced by introducing double check system into the work routine so that others check that certain actions have been carried out correctly  Supervisions to detect errors is also useful. Examples: Signals passed at danger on the railway are often a result of skill-based errors while
  • 67.
    67 incidents that couldhave been quoted include Bhopal, Seveso and Chernobyl. As for ‘rule-based’ behaviour, A rule based mistake occurs when  A person incorrectly applies a rule to a situation – for example a security guard attempts to evacuate a building during a bomb threat. They know the rule for Fire is “get out and stay out” and they incorrectly apply this rule to the bomb threat situation. The correct procedure would be to stay in the building. The security guard has applied a general rule incorrectly to the situation. These types of human error can be avoided by  Providing clear guidelines to follow for all foreseeable eventualities  By Training people in correct diagnosis of problems and the rules to apply and  By practice of the rule so that they become well known.  By good background training so that the workers are more capable to recognize the risks inherent with applying simplistic rule based solutions to problems  By exposing workers rare event situations to become aware of times when standard rules do not apply (for ex – conducting emergency Drills Examples could have included the Piper Alpha (Permit System Failure) or Three Mile Island. In the case of ‘knowledge-based’ behaviour A knowledge based mistake occurs when  A person makes a mistake because they do not fully understand the situation, the system they are working on or they lack background knowledge for example – an electrician electrocutes himself while fault finding on complex electrical system, because they lack the competence to correctly diagnose the problem safely. Ex- Chernobyl Preventive measures would again involve  Training particularly in risk and hazard assessment,  The provision of adequate resources in terms of information and time and  The use of supervision and checking systems such as group or peer review. These types of human error can be avoided by  Ensuring that people have right level of competence for their roles that is training; background knowledge and understandings  By allowing people time to think a problem through and correctly diagnoses the problems and solutions.  By ensuring that workers are overseen by competent persons and that they have access to source of advice either within or external to the organization. Examples Flixborough (Incorrect Design of bypass pipe between R4 and R6) and Port Ramsgate provide examples of this type of error.
  • 68.
    68 65-IA6-12 RRC – IA06- LAQ2(a) A poor organisational safety culture is said to lead to higher level of violation by employees a. EXPLAIN the meaning of the term violation and the classification of violation as routine, situational or exceptional. [6] b. OUTLINE the reasons why a poor safety culture might lead to higher levels of violations by employees. [4] a) Violation is a deliberate deviation from a rule, procedure, instruction or regulation. Routine Violations – is a violation that has become the normal way of working within the work group – for example speeding when driving a car; it has become custom and practice to break the rule in this way. Situational Violations – occur because the pressures of the job encourage the rule to be broken; the procedures cant be adhered to if the job is to be done, e.g.; no PPE available in store, so pressure to continue work without PPE. Situational violations are not the norm within the workplace and you would often expect workers to do the job the right way, but then they will break the rule because of some form of pressure. If a deadline is approaching the rule breaking starts (in order to meet the dead lines) once the dead line is passed, the pressure relived and the proper application of the rule returns. Exceptional Violations (such as ruled based behaviour) – occur when things have gone wrong (typically emergencies) and a rule is broken in an attempt to rectify the situation. As the name suggests, exceptional violations only occur in exceptional circumstances. b.OUTLINE the reasons why a poor safety culture might lead to higher levels of violations by employees. [4] A good or poor safety culture in an organisation is based on the common beliefs and perceptions of the staff and then the lack of a shared perception about the importance of safety could lead to individual employees violating a rule or procedure because  They are driven by their own perception of what is really important.  They may be influenced by peer group pressure. A negative perception that rules are not important and that production is more important – both prime factors of poor safety culture could lead to higher levels of violations Q4. July 2008 RRC – IA06- LAQ2 (b) OUTLINE, with appropriate reference to workplace examples, the factors that might promote routine violations at work 14 marks Routine violations often occur due to cutting corners to save time / energy, which is encouraged by:
  • 69.
    69  Awkward /uncomfortable , painful working posture  Excessive awkward, tiring or slow controls or equipment  Difficulty in getting in and out of maintenance or operation position (posture)  Equipment or software which seems excessively slow to respond  High noise level which prevents clear communication  Frequent false alarm from instrumentation  Instrumentation perceived to be unreliable  Procedure which are hard to read and out of date  Difficult to use or uncomfortable personal protective equipment  Unpleasant working environment (dust, fumes, extreme heat or cold etc)  Inappropriate reward / incentive schemes;  Work load / lack of resources In addition,  Wrong perception, that rules are too restrictive / impractical / unnecessary (practically true where has been lack of consultation in drawing of the rules)  Belief that the rules no longer apply  Lack of enforcement of the rules (e.g.; through lack of supervision / monitoring / management commitment – even sanction by management “turning a blind eye” in order to get the job done.  New workers starting a job where routine violations are the norm and not realizing this is not the correct way of working (may be due to culture / peer pressure or lack of training) 66-IA6-13 RRC-IA06- LAQ3 OUTLINE the desirable features of controls AND displays on a control panel for a complex industrial process aimed at reducing the likelihood of human error [20 – July 2008]  Careful design of control – those parts of control panel that an operator has to interact with to make changes to the operation of the equipment.  The suitable design of displays – those parts of the panel that deliver information to the operator about the status of the equipment. Desirable design features of control include  Minimising the number of control needed so as to avoid operator confusion.  Place controls in positions where they are easily operated  Ensure that controls are ordered logically – in such a way that the operation of controls follow the logical order of the process being controlled  Design controls so that they require positive action in order to be operated and cannot operated accidently or knocked, for example a hand brake of a car cannot be released simply by pushing down on the lever  Ensure that feedback is available to the operator to indicate successful operation of control.  Obey any stereotyping / conventions that might already exist for that type of control. For example Q9 July 2011 Q11. July 2008
  • 70.
