CHAPTER – 1
INTRODUCTION
1
INTRODUCTION
1.1 INTRODUCTION TO STUDY
Human Resource Management is relatively new concept, emerging during the 1970’s. Many people
continue to refer the discipline by its older, more traditional titles, such as Personnel Management or
Personnel Administration.
The trend is changing. The term now-a-days used in industry circles is HRM. Coming to the evolution
of HRM, it may be stated that concern for the welfare of workers in the management of business
enterprises has been in existence since ages. Kantilla’s Arthashastra states that there existed a sound
base for systematic management of resources during as early as the 4th
century BC. The government
then took an active interest in the operation of public and private sector enterprises and provided
systematic procedures for regulating employer-employee relationships.
Ever since its evolution, the HRM functions have gone a long way and have assumed a professional
status today.
It is now globally recognized that managing human resources is the basic job of management. With the
advent of globalization of business, Human Resource Management has now emerged as the most
crucial aspect of management. India is not an exception to this scenario.
Human Resource Management (HRM) is a management function that helps managers recruit, select,
train and develop members for an organization. Obviously, HRM is concerned with the people’s
dimension in organizations.
HRM today has evolved as a strategic approach to the acquisition, motivation, development and
management of the organization’s human resources.
It is devoted to shaping an appropriate corporate culture and introducing programs which reflect and
support the core values of the enterprise and ensure its success.
2
RECRUITMENT & SELECTION PROCESS
RECRUITMENT:
Placing the RIGHT PERSON in RIGHT PLACE at RIGHT TIME.
Vacancy is known in two situations (generally):
 An employee leaves and there is a vacancy created
 Business Growth
The vacancy is intimated to the HR department by the concerned technical department.
Ensure that judgment of abilities, experience and qualifications is made against the requirements of the
position in question.
1) Defining the Requirement - Decide what vacancy you have. If you need to fill a new role
quickly you might find it helpful to adapt one of the models provided here:
Task analysis:
Draw up a detailed list of tasks that the person will have to do. This helps in determining the qualities
and qualifications genuinely required for the job.
Job description:
Produce an outline of the broad responsibilities (rather than detailed tasks) involved in the job.
Person specification:
Decide what skills, experience, qualifications and attributes someone will need to do the job as
defined in the task analysis and job description.
2) Selection - Select your candidate being objective and unbiased. Choose the person who best
fits your person specification.
Short listing:
Review applications on the basis of the person specification. Ensure that you select for interview those
who match the specifications, regardless of age, sex, race etc, and that the specifications are not
themselves discriminatory.
Interviews:
Interview your short-listed candidates remembering that your job is not only to assess the best
candidate for the job, but also to create a great impression of your organization.
3) Candidate assessments - The interview will provide you with some information but check it out
before offering a job.
3
• Ask the candidate to show you examples of previous work, do a presentation, a case study,
some tests or full assessment. Tests can be done before the interview or after the interview. It
depends on the number of candidates being interviewed and the type of job.
• You must have the specific permission of the applicant to do so, particularly if you wish to
contact their current employer. If you need them quickly, try phoning.
4) Making a Job Offer - If you think you have found the right candidate, it’s time to make the job-
offer.
5) Induction - Help your new recruit to settle in quickly and become productive as soon as possible.
Now, Let us see a little more in detail how this process can be divided into stages and how best to
execute the process:
The Recruitment Process:
The recruitment process begins when you know you need someone new in the Department, either
because an existing staff member has left, or because there is new work to be done. It doesn't finish
until after the appointment has been made.
The main stages are identified in the below flow chart –
Identify Vacancy
↓
Prepare Job Description and person Specification
↓
Advertise
↓
Managing the Response
↓
Short-listing
↓
References
↓
Arrange Interviews
↓
Conduct The Interview
↓
Decision Making
↓
Convey The Decision
↓
Appointment Action
4
Figure 1.1 Recruitment Process.
Pre-Interview:
 Preparation of recruitment /selection document for the position
• Advertising Preparing
• Advertisement
• Media selection
 Positioning Response handling
• Initial interview online or telephone
• Short-listing for interviews
• Interview arrangement
• Sending emails or calling short listed candidates
• Interview details to the short listed candidates
Post-Interview
 Email or Telephone call to unsuccessful candidates
 Technical Manager approval for a start up date.
 Email or Telephone call to successful candidates
 HRM prepares a letter of appointment
Recruitment Cycle Time:
To bring in more effectiveness in the recruitment process, HR would follow a specific project deadline
of 38 days (from the day it had received the approved Manpower Requisition) to hire a new employee.
5
The process specific schedule break-up is mentioned below
Recruitment Procedure Process Map
Stage one – Preparation
Figure num.1.2
6
Phase Activities
Time
frame
I
Role Identification, Job Description, CV Sourcing & Initial HR
short-listing
15 days
II
Organizing the Written Tests 5 days
Organizing the First Technical Interviews 5 days
Organizing the Final Interviews 4 days
Sessions to take the final decisions 3 days
III
Preparing the Salary Proposal, Negotiate with the selected
candidates & offer closure
6 days
Recruiting Manager (RM) has a
need to recruit
RM drafts job description,
person specification and
advertisement using the specified
template
RM sends electronic
copies of job description,
person specification and
advertisement to the
Human Resources
Department
The Dean / Senior Service Area
Manager gives final approval to
recruit
Upon receipt of financial approval
the RF/01 form is sent to the
Dean / Senior Service Area Manager
for final approval
RM completes part one (vacancy
details) on the RF/01 form and
sends for financial approval
Process moves on to
Stage two - Resourcing
Stage Two – Resourcing
Figure num.1.3
7
HR Co-ordinator delegates
responsibility for the management of
recruitment campaign to named
HR Assistant who contacts
Recruiting Manager (RM) to agree
on the recruitment contract
The Human Resources Department
check the job description & person
specification and put together an
appropriate job pack for candidates.
This can be prepared in hard copy
and as a pdf file for websites
The Human Resources Department
will pass all application forms
received to the RM within the
timescales agreed as part of the
recruitment contract
The Human Resources Department
will respond to all requests for job
packs and will log all completed
applications.
The Human Resources Department
Liaise with RM and the advertising
agency to agree final text, media,
placement of the advertisement and
costs
Process moves on to
Stage three - Selection
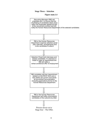
Stage Three – Selection
Figure num.1.4
8
RM or the Human Resources
Department will notify unsuccessful
candidates of the outcome by letter
RM completes part two (appointment
details) on the RF/01 form and a
new starter set up form and sends
all recruitment documentation
(including applications forms) to the
Human Resources Department
Selection Panel hold interviews and
assess candidates. If a decision is
made to make an appointment the
RM will make a
verbal conditional offer of employment
RM or the Human Resources
Department organise selection panel
, plan interview, arrangements and
invite candidates to attend
Recruiting Manager (RM) will
undertake and / or ensure that the
shortlisting of candidates takes place
within the timescales agreed as part
of the recruitment contract and will
notify the Human Resources Department of the selected candidates
Process moves on to
Stage four – The Offer.
Stage Four – The Offer
Figure num.1.5
9
On their first day, the new employee
visits the Human Resources
Department with proof of
Identification and qualifications
(where necessary) for verification.
The new employee also arranges to
collect their staff identification card
The Recruiting Manager (RM) and
the Human Resources Department
will liaise to plan the new employees
induction programme
On receipt of the signed contract,
references, medical and
other clearances, completed forms
and a start date, the Human
Resources Department set up the
employee on SAP and will circulate
the new starter set up form to the
relevant sections (This should be
completed at least two weeks before the start
date).
The Human Resources Department
will issue a conditional offer letter /
contract of employment with detailed
enclosures to the successful
candidate for completion and
information. Any outstanding
references will also be requested
The recruitment process is now
complete
OBJECTIVES OF THE STUDY:
The objective of the study is the survival of every organization in the market, it is very essential to
enhance its production and productivity. To raise the production and productivity, human resources are
important factor.
 To study the EMPLOYEE RECRUITMENT PROCESS at MotilalOswal, Hyderabad.
 To study the employees attitude towards Employee Recruitment & selection process.
 To understand the H.R. Practices regarding Employee Recruitment and selection process.
 To evaluate the effectiveness of Employee Recruitment&selection process.
 To make suggestions on Creative Ideas for Employee Recruitment and selection.
SCOPE OF THE STUDY
 It is to analyze and study the various methods of recruitment at MotilalOswal, the importance of
effective recruitment methods for the development and improvement and competence of the
organization.
 The project work entitled “Job Design with Motivation” at MotilalOswal covers various levels of
employees in the organization. Since MotilalOswal is a private sector undertaking and has a very
well organized and established HRD, it was a great opportunity for me to study this aspect in detail
within the time frame available and make a report.
LIMITATIONS OF THE STUDY
 Limited time period
 Unable to interact with all the employees.
 Problem with confidential information.
 Unable to obtain the proper feedback because of limited time period and busy
schedule of the employees.
RESEARCH METHODOLOGY OF THE STUDY:
SOURCES OF DATA:
Primary Data:
From the information elicited through Questionnaire, Interviews and Discussions with respondents and
other employees of the organization.
10
Secondary Data:
From Circulars, Policy Papers, Broacher of the company.
Sample Size:
The well-structured questionnaire with a sample size of 36 employees (Associate Recruiters – 12,
Recruiters – 10, Sr Recruiters – 5, Team Leaders – 3, Asst.TeamLead -2, Asst.Manager - Recruitment
- 1, Asst.Manager – Operations-1, Manager-HR & Operations – 1, HR Executive – 1,).
Period of study :
45 days
Research tool: structured questionnaire is used with pie charts for data analysis and interpretation.
11
CHAPTER -2
REVIEW OF LITERATURE
12
2. REVIEW OF LITERATURE
Recruitment And selection
Recruitment and selection are two of the most important functions of personnel management.
Recruitment precedes selection and helps in selecting a right candidate.
Recruitment is a process to discover the sources of manpower to meet the requirement of the staffing
schedule and to employ effective measures for attracting that manpower in adequate numbers to
facilitate effective selection of efficient personnel.
Staffing is one basic function of management. All managers have responsibility of staffing
function by selecting the chief executive and even the foremen and supervisors have a staffing
responsibility when they select the rank and file workers. However, the personnel manager and his
personnel department is mainly concerned with the staffing function.
Every organization needs to look after recruitment and selection in the initial period and
thereafter as and when additional manpower is required due to expansion and development of
business activities.
‘Right person for the right job’ is the basic principle in recruitment and selection. Ever
organization should give attention to the selection of its manpower, especially its managers. The
operative manpower is equally important and essential for the orderly working of an enterprise. Every
business organization/unit needs manpower for carrying different business activities smoothly and
efficiently and for this recruitment and selection of suitable candidates are essential. Human resource
management in an organization will not be possible if unsuitable persons are selected and employment
in a business unit.
RECRUITMENT
Recruitment means to estimate the available vacancies and to make suitable arrangements for their
selection and appointment. Recruitment is understood as the process of searching for and obtaining
applicants for the jobs, from among whom the right people can be selected.
13
A formal definition states, “It is the process of finding and attracting capable applicants for the
employment. The process begins when new recruits are sought and ends when their applicants are
submitted. The result is a pool of applicants from which new employees are selected”. In this, the
available vacancies are given wide publicity and suitable candidates are encouraged to submit
applications so as to have a pool of eligible candidates for scientific selection.
In recruitment, information is collected from interested candidates. For this different source such as
newspaper advertisement, employment exchanges, internal promotion, etc.are used.
In the recruitment, a pool of eligible and interested candidates is created for selection of most suitable
candidates. Recruitment represents the first contact that a company makes with potential employees
Need for recruitment:
The need for recruitment may be due to the following reasons / situation:
Vacancies due to promotions, transfer, retirement, termination, permanent disability, death and labor
turnover.
Creation of new vacancies due to the growth, expansion and diversification of business activities of an
enterprise. In addition, new vacancies are possible due to job specification.
Purpose and importance of Recruitment:
 Determine the present and future requirements of the organization on conjunction with its
personnel-planning and job analysis activities.
 Increase the pool of job candidates at minimum cost.
 Help increase the success rate of the selection process by reducing the number of visibly under
qualified or overqualified job applicants.
 Help reduce the probability that job applicants, once recruited and selected, will leave the
organization only after a short period of time.
 Meet the organization’s legal and social obligations regarding the composition of its work
force.
Unscientific Recruitment and Selection:
Previously, the selection of candidates was influenced by superstitions, beliefs, personal prejudices of
managers looking after the recruitment and selection of the staff.
The net result of such unscientific recruitment and selection are:
14
 Low productivity of labour
 High turnover
 Excessive wastage of raw materials
 More accidents and corresponding loss to the organization
 Inefficient working of the whole organization and finally
Scientific recruitment and selection:
The importance of selection recruitment and selection of staff is now accepted in the business world.
Selection is important as it has its impact on work performance and employee cost. As result scientific
methods of recruitment and selection are extensively for the selection of managers and the supervisory
staff. The assistance of experts such as industrial psychologist and management consultants are also
taken for the purpose of scientific selection. As a result, the objective of “right man for the right job” is
achieved in many organizations. Moreover, “right job” is the basic principle in manpower
procurement.
RECRUITMENT PROCESS
Recruitment refers to the process of identifying and attracting job seekers so as to build a pool
of qualified job applicants. The process comprises five interrelated stages, viz
 Planning.
 Strategy development.
 Searching.
 Screening.
 Evaluation and control.
15
The ideal recruitment programme is the one that attracts a relatively larger number of qualified
applicants who will survive the screening process and accept positions with the organization, when
offered. Recruitment programme can miss the ideal in many ways i.e. by failing to attract an adequate
applicant pool, by under/over selling the organization or by inadequate screening applicants before
they enter the selection process. Thus, to approach the ideal, individuals responsible for the
recruitment process must know how many and what types of employees are needed, where and how to
look for the individuals with the appropriate qualifications and interests, what inducement to use for
various types of applicants groups, how to distinguish applicants who are qualified from those who
have a reasonable chance of success and how to evaluate their work.
STAGE 1:
RECRUITMENT PLANNING:
The first stage in the recruitment process is planning. Planning involves the translation of likely job
vacancies and information about the nature of these jobs into set of objectives or targets that specify
the (1) Numbers and (2) Types of applicants to be contacted.
Number of contacts:
Organization, nearly always, plan to attract more applicants than they will hire. Some of those
contacted will be uninterested, unqualified or both. Each time a recruitment Programme is
contemplated, one task is to estimate the number of applicants necessary to fill all vacancies with the
qualified people.
Types of contacts:
It is basically concerned with the types of people to be informed about job openings. The type of
people depends on the tasks and responsibilities involved and the qualifications and experience
expected. These details are available through job description and job specification.
STAGE 2:
STRATEGY DEVELOPMENT:
When it is estimated that what types of recruitment and how many are required then one has
concentrate in (1). Make or Buy employees. (2). Technological sophistication of recruitment and
selection devices. (3). Geographical distribution of labour markets comprising job seekers. (4). Sources
of recruitment. (5). Sequencing the activities in the recruitment process.
1. ‘Make’ or ‘Buy’:
16
Organization must decide whether to hire le skilled employees and invest on training and education
programmes, or they can hire skilled labour and professional. Essentially, this is the ‘make’ or ‘buy’
decision. Organizations, which hire skilled and professionals shall have to pay more for these
employees.
2. Technological Sophistication:
The second decision in strategy development relates to the methods used in recruitment and selection.
This decision is mainly influenced by the available
technology. The advent of computers has made it possible for employers to scan national and
international applicant qualification. Although impersonal, computers have given employers and Job
seekers a wider scope of options in the initial screening stage.
Where to look:
In order to reduce the costs, organizations look in to labour markets most likely to offer the required
job seekers. Generally, companies look in to the national market for managerial and professional
employees, regional or local markets for technical employees and local markets for the clerical and
blue-collar employees.
When to look: An effective recruiting strategy must determine when to look-decide on the timings of
events besides knowing where and how to look for job applicants.
STAGE 3:
SEARCHNG:
Once a recruitment plan and strategy are worked out, the search process can begin. Search involves
two steps
A). Source activation and
B). Selling.
A). SOURCE ACTIVATION:
Typically, sources and search methods are activated by the issuance of an employee
requisition. This means that no actual recruiting takes place until lone managers have verified that
vacancy does exist or will exist.
If the organization has planned well and done a good job of developing its sources and search
methods, activation soon results in a flood of applications and/or resumes.
The application received must be screened. Those who pass have to be contacted and invited
for interview. Unsuccessful applicants must be sent letter of regret.
B). SELLING:
17
A second issue to be addressed in the searching process concerns communications. Here,
organization walks tightrope. On one hand, they want to
do whatever they can to attract desirable applicants. On the other hand, they must resist the temptation
of overselling their virtues.
In selling the organization, both the message and the media deserve attention. Message refers to
the employment advertisement. With regards to media, it may be stated that effectiveness of any
recruiting message depends on the media. Media are several-some have low credibility, while others
enjoy high credibility. Selection of medium or media needs to be done with a lot of care.
STEP 4:
SCREENING:
Screening of applicants can be regarded as an integral part of the recruiting process, though many view
it as the first step in the selection process. Even the definition on recruitment, we quoted in the
beginning of this chapter, excludes screening from its scope. However, we have included screening in
recruitment for valid reasons. The selection process will begin after the applications have been
scrutinized and short-listed. Hiring of professors in a university is a typical situation. Application
received in response to advertisements is screened and only eligible applicants are called for an
interview. A selection committee comprising the Vice-chancellor, Registrar and subject experts
conducts interview. Here, the recruitment process extends up to screening the applications. The
selection process commences only later.
Purpose of screening
The purpose of screening is to remove from the recruitment process, at an early stage, those applicants
who are visibly unqualified for the job. Effective screening can save a great deal of time and money.
Care must be exercised, however, to assure that potentially good employees are not rejected without
justification.
In screening, clear job specifications are invaluable. It is both good practice and a legal necessity that
applicant’s qualification is judged on the basis of their knowledge, skills, abilities and interest required
to do the job.
18
The techniques used to screen applicants vary depending on the candidate sources and recruiting
methods used. Interview and application blanks may be used to
screen walk-ins. Campus recruiters and agency representatives use interviews and resumes. Reference
checks are also useful in screening.
STAGE 5:
EVALUATION AND CONTROL:
Evaluation and control is necessary as considerable costs are incurred in the recruitment process. The
costs generally incurred are: -
• Salaries for recruiters.
• Management and professional time spent on preparing job description, job specifications,
advertisements, agency liaison and so forth.
• The cost of advertisements or other recruitment methods, that is, agency fees.
• Recruitment overheads and administrative expenses.
• Costs of overtime and outsourcing while the vacancies remain unfilled.
Sources of Recruitment
SOURCES OF MANAGERIAL RECRUITMENT
INTERNAL SOURCES EXTERNAL SOURCES
1) Promotion 1) Campus recruitment
2) Transfers 2) Press advertisement
3) Internal notification 3) Management consultancy service
(Advertisement) & private employment exchanges
4) Retirement 4) Deputation of personnel or transfer
from one enterprise to another
5) Recall 5) Management training schemes
6) Former employees 6) Walk-ins, write-ins, talk-ins
7) Miscellaneous external sources
The sources of recruitment can be broadly categorized into internal and external sources-
19
Internal Recruitment
Internal recruitment seeks applicants for positions from within the company. The various internal
sources include:
Promotions and Transfers –
Promotion is an effective means using job posting and personnel records. Job posting requires
notifying vacant positions by posting notices, circulating publications or announcing at staff meetings
and inviting employees to apply. Personnel records help discover employees who are doing jobs below
their educational qualifications or skill levels. Promotions has many advantages like it is good public
relations, builds morale, encourages competent individuals who are ambitious, improves the
probability of good selection since information on the individual’s performance is readily available, is
cheaper than going outside to recruit, those chosen internally are familiar with the organization thus
reducing the orientation time and energy and also acts as a training device for developing middle-level
and top-level managers. However, promotions restrict the field of selection preventing fresh blood &
ideas from entering the organization. It also leads to inbreeding in the organization. Transfers are also
important in providing employees with a broad-based view of the organization, necessary for future
promotions.
