1
PPC220: Pharmaceutical Chemistry I
Semester II: 2023/2024
Dr. William, W.N., PhD.
Pharmaceutical Chemistry I
Introduction
• Before nineteenth century, schools of Pharmacy trained
pharmacists and physicians how to prepare medicinal
remedies from natural organic products or inorganic
materials.
• Herbal medications and folk remedies dating back to
ancient Egyptian, Greek, Roman, and Asian societies
were administered without any knowledge of their
biological mechanism of action.
• It was not until the early 1800s that scientists began
extracting chemicals from plants with purported
therapeutic properties to isolate the active components
and identify them.
Continues..
• How do we ensure that there are no impurities present in
the compound synthesized?
• How can we tell the structure of an unknown compound
that has poisoned many people?
• It is questions like these that concern pharmaceutical
chemists who make use of various analytical techniques
to solve such challenges.
• They can use nuclear magnetic resonance (NMR)
spectroscopy to elucidate the structure of the compound
or check if there is a change in the functional group by
using infra-red spectroscopy.
Continues..
• Some of the steps that may be taken to identify a
synthesized or isolated substance are:
– Determination of molecular weight
– Elemental analysis
– Detection of the presence or absence of a certain
functional group (e.g. by chemical analysis):
– Alkanes, Alkenes, Alkynes, Alkylhalides, Carboxylic
acids,Esters, Ketones, Aldehyde, Amine, Phenols,
Ethers, Alcohols etc.
History of Spectroscopy
• The English philosopher Roger Bacon (1214 – 1294)
was the first person to recognize that sunlight passing
through a glass of water could be split into colours.
• Nearly four centuries later, In 1266 Sir Isaac Newton
directed a beam of sunlight through a glass prism and
noted the light from the Sun was composed of a
continuous pattern of rainbow colours (ROYGBIV).
• He called this pattern “spectrum”. Newton was not
equipped to study the spectrum and was unable to
observe the spectrum in more detail. The English
philosopher Roger Bacon (1214 – 1294) was the first
person to recognize that sunlight passing through a
glass of water could be split into colours.
Continues…
• Nearly four centuries later, In 1266 Sir Isaac Newton
directed a beam of sunlight through a glass prism and
noted the light from the Sun was composed of a
continuous pattern of rainbow colours (ROYGBIV).
• He called this pattern “spectrum”. Newton was not
equipped to study the spectrum and was unable to
observe the spectrum in more detail.
Continues…
Continues….
• In the early 19th century, Europe was in the midst of the Napoleonic
Wars and military needs were driving many technologies, as they
have often done before and since. In 1801, the French military
government in Bavaria was having a great deal of difficulty making a
survey of Napoleon’s new conquests because of the poor quality of
the lenses available. Farsighted businessmen bought an abandoned
monastery, called Benediktbeuern, near Munich. There they set up a
company to improve the quality of glass.
• In the early 19th century, Europe was in the midst of the Napoleonic
Wars and military needs were driving many technologies, as they
have often done before and since. In 1801, the French military
government in Bavaria was having a great deal of difficulty making a
survey of Napoleon’s new conquests because of the poor quality of
the lenses available. Farsighted businessmen bought an abandoned
monastery, called Benediktbeuern, near Munich. There they set up a
company to improve the quality of glass.
Continues…
• In 1861 Bunsen and Kirchhoff performed experiments leading to the
conclusion that the dark lines in the solar spectrum, observed by
Wollaston and Fraunhofer, arise due to the absorption of light by
gases in the solar atmosphere that are cooler than those emitting
the light.
• Today we know that the atom has a heavy, positively-charged
nucleus around which electrons move in specified orbits. When an
electron jumps from a higher orbit to a lower one, light is emitted.
The energy of the light moving away from the atom is precisely
equal to the difference in energy of the electron in the two orbits.
When an atom absorbs light, on the other hand, the electron jumps
from a lower orbit to a higher orbit, and the energy absorbed from
the light is precisely equal to the energy needed to lift the electron
up.
Continues…
• Armed with their new insight, Kirchhoff and Bunsen displayed the
“killer instinct” you would expect from world-class researchers by
identifying two new chemical elements: Cesium (from the Latin for
“sky blue”) and rubidium (“dark red”) from drops of mineral water.
• In the following years many additional elements were identified by
their unique spectra.
• While chemists were using the newfound ability to analyze spectra
to flush out the Periodic Table, young astronomers were not slow in
applying the analysis of spectra to the study of the heavens.
• Armed with their new insight, Kirchhoff and Bunsen displayed the
“killer instinct” you would expect from world-class researchers by
identifying two new chemical elements: Cesium (from the Latin for
“sky blue”) and rubidium (“dark red”) from drops of mineral water.
Continues…
• In the following years many additional elements were
identified by their unique spectra.
• While chemists were using the new found ability to
analyze spectra to flush out the Periodic Table, young
astronomers were not slow in applying the analysis of
spectra to the study of the heavens.
Spectroscopy
• Is a fundamental tool of scientific study, with applications
ranging from materials characterization to medicine.
OR is the study of the interaction between radiation and
matter as a function of wavelength (λ).
• Spectrometers are the instruments used to measure
spectra.
• Spectra is a band of colours as seen in a rainbow,
produced by separation of the components of light by
their different degrees of refraction according to
wavelength.
Continues….
• Spectroscopy techniques are commonly categorized
according to the wavelength region used, the nature of
the interaction involved, or the type of material studied.
• Types of spectroscopic techniques in structure
elucidation;-
1. Ultraviolet-Visible (UV/Vis) Spectroscopy
2. Infrared (IR) and Mass Spectrometry
3. Nuclear Magnetic Resonance (NMR) Spectroscopy
i.e.,
• 13 CNMR
• 1H NMR
Continues
• Infrared (IR) spectroscopy, which reveals the presence
or signals the absence of key functional groups
• Ultraviolet-visible (UV-VIS) spectroscopy, which
probes the electron distribution, especially in molecules
that have conjugated electron systems
• Nuclear magnetic resonance (NMR) spectroscopy,
which tells us about the carbon skeleton and the
environments of the hydrogens’ attached to it
Continues…
• Mass spectrometry (MS), which gives the
molecular weight and formula, both of the
molecule itself and various structural units within
it.
• As diverse as these techniques are, all of them are
based on the absorption of energy by a molecule, and all
measure how a molecule responds to that absorption
• In describing these techniques our emphasis will be on
their application to structure determination.
Electromagnetic Radiation
• Electromagnetic radiation, which is the source of the
energy that a molecule absorbs in NMR, IR, and UV-
VIS spectroscopy.
• Mass spectrometry is unique in that, instead of
electromagnetic radiation, its energy source is a stream
of charged particles such as electrons.
• Electromagnetic radiation (light) exhibits both wave-like
properties and particle-like properties.
Electromagnetic Radiation(ER)
• When viewed as a wave, ER consists of perpendicular
oscillating, electric and magnetic field
Electromagnetic Radiation(ER)
• The wavelength describes the distance between
adjacent peaks of an oscillating field, while the
frequency describes the number of wavelengths that
pass a particular point in space per unit time.
• Accordingly, a long wavelength corresponds with a small
frequency, and a short wavelength corresponds
with a large frequency.
Electromagnetic Radiation(ER)
Electromagnetic Radiation(ER)
• The particles are called photons, and each possesses
an amount of energy referred to as a quantum.
• The range of all possible frequencies is known as the
electromagnetic spectrum, which is arbitrarily divided
into several regions by wavelength.
• Max plank proposed that the energy of a photon (E) is
directly proportional to its frequency (ν).
E = hv
Electromagnetic Radiation(ER)
• The SI units of frequency are reciprocal seconds
(s-1), given the name hertz and the symbol Hz in
honor of the nineteenth-century physicist
Heinrich R. Hertz.
• The constant of proportionality h is called
Planck’s constant and has the value 6.63 x10-34Js
Electromagnetic spectrum
Continues…
• Gamma rays and X-rays are streams of very high energy
photons while Radio waves are of relatively low energy.
• Ultraviolet radiation is of higher energy than the violet
end of visible light.
• Infrared radiation is of lower energy than the red end of
visible light.
• When a molecule is exposed to electromagnetic
radiation, it may absorb a photon, increasing its energy
by an amount equal to the energy of the photon.
Continues…
• Molecules are highly selective with respect to the
frequencies they absorb, Only photons of certain specific
frequencies are absorbed by a molecule.
• The particular photon energies absorbed by a molecule
depend on molecular structure and are measured with
instruments called spectrometers. The data obtained
are very sensitive indicators of molecular structure.
Electromagnetic spectrum
1. Frequency is inversely proportional to wavelength; the
greater the frequency, the
shorter the wavelength.
2. Energy is directly proportional to frequency;
electromagnetic radiation of higher
frequency possesses more energy than radiation of
lower frequency
Some common forms of spectroscopy and
their uses
27
Energy and the Electromagnetic Spectrum
• Light: a form of energy described by wave theory
and corpuscular theory.
• Neither of the two completely accounts for the
properties of light.
• Our Interest: conveniently served by the wave
approach.
– Represent light propagation in form of light waves
involving electric and magnetic forces = Electromagnetic.
• Human can see between λ = 400 nm (violet light)
and λ = 800 nm (red light): a very tiny fraction of a
continuum of wave-lengths - the Electromagnetic
Spectrum (Table below) slide 30.
28
Wave-like Propagation of Light
• Propagation velocity c = 2.998 x 108 ms-1
29
RADIATION λ (m) v (Hz)
cosmic rays 10-14 1022
gamma rays 10-11 1019
X-rays 10-9 1017
Ultra violet 10-7 1015
Visible 10-6 1014
Infra Red 10-5 – 10-4 1013 - 1012
Microwave 10-3 1011
Radar 10-2 1010
Television 100 108
NMR 10 107
Radio 102 106
30
31
Interaction of Energy with matter
• Interaction of radiation with matter may lead to
absorption of energy and cause excitation.
• The intensity of energy absorbed or released can
be measured and give information about the
absorbing material.
• The equation relating the energy change is the
Fundamental Principle in Spectroscopy.
• A molecule can only absorb a particular frequency,
if there exists within the molecule an energy
transition of the magnitude ΔE = hv.
32
Spectroscopy: Fundamental Equation
Energy
E1
E2
E1
E2
hv
E = E2 - E1 = h = hc/
Where,
E
h = Planck's constant (9.54 x 10-14
kcal.sec.mol-1
)
 = frequency (Hz)
c = velocity of light (3 x 108
m sec-1
)
 = wavelength (m)
33
Organic Spectroscopy
• We apply the principles of spectroscopy in structure
elucidation of organic compounds.
• Organic compounds made of different atoms and
bonds which vibrate at different frequencies.
• Bonds vibrating at different frequencies may lead to
absorption of energy of different frequencies which
when correlated with references may thus, give an
idea about the structure of a molecule.
• The Table below gives a summary of the main
spectroscopic techniques of interest to Organic
chemists and pharmacists.
34
Spectroscopic Techniques in Org. Chemistry
Radiation absorbed Effect on molecule and information deduced
UV-VIS
λ, 190-400 nm and 400-
800 nm
Changes in electronic levels within the molecule,
detection of presence of conjugation.
Infra Red
λ, 2.5 – 25 nm v, 400 –
4000 cm-1
Changes in vibrational and rotational movements
of the molecule, detection of functional groups
with specific vibrational frequencies.
Microwave
v, 9.5 x 109 Hz
Electron spin resonance or electron paramagnetic
resonance induces changes in magnetic
properties of unpaired electrons, detection of free
radicals.
Radio
v, 60-900 MHz
Nuclear Magnetic Resonance induces changes in
magnetic properties of certain atomic nuclei,
hydrogen and carbons in different environments.
Electron-beam impact
70 eV, 6000 kJ mol-1
Ionization and fragmentation of molecules into a
spectrum of fragment ions, MW and structure
35
Steps in Structure Elucidation
• Elemental analysis:
– Qualitative – determine the kinds of atoms present.
– Quantitative – determine relative amounts of each
element in the compound through combustion
experiments.
• From elemental analysis we determine an empirical formula.
• Determine molecular weight/mass by conventional methods
or Mass Spectrometry (MS very convenient).
• Use Empirical formula and molar mass to
determine molecular formula. We will see one
example from chapter 5 page 159 later.
• Use a combination of spectral analyses (IR, NMR,
MS) to arrive at the structure.
36
Empirical Formula
• At your own time read on how to determine
empirical formula of a given organic compound(s).
• Empirical formula is the simplest formula of a
compound which shows the ratio of atoms of the
constituent elements in the compound.
• Molecular mass of a compound can be determined by
various methods: 1). Vapour density 2). Colligative
properties 3). Titrimetry, whereby unknown MM of an acid
can be determined by titration with standard solution of base.
37
Structural Inform. from MF?
• Molecular formula may suggest a lot about the structure of
the unknown eg. CnH2n+2; CnH2n; CnH2n-2.
• Determination of Index of Hydrogen Deficiency (IHD) or
degree of un-saturation: give a great deal of useful structural
information of unknown.
IHD = 1. Single DB or a ring.
IHD = 4. Most likely an aromatic
compound.
38
Index of Hydrogen Deficiency
• The Index of Hydrogen Deficiency (IHD), is a count
of how many molecules of H2 need to be added to a
structure in order to obtain the corresponding
saturated compound.
• A count of how many rings and multiple bonds are
present in the structure.
• IHD can also be thought of as indicator of multiple
bonds + rings.
39
Calculation of Degree of Unsaturation
• IHD/DU for a compound with a molecular formula
CcHhNnOoXx can be determined using the following
equation:
• A halogen only forms one bond, it can be treated as if it is
hydrogen, so subtract halogens as well.
• Oxygen forms two bonds, therefore it has no impact.
• Nitrogen forms three bonds. This means for "n" nitrogens,
"n" extra hydrogen atoms are needed.
DU = C - 0.5 H -0.5 X + 0.5 N + 1
Whereby X stand for halogens
40
Information from Degree of Unsaturation (DU)
• Index of hydrogen deficiency (IHD) or rings plus
double bonds formula is used in organic chemistry
to help draw chemical structures.
• Used to determine how many rings, double bonds,
and triple bonds or a combination of these are
present in the compound to be drawn.
• It does not give the exact number of rings or double
or triple bonds, but rather the sum of the number of
rings and double bonds plus the number of triple
bonds.
• The final structure is verified with the use of NMR,
mass spectrometry and IR spectroscopy.
Mass Spectrometry (MS)
• MS It does not depend on the absorption of
electromagnetic radiation, but rather examines
ions produced from a molecule in the gas phase.
• MS is a technique used to determine Molecular
weight of a molecule and molecular formula of
an organic molecule . This is established by
measuring the masses of the fragments
produced when molecules are broken apart.
• There are several types of MS, but the one
used routinely is electron-impact.
42
MS: Mass Spectrometry
• Involves the interaction of charged species with
magnetic and/or electric fields, giving rise to a mass
spectrum.
• The compound to be analyzed is vapourized and
subjected to high energy-electron beam.
• Impact of bombardment with electron beam:
– Ionization (loss of electron) giving positive ions starting
with M+.. See page 144
– Breaking of bonds result in ion fragments.
• The ions formed are accelerated and passed in a
magnetic field where they are separated according
to m/z, or m/e analyzed and recorded into a
spectrum which has m as a variable.
43
Mass Spectrometer
44
The Mass Spectrometer
• In order to measure the characteristics of individual
molecules, a mass spectrometer converts them to
ions so that they can be moved about and
manipulated by external electric and magnetic fields.
• The three essential components and functions of a
mass spectrometer are:
1. The Ion Source, is the heart of the spectrometer
: A small sample of compound is vaporized into
ions, usually to cations by loss of an electron.
2. The Mass Analyzer: The ions are sorted and
separated according to their mass charge ratio.
3. The Detector: The separated ions are then
detected and counted, and the results are
displayed on a chart.
45
Ionization and Ions Manipulation
• Because ions are very reactive and short-lived, their
formation and manipulation must be conducted in a
vacuum.
• The pressure under which ions may be handled is
roughly 10-5 to 10-8 torr (less than a billionth of an
atmosphere).
• Ionization is effected by a high energy beam of
electrons
• Ion separation is achieved by accelerating and
focusing the ions in a beam.
• The beam is then bent by an external magnetic field.
• The ions are then detected electronically and the
resulting information is stored and analyzed in a
computer.
46
MS Experiment
Fig. 1: Steps in MS generation
47
Fig. 2: Sketch of major components of MS
48
Generation of Spectrum
• The heart of the spectrometer is the ion source.
Sample (black dots) are bombarded by electrons
(light blue lines) issuing from a heated filament. This
is called an EI (electron-impact) source.
• Gases and volatile liquid samples are leaked into
the ion source from a reservoir (as shown), but non-
volatile solids and liquids may be introduced
directly.
• Cations formed by the impact (red dots) are pushed
away by a charged repellor electrode (anions are
attracted to it), and accelerated toward other
electrodes, having slits through which the ions pass
as a beam. Some of these ions fragment into
smaller cations and neutral fragments.
