1 | G S C L O C A L P U B L I C T R A N S P O R T R O U T E P L A N 2 0 1 7
City of General Santos
LOCAL PUBLIC TRANSPORT ROUTE PLAN
1 | G S C L o c a l P u b l i c T r a n s p o r t R o u t e P l a n 2 0 1 7
0 | G S C L O C A L P U B L I C T R A N S P O R T R O U T E P L A N 2 0 1 7
CONTENTS
I. INTRODUCTION
a. Vision and Mission
b. Profile
c. Geography
d. Demography
e. Economy
II. COMPOSITION OF THE LPTRP TEAM
III. STUDY AREA / CORRIDOR
a. Road Infrastructure
b. Routes
c. Terminals
IV. STATEMENT OF THE PROBLEM
V. SETTING UP OF OBJECTIVES
VI. REVIEW OF EXISTING CONDITIONS AND DATA
a. Congestion
b. Modal Shares
c. Users Perception on Public Transport
d. Self-Assessment Results on Public Transport
e. Road Safety
VII. DATA GATHERING
VIII. ANALYSIS OF DATA
IX. RECOMMENDATION TO LTFRB
a. List and Map of Existing Public Transport Routes
b. List and Map of Proposed Transportation Routes
c. Proposed Transportation Facilities
V. ANNEXES
1 | G S C L O C A L P U B L I C T R A N S P O R T R O U T E P L A N 2 0 1 7
I. INTRODUCTION
Vision and Mission
The aspirations of the citizens of General Santos City are articulated in its vision
and mission statements, as follows:
Vision:
“Gensan, the Green City of the South, the Financial Center of Region XII, Regional
Agri-Industrial and Transshipment Hub of SOCCSKSARGEN, and Model of a Harmonious
Multi-cultural City; blessed with a healthy, disciplined and educated citizenry; driven by
diversified, competitive and resilient economy; endowed with a balanced, sustainable and
well-managed environment; equipped with efficient, hazard-resistant, and world class
infrastructures and governed by a responsive, participatory and transparent leadership.”
Mission:
To pursue a stable local economy supportive of development and growth,
environmental protection, and security for all people in General Santos City.
The vision of the Generals (as the citizens of the city are called) espouses a city that
is globally competitive where people enjoy high quality of life in the form of good health,
education, sense of responsibility, and participation in governance. The mission of the city
emphasizes productivity and responsibility by undertaking quality interventions that
pursue public welfare.
The city‗s aspiration emphasizes the importance of efficiency, productivity, quality
of life and environment, fairness and equity. Any intervention that the city pursues must
therefore be anchored on these ideals. And in the process of identifying these
interventions, the different stakeholders or the citizens themselves should get involved or
granted the opportunity to participate for the city to realize its aspirations.
In support of the city‗s vision and mission, five (5) equally important goals were
crafted, as follows:
(i) Improve road safety;
(ii) Improve public transport quality;
(iii) Reduce air pollution from transport;
(iv) Reduce traffic congestion; and
(v) Enhance transport equity.
The proposed sustainable public transport plan for the city of General Santos that
is embodied in this document intends to address the above stated goals leading to its
vision and mission for a better quality of life for the Generals in the near and far future. In
2 | G S C L O C A L P U B L I C T R A N S P O R T R O U T E P L A N 2 0 1 7
so doing it is necessary to adapt the paradigm in sustainable urban transport planning
about, ―planning for the people rather than vehicles.
The Department of Transportation through DOTr Department Order No. 2017-
011, otherwise known as the ―Omnibus Guidelines in the Planning and Identification of
Public Road Transportation Services and Franchise Issuance‖, shifted the determination
and provision of public transportation services from the private sector to the public
sector.
Therefore, local government units such as the city of General Santos shall do the
planning, designing and implementing of the local public transport routes which should
be consistent with the developmental plans of the city. Since the CLUP anticipates the
growth of the city and it defines the potential growth or expansion areas for certain land
uses, It is therefore necessary to adapt the concept of Sustainable Urban Transport in
future land use planning. Therefore a paradigm shift is noted from the previous operator
driven routes to the developmental plan driven route in determining the potential routes
for public transport.
There are a number of possible ways of viewing the concept of sustainability, all of
which in some way or another point to the need for a lasting solution to the city‗s
transport needs:
 Environmentally sustainable: non-polluting, using low carbon technology,
and sensitive to the scale of the local street environment;

 Financially sustainable: able to generate sufficient revenue to cover costs, while
still being affordable for the majority of users;
 Socially sustainable: able to provide for the transport needs of most sectors of
society, both now and in the foreseeable future; easily adaptable to future needs and
supported by a wide range of stakeholders.

It is therefore the intention of this plan to adapt the principles of
sustainable development that includes the following complimentary elements:

 Integrated urban land use and transport planning: Urban transport plans should
be integrated with urban land use plans to support more efficient approaches to planning
urban expansion and redevelopment, limit trip lengths, make sustainable transport modes
convenient for users, and optimize system integration.
 Public transport systems: These are needed to provide urban populations with
safe, secure, accessible, rapid, efficient, and user-friendly transport, and to reduce
pollution, congestion, and accidents.
3 | G S C L O C A L P U B L I C T R A N S P O R T R O U T E P L A N 2 0 1 7
Profile
This section describes the geographic, demographic, and economic condition of
GSC.
Geography
Figure 1: Location Map of General Santos City
GSC lies at the southern part of thePhilippines. It is located between 125°1‘ and
125°17‘east longitude and between 5°58‘ and 6°20‘ north latitude.
The city is south of Manila and southwest of Davao. The municipalities of Alabel,
Malungon, and Maasim of Sarangani province and the municipalities of Polomolok and
T‘boli of South Cotabato surround the city.
With the new Reorganization of Administrative Region in Mindanao based on
Presidential E.O. 36 approved on 19 September 2001, GSC became part of Region XII or
SOCCSKSARGEN (South Cotabato, Cotabato, Sultan Kudarat, Sarangani, and GSC) in
4 | G S C L O C A L P U B L I C T R A N S P O R T R O U T E P L A N 2 0 1 7
Central Mindanao. SOCCSKSARGEN now comprises 45 municipalities, with four provinces
(North Cotabato, Sarangani, South Cotabato, and Sultan Kudarat) and five cities (GSC,
Cotabato City, Koronadal City, Kidapawan City, and Tacurong City).
GSC is part of the First Congressional District of South Cotabato. It is a chartered
city and not politically part of any province. The city has 26 barangays with 12 urban and
14 rural barangays.
Demography
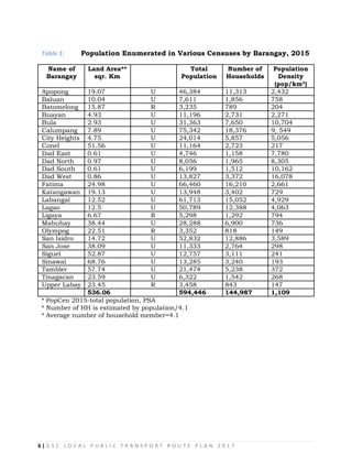
Based on the Philippine Statistics Authority census of 2015, the total population of
the city is recorded at 594,446. The total number of households is estimated at 144,987
with an average household size of 4.1.
Compared to the 1995–2000 population growth rate of the city at 5.05%, the NSO
population census of 2010 marked a sharp decrease in annual growth rate at 2.71%.
For the five-year period of 2010–2015, the city‗s population showed an annual
increase of 1.9%.
Of the city‗s 26 barangays, Calumpang (75,342) and Fatima (66,460) ranked
highest in terms of population with a share of approximately 13% and 11%, respectively, in
2015.
Labangal had a population of 61,713, which accounted for 10%. Lagao, with its
population of 50,789, had a share of 9% of the total population of the city. Urban and
rural populations accounted for 97% and 3%, respectively.
Economy
GSC is an important agro-industrial area in SOCCSKSARGEN (Region XII). The
major economic activities are anchored in agro-industry and fishing industry. The city
produces corn, coconut, pineapple, asparagus, banana, rice, other fruits, vegetables, and
cut flowers.
It is also a major producer and supplier of livestock, such as cattle, swine, and poultry.
The major exports are fresh/canned pineapples, fresh bananas, coconut/ crude/ Cochin-type
coconut oil, copra pellets, cut flowers, asparagus, okra, and abaca pulp.
It is the largest producer of sashimi-grade tuna in the Philippines and is the Tuna Capital
of the Philippines. Commercial fishing continues to be a major agro-industry of the city
which accounts for the second-largest daily total catch of fish in the country next to
Navotas City.
The total daily capacity of GSC is 750 MT of fish catch. The Fish Port Complex has
modern facilities that comply with international standards on fish catch landing. Aside
from fresh/frozen tuna, GSC exports canned tuna, produced by seven canned tuna
processors located in the city. Other fishery product exports are frozen octopus and
shrimps, and other fish and aquaculture products.
5 | G S C L O C A L P U B L I C T R A N S P O R T R O U T E P L A N 2 0 1 7
Aside from being a major food supplier, GSC is also the main service hub for
exports and imports for the SOCCSKSARGEN Region. The quantity of exports from the
GSC Seaport ranged from 395,000 MT in 2009 to 504,000 MT in 2011. Export value
ranged from USD419 million to USD659 million. The quantity declined slightly by an
average of 3.5% during a five-year period, but the value increased by an average of 12%.
As the fastest growing metropolitan area in the region, GSC has become a major
trading point for agricultural products in the region. In 2011, the city registered 1,365 new
medium to large enterprises, valued at PHP1.202 billion. Hotels and the latest addition to
thebuilt earlier, i.e., SM City Gen San, KCC Mall of GSC, Robinsons Place GSC, Gaisano
Mall, and RD Plaza (Fitmart). Veranza Mall. Another mall by KCC Property Holdings, Inc.,
opened in June 2013. These malls have food courts and quick serve restaurant
outlets/branches of local (city), national, and international brands. The malls are said to be
―enlarging‖ the local retail sector, possibly bringing in businesses from nearby areas, as
has been the experience in other cities.