Employee referrals-
Employees can develop good prospects for their families and friends by acquainting them with
the advantages of a job with the company, furnishing them with introduction and encouraging them to
apply. This is a very effective means as many qualified people can be reached at a very low cost to the
company. The
other advantages are that the employees would bring only those referrals that they feel would be able
to fit in the organization based on their own experience. The organization can be assured of the
reliability and the character of the referrals. In this way, the organization can also fulfill social
obligations and create goodwill.
Former Employees- These include retired employees who are willing to work on a part-time basis,
individuals who left work and are willing to come back for higher compensations. Even retrenched
employees are taken up once again. The advantage here is that the people are already known to the
organization and there is no need to find out their past performance and character. Also, there is no
need of an orientation programme for them, since they are familiar with the organization.
Dependents of deceased employees-
20
Usually, banks follow this policy. If an employee dies, his / her spouse or son or daughter is
recruited in their place. This is usually an effective way to fulfill social obligation and create goodwill.
Recalls: -
When management faces a problem, which can be solved only by a manager who has proceeded on
long leave, it may de decided to recall that persons after the problem is solved, his leave may be
extended.
Retirements: -
At times, management may not find suitable candidates in place of the one who had retired, after
meritorious service. Under the circumstances, management may decide to call retired managers with
new extension.
Internal notification (advertisement): -
Sometimes, management issues an internal notification for the benefit of existing employees. Most
employees know from their own experience about the requirement of the job and what sort of person
the company is looking for. Often employees have friends or acquaintances who meet these
requirements. Suitable persons are appointed at the vacant posts.
External Recruitment
External recruitment seeks applicants for positions from sources outside the company. They have
outnumbered the internal methods. The various external sources include:
Professional or Trade Associations:-
Many associations provide placement service to its members. It consists of compiling job seeker’s lists
and providing access to members during regional or national conventions. Also, the publications of
these associations carry classified
advertisements from employers interested in recruiting their members. These are particularly useful for
attracting highly educated, experienced or skilled personnel. Also, the recruiters can zero on in specific
job seekers, especially for hard-to-fill technical posts.
Advertisements:-
It is a popular method of seeking recruits, as many recruiters prefer advertisements because of
their wide reach. Want ads describe the job benefits, identify the employer and tell those interested
how to apply. Newspaper is the most common medium but for highly specialized recruits,
advertisements may be placed in professional or business journals.
Advertisements must contain proper information like the job content, working
conditions, location of job, compensation including fringe benefits, job specifications, growth aspects,
21
etc. The advertisement has to sell the idea that the company and job are perfect for the candidate.
Recruitment advertisements can also serve as corporate advertisements to build company’ image. It
also cost effective.
Employment Exchanges:-
Employment Exchanges have been set up all over the country in deference to the provision of
the Employment Exchanges (Compulsory Notification of Vacancies) Act, 1959. The Act applies to all
industrial establishments having 25 workers or more each. The Act requires all the industrial
establishments to notify the vacancies before they are filled. The major functions of the exchanges are
to increase the pool of possible applicants and to do the preliminary screening. Thus,
employment exchanges act as a link between the employers and the prospective employees. These
offices are particularly useful to in recruiting blue-collar, white collar and technical workers.
Campus Recruitments:-
Colleges, universities, research laboratories, sports fields and institutes are fertile ground for recruiters,
particularly the institutes. Campus Recruitment is going global with companies like HLL, Citibank,
HCL-HP, ANZ Grind lays, L&T, Motorola and Reliance looking for global markets. Some companies
recruit a given number of candidates from these institutes every year. Campus recruitment is so much
sought after that each college; university department or institute will have a placement officer to
handle recruitment functions. However, it is often an expensive process, even if recruiting process
produces job offers and acceptances eventually. A majority leave the organization within the first five
years of their employment. Yet, it is a major source of recruitment for prestigious companies.
Walk-ins, Write-ins and Talk-ins-
The most common and least expensive approach for candidates is direct applications, in which job
seekers submit unsolicited application letters or resumes. Direct applications can also provide a pool of
potential employees to meet future needs. From employees’ viewpoint, walk-ins are preferable as they
are free from the hassles associated with other methods of recruitment. While direct applications are
particularly effective in filling entry-level and unskilled vacancies, some organizations compile pools
of potential employees from direct applications for skilled positions. Write-ins are those who send
written enquiries. These jobseekers are asked to complete application forms for further processing.
Talk-ins involves the job aspirants meeting the recruiter (on an appropriated date) for detailed talks. No
application is required to be submitted to the recruiter.
Contractors:-
22
They are used to recruit casual workers. The names of the workers are not entered in the
company records and, to this extent; difficulties experienced in maintaining permanent workers are
avoided
Consultants:-
They are in the profession for recruiting and selecting managerial and executive personnel. They are
useful as they have nationwide contacts and lend professionalism to the hiring process. They also keep
prospective employer and employee anonymous. However, the cost can be a deterrent factor.
Head Hunters:-
They are useful in specialized and skilled candidate working in a particular company.
An agent is sent to represent the recruiting company and offer is made to the candidate. This is a useful
source when both the companies involved are in the same field, and the employee is reluctant to take
the offer since he fears, that his company is testing his loyalty.
Radio, Television and Internet:-
Radio and television are used to reach certain types of job applicants such as skilled
workers. Radio and television are used but sparingly, and that too, by government departments only.
Companies in the private sector are hesitant to use the media because of high costs and also because
they fear that such advertising will make the companies look desperate and damage their conservative
image. However, there is nothing inherently desperate about using radio and television. It depends
upon what is said and how it is delivered. Internet is becoming a popular option for recruitment today.
There are specialized sites like naukri.com. Also, websites of companies have a separate section
wherein; aspirants can submit their resumes and applications. This provides a wider reach.
Competitors:-This method is popularly known as “poaching” or “raiding” which involves identifying
the right people in rival companies, offering them better terms and luring them away. For instance,
several executives of HMT left to join Titan Watch Company. There are legal and ethical issues
involved in raiding rival firms for potential candidates. From the legal point of view, an employee is
expected to join a new organization only after obtaining a ‘no objection certificate’ from his/ her
present employer. Violating this requirement shall bind the employee to pay a few months’ salary to
his/ her present employer as a punishment. However, there are many ethical issues attached to it.
SELECTION
Selection is defined as the process of differentiating between applicants in order to identify (and hire)
those with a greater likelihood of success in a job.
23
Selection is basically picking an applicant from (a pool of applicants) who has the appropriate
qualification and competency to do the job
SELECTION PROCESS-
Selection is along process, commencing from the preliminary interview of the applicants and ending
with the contract of employment.The following chart gives an idea about selection process: -
Environment factor affecting selection: -
Figure: 2.1 Environment factor affecting selection
24
External Environment
Internal Environment
Preliminary Interview
Selection Tests
Employment Interview
Reference and Background
AnalysisSelection DecisionPhysical ExaminationJob OfferEmployment Contract
Evaluation
RejectedApplication
STEP 1: -
PRELIMINARY INTERVIEW
The applicants received from job seekers would be subject to scrutiny so as to eliminate
unqualified applicants. This is usually followed by a preliminary interview the purpose of
which is more or less the same as scrutiny of application, that is, eliminate of unqualified
applicants. Scrutiny enables the HR specialists to eliminate unqualified jobseekers based
on the information supplied in their application forms. Preliminary interview, on the other
hand, helps reject misfits for reason, which did not appear in the application forms.
Besides, preliminary interview, often called ‘courtesy interview’, is a good public relation
exercise.
STEP 2: -
SELECTION TEST:
Job seekers who pass the screening and the preliminary interview are called for tests.
Different types of tests may be administered, depending on the job and the company.
Generally, tests are used to determine the applicant’s ability, aptitude and personality.
The following are the type of tests taken:
1). ABILITY TESTS: -
Assist in determining how well an individual can perform tasks related to the job. An
excellent illustration of this is the typing tests given to a prospective employer for
secretarial job. Also called as ‘ACHEIVEMENT TESTS’. It is concerned with what one
has accomplished. When applicant claims to know something, an achievement test is
taken to measure how well they know it. Trade tests are the most common type of
achievement test given. Questions have been prepared and tested for such trades as
asbestos worker, punch-press operators, electricians and machinists. There are, of course,
many unstandardized achievement tests given in industries, such as typing or dictation
tests for an applicant for a stenographic position.
2). APTITUDE TEST: -
Aptitude tests measure whether an individuals has the capacity or latent ability to
learn a given job if given adequate training. The use of aptitude test is advisable when an
applicant has had little or no experience along the line of the job opening. Aptitudes tests
help determine a person’s potential to learn in a given area. An example of such test is the
25
general management aptitude tests (GMAT), which many business students take prior to
gaining admission to a graduate business school programme.
Aptitude test indicates the ability or fitness of an individual to engage successfully in
any number of specialized activities. They cover such areas clerical aptitude, numerical
aptitude, mechanical aptitude, motor co-ordination, finger dexterity and manual dexterity.
These tests help to detect positive negative points in a person’s sensory or intellectual
ability. They focus attention on a particular type of talent such as learning or reasoning in
respect of a particular field of work.
Forms of aptitude test:
Mental or intelligence tests:
They measure the overall intellectual ability of a person and enable to know
whether the person has the mental ability to deal with certain problems.
Mechanical aptitude tests:
They measure the ability of a person to learn a particular type of mechanical work.
These tests helps to measure specialized technical knowledge and problem solving
abilities if the candidate. They are useful in selection of mechanics, maintenance workers,
etc.
Psychomotor or skills tests:
They are those, which measure a person’s ability to do a specific job. Such tests are
conducted in respect of semi- skilled and repetitive jobs such as packing, testing and
inspection, etc.
3). INTELLIGENCE TEST:
This test helps to evaluate traits of intelligence. Mental ability, presence of mind
(alertness), numerical ability, memory and such other aspects can be measured.
The intelligence is probably the most widely administered standardized test in industry. It
is taken to judge numerical, skills, reasoning, memory and such other abilities
4). INTEREST TEST:
This is conducted to find out likes and dislikes of candidates towards occupations,
hobbies, etc. such tests indicate which occupations are more in line with a person’s
interest. Such tests also
enable the company to provide vocational guidance to the selected candidates and even to
the existing employees.
26
These tests are used to measure an individual’s activity preferences. These tests are
particularly useful for students considering many careers or employees deciding upon
career changes.
5). PERSONALITY TEST:
The importance of personality to job success is undeniable. Often an individual who
possesses the intelligence, aptitude and experience for certain has failed because of
inability to get along with and motivate other people.
It is conducted to judge maturity, social or interpersonal skills, behavior under stress and
strain, etc. this test is very much essential on case of selection of sales force, public
relation staff, etc. where personality plays an important role.
Personality tests are similar to interest tests in that they, also, involve a serious problem
of obtaining an honest answer.
6). PROJECTIVE TEST:
This test requires interpretation of problems or situations. For example, a photograph or a
picture can be shown to the candidates and they are asked to give their views, and
opinions about the picture.
7). GENERAL KNOWLEDGE TEST:
Now days G.K. Tests are very common to find general awareness of the candidates in the
field of sports, politics, world affairs, current affairs.
8). PERCEPTION TEST:
At times perception tests can be conducted to find out beliefs, attitudes, and mental
sharpness.etc.
9). GRAPHOLOGY TEST:
It is designed to analyze the handwriting of individual. It has been said that an
individual’s handwriting can suggest the degree of energy, inhibition and spontaneity, as
well as disclose the idiosyncrasies and elements of balance and control. For example, big
letters and emphasis on capital letters indicate a tendency towards domination and
competitiveness. A slant to the right, moderate pressure and good legibility show
leadership potential.
10). POLYGRAPH TEST: Polygraph is a lie detector, which is designed to ensure
accuracy of the information given in the applications. Department store, banks, treasury
27
offices and jewelers shops, that is, those highly vulnerable to theft or swindling may find
polygraph tests useful.
11). MEDICAL TEST:
It reveals physical fitness of a candidate. With the development of technology, medical
tests have become diversified. Medical servicing helps measure and monitor a
candidate’s physical resilience upon exposure to hazardous chemicals.
CHOOSING TESTS:
The test must be chosen in the criteria of reliability, validity, objectivity and
standardization. They are: -
1. RELIABILITY: -
It refers to standardization of the procedure of administering and scoring the test
results. A person who takes tests one day and makes a certain score should be able to take
the same test the next day or the next week and make more or less the same score. An
individual’s intelligence, for example, is generally a stable characteristic. So if we
administer an intelligence test, a person who scores 110 in March would score close to
110 if tested in July. Tests, which produce wide variations in results, serve little purpose
in selection.
2. VALIDITY: -
It is a test, which helps predict whether a person will be successful in a given job.
A test that has been validated can be helpful in differentiating between prospective
employees who will be able to perform the job well and those who will not. Naturally, no
test will be 100% accurate in predicting job success. A validated test increases possibility
of success.
There are three ways of validating a test. They are as follows: -
1). Concurrent Validity: - this involves determining the factors that are characteristics
of successful employees and then using these factors as the yardsticks.
2). Predictive Validity: - it involves using a selection test during the selection process
and then identifying the successful candidates. The characteristics of both successful and
less successful candidates are then identified.
3). Synthetic Validity: - it involves taking parts of several similar jobs rather than one
complete job to validate the selection test.
28
3. OBJECTIVITY: -
When two or more people can interpret the result of the same test and derive the
same conclusion(s), the test is said to be objective. Otherwise, the test evaluators’
subjective opinions may render the test useless.
4. STANDARDRIZATION: -
A test that is standardized is administered under standard condition to a large group
of person who are representatives of the individuals for whom it is intended. The purpose
of standardization is to obtain norms or standard, so that a specific test score can be
meaningful when compared to other score in the group.
STEP 3: -
INTERVIEW:
The next step in the selection process is an interview. Interview is formal, in-depth
conversation conducted to evaluate the applicant’s acceptability. It is considered to be
excellent selection device. It is face-to-face exchange of view, ideas and opinion between
the candidates and interviewers. Basically, interview is nothing but an oral examination
of candidates. Interview can be adapted to unskilled, skilled, managerial and profession
employees.
Objectives of interview: -
Interview has at least three objectives and they are a follows: -
• Helps obtain additional information from the applicants
• Facilitates giving general information to the applicants such as company policies, job,
products manufactured etc,
• Helps build the company’s image among the applicants.
Types of interviews: -
Interviews can be of different types. There interviews employed by the companies.
Following are the various types of interview: -
Informal Interview: An informal interview is an oral interview and may take place
anywhere. The employee or the manager or the personnel manager may ask a few almost
inconsequential questions like name, place of birth, names of relatives etc. either in their
respective offices or anywhere outside the plant of company. It id not planned and
29
nobody prepares for it. This is used widely when the labour market is tight and when you
need workers badly.
Formal Interview:
Formal interviews may be held in the employment office by he employment office in
a more formal atmosphere, with the help of well structured questions, the time and place
of the interview will be stipulated by the employment office.
Non-directive Interview:
Non-directive interview or unstructured interview is designed to let the interviewee
speak his mind freely. The interviewer has no formal or directive questions, but his all
attention is to the candidate. He encourages the candidate to talk by a little prodding
whenever he is silent e.g. “Mr. Ray, please tell us about yourself after your graduated
from high school”.
The idea is o give the candidate complete freedom to “sell” himself, without the
encumbrances of the interviewer’s question. But the interviewer must be of higher caliber
and must guide and relate the information given by the applicant to the objective of the
interview.
Depth Interview:
It is designed to intensely examine the candidate’s background and thinking and to go
into considerable detail on particular subjects of an important nature and of special
interest to the candidates. For example, if the candidate says that he is interested in tennis,
a series of questions may be asked to test the depth of understanding and interest of the
candidate. These probing questions must be asked with tact and through exhaustive
analysis; it is possible to get a good picture of the candidate.
Stress Interview:
It is designed to test the candidate and his conduct and behavior by him under
conditions of stress and strain. The interviewer may start with “Mr. Joseph, we do not
think your qualifications and experience are adequate for this position,’ and watch the
reaction of the candidates. A good candidates will not yield, on the contrary he may
substantiate why he is qualified to handle the
30
job. This type of interview is borrowed from the Military organization and this is very
useful to test behavior of individuals when they are faced with disagreeable and trying
situations.
Group Interview: It is designed to save busy executive’s time and to see how the
candidates may be brought together in the employment office and they may be
interviewed.
Panel Interview:
A panel or interviewing board or selection committee may interview the candidate,
usually in the case of supervisory and managerial positions. This type of interview pools
the collective judgment and wisdom of the panel in the assessment of the candidate and
also in questioning the faculties of the candidate.
Sequential Interview:
The sequential interview takes the one-to-one a step further and involves a series of
interview, usually utilizing the strength and knowledgebase of each interviewer, so that
each interviewer can ask questions in relation to his or her subject area of each candidate,
as the candidate moves from room to room.
Structures Interview:
In a structured interview, the interviewer uses preset standardized questions, which are
put to all the interviewees. This interview is also called as ‘Guided’ or ‘Patterned’
interview. It is useful for valid results, especially when dealing with the large number of
applicants.
Unstructured Interview:
It is also known as ‘Unpatented’ interview, the interview is largely unplanned and the
interviewee does most of the talking. Unguided interview is advantageous in as much as
it leads to a friendly conversation between the interviewer and the interviewee and in the
process, the later reveals more of his or her desire and problems. But the Unpatented
interview lacks uniformity and worse, this approach may overlook key areas of the
applicant’s skills or background. It is useful when the interviewer tries to probe personal
details of the candidate it analyses why they are not right for the job.
Mixed Interview:
31
In practice, the interviewer while interviewing the job seekers uses a blend of structured
and structured and unstructured questions. This approach is called the Mixed Interview.
The
structured questions provide a base of interview more conventional and permit greater
insights into the unique differences between applicants.
Imprompt Interviews:
This interview commonly occurs when employers are approached directly and tends to be
very informal and unstructured. Applicants should be prepared at all times for on-the-spot
interviews, especially in situations such as a job fair or a cold call. It is an ideal time for
employers to ask the candidate some basic questions to determine whether he/she may be
interested in formally interviewing the candidate.
Dinner Interviews:
These interviews may be structured, informal, or socially situated, such as in a restaurant.
Decide what to eat quickly, some interviewers will ask you to order first (do not appear
indecisive). Avoid potentially messy foods, such as spaghetti. Be prepared for the
conversation to abruptly change from friendly chat to direct interview questions,
however, do not underestimate the value of casual discussion, some employers place a
great value on it. Be prepared to switch gears rapidly, from fun talk to business talk.
Telephone Interviews:
Have a copy of your resume and any points you want to remember to say nearby. If you
are on your home telephone, make sure that all roommates or family members are aware
of the interview (no loud stereos, barking dogs etc.). Speak a bit slower than usual. It is
crucial that you convey your enthusiasm verbally, since the interviewer cannot see your
face. If there are pauses, do not worry; the interviewer is likely just taking some notes.
Second Interviews:
Job seekers are invited back after they have passed the first initial interview. Middle or
senior management generally conducts the second interview, together or separately.
Applicants can expect more in-depth questions, and the employer will be expecting a
greater level of preparation on the part of the candidates. Applicants should continue to
research the employer following the first interview, and be prepared to use any
information gained through the previous interview to their advantage.
STEP 4: -REFERENCE CHECK
32
Many employers request names, addresses, and telephone numbers of references for the
purpose of verifying information and perhaps, gaining additional background information
on an applicant. Although listed on the application form, references are not usually
checked until an applicant has successfully reached the fourth stage of a sequential
selection process. When the labour market is very tight, organizations sometimes hire
applicants before checking references.
Previous employers, known as public figures, university professors, neighbours or
friends can act as references. Previous employers are preferable because they are already
aware of the applicant’s performance. But, the problem with this reference is the
tendency on the part of the previous employers to over-rate the applicant’s performance
just to get rid of the person.