    70 switch up foroff, down for on; knobs turn clockwise for increase, etc.  If may be possible and desirable to position controls next to corresponding displays. For example – if a knob alters temperature it might be desirable to site the knob next to the temperature readout.  Emergency control should be prominent and distinctive so that they are easy to see and activate. They might be positioned near to the operator’s position so that they are within easy reach in the event of emergency.  Controls that have to be operated frequently might be closely positioned to the operator for ease for access, whilst those that are used infrequently might be positioned further away.  Controls might be laid out in an arc around the operator so that they can all be activated without need to over reach.  Controls that require force to operate should be power or servo assisted.  The type of control should be appropriate to the degree of control required, for example a lever may be more appropriate than a knob.  A system restart should again only occur after operating a control after a deliberate or non-intentional stop. A stop function should be easy to activate and override start and adjust control.  Labelling, shape or colour can be put to effective use to ensure controls are easily identified. Design Features of displays includes:  Display must be visible to the operator from their normal operating position. They must also be large enough to be easily visible.  They must be appropriately labelled, so that the parameter they are displaying is clear to the operator, this might require the use of pictograms (which might also help overcome language barriers).  The positioning of safety critical displays must be carefully selected so that they are in the operator’s normal line of sight and in a commanding position  Again, any conventions / stereotyping that exist should be recognised and used, for example, colours on dials relating to changer and safe conditions would normally use green for safe, red for danger. Dials should all increase the same way, normally clockwise.  Careful selection of analogue vs digital displays should be made. There are times when a digital readout is perfectly acceptable and desirable. There are other times when analogue is preferred since the position of the needle on an analogue dial can be determined by a quick glance that does not require the accurate reading of numbers. Or, It is important to use the appropriate type of display for the reading i.e.; analogue or digital  Display must be carefully placed and lit so as to avoid glare.  Duplication of adjacent displays should be avoided in some instances where accidently reading the wrong display might end in disaster.  Displays should also clearly indicate the change, match expectation and attract the appropriate sense such as flashing to draw visual attention  Ensure all dials are in similar position for normal operation  Marking on dials and the application of different colours can be used to indicate abnormal situations. END OF UNIT 6
  • 71.
    71 IA 7 :REGULATING HEALTH AND SAFETY 67-IA7- 01 RRC- IA7 – SAQ-03 (a) Outline what is meant by punitive damages in relation to a compensation award clearly stating their purpose AND to whom the damages are paid. (5) (b) In relation to a claim for compensation, outline the meaning of the terms: (i) No fault liability; (2) (ii) Breach of duty of care. (3) a) Punitive Damage: Punitive damages are  Financial or monetary award which, though paid to plaintiff (claimant),  not awarded to compensate,  Awarded to reform or deter (discourage) the defendant and similar persons from pursuing a course of action such as breach of health and safety procedure which damaged the plaintiff. As such they are both a punishment and a deterrent.  The amount of the award is determined by a court and is not linked to the losses suffered by plaintiff (claimant). b.i) no fault liability: is a liability which is  Independent of any wrongful intent or negligence.  As such, an injury alone is sufficient to confer liability (without proving the fault)  Compensation being paid either by an insurance company or from a government fund. The general principle of liability in tort under the English legal system is that of proving fault against another who causes damage, harm or some other loss. If fault can be proved, the defendant, assuming, that he or she has sufficient financial resources or is insured for the event that has occurred, pays damages to the plaintiff. This is called fault liability. b. ii) breach of duty of care: there are three standard conditions that must be satisfied in order to establish a breach of duty of care. These are that a - Duty of care was owed by an employer to his employees - Employer acted in breach of that duty by not doing everything that was reasonable to prevent foreseeable harm - The breach led directly to the loss, damage or injury 4. July 2012 6. July 2009 5. July 2008 68-IA7- 02 RRC - IA7 SAQ-01 An organisation has decided to adopt a Self-Regulatory Model for its health and safety management system Explain: (b) The Benefits; and [6 – Jan 2009] (c) The Limitation [4 – Jan 2009] a. The benefits  One of the more important benefits of self-regulation is that it is developed by those directly involved in the management of health and safety and this can generate a sense of ownership. Q5 July 2011 Q6. Jan 2009
  • 72.