49
Fig. 3: Generating a Mass Spectrum
50
Resolution
• Resolution: Ability of the spectrometer to separate
two ions by measuring the depth of the valleys
between the ions.
• If ions of m/z 999 and m/z 1000 can just be
resolved into 2 peaks such that the recorder trace
almost reach the baseline (10% of peak height)
between peaks – resolution is 1 part per 1000.
• High Resolution instrument: CO+; N2
+ and C2H4
+ can easily
differentiated between them as exact masses of 27.9949;
28.0062 and 28.0312, respectively.
51
• When the ion beam experiences a strong
magnetic field perpendicular to its direction of
motion, the ions are deflected in an arc
whose radius is inversely proportional to the
mass of the ion.
• Lighter ions are deflected more than heavier
ions.
• By varying the strength of the magnetic field,
ions of different mass can be focused
progressively on a detector fixed at the end
of a curved tube (also under a high vacuum).
52
• When a high energy electron collides with a
molecule it often ionizes it by knocking away one of
the molecular electrons (either bonding or non-
bonding).
• This leaves behind a molecular ion (colored red in
the following diagram) see page 144.
• Residual energy from the collision may cause the
molecular ion to fragment into neutral pieces
(colored green) and smaller fragment ions (colored
pink and orange).
• The molecular ion is a radical cation, but the
fragment ions may either be radical cations (pink) or
carbocations (orange), depending on the nature of
the neutral fragment.
53
Ionization Process
M: + e 2e + M
M + F*
Neutral
fragment
M + F*
Neutral
fragment
• Impact of bombardment with electron beam:
– Ionization (loss of electron) giving positive ions starting
with M+. The m/z = molar mass.
– Breaking of bonds result in ion-fragments.
• Reason: extra energy absorbed - molecule excited.
54
General Scheme for Ionization of Function Groups
-e
R-O-H R-O-H
O
-e
-e
O O
R-NH2 R-NH2
-e
-e
55
Ionization Chamber: Ion Formation
• Molecules react in 2 ways as shown: capture of an electron
– radical anion or removal of an electron – radical cation.
• The latter is more probable by a factor of 100 thus, we have
Positive-ion Mass Spectroscopy.
• EI is done with 70eV (6 x 103 kJ/mol) energy for most Org.
Molecules.
1. M e M Radicle Anion
2. M -e M + 2e Radical Cation
MS simplified Diagram as can be seen in page 142
57
Electron Impact Ionization (EI)
• EI requires the sample to be vaporized and
therefore solids are introduced on a heatable
probe, liquids via a heated septum and bleed
valve, and gases through a membrane or a
needle valve system.
• The vapor is crossed by an energetic electron
beam, which has energy between 70 (ev) or
6700 kj/mol.
•
Continues…
• When high energy electron hit organic
molecule it removes valence electron and
produces a cationic radical page 144.
• Because a molecule has a lot of electrons and
positive charges due to the above removal it
means the molecule has odd number of
electrons.
RH RH+ + e
e
-
Continues
• Electron bombardment transfers energy of
the cation radical after formation. The
latter fly into small pieces some as positive
and some remain neutral.
• The fragments flow through magnetic field and
reflected according to their mass/charge ratio
(m/e). Also neutral fragments are not reflected,
but are lost on the wall of the tube as it can be
seen in slide 33 above.
Cont……
• +ve charged fragments are sorted by MS onto a
detector and recorded as peaks at various (m/e)
ratios in which each peak represents an ion having a
specific mass-to-charge ratio (m/z or m/e) and the length
of the bar indicates the relative abundance of the ion.
• Thus, because e or z is equal to 1, this
means that m/e = m/1 = m is simply its mass.
• Mass spectrum of a compound is presented as
bar graph with masses (m/e or m/z) value on the
X-axis.
The Nature of Mass Spectra
A mass spectrum will usually be presented as a vertical
bar graph, in which each bar represents an ion having a
specific mass-to-charge ratio (m/e or m/z) and the
length of the bar indicates the relative
abundance of the ion.
• The most intense ion is assigned an abundance
of 100, and it is referred to as the base peak.
• The peak corresponding to un-fragmented cation
radical is called parent peak or molecular ion (M+). Look
at spectrum of propane next slide and page 145.
Mass spectrum of Propane(C3H8) MW = 44
Continues
• The spectrum shows molecular ion M+ at
m/z = 44 i.e. 30% as high as the base
peak. In fact, there are many fragments
ions which can be seen.
INTERPRETING MASS SPECTRA
• Note that the valuable information that we can
get from mass spectra is Molecular weight.
• Through knowing molecular weight it is possible
to establish molecular formula see worked
examples page 159 and attempt some
problems.
• It should be noted that not every comp. shows
M+ in its mass spectrum. e.g. 2,2-
dimethylpropane, fragment so easily such that
no M+ is observed see Figure next slide.
Continues
Continues
• The above spectra is obtained when soft
ionization methods are used which do not
use electron bombardment that can
prevent or minimize fragmentation.
• For example, the mass spectrum of unknown
compound shows M+ at m/z = 110
• It is likely to have the following molecular
formula such as C8H14, C7H10O,
Continues
• C6H6O2 or C6H10N2. Often there are
possible molecular formulas for all, but the
lowest Mwt and computer can be
generated a number of choices.
• If you can recall the spectrum of Propane
in previous slides you will note that M+ is
not at the highest m/z value. There is a
small peak at M + 1 due to presence of
different isotopes in the molecule.
Continues
• Despite 12C being the most abundant
isotope, it also contains 1.1% of 13C
isotope. Thus, certain % of the molecules
analyzed in MS are likely to contain 13C
atom giving rise to observed M + 1 peak.
• Also 2H (deterium; 0.0015% natural
abundance, is present and more
contributions to M + 1 peak.
Continues
• Each organic compound fragments are
unique in mass Spectrum thus, serves as
molecular finger print too.
• Also structural information of a molecule
can be obtained through interpreting its
fragmentation pattern.
• Fragmentation occurs when high energy
cation radical flies apart by spontaneous
cleavage of chemical bond..
Continues
• One of the fragment retains +ve charge
and is cabocation, while the other
fragment is a neutral radical.
• Often +ve charge remains with the
fragment that is best stabilize it. This
means, that relatively stabilized
cabocation is usually formed during
fragmentation.
Continues
• For example, 2,2-dimethyl-propane form a
fragment where +ve remain with tert-butyl
group. Thus, it forms a base peak at m/z =
57, corresponding to C4H9+ see next slide
• Note that it is rarely possible to explain the
origin of all the fragment ions in a
spectrum. Thus, the structure of most
fragment ions is seldom known with
certainty.
Continues
Continues
• It should be noted that most of organic
compounds form fragment in different
ways as mass spectrum of hexane shows
below
C
CH3
CH3
CH3
H3C C
CH3
CH3
H3C CH3
+
m/z= 57
Continues
• As we have seen mass fragmentation is
complex, it is usually difficulty to assign
definite structures to fragment ions e.g.,
hexane spectra shows abundant M+ at
m/z = 86 and fragment ions at m/z = 71,
57, 43, and 29.
• C-C bonds of hexane are electronically
similar and break to a similar extent, giving
rise to the observed ions.
Continues
• m/z = 71 due to the lose of methyl radical;
• m/z = 57 due to lose of ethyl radical.
• m/z = 43 due to lose of isopropyl radical.
• This means using experience one can
make use of fragmentation pattern of
unknown compound and work backward to
look for the real structure compatible to the
data given.
Hexane Spectrum
Continues
• Question
• You have unlabeled samples A and B, one
is methylcyclohexane and the other is
ethylcyclopentane. How could you use
mass spectra to distinguish the two
compounds?
• Given the mass spectra of both
compounds in next slide.
Spectra of sample A and B
79
Mass Spectrum of Methylbenzene
• Molecular ion peak at m/z = 92.
• BASE peak at m/z = 91
• Peak at m/z = 93 [M+ with 13C]
• Peak at m/z = 65 [92 – 27 [CH2=CH]+ = [C5H5]+
80
81
Mass spectra of carbon dioxide,
propane and cyclopropane
• The molecules of these compounds are similar in
size, CO2 and C3H8 both have a nominal mass of 44
amu, and C3H6 has a mass of 42 amu. The molecular
ion is the strongest ion in the spectra of CO2 and
C3H6, and it is moderately strong in propane.
82
Fragmentation of Carbon Dioxide CO2
• CO2 almost un-fragmented due to stability. Molecular ion
is also the Base Peak, and the only fragment ions are
CO (m/z = 28) and O (m/z =16).
83
Fragmentation of Propane
• The molecular ion of propane also has m/z = 44, but it is
not the most abundant ion in the spectrum.
• Cleavage of a carbon-carbon bond gives methyl and
ethyl fragments, one of which is a carbocation and the
other is a radical.
• A similar bond cleavage in cyclopropane does not give
two fragments, so the molecular ion is stronger than in
propane, and it is in fact responsible for the base
peak.
• Loss of a hydrogen atom, either before or after ring opening,
produces the stable allyl cation (m/z = 41).
• The third strongest ion in the spectrum has m/z = 39 (C3H3).
• Its structure is uncertain, but two possibilities are
shown in the diagram.
Continues……..
• How can you distinguish propane from
cyclopropane based on their respective mass
spectrum?
• The small m/z = 39 ion in propane and the
absence of a m/z = 29 ion in cyclopropane are
particularly significant in distinguishing these
hydrocarbons.
86
Radical Cation
• Most stable organic compounds have an even
number of total electrons (An orbital can be
occupied by an electron pair - Hund’s Rule?).
• When a single electron is removed from a molecule
to give a radical cation, the total electron count
becomes an odd number.
• The molecular ion in a mass spectrum is always a
radical cation.
• Fragment ions may either be even-electron cations
or odd-electron radical cations, depending on the
neutral fragment lost.
87
• The simplest and most common fragmentations are
bond cleavages producing a neutral radical (odd
number of electrons) and a cation having an even
number of electrons.
• A less common fragmentation, in which an even-
electron neutral fragment is lost, produces an odd-
electron radical cation fragment ion.
• Fragment ions themselves may fragment further.
As a rule, odd-electron ions may fragment
either to odd or even-electron ions, but even-
electron ions fragment only to other even-
electron ions.
• The masses of molecular and fragment ions also
reflect the electron count, depending on the
number of nitrogen atoms in the species.
Continues…..
• This distinction is illustrated nicely by the
following two examples.
• The unsaturated ketone, 4-methyl-3-pentene-2-
one, on the left has no nitrogen so the mass of
the molecular ion (m/z = 98) is an even number.
• Most of the fragment ions have odd-numbered
masses, and therefore are even-electron
cations. See next slide
4-methyl-3-pentene2-one
Diethylmethylamine
Continues…
• Diethylmethylamine, on the other hand, has one
nitrogen and its molecular mass (m/z = 87) is an
odd number.
• A majority of the fragment ions have even-
numbered masses (ions at m/z = 30, 42, 56 & 58
are not labelled), and are even-electron nitrogen
cations.
• The weak even-electron ions at m/z=15 and 29
are due to methyl and ethyl cations (no nitrogen
atoms).
Continues…..
• When non-bonded electron pairs are present in
a molecule (e.g. on N or O), fragmentation
pathways may sometimes be explained by
assuming the missing electron is partially
localized on that atom.
Continues…..
• Isotopes
Since a mass spectrometer separates and
detects ions of slightly different masses, it easily
distinguishes different isotopes of a given
element.
• This is manifested most dramatically for
compounds containing bromine and chlorine, as
illustrated by the following examples below.
94
Isotopes and MS
• This is manifested most dramatically for compounds
containing bromine and chlorine.
• Chlorine: 75.77% 35Cl and 24.23% 37Cl
Bromine: 50.50% 79Br and 49.50% 81Br
95
MS of Br2
• Natural bromine is a nearly 50:50 mixture of isotopes having
atomic masses of 79 and 81 amu respectively.
• The molecule may be composed of two 79Br atoms (mass
158 amu), two 81Br atoms (mass 162 amu) or the more
probable combination of 79Br-81Br (mass 160 amu).
Fragmentation of Br2 to a bromine cation then gives rise to
equal sized ion peaks at 79 and 81 amu.
Continues..
• Two other common elements having useful isotope
signatures are carbon, 13C is 1.1% natural abundance,
and sulfur, 33S and 34S are 0.76% and 4.22% natural
abundance respectively.
• For example, the small m/z = 99 peak in the spectrum of
4-methyl-3-pentene-2-one is due to the presence of a
single 13C atom in the molecular ion slide 89.
97
Application of Isotopes in MS
• The presence of chlorine or bromine in a molecule
or ion is easily detected by noticing the intensity
ratios of ions differing by 2 amu.
• In the case of methylene chloride, the molecular ion
consists of three peaks at m/z = 84, 86 & 88 amu,
and their diminishing intensities may be calculated
from the natural abundances given above.
• Loss of a chlorine atom gives two isotopic fragment
ions at m/z = 49 & 51amu, clearly incorporating a
single chlorine atom. You can easily go through
slides No. slide 94-95 yourself.
98
Fragmentation Patterns
• The fragmentation of molecular ions into an
assortment of fragment ions is a mixed blessing.
• The nature of the fragments often provides a
clue to the molecular structure, but M+ have
to survive (a few microseconds) long enough to be
observed.
• If M+ is not observed it is very difficult to interpret
MS without reference.
• Most organic compounds give M+. It is also
possible to change the ionization method.
99
Fragmentation Patterns cont’
• Simple organic compounds:
–Most stable molecular ions are those from
aromatic rings, other conjugated pi-
electron systems and cycloalkanes.
–Alcohols, ethers and highly branched
alkanes generally show the greatest
tendency toward fragmentation.
100
101
• The mass spectrum of dodecane illustrates
the behavior of an unbranched alkane.
• No heteroatoms in the molecule, there are no
non-bonding valence shell electrons - the
radical cation character of the molecular ion
(m/z = 170) is delocalized over all the covalent
bonds.
• Fragmentation of C-C bonds occurs because
they are usually weaker than C-H bonds, and
this produces a mixture of alkyl radicals and
alkyl carbocations.
102
Functional Groups
• The presence of a functional group, particularly one
having a heteroatom Y with non-bonding valence
electrons (Y = N, O, S, X etc.), can dramatically alter
the fragmentation pattern of a compound.
• This influence is thought to occur because of a
"localization" of the radical cation component of the
molecular ion on the heteroatom.
• It is easier to remove a non-bonding electron than
one that is part of a covalent bond.
• By localizing the reactive moiety (part of molecule),
certain fragmentation processes will be favored
(summary in Fig. next slide).
103
Fragmentation of M+ with Hetero Functional
Groups
Molecular ions [M ] R-Cl R-O-R' R-N
R'
R'
or or or C=O
R
R
1. C-Y Cleavage C
H
R Y
H
C
H
R Y
H
+
2. -Y Cleavage C
R Y + C Y
R
C
R Y
C H
C
R Y
C H
+
3. -Y Cleavage
Continues
• Note that compounds with specific functional
groups for example, alcohol, ketone aldehyde,
amine etc have specific mass spectra
fragmentation that can be interpreted to provide
structural formula.
• Both ketones and aldehydes with a hydrogen on
a third carbon atoms away from the carbonyl
group undergo mass-spectral cleavage called
next slide
Continuous
• McLafferty rearrangement. The hydrogen
atom is transferred to the carbonyl oxygen,
a C-C bond is broken, and a neutral
alkene fragment is formed. The charge
remains with the oxygen- containing
fragment see slide number 108.
106
McLafferty Rearrangement
• Fragmentation by bond rearrangement to form smaller
fragments.
• For McLafferty rearrangement to take place the molecule
must possess
– a Hetero atom (commonly O),
– a π system (usually a double bond) and
– an Abstractable H gama (γ) to the C=O.
• McLafferty rearrangement give important characteristic
peaks which are useful in structure elecudation or
interpretation.
• The electron movements are made by arrows or double
sided arrows alrtenatively fishhook arrows are used see
chapter 3 page 47-51
107
Rearangement Mechanisms
• The odd-electron fragment ions at m/z = 86 and 58 are
the result of a McLafferty rearrangement, involving the
larger alkyl chain, and a subsequent loss of ethene (the
"double-McLafferty" rearrangement).
• Alpha-cleavage leads to the m/z = 99, 71 and 43 ions.
The charge is apparently distributed over both
fragments.
108
Rearrangement in Esters
109
Rearrangement in Esters
• Alpha-cleavage gives ions at m/z = 57 & 85
amu. The McLafferty rearrangement on the acid
side generates a m/z = 116 ion. Subsequent
rearrangement on the alcohol side generates
m/z = 60 and 56 ions. The m/z = 103 ion is
probably [C4H9CO2H2]+.
110
Rearrangement in MS of Alcohols
111
• The molecular ion (m/z = 114 amu) is not observed
under electron impact ionization conditions. The
highest mass ion (m/z = 85) is due to an alpha-
cleavage of ethyl; the other alpha-cleavage
generates m/z = 59. The rearrangement cleavage
shown here generates the m/z = 56 ion.