STEP 5: -
SELECTION DECISION:-
After obtaining information through the preceding steps, selection decision- the most
critical of all the steps- must be made. The other stages in the selection process have been
used to narrow the number of the candidates. The final decision has to be made the pool
of individuals who pas the tests, interviews and reference checks.
The view of the line manager will be generally considered in the final selection because it
is he/she who is responsible for the performance of the new employee. The HR manager
plays a crucial role in the final selection.
STEP 6: -
PHYSICAL EXAMINATION: -
After the selection decision and before the job offer is made, the candidate is required to
undergo a physical fitness test. A job offer is, often, contingent upon the candidate being
declared fit after the physical examination. The results of the medical fitness test are
recorded in a statement and are preserved in the personnel records. There are several
objectives behind a physical test. Obviously, one reason for a physical test is to detect if
the individual carries any infectious disease. Secondly, the test assists in determining
whether an applicant is physically fit to perform the work. Thirdly, the physical
examination information can be used to determine if there are certain physical
capabilities, which differentiate successful and less successful employees. Fourth,
medical check-up protects applicants with health defects from undertaking work that
33
could be detrimental to them or might otherwise endanger the employer’s property.
Finally, such an examination will protect the employer from workers compensation
claims that are not valid because the injuries or illness were present when the employee
was hired.
STEP 7: -
JOB OFFER: -
The next step in the selection process is job offer to those applicants who have crossed all
the previous hurdles. Job offer is made through a letter of appointed. Such a letter
generally contains a date by which the appointee must report on duty. The appointee must
be given reasonable time for reporting. Thos is particularly necessary when he or she is
already in employment, in which case the appointee is required to obtain a relieving
certificate from the previous employer. Again, a new job may require movement to
another city, which means considerable preparation, and movement of property.
The company may also want the individual to delay the date of reporting on duty. If the
new employee’s first job upon joining the company is to go on company until perhaps a
week before such training begins. Naturally, this practice cannot be abused, especially if
the individual is unemployed and does not have sufficient finances.
Decency demands that the rejected applicants be informed about their non-selection.
Their applicants may be preserved for future use, if any. It needs no emphasis that the
applications of selected candidates must also be preserved for the future references.
STEP 8: -
CONTRACT OF EMPLOYMENT: -After the job offer has bee mad and
candidates accept the offer, certain documents need to be executed by the employer and
the candidate.
One such document is the attestation form. This form contains vital details about the
candidate, which are authenticated and attested by him/her. Attestation form will be a
valid record for the future reference.
There is also a need for preparing a contract of employment. The basic information that
should be included in a written contract of employment will vary according to the level of
the job, but the following checklist sets out the typical headings:
• Job title.
34
• Duties, including a parse such as “The employee will perform such duties and will
be responsible to such a person, as the company may from time to time direct”.
• Date when continuous employment starts and the basis for calculating service.
• Rate of pay, allowance, overtime and shift rates, method of payments.
Holiday arrangements:
 Paid holidays per year.
 Calculation of holiday pay.
 Qualifying period.
 Accrual of holidays and holiday pay.
 Details of holiday year.
STEP 9: -
CONCLUDING THE SELECTION PROCESS: -
Contrary to popular perception, the selection process will not end with executing the
employment contract. There is another step – amore sensitive one reassuring those
candidates who have not selected, not because of any serious deficiencies in their
personality, but because
their profile did not match the requirement of the organization. They must be told that
those who were selected were done purely on relative merit.
STEP 10: -
EVALUATION OF SELECTION PROGRAMME: -
The broad test of the effectiveness of the selection process is the quality of the
personnel hired. An organization must have competent and committed personnel. The
selection process, if properly done, will ensure availability of such employees. How to
evaluate the effectiveness of a selection programme? A periodic audit is the answer.
People who work independent of HR department must conduct audit. The table below
35
contains an outline that highlights the areas and questions to be covered in a systematic
evaluation.
Four Approaches to Selection:
1). Ethnocentric Selection:
In this approach, staffing decisions are made at the organization’s headquarters.
Subsidiaries have limited autonomy, and the employees from the headquarters at home
and abroad fill key jobs. Nationals from the parent country dominate the organizations at
home and abroad.
2). Polycentric Selection:
In polycentric selection, each subsidiary is treated as a distinct national entity with
local control key financial targets and investment decisions. Local citizens manage
subsidiaries, but the key jobs remain with staff from the parent country. This is the
approach, which is largely practiced in our country
3). Regiocentric Selection: -
Here, control within the group and the movements of staff are managed on a
regional basis, reflecting the particular disposition of business and operations within the
group. Regional managers have greater discretion in decision. Movement of staff is
largely restricted to specific geographical regions and promotions to the jobs continue to
be dominated by managers from the parents company.
4). Geocentric Staffing: -In this case, business strategy is integrated thoroughly on
global basis. Staff development and promotion are based on ability, not nationality. The
broad and other parts of the top management structure are thoroughly international in
composition. Needless to say, such organizations are uncommon.
PROBLEMS IN EFFECTIVE SELECTION: -
The main objective of selection is to hire people having competence and commitment.
This objective s often defeated because of certain barriers. The impediments, which
check effectiveness of selection, are perception, fairness, validity, reliability and pressure.
Perception: -
Our inability to understand others accurately is probably the most fundamental
barrier to selecting the right candidate. Selection demands an individual or a group
of people to assess and compare the respective competencies of others, with the aim of
choosing the right persons for the jobs. But our views are highly personalized. We all
36
perceive the world differently. Our limited perceptual ability is obviously a stumbling
block to the objective and rational selection of the people.
Fairness: -
Fairness in selection requires that no individual should be discriminated against on the
basis of religion, region, race or gender. But the low numbers of women and other less
privileged sections of the society in middle and senior management positions and open
discrimination on the basis of age in job advertisements and in the selection process
would suggest that all the efforts to minimize inequity have not been effective.
Validity: -
Validity, as explained earlier, is a test that helps predict job performance of an
incumbent. A test that has been validated can differentiate between the employees who
perform well and those who will not. However, a validated test does not predict job
success accurately. It can only increase possibility of success.
Reliability: -
A reliable method is one, which will produce consistent results when repeated in similar
situations. Like validated test, a reliable test may fail to predict job performance with
precision.
Pressure: -Pressure is brought on the selectors by politicians, bureaucrats, relatives,
friends and peers to select particular candidates. Candidates selected because of
compulsions are obviously not the right ones. Appointments to public sectors
undertakings generally take place under such pressures.
THE DIFFERENCE BETWEEN RECRUITMENT AND SELECTION
1.) Recruitment is the process of searching for prospective candidates and motivating
them to apply for job in the organization whereas, selection is a process of choosing most
suitable candidates out of those, who are interested and also qualified for job.
2.) In the recruitment process, vacancies available are finalized, publicity is given to them
and applications are collected from interested candidates. In the selection process,
available applications are scrutinized. Tests, interview and medical examination are
conducted in order to select most suitable candidates.
3.) In recruitment the purpose is to attract maximum numbers of suitable and interested
candidates through applications. In selection process the purpose is that the best
candidate out of those qualified and interested in the appointment.
37
4.) Recruitment is prior to selection. It creates proper base for actual selection. Selection
is next to recruitment. It is out of candidates’ available/interested.
5.) Recruitment is the positive function in which interested candidates are encouraged to
submit application. Selection is a negative function in which unsuitable candidates are
eliminated and the best one is selected.
RECRUITMENT PROCEDURE FOLLOWED IN HERO MOTORS
Recruiting the wrong kind of people can become a serious issue for any company.
a defined process needs to be followed to ensure that the right person reaches the right
place. A general recruitment process involves identifying vacancies; prepare job
description and person specification, advertising, managing the response, short listing,
arranging interviews, and conducting interviews, decision making, convey the decision
and appointment action. This means that a lot of time and resources have to be invested.
Interviews are an important and crucial part of recruitment process. The person
taking the interview of the candidate has to be well prepared in advance. Concerns like
the location of the interview, the time table, the structure of teh question strategy, style of
taking the interview needs to be decided beforehand so that nothing is left ambiguous in.
A general recruitment process may include a written test to judge particular skills
of candidate. In this case, the test should be prepares carefully, not deviating from the
subject. A lot can be judge about the candidate for his CV. A proper presentation of his
CV in an organized and refined manner speaks a lot about the individual. His mindset and
attitude can be judged according to his CV.
There are a few things that need to be kept in mind during the recruitment
process. Until the final decision about a certain candidate is taken, it is important to keep
in regular touch with the candidate. The decision making process should not take very
long to avoid the candidate from taking up some other opportunity. A candidate should
be duly informed once the decision is taken. He should be told the complete process of
his appointment clearly with details of all the documents that he needs to submit. A
record file should be maintained of the candidate for any future reference.
38
 HR Department first goes for an advertisement in the newspaper and in job
portals stating the nature of job and qualifications required for the job.
 Resumes are first received by the company mail ids and then the Resumes are
forwarded to the HR department where in the CV are scrutinized by the levels of
hierarchy.
 Then finally the HR department finalizes the candidates is sent to the
administration that has been nominated.
 The concerned officials in the administrative department issue gives a call
which the candidates are asked to attend the interview on some particular date.
Chapter-3
COMPANY PROFILE
39
COMPANY PROFILE
Overview:
MotilalOswal Securities Ltd. (MOSL) was founded in 1987 as a small sub-broking
unit, with just two people running the show. Focus on customer-first-attitude, ethical
and transparent business practices, respect for professionalism, research-based value
investing and implementation of cutting-edge technology has enabled us to blossom
into an over 1600 member team.
Today we are a well diversified financial services firm offering a range of financial
products and services such as Wealth Management, Broking & Distribution,
Commodity Broking, Portfolio Management Services, Institutional Equities, Private
Equity, Investment Banking Services and Principal Strategies.
We have a diversified client base that includes retail customers (including High Net
worth Individuals), mutual funds, foreign institutional investors, financial institutions
40
and corporate clients. We are headquartered in Mumbai and as of March 31st, 2012,
had a network spread over 612 cities and towns comprising 1,644 Business Locations
operated by our Business Partners and us. As at March 31st, 2012, we had 709,041
registered customers.
MotilalOswal Financial Services Ltd., is a non-banking financial company [NBFC]
register under the Reserve Bank of India Act, 1934. The company’s stand alone
operations are
i. Build on a financing infrastructure that can best customize risk adjusted products.
ii. Have simple and compliant documentation and prompt loan approval procedures.
iii. A strong structure in place that can most efficiently source funds and manage
resources.
MILESTONES:
41
2012:
 MotilalOswal in association with Zee Business, hosted the first of its series of
seminars under its investors education initiative called Investor Ki KahaniUsi Ki
Zubanion July 2, 2012 at BSE in Mumbai. The seminar saw a colossal turnout with
more than 750 investors attending the session.
 MotilalOswal AMC organized the first edition of MotilalOswalMOSt Shares ETF
Conclave 2012 at NSE, Mumbai on 15th June, 2012. The event was telecast LIVE via
webcast and the panel discussion was telecast LIVE by CNBC TV18.
 Mr. RaamdeoAgrawal was honoured with an award for Special Contribution to
Indian Capital Market by Zee Business at the ‘INDIA’S BEST MARKET ANALYST
AWARDS 2012 on April 29, 2012.
 Our Analysts Mr. DhirendraTiwari& Mr. HarshadBorawake won the Best Market
Analyst Award for the categories Equity-Sectoral-Infrastructure and Equity–Sectoral–
Energy respectively at ‘INDIA’S BEST MARKET ANALYST AWARDS 2012 organised by
Zee Business on April 29, 2012.
 MotilalOswalMOSt Shares NASDAQ 100 - India’s First US Equities Based ETF gets
listed on NSE and BSE on 31st March, 2012
 MotilalOswal Securities won 4 awards at the ET Now Starmine Analyst Awards
2010-2012. This puts MOSL amongst the Top 3 Award winning Brokers at the ET
NOW Starmine Analyst Awards 2010-2012
 Our analyst Mr. Alpesh Mehta was awarded Top Earnings Estimator – Overall, at
the ET NOW Starmine Analyst Awards 2010. He also received an award for Top
Earnings Estimator for Financial Sector along with our analysts Mr.
HarshadBorawake being awarded Top Stock Picker for Energy Sector and Mr.
SiddharthBothra being awarded Top Stock Picker for Real Estate Sector.
 MotilalOswal Mutual Fund launches MOSt Shares NASDAQ 100 - India’s first US
Equities based ETF tracking the NASDAQ-100 Index®
42
 MotilalOswal Mutual Fund’s MOSt Shares M50 bagged the ‘Most Innovative
Fund of the Year’ Award at CNBC TV18-CRISIL Mutual Fund Award 2012 held in
Mumbai.
 MotilalOswalMOSt Shares Midcap 100 ETF – India’s First Midcap Index ETF;
based on CNX Midcap Index was listed on NSE on February 4, 2012
 MotilalOswal Asset Management launches MOSt Shares M100 ETF - India’s First
Midcap ETF; based on CNX Midcap Index
2013:
 The 15th MotilalOswal Wealth Creation Study presentation was held in Mumbai
on 15th December 2010 and was covered live on CNBC TV18
 MotilalOswal Securities bagged the Best Performing Equity Broker (National)
Award at CNBC TV18 Financial Advisor Awards 2010 held in Mumbai. CNBC TV18
organised Financial Advisor Awards 2010, in partnership with UTI MF. These awards
are authoritative evaluation backed by a robust methodology powered by India’s
leading rating house, ICRA.
 MotilalOswal Securities entered into a strategic alliance with Barclays Bank, for
an equity trading platform for its (Barclays) customers. This alliance provides
Barclays customers with the option to invest in equities, derivatives and IPOs,
through MOSL.
 MotilalOswal Securities Limited bagged the QualTech Prize for Improvement -
2010 in the Services Category on September 24, 2010. The Award winning project
was a DMAIC project done in Account Opening Department to reduce Account
Opening Turnaround Time.
 AshutoshMaheshvari, CEO, MOIAPL, bagged the “India M&A Investment Banker
award”, and Acquisition of Equipav (Brazil) by Shree Renuka Sugars (India) facilitated
by MOIAPL won the “ASIA PACIFIC CROSS-BORDER DEAL of the YEAR” at the ASIA-
PACIFIC M&A ATLAS AWARDS held on September 23, 2010, organized by Global
M&A Network.
43
 MotilalOswal Private Equity organized the First Annual Investor Meet of India
Realty Excellence Fund (IREF) on 28th August, 2010 in Mumbai. The event provided a
platform for investors to interact with the investment team, MOPE’s partner
developers and get a flavor of their investment strategy
 MotilalOswal 6th Annual Global Investor conference was held in Mumbai from
August, 2010. Around 120 corporates participated in the conference and more than
500 investors attended it
 MOSt Shares M50 ETF was listed on NSE on July 30, 2010
 MOSt Shares M50 ETF NFO which was open for subscription from June 30, 2010
till July 19, 2010 raised over Rs.235 crores, making it the largest amount raised
during the NFO by any equity ETF in the past 5 years (Data source: Value Research
Online.com)
 MotilalOswal Asset Management hosted the 1st Value Investing forum in March
2010 and was covered live on CNBC TV18
2012:
 MotilalOswal Financial Services purchased its new corporate office building
based in Prabhadevi, the heart of Mumbai city with a planned usable area of over
2,00,000 sqft
 The 14th MotilalOswal Wealth Creation Study presentation held in Mumbai in
December 2009 and was covered live on CNBC TV18
 MOSL ranked No. 2 (Best Local brokerage) in the AsiaMoney Brokers Poll 2009
and No. 2 (Best Indian Brokerage House) category by Institutional Investor
 MotilalOswal Private Equity's India Reality Excellence Fund achieved its final
closing of INR 1.64 bn
 MotilalOswal Investment Advisors facilitates the first cross border acquisition by
an Indian company in the sugar sector in Brazil
 MotilalOswal Securities Ltd. rated as No.1 Broker in ET Now - Starmine Analyst
Awards 2009
44
 MotilalOswal 5th Annual Global Investor Conference was held in Mumbai where
around 80 Indian Corporates participated and over 400 investors from all over the
world attended
 MotilalOswal Securities Ltd. enters 'Limca Book of Records' for creating India's
largest dealing room in Mumbai
 MOSL was 'Rated No.1 – Best recommendations Mid & Small Caps' and won
awards in 3 out of 4 categories at the Starmine India Broker Rankings 2009 from
Thomson Reuters
EQUITY ADVISORY GROUP:
In keeping with its tradition of personalized service, MotilalOswal Securities Limited
provides Customized Equity Advisory Group to clients based on their profile. Equity
Research is an inherent strength of MOSt. Converting that research to advice is the main
function of Equity Advisory. Investors are presented with well researched opportunities
in companies which will grow in both market perceived value and growth. Along side,
the trading fraternity is catered to with ideas induced by Technical analysis and news
flow analysis. The investment ideas identified by the research team are presented and
communicated with conviction to our clients by our advisory team.
Our advisory team has highly trained equity professionals, who act as your Equity
Advisor. MOSt Equity Advisor proactively helps you take informed equity investment
decisions and build a healthy portfolio giving the best fit to your investment and trading
needs.
45
CENTRALIZED ADVISORY DESK (CAD)
The MOSt Equity Advisory Group is based in Mumbai at largest dealing and advisory
floor of India. This centralized advisory team caters to peculiar Investment need of every
HNI & MNI client and business partner; in a seamless, speedy and reliable manner using
state-of-the-art technology and telecommunication infrastructure.
MOSt Equity Advisors are equipped with the knowledge and prudence making sure that
every rupee deployed works the hardest it can. Your advisors play the part of a guide
ushering you on a swift wealth creation ride. The sheer strength of our advisory creates
synergy for seamless flow of Investment support.
To improve the overall experience while the clients interact with our advisors, we have
implemented a contact centre solution, Drishti, in our dealing room. Among other
benefits, this solution helps advisors to manage their client base more efficiently and
effectively. The system provides a single number contact to all our clients as well as a
single click auto-dial for advisors without having to remember their contact details.
Online
MotilalOswal Investment Services offers you a state-of-the-art Online Trading
platform that gives you:
Benefits of opening an account with MOSL:
 Wide range of investment choices - Equity, Derivatives, IPOs and Mutual Funds
 Award winning research trusted by 300+ Institutions & Fund Managers
 Flexible Online Trading Platform from your Desktop, Web, Mobile or Call N
Trade
 Superior Leverage Products allowing you to trade more on your margin#
 Discounted Brokerage Schemes that offer you true value for money
46
 Better Security with 128-bit Secure Socket Layer encryption
 Complete ease of operation with 46+ Banks for funds transfer
 Integrated view of your investments, customised news & alerts, watchlists,
etc.through “My
MotilalOswal”
 Dedicated customer see team, personal guidance and more…
# Margin will not be less than Exchange prescribed margin
BENEFITS:
MOSt Advisory Group is equipped to augment and alter the investments in an effort to
create healthy portfolio. MOSt Equity Advisor adjusts the portfolio to value addition and
erosion across the researched companies.
On the trading side the ideas are picked out of bouquet of products suitable to the trading
appetite.
The Equity Advisor doesn’t stop at just that, he goes a step further to ensure that your
trades are settled and stocks credited timely in your Demat account.
CLIENTS AND BUSINESS:
MotilalOswal Securities Ltd. was founded in 1987 as a small sub-broking unit, with just
two people running the show. Focus on customer-first-attitude, ethical and transparent
business practices, respect for professionalism, research-based value investing and
implementation of cutting-edge technology has enabled us to blossom into an almost
1600 member team.
47
Today we are a well diversified financial services firm offering a range of financial
products and services such as
 Wealth Management
 Broking & Distribution
 Commodity Broking
 Asset Management
 Institutional Equities
 Private Equity
 Investment Banking and
 Principal Strategies
We have a diversified client base that includes retail customers (including High Net
worth Individuals), mutual funds, foreign institutional investors, financial institutions and
corporate clients. We are headquartered in Mumbai and as of March 31st, 2012, had a
network spread over 612 cities and towns comprising 1,644 Business Locations operated
by our Business Partners and us. As at March 31st, 2012, we had 709,041 registered
customers.