6 | G S C L O C A L P U B L I C T R A N S P O R T R O U T E P L A N 2 0 1 7
Table 1: Population Enumerated in Various Censuses by Barangay, 2015
Name of Land Area** Total Number of Population
Barangay sqr. Km Population Households Density
(pop/km²)
Apopong 19.07 U 46,384 11,313 2,432
Baluan 10.04 U 7,611 1,856 758
Batomelong 15.87 R 3,235 789 204
Buayan 4.93 U 11,196 2,731 2,271
Bula 2.93 U 31,363 7,650 10,704
Calumpang 7.89 U 75,342 18,376 9, 549
City Heights 4.75 U 24,014 5,857 5,056
Conel 51.56 U 11,164 2,723 217
Dad East 0.61 U 4,746 1,158 7,780
Dad North 0.97 U 8,056 1,965 8,305
Dad South 0.61 U 6,199 1,512 10,162
Dad West 0.86 U 13,827 3,372 16,078
Fatima 24.98 U 66,460 16,210 2,661
Katangawan 19.13 U 13,948 3,402 729
Labangal 12.52 U 61,713 15,052 4,929
Lagao 12.5 U 50,789 12,388 4,063
Ligaya 6.67 R 5,298 1,292 794
Mabuhay 38.44 U 28,288 6,900 736
Olympog 22.51 R 3,352 818 149
San Isidro 14.72 U 52,832 12,886 3,589
San Jose 38.09 U 11,333 2,764 298
Siguel 52.87 U 12,757 3,111 241
Sinawal 68.76 U 13,285 3,240 193
Tambler 57.74 U 21,474 5,238 372
Tinagacan 23.59 U 6,322 1,542 268
Upper Labay 23.45 R 3,458 843 147
536.06 594,446 144,987 1,109
* PopCen 2015-total population, PSA
* Number of HH is estimated by population/4.1
* Average number of household member=4.1
7 | G S C L O C A L P U B L I C T R A N S P O R T R O U T E P L A N 2 0 1 7
II. COMPOSITION OF THE LPTRP TEAM
Pursuant to DOTr Department Order No. 2017-001dated June 19, 2017 and DOTr-
DILG JMC No. 001 series of 2017 dated June 19, 2017, which states: ―There is a need to create
the Local Public Transport Route Plan Committee.‖
The General Santos City Public Transport Route Plan Committee was organized
through an Executive Order No. 59, Series of 2017, which shall be tasked to craft the
Local Public Transport Route Plan (LPTRP) for the city of General Santos, which shall
precede and from which shall be anchored all local policies and ordinances pertaining to
all modes of public transportation including motorized tricycles for which is under the
jurisdiction of the city government to regulate per RA 7160.
The LPTRP Team was therefore created and is composed of the following:
Chairperson : RONNEL C. RIVERA
City Mayor
ENGR. NAEL JOSEPH D. CRUSPERO
Planning and Development Coordinator
Permanent Alternate
Vice-Chairperson : ATTY. ARNEL A ZAPATOS
City Administrator
ATTY. ARMANDO T. CLARIN
City Legal Officer
Permanent Alternate
Members : ATTY. DOMINADOR LAGARE/ ATTY. EDMAR J. YUMANG
SP Committee on Transportation Representative
ATTY. ARMANDO T. CLARIN
City Legal Officer
DR. AGRIPINO V. DACERA, JR.
Head of Traffic Management Office
ENGR. MYLENE GECOSALA
CEO Planning Division
In-Charge for Traffic Engineering
ENGR. RIZA E. PACHES
Head of CEMCDO
GERALDINE A. ZAMORA
Head of Tricycle Regulatory Unit (TRU)
GABRIEL FRANCIS GLENVILLE N. GONZALEZ
Assistant City Administrator for Administration
8 | G S C L O C A L P U B L I C T R A N S P O R T R O U T E P L A N 2 0 1 7
ENGR. TEODORICO B. DUMAGAN
Assistant City Administrator for Operations
DPWH District Office Representative
LTO RO 12/HPG Representative
LTFRB RO 12 Representative
President of GSC Chamber of Commerce
Private Sector Representative
BRO. BOB MCGOVERN
NGO Representative
ROBERT N. CANG
President-Public Transport Alliance of Gensan
Transport Sector Representative
Technical Working Group:
Head : ENGR. MYLENE GECOSALA
Members : ENGR. JOEL MATANGGUIHAN - CEO
LESTER DIVINAGRACIA - CEO
IRWIN DEMANDANTE - CEO
MARIBETH B. CASTEN - CPDO
9 | G S C L O C A L P U B L I C T R A N S P O R T R O U T E P L A N 2 0 1 7

III. Study Area
Figure 2: Map of General Santos City Showing the Twenty-six Barangay‘s
The city has a total of 583.194 km of local roads. Of this, only 27% is made of
concrete and 1.8% is made of asphalt. The rest is unpaved. The existing road density is
calculated at 1.09 km/km², the city‗s road network is barely sufficient. The city‗s road
density in terms of length of road per 1000 population is calculated at 1.1 (based on
2007 population) which is way below the benchmark value of 2.4 km/1000 population.
There is no doubt that the city‗s urbanization and population growth have outpaced road
development.
The 9.95 km western section of the GSC circumferential road was completed in
July 2012. This section is located in Barangay Sinawal and forms part of the 27.6-km.
Circumferential road that ill decongest traffic along the inner city roads. In contrast with
the road supply conditions for the entire city, it seems that the road network within the
central business district (CBD) is quite sufficient. Majority of the key roads have a right-of-
way between 14 to 30 meters and capable of providing four lanes for vehicular traffic.
The regional road network that traverses through the city is composed of four major
highway segments, namely, (i) Digos-Makar Road; (ii) Makar-Marbel Road; (iii) Makar-
Kiamba Road; and (iv) Digos-Junction-Buayan Airport Road.
10 | G S C L O C A L P U B L I C T R A N S P O R T R O U T E P L A N 2 0 1 7
Figure 3: Road Network at GSC Center
Source: TTMP 2013
11 | G S C L O C A L P U B L I C T R A N S P O R T R O U T E P L A N 2 0 1 7
Table 2: Length of Roads in General Santos City
12 | G S C L O C A L P U B L I C T R A N S P O R T R O U T E P L A N 2 0 1 7
Figure 4: Road Network in General Santos City by Administrative Classification (2010)
Source: City Engineers Office 2010
13 | G S C L O C A L P U B L I C T R A N S P O R T R O U T E P L A N 2 0 1 7
Figure 5: Road Network in General Santos City by Surface Type (2010)
Source: City Engineers Office 2010
14 | G S C L O C A L P U B L I C T R A N S P O R T R O U T E P L A N 2 0 1 7
Figure 6: Road Network in General Santos City by Number of Lanes (2010)
Source: City Engineers Office 2010
15 | G S C L O C A L P U B L I C T R A N S P O R T R O U T E P L A N 2 0 1 7
IV. STATEMENT OF THE PROBLEM
An analysis of the city‗s strengths, weaknesses, opportunities, and threats
(SWOT) analysis was undertaken to clearly understand the internal and external
challenges faced by the city in relation to transport as well as the internal and external
advantages that the city has.
The information generated by the SWOT analysis adds to the body of evidence that
was used as basis for the identification of appropriate interventions that are envisaged to
address the city‗s transport challenges in the short, medium, and long terms.
Aspect Description
Strengths  Wide roads and right of ways in the Urban areas
 High percentage of paved roads. Relatively flat ground
 Most major roads are lighted
 GIS based planning
 2011 City Census Results (Transport)
 New political leaders (Common ELA)
 Availability of secondary data and trained personnel
 Supportive business sector
 Economic hub (Transportation) of SOCSKSARGEN
 TIA implemented as a requirement in the development permit
 Signalized intersections at critical intersections
Weaknesses  Indiscriminate parking
 Congested intersections
 Limited number of traffic enforcers
 Proliferation of green plate tricycles, habal-habal and mini-tricycles
 Undue competition of various public transport modes
 Poor drainage system
 Proliferation of satellite terminals
 Poor condition of city terminal
 Presence of dispatchers
 No office handling transportation planning and traffic management and
enforcement
 Transport a highly politicized sector
 No comprehensive traffic ordinance or code
 RROW occupants (vendors/settlers)
 Limited road signs and pavement markings
 Majority of routes using common roads in the CBD
 Undisciplined and untrained drivers
 CLUP outdated and overtaken by development
 Poor pedestrian/bicycle facilities (walkways, bikeways, etc.)
 PUJ operation eased out by low-capacity and voluminous tricycles
 Residential used converted to commercial uses
 Barangay government dependent on city for transport planning and
traffic management
16 | G S C L O C A L P U B L I C T R A N S P O R T R O U T E P L A N 2 0 1 7
 Linear development trend and urban
sprawl

Opport
unities 
Regional economic hub of
SOCSKSARGEN and Region XII
 Regional road network development
(radial/circumferential roads)

 Establishment of road engineering and
database

 MVUC funds for transport development 
 Technical assistance (LCP, WB, CDIA,
etc)

 International agreement (BIMP-EAGA) 
 Regional economic and trade
development project (CDIA)

 Universities available and open for
partnership

Threats 
Limited availability of funds for
transport projects
 Continues registration of MC w/o
sidecar

 Increasing fuel cost
 Crossing over of tricycles beyond their
city/neighboring municipality

boundaries
 Poor national and local coordination 
 In-migration
V. Objectives
The CDP-ELA for 2017 to 2022 provides the objectives for the improvement of the
quality of life for the citizens of the city of General Santos.
The goal for the Transport and Traffic Management sector is. ―To provide an
effective and sustainable transport and traffic management system by year 2022.‖
The specific objectives for the sector is enumerated as follows:
a. To increase traffic signalization system by 80% in 2020;
b. To deploy traffic enforcers in 100% of congested intersections without traffic
signalization system;
c. To prepare a major legislative act to regulate the city transportation system;
and
d. To undertake a study on the feasibility of establishing an Integrated
Terminal Transport System in the city.
