Embed presentation
Download to read offline









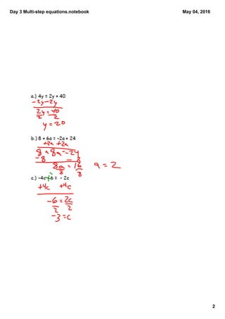
The document outlines the day's lesson on multi-step equations. Students are instructed to complete a problem set and equation quiz for homework. They are reminded to use the distributive property, combine like terms, isolate variables, and get all variables on one side when solving multi-step equations. Partners will enter their homework answers into an online platform.