Research:
From the inception of the company we have focused on a dedicated research team which
is engaged in analyzing the Indian economy and corporate sector to identify equity
investment ideas. Our expert teams of Research Analyst cover over 225 companies in
25+ sectors and commodities.
Our consistent efforts towards quality equity research have reflected in an increase in the
ratings & rankings across various categories in the Asia Money Brokers Poll over the
years. In the latest rankings, i.e. Star mine India Broker Rankings 2009 from Thomson
Reuters, we won awards in 3 out of 4 categories. We were rated No.1 in India Mid &
Small-Caps - Best Recommendations category, in the Top-3 in India BSE Sensex -
48
Earnings Estimates category and in the Top-10 in India Mid & Small-Caps - Earnings
Estimates category.
ASSET MANAGEMENT:
Welcome to Motilal Oswal Asset Management Company Limited (MOAMC)
At MOAMC we use Motilal Oswal’s knowledge based investment approach to help
create wealth for our customers.
Motilal Oswal Mutual Fund is registered with SEBI under Securities Exchange Board of
India (Mutual Funds) Regulations, 1996 vide Registration Code MF/063/09/04 dated
December 29, 2009.
We have launched our third product MOSt Shares NASDAQ 100 ETF (An Open Ended
Index Traded Fund) - India's 1st US Equities based ETF, based on NASDAQ-100 Index.
MO StShares M50 ETF is listed on NSE. NSE Symbol :- M50
MOSt Shares M100 ETF is listed on NSE, NSE Symbol :- M100
INVESTMENT BANKING:
Motilal Oswal Investment Advisors Private Limited (MOIAPL)
Founded in June 2006, MOIAPL offers comprehensive Investment Banking solutions and
transaction expertise covering private placement of equity, debt and convertible
instruments covering international & domestic capital markets, mergers & acquisitions
advisory and restructuring advisory & implementations.
49
The team comprises of multi-disciplinary professionals with extensive collective banking
and corporate finance advisory experience. An in-depth understanding of different sectors
within the Investment Banking team underpinned by the two decade old research strength
of the group company, Motilal Oswal Securities Limited enables us to provide
customized financial solutions to our clients across industries.
We display a focused transaction-closure orientation which is facilitated by our cross-
product knowledge and the well entrenched relationships that we nurture at the highest
levels within the investor community, market intermediaries and the corporate sector. We
work in partnership with the management of our clients and commit our resources end-to-
end throughout the transaction, ensuring timely execution with minimal disruption.
50
Our objective is to position ourselves as a globally respected Investment Bank by
assisting our clients in fulfilling their objectives of value creation.
To pursue our mission, the team inculcates the following values with utmost
sincerity:
Integrity:
We honor our commitments and work on transactions keeping in mind the long term
interests of the clients.
51
CORPORATE OFFICE:
MotilalOswal Financial Services Ltd.
3rd Floor, Hoechst House, Nariman Point, Mumbai - 400 021.
Board : + 91 22 39825500
Fax : + 91 22 22823499
To open an account or know more about our Products & Services
Call : +91 22 30896680
Email : info@motilaloswal.com
SMS : MOSL INFO to 575753
If you are already a MotilalOswal customer
Call (Customer Service Desk): +91 22 39982515 / 67490600
Email : query@motilaloswal.com /
grievances@motilaloswal.com
Call n Trade : +91 22 30896000 / 67316000
52
CHAPTER-4
DATA ANALYSIS
&
INTERPRETATION
53
4. DATA ANALYSIS AND INTERPRETATION
1. I am aware of objectives of this organization?
TABLE-4.1
Sl. No. Accepted Level No. of Respondents Response
Percentage
1 Agree 35 97%
2 Disagree 1 3%
3 No Idea 0 0%
Total 36 100%
Graph-4.1
ANALYSIS:
35 employees, constituting about 97% agreed that they are aware of
objectives of the organization HERO MOTORS . 1 respondent i.e. 3% of the sample said
that they are not aware of the objectives of the kakathiya over seas.
INTERPRETATION:
From the above pie-chart we observed 97% agreed that they are aware of objectives of
the organization .
2. I am aware of recruitment process of the organization?
TABLE- 4.2
54
35
1
0
1 Agree 2 Disagree
3 No Idea
Sl. No. Accepted Level No. of Respondents Response
Percentage
1 Agree 31 86%
2 Disagree 3 8%
3 No Idea 2 6%
Total 36 100%
GRAPH-4.2
Employee Responses
ANALYSIS:
31 employees, constituting about 86% agreed that they are aware of recruitment process
of the organization Recruitment 1 respondent i.e. 3% of the sample said that they are not
aware of the recruitment process of the Recruitment.
INTERPRETATION:
Maximum 86% employees are agreed are aware of recruitment process of the
organization.
3. Training and development programs acts as the best tool to reach the standard
level of performance.
TABLE NO-4.3
55
31
3
2
1 Agree
2 Disagree
3 No Idea
Sl. No.
Accepted Level No. of Respondents Response
Percentage
1 Agree 31 84%
2 Disagree 3 10%
3 No Idea 2 6%
Total 36 100%
GRAPH -4.3
ANALYSIS:
31 employees, constituting about 84% agreed that the Training and Development
programmers are the best tool to reach the standard level of performance where as 3
members constituting10% disagreed it and 2 members constituting 6% have no idea
about it.
INTERPRETATION:
31 employees, constituting about 84% agreed that the Training and Development
programmers are the best tool to reach the standard level of performance.
4. Policies and practices adopted by the HR department are good?
TABLE NO.-4.4
Sl. No. Accepted Level No. of Respondents Response
Percentage
56
84
10
6
Agree
Disagree
No idea
1 Agree 15 41%
2 Disagree 19 53%
3 No Idea 2 6 %
Total 36 100%
GRAPH -4.4
ANALYSIS:
15 employees, constituting about 41% agreed that the Policies and practices adopted by
the HR department are good where as 19 members constituting 53% disagreed it and 2
members constituting 6% have no idea about it.
INTERPRETATION:
15 employees, constituting about 41% agreed that the Policies and practices adopted by
the HR department are good.
5. Communication system in the organization is effect?
TABLE-4.5
Sl. No. Accepted Level No. of Respondents Response
Percentage
1 Agree 15 41%
2 Disagree 19 53%
57
15
19
2
Agree
Disagree
No Idea
3 No Idea 2 6%
Total 36 100%
GRAPH-4.5
ANALYSIS: 15 employees, constituting about 41% agreed that Communication system
in the organization is effective where as 19 members constituting 53% disagreed it and 2
members constituting 6% have no idea about it.
INTERPRETATION:
15 employees, constituting about 41% agreed that Communication system in the
organization is effective.
6. My department has effective procedures to guide my day-to-day work?
TABLE-4.6
Sl. No. Accepted Level No. of Respondents Response
Percentage
1 Agree 27 75%
2 Disagree 8 22%
3 No Idea 1 3%
Total 36 100%
58
41
53
6
Agree
Disagree
No idea
GRAPH-4.6
ANALYSIS:
27 employees, constituting about 75% agreed that their department has effective
procedures to guide my day-to-day work where as 8 members constituting 22%
disagreed it and 1 members constituting 3% have no idea about it.
INTERPRETATION:
27 employees, constituting about 75% agreed that their department has effective
procedures to guide my day-to-day work.
7. I am satisfied by the recruitment process carried out by the organization?
TABLE-4.7
Sl. No. Accepted Level No. of Respondents Response
Percentage
1 Agree 20 56%
2 Disagree 14 38%
3 No Idea 2 6%
Total 36 100%
GRAPH-4.7
59
75
23
2
Agree
Disagree
No idea
56
38
6
Agree
Disagree
No idea
ANALYSIS:
20 employees, constituting about 56% agreed that they are satisfied by the recruitment
process carried out by the organization where as 14members constituting 38% disagreed
it and 2 members constituting 6% have no idea about it.
INTERPRETATION:
20 employees, constituting about 56% agreed that they are satisfied by the recruitment
process carried out by the organization.
8. I reach the monthly target closers of the organization?
TABLE-4.8
Sl. No. Accepted Level No. of Respondents Response
Percentage
1 Agree 16 45%
2 Disagree 17 48%
3 No Idea 3 7%
Total 36 100%
GRAPH-4.8
60
45
47
8
Agree
Disagree
No idea
ANALYSIS:
16 employees, constituting about 45% agreed that they reach the monthly target closers
of the organization where as 17 members constituting 48% disagreed it and 3 members
constituting 7% have no idea about it.
INTERPRETATION:
16 employees, constituting about 45% agreed that they reach the monthly target closers
of the organization.
9 How many profiles do you shortlist per a day?
TABLE-4.9
Sl. No. Accepted Level No. of Respondents Response
Percentage
1 0 – 5 20 57%
2 6 – 10 10 28%
3 More than 10 6 15%
Total 36 100%
GRAPH-4.9
61
20
10
6
0-5
5-10
more than 10
ANALYSIS:
20 employees constituting about 57% short list 0-5 profiles per a day where as 10
employees constituting of 28% short list 5-10 profiles and only 6 employees constituting
15% shortlist more than 10 profiles per a day.
INTERPRETATION:
57% short list 0-5 profiles per a day.
10. Do you like to share the applicant information with the third party vendors?
TABLE-4.10
Sl. No. Accepted Level No. of Respondents Response
Percentage
1 Agreed 10 28%
2 Disagreed 22 60%
3 No Idea 4 12%
Total 36 100%
GRAPH-4.10
62
10
22
4
Agree
Disagree
No Idea
ANALYSIS:
10 employees, constituting about 28% agreed that to share the applicant information with
the third party vendors. where as 22 members constituting 60% disagreed it and 4
members constituting 12% have no idea about it.
INTERPRETATION: 10 employees, constituting about 28% agreed that to share the
applicant information with the third party vendors.
11. Do you have the applicants tracking system in the organization?
11. TABLE-4.11
Sl. No. Accepted Level No. of Respondents Response
Percentage
1 Agreed 3 8%
2 Disagreed 32 89%
3 No Idea 1 3%
Total 36 100%
Employee Responses GRAPH-4.11
63
3
32
1
Agree
Disagree
No Idea
ANALYSIS:
3 employees, constituting about 8% agreed that there exist the applicants tracking system
in the organization where as 32 members constituting 89% disagreed it and 1 members
constituting 3% have no idea about it.
INTERPRETATION: 3 employees, constituting about 8% agreed that there exist the
applicants tracking system in the organization.
12. Is it possible to measure the applicant confidence and technical skill
level before short listing?
TABLE-4.12
Sl. No. Accepted Level No. of Respondents Response
Percentage
1 Yes 10 28%
2 No 25 69%
3 No Opinion 1 3%
Total 36 100%
Employee Responses GRAPH-4.12
64
10
25
1
Yes
No
No Opinion
ANALYSIS:
10 employees constituting of 28% agree that it is possible to measure the applicants
technical skills and confidence before short listing, whereas 25 employees constituting of
69% constituting of 25 employees disagree , and only one employee has no opinion
about it.
INTERPRETATION: 10 employees constituting of 28% agree that it is possible to
measure the applicant’s technical skills and confidence before short listing
13. Is it helpful to maintain profiles database?
TABLE-4.13
Sl. No. Accepted Level No. of Respondents Response
Percentage
1 Yes 24 67%
2 No 10 28%
3 No Opinion 2 5%
Total 36 100%
Employee Responses GRAPH-4.13
65
24
10
2
Yes
No
No Opinion
ANALYSIS:
24 employees constituting of 67% agree that it is helpful to maintain the profile
database,10 employees constituting of 28% disagree that it is not helpful to maintain the
profile database, and 2 employees constituting of 5% have no idea about maintaining of
the profile database.
INTERPRETATION:
24 employees constituting of 67% agree that it is helpful to maintain the profile database
14. Do you support to forward the fake resumes to the clients that match their
Requirement ?
Sl. No. Accepted Level No. of Respondents Response
Percentage
1 Yes 31 86%
2 No 4 11%
3 No Opinion 1 3%
Total 36 100%
Employee Responses
66
31
4
1
Yes
No
No Opinion
ANALYSIS:
31 employees constituting of 86% agreed to forward fake resumes to the clients that
match their requirement, 10 employees constituting of 28% disagree to forward fake
resumes, and 2 employees constituting of 5% have no idea about it.
INTERPRETATION:
31 employees constituting of 86% agreed to forward fake resumes to the clients that
match their requirement
15. Are you effectively using internal database for your requirements?
TABLE-4.15
Sl. No. Accepted Level No. of Respondents Response
Percentage
1 Yes 26 73%
2 No 7 19%
3 No Opinion 3 8%
Total 36 100%
Employee Responses GRAPH-4.15
67
26
7
3
Yes
No
No Opinion
ANALYSIS:
26 employees constituting of 73% are in favour of using internal database effectively for
their requirements, 7 employees constituting of 19% unfavorable of using internal
database for their requirements, and 3 employees constituting of 8% have no idea about
usage of internal database.
INTERPRETATION: 26 employees constituting of 73% are in favour of using internal
database effectively for their requirement
16. Are you aware of job postings in the portals?
TABLE-4.16
Sl. No. Accepted Level No. of Respondents Response
Percentage
1 Yes 24 67%
2 No 10 28%
3 No Opinion 2 5%
Total 36 100%
Employee Responses GRAPH-4.16
ANALYSIS:
68
24
10
2
Yes
No
No Opinion
24 employees constituting 67% are aware of the job postings in different portals. 10
employees constituting 28% are not aware of the job postings, 2 employees constituting
5% don’t have any opinion on this.
INTERPRETATION:
24 employees constituting 67% are aware of the job postings in different portals.
17. From which source you are getting maximum responses ?
TABLE-4.17
Sl. No. Accepted Level No. of Respondents Response
Percentage
1 Company Database 6 17%
2 Advertisements 7 19%
3 Postings in the Job portals 23 64%
Total 36 100%
Employee Responses
GRAPH-4.17
ANALYSIS:
17% of the employees say that they are getting maximum response from the company
database, 19% of employees feel that they are getting maximum response from
69
6
7
23
Company
Database
Advertisements
Postings in the
Job portals
Advertisements, 64% of the employees say that they are getting response from
postings in the job portals.
INTERPRETATION:
64% of the employees say that they are getting response from postings in the job portals.
18. Are you aware of the payments terms?
TABLE-4.18
Sl. No. Accepted Level No. of Respondents Response
Percentage
1 Yes 24 67%
2 No 10 28%
3 No Opinion 2 5%
Total 36 100%
Employee Responses
GRAPH-4.18
ANALYSIS:
24 employees constituting of 67% are aware of the payment terms, 10 employees
constituting of 28% are not aware of the payment terms where as only 2 employees
constituting of 5% have no idea regarding the payment terms.
INTERPRETATION:
70
Yes
No
No Opinion
24 employees constituting of 67% are aware of the payment terms.
CHAPTER-5
FINDING &SUGGESIONS
&
CONCLUSION
71
FINDINGS
1. 97% of total respondents agreed that they are aware of objectives of the
organization. And among the sample size of 36, only 1 is not satisfied with the
recruitment process. This will be the beneficial factor to the organisation.
2. 78% of the total respondents agreed that there is a need for training and
development in the organization.
3. HR practices adopted by HR Manager are good and this is been agreed by 80%
of the respondents. This is supporting factor.
4. 97% of employees feel proud and happy as employees in the organization. They
are interested to take the responsibility of team leader, if given.
5. The recruitment strategies followed by organization are satisfactory and this is
agreed by 80% of total respondents.
6. Ratings on the performance of employees given by the superiors are satisfied by
92% of the respondents which shows the positive attitude of the employees
towards the company.
7. 86% are satisfied with the physical conditions at the work place and are striving
hard to reach their monthly targets.
8. 41% of the employees agreed that there is effective communication system in the
organization.
9. 60% of the recruiters are against sharing the applicant’s information with the
third party vendors.
10. Only 28% of the employees agreed that it is possible to measure the applicant’s
skills before short listing.
72
11. 75% of the recruiters look after both the IT and Non-IT recruitments.
SUGGESTIONS
On the strength of study, assisted by interviews and discussions with employees, I
propose to give the following suggestions to improve further, the recruitment process.
• Organizing more Training and Development programs to improve the capabilities
and to explore and exploit themselves.
• Improving communication system. To have interaction with employees and make
them aware of goals and missions of the organization.
• Focus on technical backup need to be provided to the recruiters to achieve the
task.
• The applicant’s tracking system should improve as it helps the recruiters to have
an idea on the present position of the applicant and hence their time and efforts
are saved.
• Giving personal ads. through the different means of media may cost high, hence
using portals for this task may reduce the cost.
• The company should focus on insights of Employee Recruitment and should have
a technical wing to test the applicant’s ability before forwarding their resumes to
the clients.
• If profile databases are maintained, they should be updated frequently.
• The recruiters need to update their knowledge about their clients.
73
CONCLUSION
The factors that most significantly influence employee’s attitude towards the recruitment
process at HERO MOTORS and possible reasons for choosing this organization by both
the applicants and clients.
Reasons to choose hero motors:
• There is opportunity for personal growth and development.
• The organization also provide Training and Development
Which is essential for career development?
• Employees are satisfied with the physical conditions at the work place.
• The organization is following right approach to recruit the employees.
Reasons for rejection.
• Lack of awareness of the interview methods by the applicants.
• Need for Training and Development program.
• Short listing strategies are not so effective.
74
• BIBLIOGRAPHY
• APPENDIX
75
BIBLIOGRAPHY
MAGAZINES:
 Harward Business Review.
 HRM Review
TEXT BOOKS:
 James A.F.Stoner, R.Edward Freeman, Daniel R.Gilbert,jr,HRM, 6th
Edition, Pearson
Education, pp.397
 Gary Dessler, HRM, 9th
Edition, Pearson Education, pp.363
 Ian Beardwell, Len Holden, HRM, 1st
Edition-1994, Mac Millan India Limited,
pp.499
 Personnal management by C.B MAMORIA
 Mirza .S. Saiyadain, HRM, 3rd
Edition, pp.277
WEBSITES:
 www.hero.com
 www.citehr.com
 www.hrworld.com
 www.entrepreneur.com
76
APPENDIX
QUESTIONNAIRE
Dear Employee,
I am N.HAMSALEKHA pursuing MBA (IV SEM) from PRINCETON PG COLLEGE
OF INFORMATION TECHNOLOGY. As part of the curriculum, I have taken up HR
project work “Recruiting Process” at hero motors .HYDERABAD I request you to
support by taking some time off your busy schedule and filling up this questionnaire.
1. Are you aware of the objectives of the organization? [ ]
a) Yes [ ] b) No [ ] c) No idea [ ]
2. Are you aware of recruitment process of the organization? [ ]
a) Yes [ ] b) No [ ] c) No idea [ ]
3. Training and development programs acts as the best tool to reach the standard
level of performance. [ ]
a) Agreed [ ] b) disagree [ ] c)No idea [ ]
4. Policies and practices adopted by the HR department are good. [ ]
a) Agreed [ ] b) disagree [ ] c) No idea [ ]
5. Communication system in the organization is effective [ ]
a) Agreed [ ] b) disagree [ ] c) No idea [ ]
77
6. My department has effective procedures to guide my day-to-day work. [ ]
a) Agreed [ ] b) disagree [ ]c) No idea [ ]
7. I am satisfied by the recruitment process carried out by the organization [ ]
a) Agreed [ ] b) disagree [ ] c) No idea [ ]
8. I reach the monthly target closers of the organization [ ]
a) Agreed [ ] b) disagree [ ] c) No idea [ ]
9 How many profiles do you shortlist per a day [ ]
a) 0-5 [ ] b) 6-10 [ ] c) more than 10 [ ]
10. Do you like to share the applicant information with the third party vendors [ ]
a) Agreed [ ] b) disagree [ ] c) No idea [ ]
11. Do you have the applicants tracking system in the organization? [ ]
a) Yes [ ] b) no [ ] c) No idea [ ]
12. Is it possible to measure the applicant confidence and technical skill level
before short listing? [ ]
a) Yes [ ] b) No[ ] c) No opinion [ ]
13. Is it helpful to maintain profiles database. [ ]
a) Yes [ ] b) No [ ]c) No opinion [ ]
14. Do you support to forward the fake resumes to the clients that match their
78
Requirement [ ]
a) Yes [ ] b) No [ ] c) No opinion [ ]
15 Are you effectively using internal database for your requirements. [ ]
a) Yes [ ] b) No [ ] c) No opinion [ ]
16. Are you aware of job postings in the portals? [ ]
a) Yes [ ] b) No [ ] c) No opinion [ ]
17 From which source you are getting maximum responses [ ]
a) Company database [ ]b) Advertisements[ ] c) Postings in the Job portals[ ]
18. Are you aware of the payments terms? [ ]
a) Yes [ ] b) No [ ] c) No opinion [ ]
19. Are you dealing with IT requirements or Non IT Requirements? [ ]
a) IT Requirements [ ] b) Non IT requirements [ ] c) Both [ ]
20. Are you aware of client Information? [ ]
a) Yes [ ] b) No [ ] c) No opinion [ ]
Please give your valuable suggestions/remarks:
79
Thanking you.