    72  It maybe quicker to achieve than statutory regulation.  It can result in higher level of compliance.  It can easily be adapted and updated.  It often offer a cheaper and quicker means of addressing issues;  It may often result in a closer relationship between industry and its clients. b. The limitation The limitations of the model are that  All those involved may not operate within the self-regulatory rules  Danger of self-interest being put ahead of employee or public interest.  Lower level of compliance  There is no third party or independent auditing and it is not valued as highly stakeholders. 69-IA7- 03 RRC – IA&– SAQ - 02 In relation to the improvement of health and safety within the companies, DESCRIBE what is meant by; A) Prescriptive legislation [5] B) Goal setting legislation [5] [5+5 – July 2008, National – June 1999] A) Benefits of prescriptive legislation:  Its requirements are clear and easy to both duty holders and enforcement officers.  It provides same standard for all  It is not difficult to enforce and  It does not require a high level of expertise.  Many aspects of legislation need to be prescriptive e.g. the requirement to carry out risk assessments or to have a written safety policy. Limitation of prescriptive legislation:  It is flexible, may be inappropriate in some circumstances by requiring too high or too low a standard  It does not take account of local risks and  It may need frequent revision to keep up with changes in technology and knowledge.  It may be necessary to amend it more frequently because it has become out-dated.  If new hazards are created it may require new legislation. B) Benefits of Goal setting legislation:  It has more flexibility in the way compliance may be achieved,  It is related to actual risk and  It can apply to a wide variety of workplace  Less likely to become out of date so Infrequency of amendment  The ability to keep pace more easily with technological change Q5. Jan 2013 Q5. Jan 2011 Q1. July 2008
  • 73.
    73  Speedier methodof enactment by way of negative resolution procedure Limitation of Goal setting legislation:  Open to wide interpretation and  The duties it lays and the standards may be unclear until tested in courts of law.  More difficult to enforce  It may require higher level of expertise to achieve compliance. 70-IA7- 04 RRC – IA7 – LAQ 1 ( c ) (a) Outline the role of health and safety legislation in the workplace. (10) (b) Outline the limitations of health and safety legislation in the workplace. (10) a) The role of health and safety legislation in the workplace is - To provide workers with the minimum standards of health and safety which through employer compliance, prevents injuries and occupational illness - The legislation kept up to date by government and applies to all workplaces ensuring consistent application. - The legislation may be prescriptive, or goal setting, supported by approved code of practices or guidance to assist interpretation of standards required. - Prescriptive legislation provides specific advice and rules to follow while the role of goal setting legislation is to provide general advice and localized interpretation and ownership. - It ensures the appointment of competent workplace inspectors and allows for penalties against those who are found to be breaking the law. - Legislation can address any specific regional needs, may harmonize standards amongst countries, provides a civil route for obtaining compensation even if no fault liability exists in certain countries and is a demonstration of compliance with ILO conventions. b) The limitations of health and safety legislation are that - In the case of prescriptive legislation, it quickly becomes outdated, does not address social, technological or economic changes and often lacks detailed regulations to supplement its requirements while the interpretation of goal setting legislation is variable and inconsistent. - Much of the legislation addresses industrial safety and not occupational health. - There are often insufficient resources available for inspecting workplaces and enforcing the legislation and often the limited penalties awarded are not a sufficient deterrent for employers caught breaking the law. - Additionally, many employers and workers are unfamiliar with the content of the legislation and this is not helped by the lack of involvement of employers, trade unions and workers in the process of standard setting. Q9. July 2012 Q10 July 2010
  • 74.
    74 - Again, themain and often sole limitation that came to mind and was mentioned was the variety and inconsistency in the interpretation of goal setting legislation. 71-IA7- 05 RRC – IA7 – LAQ - 01 a. In relation to the improvement of health and safety within the companies, DESCRIBE what is meant by;  corporate probation [2]  adverse publicity order [2]  punitive damage [2] [6+10+4 – Jan 2008, Jan 2009] I. Corporate Probation: a corporate probation is a supervision order imposed by a court on a company that has committed a criminal offence, the order might require the company and its officers and directors to alter their conduct in a particular way by  Reviewing its safety policy or its health and safety procedures,  Initiate a training program for its director and senior management to reduce the number its accidents improve its safety standards. Therefore, a corporate probation or remedial Order is the most effective means whose aim is to instigate a change in the organisation’s culture under the supervision of the court. II. Adverse Publicity Order: If company has been found guilty of gross negligence and been convicted of corporate manslaughter, the court will want to impose penalties or corporate probation Order that would be in the public domain and therefore, by default, act as Adverse Publicity Orders. The intention of an adverse publicity orders would be to make a public statement and to change its approach to the management of H&S. III. Punitive Damage: are  Financial or monetary award which, though paid to plaintiff (claimant),  not awarded to compensate,  Awarded to reform or deter (discourage) the defendant and similar persons from pursuing a course of action such as breach of health and safety procedure which damaged the plaintiff. As such they are both a punishment and a deterrent.  The amount of the award is determined by a court and is not linked to the losses suffered by plaintiff (claimant). *Plaintiff - A person who brings an action in a court of law b. OUTLINE the mechanism by which ILO can influence health and safety standards in different countries. [10] The mechanism by which ILO can influence H&S standards in different countries includes  The development of international labour standards through conventions supplemented by recommendations containing additional or more detailed provisions  The ratification of conventions by member states which commits them to apply the term of convention in national law and practice Q9 Jan 2011 Q10. Jan 2009 Q9. Jan 2008
  • 75.