VI. Review of Existing Condition and Data
1. Road Infrastructure
The city has a total of 583.194 km of local roads. Of these, only 27% is made of
concrete and 1.8% is made of asphalt. The rest is unpaved. The existing road density
is calculated at 1.09 km/km2 of land. Based on a benchmark value of 1 km/km2, the
17 | G S C L O C A L P U B L I C T R A N S P O R T R O U T E P L A N 2 0 1 7
city‗s road network is barely sufficient. The city‗s road density in terms of length of
road per 1,000 population is calculated at 1.1 (based on 2007 population) which is
way below the benchmark value of 2.4 km/1,000 population.
There is no doubt that the city‗s urbanization and population growth have
outpaced road development.
2. Congestion
The capacity of an urban road is dictated significantly by the capacity of the
junction. Intersection analysis conducted shows that at the 10 junctions where volume
surveys were conducted, there is a level of service (LOS) F during peak periods, which
means heavy congestion. Outside the peak hours, however, traffic conditions improve.
(i) Congestion due to parked/waiting vehicles along national highways;
(ii) Heavy congestion and lack of traffic signals at major intersections; and
(iii) Heavy congestion along major roads due to various on-street activities (other
than parking) of roadside facilities such as garages, terminals, repair and
car painting shops, etc.
In addition, vehicle speeds are hampered by on-street parking and roadside friction
resulting from various activities such as business and commercial establishments that
directly open to the road. The proliferation of curb cuts also creates roadside friction that
impedes vehicle and pedestrian flows.
3. Modal Shares
There is a high usage of public transport in the city of General Santos. It is
estimated based on the 2011 City Census that 81% of school- and work-related trips are
taken using various modes of public transport. The total number of person trips in a
typical day in GSC at approximately 374,000 person-trips per day with 19% using private
transport and 81% using public transport. For private transport, 6% of trips is by cars
and 13% is by motorcycles.
Of the public transport modes in the city, it is tricycles that serve the highest number
of person trips at 42%. The share of public utility jeepneys is at 6% and multicabs at 4%.
These numbers continue to decline as a result of the huge number of tricycles in the city
which have in effect driven the higher-capacity mode out of the competition.
The number of tricycles in the city has continuously grown over the years, thereby
making the tricycles as the main public transport mode serving local and some inter-city
trips. With their sheer number, the tricycle sector has become a major political force to
reckon with, making regulation of the sector an enormous challenge. Reinforcing this growth
in the number of tricycles is the sidecar manufacturing industry which not only
18 | G S C L O C A L P U B L I C T R A N S P O R T R O U T E P L A N 2 0 1 7
adds to the already large number of tricycles but also raises issues of lack of
manufacturing standards.
In 1990, there used to be 450 units of taxis plying the streets of General Santos
City. This sector too was adversely affected by the influx of tricycles. Current number of
taxi units in the city is 150 units. Taxi service is an option for the door-to-door service that
the tricycles provide.
Other forms of informal public transport are mini-tricycles (trisikad) at 20% and
habal-habal at 8%, among others.
Figure 7: General Santos City Modal Shares
There is a significant share of public transport trips, thereby indicating the
important role of public transport in the city. What is peculiar about the city is the fact
that the major transport mode is the tricycle, eclipsing all other modes including the
higher capacity PU. The rarity of this phenomenon is further highlighted by the fact that
the city has relatively wide and generous road infrastructure as compared to other cities,
with tricycles in droves occupying the roads. This phenomenon is not a result of people‗s
choice but a product of many years of allowing the tricycle sector to grow beyond what is
optimum and in the process edge out the more reasonable higher capacity modes.
The city is grossly obese in terms of number of tricycles, and it is important therefore to
curb the number to a healthy figure and put in place a more reasonable transport system.
19 | G S C L O C A L P U B L I C T R A N S P O R T R O U T E P L A N 2 0 1 7
Table 3: Number of person trips per barangay in the city of General Santos. These
figures reflect the dominant school and work trips only and do not include other trip
purposes.
NO. OF
NO. OF
PERSON TOTAL PASSENGER
NAME OF BARANGAY PERSON
SCHOOL DEMAND
WORK TRIPS
TRIPS
Apopong 6328 6501 12829
Baluan 516 750 1266
Batomelong 268 204 472
Buayan 1020 1107 2127
Bula 5204 4755 9959
Calumpang 11451 10219 21670
City Heights 3537 3625 7162
Conel 509 806 1315
East 699 687 1386
North 1521 1397 2918
South 748 896 1644
West 2490 2552 5042
Fatima 7255 9654 16909
Katangawan 1305 1270 2575
Labangal 7540 8078 15618
Lagao 9778 7836 17614
Ligaya 312 315 627
Mabuhay 2382 3036 5418
Olympog 124 246 370
San Isidro 7829 5026 12855
SanJose 363 333 696
Siguel 955 1279 2234
Sinawal 719 1264 1983
Tambler 1950 2448 4398
Tinagacan 703 506 1209
Upper Labay 107 162 269
TOTAL 75613 74952 150565
Source: CityCen 2011
20 | G S C L O C A L P U B L I C T R A N S P O R T R O U T E P L A N 2 0 1 7
Figure 8. Graph showing comparison between person work and school trips and the total
passenger demand per barangay in the city of General Santos. (Data source TTMP)
Figure 9: Mostly used mode of transport in going to work in General Santos
50.00%
40.00%
30.00%
20.00%
10.00%
0.00%
Mode of Transport in Going to Work
Source: TTMP
21 | G S C L O C A L P U B L I C T R A N S P O R T R O U T E P L A N 2 0 1 7
Figure 10: Mostly used mode of transport in going to school in the city of General Santos
50.00%
40.00%
30.00%
20.00%
10.00%
0.00%
Mode of Transport in Going to School
Source: TTMP
The number of tricycles in the city estimated at around 8,000 with only half
of them duly franchised has created what some call the tricycle phenomenon‗ with
wide and generous avenues which are generally reserved for higher-capacity public
transport vehicles being dominated by tricycles. This implies that there is an
absence of a public transport hierarchy in the city, with PUJs, which used to have
11 routes, now left with only three due to the competition with tricycles. The
remaining PUJ routes are struggling to survive.
Habal-habal serve the hinterlands. Their speed and ability to bring people to
their final destinations are additional contributors to the demise of jeepney
services. As a result, the low ridership of jeepneys has made its operations between
the outskirts and the city center unviable and habal-habal are filling up the
vacuum.
Trips between GSC and neighboring provinces and municipalities are
either by air-conditioned vans or buses.
Taxis primarily serve trips between the airport and different parts of the
city. As their fares are much higher than those of tricycles (i.e., PHP8.00), the
niche they serve are to and from airport trips.
Percentage
22 | G S C L O C A L P U B L I C T R A N S P O R T R O U T E P L A N 2 0 1 7
4. Routes
Tricycles have no route or zone regulations. They are allowed to ply anywhere in the
city but officially banned from national highways; in reality, however, it is common to see
them using these major roads, PUJs and multicabs offer trips between the city center and
areas outside, but their viability is compromised by the huge volume of tricycles that
provide them stiff completion.
The approved routes for PUJs and multicabs in the city are as follows:
(i) Doña Soledad Subdivision–Susana Homes and vice versa
(ii) GSC Proper–Mabuhay via Habitat and vice versa (Terminal)
(iii) GSC Proper–Upper Tambler and vice versa (Terminal)
(iv) Purok Malakas Phase II–Lagao and vice versa
(v) Bulaong Buayan and vice versa
(vi) GSC Proper–FVR Village 39.2 and vice versa
(vii) Crisostomo Subdivision–Greenville and vice versa
(viii) Bula–Purok Balunto and vice versa
(ix) GSC Proper–Conel and vice versa
(x) GSC Proper–MSU and vice versa
(xi) San Isidro–Bulaong and vice versa
(xii) GSCville Subdivision–Agan Homes
(xiii) Lote–NFA and vice versa
(xiv) Purok 5 Apopong–Lagao and vice versa
(xv) GSC Proper–Bawing, Siguel and vice versa (Terminal)
(xvi) Purok Malakas Phase I–Lagao and vice versa
(xvii) GSC Proper–Olympog and vice versa
(xviii) GSC Proper–Uhaw and vice versa
(xix) Lanton–NFA and vice versa
(xx) Katangawan–Makar Wharf and vice versa
(xxi) Katangawan–Bulaong and vice versa
23 | G S C L O C A L P U B L I C T R A N S P O R T R O U T E P L A N 2 0 1 7
(xxii) Casa Luisa–Cahilsot Village and vice versa
(xxiii) Cabuay, Sinawal–Lagao and vice versa
(xxiv) Crossing Glamang–Katangawan and vice versa
(xxv) GSC Proper–Tambler and vice versa
(xxvi) Greenville–Emergency Hospital
(xxvii) Greenville–Purok 15 Lagao
An increasing number of these routes are becoming non-operational due to attrition
as a result of the competition with lower capacity modes.
Figure 11: Barangay‘s Unserved or Poorly Served by Public Utility Jeepney‘s or Filcab
Source : CPDO 2017
Figure above shows barangay‗s not served and poorly served by public transport
depicted in red and yellow respectively. Blue dots represent households.
24 | G S C L O C A L P U B L I C T R A N S P O R T R O U T E P L A N 2 0 1 7
The situation has arisen because 1) rapid urbanization and ―urban sprawl is
outpacing the provision of appropriate public transport services, and 2) little or no attention
appears to have been given to the public transport needs of newly forming communities, and
3) non-viability of existing authorized routes due to influx of tricycles.
The deficiencies on the ground are almost certainly more pronounced than is
illustrated in the above figure because many of the above stated franchised services or
authorized routes do not operate at all or are routinely terminated short of their final
destination – a situation which has been observed in many of the outer areas of the route
network.
Where jeepney and filcab service are lacking, their place is filled by motorized
tricycles or motorcycles, many of which are unregulated. The result is often an inadequate
and unsafe transport system.
5. Terminals
Buses and vans ply routes between GSC and neighboring provinces and
municipalities. Vans are not allowed to pick up passengers along their routes in the city.
But they are allowed to use the city‗s major roads to access their respective private
terminals.