Signature
80

Main dacument

  • 1.
  • 2.
    INTRODUCTION 1.1 INTRODUCTION TOSTUDY Human Resource Management is relatively new concept, emerging during the 1970’s. Many people continue to refer the discipline by its older, more traditional titles, such as Personnel Management or Personnel Administration. The trend is changing. The term now-a-days used in industry circles is HRM. Coming to the evolution of HRM, it may be stated that concern for the welfare of workers in the management of business enterprises has been in existence since ages. Kantilla’s Arthashastra states that there existed a sound base for systematic management of resources during as early as the 4th century BC. The government then took an active interest in the operation of public and private sector enterprises and provided systematic procedures for regulating employer-employee relationships. Ever since its evolution, the HRM functions have gone a long way and have assumed a professional status today. It is now globally recognized that managing human resources is the basic job of management. With the advent of globalization of business, Human Resource Management has now emerged as the most crucial aspect of management. India is not an exception to this scenario. Human Resource Management (HRM) is a management function that helps managers recruit, select, train and develop members for an organization. Obviously, HRM is concerned with the people’s dimension in organizations. HRM today has evolved as a strategic approach to the acquisition, motivation, development and management of the organization’s human resources. It is devoted to shaping an appropriate corporate culture and introducing programs which reflect and support the core values of the enterprise and ensure its success. 2
  • 3.
    RECRUITMENT & SELECTIONPROCESS RECRUITMENT: Placing the RIGHT PERSON in RIGHT PLACE at RIGHT TIME. Vacancy is known in two situations (generally):  An employee leaves and there is a vacancy created  Business Growth The vacancy is intimated to the HR department by the concerned technical department. Ensure that judgment of abilities, experience and qualifications is made against the requirements of the position in question. 1) Defining the Requirement - Decide what vacancy you have. If you need to fill a new role quickly you might find it helpful to adapt one of the models provided here: Task analysis: Draw up a detailed list of tasks that the person will have to do. This helps in determining the qualities and qualifications genuinely required for the job. Job description: Produce an outline of the broad responsibilities (rather than detailed tasks) involved in the job. Person specification: Decide what skills, experience, qualifications and attributes someone will need to do the job as defined in the task analysis and job description. 2) Selection - Select your candidate being objective and unbiased. Choose the person who best fits your person specification. Short listing: Review applications on the basis of the person specification. Ensure that you select for interview those who match the specifications, regardless of age, sex, race etc, and that the specifications are not themselves discriminatory. Interviews: Interview your short-listed candidates remembering that your job is not only to assess the best candidate for the job, but also to create a great impression of your organization. 3) Candidate assessments - The interview will provide you with some information but check it out before offering a job. 3
  • 4.
    • Ask thecandidate to show you examples of previous work, do a presentation, a case study, some tests or full assessment. Tests can be done before the interview or after the interview. It depends on the number of candidates being interviewed and the type of job. • You must have the specific permission of the applicant to do so, particularly if you wish to contact their current employer. If you need them quickly, try phoning. 4) Making a Job Offer - If you think you have found the right candidate, it’s time to make the job- offer. 5) Induction - Help your new recruit to settle in quickly and become productive as soon as possible. Now, Let us see a little more in detail how this process can be divided into stages and how best to execute the process: The Recruitment Process: The recruitment process begins when you know you need someone new in the Department, either because an existing staff member has left, or because there is new work to be done. It doesn't finish until after the appointment has been made. The main stages are identified in the below flow chart – Identify Vacancy ↓ Prepare Job Description and person Specification ↓ Advertise ↓ Managing the Response ↓ Short-listing ↓ References ↓ Arrange Interviews ↓ Conduct The Interview ↓ Decision Making ↓ Convey The Decision ↓ Appointment Action 4
  • 5.
    Figure 1.1 RecruitmentProcess. Pre-Interview:  Preparation of recruitment /selection document for the position • Advertising Preparing • Advertisement • Media selection  Positioning Response handling • Initial interview online or telephone • Short-listing for interviews • Interview arrangement • Sending emails or calling short listed candidates • Interview details to the short listed candidates Post-Interview  Email or Telephone call to unsuccessful candidates  Technical Manager approval for a start up date.  Email or Telephone call to successful candidates  HRM prepares a letter of appointment Recruitment Cycle Time: To bring in more effectiveness in the recruitment process, HR would follow a specific project deadline of 38 days (from the day it had received the approved Manpower Requisition) to hire a new employee. 5
  • 6.
    The process specificschedule break-up is mentioned below Recruitment Procedure Process Map Stage one – Preparation Figure num.1.2 6 Phase Activities Time frame I Role Identification, Job Description, CV Sourcing & Initial HR short-listing 15 days II Organizing the Written Tests 5 days Organizing the First Technical Interviews 5 days Organizing the Final Interviews 4 days Sessions to take the final decisions 3 days III Preparing the Salary Proposal, Negotiate with the selected candidates & offer closure 6 days Recruiting Manager (RM) has a need to recruit RM drafts job description, person specification and advertisement using the specified template RM sends electronic copies of job description, person specification and advertisement to the Human Resources Department The Dean / Senior Service Area Manager gives final approval to recruit Upon receipt of financial approval the RF/01 form is sent to the Dean / Senior Service Area Manager for final approval RM completes part one (vacancy details) on the RF/01 form and sends for financial approval Process moves on to Stage two - Resourcing
  • 7.
    Stage Two –Resourcing Figure num.1.3 7 HR Co-ordinator delegates responsibility for the management of recruitment campaign to named HR Assistant who contacts Recruiting Manager (RM) to agree on the recruitment contract The Human Resources Department check the job description & person specification and put together an appropriate job pack for candidates. This can be prepared in hard copy and as a pdf file for websites The Human Resources Department will pass all application forms received to the RM within the timescales agreed as part of the recruitment contract The Human Resources Department will respond to all requests for job packs and will log all completed applications. The Human Resources Department Liaise with RM and the advertising agency to agree final text, media, placement of the advertisement and costs Process moves on to Stage three - Selection
  • 8.
    Stage Three –Selection Figure num.1.4 8 RM or the Human Resources Department will notify unsuccessful candidates of the outcome by letter RM completes part two (appointment details) on the RF/01 form and a new starter set up form and sends all recruitment documentation (including applications forms) to the Human Resources Department Selection Panel hold interviews and assess candidates. If a decision is made to make an appointment the RM will make a verbal conditional offer of employment RM or the Human Resources Department organise selection panel , plan interview, arrangements and invite candidates to attend Recruiting Manager (RM) will undertake and / or ensure that the shortlisting of candidates takes place within the timescales agreed as part of the recruitment contract and will notify the Human Resources Department of the selected candidates Process moves on to Stage four – The Offer.
  • 9.
    Stage Four –The Offer Figure num.1.5 9 On their first day, the new employee visits the Human Resources Department with proof of Identification and qualifications (where necessary) for verification. The new employee also arranges to collect their staff identification card The Recruiting Manager (RM) and the Human Resources Department will liaise to plan the new employees induction programme On receipt of the signed contract, references, medical and other clearances, completed forms and a start date, the Human Resources Department set up the employee on SAP and will circulate the new starter set up form to the relevant sections (This should be completed at least two weeks before the start date). The Human Resources Department will issue a conditional offer letter / contract of employment with detailed enclosures to the successful candidate for completion and information. Any outstanding references will also be requested The recruitment process is now complete
  • 10.
    OBJECTIVES OF THESTUDY: The objective of the study is the survival of every organization in the market, it is very essential to enhance its production and productivity. To raise the production and productivity, human resources are important factor.  To study the EMPLOYEE RECRUITMENT PROCESS at MotilalOswal, Hyderabad.  To study the employees attitude towards Employee Recruitment & selection process.  To understand the H.R. Practices regarding Employee Recruitment and selection process.  To evaluate the effectiveness of Employee Recruitment&selection process.  To make suggestions on Creative Ideas for Employee Recruitment and selection. SCOPE OF THE STUDY  It is to analyze and study the various methods of recruitment at MotilalOswal, the importance of effective recruitment methods for the development and improvement and competence of the organization.  The project work entitled “Job Design with Motivation” at MotilalOswal covers various levels of employees in the organization. Since MotilalOswal is a private sector undertaking and has a very well organized and established HRD, it was a great opportunity for me to study this aspect in detail within the time frame available and make a report. LIMITATIONS OF THE STUDY  Limited time period  Unable to interact with all the employees.  Problem with confidential information.  Unable to obtain the proper feedback because of limited time period and busy schedule of the employees. RESEARCH METHODOLOGY OF THE STUDY: SOURCES OF DATA: Primary Data: From the information elicited through Questionnaire, Interviews and Discussions with respondents and other employees of the organization. 10
  • 11.
    Secondary Data: From Circulars,Policy Papers, Broacher of the company. Sample Size: The well-structured questionnaire with a sample size of 36 employees (Associate Recruiters – 12, Recruiters – 10, Sr Recruiters – 5, Team Leaders – 3, Asst.TeamLead -2, Asst.Manager - Recruitment - 1, Asst.Manager – Operations-1, Manager-HR & Operations – 1, HR Executive – 1,). Period of study : 45 days Research tool: structured questionnaire is used with pie charts for data analysis and interpretation. 11
  • 12.
    CHAPTER -2 REVIEW OFLITERATURE 12
  • 13.
    2. REVIEW OFLITERATURE Recruitment And selection Recruitment and selection are two of the most important functions of personnel management. Recruitment precedes selection and helps in selecting a right candidate. Recruitment is a process to discover the sources of manpower to meet the requirement of the staffing schedule and to employ effective measures for attracting that manpower in adequate numbers to facilitate effective selection of efficient personnel. Staffing is one basic function of management. All managers have responsibility of staffing function by selecting the chief executive and even the foremen and supervisors have a staffing responsibility when they select the rank and file workers. However, the personnel manager and his personnel department is mainly concerned with the staffing function. Every organization needs to look after recruitment and selection in the initial period and thereafter as and when additional manpower is required due to expansion and development of business activities. ‘Right person for the right job’ is the basic principle in recruitment and selection. Ever organization should give attention to the selection of its manpower, especially its managers. The operative manpower is equally important and essential for the orderly working of an enterprise. Every business organization/unit needs manpower for carrying different business activities smoothly and efficiently and for this recruitment and selection of suitable candidates are essential. Human resource management in an organization will not be possible if unsuitable persons are selected and employment in a business unit. RECRUITMENT Recruitment means to estimate the available vacancies and to make suitable arrangements for their selection and appointment. Recruitment is understood as the process of searching for and obtaining applicants for the jobs, from among whom the right people can be selected. 13
  • 14.
    A formal definitionstates, “It is the process of finding and attracting capable applicants for the employment. The process begins when new recruits are sought and ends when their applicants are submitted. The result is a pool of applicants from which new employees are selected”. In this, the available vacancies are given wide publicity and suitable candidates are encouraged to submit applications so as to have a pool of eligible candidates for scientific selection. In recruitment, information is collected from interested candidates. For this different source such as newspaper advertisement, employment exchanges, internal promotion, etc.are used. In the recruitment, a pool of eligible and interested candidates is created for selection of most suitable candidates. Recruitment represents the first contact that a company makes with potential employees Need for recruitment: The need for recruitment may be due to the following reasons / situation: Vacancies due to promotions, transfer, retirement, termination, permanent disability, death and labor turnover. Creation of new vacancies due to the growth, expansion and diversification of business activities of an enterprise. In addition, new vacancies are possible due to job specification. Purpose and importance of Recruitment:  Determine the present and future requirements of the organization on conjunction with its personnel-planning and job analysis activities.  Increase the pool of job candidates at minimum cost.  Help increase the success rate of the selection process by reducing the number of visibly under qualified or overqualified job applicants.  Help reduce the probability that job applicants, once recruited and selected, will leave the organization only after a short period of time.  Meet the organization’s legal and social obligations regarding the composition of its work force. Unscientific Recruitment and Selection: Previously, the selection of candidates was influenced by superstitions, beliefs, personal prejudices of managers looking after the recruitment and selection of the staff. The net result of such unscientific recruitment and selection are: 14
  • 15.
     Low productivityof labour  High turnover  Excessive wastage of raw materials  More accidents and corresponding loss to the organization  Inefficient working of the whole organization and finally Scientific recruitment and selection: The importance of selection recruitment and selection of staff is now accepted in the business world. Selection is important as it has its impact on work performance and employee cost. As result scientific methods of recruitment and selection are extensively for the selection of managers and the supervisory staff. The assistance of experts such as industrial psychologist and management consultants are also taken for the purpose of scientific selection. As a result, the objective of “right man for the right job” is achieved in many organizations. Moreover, “right job” is the basic principle in manpower procurement. RECRUITMENT PROCESS Recruitment refers to the process of identifying and attracting job seekers so as to build a pool of qualified job applicants. The process comprises five interrelated stages, viz  Planning.  Strategy development.  Searching.  Screening.  Evaluation and control. 15
  • 16.
    The ideal recruitmentprogramme is the one that attracts a relatively larger number of qualified applicants who will survive the screening process and accept positions with the organization, when offered. Recruitment programme can miss the ideal in many ways i.e. by failing to attract an adequate applicant pool, by under/over selling the organization or by inadequate screening applicants before they enter the selection process. Thus, to approach the ideal, individuals responsible for the recruitment process must know how many and what types of employees are needed, where and how to look for the individuals with the appropriate qualifications and interests, what inducement to use for various types of applicants groups, how to distinguish applicants who are qualified from those who have a reasonable chance of success and how to evaluate their work. STAGE 1: RECRUITMENT PLANNING: The first stage in the recruitment process is planning. Planning involves the translation of likely job vacancies and information about the nature of these jobs into set of objectives or targets that specify the (1) Numbers and (2) Types of applicants to be contacted. Number of contacts: Organization, nearly always, plan to attract more applicants than they will hire. Some of those contacted will be uninterested, unqualified or both. Each time a recruitment Programme is contemplated, one task is to estimate the number of applicants necessary to fill all vacancies with the qualified people. Types of contacts: It is basically concerned with the types of people to be informed about job openings. The type of people depends on the tasks and responsibilities involved and the qualifications and experience expected. These details are available through job description and job specification. STAGE 2: STRATEGY DEVELOPMENT: When it is estimated that what types of recruitment and how many are required then one has concentrate in (1). Make or Buy employees. (2). Technological sophistication of recruitment and selection devices. (3). Geographical distribution of labour markets comprising job seekers. (4). Sources of recruitment. (5). Sequencing the activities in the recruitment process. 1. ‘Make’ or ‘Buy’: 16
  • 17.
    Organization must decidewhether to hire le skilled employees and invest on training and education programmes, or they can hire skilled labour and professional. Essentially, this is the ‘make’ or ‘buy’ decision. Organizations, which hire skilled and professionals shall have to pay more for these employees. 2. Technological Sophistication: The second decision in strategy development relates to the methods used in recruitment and selection. This decision is mainly influenced by the available technology. The advent of computers has made it possible for employers to scan national and international applicant qualification. Although impersonal, computers have given employers and Job seekers a wider scope of options in the initial screening stage. Where to look: In order to reduce the costs, organizations look in to labour markets most likely to offer the required job seekers. Generally, companies look in to the national market for managerial and professional employees, regional or local markets for technical employees and local markets for the clerical and blue-collar employees. When to look: An effective recruiting strategy must determine when to look-decide on the timings of events besides knowing where and how to look for job applicants. STAGE 3: SEARCHNG: Once a recruitment plan and strategy are worked out, the search process can begin. Search involves two steps A). Source activation and B). Selling. A). SOURCE ACTIVATION: Typically, sources and search methods are activated by the issuance of an employee requisition. This means that no actual recruiting takes place until lone managers have verified that vacancy does exist or will exist. If the organization has planned well and done a good job of developing its sources and search methods, activation soon results in a flood of applications and/or resumes. The application received must be screened. Those who pass have to be contacted and invited for interview. Unsuccessful applicants must be sent letter of regret. B). SELLING: 17
  • 18.
    A second issueto be addressed in the searching process concerns communications. Here, organization walks tightrope. On one hand, they want to do whatever they can to attract desirable applicants. On the other hand, they must resist the temptation of overselling their virtues. In selling the organization, both the message and the media deserve attention. Message refers to the employment advertisement. With regards to media, it may be stated that effectiveness of any recruiting message depends on the media. Media are several-some have low credibility, while others enjoy high credibility. Selection of medium or media needs to be done with a lot of care. STEP 4: SCREENING: Screening of applicants can be regarded as an integral part of the recruiting process, though many view it as the first step in the selection process. Even the definition on recruitment, we quoted in the beginning of this chapter, excludes screening from its scope. However, we have included screening in recruitment for valid reasons. The selection process will begin after the applications have been scrutinized and short-listed. Hiring of professors in a university is a typical situation. Application received in response to advertisements is screened and only eligible applicants are called for an interview. A selection committee comprising the Vice-chancellor, Registrar and subject experts conducts interview. Here, the recruitment process extends up to screening the applications. The selection process commences only later. Purpose of screening The purpose of screening is to remove from the recruitment process, at an early stage, those applicants who are visibly unqualified for the job. Effective screening can save a great deal of time and money. Care must be exercised, however, to assure that potentially good employees are not rejected without justification. In screening, clear job specifications are invaluable. It is both good practice and a legal necessity that applicant’s qualification is judged on the basis of their knowledge, skills, abilities and interest required to do the job. 18
  • 19.
    The techniques usedto screen applicants vary depending on the candidate sources and recruiting methods used. Interview and application blanks may be used to screen walk-ins. Campus recruiters and agency representatives use interviews and resumes. Reference checks are also useful in screening. STAGE 5: EVALUATION AND CONTROL: Evaluation and control is necessary as considerable costs are incurred in the recruitment process. The costs generally incurred are: - • Salaries for recruiters. • Management and professional time spent on preparing job description, job specifications, advertisements, agency liaison and so forth. • The cost of advertisements or other recruitment methods, that is, agency fees. • Recruitment overheads and administrative expenses. • Costs of overtime and outsourcing while the vacancies remain unfilled. Sources of Recruitment SOURCES OF MANAGERIAL RECRUITMENT INTERNAL SOURCES EXTERNAL SOURCES 1) Promotion 1) Campus recruitment 2) Transfers 2) Press advertisement 3) Internal notification 3) Management consultancy service (Advertisement) & private employment exchanges 4) Retirement 4) Deputation of personnel or transfer from one enterprise to another 5) Recall 5) Management training schemes 6) Former employees 6) Walk-ins, write-ins, talk-ins 7) Miscellaneous external sources The sources of recruitment can be broadly categorized into internal and external sources- 19
  • 20.