    75  The requirementfor member states to submit reports to the ILO detailing their compliance with obligations of the conventions they have ratified.  The initiation of representation and compliant procedures against countries for violation of a convention they have ratified  The provision of technical assistance to member states where this is seen to be necessary and indirectly through the pressure applied internationally on non-participating countries to adopt ILO standards c. DESCRIBE what is meant by the term ‘Self-Regulation’ in relation to health and safety management within the organisation. [4] Self-Regulation in general term might refer to the health and safety legislation to set standards and objectives and leave it to the duty holder to determine how best to achieve them. More particularly it could refer to the means by which members of a profession, trade or commercial activity are bound by a mutually agreed set of rules often set out in a code of practice or conduct. It governs their inter relationship and the way they operate. The rules may be accepted voluntarily or they may be compulsory. There will normally be a procedure for resolving complaints and for the application of sanctions against those who infringe the rules. 72-IA7- 06 RRC – IA 7 – LAQ2 (a) Identify influential bodies in regulating health and safety performance AND outline how they may exert their influence. (10) =>Non-governmental bodies have an important role in influencing H&S standards. Identify FIVE relevant parties and OUTLINE their roles in regulating the H&S performance. 20 marks (LONG) (b) Some organisations may decide to adopt standards such as OHSAS 18001. Describe how demonstrating compliance with such a standard can be used to: (i) Promote health and safety performance in a company; (5) (ii) Regulate health and safety performance in a company. (5) (a)  Employer bodies:  Represents the interest of employers,  CBI (Confederation of British Industry) which is main lobbying organization in UK business.  Works with government, legislators, policymakers to jelp UK businesses complete more effectively.  Trade Association: are formed from a membership of companies who operate in a particular area of commerce and exist for their benefits. It Promote common interest / improvements in Quality, health, safety and environment and technical standards; through  Publication of guidelines, information notes, codes of practice and regular briefing notes on technical issues and regulatory development. Q7. Jan 2012
  • 76.
    76  Sharing ofgood practice  Provision of news and events appropriate to the members’ areas of activity.  Meeting, workshops seminar to enable networking / exchange of information / ideas on technical and safety issues.  Trade union: are organization of workers who have form together to achieve common goals in key areas such as wages, hours and working conditions. The trade unions negotiate with the employer on behalf of its members and negotiation contracts with employers. This may include –  The negotiation wages, work rules, complaint procedures, rules governing hiring, firing and promotion of workers, benefits, workplace safety and policies.  Agreements negotiated binding on rank and file members.  Unions may appoint safety representatives among the workers who may investigate the accidents, conduct inspection and sit on a safety committee.  Professional Groups: is an organization of individuals who work in a particular profession and have achieved a defined level of competence. Members pay a subscription fees and receives a range of benefits, such as In UK, IOSH:  Largest body for H&S professionals  It is an independent, non-profit organization that set professional standards  Support and develop members  Provides authoritative advice and guidance on H&S issues  Pressure groups :called lobby groups or protest group organized group of people who have a common interest, seeks to influence governmental policy or legislation  They carry out research, lobby members of parliament and so aim to influence public and ultimately government opinion  For instance in UK, the Centre for Corporate Accountability, concerned with the promotion of worker and public safety.  It focuses on role of state bodies in enforcing H&S law and investigating work related death and injuries. b) Demonstrating compliance with a standard such as OHSAS 18001 can promote health and safety performance in a company by - Communicating minimum standards of performance; - Developing systems for compliance supported by senior management and involving workers in their development; - Using departmental auditing scores and internal performance league tables to encourage compliance; - Introducing reward schemes linked to compliance; - Using compliance as a marketing tool in attracting clients; and - Publishing performance achievements in the company’s annual report.
  • 77.
    77 There are numberof ways in which compliance with the standard might help to regulate health and safety performance in a company. For instance, - In the case of a failure to maintain compliance, stakeholders might take retribution against the management team, clients and business partners may cease to engage with the company, and insurance companies may withdraw their cover. Accordingly, the threat of loss of business and damage to the company image may help to improve standards and management commitment. Additionally, internal and third party audits will identify failing compliance and require solutions to be put in place to maintain accreditation with the possibility of internal sanctions being imposed on offending departments for non-compliance. Finally, the organisation will always be conscious of the various actions that might be taken by the accrediting body from informal notification of failure to comply with the standard, through formal notification if non- conformance were to continue to the ultimate act of withdrawal of its accreditation. 73-IA7- 07 a) In relation to a binding contractual agreement state the meaning of: [5] i) Express term 5 ii) Implied terms 5 b) In relation to a new grounds maintenance contract, GIVE examples of the information which should be stated in the contract terms, in order for the work to be undertaken safely. [5] a.i) Express term: those specifically mentioned and agreed by all parties at the time the contract is made. They may take account of unusual circumstances but should not include unfair terms. a. ii) Implied terms: are neither written in the contract nor specifically agreed. They include terms such as matters of fact, matters of law, matter of custom and practice. In case of dispute the may ultimately have to be determined by the court. b. The following information to be included in contract terms in order for the work to be undertaken safely:-  Responsibilities of contractor to provide safe working environment including safe means of access and egress to the site  To provide safe plants and equipments tested and examined in accordance with any legal requirements  To provide adequate welfare facilities for the workforce  To ensure the employees were given relevant information, instructions and training and were properly supervised  Procedures for dealing with any emergency that might occur. Q5. Jan 2012 Q3. July 2010 Q6. July 2008
  • 78.