The GSC Terminal or the Bulaong Terminal, located in Barangay Dadiangas North, is
the city's main integrated land transport terminal. The terminal serves as the city's gateway
for land travelers. Buses and other forms of public mass transport—to and from various
parts of Mindanao and the country—use this terminal. The Yellow Bus Lines has buses that
use this terminal. It has buses that ply the GSC–Davao and GSC–Koronadal routes, among
others. Other bus lines include the Husky Lines, Mindanao Star, and Rural Transit all of
which serve the inter-regional routes.
Informal terminals for PUV and tricycles could be seen wherever there are abundant
economic activities, like the J. Catolico corridor. Most of which occupy the road, the road
right-of-way and pedestrian walkways.
6. User‘s Perception on Public Transport
A multi-stakeholder consultation meeting was held in GSC on 18 November 2013 to
gather the perceptions of public transport users on the state of public transport in their city
and identify current issues.
When asked what they perceive as issues in the different public transport modes, the
respondents identified the following:
25 | G S C L O C A L P U B L I C T R A N S P O R T R O U T E P L A N 2 0 1 7
(a) Tricycles
According to data available from the GSC Land Transportation Office, 2017
Monthly Summary Registration of Vehicles as of November, 2017, the number of
registered motorized tricycle for hire is 4,243; number of motorcycle with sidecar is
6,925; and number of motorcycle is 29,630.
The number of private tricycles being used for hire (colorum) could be within
the number of motorcycle registered with sidecar, while the number of mini-tricycles
could be very well within the number of motorcycles.
That aside from the above stated information, the following issues were raised
by the respondents:
(i) There are still several tricycles with two-stroke engines operating within
the city.
(ii) Fares are unregulated and, more often than not, drivers enter into a
"pakyaw" arrangement with passenger/s.
(iii) Drivers lack courtesy.
(iv) Too small; passengers get wet when it rains.
The transport group explained that the oversupply of tricycles is due to
tricycles from nearby municipalities coming into the city. The group also requested
that the federations be consulted prior to the renewal of franchises. This will
empower them to police their ranks.
(b) Habal-habal
In addition to the similar issues raised against tricycles, these units do not have
franchises, which means, there is no insurance, which puts passengers at risk.
(c) Trisikad
(i) Drivers lack courtesy.
(ii) Too small; passengers get wet when it rains.
(d)Taxis
The practiced method of fare collection is by fare contracting. The metered
system is not being practiced. There is no regulation of fares for airport services.
The representatives of the taxi subsector stated that they do not quite
understand why, despite the fact that they are considered by the DOT as the front
line, habal-habal and tricycles are allowed to service passengers from the airport
26 | G S C L O C A L P U B L I C T R A N S P O R T R O U T E P L A N 2 0 1 7
7. Self-assessment Results on Public Transport
The table below shows the results of the self-assessment questionnaire survey conducted
with responsible transport officials of the GSC government.
Table 4: Public Transport Issues in GSC
Issues Degree/Level of Problem¹
5 4 3 2 1
1. Disorderly loading /unloading √
2. Lack of waiting sheds for √
commuters
3. Inadequate public transport √
4. Poor public transport services √
5. Lack of public transport √
management
6. Declining public transport √
ridership
7. Overloaded public transport at √
peak hours
8. High transport fares √
9. Poor management of tricycles √
10. Operations of √
illegal/unorganized terminals
¹5=big problem, 4=medium to big, 3-medium problem, 2=small to medium problem,
1=small problem
8. Road Safety
Being an inherently unstable transport mode, motorcycles are involved in half of
road crashes in GSC, based on 2011 and 2012 data. There is also an increase in the
number of accidents involving cars based on the same data, from 193 in 2011 to 1,040 in
2012, equivalent to a five-fold increase. There is no information on the extent of accident
underreporting in GSC, but underreporting of accidents is generally recognized in the
country. Be that as it may, all sectors of society should be made mindful of the importance
of road safety being everyone‗s concern regardless of whether one is a driver, passenger, or
pedestrian.
The respondents identified potential threats to road safety, which include:
(i) No proper designation of boarding and alighting areas; thus people board or
alight from a public utility vehicle anywhere. This increases the risk of accidents.
(ii) Tricycles travel with no head or tail lights.
(iii) Inadequate or no lighting system in some inner roads.
As regards road safety, the table below shows the results of the self-assessment
questionnaire survey conducted with responsible transport officials of the city government.
27 | G S C L O C A L P U B L I C T R A N S P O R T R O U T E P L A N 2 0 1 7
Recorded accidents from 2005 to 2009 show an average of 2,051 a year, as shown
below.
(i) Vehicle-Vehicle 1,852/year;
(ii) Vehicle-Pedestrian 173/year;
(iii) Vehicle-Animals 11/year; and
(iv) Vehicle-Property 15/year.
Of these, 29 cases were fatalities, 1,193 were injuries, and 2,029 were damage to
property (PNP Traffic Control Section, 2010).
Table 5: Road Safety Issues in GSC
Issue Degree/Level of Problem¹
5 4 3 2 1
1. Accidents/road crashes √
2. Reckless drivers √
3. Lack of public awareness on road √
safety
4. Lack of traffic safety education √
5. Dangerous crossings for pedestrians √
6. Drunk/drugged driving √
7. Lack of safety for cyclists √
¹5=big problem, 4=medium to big, 3-medium problem, 2=small to medium problem, 1=small problem
Source: Self-assessment Questionnaire Survey, TTM Project 2013
VII. DATA GATHERING
The primary source of data used for the crafting of this plan was taken from the City
Transport and Traffic Management Plan (CTTMP, 2015). A study conducted for the city of
General Santos by the CDS Program of the League of Cities and the World Bank.
Additional primary data was derived from the following sources:
1. LTFRB XII
2. LTO- Gen. Santos District Office
3. Conduct of an occupancy survey; and
4. Driver /operator survey
Baseline data is derived from City Census 2011 and PSA 2015 population data.
Passenger volume count was conducted at survey points strategically located where
passengers of public utility from the influence areas (zones) travel on their way to their
destination most often to the central business district (CBD). The data generated from the
survey was used to derive the passenger demand per peak hour per day (PPHPD). Survey
was conducted at peak hours in the morning from 6 o‘clock to 9 o‘clock and in the
afternoon at 3 o‘clock to 6‘ o‘clock. Data is shown on tables of the succeeding pages.
28 | G S C L O C A L P U B L I C T R A N S P O R T R O U T E P L A N 2 0 1 7