Continues
• Also alcohol forms fragments in MS
through two pathways (i) alpha cleavage
and (ii) dehydration.
• In alpha cleavage, a C-C bond nearest the
OH is broken, which results in neutral
radical and charged oxygen containing
fragment.
Continuous
C
H
C
H
R
H
H
OH

C
H
H
OH + RCH2
Continues
• In dehydration of alcohol , water is
eliminated followed by the formation of
alkene radical cation with a mass of 18
unit less than M+.
C
H
C
H
R
OH
H
H C
H
H
C + H2O
H
H
Dehydration
Continuous
• Amines
• Aliphatic amines undergo alpha cleavage
in MS similar to alcohol. A C-C nearest to
the nitrogen atom is broken, yielding an
alkyl radical and a nitrogen containing
cation.
C
H
C
H
R
OH
H
NR2

C
H
H
NR2 + RCH2
General Summary of Fragmentation Patterns of
alkane, alkene and amine
• After subjecting a molecule to high energy electrons
often breaks the molecule into fragments, commonly a
cation and a radical.
– Bonds break to give the most stable cation.
– Stability of the radical is less important.
•
Alkanes
– Fragmentation often splits off simple alkyl
groups:
• Loss of methyl M+ - 15
• Loss of ethyl M+ - 29
• Loss of propyl or iso-propy M+ - 43
• Loss of butyl M+ - 57
– Branched alkanes tend to fragment forming
the most stable carbocations. Go through
slide 95-103.
Fragmentation continues…….
• Mass spectrum of 2-methylpentane
Fragmentation of Alkenes
• Alkenes:
– Fragmentation typically forms resonance stabilized
allylic carbocations
Fragmentation of Amines
– Odd M+ (assuming an odd number of nitrogens are
present)
 -cleavage dominates forming an iminium ion
121
Continues
• Note if you are to establish the
fragmentation patterns, you will have to do
the following.
• Identify M+, and the functional group in the
molecule. Think of expected fragments,
and make comparison of the masses of
the resultant fragments with the peaks
present in the given spectrum.
Possible Molecular Formula
• Practice
• List down possible formulas of molecule
M+ = 100, assume that the molecule
contains C, H, and O.
• Solution
1. divide Mwt. of a molecule by 12 to fix
maximum number of C.
2. Each carbon is equivalent to 12 H.
Continues
3. 1 C can be replace by 12 H, which can
provide another possible formula.
4. If the formula contains Oxygen, it can be
calculate by knowing that 1 Oxy = CH4
M+/12 = 100/12 = 8 remaining 4 suggests
the formula is C8H4
Replacement of 1C = 12 H
Possible formula is C7H16
Continues
• Also in C7H16 you can replace CH4 by O
and reduce that formula into C7O, which is
not likely.
• When similar approach is used for C7H16
will change into C6H12O which is a
possible structure.
• Upon starting with C6H12O you can also
replace CH4 by O which results to C5H8O2.
Continueous
• Upon repeating the third time you will obtain the
following C5H4O3. This means there are five likely
formulas that can be distinguished by double-focusing
instrument.
• Question for you?
• Write as many formula as you can for the
compound with M+ = 86 assume the compound
contains C, H, and O may or may not be
present.
126
Important Informations
READ IN DETAILS THE FOLLOWING!
Basic Fragmentation Types and Rules.
Factors Influencing Fragmentations
Fragmentations associated with Functional
groups.
Infra Red Spectroscopy
• Introduction Our eyes can see just a small part of a
broad spectrum of electromagnetic radiation.
• On the immediate high energy side of the visible
spectrum lies the ultraviolet, and on the low energy side
is the infrared, which is divided into near, mid and
far.
• The portion of the infrared region most useful for
analysis of organic compounds is not immediately
adjacent to the visible spectrum, but is that having a
wavelength range from 2,500 to 16,000 nm, with a
corresponding frequency range from 1.9 x 1013 to 1.2 x
1014 Hz.
Infrared Spectroscopy Instrument
UV Visible NIR Mid IR Far IR
10-4
10-4
10-6
10-7
m
129
Continues…….
• Background
– In general infrared region of the electromagnetic
spectrum extends from 14,000 cm-1 to 10 cm-1.
– The region of most interest for chemical analysis is the
mid-infrared region (4,000 cm-1 to 400 cm-1) which
corresponds to changes in vibrational energies within
molecules.
– The far infrared region (400 cm-1 to 10 cm-1) is useful for
molecules containing heavy atoms such as inorganic
compounds, but requires rather specialized experimental
techniques. Not useful to Organic chemistry.
Continues…
• In recent years, the range of 800-2500 nm has also been
used in pharmaceutical analysis, This region is called the
near infrared region (NIR) and is utilized in NIR
spectroscopy, IR spectra show more detailed
absorption bands than UV spectra of the same
compound. This technique enable one to obtain a
complete picture of the organic composition of the
analyte or analyzed material.
• NIR spectroscopy is a rapid technique which allows
many properties of the sample to be measured once an
appropriate calibration against a direct method has been
established.
Continues….
• Additionally, NIR spectroscopy is based on light
absorption of chemical components in the sample, a
connection between one of theses components and the
property to be measured must exist. This property to be
measured must be a physical characteristic of the
sample or mass concentration of a compound or group
of the compound in the sample. Water is one these
compounds which can be analyzed by NIR
spectroscopy. While FTR IR (mid-IR is between 4000 to
400 cm NIR is between 12,500 to 4000 cm).
• NIR light absorption is like that of mid-ifrared, which is
based on vibration of the material.
Continues…..
• Also Near-infrared light absorption is much weaker in
intensity as compared with mid-infrared light absorption.
Thus, measurement of samples of samples showing
weak absorption is difficult, but the fact that sample can
be measured without being diluted is an advantageous
feature. Furthermore, as solvent themselves show weak
absorption, aqueous solutions are also relatively easy to
measure.
• Typicall NIR spectroscopy method application include
medical and physiological diagnostics and research
including blood sugar, functional neuro-imaging, pharmaceutical,
food and agrochemical control, atmopheric chemistry
Basic principles of IR spectroscopy
Continues… hereuner shoud be multiplied by 100 not 100%
Continues…..
• High wave numbers correspond to low
wavelengths and low wave numbers correspond
to higher wavelengths.
• Wave numbers are usually expressed as cm-1,
and the most common spectral range is the
wavelength region between 2500 and 15 000
nm corresponding to wave numbers between
4000 and 670 cm-1.
IR spectrum
Continues……
• The frequency scale at the bottom of the chart is given in
units of reciprocal centimeters (cm-1) rather than Hz,
because the numbers are more manageable.
• Wavelength units are in micrometers, microns (μ),
instead of nanometers for the same reason.
Prefi
x
Symbol Factor
Numerical
ly
Name
terra T 1012 1 000 000 000
000 trillion
giga G 109 1 000 000
000
billion
mega M 106 1 000 000 million
kilo k 103 1 000 thousand
centi c 10-2 0.01 hundredth
milli m 10-3 0.001 thousandth
micro μ 10-6 0.000 001 millionth
nano n 10-9 0.000 000
001
Billionth
pico p 10-12 0.000 000 000
001 Trillionth
Continues…….
• Photon energies associated with this part of the infrared
(from 1 to 15 kcal/mole) are not large enough to excite
electrons, but may induce vibrational excitation of
covalently bonded atoms and groups.
• The covalent bonds in molecules are not rigid sticks or
rods, such as found in molecular model kits, but are
more like stiff springs that can be stretched and bent.
Continues…….
• The mobile nature of organic molecules can be
perceived in the chapter concerning conformational
isomers. We must now recognize that, in addition to the
facile rotation of groups about single bonds, molecules
experience a wide variety of vibrational motions,
characteristic of their component atoms.
• Consequently, virtually all organic compounds will
absorb infrared radiation that corresponds in energy to
these vibrations.
• Infrared spectrometer, is similar in principle to the UV-Visible
spectrometer, permit chemists to obtain absorption spectra of
compounds that are a unique reflection of their molecular structure.
Continues……..
• Infrared spectra may be obtained from samples in all
phases (liquid, solid and gaseous).
• Liquids are usually examined as a thin film sandwiched
between two polished salt plates (note that glass
absorbs infrared radiation, whereas NaCl is transparent.
• If solvents are used to dissolve solids, care must be
taken to avoid obscuring important spectral regions by
solvent absorption.
Continues…..
• Perchlorinated solvents such as carbon
tetrachloride, chloroform and tetrachloroethene
are commonly used.
• Alternatively, solids may either be incorporated
in a thin KBr disk, prepared under high pressure,
or mixed with a little non-volatile liquid and
ground to a paste (or mull) that is smeared
between salt plates.
IR Spectrometer
• In an IR spectrometer, a sample is irradiated with
frequencies of IR radiation, the frequencies that match
the vibrational frequencies are absorbed and the
frequencies that pass through (that are not absorbed by
the sample) are detected.
• A plot is then constructed showing which frequencies
were absorbed by the sample.
• The most commonly used type of spectrometer, called a
Fourier transform (FT-IR) spectrometer,
IR Peak Positions, Intensities & Widths
The peak position of an IR absorption is given by the
following equation:
The only two variables in the above equation are
the chemical bond's force constant (k) and
reduced mass (μ). See page137
Bond C-H Stretch in cm-1
C-1H ~3000
C-2D ~2120
The reduced masses of C-1H and C-2D are
different, but their force constants are the same.
By simply doubling the mass of the hydrogen
atom, the carbon-hydrogen stretching vibration is
reduced by over 800 cm-1.
Bond C-H Stretch in cm-1
C-H ~3000
O=C-H ~2750
Continues…….
• When a hydrogen is attached to a carbon with a
C=O bond, the C-H stretch band position
decreases to ~2750 cm-1.
• These two C-H bonds have the same reduced
mass, but different force constants. The oxygen
in the second molecule pulls electron density
away from the C-H bond so it weakens and
reduces the C-H force constant.
• This causes the C-H stretching vibration to be
reduced by ~250 cm-1.
Continues….
• Vibrations that satisfy this equation:
are said to be infrared active. The H-Cl stretch of hydrogen
chloride and the asymmetric stretch of CO2 are examples of infrared
active vibrations. Infrared active vibrations cause the bands seen in
an infrared spectrum.
• The 2nd necessary condition for infrared absorbance is that the
energy of the light impinging on a molecule must equal a vibrational
energy level difference within the molecule. This condition can be
summarized in equation form as follows:
Continues…..
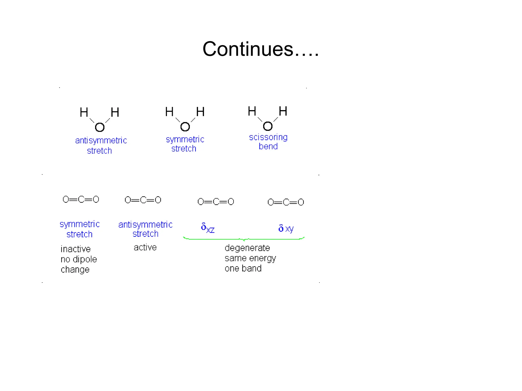
• Vibrational modes are often given descriptive names,
such as stretching, bending, scissoring, rocking and
twisting.
• The Symmetric Stretch (Example shown is an H2O
molecule at 3685 cm-1)
• The Asymmetric Stretch (Example shown is an H2O
molecule at 3506 cm-1)
• Bend (Example shown is an H2O molecule at 1885 cm-1)
• These are followed by CO2 and methylene examples
Continues….
Continues…….
• Different stretching and bending vibrations can be
visualized by considering the CH2 group in
hydrocarbons. The arrows indicate the direction of
motion. The stretching motions require more energy than
the bending ones.
•
• Note the high wavenumber (high energy) required to
produce these motions.
Continues….
• The bending motions are sometimes described as
wagging or scissoring motions.
• You can see that the lower wavenumber values are
consistent with lower energy to cause these vibrations.
Vibrational Spectroscopy
• When a molecule absorbs infrared radiation, its chemical
bonds vibrate. The bonds can stretch, contract, and
bend.
• The first necessary condition for a molecule to absorb
infrared light is that the molecule must have a
vibration during which the change in dipole moment
with respect to distance is non-zero see page
.condition can be summarized in equation form as
follows:
Continues…….
• Each molecule absorbs a unique set of IR light
frequencies, its IR spectrum is often likened to a
person's fingerprints.
• These frequencies match the natural vibrational
modes of the molecule, a molecule absorbs only those
frequencies of IR light that match vibrations that cause a
change in the dipole moment of the molecule.
• Bonds in symmetric N2 and H2 molecules do not absorb IR because
stretching does not change the dipole moment, and bending
cannot occur with only 2 atoms in the molecule.
• Any individual bond in an organic molecule with
symmetric structures and identical groups at each end
of the bond will not absorb in the IR range.
Continues……
• For example, in CH3CH3, the bond between the carbon atoms does
not absorb IR because there is a methyl group at each end of the
bond. The C-H bonds within the methyl groups do absorb.
• In a complicated molecule many fundamental vibrations are
possible, but not all are observed. Some motions do not change the
dipole moment for the molecule; some are so much alike that they
combine into one band.
• Even though an IR spectrum is characteristic for an
entire molecule, there are certain groups of atoms in a
molecule that give rise to absorption bands at or near the
same wavenumber, , (frequency) regardless of the rest
of the structure of the molecule.
Continues……
• These persistent characteristic bands enable you to
identify major structural features of the molecule after
a quick inspection of the spectrum and the use of a
correlation table. The correlation table is a listing of
functional groups and their characteristic absorption
frequencies, look at page 197.
• The infrared spectrum for a molecule is a graphical display. It shows
the frequencies of IR radiation absorbed and the % of the incident
light that passes through the molecule without being absorbed. The
spectrum has two regions. The fingerprint region is unique for a
molecule and the functional group (diagnostic) region is similar
for molecules with the same functional groups.
IR General spectrum
Continues……
• The nonlinear horizontal axis has units of wavenumbers.
Each wavenumber value matches a particular frequency
of infrared light. The vertical axis shows % transmitted
light. At each frequency the % transmitted light is 100%
for light that passes through the molecule with no
interactions; it has a low value when the IR radiation
interacts and excites the vibrations in the molecule.
• A portion of the spectrum where % transmittance drops
to a low value then rises back to near 100% is called a
"band". A band is associated with a particular vibration
within the molecule.
Continues…..
• The width of a band is described as broad or narrow based on how
large a range of frequencies it covers. The efficiencies for the
different vibrations determine how "intense" or strong the absorption
bands are. A band is described as strong, medium, or weak
depending on its depth.
• In the hexane spectrum below the band for the C-H stretch is strong
and that for the C-H bend is medium.
• The alkane, hexane (C6H14) gives an IR spectrum that has relatively
few bands because there are only C-H bonds that can stretch or
bend. There are bands for C-H stretches at about 3000 cm-1. The
CH2 bend band appears at approximately 1450 cm-1 and the CH3
bend at about 1400 cm-1. The spectrum also shows that shapes of
bands can differ.
Continues…….
Procedure for interpreting IR Spectra
• Every molecule will have its own characteristic spectrum.
The bands that appear depend on the types of bonds
and the structure of the molecule. Study the sample
spectra, noting similarities and differences, and relate
these to structure and bonding within the molecules.
• Some General Trends:
i. Stretching frequencies are higher than corresponding
bending frequencies. (It is easier to bend a bond than to
stretch or compress it.).
ii. Bonds to hydrogen have higher stretching frequencies
than those to heavier atoms.
Continues……
iii. Triple bonds have higher stretching frequencies than
corresponding double bonds, which in turn have higher
frequencies than single bonds. (Except for bonds to
hydrogen).
• Absorption bands associated with C=O bond stretching
are usually very strong because a large change in the
dipole takes place in that mode.
• Since most organic compounds have C-H bonds, a
useful rule is that absorption in the 2850 to 3000 cm-1
is due to sp3 C-H stretching; whereas, absorption
above 3000 cm-1 is from sp2 C-H stretching or sp C-H
stretching if it is near 3300 cm-1.
164
Use of the IR Spectroscopy Technique
• It is rarely, if ever, possible to identify an unknown
compound by using Infra Red (IR) spectroscopy
alone.
• Its principal strengths are:
(i) it is a quick and relatively cheap spectroscopic
technique,
(ii) it is useful for identifying certain functional
groups in molecules, and
(iii) an IR spectrum of a given compound is unique
and can therefore serve as a fingerprint for this
compound.
Number of Vibrational Modes in a Molecule
• The Heisenberg uncertainty principle argues that all atoms in a
molecule are constantly in motion (otherwise we would know
position and momentum accurately).
• For molecules, they exhibit three general types of motions:
1. Translations (external)
2. Rotations (internal)
3. Vibrations (internal)
4. A diatomic molecule contains only a single motion while
polyatomic molecules exhibit more complex vibrations, known
as normal modes.
5. Diatomic molecules are observed in the Raman spectra but not
in the IR spectra.
