Embed presentation
Download to read offline













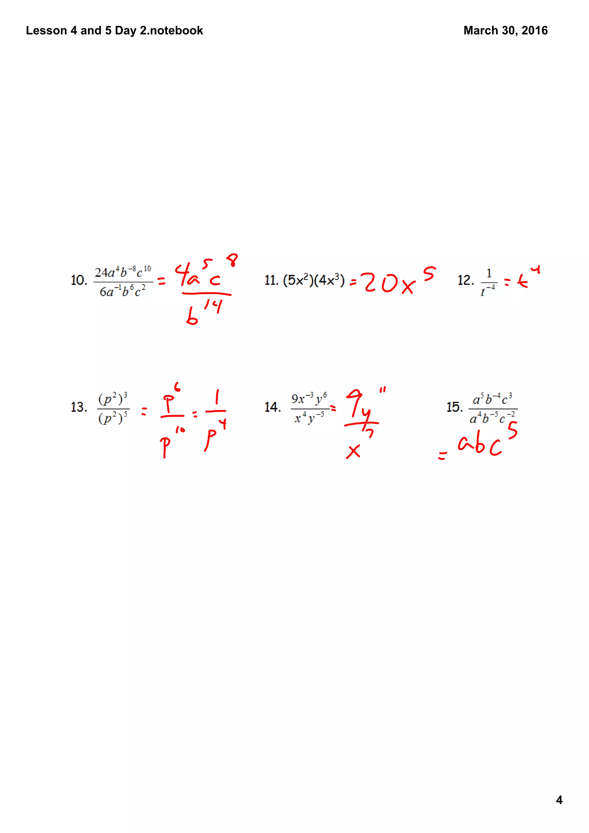
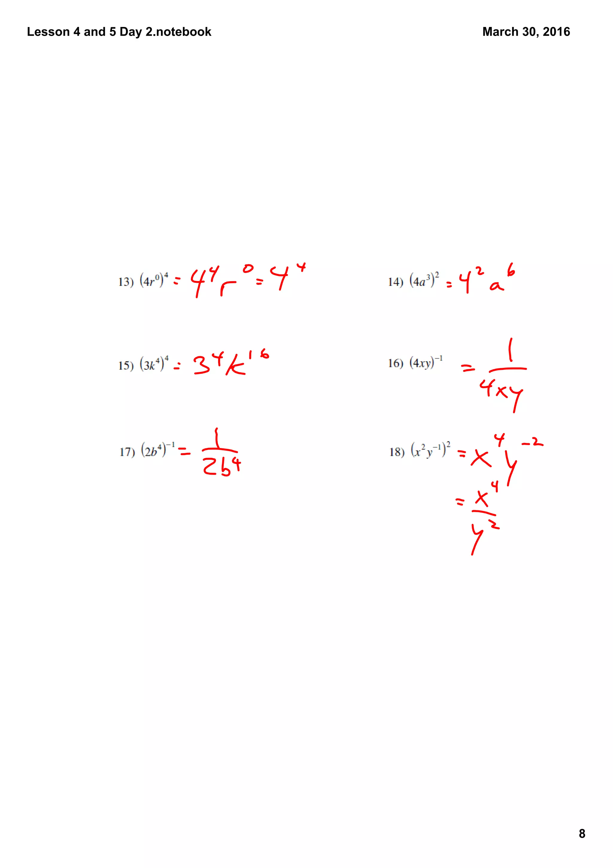
The document outlines the day's lessons which include completing exercises on exponents, practicing exponent rules from Module 8.1 Lesson 5, and reviewing exponent rules pages from the module. Homework includes problems from pages 31-33, a mid-module quiz on Friday, and a Module 3 review packet due the following day.