Table 6: RESULT OF PASSENGER VOLUME COUNT
MARCOS AVE. / H-WAY
Time Veh Cpty Pass Time Veh Cpty Pass Time T.Pass
6-7 am 56 69 6-7 am 4 2 6-7 am 71
7-8 am 65 91 7-8 am 6 19 7-8 am 110
8-9 am 18 34 8-9 am 2 7 8-9 am 41
3-4 pm 36 67 3-4 pm 3 52 3-4 pm 119
4-5 pm 55 148 4-5 pm 8 154 4-5 pm 302
5-6 pm 46 122 5-6 pm 5 104 5-6 pm 226
MARCOS AVE. / H-WAY
Time Veh Cpty Pass Time Veh Cpty Pass Time T.Pass
6-7 am 70 250 6-7 am 5 75 6-7 am 325
7-8 am 55 160 7-8 am 5 48 7-8 am 208
8-9 am 15 44 8-9 am 0 0 8-9 am 44
3-4 pm 18 29 3-4 pm 1 16 3-4 pm 45
4-5 pm 42 121 4-5 pm 3 32 4-5 pm 153
5-6 pm 41 123 5-6 pm 2 14 5-6 pm 137
HADANO
Time Veh Cpty Pass Time Veh Cpty Pass Time T.Pass
6-7 am 126 248 6-7 am 2 0 6-7 am 248
7-8 am 236 417 7-8 am 9 26 7-8 am 443
8-9 am 299 279 8-9 am 9 24 8-9 am 303
3-4 pm 192 531 3-4 pm 6 116 3-4 pm 647
4-5 pm 346 1268 4-5 pm 10 194 4-5 pm 1462
5-6 pm 406 1377 5-6 pm 15 311 5-6 pm 1688
HADANO
Time Veh Cpty Pass Time Veh Cpty Pass Time T.Pass
6-7 am 264 1114 6-7 am 6 8 6-7 am 1122
7-8 am 173 697 7-8 am 8 81 7-8 am 778
8-9 am 134 471 8-9 am 6 81 8-9 am 552
3-4 pm 152 481 3-4 pm 3 22 3-4 pm 503
4-5 pm 157 417 4-5 pm 4 17 4-5 pm 434
5-6 pm 137 480 5-6 pm 3 26 5-6 pm 506
LAGAO / BUAYAN (PAG-ASA)
Time Veh Cpty Pass Time Veh Cpty Pass Time T.Pass
6-7 am 56 73 6-7 am 4 68 6-7 am 141
7-8 am 159 181 7-8 am 15 229 7-8 am 410
8-9 am 80 158 8-9 am 10 126 8-9 am 284
3-4 pm 75 177 3-4 pm 10 143 3-4 pm 320
4-5 pm 83 223 4-5 pm 13 184 4-5 pm 407
5-6 pm 66 186 5-6 pm 6 90 5-6 pm 276
LAGAO / BUAYAN (PAG-ASA)
Time Veh Cpty Pass Time Veh Cpty Pass Time T.Pass
6-7 am 91 329 6-7 am 18 106 6-7 am 435
7-8 am 134 460 7-8 am 16 175 7-8 am 635
8-9 am 47 103 8-9 am 6 49 8-9 am 152
3-4 pm 53 124 3-4 pm 15 173 3-4 pm 297
4-5 pm 25 110 4-5 pm 6 67 4-5 pm 177
5-6 pm 32 54 5-6 pm 7 61 5-6 pm 115
41
-
T
41-
J
41
42
-
T
42-
J
42
39
-
T
39
-
J
39
40
-
T
40-
J
40
37
-
T
37
-
J
37
38
-
T
38
-
J
38
29 | G S C L O C A L P U B L I C T R A N S P O R T R O U T E P L A N 2 0 1 7
PAG-ASA
Time Veh Cpty Pass Time Veh Cpty Pass Time T.Pass
6-7 am 6-7 am 6-7 am 0
7-8 am 7-8 am 7-8 am 0
8-9 am 8-9 am 8-9 am 0
3-4 pm 3-4 pm 3-4 pm 0
4-5 pm 4-5 pm 4-5 pm 0
5-6 pm 5-6 pm 5-6 pm 0
DONA SOLEDAD
Time Veh Cpty Pass Time Veh Cpty Pass Time T.Pass
6-7 am 33 83 6-7 am 11 50 6-7 am 133
7-8 am 67 198 7-8 am 49 277 7-8 am 475
8-9 am 40 117 8-9 am 37 143 8-9 am 260
3-4 pm 29 112 3-4 pm 14 186 3-4 pm 298
4-5 pm 87 342 4-5 pm 53 821 4-5 pm 1163
5-6 pm 125 500 5-6 pm 60 991 5-6 pm 1491
DONA SOLEDAD
Time Veh Cpty Pass Time Veh Cpty Pass Time T.Pass
6-7 am 165 679 6-7 am 41 647 6-7 am 1326
7-8 am 164 512 7-8 am 45 732 7-8 am 1244
8-9 am 78 170 8-9 am 39 405 8-9 am 575
3-4 pm 75 106 3-4 pm 30 218 3-4 pm 324
4-5 pm 79 107 4-5 pm 35 174 4-5 pm 281
5-6 pm 101 125 5-6 pm 46 231 5-6 pm 356
MABUHAY RD. / NLSA (EXTENSION)
Time Veh Cpty Pass Time Veh Cpty Pass Time T.Pass
6-7 am 80 100 6-7 am 8 35 6-7 am 135
7-8 am 163 297 7-8 am 8 41 7-8 am 338
8-9 am 104 161 8-9 am 2 12 8-9 am 173
3-4 pm 117 370 3-4 pm 3 34 3-4 pm 404
4-5 pm 126 474 4-5 pm 4 53 4-5 pm 527
5-6 pm 125 378 5-6 pm 5 67 5-6 pm 445
MABUHAY RD. / NLSA (EXTENSION)
Time Veh Cpty Pass Time Veh Cpty Pass Time T.Pass
6-7 am 205 557 6-7 am 5 30 6-7 am 587
7-8 am 192 627 7-8 am 13 113 7-8 am 740
8-9 am 135 338 8-9 am 6 29 8-9 am 367
3-4 pm 177 235 3-4 pm 7 42 3-4 pm 277
4-5 pm 132 229 4-5 pm 1 3 4-5 pm 232
5-6 pm 114 144 5-6 pm 2 3 5-6 pm 147
MABUHAY RD. / H-WAY
Time Veh Cpty Pass Time Veh Cpty Pass Time T.Pass
6-7 am 57 113 6-7 am 1 4 6-7 am 117
7-8 am 194 349 7-8 am 6 13 7-8 am 362
8-9 am 98 160 8-9 am 4 3 8-9 am 163
3-4 pm 98 257 3-4 pm 4 38 3-4 pm 295
4-5 pm 167 664 4-5 pm 7 76 4-5 pm 740
5-6 pm 168 649 5-6 pm 7 93 5-6 pm 742
46
-
T
46-
J
46
47
-
T
47-
J
47
44
-
T
44-
J
44
45
-
T
45-
J
45
42
-
T
42-
J
42
43
-
T
43-
J
43
30 | G S C L O C A L P U B L I C T R A N S P O R T R O U T E P L A N 2 0 1 7
MABUHAY RD. / H-WAY
Time Veh Cpty Pass Time Veh Cpty Pass Time T.Pass
6-7 am 143 653 6-7 am 9 87 6-7 am 740
7-8 am 325 1538 7-8 am 13 139 7-8 am 1677
8-9 am 118 509 8-9 am 11 83 8-9 am 592
3-4 pm 173 429 3-4 pm 3 25 3-4 pm 454
4-5 pm 196 592 4-5 pm 5 23 4-5 pm 615
5-6 pm 217 738 5-6 pm 1 4 5-6 pm 742
APARENTE ST. / H-WAY
Time Veh Cpty Pass Time Veh Cpty Pass Time T.Pass
6-7 am 97 301 6-7 am 0 0 6-7 am 301
7-8 am 174 620 7-8 am 0 0 7-8 am 620
8-9 am 119 455 8-9 am 0 0 8-9 am 455
3-4 pm 90 276 3-4 pm 0 0 3-4 pm 276
4-5 pm 147 599 4-5 pm 0 0 4-5 pm 599
5-6 pm 243 1120 5-6 pm 0 0 5-6 pm 1120
APARENTE ST. / H-WAY
Time Veh Cpty Pass Time Veh Cpty Pass Time T.Pass
6-7 am 222 800 6-7 am 0 0 6-7 am 800
7-8 am 284 1081 7-8 am 0 0 7-8 am 1081
8-9 am 349 1039 8-9 am 0 0 8-9 am 1039
3-4 pm 232 641 3-4 pm 0 0 3-4 pm 641
4-5 pm 268 861 4-5 pm 0 0 4-5 pm 861
5-6 pm 332 990 5-6 pm 0 0 5-6 pm 990
LLIDO ST. / NLSA RD.
Time Veh Cpty Pass Time Veh Cpty Pass Time T.Pass
6-7 am 77 193 6-7 am 0 0 6-7 am 193
7-8 am 88 256 7-8 am 0 0 7-8 am 256
8-9 am 70 126 8-9 am 0 0 8-9 am 126
3-4 pm 67 84 3-4 pm 0 0 3-4 pm 84
4-5 pm 86 262 4-5 pm 0 0 4-5 pm 262
5-6 pm 21 52 5-6 pm 0 0 5-6 pm 52
LLIDO ST. / NLSA RD.
Time Veh Cpty Pass Time Veh Cpty Pass Time T.Pass
6-7 am 43 56 6-7 am 0 0 6-7 am 56
7-8 am 88 119 7-8 am 0 0 7-8 am 119
8-9 am 43 44 8-9 am 0 0 8-9 am 44
3-4 pm 43 71 3-4 pm 0 0 3-4 pm 71
4-5 pm 37 84 4-5 pm 0 0 4-5 pm 84
5-6 pm 37 106 5-6 pm 0 0 5-6 pm 106
LLIDO ST. / H-WAY
Time Veh Cpty Pass Time Veh Cpty Pass Time T.Pass
6-7 am 120 278 6-7 am 0 0 6-7 am 278
7-8 am 174 395 7-8 am 0 0 7-8 am 395
8-9 am 120 337 8-9 am 0 0 8-9 am 337
3-4 pm 105 199 3-4 pm 0 0 3-4 pm 199
4-5 pm 149 470 4-5 pm 0 0 4-5 pm 470
5-6 pm 103 354 5-6 pm 0 0 5-6 pm 354
52-
T
52-
J
52
53-
T
53-
J
53
50-
T
50
J
50
51-
T
51-
J
51
48-
T
48-
J
48
49-
T
49-
J
49
31 | G S C L O C A L P U B L I C T R A N S P O R T R O U T E P L A N 2 0 1 7
LLIDO ST. / H-WAY
Time Veh Cpty Pass Time Veh Cpty Pass Time T.Pass
6-7 am 87 190 6-7 am 1 2 6-7 am 192
7-8 am 236 555 7-8 am 0 0 7-8 am 555
8-9 am 117 238 8-9 am 0 0 8-9 am 238
3-4 pm 103 271 3-4 pm 3 7 3-4 pm 278
4-5 pm 120 262 4-5 pm 0 0 4-5 pm 262
5-6 pm 142 431 5-6 pm 1 12 5-6 pm 443
CONEL RD. / NLSA
Time Veh Cpty Pass Time Veh Cpty Pass Time T.Pass
6-7 am 197 589 6-7 am 0 0 6-7 am 589
7-8 am 384 1197 7-8 am 2 4 7-8 am 1201
8-9 am 189 340 8-9 am 0 0 8-9 am 340
3-4 pm 194 433 3-4 pm 0 0 3-4 pm 433
4-5 pm 142 302 4-5 pm 0 0 4-5 pm 302
5-6 pm 159 361 5-6 pm 0 0 5-6 pm 361
CONEL RD. / NLSA
Time Veh Cpty Pass Time Veh Cpty Pass Time T.Pass
6-7 am 91 155 6-7 am 0 0 6-7 am 155
7-8 am 240 344 7-8 am 0 0 7-8 am 344
8-9 am 136 155 8-9 am 0 0 8-9 am 155
3-4 pm 165 278 3-4 pm 0 0 3-4 pm 278
4-5 pm 156 387 4-5 pm 0 0 4-5 pm 387
5-6 pm 203 534 5-6 pm 0 0 5-6 pm 534
TIONGSON ST. / H-WAY
Time Veh Cpty Pass Time Veh Cpty Pass Time T.Pass
6-7 am 125 92 6-7 am 1 0 6-7 am 92
7-8 am 248 206 7-8 am 0 0 7-8 am 206
8-9 am 201 104 8-9 am 1 6 8-9 am 110
3-4 pm 150 171 3-4 pm 0 0 3-4 pm 171
4-5 pm 170 383 4-5 pm 0 0 4-5 pm 383
5-6 pm 140 307 5-6 pm 0 0 5-6 pm 307
TIONGSON ST. / H-WAY
Time Veh Cpty Pass Time Veh Cpty Pass Time T.Pass
6-7 am 167 352 6-7 am 0 0 6-7 am 352