Continues…..
• This is due to the fact that diatomic molecules have one
band and no permanent dipole and therefore one single
vibration. e.g. O2 or N2.
• However, unsymmetric diatomic molecules (CN, CH) do
absorb in the IR spectra.
• Polyatomic molecules undergo more complex vibrations
that can be summed or resolved into normal modes of
vibration
• The normal modes of vibration are: asymmetric, symmetric,
wagging, twisting, scissoring, and rocking for polyatomic
molecules as we have seen in slide 125 to 126 above.
Calculate Number of Vibrational Modes
• Degree of freedom is the number of variables required to
describe the motion of a particle completely.
• For an atom moving in 3-dimensional space, three
coordinates are adequate so its degree of freedom is
three, its motion is purely translational.
• If we have a molecule made of N atoms (or ions), the
degree of freedom becomes 3N, because each atom has
3 degrees of freedom.
• Furthermore, since these atoms are bonded together, all
motions are not translational; some become rotational,
some others vibration.
Continues….
• For non-linear molecules, all rotational motions can be
described in terms of rotations around 3 axes, the
rotational degree of freedom is 3 and the remaining 3N-6
degrees of freedom constitute vibrational motion.
• For a linear molecule however, rotation around its own
axis is not rotation because it leaves the molecule
unchanged.
• So there are only 2 rotational degrees of freedom for any
linear molecule leaving 3N-5 degrees of freedom for
vibration.
Continues……
• The degrees of vibrational modes for linear
molecules can be calculated using the formula:
• 3n-5……..(i)
• The degrees of freedom for nonlinear molecules can
be calculated using the formula: 3n-6………….(ii)
• n is equal to the number of atoms within the molecule of
interest.
Continues……
• The following procedure should be followed when trying
to calculate the number of vibrational modes:
1. Determine if the molecule is linear or nonlinear (i.e. Draw
out molecule using VSEPR). If linear, use equation (i) &
if nonlinear, use equation (ii).
2. Calculate how many atoms are in your molecule, this is
your n value.
3. Plug in your n value & solve.
Examples
• How many vibrational modes are there in the CO2
molecule?
• Answer: Lewis structure
• There are a total of 3 atoms in this molecule, it’s a linear
molecule so equation (i) is used
3n-5
3(3) - 5 = 4
• We have 4 vibrational modes in CO2
Questions
• 1. Would CO2 & SO2 have a different number for degrees
of vibrational freedom?
• 2. How many vibrational modes are there in the
tetrahedral CH4 molecule?
• 3. How many vibrational modes are there in the
nonlinear C60 molecule?
• 4. How many vibrational modes are in HCOH methanal?
General Procedure for Interpreting IR Spectra
• Every molecule will have its own characteristic spectrum.
The bands that appear depend on the types of bonds
and the structure of the molecule. Study the sample
spectra, noting similarities and differences, and relate
these to structure and bonding within the molecules.
• Some General Trends:
i. Stretching frequencies are higher than corresponding
bending frequencies. (It is easier to bend a bond than to
stretch or compress it.)
Continues……
ii. Bonds to hydrogen have higher stretching frequencies
than those to heavier atoms.
iii. Triple bonds have higher stretching frequencies than
corresponding double bonds, which in turn have higher
frequencies than single bonds. (Except for bonds to
hydrogen).
• Absorption bands associated with C=O bond stretching are
usually very strong because a large change in the dipole takes
place in that mode.
• Since most organic compounds have C-H bonds, a useful rule is
that absorption in the 2850 to 3000 cm-1 is due to sp3 C-H
stretching; whereas, absorption above 3000 cm-1 is from sp2 C-H
stretching or sp C-H stretching if it is near 3300 cm-1.
Interpretation of Infrared Spectra
• IR Spectroscopy is an extremely effective method for determining
the presence or absence of a wide variety of functional groups in a
molecule.
• One way to begin analyzing an IR spectrum is to start at the high
wavenumber end of the spectrum (typically 4000 cm-1) and look for
the presence and absence of characteristic absorptions as you
move toward lower wavenumbers.
• Some of the most common, and distinctive, absorptions
are organized into several regions below. This is the type
of analysis that you should be able to do without
consulting notes. If necessary, a more detailed analysis
could then be attempted by consulting a text on IR
interpretation.
Important Regions of the IR Spectrum
3600-
3300 cm-1
Alcohol O-H
Amine or Amide N-
H
Alkyne C-H
The alcohol OH stretch is usually a broad and
strong absorption near 3400. The NH stretch is
typically not as broad or strong as the OH, and in
the case of an NH2 it may appear as two peaks.
The terminal alkyne C-H may be confirmed by a
weak CC triple bond stretch near 2150 cm-1
3300-
2500 cm-1
Acid O-H
This is normally a very broad signal centered near
3000 cm-1.
3200-3000
cm-1
Aromatic (sp2) =C-
H
Alkene (sp2) =C-H
The aromatic CH's usually appear as a number of
weak absorptions, while the alkene C-H is one or
a couple stronger absorptions.
3000-
2800 cm-1
Alkyl (sp3) C-H
Almost all organic compounds have alkyl CH's so
this is not usually too informative. However, the
intensity of these peaks relative to other peaks
gives a hint as to the size of the alkyl group.
2850 and
Two medium intensity peaks on the right hand
3600-2700 cm-1: X-H stretch region
Important Regions of the IR Spectrum
2260-
2210 cm-1
Nitrile CN
A sharp, medium intensity peak.
Carbon Dioxide in the atmosphere may
also result in an absorption in this area
if not subtracted out.
2260-
2100 cm-1
Alkyne CC
This peak's intensity varies from
medium to nothing. Since the intensity
is related to the change in dipole
moment, symmetrical alkynes will
show little or no absorption here!
2300-2100cm-1 CX region
Aromatics
• The =C–H stretch in aromatics is observed at 3100-3000
cm-1. Note that this is at slightly higher frequency than is
the –C–H stretch in alkanes.
• This is a very useful tool for interpreting IR spectra: Only
alkenes and aromatics show a C–H stretch slightly
higher than 3000 cm-1. Compounds that do not have a
C=C bond show C–H stretches only below 3000 cm-1.
• Aromatic hydrocarbons show absorptions in the regions
1600-1585 cm-1 and 1500-1400 cm-1 due to carbon-
carbon stretching vibrations in the aromatic ring.
Continues…..
• Bands in the region 1250-1000 cm-1 are due to C–H in-
plane bending, although these bands are too weak to be
observed in most aromatic compounds.
• Besides the C–H stretch above 3000 cm-1, two other
regions of the infrared spectra of aromatics distinguish
aromatics from organic compounds that do not have an
aromatic ring:
• 2000-1665 cm-1 (weak bands known as "overtones")
• 900-675 cm-1 (out-of-plane)
Examples of IR Spectra
• The alkane C6H14 has only C–C single bonds & sp3 hybridized C
atoms. Therefore, it has only one major absorption above 1500 cm-1,
its Csp3 – H absorption at 3000–2850 cm-1
Continues…..
• The alkene C6H12 has a C=C and Csp2–H, in addition to its sp3
hybridized C atoms. Therefore, there are three
major absorptions above 1500 cm-1 :Csp2–H at 3150–3000cm-1,
Csp3–H at 3000–2850cm-1, C=C at 1650cm-1
Continues……
• The alkyne C6H10 has a CC and Csp– H, in addition to its sp3
hybridized C atoms. Therefore, there are three
major absorptions above 1500 cm-1 : Csp–H at 3300 cm-1, Csp3–H at
3000–2850cm-1, CC at ~2250 cm-1.
IR Spectra of Oxygen containing compounds
• The most important IR absorptions for oxygen-containing
compounds occur at 3600–3200 cm-1 for an OH group,
and at approximately 1700 cm-1 for a C=O.
• The peak at ~3000 cm-1 in their spectrum is due to Csp3–
H bonds can be observed.
• Look example below, IR spectrum for the alcohol,
ethanol (CH3CH2OH), which is more complicated.
Continues….
• It has a C-H stretch, an O-H stretch, a C-O stretch and various
bending vibrations. The important point to learn here is that no
matter what alcohol molecule you deal with, the O-H stretch will
appear as a broad band (strong absorption) at approximately
3200-3600 cm-1.
Likewise the CH stretch still appears at about 3000 cm-1.
Continues…….
• The spectrum for the aldehyde, octanal (CH3(CH2)6CHO), is shown
here. The most important features of the spectrum are carbonyl
C=O stretch near 1700 cm-1 and the C-H stretch at about 3000
cm-1. If you see an IR spectrum with an intense strong band near
1700 cm-1 and the compound contains oxygen, the molecule most
likely contains a carbonyl group,
Continues……
• The spectrum for the ketone, 2-butanone below it also
has a x-tic carbonyl band at 1700 cm-1. The CH stretch
still appears at about 3000 cm-1, and the CH2 bend
shows up at approximately 1400 cm-1.
Continues……
• Carboxylic acids have spectra that are even more
involved. They typically have three bands caused by
bonds in the COOH functional group.
The band near 1700 cm-1 is due to the CO
double bond.
Continues
• The broad band centered in the range 2700-3300 cm-1 is
caused by the presence of the OH and a band near 1400
cm-1 comes from the CO single bond.
• In the spectrum for the carboxylic acid, diphenylacetic
acid above, although the aromatic CH bands complicate
the spectrum, you can still see the broad OH stretch
between 2700-3300 cm-1. It overlaps the CH stretch
which appears near 3000 cm-1. A strong carbonyl CO
stretch band exists near 1700 cm-1. The CO single bond
stretch shows up near 1200 cm-1.
• Additionally, for more understanding look at more spectra for
carbonyls, and substituted aromatic compounds at page 132-135.
When you analyze the spectra, it is easier if you follow
a series of steps in examining each spectrum.
1. Look first for the carbonyl C=O band. Look for a strong
band at 1820-1660 cm-1. This band is usually the most
intense absorption band in a spectrum. It will have a
medium width. If you see the carbonyl band, look for
other bands associated with functional groups that
contain the carbonyl by going to step 2. If no C=O band
is present, check for alcohols and go to step 3.
2. If a C=O is present you want to determine if it is part of
an acid, an ester, or an aldehyde or ketone.
3. If no carbonyl band appears in the spectrum, look for
an alcohol O-H band.
190
The Fingerprint Region
• Many different vibrations make large number
of peaks which make impossible to assign
confidently all vibrations of a particular group.
• Peaks below 1500 cm-1 are very difficult to
assign – Fingerprint region.
• But, finger print region most useful in
identifying compounds by comparison with
known spectra.
191
Sketch of Infra Red Spectrometer
192
Sketch of an IR spectrometer
Obtaining an IR spectrum
• A beam of monochromatic Infra Red light is passed
through a sample comparing it to a reference beam.
• The wavelength of the light is scanned over time.
• The light is collected by a detector and transformed into
an electrical signal with a processor.
• A spectrum with % transmittance is obtained.
• IR is reported/measured in cm-1 the reciprocal of
wavelength.
194
How Does IR Spectroscopy Works?
• In organic compounds, covalent bonds vibrate at
specific energies when irradiated with light in the mid-
IR region of the Electromagnetic spectrum.
• Light with wavelengths of 25 µ to 2.5 µ is commonly
used in IR analysis.
• The frequency of vibrations depends on the atoms at
the end of bond.
• IR thus, is used to identify functional groups.
• Strength of the bond and the masses of atoms on
either end of the bond determine which wavelength is
absorbed.
195
196
197
Factors Affecting Frequency X
C C C C C C
2100 1650 1200
Bond strength
C H C C C O
3000 1200 1100
Mass of atoms
C I
500
C Br
600
C Cl
750
Hybridization C C
H H H
3300 3100 2900
Conjugation
O O O
1750 1675 - 1680
198
Review on Typical regions of functional groups
199
200
IR of Common Functional Groups
201
Alcohols, Alkenes and Alkynes
• Alcohols and amines display strong broad O-
H and N-H stretching bands in the region
3400-3100 cm-1. The bands are broadened
due to hydrogen bonding and a sharp 'non-
bonded' peak can often be seen at around
3400 cm-1.
• Alkene and alkyne C-H bonds display sharp
stretching absorptions in the region 3100-
3000 cm-1. The bands are of medium intensity
and are often obscured by other absorbances
in the region (i.e., OH).
202
Position, Shape & Intensity
203
Position, Shape & Intensity
• The infrared spectrum of benzyl alcohol
displays a broad, hydrogen-bonded -OH
stretching band in the region 3400 cm-1, a
sharp unsaturated (sp2) CH stretch at about
3010 cm-1 and a saturated (sp3) CH stretch at
about 2900 cm-1.
• These bands are typical for alcohols and for
aromatic compounds containing some
saturated carbon. Acetylene (ethyne) displays
a typical terminal alkyne C-H stretch, as
shown in the second panel.
204
Position, Shape & Intensity
205
Position, Shape & Intensity
• Saturated and unsaturated CH bands are shown
clearly in the spectrum of vinyl acetate (ethenyl
ethanoate).
• This compound shows a typical ester carbonyl at
1700 cm-1 and a nice example of a carbon-carbon
double bond stretch at about 1500 cm-1.
• Both of these bands are shifted to slightly lower
wave numbers than are typically observed (by
about 50 cm-1) by conjugation involving the vinyl
ester group.
206
Position, Shape & Intensity
• Triple bond stretching absorptions occur in the
region 2400-2200 cm-1. Absorptions from nitriles
are generally of medium intensity and are clearly
defined. Alkynes absorb weakly in this region
unless they are highly asymmetric; symmetrical
alkynes do not show absorption bands.
• Carbonyl stretching bands occur in the region
1800-1700 cm-1. The bands are generally very
strong and broad. Carbonyl compounds which are
more reactive in nucleophilic addition reactions
(acyl halides, esters) are generally at higher wave
number than simple ketones and aldehydes, and
amides are the lowest, absorbing in the region
1700-1650 cm-1.
207
Position, Shape & Intensity
• Carbon-carbon double bond stretching occurs in the
region around 1650-1600 cm-1. The bands are
generally sharp and of medium intensity. Aromatic
compounds will typically display a series of sharp
bands in this region.
• Carbon-oxygen single bonds display stretching
bands in the region 1200-1100 cm-1. The bands are
generally strong and broad. You should note that
many other functional groups have bands in this
region which appear similar.
208
Basic Values for IR Absorptions
Bond type Wavenumbers
O-H 3400
N-H 3400
C-H 3000
C≡N 2250
C≡C 2150
C=O 1715
C=C 1650
C-O 1100
209
1. C-H Absorption
1. The C-H absorption(s) between 3100 and 2850
cm-1.
2. An absorption above 3000 cm-1 indicates C=C,
either alkene or aromatic.
3. Confirm the aromatic ring: peaks at 1600 and
1500 cm-1 and C-H out-of-plane bending to give
substitution patterns below 900 cm-1.
4. Confirm alkenes with an absorption at 1640-1680
cm-1.
5. C-H absorption between 3000 and 2850 cm-1 is
due to aliphatic hydrogens.
210
2. C=O Absorption
– The carbonyl (C=O) absorption between
1690-1760cm-1; strong band: an aldehyde,
ketone, carboxylic acid, ester, amide,
anhydride or acyl halide.
– An aldehyde may be confirmed with C-H
absorption from 2840 to 2720 cm-1. Two
medium bands may appear.
211
212
3. X-H Absorption
• The O-H or N-H
absorption between
3200 and 3600 cm-1.
• This indicates either
an alcohol, N-H
containing amine or
amide, or carboxylic
acid.
• For -NH2 a doublet
will be observed.
NH2
HO
213
4. Carboxylic Group O-H
O
Br
OH
• Characteristic broad band (3400 – 2500 cm-1)
due to H-bonding.
• Identifies/confirms presence of a carboxylic acid.
214
5. C-O Absorption
• The C-O absorption peaks appear
between 1080 and 1300 cm-1.
• These peaks are normally rounded like the
O-H and N-H peak in 3 and are prominent.
• Carboxylic acids, esters, ethers, alcohols
and anhydrides all contain this peak.
215
An example of a C-O Band
• The band due to the C-O vibration is at 1065 cm-1
216
6. C≡C and C≡N Absorption
C
N
The CC and CN triple bond absorptions at 2100-
2260 cm-1 are small but exposed/unique.
217
R-C≡C-H and R-O-H
OH
H
• The C≡C stretch at 2165 is very weak but is a
typical characteristic in alkynes and nitriles.
218
7. C-H Finger Print (CH3)
7. A methyl group may be identified with C-H
absorption at 1380 cm-1. This band is split
into a doublet for isopropyl(gem-dimethyl)
groups.
8. Structure of aromatic compounds may also
be confirmed from the pattern of the weak
overtone and combination tone bands
found from 2000 to 1600 cm-1.
219
8. Aromatic C-H and C=C
O
• Aromatic C-H around 3050 cm-1 and C=C two
medium bands at about 1500 and 1600 cm-1.