    78 74-IA7- 08 Companiesare subjected to many influences in health and safety. (a) In contract law state what is meant by express terms. (2) (b)Outline how influential parties can affect health and safety performance in a company. (8) (c)Outline how non-conformity to an accredited health and safety standard such as BS OHSAS 18001 can be used as a form of enforcement in a self-regulatory model. (10) a) Express terms are those specifically mentioned and agreed by all parties at the time the contract is made. They may take account of unusual circumstances but should not include unfair terms. b) There are a number of parties who can affect health and safety performance in a company such as - Employer bodies who may set professional and performance standards for member organisations; - Trade associations who set performance standards for members and can require self-regulation and compliance with accredited management systems; - Trade unions whose representatives check workplace conditions and provide advice and guidance; professional groups such as IOSH who set professional standards of performance and provide advice and guidance; - Pressure groups who can organise campaigns to obtain bad publicity for non-performing organisations; - The public who as customers can influence the success of an organisation by boycotting goods and services; - The ILO who publish advice and guidance and enforce standards in conventions and recommendations; - Insurance companies who can require specific performance standards for insurance cover and may remove statutory cover for non-compliance and the media who are always willing to provide publicity and coverage of incidents affecting the health and safety of workers and others. c) Non-Conformity with an accredited health and safety standard may be used as a form of enforcement in a self-regulatory model such as: - Stakeholders who require conformity with an accredited health and safety standard and may seek retribution against the management team for failing to maintain the standard while clients and business partners will not engage with the organisation unless the accreditation is maintained; - Insurance companies may require a demonstration of a standard of performance in line with the requirements of the standard and withdraw cover of statutory insurance if there is non- compliance; - Third party audits will identify failing compliance and require solutions to be put in place to maintain accreditation; - The threat of removal of accreditation and that of loss of business may help to improve standards; - The loss of reputation as a result of non-compliance may damage the image of the organisation; - The possibility of expulsion from associations or trade bodies as a result of the loss of accreditation will motivate compliance; - The lack of credibility in not complying with a recognised system may motivate compliance as business is affected; Q11. Jul 2009
  • 79.
    79 - The variouslevels of action open to the accrediting body such as informal notification of failures, formal notification of non-conformance and finally the withdrawal of accreditation can provide a strong inducement to comply with the standard. This was the least popular of the questions in the second half of the paper with some candidates possibly deciding to avoid it because of the reference to enforcement, and it was not well answered by those who attempted it with many seeming not to understand what a self-regulatory model is in the context of health and safety management. 75-IA7- 09 There are a number of external influences on an organisation in relation to the management of health and safety. (a) Outline the purpose of International Labour Organisation Codes of Practice. (2) (b) Outline how International Labour Standards are created at the International Labour Conference. (4) (c) Outline how the International Labour Organisation can influence health and safety standards in different countries. (6) (d) Outline how the media (television news programs, newspapers, radio broadcasts, internet pages, etc) can influence attitudes towards health and safety. (8) a) The ILO Codes of Practice contain practical recommendations for those responsible for health and safety and are intended as guides for public authorities, employers and workers. They are not intended to replace the provisions of laws and regulations and are not legally binding. They do, however, provide additional information in clear language and provide support for conventions adopted by the ILO. b) The creation of an International Labour Standard is organised by ILO and is initially the subject of an agenda item at the ILO conference. The ILO prepares a report analysing the requirements of members’ laws which is circulated to all members. The item is discussed at conference and a further report is prepared together with a proposed draft of the standard. This is again put to conference, amended where necessary and then proposed for adoption. Adoption needs a two thirds majority of members of the conference. c) On the mechanisms by which the International Labour Organisation can influence health and safety standards in different countries, such as - The development of international labour standards through conventions supplemented by recommendations containing additional or more detailed provisions; - The ratification of the conventions by member states which commits them to apply the terms of the convention in national law and practice; - The requirement for member states to submit reports to the ILO detailing their compliance with the obligations of the conventions they have ratified; - The initiation of representation and complaint procedures against countries for violation of a convention they have ratified; Q10 Jan 2010
  • 80.
    80 - The provisionof technical assistance to member states where this is seen to be necessary and indirectly through the pressure applied internationally on non-participating countries to adopt ILO standards. d) The global coverage of incidents involving health and safety by the media which may influence the perceptions of the clients, customers and other stakeholders of the companies or industries involved. - The influence may be positive but normally has the opposite effect. The coverage is generally sensational, particularly when the incident has resulted in fatalities or when enforcement action is taken and is specifically designed to attract attention with the media using to full effect the multiple methods of delivery at its disposal such as television, radio, print, video and the internet. In addition to the coverage of incidents, the media may also influence the attitudes of the public towards health and safety by topic focused advertising. END OF UNIT 7
  • 81.