7-8 am 296 657 7-8 am 0 0 7-8 am 657
8-9 am 194 180 8-9 am 0 0 8-9 am 180
3-4 pm 180 117 3-4 pm 0 0 3-4 pm 117
4-5 pm 210 130 4-5 pm 0 0 4-5 pm 130
5-6 pm 175 197 5-6 pm 0 0 5-6 pm 197
NURSERY RD. / H-WAY
Time Veh Cpty Pass Time Veh Cpty Pass Time T.Pass
6-7 am 78 79 6-7 am 0 0 6-7 am 79
7-8 am 92 120 7-8 am 0 0 7-8 am 120
8-9 am 56 38 8-9 am 0 0 8-9 am 38
3-4 pm 118 184 3-4 pm 0 0 3-4 pm 184
4-5 pm 117 277 4-5 pm 0 0 4-5 pm 277
5-6 pm 96 254 5-6 pm 0 0 5-6 pm 254
58-T
58-J
58
59-T
59-J
59
56-T
56-J
56
57-T
57-J
57
54-
T
54-
J
54
55-T
55-
J
55
32 | G S C L O C A L P U B L I C T R A N S P O R T R O U T E P L A N 2 0 1 7
NURSERY RD. / H-WAY
Time Veh Cpty Pass Time Veh Cpty Pass Time T.Pass
6-7 am 137 489 6-7 am 0 0 6-7 am 489
7-8 am 134 616 7-8 am 0 0 7-8 am 616
8-9 am 68 177 8-9 am 0 0 8-9 am 177
3-4 pm 73 139 3-4 pm 0 0 3-4 pm 139
4-5 pm 107 146 4-5 pm 0 0 4-5 pm 146
5-6 pm 78 143 5-6 pm 0 0 5-6 pm 143
LAGAO-KATANGAWAN (SHELL)
Time Veh Cpty Pass Time Veh Cpty Pass Time T.Pass
6-7 am 30 109 6-7 am 0 0 6-7 am 109
7-8 am 127 269 7-8 am 5 54 7-8 am 323
8-9 am 71 169 8-9 am 6 70 8-9 am 239
3-4 pm 50 109 3-4 pm 4 66 3-4 pm 175
4-5 pm 64 207 4-5 pm 13 228 4-5 pm 435
5-6 pm 51 195 5-6 pm 9 145 5-6 pm 340
LAGAO-KATANGAWAN (SHELL)
Time Veh Cpty Pass Time Veh Cpty Pass Time T.Pass
6-7 am 178 574 6-7 am 2 26 6-7 am 600
7-8 am 187 559 7-8 am 9 159 7-8 am 718
8-9 am 82 125 8-9 am 8 157 8-9 am 282
3-4 pm 96 115 3-4 pm 10 124 3-4 pm 239
4-5 pm 154 190 4-5 pm 10 143 4-5 pm 333
5-6 pm 153 204 5-6 pm 11 109 5-6 pm 313
AMAO RD., BULA (PP #7)
Time Veh Cpty Pass Time Veh Cpty Pass Time T.Pass
6-7 am 254 220 6-7 am 0 0 6-7 am 220
7-8 am 401 543 7-8 am 0 0 7-8 am 543
8-9 am 425 278 8-9 am 0 0 8-9 am 278
3-4 pm 314 451 3-4 pm 0 0 3-4 pm 451
4-5 pm 436 730 4-5 pm 0 0 4-5 pm 730
5-6 pm 418 782 5-6 pm 0 0 5-6 pm 782
AMAO RD., BULA (PP #7)
Time Veh Cpty Pass Time Veh Cpty Pass Time T.Pass
6-7 am 280 595 6-7 am 0 0 6-7 am 595
7-8 am 439 1116 7-8 am 1 12 7-8 am 1128
8-9 am 307 525 8-9 am 0 0 8-9 am 525
3-4 pm 319 348 3-4 pm 1 2 3-4 pm 350
4-5 pm 401 624 4-5 pm 0 0 4-5 pm 624
5-6 pm 360 382 5-6 pm 0 0 5-6 pm 382
64-T
64-J
64
62-T
62-J
62
63-T
63-J
63
60-T
60-J
60
61-T
61-J
61
33 | G S C L O C A L P U B L I C T R A N S P O R T R O U T E P L A N 2 0 1 7
Figure 12: MAP OF SURVEY POINTS RELATIVE TO PUBLIC TRANSPORT INFLUENCE AREAS (ZONES)
34 | G S C L O C A L P U B L I C T R A N S P O R T R O U T E P L A N 2 0 1 7
VIII. Recommendation to LTFRB
Table 7: INVENTORY OF EXISTING PUJ FRANCHISE (LTFRB XII, As of 2013)
ROUTE NAME
NO. OF CPC
GRANTED UNCO
ROUTE
TYPE OF NFIRM STATU
AS
VEHICLE AS OF ED S
ORIGIN DESTINATION OF
2010 (2013)
2013
P. Acharon Blvd.-Santiago Blvd.-Magsaysay
Gensanville Subd. Agan Homes
Ave.-Pioneer Ave.-Pendatun Ave.-Laurel St.-
FILCAB 17 X inactive
Bulaong Ave. -Crossing Natl Hiway-Dacera
St.-MMC-Agan Homes and vice versa
Lote Carcon Village NFA Road and VV 51 53 40 inactive
Aradaza st.-J. Catolico Sr. Ave.-Magsaysay
Casa Luisa Subd. Cahilsot Village
Ave.-Pioneer Ave.-P. Acharon Blvd.-Silway-
FILCAB 286 184 47
Labangal-Makar Wharf-Natl Hiway-J.P. Rizal
and VV
Aradaza st.-J. Catolico Sr. Ave.-Magsaysay
Casa Luisa Subd. Placida
Ave.-Pioneer Ave.-P. Acharon Blvd.-Silway-
FILCAB 37 50
Labangal-Makar Wharf-Natl Hiway-J.P. Rizal
and VV
GSC PROPER Mabuhay Habitat and VV
FILCAB,
102 81 57
PUJ
Fresco Valde Teachers Village-J.P Rizal St.-
Natl. Hiway-Makar Labangal Rd.-P. Acharon
Emergency
Blvd.-Cahilsot St.-Daproza Ave.-Pendatun
Greenville Subd. Ave.-Roxas Ave.-Osmeña St.-Quirino Ave.- FILCAB 5 30 6
Hospital
Magsaysay Ave.-Santiago Blvd.-San Miguel
St.-J. Catolico Ave.-Natl. Hiway-Fernandez
St and VV
Natl. Hiway-Pendatun Ave. Pioneer Ave.-P.
Crossing Glamang Tinagacan
Acharon Blvd.-Santiago Blvd.-J. Catolico
PUJ 168 122
Ave.-Cabel St.-Balite-Pagasa-Natl Hiway-
Crossing Ligaya -Tinagacan and VV
35 | G S C L O C A L P U B L I C T R A N S P O R T R O U T E P L A N 2 0 1 7
Natl. Hiway-Bulaong Ave.-J>P Laurel St.-
Pendatun Ave. Pioneer Ave.-P. Acharon
Susana Homes Doña Soledad Blvd.-Public Market-Santiago Blvd.-J. FILCAB 105 127 11
Catolico Ave.-Lagao Nursery Road-and VV
and VV
Natl. Hiway-Bulaong Ave.-J>P Laurel St.-
Pendatun Ave. Pioneer Ave.-P. Acharon
Susana Homes Doña Soledad Blvd.-Public Market-Santiago Blvd.-J. PUJ 44 29 3
Catolico Ave.-Lagao Nursery Road-and VV
and VV
Calumpang NFA Road Bula FILCAB 36 25 16
Purok 6 National Highway- Pendaton Ave.-
West Ave.-Pioneer Ave.-P. Acharon Blvd.-
FILCAB,
Lanton NFA ROAd Santiago Blvd.-J Catholico Sr. ave._NFA 23 11 6
PUJ
Road-National Highway.- St. Elizabeth
Hospital and Vice –versa
General Santos
Tambler Proper
Natinal Highway -RFM -Purefoods -Sta.
PUJ 123 101 10
City Proper Monica- Agrotex and Vice –versa
Sarangani Province Road -Diamond Road -
Natinal Highway - Labangal -P. Acharon
Malagat, FVR
Lagao
Blvd. Santiago Blvd. San Miguel Road - J.
FILCAB 33 33 8
Village, Fatima Catholico Sr. Ave. KCC Mall- Lagao Road -
Tiongson St.ext.- bCabalina st.- Cabel St.
and Vice –versa
General Santos
Bawing Seguil
P. Acharon Blvd.- Labangal -Makar Wharf-
PUJ 69 59 35
City Proper National Highway and vice versa
General Santos
Conel Terminal only FILCAB 7 x x inactive
City Proper
NLSA Road - Leon Llido st. -Tiogson St. -J
Catholico Sr. ave,- Santiago Blvd. -Acharon
Purok Malakas Lagao Phase I Blvd.- Pioneer ave.- Pendatun ave.- Natinal PUJ 19 x x inactive
Highway Aparente st.- Nunes St. and Vice
Versa
36 | G S C L O C A L P U B L I C T R A N S P O R T R O U T E P L A N 2 0 1 7
Nunes st. Guinoo st.- Aparente ave.-
Sarangani Homes
National Highway - Roxas Ave.- Pioneer ave.-
Lagao P. Acharon Blvd.- Santiago Blvd.-J. PUJ 43 26 19
Phase II
Catholico Sr.Ave.- NLSA Road- Llido St.-
Tiogson
General Santos
Centro Fatima
Labangal -Makar Wharf - National Highway -
PUJ 34 36 5
City Proper San Jose and viceversa
General Santos
MSU Tambler
National Highway- Makar wharf - MSU Ave.
PUJ 29 21 3
City Proper and vice versa
Katangawan Makar Wharf Vice- versa PUJ x inactive
New Society- National highway -Balite -
Prk 5, Sto. Nino Apopong - Lagao
Pendatun ave.-Pioneer Ave.- P. Acharon
PUJ 45 31 21
Blvd. - J. Catholico Sr. Ave.- Cabel St.- Pag -
asa and vice-versa
Beta Farm Road - Marcus Ave.- National
Highway- Cossing Makar -Labus- Pendatun
Prk 3, Sto. Nino Apopong - Lagao Ave.- Pioneer Ave.- P. Acharon Blvd.- PUJ 111 69 47
Santiago Blvd.- J. Catolico Sr. ave.- Balite -
Cabet st.- Lagao and vice-versa
Beta Farm Road - Marcus Ave.- National
Highway- Cossing Makar -Labus- Pendatun
Sinawal - Lagao Cabuay- Yusaville Ave.- Pioneer Ave.- P. Acharon Blvd.- PUJ 44 x 44
Santiago Blvd.- J. Catolico Sr. ave.- Balite -
Cabel st.- Lagao and vice-versa
General Santos Basag , T'boli,
Glamang and Vice Versa PUJ 5 5
City Proper South Cotabato
General Santos
Olympog Conel and Vice versa PUJ
City Proper inactive
National Highway ( Lagao ave. ) - J. Catolico
Sr. Ave.- Santiago BLVD.- ( Public Market )
P. Acharon Blvd.- Pioneer ave.- Pendatun
Buayan Townsite Makar Wharf Ave.- Osmena St - ( now Fiscal Gregorio FILCAB
Daproza St.- City Terminal) Bulaopn Ave.