    Internal Recruitment Internal recruitmentseeks applicants for positions from within the company. The various internal sources include: Promotions and Transfers – Promotion is an effective means using job posting and personnel records. Job posting requires notifying vacant positions by posting notices, circulating publications or announcing at staff meetings and inviting employees to apply. Personnel records help discover employees who are doing jobs below their educational qualifications or skill levels. Promotions has many advantages like it is good public relations, builds morale, encourages competent individuals who are ambitious, improves the probability of good selection since information on the individual’s performance is readily available, is cheaper than going outside to recruit, those chosen internally are familiar with the organization thus reducing the orientation time and energy and also acts as a training device for developing middle-level and top-level managers. However, promotions restrict the field of selection preventing fresh blood & ideas from entering the organization. It also leads to inbreeding in the organization. Transfers are also important in providing employees with a broad-based view of the organization, necessary for future promotions. Employee referrals- Employees can develop good prospects for their families and friends by acquainting them with the advantages of a job with the company, furnishing them with introduction and encouraging them to apply. This is a very effective means as many qualified people can be reached at a very low cost to the company. The other advantages are that the employees would bring only those referrals that they feel would be able to fit in the organization based on their own experience. The organization can be assured of the reliability and the character of the referrals. In this way, the organization can also fulfill social obligations and create goodwill. Former Employees- These include retired employees who are willing to work on a part-time basis, individuals who left work and are willing to come back for higher compensations. Even retrenched employees are taken up once again. The advantage here is that the people are already known to the organization and there is no need to find out their past performance and character. Also, there is no need of an orientation programme for them, since they are familiar with the organization. Dependents of deceased employees- 20
  • 21.
    Usually, banks followthis policy. If an employee dies, his / her spouse or son or daughter is recruited in their place. This is usually an effective way to fulfill social obligation and create goodwill. Recalls: - When management faces a problem, which can be solved only by a manager who has proceeded on long leave, it may de decided to recall that persons after the problem is solved, his leave may be extended. Retirements: - At times, management may not find suitable candidates in place of the one who had retired, after meritorious service. Under the circumstances, management may decide to call retired managers with new extension. Internal notification (advertisement): - Sometimes, management issues an internal notification for the benefit of existing employees. Most employees know from their own experience about the requirement of the job and what sort of person the company is looking for. Often employees have friends or acquaintances who meet these requirements. Suitable persons are appointed at the vacant posts. External Recruitment External recruitment seeks applicants for positions from sources outside the company. They have outnumbered the internal methods. The various external sources include: Professional or Trade Associations:- Many associations provide placement service to its members. It consists of compiling job seeker’s lists and providing access to members during regional or national conventions. Also, the publications of these associations carry classified advertisements from employers interested in recruiting their members. These are particularly useful for attracting highly educated, experienced or skilled personnel. Also, the recruiters can zero on in specific job seekers, especially for hard-to-fill technical posts. Advertisements:- It is a popular method of seeking recruits, as many recruiters prefer advertisements because of their wide reach. Want ads describe the job benefits, identify the employer and tell those interested how to apply. Newspaper is the most common medium but for highly specialized recruits, advertisements may be placed in professional or business journals. Advertisements must contain proper information like the job content, working conditions, location of job, compensation including fringe benefits, job specifications, growth aspects, 21
  • 22.
    etc. The advertisementhas to sell the idea that the company and job are perfect for the candidate. Recruitment advertisements can also serve as corporate advertisements to build company’ image. It also cost effective. Employment Exchanges:- Employment Exchanges have been set up all over the country in deference to the provision of the Employment Exchanges (Compulsory Notification of Vacancies) Act, 1959. The Act applies to all industrial establishments having 25 workers or more each. The Act requires all the industrial establishments to notify the vacancies before they are filled. The major functions of the exchanges are to increase the pool of possible applicants and to do the preliminary screening. Thus, employment exchanges act as a link between the employers and the prospective employees. These offices are particularly useful to in recruiting blue-collar, white collar and technical workers. Campus Recruitments:- Colleges, universities, research laboratories, sports fields and institutes are fertile ground for recruiters, particularly the institutes. Campus Recruitment is going global with companies like HLL, Citibank, HCL-HP, ANZ Grind lays, L&T, Motorola and Reliance looking for global markets. Some companies recruit a given number of candidates from these institutes every year. Campus recruitment is so much sought after that each college; university department or institute will have a placement officer to handle recruitment functions. However, it is often an expensive process, even if recruiting process produces job offers and acceptances eventually. A majority leave the organization within the first five years of their employment. Yet, it is a major source of recruitment for prestigious companies. Walk-ins, Write-ins and Talk-ins- The most common and least expensive approach for candidates is direct applications, in which job seekers submit unsolicited application letters or resumes. Direct applications can also provide a pool of potential employees to meet future needs. From employees’ viewpoint, walk-ins are preferable as they are free from the hassles associated with other methods of recruitment. While direct applications are particularly effective in filling entry-level and unskilled vacancies, some organizations compile pools of potential employees from direct applications for skilled positions. Write-ins are those who send written enquiries. These jobseekers are asked to complete application forms for further processing. Talk-ins involves the job aspirants meeting the recruiter (on an appropriated date) for detailed talks. No application is required to be submitted to the recruiter. Contractors:- 22
  • 23.
    They are usedto recruit casual workers. The names of the workers are not entered in the company records and, to this extent; difficulties experienced in maintaining permanent workers are avoided Consultants:- They are in the profession for recruiting and selecting managerial and executive personnel. They are useful as they have nationwide contacts and lend professionalism to the hiring process. They also keep prospective employer and employee anonymous. However, the cost can be a deterrent factor. Head Hunters:- They are useful in specialized and skilled candidate working in a particular company. An agent is sent to represent the recruiting company and offer is made to the candidate. This is a useful source when both the companies involved are in the same field, and the employee is reluctant to take the offer since he fears, that his company is testing his loyalty. Radio, Television and Internet:- Radio and television are used to reach certain types of job applicants such as skilled workers. Radio and television are used but sparingly, and that too, by government departments only. Companies in the private sector are hesitant to use the media because of high costs and also because they fear that such advertising will make the companies look desperate and damage their conservative image. However, there is nothing inherently desperate about using radio and television. It depends upon what is said and how it is delivered. Internet is becoming a popular option for recruitment today. There are specialized sites like naukri.com. Also, websites of companies have a separate section wherein; aspirants can submit their resumes and applications. This provides a wider reach. Competitors:-This method is popularly known as “poaching” or “raiding” which involves identifying the right people in rival companies, offering them better terms and luring them away. For instance, several executives of HMT left to join Titan Watch Company. There are legal and ethical issues involved in raiding rival firms for potential candidates. From the legal point of view, an employee is expected to join a new organization only after obtaining a ‘no objection certificate’ from his/ her present employer. Violating this requirement shall bind the employee to pay a few months’ salary to his/ her present employer as a punishment. However, there are many ethical issues attached to it. SELECTION Selection is defined as the process of differentiating between applicants in order to identify (and hire) those with a greater likelihood of success in a job. 23
  • 24.
    Selection is basicallypicking an applicant from (a pool of applicants) who has the appropriate qualification and competency to do the job SELECTION PROCESS- Selection is along process, commencing from the preliminary interview of the applicants and ending with the contract of employment.The following chart gives an idea about selection process: - Environment factor affecting selection: - Figure: 2.1 Environment factor affecting selection 24 External Environment Internal Environment Preliminary Interview Selection Tests Employment Interview Reference and Background AnalysisSelection DecisionPhysical ExaminationJob OfferEmployment Contract Evaluation RejectedApplication
  • 25.
    STEP 1: - PRELIMINARYINTERVIEW The applicants received from job seekers would be subject to scrutiny so as to eliminate unqualified applicants. This is usually followed by a preliminary interview the purpose of which is more or less the same as scrutiny of application, that is, eliminate of unqualified applicants. Scrutiny enables the HR specialists to eliminate unqualified jobseekers based on the information supplied in their application forms. Preliminary interview, on the other hand, helps reject misfits for reason, which did not appear in the application forms. Besides, preliminary interview, often called ‘courtesy interview’, is a good public relation exercise. STEP 2: - SELECTION TEST: Job seekers who pass the screening and the preliminary interview are called for tests. Different types of tests may be administered, depending on the job and the company. Generally, tests are used to determine the applicant’s ability, aptitude and personality. The following are the type of tests taken: 1). ABILITY TESTS: - Assist in determining how well an individual can perform tasks related to the job. An excellent illustration of this is the typing tests given to a prospective employer for secretarial job. Also called as ‘ACHEIVEMENT TESTS’. It is concerned with what one has accomplished. When applicant claims to know something, an achievement test is taken to measure how well they know it. Trade tests are the most common type of achievement test given. Questions have been prepared and tested for such trades as asbestos worker, punch-press operators, electricians and machinists. There are, of course, many unstandardized achievement tests given in industries, such as typing or dictation tests for an applicant for a stenographic position. 2). APTITUDE TEST: - Aptitude tests measure whether an individuals has the capacity or latent ability to learn a given job if given adequate training. The use of aptitude test is advisable when an applicant has had little or no experience along the line of the job opening. Aptitudes tests help determine a person’s potential to learn in a given area. An example of such test is the 25
  • 26.
    general management aptitudetests (GMAT), which many business students take prior to gaining admission to a graduate business school programme. Aptitude test indicates the ability or fitness of an individual to engage successfully in any number of specialized activities. They cover such areas clerical aptitude, numerical aptitude, mechanical aptitude, motor co-ordination, finger dexterity and manual dexterity. These tests help to detect positive negative points in a person’s sensory or intellectual ability. They focus attention on a particular type of talent such as learning or reasoning in respect of a particular field of work. Forms of aptitude test: Mental or intelligence tests: They measure the overall intellectual ability of a person and enable to know whether the person has the mental ability to deal with certain problems. Mechanical aptitude tests: They measure the ability of a person to learn a particular type of mechanical work. These tests helps to measure specialized technical knowledge and problem solving abilities if the candidate. They are useful in selection of mechanics, maintenance workers, etc. Psychomotor or skills tests: They are those, which measure a person’s ability to do a specific job. Such tests are conducted in respect of semi- skilled and repetitive jobs such as packing, testing and inspection, etc. 3). INTELLIGENCE TEST: This test helps to evaluate traits of intelligence. Mental ability, presence of mind (alertness), numerical ability, memory and such other aspects can be measured. The intelligence is probably the most widely administered standardized test in industry. It is taken to judge numerical, skills, reasoning, memory and such other abilities 4). INTEREST TEST: This is conducted to find out likes and dislikes of candidates towards occupations, hobbies, etc. such tests indicate which occupations are more in line with a person’s interest. Such tests also enable the company to provide vocational guidance to the selected candidates and even to the existing employees. 26
  • 27.
    These tests areused to measure an individual’s activity preferences. These tests are particularly useful for students considering many careers or employees deciding upon career changes. 5). PERSONALITY TEST: The importance of personality to job success is undeniable. Often an individual who possesses the intelligence, aptitude and experience for certain has failed because of inability to get along with and motivate other people. It is conducted to judge maturity, social or interpersonal skills, behavior under stress and strain, etc. this test is very much essential on case of selection of sales force, public relation staff, etc. where personality plays an important role. Personality tests are similar to interest tests in that they, also, involve a serious problem of obtaining an honest answer. 6). PROJECTIVE TEST: This test requires interpretation of problems or situations. For example, a photograph or a picture can be shown to the candidates and they are asked to give their views, and opinions about the picture. 7). GENERAL KNOWLEDGE TEST: Now days G.K. Tests are very common to find general awareness of the candidates in the field of sports, politics, world affairs, current affairs. 8). PERCEPTION TEST: At times perception tests can be conducted to find out beliefs, attitudes, and mental sharpness.etc. 9). GRAPHOLOGY TEST: It is designed to analyze the handwriting of individual. It has been said that an individual’s handwriting can suggest the degree of energy, inhibition and spontaneity, as well as disclose the idiosyncrasies and elements of balance and control. For example, big letters and emphasis on capital letters indicate a tendency towards domination and competitiveness. A slant to the right, moderate pressure and good legibility show leadership potential. 10). POLYGRAPH TEST: Polygraph is a lie detector, which is designed to ensure accuracy of the information given in the applications. Department store, banks, treasury 27
  • 28.
    offices and jewelersshops, that is, those highly vulnerable to theft or swindling may find polygraph tests useful. 11). MEDICAL TEST: It reveals physical fitness of a candidate. With the development of technology, medical tests have become diversified. Medical servicing helps measure and monitor a candidate’s physical resilience upon exposure to hazardous chemicals. CHOOSING TESTS: The test must be chosen in the criteria of reliability, validity, objectivity and standardization. They are: - 1. RELIABILITY: - It refers to standardization of the procedure of administering and scoring the test results. A person who takes tests one day and makes a certain score should be able to take the same test the next day or the next week and make more or less the same score. An individual’s intelligence, for example, is generally a stable characteristic. So if we administer an intelligence test, a person who scores 110 in March would score close to 110 if tested in July. Tests, which produce wide variations in results, serve little purpose in selection. 2. VALIDITY: - It is a test, which helps predict whether a person will be successful in a given job. A test that has been validated can be helpful in differentiating between prospective employees who will be able to perform the job well and those who will not. Naturally, no test will be 100% accurate in predicting job success. A validated test increases possibility of success. There are three ways of validating a test. They are as follows: - 1). Concurrent Validity: - this involves determining the factors that are characteristics of successful employees and then using these factors as the yardsticks. 2). Predictive Validity: - it involves using a selection test during the selection process and then identifying the successful candidates. The characteristics of both successful and less successful candidates are then identified. 3). Synthetic Validity: - it involves taking parts of several similar jobs rather than one complete job to validate the selection test. 28
  • 29.
    3. OBJECTIVITY: - Whentwo or more people can interpret the result of the same test and derive the same conclusion(s), the test is said to be objective. Otherwise, the test evaluators’ subjective opinions may render the test useless. 4. STANDARDRIZATION: - A test that is standardized is administered under standard condition to a large group of person who are representatives of the individuals for whom it is intended. The purpose of standardization is to obtain norms or standard, so that a specific test score can be meaningful when compared to other score in the group. STEP 3: - INTERVIEW: The next step in the selection process is an interview. Interview is formal, in-depth conversation conducted to evaluate the applicant’s acceptability. It is considered to be excellent selection device. It is face-to-face exchange of view, ideas and opinion between the candidates and interviewers. Basically, interview is nothing but an oral examination of candidates. Interview can be adapted to unskilled, skilled, managerial and profession employees. Objectives of interview: - Interview has at least three objectives and they are a follows: - • Helps obtain additional information from the applicants • Facilitates giving general information to the applicants such as company policies, job, products manufactured etc, • Helps build the company’s image among the applicants. Types of interviews: - Interviews can be of different types. There interviews employed by the companies. Following are the various types of interview: - Informal Interview: An informal interview is an oral interview and may take place anywhere. The employee or the manager or the personnel manager may ask a few almost inconsequential questions like name, place of birth, names of relatives etc. either in their respective offices or anywhere outside the plant of company. It id not planned and 29
  • 30.
    nobody prepares forit. This is used widely when the labour market is tight and when you need workers badly. Formal Interview: Formal interviews may be held in the employment office by he employment office in a more formal atmosphere, with the help of well structured questions, the time and place of the interview will be stipulated by the employment office. Non-directive Interview: Non-directive interview or unstructured interview is designed to let the interviewee speak his mind freely. The interviewer has no formal or directive questions, but his all attention is to the candidate. He encourages the candidate to talk by a little prodding whenever he is silent e.g. “Mr. Ray, please tell us about yourself after your graduated from high school”. The idea is o give the candidate complete freedom to “sell” himself, without the encumbrances of the interviewer’s question. But the interviewer must be of higher caliber and must guide and relate the information given by the applicant to the objective of the interview. Depth Interview: It is designed to intensely examine the candidate’s background and thinking and to go into considerable detail on particular subjects of an important nature and of special interest to the candidates. For example, if the candidate says that he is interested in tennis, a series of questions may be asked to test the depth of understanding and interest of the candidate. These probing questions must be asked with tact and through exhaustive analysis; it is possible to get a good picture of the candidate. Stress Interview: It is designed to test the candidate and his conduct and behavior by him under conditions of stress and strain. The interviewer may start with “Mr. Joseph, we do not think your qualifications and experience are adequate for this position,’ and watch the reaction of the candidates. A good candidates will not yield, on the contrary he may substantiate why he is qualified to handle the 30
  • 31.
    job. This typeof interview is borrowed from the Military organization and this is very useful to test behavior of individuals when they are faced with disagreeable and trying situations. Group Interview: It is designed to save busy executive’s time and to see how the candidates may be brought together in the employment office and they may be interviewed. Panel Interview: A panel or interviewing board or selection committee may interview the candidate, usually in the case of supervisory and managerial positions. This type of interview pools the collective judgment and wisdom of the panel in the assessment of the candidate and also in questioning the faculties of the candidate. Sequential Interview: The sequential interview takes the one-to-one a step further and involves a series of interview, usually utilizing the strength and knowledgebase of each interviewer, so that each interviewer can ask questions in relation to his or her subject area of each candidate, as the candidate moves from room to room. Structures Interview: In a structured interview, the interviewer uses preset standardized questions, which are put to all the interviewees. This interview is also called as ‘Guided’ or ‘Patterned’ interview. It is useful for valid results, especially when dealing with the large number of applicants. Unstructured Interview: It is also known as ‘Unpatented’ interview, the interview is largely unplanned and the interviewee does most of the talking. Unguided interview is advantageous in as much as it leads to a friendly conversation between the interviewer and the interviewee and in the process, the later reveals more of his or her desire and problems. But the Unpatented interview lacks uniformity and worse, this approach may overlook key areas of the applicant’s skills or background. It is useful when the interviewer tries to probe personal details of the candidate it analyses why they are not right for the job. Mixed Interview: 31
  • 32.
    In practice, theinterviewer while interviewing the job seekers uses a blend of structured and structured and unstructured questions. This approach is called the Mixed Interview. The structured questions provide a base of interview more conventional and permit greater insights into the unique differences between applicants. Imprompt Interviews: This interview commonly occurs when employers are approached directly and tends to be very informal and unstructured. Applicants should be prepared at all times for on-the-spot interviews, especially in situations such as a job fair or a cold call. It is an ideal time for employers to ask the candidate some basic questions to determine whether he/she may be interested in formally interviewing the candidate. Dinner Interviews: These interviews may be structured, informal, or socially situated, such as in a restaurant. Decide what to eat quickly, some interviewers will ask you to order first (do not appear indecisive). Avoid potentially messy foods, such as spaghetti. Be prepared for the conversation to abruptly change from friendly chat to direct interview questions, however, do not underestimate the value of casual discussion, some employers place a great value on it. Be prepared to switch gears rapidly, from fun talk to business talk. Telephone Interviews: Have a copy of your resume and any points you want to remember to say nearby. If you are on your home telephone, make sure that all roommates or family members are aware of the interview (no loud stereos, barking dogs etc.). Speak a bit slower than usual. It is crucial that you convey your enthusiasm verbally, since the interviewer cannot see your face. If there are pauses, do not worry; the interviewer is likely just taking some notes. Second Interviews: Job seekers are invited back after they have passed the first initial interview. Middle or senior management generally conducts the second interview, together or separately. Applicants can expect more in-depth questions, and the employer will be expecting a greater level of preparation on the part of the candidates. Applicants should continue to research the employer following the first interview, and be prepared to use any information gained through the previous interview to their advantage. STEP 4: -REFERENCE CHECK 32
  • 33.