    81 IA 8 :MEASURING H&S PERFORMANCE 76-IA8- 01 RCC – IA 8 – SAQ 01 (a) a) Explain the objectives of: i) Active Health and Safety Monitoring ii) Reactive Health and Safety Monitoring b) Outline FIVE active health and safety monitoring methods c) Outline FIVE examples of Reactive health and safety monitoring data that can be used to benchmark health and safety performance. a) Active / Proactive monitoring systems measures the compliance with standards. It often refferred to as leading indicators, since they masures acheivement of objectives and targets, therefore indicate the direction that the organisation is currently taking. Completion of safety inspection might be used as proactive measures. Reactive Monitoring measures previous failure in performance, enabling an organisation to learn from its own mistakes. It often referred to as lagging indicatorsince they reflects where the organisation al ready been. Its history in effects . Number of accidents during a time period might be used as a reactive mesures. b) Examples: Active Monitoring: Safety inspection, HSE Audits, HSE Meetings, Emergency Drills, Numbers of HSE Trainigns conducted, Safety Tour, Safety Sampling, HSE Award etc c) Examples: Numbers of Accidents, Number of Nearmiss, Numbers of Ill Healths, damage to property etc Q10. Jan 2013 Q8 Jan 2011 77-IA8- 02 RCC – IA 8 – SAQ 01 (b) Explain the limitation of relying on accident numbers only as a measure of health and safety performance. 10 - Reactive data such as accident and ill health statistics can be seen as rather limited because they measure failure, even though there might have been successes in other areas. They are therefore inherently negative. - This data as measure of performance provides only a prediction, rather than a determinant for the future. - The data lags current performance it does not lead current performance - Health statistics can be very limited, simply because occupational illnesses have a long latency period. Therefore current data reflects workplace standards that existed years previously - One final limitation of reactive data is that they extremely reliant on good reporting system. Poor reporting leads to poor data quality and consequently poor meaning. Or - The possibility of under reporting; - The fact that though there are few accidents, this may not be as a result of an effective health and safety management system and additionally, in a low risk business, few accidents are not always an indicator of effective control while in a business where the risks are high, a large number of accidents may not always indicate an ineffective management system; - The number of accidents alone gives no indication of the incidence of ill-health or the number of near misses that may have occurred; - They do not provide data on the frequency or severity of the accidents that have occurred, the accident rate relative to the number of workers nor a measurement of trends over time; - They do not provide an opportunity for comparisons with a benchmark standard and the data produced Q3. Jan 2013 Q6 Jan 2010
  • 82.
    82 is historical andreactive whereas a true indication of health and safety performance relies on both proactive and reactive monitoring measures. 78-IA8- 03 RRC – IA8 – SAQ - 02 A publicity campaign was used to encourage improvement in compliance with safety standards within a particular organisation. During the period of the campaign the rate of reported accidents significantly increased and the campaign was considered to be a failure. (a) Outline reasons why the rate of reported accidents may have been a poor measure of the campaign’s effectiveness. (2) (b) Outline FOUR proactive (active) monitoring techniques which might be used to assess the organisation’s health and safety performance. (8) a. Accident rates may have been a poor measures to use to indicate the success of the campaign because  There have been un-reporting of accident prior to the launch of campaign, This un-reporting would lead to an artificial low accident rate.  The campaign would then raised the awareness of safety issues within the industry. This draws people’s attention to safety and accident reporting, as a result accident reporting improves despite the fact that underlying accident rate might not change at all.  Consequently, the apparent accident rate increases during and after the campaign. This is a common occurrence as safety awareness improves within industries and organisation. b. Proactive Monitoring Techniques includes  Physical inspection of work place to identify hazards and unsafe conditions  Safety audits where the systematic critical examination of all aspects of an organisation’s H&S performance against stated objectives is carried out.  Safety tours involving unscheduled inspections to observe the workplace in operation without prior warning and to check on issues such as housekeeping, use of PPE, gangways and maintenance of fire exits  Safety sampling of a specific area or particular items of plant with repeated sampling to observe the trends.  Safety surveys involving in depth examinations of specific issues or procedures such as changes in work procedures  Environment monitoring and / or health surveillance  Safety climate measures such as use of employee questionnaire  Behavioural observation and measuring health and safety performance in certain areas is compared with other organisations with similar processes and risks. Q6. Jan 2008 79-IA8- 04 As a part of its health and safety management system an organisation monitors its health and safety performance. a. Excluding safety tours, outline FOUR active monitoring techniques. [4] b. Outline four Reactive monitoring techniques [4] c. Explain the benefits of active monitoring and reactive monitoring [6+6] Q9. Jan 2009
  • 83.
    83 b. Active monitoringtechniques includes  Physical inspection of work place to identify hazards and unsafe conditions  Safety audits where the systematic critical examination of all aspects of an organisation’s H&S performance against stated objectives is carried out.  Safety sampling of a specific area or particular items of plant with repeated sampling to observe the trends.  Safety surveys involving in depth examinations of specific issues or procedures such as changes in work procedures  Environment monitoring and / or health surveillance  Safety climate measures such as use of employee questionnaire  Behavioural observation and measuring health and safety performance in certain areas is compared with other organisations with similar processes and risks. c. Four Reactive monitoring techniques includes  Accident investigation to determine root causes and reasons for substandard performances  Ill health report which provides information about work related conditions and issue that affects health.  Nearmiss and dangerous occurrence report which provide details of events that point to root causes common to accidents and point failures in control measures.  Enforcement action which relate to specific breaches of the law and the need for the improvements in health and safety  The number of civil claims again pointing to areas where improvement is necessary.  The analysis and comparison of costs associated with accidents and employee complaints which provide an indication of workplace health and safety shortcomings that given concern. d. Explain the benefits of active monitoring and reactive monitoring [6+6] Active monitoring gives an organisation feedback on its performance before an accident, incident or ill health. It is not reliant on the reporting of hazards and gives a picture of current performance. The benefits of active monitoring includes  It includes monitoring the achievement of specific plans and objectives, the operation of the health and safety management system, and compliance with performance standards.  It defines hazards before the events and allow corrective measures to be implemented thus reducing loss  It allows measurement of compliance and non compliance  It identifies the reasons for non adherence to procedures  It enables more effective decision making and finally enables employees involvement and communications  Active monitoring measures success and reinforces positive achievement by rewarding good work, rather than penalising failure after the event. Such reinforcement can increase motivation to achieve continued improvement.