National Highway - Poilytechnic - Makar
Wharf and vice versa inactive
37 | G S C L O C A L P U B L I C T R A N S P O R T R O U T E P L A N 2 0 1 7
General Santos
Batomelong Vice- Versa FILCAB
City Proper inactive
NLSA Road- Tiogson St. L. Catholico Sr.
Ave.- Santiago BLVD.- Cagampang - West
Lagao
Prk Malakas- San Side- P. Acharon BLVD.- Pioneer Ave.-
PUJ
Vicente Roxas East- National Highway - Old NSA
Road - Brgy. San Isidro ( @nd Bo.) -
Basketball Court San Vicente and vice versa inactive
NLSA Road -Tiogson St.- J Catholico Sr.
Ave.- Santiago BLVD.- Cagampang - west
Prk Malakas- San side- P. acharon Blvd.- Pioneer Ave._ Roxas
Lagao Isidro Via Habitat East - National Highway - Aparente St. .- PUJ
Phase B Nunes St .- Old NLSA Road - Brgy San Isidro
- ( 2nd Bo.) Basketball Court San Vicente
and vice-versa inactive
General Santos Mabuhay Habitat
Terminal - National Highway - Mindanao
FILCAB,
Medical Hospital- Mabuhay Road _ Habitat
City Proper Phase A PUJ
Phase A- Klinan % and vice-versa Inactive
DATA SOURCE: LTFRB XII
38 | G S C L O C A L P U B L I C T R A N S P O R T R O U T E P L A N 2 0 1 7
Figure 13: MAP OF EXISTING ACTIVE PUJ ROUTES
39 | G S C L O C A L P U B L I C T R A N S P O R T R O U T E P L A N 2 0 1 7
Table 8: NUMBER OF UNITS FOR PROPOSED NEW ROUTES
Route Name Origin Destination Route Description
Passenger Per
Peak Hour Per
Direction
(PPHPD)
.75
PPHPD
Seasonality
Factor (SF)
Utilization
Rate (UR)
Viable Load
Factor (VLF)
Average
Seating
Capacity (ASC)
Route
Distance
Average
Speed
Average Travel
Time
Terminal Waiting
Time
Average Turn-
Around Time
(TAT)
Number of
Round Trips
(NRT) /hour
Number of Units
Frequency
per direction
Time Headway
during peak
hour
Time Headway
during peak hour
Terminal name
or area name
Terminal name
or area name
UR = No. of
Units
Operating
Everyday /
Total
Number of
Proposed
Units
*VLF
represents the
minimum
average load
factor at which
transit
operation
earns a
reasonable or
viable profit.
*ASC
represents the
average
number of
seats which
can be
accommodated
by the chosen
vehicle type.
*Total route
length (two-
way route
length for
non-loop
route)
Observed
average
speed
during the
peak hour;
Average travel
time for plying the
route from end to
end (includes pick-
up at designated
stops, does not
include waiting
time at the
terminals)
Total waiting
time of the driver
at the terminal/s
in one roundtrip.
This should
include driver
queuing time,
rest, passenger
loading at both
terminals.
Average Travel
Time +
Terminal
Waiting Time
NRT = 60 mins.
/ TAT
Number of Units =
Passenger Demand
(PD)(SF) /
(UR*VSC*ASC*NRT)
Frequency =
PPHPD / ASC;
Headway = 60
mins. /
Frequency
1 CBD
Purok Sarif
Mucsin
From Barangays North, East, West , South
(CBD) to Sarip Mucsin, Baluan via P. Acharon
Blvd. to Pioneer Avenue to Quezon Ave. to
Laurel Ave. to Quirino Ave. to Magsaysay
Ave to Pioneer Ave. to Acharon Blvd. to J.P.
Royeca Ave. And VV
1671 1253 1 0.85 1 22 28.6 20 85.8 20 105.8 0.6 118.2 57.0 1.1 63.2
2
Central Public
Market
Purok 7
Batomelong
From the Central Public Market (CPM) to
Barangay Batomelong via Santiago Blvd. to J.
Catolico Ave. to Maharlika Hiway and VV
1041 781 1 0.85 1 22 37.2 20 111.6 20 131.6 0.5 91.6 35.5 1.7 101.4
3
Central Public
Market
Katangawan
From the Central Public Market (CPM) to
Barangay Katangawan via Santiago Blvd. to
J. Catolico Ave. to Nursery Rd. and VV
736 552 1 0.85 1 22 22 20 66 20 86 0.7 42.3 25.1 2.4 143.5
4
Central Public
Market
Olympog
From the CPM to Barangay Olympog via
Santiago Blvd. to Natl. Hiway to Leon Llido
St. to NLSA Rd. to Conel Rd. and VV
1545 1159 1 0.85 1 22 28.4 20 85.2 20 105.2 0.6 108.6 52.7 1.1 68.3
5
Central Public
Market
Mabuhay
From the CPM to Barangay Mabuhay via P.
Acharon Blvd. to Pioneer Ave. to Roxas St. to
National Hiway to Aparente St. to NLSA Rd.
to Dacera Ave and VV
2110 1583 1 0.85 1 22 26 20 78 20 98 0.6 138.2 71.9 0.8 50.0
6 North loop
Dacera Avenue to NLSA Rd. to L.Llido St. to
Tiongson St. to National Hiway (A and B)
2039 1529 1 0.85 1 22 15 20 45 10 55 1.1 75.0 69.5 0.9 51.8
7 CBD loop
Bulaong Terminal to Osmeña St. to Quezon
Ave. to Magsaysay Ave. to Santiago Blvd. to
J. Catolico Ave. to National Hiway to Mangga
St. (A and B)
0 #DIV/0! #DIV/0! #DIV/0! 15.0 #DIV/0! #DIV/0! #DIV/0!
8
Central Public
Market
DAR BCI
From the CPM to DARBCI via P. Acharon
Blvd. to Pioneer Ave. to Osmeña North to
Bulaong Ave. to National Highway to
Maharlika Hiway and VV
455 341 1 0.85 1 22 18.6 20 55.8 20 75.8 0.8 23.1 15.5 3.9 232.1
9 Buayan Lanton, Apopong
From Buayan to Lanton via Lagao-Buayan Rd.
to National Hiway to Pendatun Ave. to
Osmeña North to Bulaong Ave. to National
Hiway to Maharlika Hiway to Marcos Ave.
and VV
1739 1304 1 0.85 1 22 32.4 20 97.2 20 117.2 0.5 136.2 59.3 1.0 60.7
10 Dona Soledad
Lagao Public
Market
From Dña. Soledad to Lagao PM via
Maharlika Hiway to National Hiway to
Bulaong Ave. to Laurel Ave. to Santiago Blvd.
to San Miguel St. to J. Catolico Ave. to
Arradaza St. to Calima St. to NLSA Ext. to
Ardonia T. and VV
1847 1385 1 0.85 1 22 26 20 78 20 98 0.6 121.0 63.0 1.0 57.2
11 Calumpang
Lagao Public
Market
From Calumpang Lote to Lagao PM via Rizal
St. to Makar-Maasim Rd. to P. Acharon Blvd.
to Pioneer Ave. to Magsaysay Ave. to J.
Catolico Ave. to to Arradaza St. to Calima St.
to NLSA Ext. to Ardonia T. and VV
1851 1388 1 0.85 1 22 26 20 78 20 98 0.6 121.3 63.1 1.0 57.1
12 Calumpang San Jose
From Calumpang to San Jose via Fil-Am Rd.
to San Jose Rd and VV
0 27 #DIV/0! #DIV/0! #DIV/0! 15.0 #DIV/0! #DIV/0! #DIV/0!
13 Airport
Central Public
Market
From GSC Airport to CPM via Fil-Am Rd. to
Maharlika Hiway to National Hiway to
Bulaong Ave. to Osmeña St. to Pendatun
Ave. to Pioneer Ave. to P. Acharon Blvd. and
VV
1499 1124 1 0.85 1 22 34 20 102 20 122 0.5 122.2 51.1 1.2 70.4
14 Calumpang Siguel
From Calumpang to Siguel via Rizal St. to
Makar-Maasim Rd. and VV
542 407 1 0.85 1 22 29.2 20 87.6 20 107.6 0.6 39.0 18.5 3.2 194.8
40 | G S C L O C A L P U B L I C T R A N S P O R T R O U T E P L A N 2 0 1 7
Table 9: MODES OF TRANSPORTATION PER PROPOSED ROUTE
Route Name PPHPD Mode Route Length Existing Route?
Was route modified?
Modification
description
Affected Routes (if any) Modification description
km Y/N Y/N
Indicate recommended
mode for the route.
FILCAB: ≤ 500 pphpd
PUJ/UV: ≤ 1000
MINI-BUS: ≤ 5000
BUS: > 5000
Provide justification if mode does
not follow PPHPD requirement.
Justificatio
n if not
following
Maximum
Distance
Policy
If No (ie
developm
ental
route),
Answer
Sheet C:
Dev
Routes
Merge /
Delete/
Shorten/
Extend, etc.
List of affected routes
with valid CPCs
Merge / Delete/ Shorten/ Extend, etc.
1 CBD Purok Sarif Mucsin 1253 PUJ
Need to validate the route viability
after the first 6 months of
operation
14.3 - N None
2 Central Public Market Purok 7 Batomelong 781 PUJ 18.6
No transfer
areas along
the route.