220
Exercise: IHD and IR
• Compound X, C4H8O, was analyzed in IR and
the following absorption bands were recorded:
2950 cm-1; 2890 cm-1 and 1715 cm-1. Suggest
a structure for the compound.
• DU = 4 - 0.5 ( 8) + 1 = 1
–One C=C, C=O or a ring.
–From IR 1715 cm-1 there is a C=O.(since
2950 and 2890 cm-1 for sp3 C-H)
Structure: CH3COCH2CH3 Butan-2-one

MS & IR SPECTROSCOPY blaco updated.ppt

  • 1.
    1 PPC220: Pharmaceutical ChemistryI Semester II: 2023/2024 Dr. William, W.N., PhD. Pharmaceutical Chemistry I
  • 2.
    Introduction • Before nineteenthcentury, schools of Pharmacy trained pharmacists and physicians how to prepare medicinal remedies from natural organic products or inorganic materials. • Herbal medications and folk remedies dating back to ancient Egyptian, Greek, Roman, and Asian societies were administered without any knowledge of their biological mechanism of action. • It was not until the early 1800s that scientists began extracting chemicals from plants with purported therapeutic properties to isolate the active components and identify them.
  • 3.
    Continues.. • How dowe ensure that there are no impurities present in the compound synthesized? • How can we tell the structure of an unknown compound that has poisoned many people? • It is questions like these that concern pharmaceutical chemists who make use of various analytical techniques to solve such challenges. • They can use nuclear magnetic resonance (NMR) spectroscopy to elucidate the structure of the compound or check if there is a change in the functional group by using infra-red spectroscopy.
  • 4.
    Continues.. • Some ofthe steps that may be taken to identify a synthesized or isolated substance are: – Determination of molecular weight – Elemental analysis – Detection of the presence or absence of a certain functional group (e.g. by chemical analysis): – Alkanes, Alkenes, Alkynes, Alkylhalides, Carboxylic acids,Esters, Ketones, Aldehyde, Amine, Phenols, Ethers, Alcohols etc.
  • 5.
    History of Spectroscopy •The English philosopher Roger Bacon (1214 – 1294) was the first person to recognize that sunlight passing through a glass of water could be split into colours. • Nearly four centuries later, In 1266 Sir Isaac Newton directed a beam of sunlight through a glass prism and noted the light from the Sun was composed of a continuous pattern of rainbow colours (ROYGBIV). • He called this pattern “spectrum”. Newton was not equipped to study the spectrum and was unable to observe the spectrum in more detail. The English philosopher Roger Bacon (1214 – 1294) was the first person to recognize that sunlight passing through a glass of water could be split into colours.
  • 6.
    Continues… • Nearly fourcenturies later, In 1266 Sir Isaac Newton directed a beam of sunlight through a glass prism and noted the light from the Sun was composed of a continuous pattern of rainbow colours (ROYGBIV). • He called this pattern “spectrum”. Newton was not equipped to study the spectrum and was unable to observe the spectrum in more detail.
  • 7.
  • 8.
    Continues…. • In theearly 19th century, Europe was in the midst of the Napoleonic Wars and military needs were driving many technologies, as they have often done before and since. In 1801, the French military government in Bavaria was having a great deal of difficulty making a survey of Napoleon’s new conquests because of the poor quality of the lenses available. Farsighted businessmen bought an abandoned monastery, called Benediktbeuern, near Munich. There they set up a company to improve the quality of glass. • In the early 19th century, Europe was in the midst of the Napoleonic Wars and military needs were driving many technologies, as they have often done before and since. In 1801, the French military government in Bavaria was having a great deal of difficulty making a survey of Napoleon’s new conquests because of the poor quality of the lenses available. Farsighted businessmen bought an abandoned monastery, called Benediktbeuern, near Munich. There they set up a company to improve the quality of glass.
  • 9.
    Continues… • In 1861Bunsen and Kirchhoff performed experiments leading to the conclusion that the dark lines in the solar spectrum, observed by Wollaston and Fraunhofer, arise due to the absorption of light by gases in the solar atmosphere that are cooler than those emitting the light. • Today we know that the atom has a heavy, positively-charged nucleus around which electrons move in specified orbits. When an electron jumps from a higher orbit to a lower one, light is emitted. The energy of the light moving away from the atom is precisely equal to the difference in energy of the electron in the two orbits. When an atom absorbs light, on the other hand, the electron jumps from a lower orbit to a higher orbit, and the energy absorbed from the light is precisely equal to the energy needed to lift the electron up.
  • 10.
    Continues… • Armed withtheir new insight, Kirchhoff and Bunsen displayed the “killer instinct” you would expect from world-class researchers by identifying two new chemical elements: Cesium (from the Latin for “sky blue”) and rubidium (“dark red”) from drops of mineral water. • In the following years many additional elements were identified by their unique spectra. • While chemists were using the newfound ability to analyze spectra to flush out the Periodic Table, young astronomers were not slow in applying the analysis of spectra to the study of the heavens. • Armed with their new insight, Kirchhoff and Bunsen displayed the “killer instinct” you would expect from world-class researchers by identifying two new chemical elements: Cesium (from the Latin for “sky blue”) and rubidium (“dark red”) from drops of mineral water.
  • 11.
    Continues… • In thefollowing years many additional elements were identified by their unique spectra. • While chemists were using the new found ability to analyze spectra to flush out the Periodic Table, young astronomers were not slow in applying the analysis of spectra to the study of the heavens.
  • 12.
    Spectroscopy • Is afundamental tool of scientific study, with applications ranging from materials characterization to medicine. OR is the study of the interaction between radiation and matter as a function of wavelength (λ). • Spectrometers are the instruments used to measure spectra. • Spectra is a band of colours as seen in a rainbow, produced by separation of the components of light by their different degrees of refraction according to wavelength.
  • 13.
    Continues…. • Spectroscopy techniquesare commonly categorized according to the wavelength region used, the nature of the interaction involved, or the type of material studied. • Types of spectroscopic techniques in structure elucidation;- 1. Ultraviolet-Visible (UV/Vis) Spectroscopy 2. Infrared (IR) and Mass Spectrometry 3. Nuclear Magnetic Resonance (NMR) Spectroscopy i.e., • 13 CNMR • 1H NMR
  • 14.
    Continues • Infrared (IR)spectroscopy, which reveals the presence or signals the absence of key functional groups • Ultraviolet-visible (UV-VIS) spectroscopy, which probes the electron distribution, especially in molecules that have conjugated electron systems • Nuclear magnetic resonance (NMR) spectroscopy, which tells us about the carbon skeleton and the environments of the hydrogens’ attached to it
  • 15.
    Continues… • Mass spectrometry(MS), which gives the molecular weight and formula, both of the molecule itself and various structural units within it. • As diverse as these techniques are, all of them are based on the absorption of energy by a molecule, and all measure how a molecule responds to that absorption • In describing these techniques our emphasis will be on their application to structure determination.
  • 16.
    Electromagnetic Radiation • Electromagneticradiation, which is the source of the energy that a molecule absorbs in NMR, IR, and UV- VIS spectroscopy. • Mass spectrometry is unique in that, instead of electromagnetic radiation, its energy source is a stream of charged particles such as electrons. • Electromagnetic radiation (light) exhibits both wave-like properties and particle-like properties.
  • 17.
    Electromagnetic Radiation(ER) • Whenviewed as a wave, ER consists of perpendicular oscillating, electric and magnetic field
  • 18.
    Electromagnetic Radiation(ER) • Thewavelength describes the distance between adjacent peaks of an oscillating field, while the frequency describes the number of wavelengths that pass a particular point in space per unit time. • Accordingly, a long wavelength corresponds with a small frequency, and a short wavelength corresponds with a large frequency.
  • 19.
  • 20.
    Electromagnetic Radiation(ER) • Theparticles are called photons, and each possesses an amount of energy referred to as a quantum. • The range of all possible frequencies is known as the electromagnetic spectrum, which is arbitrarily divided into several regions by wavelength. • Max plank proposed that the energy of a photon (E) is directly proportional to its frequency (ν). E = hv
  • 21.
    Electromagnetic Radiation(ER) • TheSI units of frequency are reciprocal seconds (s-1), given the name hertz and the symbol Hz in honor of the nineteenth-century physicist Heinrich R. Hertz. • The constant of proportionality h is called Planck’s constant and has the value 6.63 x10-34Js
  • 22.
  • 23.
    Continues… • Gamma raysand X-rays are streams of very high energy photons while Radio waves are of relatively low energy. • Ultraviolet radiation is of higher energy than the violet end of visible light. • Infrared radiation is of lower energy than the red end of visible light. • When a molecule is exposed to electromagnetic radiation, it may absorb a photon, increasing its energy by an amount equal to the energy of the photon.
  • 24.
    Continues… • Molecules arehighly selective with respect to the frequencies they absorb, Only photons of certain specific frequencies are absorbed by a molecule. • The particular photon energies absorbed by a molecule depend on molecular structure and are measured with instruments called spectrometers. The data obtained are very sensitive indicators of molecular structure.
  • 25.
    Electromagnetic spectrum 1. Frequencyis inversely proportional to wavelength; the greater the frequency, the shorter the wavelength. 2. Energy is directly proportional to frequency; electromagnetic radiation of higher frequency possesses more energy than radiation of lower frequency
  • 26.
    Some common formsof spectroscopy and their uses
  • 27.
    27 Energy and theElectromagnetic Spectrum • Light: a form of energy described by wave theory and corpuscular theory. • Neither of the two completely accounts for the properties of light. • Our Interest: conveniently served by the wave approach. – Represent light propagation in form of light waves involving electric and magnetic forces = Electromagnetic. • Human can see between λ = 400 nm (violet light) and λ = 800 nm (red light): a very tiny fraction of a continuum of wave-lengths - the Electromagnetic Spectrum (Table below) slide 30.
  • 28.
    28 Wave-like Propagation ofLight • Propagation velocity c = 2.998 x 108 ms-1
  • 29.
    29 RADIATION λ (m)v (Hz) cosmic rays 10-14 1022 gamma rays 10-11 1019 X-rays 10-9 1017 Ultra violet 10-7 1015 Visible 10-6 1014 Infra Red 10-5 – 10-4 1013 - 1012 Microwave 10-3 1011 Radar 10-2 1010 Television 100 108 NMR 10 107 Radio 102 106
  • 30.
  • 31.
    31 Interaction of Energywith matter • Interaction of radiation with matter may lead to absorption of energy and cause excitation. • The intensity of energy absorbed or released can be measured and give information about the absorbing material. • The equation relating the energy change is the Fundamental Principle in Spectroscopy. • A molecule can only absorb a particular frequency, if there exists within the molecule an energy transition of the magnitude ΔE = hv.
  • 32.
    32 Spectroscopy: Fundamental Equation Energy E1 E2 E1 E2 hv E= E2 - E1 = h = hc/ Where, E h = Planck's constant (9.54 x 10-14 kcal.sec.mol-1 )  = frequency (Hz) c = velocity of light (3 x 108 m sec-1 )  = wavelength (m)
  • 33.
    33 Organic Spectroscopy • Weapply the principles of spectroscopy in structure elucidation of organic compounds. • Organic compounds made of different atoms and bonds which vibrate at different frequencies. • Bonds vibrating at different frequencies may lead to absorption of energy of different frequencies which when correlated with references may thus, give an idea about the structure of a molecule. • The Table below gives a summary of the main spectroscopic techniques of interest to Organic chemists and pharmacists.
  • 34.
    34 Spectroscopic Techniques inOrg. Chemistry Radiation absorbed Effect on molecule and information deduced UV-VIS λ, 190-400 nm and 400- 800 nm Changes in electronic levels within the molecule, detection of presence of conjugation. Infra Red λ, 2.5 – 25 nm v, 400 – 4000 cm-1 Changes in vibrational and rotational movements of the molecule, detection of functional groups with specific vibrational frequencies. Microwave v, 9.5 x 109 Hz Electron spin resonance or electron paramagnetic resonance induces changes in magnetic properties of unpaired electrons, detection of free radicals. Radio v, 60-900 MHz Nuclear Magnetic Resonance induces changes in magnetic properties of certain atomic nuclei, hydrogen and carbons in different environments. Electron-beam impact 70 eV, 6000 kJ mol-1 Ionization and fragmentation of molecules into a spectrum of fragment ions, MW and structure
  • 35.
    35 Steps in StructureElucidation • Elemental analysis: – Qualitative – determine the kinds of atoms present. – Quantitative – determine relative amounts of each element in the compound through combustion experiments. • From elemental analysis we determine an empirical formula. • Determine molecular weight/mass by conventional methods or Mass Spectrometry (MS very convenient). • Use Empirical formula and molar mass to determine molecular formula. We will see one example from chapter 5 page 159 later. • Use a combination of spectral analyses (IR, NMR, MS) to arrive at the structure.
  • 36.
    36 Empirical Formula • Atyour own time read on how to determine empirical formula of a given organic compound(s). • Empirical formula is the simplest formula of a compound which shows the ratio of atoms of the constituent elements in the compound. • Molecular mass of a compound can be determined by various methods: 1). Vapour density 2). Colligative properties 3). Titrimetry, whereby unknown MM of an acid can be determined by titration with standard solution of base.
  • 37.
    37 Structural Inform. fromMF? • Molecular formula may suggest a lot about the structure of the unknown eg. CnH2n+2; CnH2n; CnH2n-2. • Determination of Index of Hydrogen Deficiency (IHD) or degree of un-saturation: give a great deal of useful structural information of unknown. IHD = 1. Single DB or a ring. IHD = 4. Most likely an aromatic compound.
  • 38.
    38 Index of HydrogenDeficiency • The Index of Hydrogen Deficiency (IHD), is a count of how many molecules of H2 need to be added to a structure in order to obtain the corresponding saturated compound. • A count of how many rings and multiple bonds are present in the structure. • IHD can also be thought of as indicator of multiple bonds + rings.
  • 39.
    39 Calculation of Degreeof Unsaturation • IHD/DU for a compound with a molecular formula CcHhNnOoXx can be determined using the following equation: • A halogen only forms one bond, it can be treated as if it is hydrogen, so subtract halogens as well. • Oxygen forms two bonds, therefore it has no impact. • Nitrogen forms three bonds. This means for "n" nitrogens, "n" extra hydrogen atoms are needed. DU = C - 0.5 H -0.5 X + 0.5 N + 1 Whereby X stand for halogens
  • 40.
    40 Information from Degreeof Unsaturation (DU) • Index of hydrogen deficiency (IHD) or rings plus double bonds formula is used in organic chemistry to help draw chemical structures. • Used to determine how many rings, double bonds, and triple bonds or a combination of these are present in the compound to be drawn. • It does not give the exact number of rings or double or triple bonds, but rather the sum of the number of rings and double bonds plus the number of triple bonds. • The final structure is verified with the use of NMR, mass spectrometry and IR spectroscopy.
  • 41.
    Mass Spectrometry (MS) •MS It does not depend on the absorption of electromagnetic radiation, but rather examines ions produced from a molecule in the gas phase. • MS is a technique used to determine Molecular weight of a molecule and molecular formula of an organic molecule . This is established by measuring the masses of the fragments produced when molecules are broken apart. • There are several types of MS, but the one used routinely is electron-impact.
  • 42.
    42 MS: Mass Spectrometry •Involves the interaction of charged species with magnetic and/or electric fields, giving rise to a mass spectrum. • The compound to be analyzed is vapourized and subjected to high energy-electron beam. • Impact of bombardment with electron beam: – Ionization (loss of electron) giving positive ions starting with M+.. See page 144 – Breaking of bonds result in ion fragments. • The ions formed are accelerated and passed in a magnetic field where they are separated according to m/z, or m/e analyzed and recorded into a spectrum which has m as a variable.
  • 43.
  • 44.
    44 The Mass Spectrometer •In order to measure the characteristics of individual molecules, a mass spectrometer converts them to ions so that they can be moved about and manipulated by external electric and magnetic fields. • The three essential components and functions of a mass spectrometer are: 1. The Ion Source, is the heart of the spectrometer : A small sample of compound is vaporized into ions, usually to cations by loss of an electron. 2. The Mass Analyzer: The ions are sorted and separated according to their mass charge ratio. 3. The Detector: The separated ions are then detected and counted, and the results are displayed on a chart.
  • 45.
    45 Ionization and IonsManipulation • Because ions are very reactive and short-lived, their formation and manipulation must be conducted in a vacuum. • The pressure under which ions may be handled is roughly 10-5 to 10-8 torr (less than a billionth of an atmosphere). • Ionization is effected by a high energy beam of electrons • Ion separation is achieved by accelerating and focusing the ions in a beam. • The beam is then bent by an external magnetic field. • The ions are then detected electronically and the resulting information is stored and analyzed in a computer.
  • 46.
    46 MS Experiment Fig. 1:Steps in MS generation
  • 47.
    47 Fig. 2: Sketchof major components of MS
  • 48.