  • 84.
    84 Reactive monitoring systemsare triggered after an event and include identifying and reporting  It measures historic performance  It relies on accurate reporting  It identifies the consequences of hazards and importantly the cause of failure  It identifies legal compliance and non compliance  It demonstrate commitments and improves morale  It allows data to be used to compare trends over time and provides an opportunity to learn 80-IA8- 05 RRC – IA8 – LAQ3 Your organisation has made a determined efforts to improve its safety culture over that last few years. The board of directors has now requested that you provided evidence of the effect of this investment on the organisation’s health and safety performance. Review the performance indicators that might be used to provide such evidence. There are various persormance indicators that might be used to assess the safety culture of the org and the effect of investments and efforts directed at improving safety culture. These indicators can be split into two part – - Active or pro active measures - Reactive measures Active / Proactive monitoring systems measures the compliance with standards. It often refferred to as leading indicators, since they masures acheivement of objectives and targets, therefore indicate the direction that the organisation is currently heading in and a clear indication of current actual performance. For example –  Completion of safety inspection might be used as proactive measures. This can be done by measuring the actual performance of inspection against standards ,  Audit results, which reveals the stregth and weakness of the organisation by in depth, systematic and critical look at the safety management syste of the org.  Alternatively, hazards reporting levels might be used to assess the performance – a high level of hazarad reporting is often perceived as a negative indicator because a lot of problems are beign detected.  Safety climate survey results can be an excellent indicator of culture and survey can be designed and tailored specifically to measure culture  Behavioural observation results are another excellent ways of measuring safety culture, since they focus on workers behaviour rather than unsafe conditions.  Health survilance monitoring data  Acheivement levels againts objectives are active measures might be used to assess the effects of improvement over the year. Reactive Monitoring measures previous failure in performance, enabling an organisation to learn from its own mistakes. It often referred to as lagging indicatorsince they reflects where the organisation al ready been. Its history in effects . such as accident / ill – health, nearmiss reporting data. There are some limititions with using reactive data of this nature as indicator of performance. Most probabily there are issue on report rates. If accidents, nearmiss etc are not reported , then the data genrated will not give the actual picture of actual performance. Property damage levels are another reactive measures that might be used but it also suffer from same inherent weakness – reporting of all events may not occur. Level of absentiesm – are often more accurate indicators though again there are inherent difficulties with
  • 85.
    85 making link betweenworkplace absence or work place accident , ill health. The level of litigition nad enforcment action that the company is engaged in , are clear indicators of safety culture. 81-IA8- 06 Outline issues that should be considered when planning a health and safety inspection programme. 10 ( Information on the specific workplace conditions or behaviours that might be covered in an inspection is not required. The focus of this question was the planning of a health and safety inspection programme and not the specific workplace conditions that should be covered in an inspection. Remember who, what, where and when. The factors that should be considerred when planning for H&S inspection programme includes –  The composition and competence of the inspection team;  The specific areas of the workplace to be inspected;  The frequency and timings of the inspections which may have to be more frequent in higher risk areas with a decision being made as to whether the inspections would take place at peak working times or during slow periods;  The method of carrying out the inspections and whether check lists should be prepared and if so by whom;  The possible need to provide personal protective equipment for the inspection team;  The involvement of the workforce in consultation on the proposed programme;  The need to obtain senior management support and consulting previous inspection reports and  Researching applicable legislation and standards;  Deciding on procedures to be followed after the inspection to ensure appropriate remedial action is taken. Q1. July 2012 Q5. July 2009 Extensive repair work is needed to the roof of the main production area of a large factory. The factory is to remain fully operational during the work. (a) Identify the criteria that might be used when selecting a contractor for the work to ensure they have the necessary competence in health and safety. (8) (b) Identify ways in which the factory management should control the work of the contractor to ensure that risks to factory workers are minimised. (12) Q10. July 2012 82-IA8- 07 RRC – IA8 – LAQ - 01 As the Health and Safety Adviser to a large organisation, you have decided to develop and introduce an in- house auditing programme to assess the effectiveness of the organisation’s health and safety management system. Describe the organisational and planning issues to be addressed in the development of the audit programme. You do not need to consider the specific factors to be audited. (20) Q11. Jan 2012 Q11. Jan 2010
  • 86.