    Many employers requestnames, addresses, and telephone numbers of references for the purpose of verifying information and perhaps, gaining additional background information on an applicant. Although listed on the application form, references are not usually checked until an applicant has successfully reached the fourth stage of a sequential selection process. When the labour market is very tight, organizations sometimes hire applicants before checking references. Previous employers, known as public figures, university professors, neighbours or friends can act as references. Previous employers are preferable because they are already aware of the applicant’s performance. But, the problem with this reference is the tendency on the part of the previous employers to over-rate the applicant’s performance just to get rid of the person. STEP 5: - SELECTION DECISION:- After obtaining information through the preceding steps, selection decision- the most critical of all the steps- must be made. The other stages in the selection process have been used to narrow the number of the candidates. The final decision has to be made the pool of individuals who pas the tests, interviews and reference checks. The view of the line manager will be generally considered in the final selection because it is he/she who is responsible for the performance of the new employee. The HR manager plays a crucial role in the final selection. STEP 6: - PHYSICAL EXAMINATION: - After the selection decision and before the job offer is made, the candidate is required to undergo a physical fitness test. A job offer is, often, contingent upon the candidate being declared fit after the physical examination. The results of the medical fitness test are recorded in a statement and are preserved in the personnel records. There are several objectives behind a physical test. Obviously, one reason for a physical test is to detect if the individual carries any infectious disease. Secondly, the test assists in determining whether an applicant is physically fit to perform the work. Thirdly, the physical examination information can be used to determine if there are certain physical capabilities, which differentiate successful and less successful employees. Fourth, medical check-up protects applicants with health defects from undertaking work that 33
  • 34.
    could be detrimentalto them or might otherwise endanger the employer’s property. Finally, such an examination will protect the employer from workers compensation claims that are not valid because the injuries or illness were present when the employee was hired. STEP 7: - JOB OFFER: - The next step in the selection process is job offer to those applicants who have crossed all the previous hurdles. Job offer is made through a letter of appointed. Such a letter generally contains a date by which the appointee must report on duty. The appointee must be given reasonable time for reporting. Thos is particularly necessary when he or she is already in employment, in which case the appointee is required to obtain a relieving certificate from the previous employer. Again, a new job may require movement to another city, which means considerable preparation, and movement of property. The company may also want the individual to delay the date of reporting on duty. If the new employee’s first job upon joining the company is to go on company until perhaps a week before such training begins. Naturally, this practice cannot be abused, especially if the individual is unemployed and does not have sufficient finances. Decency demands that the rejected applicants be informed about their non-selection. Their applicants may be preserved for future use, if any. It needs no emphasis that the applications of selected candidates must also be preserved for the future references. STEP 8: - CONTRACT OF EMPLOYMENT: -After the job offer has bee mad and candidates accept the offer, certain documents need to be executed by the employer and the candidate. One such document is the attestation form. This form contains vital details about the candidate, which are authenticated and attested by him/her. Attestation form will be a valid record for the future reference. There is also a need for preparing a contract of employment. The basic information that should be included in a written contract of employment will vary according to the level of the job, but the following checklist sets out the typical headings: • Job title. 34
  • 35.
    • Duties, includinga parse such as “The employee will perform such duties and will be responsible to such a person, as the company may from time to time direct”. • Date when continuous employment starts and the basis for calculating service. • Rate of pay, allowance, overtime and shift rates, method of payments. Holiday arrangements:  Paid holidays per year.  Calculation of holiday pay.  Qualifying period.  Accrual of holidays and holiday pay.  Details of holiday year. STEP 9: - CONCLUDING THE SELECTION PROCESS: - Contrary to popular perception, the selection process will not end with executing the employment contract. There is another step – amore sensitive one reassuring those candidates who have not selected, not because of any serious deficiencies in their personality, but because their profile did not match the requirement of the organization. They must be told that those who were selected were done purely on relative merit. STEP 10: - EVALUATION OF SELECTION PROGRAMME: - The broad test of the effectiveness of the selection process is the quality of the personnel hired. An organization must have competent and committed personnel. The selection process, if properly done, will ensure availability of such employees. How to evaluate the effectiveness of a selection programme? A periodic audit is the answer. People who work independent of HR department must conduct audit. The table below 35
  • 36.
    contains an outlinethat highlights the areas and questions to be covered in a systematic evaluation. Four Approaches to Selection: 1). Ethnocentric Selection: In this approach, staffing decisions are made at the organization’s headquarters. Subsidiaries have limited autonomy, and the employees from the headquarters at home and abroad fill key jobs. Nationals from the parent country dominate the organizations at home and abroad. 2). Polycentric Selection: In polycentric selection, each subsidiary is treated as a distinct national entity with local control key financial targets and investment decisions. Local citizens manage subsidiaries, but the key jobs remain with staff from the parent country. This is the approach, which is largely practiced in our country 3). Regiocentric Selection: - Here, control within the group and the movements of staff are managed on a regional basis, reflecting the particular disposition of business and operations within the group. Regional managers have greater discretion in decision. Movement of staff is largely restricted to specific geographical regions and promotions to the jobs continue to be dominated by managers from the parents company. 4). Geocentric Staffing: -In this case, business strategy is integrated thoroughly on global basis. Staff development and promotion are based on ability, not nationality. The broad and other parts of the top management structure are thoroughly international in composition. Needless to say, such organizations are uncommon. PROBLEMS IN EFFECTIVE SELECTION: - The main objective of selection is to hire people having competence and commitment. This objective s often defeated because of certain barriers. The impediments, which check effectiveness of selection, are perception, fairness, validity, reliability and pressure. Perception: - Our inability to understand others accurately is probably the most fundamental barrier to selecting the right candidate. Selection demands an individual or a group of people to assess and compare the respective competencies of others, with the aim of choosing the right persons for the jobs. But our views are highly personalized. We all 36
  • 37.
    perceive the worlddifferently. Our limited perceptual ability is obviously a stumbling block to the objective and rational selection of the people. Fairness: - Fairness in selection requires that no individual should be discriminated against on the basis of religion, region, race or gender. But the low numbers of women and other less privileged sections of the society in middle and senior management positions and open discrimination on the basis of age in job advertisements and in the selection process would suggest that all the efforts to minimize inequity have not been effective. Validity: - Validity, as explained earlier, is a test that helps predict job performance of an incumbent. A test that has been validated can differentiate between the employees who perform well and those who will not. However, a validated test does not predict job success accurately. It can only increase possibility of success. Reliability: - A reliable method is one, which will produce consistent results when repeated in similar situations. Like validated test, a reliable test may fail to predict job performance with precision. Pressure: -Pressure is brought on the selectors by politicians, bureaucrats, relatives, friends and peers to select particular candidates. Candidates selected because of compulsions are obviously not the right ones. Appointments to public sectors undertakings generally take place under such pressures. THE DIFFERENCE BETWEEN RECRUITMENT AND SELECTION 1.) Recruitment is the process of searching for prospective candidates and motivating them to apply for job in the organization whereas, selection is a process of choosing most suitable candidates out of those, who are interested and also qualified for job. 2.) In the recruitment process, vacancies available are finalized, publicity is given to them and applications are collected from interested candidates. In the selection process, available applications are scrutinized. Tests, interview and medical examination are conducted in order to select most suitable candidates. 3.) In recruitment the purpose is to attract maximum numbers of suitable and interested candidates through applications. In selection process the purpose is that the best candidate out of those qualified and interested in the appointment. 37
  • 38.
    4.) Recruitment isprior to selection. It creates proper base for actual selection. Selection is next to recruitment. It is out of candidates’ available/interested. 5.) Recruitment is the positive function in which interested candidates are encouraged to submit application. Selection is a negative function in which unsuitable candidates are eliminated and the best one is selected. RECRUITMENT PROCEDURE FOLLOWED IN HERO MOTORS Recruiting the wrong kind of people can become a serious issue for any company. a defined process needs to be followed to ensure that the right person reaches the right place. A general recruitment process involves identifying vacancies; prepare job description and person specification, advertising, managing the response, short listing, arranging interviews, and conducting interviews, decision making, convey the decision and appointment action. This means that a lot of time and resources have to be invested. Interviews are an important and crucial part of recruitment process. The person taking the interview of the candidate has to be well prepared in advance. Concerns like the location of the interview, the time table, the structure of teh question strategy, style of taking the interview needs to be decided beforehand so that nothing is left ambiguous in. A general recruitment process may include a written test to judge particular skills of candidate. In this case, the test should be prepares carefully, not deviating from the subject. A lot can be judge about the candidate for his CV. A proper presentation of his CV in an organized and refined manner speaks a lot about the individual. His mindset and attitude can be judged according to his CV. There are a few things that need to be kept in mind during the recruitment process. Until the final decision about a certain candidate is taken, it is important to keep in regular touch with the candidate. The decision making process should not take very long to avoid the candidate from taking up some other opportunity. A candidate should be duly informed once the decision is taken. He should be told the complete process of his appointment clearly with details of all the documents that he needs to submit. A record file should be maintained of the candidate for any future reference. 38
  • 39.
     HR Departmentfirst goes for an advertisement in the newspaper and in job portals stating the nature of job and qualifications required for the job.  Resumes are first received by the company mail ids and then the Resumes are forwarded to the HR department where in the CV are scrutinized by the levels of hierarchy.  Then finally the HR department finalizes the candidates is sent to the administration that has been nominated.  The concerned officials in the administrative department issue gives a call which the candidates are asked to attend the interview on some particular date. Chapter-3 COMPANY PROFILE 39
  • 40.
    COMPANY PROFILE Overview: MotilalOswal SecuritiesLtd. (MOSL) was founded in 1987 as a small sub-broking unit, with just two people running the show. Focus on customer-first-attitude, ethical and transparent business practices, respect for professionalism, research-based value investing and implementation of cutting-edge technology has enabled us to blossom into an over 1600 member team. Today we are a well diversified financial services firm offering a range of financial products and services such as Wealth Management, Broking & Distribution, Commodity Broking, Portfolio Management Services, Institutional Equities, Private Equity, Investment Banking Services and Principal Strategies. We have a diversified client base that includes retail customers (including High Net worth Individuals), mutual funds, foreign institutional investors, financial institutions 40
  • 41.
    and corporate clients.We are headquartered in Mumbai and as of March 31st, 2012, had a network spread over 612 cities and towns comprising 1,644 Business Locations operated by our Business Partners and us. As at March 31st, 2012, we had 709,041 registered customers. MotilalOswal Financial Services Ltd., is a non-banking financial company [NBFC] register under the Reserve Bank of India Act, 1934. The company’s stand alone operations are i. Build on a financing infrastructure that can best customize risk adjusted products. ii. Have simple and compliant documentation and prompt loan approval procedures. iii. A strong structure in place that can most efficiently source funds and manage resources. MILESTONES: 41
  • 42.
    2012:  MotilalOswal inassociation with Zee Business, hosted the first of its series of seminars under its investors education initiative called Investor Ki KahaniUsi Ki Zubanion July 2, 2012 at BSE in Mumbai. The seminar saw a colossal turnout with more than 750 investors attending the session.  MotilalOswal AMC organized the first edition of MotilalOswalMOSt Shares ETF Conclave 2012 at NSE, Mumbai on 15th June, 2012. The event was telecast LIVE via webcast and the panel discussion was telecast LIVE by CNBC TV18.  Mr. RaamdeoAgrawal was honoured with an award for Special Contribution to Indian Capital Market by Zee Business at the ‘INDIA’S BEST MARKET ANALYST AWARDS 2012 on April 29, 2012.  Our Analysts Mr. DhirendraTiwari& Mr. HarshadBorawake won the Best Market Analyst Award for the categories Equity-Sectoral-Infrastructure and Equity–Sectoral– Energy respectively at ‘INDIA’S BEST MARKET ANALYST AWARDS 2012 organised by Zee Business on April 29, 2012.  MotilalOswalMOSt Shares NASDAQ 100 - India’s First US Equities Based ETF gets listed on NSE and BSE on 31st March, 2012  MotilalOswal Securities won 4 awards at the ET Now Starmine Analyst Awards 2010-2012. This puts MOSL amongst the Top 3 Award winning Brokers at the ET NOW Starmine Analyst Awards 2010-2012  Our analyst Mr. Alpesh Mehta was awarded Top Earnings Estimator – Overall, at the ET NOW Starmine Analyst Awards 2010. He also received an award for Top Earnings Estimator for Financial Sector along with our analysts Mr. HarshadBorawake being awarded Top Stock Picker for Energy Sector and Mr. SiddharthBothra being awarded Top Stock Picker for Real Estate Sector.  MotilalOswal Mutual Fund launches MOSt Shares NASDAQ 100 - India’s first US Equities based ETF tracking the NASDAQ-100 Index® 42
  • 43.
     MotilalOswal MutualFund’s MOSt Shares M50 bagged the ‘Most Innovative Fund of the Year’ Award at CNBC TV18-CRISIL Mutual Fund Award 2012 held in Mumbai.  MotilalOswalMOSt Shares Midcap 100 ETF – India’s First Midcap Index ETF; based on CNX Midcap Index was listed on NSE on February 4, 2012  MotilalOswal Asset Management launches MOSt Shares M100 ETF - India’s First Midcap ETF; based on CNX Midcap Index 2013:  The 15th MotilalOswal Wealth Creation Study presentation was held in Mumbai on 15th December 2010 and was covered live on CNBC TV18  MotilalOswal Securities bagged the Best Performing Equity Broker (National) Award at CNBC TV18 Financial Advisor Awards 2010 held in Mumbai. CNBC TV18 organised Financial Advisor Awards 2010, in partnership with UTI MF. These awards are authoritative evaluation backed by a robust methodology powered by India’s leading rating house, ICRA.  MotilalOswal Securities entered into a strategic alliance with Barclays Bank, for an equity trading platform for its (Barclays) customers. This alliance provides Barclays customers with the option to invest in equities, derivatives and IPOs, through MOSL.  MotilalOswal Securities Limited bagged the QualTech Prize for Improvement - 2010 in the Services Category on September 24, 2010. The Award winning project was a DMAIC project done in Account Opening Department to reduce Account Opening Turnaround Time.  AshutoshMaheshvari, CEO, MOIAPL, bagged the “India M&A Investment Banker award”, and Acquisition of Equipav (Brazil) by Shree Renuka Sugars (India) facilitated by MOIAPL won the “ASIA PACIFIC CROSS-BORDER DEAL of the YEAR” at the ASIA- PACIFIC M&A ATLAS AWARDS held on September 23, 2010, organized by Global M&A Network. 43
  • 44.
     MotilalOswal PrivateEquity organized the First Annual Investor Meet of India Realty Excellence Fund (IREF) on 28th August, 2010 in Mumbai. The event provided a platform for investors to interact with the investment team, MOPE’s partner developers and get a flavor of their investment strategy  MotilalOswal 6th Annual Global Investor conference was held in Mumbai from August, 2010. Around 120 corporates participated in the conference and more than 500 investors attended it  MOSt Shares M50 ETF was listed on NSE on July 30, 2010  MOSt Shares M50 ETF NFO which was open for subscription from June 30, 2010 till July 19, 2010 raised over Rs.235 crores, making it the largest amount raised during the NFO by any equity ETF in the past 5 years (Data source: Value Research Online.com)  MotilalOswal Asset Management hosted the 1st Value Investing forum in March 2010 and was covered live on CNBC TV18 2012:  MotilalOswal Financial Services purchased its new corporate office building based in Prabhadevi, the heart of Mumbai city with a planned usable area of over 2,00,000 sqft  The 14th MotilalOswal Wealth Creation Study presentation held in Mumbai in December 2009 and was covered live on CNBC TV18  MOSL ranked No. 2 (Best Local brokerage) in the AsiaMoney Brokers Poll 2009 and No. 2 (Best Indian Brokerage House) category by Institutional Investor  MotilalOswal Private Equity's India Reality Excellence Fund achieved its final closing of INR 1.64 bn  MotilalOswal Investment Advisors facilitates the first cross border acquisition by an Indian company in the sugar sector in Brazil  MotilalOswal Securities Ltd. rated as No.1 Broker in ET Now - Starmine Analyst Awards 2009 44
  • 45.
     MotilalOswal 5thAnnual Global Investor Conference was held in Mumbai where around 80 Indian Corporates participated and over 400 investors from all over the world attended  MotilalOswal Securities Ltd. enters 'Limca Book of Records' for creating India's largest dealing room in Mumbai  MOSL was 'Rated No.1 – Best recommendations Mid & Small Caps' and won awards in 3 out of 4 categories at the Starmine India Broker Rankings 2009 from Thomson Reuters EQUITY ADVISORY GROUP: In keeping with its tradition of personalized service, MotilalOswal Securities Limited provides Customized Equity Advisory Group to clients based on their profile. Equity Research is an inherent strength of MOSt. Converting that research to advice is the main function of Equity Advisory. Investors are presented with well researched opportunities in companies which will grow in both market perceived value and growth. Along side, the trading fraternity is catered to with ideas induced by Technical analysis and news flow analysis. The investment ideas identified by the research team are presented and communicated with conviction to our clients by our advisory team. Our advisory team has highly trained equity professionals, who act as your Equity Advisor. MOSt Equity Advisor proactively helps you take informed equity investment decisions and build a healthy portfolio giving the best fit to your investment and trading needs. 45
  • 46.
    CENTRALIZED ADVISORY DESK(CAD) The MOSt Equity Advisory Group is based in Mumbai at largest dealing and advisory floor of India. This centralized advisory team caters to peculiar Investment need of every HNI & MNI client and business partner; in a seamless, speedy and reliable manner using state-of-the-art technology and telecommunication infrastructure. MOSt Equity Advisors are equipped with the knowledge and prudence making sure that every rupee deployed works the hardest it can. Your advisors play the part of a guide ushering you on a swift wealth creation ride. The sheer strength of our advisory creates synergy for seamless flow of Investment support. To improve the overall experience while the clients interact with our advisors, we have implemented a contact centre solution, Drishti, in our dealing room. Among other benefits, this solution helps advisors to manage their client base more efficiently and effectively. The system provides a single number contact to all our clients as well as a single click auto-dial for advisors without having to remember their contact details. Online MotilalOswal Investment Services offers you a state-of-the-art Online Trading platform that gives you: Benefits of opening an account with MOSL:  Wide range of investment choices - Equity, Derivatives, IPOs and Mutual Funds  Award winning research trusted by 300+ Institutions & Fund Managers  Flexible Online Trading Platform from your Desktop, Web, Mobile or Call N Trade  Superior Leverage Products allowing you to trade more on your margin#  Discounted Brokerage Schemes that offer you true value for money 46
  • 47.
     Better Securitywith 128-bit Secure Socket Layer encryption  Complete ease of operation with 46+ Banks for funds transfer  Integrated view of your investments, customised news & alerts, watchlists, etc.through “My MotilalOswal”  Dedicated customer see team, personal guidance and more… # Margin will not be less than Exchange prescribed margin BENEFITS: MOSt Advisory Group is equipped to augment and alter the investments in an effort to create healthy portfolio. MOSt Equity Advisor adjusts the portfolio to value addition and erosion across the researched companies. On the trading side the ideas are picked out of bouquet of products suitable to the trading appetite. The Equity Advisor doesn’t stop at just that, he goes a step further to ensure that your trades are settled and stocks credited timely in your Demat account. CLIENTS AND BUSINESS: MotilalOswal Securities Ltd. was founded in 1987 as a small sub-broking unit, with just two people running the show. Focus on customer-first-attitude, ethical and transparent business practices, respect for professionalism, research-based value investing and implementation of cutting-edge technology has enabled us to blossom into an almost 1600 member team. 47
  • 48.
    Today we area well diversified financial services firm offering a range of financial products and services such as  Wealth Management  Broking & Distribution  Commodity Broking  Asset Management  Institutional Equities  Private Equity  Investment Banking and  Principal Strategies We have a diversified client base that includes retail customers (including High Net worth Individuals), mutual funds, foreign institutional investors, financial institutions and corporate clients. We are headquartered in Mumbai and as of March 31st, 2012, had a network spread over 612 cities and towns comprising 1,644 Business Locations operated by our Business Partners and us. As at March 31st, 2012, we had 709,041 registered customers. Research: From the inception of the company we have focused on a dedicated research team which is engaged in analyzing the Indian economy and corporate sector to identify equity investment ideas. Our expert teams of Research Analyst cover over 225 companies in 25+ sectors and commodities. Our consistent efforts towards quality equity research have reflected in an increase in the ratings & rankings across various categories in the Asia Money Brokers Poll over the years. In the latest rankings, i.e. Star mine India Broker Rankings 2009 from Thomson Reuters, we won awards in 3 out of 4 categories. We were rated No.1 in India Mid & Small-Caps - Best Recommendations category, in the Top-3 in India BSE Sensex - 48
  • 49.