    48 Generation of Spectrum •The heart of the spectrometer is the ion source. Sample (black dots) are bombarded by electrons (light blue lines) issuing from a heated filament. This is called an EI (electron-impact) source. • Gases and volatile liquid samples are leaked into the ion source from a reservoir (as shown), but non- volatile solids and liquids may be introduced directly. • Cations formed by the impact (red dots) are pushed away by a charged repellor electrode (anions are attracted to it), and accelerated toward other electrodes, having slits through which the ions pass as a beam. Some of these ions fragment into smaller cations and neutral fragments.
  • 49.
    49 Fig. 3: Generatinga Mass Spectrum
  • 50.
    50 Resolution • Resolution: Abilityof the spectrometer to separate two ions by measuring the depth of the valleys between the ions. • If ions of m/z 999 and m/z 1000 can just be resolved into 2 peaks such that the recorder trace almost reach the baseline (10% of peak height) between peaks – resolution is 1 part per 1000. • High Resolution instrument: CO+; N2 + and C2H4 + can easily differentiated between them as exact masses of 27.9949; 28.0062 and 28.0312, respectively.
  • 51.
    51 • When theion beam experiences a strong magnetic field perpendicular to its direction of motion, the ions are deflected in an arc whose radius is inversely proportional to the mass of the ion. • Lighter ions are deflected more than heavier ions. • By varying the strength of the magnetic field, ions of different mass can be focused progressively on a detector fixed at the end of a curved tube (also under a high vacuum).
  • 52.
    52 • When ahigh energy electron collides with a molecule it often ionizes it by knocking away one of the molecular electrons (either bonding or non- bonding). • This leaves behind a molecular ion (colored red in the following diagram) see page 144. • Residual energy from the collision may cause the molecular ion to fragment into neutral pieces (colored green) and smaller fragment ions (colored pink and orange). • The molecular ion is a radical cation, but the fragment ions may either be radical cations (pink) or carbocations (orange), depending on the nature of the neutral fragment.
  • 53.
    53 Ionization Process M: +e 2e + M M + F* Neutral fragment M + F* Neutral fragment • Impact of bombardment with electron beam: – Ionization (loss of electron) giving positive ions starting with M+. The m/z = molar mass. – Breaking of bonds result in ion-fragments. • Reason: extra energy absorbed - molecule excited.
  • 54.
    54 General Scheme forIonization of Function Groups -e R-O-H R-O-H O -e -e O O R-NH2 R-NH2 -e -e
  • 55.
    55 Ionization Chamber: IonFormation • Molecules react in 2 ways as shown: capture of an electron – radical anion or removal of an electron – radical cation. • The latter is more probable by a factor of 100 thus, we have Positive-ion Mass Spectroscopy. • EI is done with 70eV (6 x 103 kJ/mol) energy for most Org. Molecules. 1. M e M Radicle Anion 2. M -e M + 2e Radical Cation
  • 56.
    MS simplified Diagramas can be seen in page 142
  • 57.
    57 Electron Impact Ionization(EI) • EI requires the sample to be vaporized and therefore solids are introduced on a heatable probe, liquids via a heated septum and bleed valve, and gases through a membrane or a needle valve system. • The vapor is crossed by an energetic electron beam, which has energy between 70 (ev) or 6700 kj/mol. •
  • 58.
    Continues… • When highenergy electron hit organic molecule it removes valence electron and produces a cationic radical page 144. • Because a molecule has a lot of electrons and positive charges due to the above removal it means the molecule has odd number of electrons. RH RH+ + e e -
  • 59.
    Continues • Electron bombardmenttransfers energy of the cation radical after formation. The latter fly into small pieces some as positive and some remain neutral. • The fragments flow through magnetic field and reflected according to their mass/charge ratio (m/e). Also neutral fragments are not reflected, but are lost on the wall of the tube as it can be seen in slide 33 above.
  • 60.
    Cont…… • +ve chargedfragments are sorted by MS onto a detector and recorded as peaks at various (m/e) ratios in which each peak represents an ion having a specific mass-to-charge ratio (m/z or m/e) and the length of the bar indicates the relative abundance of the ion. • Thus, because e or z is equal to 1, this means that m/e = m/1 = m is simply its mass. • Mass spectrum of a compound is presented as bar graph with masses (m/e or m/z) value on the X-axis.
  • 61.
    The Nature ofMass Spectra A mass spectrum will usually be presented as a vertical bar graph, in which each bar represents an ion having a specific mass-to-charge ratio (m/e or m/z) and the length of the bar indicates the relative abundance of the ion. • The most intense ion is assigned an abundance of 100, and it is referred to as the base peak. • The peak corresponding to un-fragmented cation radical is called parent peak or molecular ion (M+). Look at spectrum of propane next slide and page 145.
  • 62.
    Mass spectrum ofPropane(C3H8) MW = 44
  • 63.
    Continues • The spectrumshows molecular ion M+ at m/z = 44 i.e. 30% as high as the base peak. In fact, there are many fragments ions which can be seen.
  • 64.
    INTERPRETING MASS SPECTRA •Note that the valuable information that we can get from mass spectra is Molecular weight. • Through knowing molecular weight it is possible to establish molecular formula see worked examples page 159 and attempt some problems. • It should be noted that not every comp. shows M+ in its mass spectrum. e.g. 2,2- dimethylpropane, fragment so easily such that no M+ is observed see Figure next slide.
  • 65.
  • 66.
    Continues • The abovespectra is obtained when soft ionization methods are used which do not use electron bombardment that can prevent or minimize fragmentation. • For example, the mass spectrum of unknown compound shows M+ at m/z = 110 • It is likely to have the following molecular formula such as C8H14, C7H10O,
  • 67.
    Continues • C6H6O2 orC6H10N2. Often there are possible molecular formulas for all, but the lowest Mwt and computer can be generated a number of choices. • If you can recall the spectrum of Propane in previous slides you will note that M+ is not at the highest m/z value. There is a small peak at M + 1 due to presence of different isotopes in the molecule.
  • 68.
    Continues • Despite 12Cbeing the most abundant isotope, it also contains 1.1% of 13C isotope. Thus, certain % of the molecules analyzed in MS are likely to contain 13C atom giving rise to observed M + 1 peak. • Also 2H (deterium; 0.0015% natural abundance, is present and more contributions to M + 1 peak.
  • 69.
    Continues • Each organiccompound fragments are unique in mass Spectrum thus, serves as molecular finger print too. • Also structural information of a molecule can be obtained through interpreting its fragmentation pattern. • Fragmentation occurs when high energy cation radical flies apart by spontaneous cleavage of chemical bond..
  • 70.
    Continues • One ofthe fragment retains +ve charge and is cabocation, while the other fragment is a neutral radical. • Often +ve charge remains with the fragment that is best stabilize it. This means, that relatively stabilized cabocation is usually formed during fragmentation.
  • 71.
    Continues • For example,2,2-dimethyl-propane form a fragment where +ve remain with tert-butyl group. Thus, it forms a base peak at m/z = 57, corresponding to C4H9+ see next slide • Note that it is rarely possible to explain the origin of all the fragment ions in a spectrum. Thus, the structure of most fragment ions is seldom known with certainty.
  • 72.
  • 73.
    Continues • It shouldbe noted that most of organic compounds form fragment in different ways as mass spectrum of hexane shows below C CH3 CH3 CH3 H3C C CH3 CH3 H3C CH3 + m/z= 57
  • 74.
    Continues • As wehave seen mass fragmentation is complex, it is usually difficulty to assign definite structures to fragment ions e.g., hexane spectra shows abundant M+ at m/z = 86 and fragment ions at m/z = 71, 57, 43, and 29. • C-C bonds of hexane are electronically similar and break to a similar extent, giving rise to the observed ions.
  • 75.
    Continues • m/z =71 due to the lose of methyl radical; • m/z = 57 due to lose of ethyl radical. • m/z = 43 due to lose of isopropyl radical. • This means using experience one can make use of fragmentation pattern of unknown compound and work backward to look for the real structure compatible to the data given.
  • 76.
  • 77.
    Continues • Question • Youhave unlabeled samples A and B, one is methylcyclohexane and the other is ethylcyclopentane. How could you use mass spectra to distinguish the two compounds? • Given the mass spectra of both compounds in next slide.
  • 78.
  • 79.
    79 Mass Spectrum ofMethylbenzene • Molecular ion peak at m/z = 92. • BASE peak at m/z = 91 • Peak at m/z = 93 [M+ with 13C] • Peak at m/z = 65 [92 – 27 [CH2=CH]+ = [C5H5]+
  • 80.
  • 81.
    81 Mass spectra ofcarbon dioxide, propane and cyclopropane • The molecules of these compounds are similar in size, CO2 and C3H8 both have a nominal mass of 44 amu, and C3H6 has a mass of 42 amu. The molecular ion is the strongest ion in the spectra of CO2 and C3H6, and it is moderately strong in propane.
  • 82.
    82 Fragmentation of CarbonDioxide CO2 • CO2 almost un-fragmented due to stability. Molecular ion is also the Base Peak, and the only fragment ions are CO (m/z = 28) and O (m/z =16).
  • 83.
    83 Fragmentation of Propane •The molecular ion of propane also has m/z = 44, but it is not the most abundant ion in the spectrum. • Cleavage of a carbon-carbon bond gives methyl and ethyl fragments, one of which is a carbocation and the other is a radical.
  • 84.
    • A similarbond cleavage in cyclopropane does not give two fragments, so the molecular ion is stronger than in propane, and it is in fact responsible for the base peak. • Loss of a hydrogen atom, either before or after ring opening, produces the stable allyl cation (m/z = 41). • The third strongest ion in the spectrum has m/z = 39 (C3H3). • Its structure is uncertain, but two possibilities are shown in the diagram.
  • 85.
    Continues…….. • How canyou distinguish propane from cyclopropane based on their respective mass spectrum? • The small m/z = 39 ion in propane and the absence of a m/z = 29 ion in cyclopropane are particularly significant in distinguishing these hydrocarbons.
  • 86.
    86 Radical Cation • Moststable organic compounds have an even number of total electrons (An orbital can be occupied by an electron pair - Hund’s Rule?). • When a single electron is removed from a molecule to give a radical cation, the total electron count becomes an odd number. • The molecular ion in a mass spectrum is always a radical cation. • Fragment ions may either be even-electron cations or odd-electron radical cations, depending on the neutral fragment lost.
  • 87.
    87 • The simplestand most common fragmentations are bond cleavages producing a neutral radical (odd number of electrons) and a cation having an even number of electrons. • A less common fragmentation, in which an even- electron neutral fragment is lost, produces an odd- electron radical cation fragment ion. • Fragment ions themselves may fragment further. As a rule, odd-electron ions may fragment either to odd or even-electron ions, but even- electron ions fragment only to other even- electron ions. • The masses of molecular and fragment ions also reflect the electron count, depending on the number of nitrogen atoms in the species.
  • 88.
    Continues….. • This distinctionis illustrated nicely by the following two examples. • The unsaturated ketone, 4-methyl-3-pentene-2- one, on the left has no nitrogen so the mass of the molecular ion (m/z = 98) is an even number. • Most of the fragment ions have odd-numbered masses, and therefore are even-electron cations. See next slide
  • 89.
  • 90.
  • 91.
    Continues… • Diethylmethylamine, onthe other hand, has one nitrogen and its molecular mass (m/z = 87) is an odd number. • A majority of the fragment ions have even- numbered masses (ions at m/z = 30, 42, 56 & 58 are not labelled), and are even-electron nitrogen cations. • The weak even-electron ions at m/z=15 and 29 are due to methyl and ethyl cations (no nitrogen atoms).
  • 92.
    Continues….. • When non-bondedelectron pairs are present in a molecule (e.g. on N or O), fragmentation pathways may sometimes be explained by assuming the missing electron is partially localized on that atom.
  • 93.
    Continues….. • Isotopes Since amass spectrometer separates and detects ions of slightly different masses, it easily distinguishes different isotopes of a given element. • This is manifested most dramatically for compounds containing bromine and chlorine, as illustrated by the following examples below.
  • 94.
    94 Isotopes and MS •This is manifested most dramatically for compounds containing bromine and chlorine. • Chlorine: 75.77% 35Cl and 24.23% 37Cl Bromine: 50.50% 79Br and 49.50% 81Br
  • 95.
    95 MS of Br2 •Natural bromine is a nearly 50:50 mixture of isotopes having atomic masses of 79 and 81 amu respectively. • The molecule may be composed of two 79Br atoms (mass 158 amu), two 81Br atoms (mass 162 amu) or the more probable combination of 79Br-81Br (mass 160 amu). Fragmentation of Br2 to a bromine cation then gives rise to equal sized ion peaks at 79 and 81 amu.
  • 96.
    Continues.. • Two othercommon elements having useful isotope signatures are carbon, 13C is 1.1% natural abundance, and sulfur, 33S and 34S are 0.76% and 4.22% natural abundance respectively. • For example, the small m/z = 99 peak in the spectrum of 4-methyl-3-pentene-2-one is due to the presence of a single 13C atom in the molecular ion slide 89.
  • 97.
    97 Application of Isotopesin MS • The presence of chlorine or bromine in a molecule or ion is easily detected by noticing the intensity ratios of ions differing by 2 amu. • In the case of methylene chloride, the molecular ion consists of three peaks at m/z = 84, 86 & 88 amu, and their diminishing intensities may be calculated from the natural abundances given above. • Loss of a chlorine atom gives two isotopic fragment ions at m/z = 49 & 51amu, clearly incorporating a single chlorine atom. You can easily go through slides No. slide 94-95 yourself.
  • 98.
    98 Fragmentation Patterns • Thefragmentation of molecular ions into an assortment of fragment ions is a mixed blessing. • The nature of the fragments often provides a clue to the molecular structure, but M+ have to survive (a few microseconds) long enough to be observed. • If M+ is not observed it is very difficult to interpret MS without reference. • Most organic compounds give M+. It is also possible to change the ionization method.
  • 99.
    99 Fragmentation Patterns cont’ •Simple organic compounds: –Most stable molecular ions are those from aromatic rings, other conjugated pi- electron systems and cycloalkanes. –Alcohols, ethers and highly branched alkanes generally show the greatest tendency toward fragmentation.
  • 100.
  • 101.
    101 • The massspectrum of dodecane illustrates the behavior of an unbranched alkane. • No heteroatoms in the molecule, there are no non-bonding valence shell electrons - the radical cation character of the molecular ion (m/z = 170) is delocalized over all the covalent bonds. • Fragmentation of C-C bonds occurs because they are usually weaker than C-H bonds, and this produces a mixture of alkyl radicals and alkyl carbocations.
  • 102.
    102 Functional Groups • Thepresence of a functional group, particularly one having a heteroatom Y with non-bonding valence electrons (Y = N, O, S, X etc.), can dramatically alter the fragmentation pattern of a compound. • This influence is thought to occur because of a "localization" of the radical cation component of the molecular ion on the heteroatom. • It is easier to remove a non-bonding electron than one that is part of a covalent bond. • By localizing the reactive moiety (part of molecule), certain fragmentation processes will be favored (summary in Fig. next slide).
  • 103.
    103 Fragmentation of M+with Hetero Functional Groups Molecular ions [M ] R-Cl R-O-R' R-N R' R' or or or C=O R R 1. C-Y Cleavage C H R Y H C H R Y H + 2. -Y Cleavage C R Y + C Y R C R Y C H C R Y C H + 3. -Y Cleavage
  • 104.
    Continues • Note thatcompounds with specific functional groups for example, alcohol, ketone aldehyde, amine etc have specific mass spectra fragmentation that can be interpreted to provide structural formula. • Both ketones and aldehydes with a hydrogen on a third carbon atoms away from the carbonyl group undergo mass-spectral cleavage called next slide
  • 105.
    Continuous • McLafferty rearrangement.The hydrogen atom is transferred to the carbonyl oxygen, a C-C bond is broken, and a neutral alkene fragment is formed. The charge remains with the oxygen- containing fragment see slide number 108.
  • 106.
    106 McLafferty Rearrangement • Fragmentationby bond rearrangement to form smaller fragments. • For McLafferty rearrangement to take place the molecule must possess – a Hetero atom (commonly O), – a π system (usually a double bond) and – an Abstractable H gama (γ) to the C=O. • McLafferty rearrangement give important characteristic peaks which are useful in structure elecudation or interpretation. • The electron movements are made by arrows or double sided arrows alrtenatively fishhook arrows are used see chapter 3 page 47-51
  • 107.
    107 Rearangement Mechanisms • Theodd-electron fragment ions at m/z = 86 and 58 are the result of a McLafferty rearrangement, involving the larger alkyl chain, and a subsequent loss of ethene (the "double-McLafferty" rearrangement). • Alpha-cleavage leads to the m/z = 99, 71 and 43 ions. The charge is apparently distributed over both fragments.
  • 108.
  • 109.
    109 Rearrangement in Esters •Alpha-cleavage gives ions at m/z = 57 & 85 amu. The McLafferty rearrangement on the acid side generates a m/z = 116 ion. Subsequent rearrangement on the alcohol side generates m/z = 60 and 56 ions. The m/z = 103 ion is probably [C4H9CO2H2]+.