    86 The issues thatneeded to be addressed included - Correct identification and gain of the resource such as money, time , personnel through careful planning and analysis. - Gaining support of directors and senior managers – so that o Those resources are made available o Access is authorized to all of the necessary information and personnel across the organization o Access to the senior managers themselves during the audit process is agreed - A scope of the auditing to be carried out – o Will the audit stick to H&S issues, or range across other areas as well? o Which parts of the organization are to be audited? These will be particularly important questions to answer with regard to geographical locations to be audited and, consequently, the legal standards that will apply. - The type of auditing will also need to be decided. o Will a proprietary system be purchased, or will one be developed from scratch internally, or a combination of two? o The manager will have to decide on whether to use a scored audit system or one more reliant on narrative judgments. o Whether software need to be purchased to run the audit system and decision will have to be taken for type of the software and resource requirement. - An audit schedule will have to be designed, taking into account o The resources made available for conducting audits, o The size of the oraganisation and the frequency required, the frequency may vary from one part of the organization to other depending on the risk level presented. - The auditors will be selected and given adequate trainings and ongoing support, this will off course require the co-operation of their manager. - The standards against which the management arrangements were to be audited, the identification of the key elements of the audit process such as the planning, interviews and verification, feedback routes and the preparation and presentation of the final report. - The methods used to provide feedback on audit findings, the type of feedback given, the methods used for resolving disagreement with feedback and the review process will all have to be considered and finalized. - Consideration must be given to how the audit program will be launched, this might involve – o Clear communication of programme o Its aim, methods and processes through various media o A test pilot may have to be conducted to ensure the efficient working of the system and to ensure the acceptability of scheme to others.
  • 87.
    87 83-IA8- 08 OUTLINEhow safety tours could contribute to improving health and safety performance and to improving health and safety culture within a company. Discussion of the specific health and safety requirements problems or standards that such tours may address is not required. 10 There number of contribution that safety tours could make in improving health and safety performance in a company including  Helping to identify compliance or non compliance with performance standards  Repeated tours in same area can also reveal the improving or worsening trend  Helping to verify the implementation and effectiveness of agreed course of actions. Additionally when tours carried out in different areas they can point up a common organisational health and safety problems and may identify opportunity of improved performance through observations of the tour members or by their conversation with employees during the tour. When tours are carried out on unscheduled basis there is additional benefits of observing normal standards of behaviour rather than those specifically adopted for the event Safety tours may also help to improve H&S culture of an organisation particularly if they are led on a regular basis by members of management indicating their commitment to the cause. Additionally, prompt remedial prompt remedial action for deficiencies noted enhances the perception of the priority given to health and safety matters whilst the involvement of employees in the tours will again encourage ownership and improve their perception of the importance of the subject, particularly if the findings of the tours are shared with the workforce on a regular basis. Q5. Jan 2009 84-IA8- 09 (a) Outline the requirements for the development of and key objectives within the policy section of a health and safety management system such as that detailed in the ILO- OSH-2001 Guidelines on Occupational Health and Safety Management Systems. (11) (b) (i) Describe how the effectiveness of a health and safety management system could be measured. 6 (ii) Giving an example in EACH case, outline the format in which the data gathered on health and safety performance could be presented clearly in a company annual report. (3) a.The policy section of a health and safety management system should, - Following consultation with workers and their representatives, set out in writing a policy which should be o Specific to the organisation, o Appropriate to its size and the nature of its activities and be concise, o Clearly written and dated and
  • 88.
    88 o Made effectiveby the signature or endorsement of the employer or the most senior accountable person in the organisation. - The policy should be communicated and made readily accessible to all persons at their place of work, reviewed for continuing suitability and revised when seen to be necessary. - Additionally it should be made available to relevant external interested parties as appropriate. - The key objectives of the policy should be o to protect the safety and health of all members of the organisation by preventing work related injuries, ill-health, diseases and incidents and these would be achieved by complying with relevant occupational health and safety national laws and regulations, voluntary programmes, collective agreements on occupational safety and health and other requirements to which the organisation subscribes. o Achievement of the objectives would also be aided by ensuring that workers and their representatives are consulted and encouraged to participate actively in all elements of the organisation’s occupational safety and health management system with the aim of securing a continual improvement in the standard of the system. This was not a popular question and attracted few reasonable answers with not many candidates seeming to understand what ILO-OSH-2001 was or what it required. Most based their responses on either HSG65 or the components of a health and safety policy which was not relevant. b.i. The effectiveness of a health and safety management system could be measured by - Proactive measures of performance involve carrying out activities such as safety inspections, tours and audits while - Reactive measures embrace amongst others the investigation of accidents and cases of ill-health and the preparation of incident rates. b.ii. Data gathered on health and safety could be presented in a company annual report by - Graphical representations such as pie charts and histograms displaying accident statistics; - Tabular numerical representations such as for example the number of risk assessments completed; and - Textual representations with brief summaries of departmental initiatives and case studies. Whilst there was the occasional reference to pie charts, very few managed to convince the Examiners that they had a good grasp of graphical, tabular and textual representations. END OF UNIT 8
  • 89.
    89 Questions from: 1. Int.Exam. Rept. Jul 2013-Unit-IA 2. Int. Exam. Rept. Jan 2013-Unit-IA 3. Int. Exam. Rept. July 2012-Unit-IA 4. Int. Exam. Rept. Jan 2012-Unit-IA 5. Int. Exam. Rept. July2011-Unit-IA 6. Int. Exam. Rept. Jan 2011-Unit-IA 7. Int. Exam. Rept. July2010-Unit-IA 8. Int. Exam. Rept. Jan 2010-Unit-IA 9. Int. Exam. Rept. July2009-Unit-IA 10. Int. Exam. Rept. Jan 2009-Unit-IA 11. Int. Exam. Rept. Jan 2008-Unit-IA 12. Int. Exam. Rept. July 2008-Unit-IA Focus on Questions of July 2012, JAN 2012, Jan 2011, Jul 2011, Jul 2010 Jan 2010