    Earnings Estimates categoryand in the Top-10 in India Mid & Small-Caps - Earnings Estimates category. ASSET MANAGEMENT: Welcome to Motilal Oswal Asset Management Company Limited (MOAMC) At MOAMC we use Motilal Oswal’s knowledge based investment approach to help create wealth for our customers. Motilal Oswal Mutual Fund is registered with SEBI under Securities Exchange Board of India (Mutual Funds) Regulations, 1996 vide Registration Code MF/063/09/04 dated December 29, 2009. We have launched our third product MOSt Shares NASDAQ 100 ETF (An Open Ended Index Traded Fund) - India's 1st US Equities based ETF, based on NASDAQ-100 Index. MO StShares M50 ETF is listed on NSE. NSE Symbol :- M50 MOSt Shares M100 ETF is listed on NSE, NSE Symbol :- M100 INVESTMENT BANKING: Motilal Oswal Investment Advisors Private Limited (MOIAPL) Founded in June 2006, MOIAPL offers comprehensive Investment Banking solutions and transaction expertise covering private placement of equity, debt and convertible instruments covering international & domestic capital markets, mergers & acquisitions advisory and restructuring advisory & implementations. 49
  • 50.
    The team comprisesof multi-disciplinary professionals with extensive collective banking and corporate finance advisory experience. An in-depth understanding of different sectors within the Investment Banking team underpinned by the two decade old research strength of the group company, Motilal Oswal Securities Limited enables us to provide customized financial solutions to our clients across industries. We display a focused transaction-closure orientation which is facilitated by our cross- product knowledge and the well entrenched relationships that we nurture at the highest levels within the investor community, market intermediaries and the corporate sector. We work in partnership with the management of our clients and commit our resources end-to- end throughout the transaction, ensuring timely execution with minimal disruption. 50
  • 51.
    Our objective isto position ourselves as a globally respected Investment Bank by assisting our clients in fulfilling their objectives of value creation. To pursue our mission, the team inculcates the following values with utmost sincerity: Integrity: We honor our commitments and work on transactions keeping in mind the long term interests of the clients. 51
  • 52.
    CORPORATE OFFICE: MotilalOswal FinancialServices Ltd. 3rd Floor, Hoechst House, Nariman Point, Mumbai - 400 021. Board : + 91 22 39825500 Fax : + 91 22 22823499 To open an account or know more about our Products & Services Call : +91 22 30896680 Email : info@motilaloswal.com SMS : MOSL INFO to 575753 If you are already a MotilalOswal customer Call (Customer Service Desk): +91 22 39982515 / 67490600 Email : query@motilaloswal.com / grievances@motilaloswal.com Call n Trade : +91 22 30896000 / 67316000 52
  • 53.
  • 54.
    4. DATA ANALYSISAND INTERPRETATION 1. I am aware of objectives of this organization? TABLE-4.1 Sl. No. Accepted Level No. of Respondents Response Percentage 1 Agree 35 97% 2 Disagree 1 3% 3 No Idea 0 0% Total 36 100% Graph-4.1 ANALYSIS: 35 employees, constituting about 97% agreed that they are aware of objectives of the organization HERO MOTORS . 1 respondent i.e. 3% of the sample said that they are not aware of the objectives of the kakathiya over seas. INTERPRETATION: From the above pie-chart we observed 97% agreed that they are aware of objectives of the organization . 2. I am aware of recruitment process of the organization? TABLE- 4.2 54 35 1 0 1 Agree 2 Disagree 3 No Idea
  • 55.
    Sl. No. AcceptedLevel No. of Respondents Response Percentage 1 Agree 31 86% 2 Disagree 3 8% 3 No Idea 2 6% Total 36 100% GRAPH-4.2 Employee Responses ANALYSIS: 31 employees, constituting about 86% agreed that they are aware of recruitment process of the organization Recruitment 1 respondent i.e. 3% of the sample said that they are not aware of the recruitment process of the Recruitment. INTERPRETATION: Maximum 86% employees are agreed are aware of recruitment process of the organization. 3. Training and development programs acts as the best tool to reach the standard level of performance. TABLE NO-4.3 55 31 3 2 1 Agree 2 Disagree 3 No Idea
  • 56.
    Sl. No. Accepted LevelNo. of Respondents Response Percentage 1 Agree 31 84% 2 Disagree 3 10% 3 No Idea 2 6% Total 36 100% GRAPH -4.3 ANALYSIS: 31 employees, constituting about 84% agreed that the Training and Development programmers are the best tool to reach the standard level of performance where as 3 members constituting10% disagreed it and 2 members constituting 6% have no idea about it. INTERPRETATION: 31 employees, constituting about 84% agreed that the Training and Development programmers are the best tool to reach the standard level of performance. 4. Policies and practices adopted by the HR department are good? TABLE NO.-4.4 Sl. No. Accepted Level No. of Respondents Response Percentage 56 84 10 6 Agree Disagree No idea
  • 57.
    1 Agree 1541% 2 Disagree 19 53% 3 No Idea 2 6 % Total 36 100% GRAPH -4.4 ANALYSIS: 15 employees, constituting about 41% agreed that the Policies and practices adopted by the HR department are good where as 19 members constituting 53% disagreed it and 2 members constituting 6% have no idea about it. INTERPRETATION: 15 employees, constituting about 41% agreed that the Policies and practices adopted by the HR department are good. 5. Communication system in the organization is effect? TABLE-4.5 Sl. No. Accepted Level No. of Respondents Response Percentage 1 Agree 15 41% 2 Disagree 19 53% 57 15 19 2 Agree Disagree No Idea
  • 58.
    3 No Idea2 6% Total 36 100% GRAPH-4.5 ANALYSIS: 15 employees, constituting about 41% agreed that Communication system in the organization is effective where as 19 members constituting 53% disagreed it and 2 members constituting 6% have no idea about it. INTERPRETATION: 15 employees, constituting about 41% agreed that Communication system in the organization is effective. 6. My department has effective procedures to guide my day-to-day work? TABLE-4.6 Sl. No. Accepted Level No. of Respondents Response Percentage 1 Agree 27 75% 2 Disagree 8 22% 3 No Idea 1 3% Total 36 100% 58 41 53 6 Agree Disagree No idea
  • 59.
    GRAPH-4.6 ANALYSIS: 27 employees, constitutingabout 75% agreed that their department has effective procedures to guide my day-to-day work where as 8 members constituting 22% disagreed it and 1 members constituting 3% have no idea about it. INTERPRETATION: 27 employees, constituting about 75% agreed that their department has effective procedures to guide my day-to-day work. 7. I am satisfied by the recruitment process carried out by the organization? TABLE-4.7 Sl. No. Accepted Level No. of Respondents Response Percentage 1 Agree 20 56% 2 Disagree 14 38% 3 No Idea 2 6% Total 36 100% GRAPH-4.7 59 75 23 2 Agree Disagree No idea 56 38 6 Agree Disagree No idea
  • 60.
    ANALYSIS: 20 employees, constitutingabout 56% agreed that they are satisfied by the recruitment process carried out by the organization where as 14members constituting 38% disagreed it and 2 members constituting 6% have no idea about it. INTERPRETATION: 20 employees, constituting about 56% agreed that they are satisfied by the recruitment process carried out by the organization. 8. I reach the monthly target closers of the organization? TABLE-4.8 Sl. No. Accepted Level No. of Respondents Response Percentage 1 Agree 16 45% 2 Disagree 17 48% 3 No Idea 3 7% Total 36 100% GRAPH-4.8 60 45 47 8 Agree Disagree No idea
  • 61.
    ANALYSIS: 16 employees, constitutingabout 45% agreed that they reach the monthly target closers of the organization where as 17 members constituting 48% disagreed it and 3 members constituting 7% have no idea about it. INTERPRETATION: 16 employees, constituting about 45% agreed that they reach the monthly target closers of the organization. 9 How many profiles do you shortlist per a day? TABLE-4.9 Sl. No. Accepted Level No. of Respondents Response Percentage 1 0 – 5 20 57% 2 6 – 10 10 28% 3 More than 10 6 15% Total 36 100% GRAPH-4.9 61 20 10 6 0-5 5-10 more than 10
  • 62.
    ANALYSIS: 20 employees constitutingabout 57% short list 0-5 profiles per a day where as 10 employees constituting of 28% short list 5-10 profiles and only 6 employees constituting 15% shortlist more than 10 profiles per a day. INTERPRETATION: 57% short list 0-5 profiles per a day. 10. Do you like to share the applicant information with the third party vendors? TABLE-4.10 Sl. No. Accepted Level No. of Respondents Response Percentage 1 Agreed 10 28% 2 Disagreed 22 60% 3 No Idea 4 12% Total 36 100% GRAPH-4.10 62 10 22 4 Agree Disagree No Idea
  • 63.
    ANALYSIS: 10 employees, constitutingabout 28% agreed that to share the applicant information with the third party vendors. where as 22 members constituting 60% disagreed it and 4 members constituting 12% have no idea about it. INTERPRETATION: 10 employees, constituting about 28% agreed that to share the applicant information with the third party vendors. 11. Do you have the applicants tracking system in the organization? 11. TABLE-4.11 Sl. No. Accepted Level No. of Respondents Response Percentage 1 Agreed 3 8% 2 Disagreed 32 89% 3 No Idea 1 3% Total 36 100% Employee Responses GRAPH-4.11 63 3 32 1 Agree Disagree No Idea
  • 64.
    ANALYSIS: 3 employees, constitutingabout 8% agreed that there exist the applicants tracking system in the organization where as 32 members constituting 89% disagreed it and 1 members constituting 3% have no idea about it. INTERPRETATION: 3 employees, constituting about 8% agreed that there exist the applicants tracking system in the organization. 12. Is it possible to measure the applicant confidence and technical skill level before short listing? TABLE-4.12 Sl. No. Accepted Level No. of Respondents Response Percentage 1 Yes 10 28% 2 No 25 69% 3 No Opinion 1 3% Total 36 100% Employee Responses GRAPH-4.12 64 10 25 1 Yes No No Opinion
  • 65.
    ANALYSIS: 10 employees constitutingof 28% agree that it is possible to measure the applicants technical skills and confidence before short listing, whereas 25 employees constituting of 69% constituting of 25 employees disagree , and only one employee has no opinion about it. INTERPRETATION: 10 employees constituting of 28% agree that it is possible to measure the applicant’s technical skills and confidence before short listing 13. Is it helpful to maintain profiles database? TABLE-4.13 Sl. No. Accepted Level No. of Respondents Response Percentage 1 Yes 24 67% 2 No 10 28% 3 No Opinion 2 5% Total 36 100% Employee Responses GRAPH-4.13 65 24 10 2 Yes No No Opinion
  • 66.
    ANALYSIS: 24 employees constitutingof 67% agree that it is helpful to maintain the profile database,10 employees constituting of 28% disagree that it is not helpful to maintain the profile database, and 2 employees constituting of 5% have no idea about maintaining of the profile database. INTERPRETATION: 24 employees constituting of 67% agree that it is helpful to maintain the profile database 14. Do you support to forward the fake resumes to the clients that match their Requirement ? Sl. No. Accepted Level No. of Respondents Response Percentage 1 Yes 31 86% 2 No 4 11% 3 No Opinion 1 3% Total 36 100% Employee Responses 66 31 4 1 Yes No No Opinion
  • 67.
    ANALYSIS: 31 employees constitutingof 86% agreed to forward fake resumes to the clients that match their requirement, 10 employees constituting of 28% disagree to forward fake resumes, and 2 employees constituting of 5% have no idea about it. INTERPRETATION: 31 employees constituting of 86% agreed to forward fake resumes to the clients that match their requirement 15. Are you effectively using internal database for your requirements? TABLE-4.15 Sl. No. Accepted Level No. of Respondents Response Percentage 1 Yes 26 73% 2 No 7 19% 3 No Opinion 3 8% Total 36 100% Employee Responses GRAPH-4.15 67 26 7 3 Yes No No Opinion
  • 68.
    ANALYSIS: 26 employees constitutingof 73% are in favour of using internal database effectively for their requirements, 7 employees constituting of 19% unfavorable of using internal database for their requirements, and 3 employees constituting of 8% have no idea about usage of internal database. INTERPRETATION: 26 employees constituting of 73% are in favour of using internal database effectively for their requirement 16. Are you aware of job postings in the portals? TABLE-4.16 Sl. No. Accepted Level No. of Respondents Response Percentage 1 Yes 24 67% 2 No 10 28% 3 No Opinion 2 5% Total 36 100% Employee Responses GRAPH-4.16 ANALYSIS: 68 24 10 2 Yes No No Opinion
  • 69.
    24 employees constituting67% are aware of the job postings in different portals. 10 employees constituting 28% are not aware of the job postings, 2 employees constituting 5% don’t have any opinion on this. INTERPRETATION: 24 employees constituting 67% are aware of the job postings in different portals. 17. From which source you are getting maximum responses ? TABLE-4.17 Sl. No. Accepted Level No. of Respondents Response Percentage 1 Company Database 6 17% 2 Advertisements 7 19% 3 Postings in the Job portals 23 64% Total 36 100% Employee Responses GRAPH-4.17 ANALYSIS: 17% of the employees say that they are getting maximum response from the company database, 19% of employees feel that they are getting maximum response from 69 6 7 23 Company Database Advertisements Postings in the Job portals
  • 70.
    Advertisements, 64% ofthe employees say that they are getting response from postings in the job portals. INTERPRETATION: 64% of the employees say that they are getting response from postings in the job portals. 18. Are you aware of the payments terms? TABLE-4.18 Sl. No. Accepted Level No. of Respondents Response Percentage 1 Yes 24 67% 2 No 10 28% 3 No Opinion 2 5% Total 36 100% Employee Responses GRAPH-4.18 ANALYSIS: 24 employees constituting of 67% are aware of the payment terms, 10 employees constituting of 28% are not aware of the payment terms where as only 2 employees constituting of 5% have no idea regarding the payment terms. INTERPRETATION: 70 Yes No No Opinion
  • 71.
    24 employees constitutingof 67% are aware of the payment terms. CHAPTER-5 FINDING &SUGGESIONS & CONCLUSION 71
  • 72.
    FINDINGS 1. 97% oftotal respondents agreed that they are aware of objectives of the organization. And among the sample size of 36, only 1 is not satisfied with the recruitment process. This will be the beneficial factor to the organisation. 2. 78% of the total respondents agreed that there is a need for training and development in the organization. 3. HR practices adopted by HR Manager are good and this is been agreed by 80% of the respondents. This is supporting factor. 4. 97% of employees feel proud and happy as employees in the organization. They are interested to take the responsibility of team leader, if given. 5. The recruitment strategies followed by organization are satisfactory and this is agreed by 80% of total respondents. 6. Ratings on the performance of employees given by the superiors are satisfied by 92% of the respondents which shows the positive attitude of the employees towards the company. 7. 86% are satisfied with the physical conditions at the work place and are striving hard to reach their monthly targets. 8. 41% of the employees agreed that there is effective communication system in the organization. 9. 60% of the recruiters are against sharing the applicant’s information with the third party vendors. 10. Only 28% of the employees agreed that it is possible to measure the applicant’s skills before short listing. 72
  • 73.
    11. 75% ofthe recruiters look after both the IT and Non-IT recruitments. SUGGESTIONS On the strength of study, assisted by interviews and discussions with employees, I propose to give the following suggestions to improve further, the recruitment process. • Organizing more Training and Development programs to improve the capabilities and to explore and exploit themselves. • Improving communication system. To have interaction with employees and make them aware of goals and missions of the organization. • Focus on technical backup need to be provided to the recruiters to achieve the task. • The applicant’s tracking system should improve as it helps the recruiters to have an idea on the present position of the applicant and hence their time and efforts are saved. • Giving personal ads. through the different means of media may cost high, hence using portals for this task may reduce the cost. • The company should focus on insights of Employee Recruitment and should have a technical wing to test the applicant’s ability before forwarding their resumes to the clients. • If profile databases are maintained, they should be updated frequently. • The recruiters need to update their knowledge about their clients. 73
  • 74.
    CONCLUSION The factors thatmost significantly influence employee’s attitude towards the recruitment process at HERO MOTORS and possible reasons for choosing this organization by both the applicants and clients. Reasons to choose hero motors: • There is opportunity for personal growth and development. • The organization also provide Training and Development Which is essential for career development? • Employees are satisfied with the physical conditions at the work place. • The organization is following right approach to recruit the employees. Reasons for rejection. • Lack of awareness of the interview methods by the applicants. • Need for Training and Development program. • Short listing strategies are not so effective. 74
  • 75.
  • 76.
    BIBLIOGRAPHY MAGAZINES:  Harward BusinessReview.  HRM Review TEXT BOOKS:  James A.F.Stoner, R.Edward Freeman, Daniel R.Gilbert,jr,HRM, 6th Edition, Pearson Education, pp.397  Gary Dessler, HRM, 9th Edition, Pearson Education, pp.363  Ian Beardwell, Len Holden, HRM, 1st Edition-1994, Mac Millan India Limited, pp.499  Personnal management by C.B MAMORIA  Mirza .S. Saiyadain, HRM, 3rd Edition, pp.277 WEBSITES:  www.hero.com  www.citehr.com  www.hrworld.com  www.entrepreneur.com 76
  • 77.
    APPENDIX QUESTIONNAIRE Dear Employee, I amN.HAMSALEKHA pursuing MBA (IV SEM) from PRINCETON PG COLLEGE OF INFORMATION TECHNOLOGY. As part of the curriculum, I have taken up HR project work “Recruiting Process” at hero motors .HYDERABAD I request you to support by taking some time off your busy schedule and filling up this questionnaire. 1. Are you aware of the objectives of the organization? [ ] a) Yes [ ] b) No [ ] c) No idea [ ] 2. Are you aware of recruitment process of the organization? [ ] a) Yes [ ] b) No [ ] c) No idea [ ] 3. Training and development programs acts as the best tool to reach the standard level of performance. [ ] a) Agreed [ ] b) disagree [ ] c)No idea [ ] 4. Policies and practices adopted by the HR department are good. [ ] a) Agreed [ ] b) disagree [ ] c) No idea [ ] 5. Communication system in the organization is effective [ ] a) Agreed [ ] b) disagree [ ] c) No idea [ ] 77
  • 78.
    6. My departmenthas effective procedures to guide my day-to-day work. [ ] a) Agreed [ ] b) disagree [ ]c) No idea [ ] 7. I am satisfied by the recruitment process carried out by the organization [ ] a) Agreed [ ] b) disagree [ ] c) No idea [ ] 8. I reach the monthly target closers of the organization [ ] a) Agreed [ ] b) disagree [ ] c) No idea [ ] 9 How many profiles do you shortlist per a day [ ] a) 0-5 [ ] b) 6-10 [ ] c) more than 10 [ ] 10. Do you like to share the applicant information with the third party vendors [ ] a) Agreed [ ] b) disagree [ ] c) No idea [ ] 11. Do you have the applicants tracking system in the organization? [ ] a) Yes [ ] b) no [ ] c) No idea [ ] 12. Is it possible to measure the applicant confidence and technical skill level before short listing? [ ] a) Yes [ ] b) No[ ] c) No opinion [ ] 13. Is it helpful to maintain profiles database. [ ] a) Yes [ ] b) No [ ]c) No opinion [ ] 14. Do you support to forward the fake resumes to the clients that match their 78
  • 79.
    Requirement [ ] a)Yes [ ] b) No [ ] c) No opinion [ ] 15 Are you effectively using internal database for your requirements. [ ] a) Yes [ ] b) No [ ] c) No opinion [ ] 16. Are you aware of job postings in the portals? [ ] a) Yes [ ] b) No [ ] c) No opinion [ ] 17 From which source you are getting maximum responses [ ] a) Company database [ ]b) Advertisements[ ] c) Postings in the Job portals[ ] 18. Are you aware of the payments terms? [ ] a) Yes [ ] b) No [ ] c) No opinion [ ] 19. Are you dealing with IT requirements or Non IT Requirements? [ ] a) IT Requirements [ ] b) Non IT requirements [ ] c) Both [ ] 20. Are you aware of client Information? [ ] a) Yes [ ] b) No [ ] c) No opinion [ ] Please give your valuable suggestions/remarks: 79
  • 80.