  • 110.
  • 111.
    111 • The molecularion (m/z = 114 amu) is not observed under electron impact ionization conditions. The highest mass ion (m/z = 85) is due to an alpha- cleavage of ethyl; the other alpha-cleavage generates m/z = 59. The rearrangement cleavage shown here generates the m/z = 56 ion.
  • 112.
    Continues • Also alcoholforms fragments in MS through two pathways (i) alpha cleavage and (ii) dehydration. • In alpha cleavage, a C-C bond nearest the OH is broken, which results in neutral radical and charged oxygen containing fragment.
  • 113.
  • 114.
    Continues • In dehydrationof alcohol , water is eliminated followed by the formation of alkene radical cation with a mass of 18 unit less than M+. C H C H R OH H H C H H C + H2O H H Dehydration
  • 115.
    Continuous • Amines • Aliphaticamines undergo alpha cleavage in MS similar to alcohol. A C-C nearest to the nitrogen atom is broken, yielding an alkyl radical and a nitrogen containing cation. C H C H R OH H NR2  C H H NR2 + RCH2
  • 116.
    General Summary ofFragmentation Patterns of alkane, alkene and amine • After subjecting a molecule to high energy electrons often breaks the molecule into fragments, commonly a cation and a radical. – Bonds break to give the most stable cation. – Stability of the radical is less important. •
  • 117.
    Alkanes – Fragmentation oftensplits off simple alkyl groups: • Loss of methyl M+ - 15 • Loss of ethyl M+ - 29 • Loss of propyl or iso-propy M+ - 43 • Loss of butyl M+ - 57 – Branched alkanes tend to fragment forming the most stable carbocations. Go through slide 95-103.
  • 118.
    Fragmentation continues……. • Massspectrum of 2-methylpentane
  • 119.
    Fragmentation of Alkenes •Alkenes: – Fragmentation typically forms resonance stabilized allylic carbocations
  • 120.
    Fragmentation of Amines –Odd M+ (assuming an odd number of nitrogens are present)  -cleavage dominates forming an iminium ion
  • 121.
    121 Continues • Note ifyou are to establish the fragmentation patterns, you will have to do the following. • Identify M+, and the functional group in the molecule. Think of expected fragments, and make comparison of the masses of the resultant fragments with the peaks present in the given spectrum.
  • 122.
    Possible Molecular Formula •Practice • List down possible formulas of molecule M+ = 100, assume that the molecule contains C, H, and O. • Solution 1. divide Mwt. of a molecule by 12 to fix maximum number of C. 2. Each carbon is equivalent to 12 H.
  • 123.
    Continues 3. 1 Ccan be replace by 12 H, which can provide another possible formula. 4. If the formula contains Oxygen, it can be calculate by knowing that 1 Oxy = CH4 M+/12 = 100/12 = 8 remaining 4 suggests the formula is C8H4 Replacement of 1C = 12 H Possible formula is C7H16
  • 124.
    Continues • Also inC7H16 you can replace CH4 by O and reduce that formula into C7O, which is not likely. • When similar approach is used for C7H16 will change into C6H12O which is a possible structure. • Upon starting with C6H12O you can also replace CH4 by O which results to C5H8O2.
  • 125.
    Continueous • Upon repeatingthe third time you will obtain the following C5H4O3. This means there are five likely formulas that can be distinguished by double-focusing instrument. • Question for you? • Write as many formula as you can for the compound with M+ = 86 assume the compound contains C, H, and O may or may not be present.
  • 126.
    126 Important Informations READ INDETAILS THE FOLLOWING! Basic Fragmentation Types and Rules. Factors Influencing Fragmentations Fragmentations associated with Functional groups.
  • 127.
    Infra Red Spectroscopy •Introduction Our eyes can see just a small part of a broad spectrum of electromagnetic radiation. • On the immediate high energy side of the visible spectrum lies the ultraviolet, and on the low energy side is the infrared, which is divided into near, mid and far. • The portion of the infrared region most useful for analysis of organic compounds is not immediately adjacent to the visible spectrum, but is that having a wavelength range from 2,500 to 16,000 nm, with a corresponding frequency range from 1.9 x 1013 to 1.2 x 1014 Hz.
  • 128.
    Infrared Spectroscopy Instrument UVVisible NIR Mid IR Far IR 10-4 10-4 10-6 10-7 m
  • 129.
    129 Continues……. • Background – Ingeneral infrared region of the electromagnetic spectrum extends from 14,000 cm-1 to 10 cm-1. – The region of most interest for chemical analysis is the mid-infrared region (4,000 cm-1 to 400 cm-1) which corresponds to changes in vibrational energies within molecules. – The far infrared region (400 cm-1 to 10 cm-1) is useful for molecules containing heavy atoms such as inorganic compounds, but requires rather specialized experimental techniques. Not useful to Organic chemistry.
  • 130.
    Continues… • In recentyears, the range of 800-2500 nm has also been used in pharmaceutical analysis, This region is called the near infrared region (NIR) and is utilized in NIR spectroscopy, IR spectra show more detailed absorption bands than UV spectra of the same compound. This technique enable one to obtain a complete picture of the organic composition of the analyte or analyzed material. • NIR spectroscopy is a rapid technique which allows many properties of the sample to be measured once an appropriate calibration against a direct method has been established.
  • 131.
    Continues…. • Additionally, NIRspectroscopy is based on light absorption of chemical components in the sample, a connection between one of theses components and the property to be measured must exist. This property to be measured must be a physical characteristic of the sample or mass concentration of a compound or group of the compound in the sample. Water is one these compounds which can be analyzed by NIR spectroscopy. While FTR IR (mid-IR is between 4000 to 400 cm NIR is between 12,500 to 4000 cm). • NIR light absorption is like that of mid-ifrared, which is based on vibration of the material.
  • 132.
    Continues….. • Also Near-infraredlight absorption is much weaker in intensity as compared with mid-infrared light absorption. Thus, measurement of samples of samples showing weak absorption is difficult, but the fact that sample can be measured without being diluted is an advantageous feature. Furthermore, as solvent themselves show weak absorption, aqueous solutions are also relatively easy to measure. • Typicall NIR spectroscopy method application include medical and physiological diagnostics and research including blood sugar, functional neuro-imaging, pharmaceutical, food and agrochemical control, atmopheric chemistry
  • 133.
    Basic principles ofIR spectroscopy
  • 134.
    Continues… hereuner shoudbe multiplied by 100 not 100%
  • 135.
    Continues….. • High wavenumbers correspond to low wavelengths and low wave numbers correspond to higher wavelengths. • Wave numbers are usually expressed as cm-1, and the most common spectral range is the wavelength region between 2500 and 15 000 nm corresponding to wave numbers between 4000 and 670 cm-1.
  • 136.
  • 137.
    Continues…… • The frequencyscale at the bottom of the chart is given in units of reciprocal centimeters (cm-1) rather than Hz, because the numbers are more manageable. • Wavelength units are in micrometers, microns (μ), instead of nanometers for the same reason.
  • 138.
    Prefi x Symbol Factor Numerical ly Name terra T1012 1 000 000 000 000 trillion giga G 109 1 000 000 000 billion mega M 106 1 000 000 million kilo k 103 1 000 thousand centi c 10-2 0.01 hundredth milli m 10-3 0.001 thousandth micro μ 10-6 0.000 001 millionth nano n 10-9 0.000 000 001 Billionth pico p 10-12 0.000 000 000 001 Trillionth
  • 139.
    Continues……. • Photon energiesassociated with this part of the infrared (from 1 to 15 kcal/mole) are not large enough to excite electrons, but may induce vibrational excitation of covalently bonded atoms and groups. • The covalent bonds in molecules are not rigid sticks or rods, such as found in molecular model kits, but are more like stiff springs that can be stretched and bent.
  • 140.
    Continues……. • The mobilenature of organic molecules can be perceived in the chapter concerning conformational isomers. We must now recognize that, in addition to the facile rotation of groups about single bonds, molecules experience a wide variety of vibrational motions, characteristic of their component atoms. • Consequently, virtually all organic compounds will absorb infrared radiation that corresponds in energy to these vibrations. • Infrared spectrometer, is similar in principle to the UV-Visible spectrometer, permit chemists to obtain absorption spectra of compounds that are a unique reflection of their molecular structure.
  • 141.
    Continues…….. • Infrared spectramay be obtained from samples in all phases (liquid, solid and gaseous). • Liquids are usually examined as a thin film sandwiched between two polished salt plates (note that glass absorbs infrared radiation, whereas NaCl is transparent. • If solvents are used to dissolve solids, care must be taken to avoid obscuring important spectral regions by solvent absorption.
  • 142.
    Continues….. • Perchlorinated solventssuch as carbon tetrachloride, chloroform and tetrachloroethene are commonly used. • Alternatively, solids may either be incorporated in a thin KBr disk, prepared under high pressure, or mixed with a little non-volatile liquid and ground to a paste (or mull) that is smeared between salt plates.
  • 143.
    IR Spectrometer • Inan IR spectrometer, a sample is irradiated with frequencies of IR radiation, the frequencies that match the vibrational frequencies are absorbed and the frequencies that pass through (that are not absorbed by the sample) are detected. • A plot is then constructed showing which frequencies were absorbed by the sample. • The most commonly used type of spectrometer, called a Fourier transform (FT-IR) spectrometer,
  • 144.
    IR Peak Positions,Intensities & Widths The peak position of an IR absorption is given by the following equation: The only two variables in the above equation are the chemical bond's force constant (k) and reduced mass (μ). See page137
  • 145.
    Bond C-H Stretchin cm-1 C-1H ~3000 C-2D ~2120 The reduced masses of C-1H and C-2D are different, but their force constants are the same. By simply doubling the mass of the hydrogen atom, the carbon-hydrogen stretching vibration is reduced by over 800 cm-1. Bond C-H Stretch in cm-1 C-H ~3000 O=C-H ~2750
  • 146.
    Continues……. • When ahydrogen is attached to a carbon with a C=O bond, the C-H stretch band position decreases to ~2750 cm-1. • These two C-H bonds have the same reduced mass, but different force constants. The oxygen in the second molecule pulls electron density away from the C-H bond so it weakens and reduces the C-H force constant. • This causes the C-H stretching vibration to be reduced by ~250 cm-1.
  • 147.
    Continues…. • Vibrations thatsatisfy this equation: are said to be infrared active. The H-Cl stretch of hydrogen chloride and the asymmetric stretch of CO2 are examples of infrared active vibrations. Infrared active vibrations cause the bands seen in an infrared spectrum. • The 2nd necessary condition for infrared absorbance is that the energy of the light impinging on a molecule must equal a vibrational energy level difference within the molecule. This condition can be summarized in equation form as follows:
  • 148.
    Continues….. • Vibrational modesare often given descriptive names, such as stretching, bending, scissoring, rocking and twisting. • The Symmetric Stretch (Example shown is an H2O molecule at 3685 cm-1) • The Asymmetric Stretch (Example shown is an H2O molecule at 3506 cm-1) • Bend (Example shown is an H2O molecule at 1885 cm-1) • These are followed by CO2 and methylene examples
  • 149.
  • 152.
    Continues……. • Different stretchingand bending vibrations can be visualized by considering the CH2 group in hydrocarbons. The arrows indicate the direction of motion. The stretching motions require more energy than the bending ones. • • Note the high wavenumber (high energy) required to produce these motions.
  • 153.
    Continues…. • The bendingmotions are sometimes described as wagging or scissoring motions. • You can see that the lower wavenumber values are consistent with lower energy to cause these vibrations.
  • 154.
    Vibrational Spectroscopy • Whena molecule absorbs infrared radiation, its chemical bonds vibrate. The bonds can stretch, contract, and bend. • The first necessary condition for a molecule to absorb infrared light is that the molecule must have a vibration during which the change in dipole moment with respect to distance is non-zero see page .condition can be summarized in equation form as follows:
  • 155.
    Continues……. • Each moleculeabsorbs a unique set of IR light frequencies, its IR spectrum is often likened to a person's fingerprints. • These frequencies match the natural vibrational modes of the molecule, a molecule absorbs only those frequencies of IR light that match vibrations that cause a change in the dipole moment of the molecule. • Bonds in symmetric N2 and H2 molecules do not absorb IR because stretching does not change the dipole moment, and bending cannot occur with only 2 atoms in the molecule. • Any individual bond in an organic molecule with symmetric structures and identical groups at each end of the bond will not absorb in the IR range.
  • 156.
    Continues…… • For example,in CH3CH3, the bond between the carbon atoms does not absorb IR because there is a methyl group at each end of the bond. The C-H bonds within the methyl groups do absorb. • In a complicated molecule many fundamental vibrations are possible, but not all are observed. Some motions do not change the dipole moment for the molecule; some are so much alike that they combine into one band. • Even though an IR spectrum is characteristic for an entire molecule, there are certain groups of atoms in a molecule that give rise to absorption bands at or near the same wavenumber, , (frequency) regardless of the rest of the structure of the molecule.
  • 157.
    Continues…… • These persistentcharacteristic bands enable you to identify major structural features of the molecule after a quick inspection of the spectrum and the use of a correlation table. The correlation table is a listing of functional groups and their characteristic absorption frequencies, look at page 197. • The infrared spectrum for a molecule is a graphical display. It shows the frequencies of IR radiation absorbed and the % of the incident light that passes through the molecule without being absorbed. The spectrum has two regions. The fingerprint region is unique for a molecule and the functional group (diagnostic) region is similar for molecules with the same functional groups.
  • 158.
  • 159.
    Continues…… • The nonlinearhorizontal axis has units of wavenumbers. Each wavenumber value matches a particular frequency of infrared light. The vertical axis shows % transmitted light. At each frequency the % transmitted light is 100% for light that passes through the molecule with no interactions; it has a low value when the IR radiation interacts and excites the vibrations in the molecule. • A portion of the spectrum where % transmittance drops to a low value then rises back to near 100% is called a "band". A band is associated with a particular vibration within the molecule.
  • 160.
    Continues….. • The widthof a band is described as broad or narrow based on how large a range of frequencies it covers. The efficiencies for the different vibrations determine how "intense" or strong the absorption bands are. A band is described as strong, medium, or weak depending on its depth. • In the hexane spectrum below the band for the C-H stretch is strong and that for the C-H bend is medium. • The alkane, hexane (C6H14) gives an IR spectrum that has relatively few bands because there are only C-H bonds that can stretch or bend. There are bands for C-H stretches at about 3000 cm-1. The CH2 bend band appears at approximately 1450 cm-1 and the CH3 bend at about 1400 cm-1. The spectrum also shows that shapes of bands can differ.
  • 161.
  • 162.
    Procedure for interpretingIR Spectra • Every molecule will have its own characteristic spectrum. The bands that appear depend on the types of bonds and the structure of the molecule. Study the sample spectra, noting similarities and differences, and relate these to structure and bonding within the molecules. • Some General Trends: i. Stretching frequencies are higher than corresponding bending frequencies. (It is easier to bend a bond than to stretch or compress it.). ii. Bonds to hydrogen have higher stretching frequencies than those to heavier atoms.
  • 163.
    Continues…… iii. Triple bondshave higher stretching frequencies than corresponding double bonds, which in turn have higher frequencies than single bonds. (Except for bonds to hydrogen). • Absorption bands associated with C=O bond stretching are usually very strong because a large change in the dipole takes place in that mode. • Since most organic compounds have C-H bonds, a useful rule is that absorption in the 2850 to 3000 cm-1 is due to sp3 C-H stretching; whereas, absorption above 3000 cm-1 is from sp2 C-H stretching or sp C-H stretching if it is near 3300 cm-1.
  • 164.
    164 Use of theIR Spectroscopy Technique • It is rarely, if ever, possible to identify an unknown compound by using Infra Red (IR) spectroscopy alone. • Its principal strengths are: (i) it is a quick and relatively cheap spectroscopic technique, (ii) it is useful for identifying certain functional groups in molecules, and (iii) an IR spectrum of a given compound is unique and can therefore serve as a fingerprint for this compound.
  • 165.
    Number of VibrationalModes in a Molecule • The Heisenberg uncertainty principle argues that all atoms in a molecule are constantly in motion (otherwise we would know position and momentum accurately). • For molecules, they exhibit three general types of motions: 1. Translations (external) 2. Rotations (internal) 3. Vibrations (internal) 4. A diatomic molecule contains only a single motion while polyatomic molecules exhibit more complex vibrations, known as normal modes. 5. Diatomic molecules are observed in the Raman spectra but not in the IR spectra.
  • 166.
    Continues….. • This isdue to the fact that diatomic molecules have one band and no permanent dipole and therefore one single vibration. e.g. O2 or N2. • However, unsymmetric diatomic molecules (CN, CH) do absorb in the IR spectra. • Polyatomic molecules undergo more complex vibrations that can be summed or resolved into normal modes of vibration • The normal modes of vibration are: asymmetric, symmetric, wagging, twisting, scissoring, and rocking for polyatomic molecules as we have seen in slide 125 to 126 above.
  • 167.
    Calculate Number ofVibrational Modes • Degree of freedom is the number of variables required to describe the motion of a particle completely. • For an atom moving in 3-dimensional space, three coordinates are adequate so its degree of freedom is three, its motion is purely translational. • If we have a molecule made of N atoms (or ions), the degree of freedom becomes 3N, because each atom has 3 degrees of freedom. • Furthermore, since these atoms are bonded together, all motions are not translational; some become rotational, some others vibration.
  • 168.
    Continues…. • For non-linearmolecules, all rotational motions can be described in terms of rotations around 3 axes, the rotational degree of freedom is 3 and the remaining 3N-6 degrees of freedom constitute vibrational motion. • For a linear molecule however, rotation around its own axis is not rotation because it leaves the molecule unchanged. • So there are only 2 rotational degrees of freedom for any linear molecule leaving 3N-5 degrees of freedom for vibration.
  • 169.
    Continues…… • The degreesof vibrational modes for linear molecules can be calculated using the formula: • 3n-5……..(i) • The degrees of freedom for nonlinear molecules can be calculated using the formula: 3n-6………….(ii) • n is equal to the number of atoms within the molecule of interest.
  • 170.
    Continues…… • The followingprocedure should be followed when trying to calculate the number of vibrational modes: 1. Determine if the molecule is linear or nonlinear (i.e. Draw out molecule using VSEPR). If linear, use equation (i) & if nonlinear, use equation (ii). 2. Calculate how many atoms are in your molecule, this is your n value. 3. Plug in your n value & solve.
  • 171.
    Examples • How manyvibrational modes are there in the CO2 molecule? • Answer: Lewis structure • There are a total of 3 atoms in this molecule, it’s a linear molecule so equation (i) is used 3n-5 3(3) - 5 = 4 • We have 4 vibrational modes in CO2
  • 172.
    Questions • 1. WouldCO2 & SO2 have a different number for degrees of vibrational freedom? • 2. How many vibrational modes are there in the tetrahedral CH4 molecule? • 3. How many vibrational modes are there in the nonlinear C60 molecule? • 4. How many vibrational modes are in HCOH methanal?
  • 173.
    General Procedure forInterpreting IR Spectra • Every molecule will have its own characteristic spectrum. The bands that appear depend on the types of bonds and the structure of the molecule. Study the sample spectra, noting similarities and differences, and relate these to structure and bonding within the molecules. • Some General Trends: i. Stretching frequencies are higher than corresponding bending frequencies. (It is easier to bend a bond than to stretch or compress it.)
  • 174.
    Continues…… ii. Bonds tohydrogen have higher stretching frequencies than those to heavier atoms. iii. Triple bonds have higher stretching frequencies than corresponding double bonds, which in turn have higher frequencies than single bonds. (Except for bonds to hydrogen). • Absorption bands associated with C=O bond stretching are usually very strong because a large change in the dipole takes place in that mode. • Since most organic compounds have C-H bonds, a useful rule is that absorption in the 2850 to 3000 cm-1 is due to sp3 C-H stretching; whereas, absorption above 3000 cm-1 is from sp2 C-H stretching or sp C-H stretching if it is near 3300 cm-1.
  • 175.
    Interpretation of InfraredSpectra • IR Spectroscopy is an extremely effective method for determining the presence or absence of a wide variety of functional groups in a molecule. • One way to begin analyzing an IR spectrum is to start at the high wavenumber end of the spectrum (typically 4000 cm-1) and look for the presence and absence of characteristic absorptions as you move toward lower wavenumbers. • Some of the most common, and distinctive, absorptions are organized into several regions below. This is the type of analysis that you should be able to do without consulting notes. If necessary, a more detailed analysis could then be attempted by consulting a text on IR interpretation.
  • 176.
    Important Regions ofthe IR Spectrum 3600- 3300 cm-1 Alcohol O-H Amine or Amide N- H Alkyne C-H The alcohol OH stretch is usually a broad and strong absorption near 3400. The NH stretch is typically not as broad or strong as the OH, and in the case of an NH2 it may appear as two peaks. The terminal alkyne C-H may be confirmed by a weak CC triple bond stretch near 2150 cm-1 3300- 2500 cm-1 Acid O-H This is normally a very broad signal centered near 3000 cm-1. 3200-3000 cm-1 Aromatic (sp2) =C- H Alkene (sp2) =C-H The aromatic CH's usually appear as a number of weak absorptions, while the alkene C-H is one or a couple stronger absorptions. 3000- 2800 cm-1 Alkyl (sp3) C-H Almost all organic compounds have alkyl CH's so this is not usually too informative. However, the intensity of these peaks relative to other peaks gives a hint as to the size of the alkyl group. 2850 and Two medium intensity peaks on the right hand 3600-2700 cm-1: X-H stretch region
  • 177.
    Important Regions ofthe IR Spectrum 2260- 2210 cm-1 Nitrile CN A sharp, medium intensity peak. Carbon Dioxide in the atmosphere may also result in an absorption in this area if not subtracted out. 2260- 2100 cm-1 Alkyne CC This peak's intensity varies from medium to nothing. Since the intensity is related to the change in dipole moment, symmetrical alkynes will show little or no absorption here! 2300-2100cm-1 CX region
  • 178.
    Aromatics • The =C–Hstretch in aromatics is observed at 3100-3000 cm-1. Note that this is at slightly higher frequency than is the –C–H stretch in alkanes. • This is a very useful tool for interpreting IR spectra: Only alkenes and aromatics show a C–H stretch slightly higher than 3000 cm-1. Compounds that do not have a C=C bond show C–H stretches only below 3000 cm-1. • Aromatic hydrocarbons show absorptions in the regions 1600-1585 cm-1 and 1500-1400 cm-1 due to carbon- carbon stretching vibrations in the aromatic ring.
  • 179.
    Continues….. • Bands inthe region 1250-1000 cm-1 are due to C–H in- plane bending, although these bands are too weak to be observed in most aromatic compounds. • Besides the C–H stretch above 3000 cm-1, two other regions of the infrared spectra of aromatics distinguish aromatics from organic compounds that do not have an aromatic ring: • 2000-1665 cm-1 (weak bands known as "overtones") • 900-675 cm-1 (out-of-plane)
  • 180.
    Examples of IRSpectra • The alkane C6H14 has only C–C single bonds & sp3 hybridized C atoms. Therefore, it has only one major absorption above 1500 cm-1, its Csp3 – H absorption at 3000–2850 cm-1
  • 181.
    Continues….. • The alkeneC6H12 has a C=C and Csp2–H, in addition to its sp3 hybridized C atoms. Therefore, there are three major absorptions above 1500 cm-1 :Csp2–H at 3150–3000cm-1, Csp3–H at 3000–2850cm-1, C=C at 1650cm-1
  • 182.
    Continues…… • The alkyneC6H10 has a CC and Csp– H, in addition to its sp3 hybridized C atoms. Therefore, there are three major absorptions above 1500 cm-1 : Csp–H at 3300 cm-1, Csp3–H at 3000–2850cm-1, CC at ~2250 cm-1.
  • 183.
    IR Spectra ofOxygen containing compounds • The most important IR absorptions for oxygen-containing compounds occur at 3600–3200 cm-1 for an OH group, and at approximately 1700 cm-1 for a C=O. • The peak at ~3000 cm-1 in their spectrum is due to Csp3– H bonds can be observed. • Look example below, IR spectrum for the alcohol, ethanol (CH3CH2OH), which is more complicated.
  • 184.
    Continues…. • It hasa C-H stretch, an O-H stretch, a C-O stretch and various bending vibrations. The important point to learn here is that no matter what alcohol molecule you deal with, the O-H stretch will appear as a broad band (strong absorption) at approximately 3200-3600 cm-1. Likewise the CH stretch still appears at about 3000 cm-1.
  • 185.
    Continues……. • The spectrumfor the aldehyde, octanal (CH3(CH2)6CHO), is shown here. The most important features of the spectrum are carbonyl C=O stretch near 1700 cm-1 and the C-H stretch at about 3000 cm-1. If you see an IR spectrum with an intense strong band near 1700 cm-1 and the compound contains oxygen, the molecule most likely contains a carbonyl group,
  • 186.
    Continues…… • The spectrumfor the ketone, 2-butanone below it also has a x-tic carbonyl band at 1700 cm-1. The CH stretch still appears at about 3000 cm-1, and the CH2 bend shows up at approximately 1400 cm-1.
  • 187.
    Continues…… • Carboxylic acidshave spectra that are even more involved. They typically have three bands caused by bonds in the COOH functional group. The band near 1700 cm-1 is due to the CO double bond.
  • 188.
    Continues • The broadband centered in the range 2700-3300 cm-1 is caused by the presence of the OH and a band near 1400 cm-1 comes from the CO single bond. • In the spectrum for the carboxylic acid, diphenylacetic acid above, although the aromatic CH bands complicate the spectrum, you can still see the broad OH stretch between 2700-3300 cm-1. It overlaps the CH stretch which appears near 3000 cm-1. A strong carbonyl CO stretch band exists near 1700 cm-1. The CO single bond stretch shows up near 1200 cm-1. • Additionally, for more understanding look at more spectra for carbonyls, and substituted aromatic compounds at page 132-135.
  • 189.
    When you analyzethe spectra, it is easier if you follow a series of steps in examining each spectrum. 1. Look first for the carbonyl C=O band. Look for a strong band at 1820-1660 cm-1. This band is usually the most intense absorption band in a spectrum. It will have a medium width. If you see the carbonyl band, look for other bands associated with functional groups that contain the carbonyl by going to step 2. If no C=O band is present, check for alcohols and go to step 3. 2. If a C=O is present you want to determine if it is part of an acid, an ester, or an aldehyde or ketone. 3. If no carbonyl band appears in the spectrum, look for an alcohol O-H band.
  • 190.
    190 The Fingerprint Region •Many different vibrations make large number of peaks which make impossible to assign confidently all vibrations of a particular group. • Peaks below 1500 cm-1 are very difficult to assign – Fingerprint region. • But, finger print region most useful in identifying compounds by comparison with known spectra.
  • 191.
    191 Sketch of InfraRed Spectrometer
  • 192.
    192 Sketch of anIR spectrometer
  • 193.
    Obtaining an IRspectrum • A beam of monochromatic Infra Red light is passed through a sample comparing it to a reference beam. • The wavelength of the light is scanned over time. • The light is collected by a detector and transformed into an electrical signal with a processor. • A spectrum with % transmittance is obtained. • IR is reported/measured in cm-1 the reciprocal of wavelength.
  • 194.
    194 How Does IRSpectroscopy Works? • In organic compounds, covalent bonds vibrate at specific energies when irradiated with light in the mid- IR region of the Electromagnetic spectrum. • Light with wavelengths of 25 µ to 2.5 µ is commonly used in IR analysis. • The frequency of vibrations depends on the atoms at the end of bond. • IR thus, is used to identify functional groups. • Strength of the bond and the masses of atoms on either end of the bond determine which wavelength is absorbed.
  • 195.
  • 196.
  • 197.
    197 Factors Affecting FrequencyX C C C C C C 2100 1650 1200 Bond strength C H C C C O 3000 1200 1100 Mass of atoms C I 500 C Br 600 C Cl 750 Hybridization C C H H H 3300 3100 2900 Conjugation O O O 1750 1675 - 1680
  • 198.
    198 Review on Typicalregions of functional groups
  • 199.
  • 200.
    200 IR of CommonFunctional Groups
  • 201.
    201 Alcohols, Alkenes andAlkynes • Alcohols and amines display strong broad O- H and N-H stretching bands in the region 3400-3100 cm-1. The bands are broadened due to hydrogen bonding and a sharp 'non- bonded' peak can often be seen at around 3400 cm-1. • Alkene and alkyne C-H bonds display sharp stretching absorptions in the region 3100- 3000 cm-1. The bands are of medium intensity and are often obscured by other absorbances in the region (i.e., OH).
  • 202.
  • 203.
    203 Position, Shape &Intensity • The infrared spectrum of benzyl alcohol displays a broad, hydrogen-bonded -OH stretching band in the region 3400 cm-1, a sharp unsaturated (sp2) CH stretch at about 3010 cm-1 and a saturated (sp3) CH stretch at about 2900 cm-1. • These bands are typical for alcohols and for aromatic compounds containing some saturated carbon. Acetylene (ethyne) displays a typical terminal alkyne C-H stretch, as shown in the second panel.
  • 204.
  • 205.
    205 Position, Shape &Intensity • Saturated and unsaturated CH bands are shown clearly in the spectrum of vinyl acetate (ethenyl ethanoate). • This compound shows a typical ester carbonyl at 1700 cm-1 and a nice example of a carbon-carbon double bond stretch at about 1500 cm-1. • Both of these bands are shifted to slightly lower wave numbers than are typically observed (by about 50 cm-1) by conjugation involving the vinyl ester group.
  • 206.
    206 Position, Shape &Intensity • Triple bond stretching absorptions occur in the region 2400-2200 cm-1. Absorptions from nitriles are generally of medium intensity and are clearly defined. Alkynes absorb weakly in this region unless they are highly asymmetric; symmetrical alkynes do not show absorption bands. • Carbonyl stretching bands occur in the region 1800-1700 cm-1. The bands are generally very strong and broad. Carbonyl compounds which are more reactive in nucleophilic addition reactions (acyl halides, esters) are generally at higher wave number than simple ketones and aldehydes, and amides are the lowest, absorbing in the region 1700-1650 cm-1.
  • 207.
    207 Position, Shape &Intensity • Carbon-carbon double bond stretching occurs in the region around 1650-1600 cm-1. The bands are generally sharp and of medium intensity. Aromatic compounds will typically display a series of sharp bands in this region. • Carbon-oxygen single bonds display stretching bands in the region 1200-1100 cm-1. The bands are generally strong and broad. You should note that many other functional groups have bands in this region which appear similar.
  • 208.
    208 Basic Values forIR Absorptions Bond type Wavenumbers O-H 3400 N-H 3400 C-H 3000 C≡N 2250 C≡C 2150 C=O 1715 C=C 1650 C-O 1100
  • 209.
    209 1. C-H Absorption 1.The C-H absorption(s) between 3100 and 2850 cm-1. 2. An absorption above 3000 cm-1 indicates C=C, either alkene or aromatic. 3. Confirm the aromatic ring: peaks at 1600 and 1500 cm-1 and C-H out-of-plane bending to give substitution patterns below 900 cm-1. 4. Confirm alkenes with an absorption at 1640-1680 cm-1. 5. C-H absorption between 3000 and 2850 cm-1 is due to aliphatic hydrogens.
  • 210.
    210 2. C=O Absorption –The carbonyl (C=O) absorption between 1690-1760cm-1; strong band: an aldehyde, ketone, carboxylic acid, ester, amide, anhydride or acyl halide. – An aldehyde may be confirmed with C-H absorption from 2840 to 2720 cm-1. Two medium bands may appear.
  • 211.
  • 212.
    212 3. X-H Absorption •The O-H or N-H absorption between 3200 and 3600 cm-1. • This indicates either an alcohol, N-H containing amine or amide, or carboxylic acid. • For -NH2 a doublet will be observed. NH2 HO
  • 213.
    213 4. Carboxylic GroupO-H O Br OH • Characteristic broad band (3400 – 2500 cm-1) due to H-bonding. • Identifies/confirms presence of a carboxylic acid.
  • 214.
    214 5. C-O Absorption •The C-O absorption peaks appear between 1080 and 1300 cm-1. • These peaks are normally rounded like the O-H and N-H peak in 3 and are prominent. • Carboxylic acids, esters, ethers, alcohols and anhydrides all contain this peak.
  • 215.
    215 An example ofa C-O Band • The band due to the C-O vibration is at 1065 cm-1
  • 216.
    216 6. C≡C andC≡N Absorption C N The CC and CN triple bond absorptions at 2100- 2260 cm-1 are small but exposed/unique.
  • 217.
    217 R-C≡C-H and R-O-H OH H •The C≡C stretch at 2165 is very weak but is a typical characteristic in alkynes and nitriles.
  • 218.
    218 7. C-H FingerPrint (CH3) 7. A methyl group may be identified with C-H absorption at 1380 cm-1. This band is split into a doublet for isopropyl(gem-dimethyl) groups. 8. Structure of aromatic compounds may also be confirmed from the pattern of the weak overtone and combination tone bands found from 2000 to 1600 cm-1.
  • 219.
    219 8. Aromatic C-Hand C=C O • Aromatic C-H around 3050 cm-1 and C=C two medium bands at about 1500 and 1600 cm-1.
  • 220.
    220 Exercise: IHD andIR • Compound X, C4H8O, was analyzed in IR and the following absorption bands were recorded: 2950 cm-1; 2890 cm-1 and 1715 cm-1. Suggest a structure for the compound. • DU = 4 - 0.5 ( 8) + 1 = 1 –One C=C, C=O or a ring. –From IR 1715 cm-1 there is a C=O.(since 2950 and 2890 cm-1 for sp3 C-H) Structure: CH3COCH2CH3 Butan-2-one