Y Y Shortened None
3 Central Public Market Katangawan 552 PUJ 11 N
4 Central Public Market Olympog 1159 PUJ Road with too narrow for mini-bus 14.2 Y N
5 Central Public Market Mabuhay 1583 PUJ Road with too narrow for mini-bus 13 Y Y Shortened None
6 North loop 0 1529 PUJ Road with too narrow for mini-bus 15 N N
Gensanville - Agan Homes;
Purok Malakas- Lagao
Phase 1;
Sarangani Homes - Lagao;
Lagao - Purok Malakas
San Vicente;
Lagao - Purok Malakas
San Isidro Phase B
Merged
7 CBD loop 0 0 PUJ 6.7 N None
8 Central Public Market DAR BCI 341 PUJ 9.3 Y Y Shortened
9 Buayan Lanton, Apopong 1304 PUJ Road with too narrow for mini-bus 16.2 Y Y Extended
Purok 5 Sto Nino to Lagao
v. Jcat;
Purok 3 Sto. Nino - Lagao;
Sinawal - Lagao;
Merged
10 Dona Soledad Lagao Public Market 1385 PUJ Road with too narrow for mini-bus 13 Y Y Shortened None
11 Calumpang Lagao Public Market 1388 PUJ Road with too narrow for mini-bus 12.3 Y Y Shortened Greenville-Emergency Merged
12 Calumpang San Jose 0 PUJ 13.5 N
13 Airport Central Public Market 1124 PUJ Road with too narrow for mini-bus 14.8 Y Y Extended
MSU CETD- MSU Tambler;
FVR Malagat - GenSan
Proper;
Centro Fatima -Gensan
Proper;
11B Fatima - GenSan
Proper;
Labus - GenSan Proper;
Airport - Bulaong Terminal
Merged w/ Airport - Central Public Market
14 Calumpang Siguel 407 PUJ 14.6 Y Y Shortened Tambler - GenSan Proper Merged
Maximum distances per OFG Sec. 2.5:
15 km for Highly urbanized cities, independent component cities, and component cities
35 km for Inter-regional, inter-provincial, provincial, and municipal routes.
For PUJ loop services, the loop length shall be covered by similar restrictions.
41 | G S C L O C A L P U B L I C T R A N S P O R T R O U T E P L A N 2 0 1 7
Table 10: PROPOSED NEW/DEVELOPMENTAL ROUTES
Route Name ORIGIN DESTINATION
Does this route overlap
with other existing
routes?
Affected Route Name
Length of
Affected Route
Length of overlap
bet. proposed
route and affected
% Justification if exceeding 25%
Y/N km km
Routes with valid CPC only
1 CBD Purok Sarif Mucsin Y Route 8 9.3 0.854 9%
Route 11 12.3 0.854 7%
Route 13 14.8 0.854 6%
3
Central
Public
Market
Katangawan Y Route 2 18.6 3.46 19%
6 North loop 0 Y Route 2 18.6 1.17 6%
7 CBD loop 0 N #DIV/0!
12 Calumpang San Jose Y Route 13 14.8 4 27% No other options for the route.
The following assumptions were considered by the TWG in the determination of the above figures:
1. Passenger per Peak Hour per Direction (PPHPD) was determined by computing the sum of the highest demand in a peak
hour with the figure of the same hour in the opposite direction as per data from the passenger volume count.
2. Passenger Demand (PD) was estimated as 75% of the PPHPD derived from the result of the passenger volume count at
specific points in the corridor for the assigned route.
3. Utilization rate (UR) was placed constant at 0.85.
4. Viable Load Factor (VLF) was placed constant at 1.
5. Average Seating Capacity (ASC), 22 passengers, is based on Philippine Standard for Seating Capacity for Public Utility
Jeepney‘s.
6. Average Speed was placed constant at 20 KPH to include stops.
The figures reflected in the above tables were computed using the prescribed formula in the LPTRP Manual.
42 | G S C L O C A L P U B L I C T R A N S P O R T R O U T E P L A N 2 0 1 7
MAPS OF PROPOSED PUJ (INTRA-CITY) ROUTES
Figure 14: PROPOSED ROUTE 1
43 | G S C L O C A L P U B L I C T R A N S P O R T R O U T E P L A N 2 0 1 7
Figure 15: PROPOSED ROUTE 2
44 | G S C L O C A L P U B L I C T R A N S P O R T R O U T E P L A N 2 0 1 7
Figure 16: PROPOSED ROUTE 3
45 | G S C L O C A L P U B L I C T R A N S P O R T R O U T E P L A N 2 0 1 7
Figure 17: PROPOSED ROUTE 4
46 | G S C L O C A L P U B L I C T R A N S P O R T R O U T E P L A N 2 0 1 7
Figure 18: PROPOSED ROUTE 5
47 | G S C L O C A L P U B L I C T R A N S P O R T R O U T E P L A N 2 0 1 7
Figure 19: PROPOSED ROUTE 6
48 | G S C L O C A L P U B L I C T R A N S P O R T R O U T E P L A N 2 0 1 7
Figure 20: PROPOSED ROUTE 7
49 | G S C L O C A L P U B L I C T R A N S P O R T R O U T E P L A N 2 0 1 7
Figure 21: PROPOSED ROUTE 8
50 | G S C L O C A L P U B L I C T R A N S P O R T R O U T E P L A N 2 0 1 7
Figure 22: PROPOSED ROUTE 9
51 | G S C L O C A L P U B L I C T R A N S P O R T R O U T E P L A N 2 0 1 7
Figure 23: PROPOSED ROUTE 10
52 | G S C L O C A L P U B L I C T R A N S P O R T R O U T E P L A N 2 0 1 7
Figure 24: PROPOSED ROUTE 11
53 | G S C L O C A L P U B L I C T R A N S P O R T R O U T E P L A N 2 0 1 7
Figure 25: PROPOSED ROUTE 12
54 | G S C L O C A L P U B L I C T R A N S P O R T R O U T E P L A N 2 0 1 7
Figure 26: PROPOSED ROUTE 13
55 | G S C L O C A L P U B L I C T R A N S P O R T R O U T E P L A N 2 0 1 7
Figure 27: PROPOSED ROUTE 14
56 | G S C L O C A L P U B L I C T R A N S P O R T R O U T E P L A N 2 0 1 7
Figure 28: CONSOLIDATED MAP OF PROPOSED PUV ROUTES
57 | G S C L O C A L P U B L I C T R A N S P O R T R O U T E P L A N 2 0 1 7
Figure 29: MAP OF EXISTING INTER-REGIONAL (MULTI-MODAL) TERMINAL
58 | G S C L O C A L P U B L I C T R A N S P O R T R O U T E P L A N 2 0 1 7
Figure 30: MAP OF PROPOSED INTEGRATED OFF-STREET TERMINALS
59 | G S C L O C A L P U B L I C T R A N S P O R T R O U T E P L A N 2 0 1 7
TERMINALS
The city has an existing integrated terminal located at the CBD. The Bulaong
terminal is an LGU operated and managed multi-modal terminal that serves the inter-
regional and the inter-municipality routes. A number of informal terminals operated by
private individuals/operators are located outside the present terminal.
General Santos City has an approved land use plan. As such and as prescribed by
the minimum locational standards, as provided in the Housing and Land Use Regulatory
Board‗s (HLURB) ―Locational Guidelines and Standards for Land Transportation
Terminals and Garages. The location of bus terminals should be at the periphery of a
commercial zone.
In consideration of the above stated policy, this plan proposes the establishment of
Integrated Off-street terminals that will serve the inter-municipality and the inter-city
routes (refer to map of proposed off-street terminals). Jeepney/UV Express service
terminals may be located within the commercial zone, provided, these are not near a major
intersection in which traffic congestion occurs.
1. East Terminal
This terminal is intended to serve the inter-municipality routes from the eastern
side of the city. All PUV‗s coming from the municipalities of Alabel, Malapatan,
Glan and further on, as well as from Malungon, all in the province of Sarangani
and further on are to originate/terminate at the East terminal.
2. South Terminal
This terminal is intended to serve the inter-municipality routes from the
southern side of the city. All PUV‗s coming from the municipalities of Maaasim,
Kiamba, Maitum, all in Sarangani province and further on are to
originate/terminate at the South terminal. This terminal will also be the
termination point of intra-city routes from Barangay‗s Bawing (Seguil) and San
Jose.
3. Central Integrated Off-street terminal
This Off-Street Terminal is intended to serve the intra-city routes from
influence areas that are within the 15 KM radius of this within the city.
These terminal systems shall be the transfer points to other modes as well as inter-
linkage with other routes. Route assignments are to ensure inter-linkage between routes
60 | G S C L O C A L P U B L I C T R A N S P O R T R O U T E P L A N 2 0 1 7
for convenient and safe transfer, embarking and disembarking. All routes are required to
have an off-street terminal compliant with existing standards on both ends of the route,
subject to the clearance issued by the LGU, in coordination with the DOTr and the LTFRB.
Other considerations for the establishment of terminal shall be compliant with
existing national guidelines and issuances.
Aside from the off-street terminals, the city will endeavor to include in its transport
plan the provision of PUV stops which shall be provided with appropriate signage‘s and
convenient passenger boarding and alighting areas along each route. The same may serve
as interchange/transfer areas with other modes or routes.
TRICYCLES
This plan makes reference to the OFG which describes the hierarchy of modes of
public transport, such that buses are on top of the hierarchy, followed by jeepneys, UVs,
and Filcabs that may pass the corridors traversed by buses. At the lower end of the
hierarchy are tricycles, which can traverse local roads and subdivision roads that will
feed into the routes traveled by jeepneys, UVs, or Filcabs.
Pursuant to the OFG, the operation of tricycles shall be in accordance with the
―Joint Memorandum Circular (JMC) No. 1. Series of 2008‖ of the DILG and the DOTC,
which states, “Tricycle operation should only be confined along city or municipal roads,
not along national roads, and is limited only to routes not traversed by higher modes of
public transport. Motorcycles and other farm implements, such as kuliglig, are likewise not
allowed as public transport conveyance.”
Tricycles serve as intra-zonal trip providers. They are intended to provide transport
from home to trunk in which four-wheeled public transport services are available (refer to
MAP OF PROPOSED TRICYCLE ZONES).
61 | G S C L O C A L P U B L I C T R A N S P O R T R O U T E P L A N 2 0 1 7
Figure 31: MAP OF PROPOSED TRICYCLE ZONES
62 | G S C L O C A L P U B L I C T R A N S P O R T R O U T E P L A N 2 0 1 7
ANNEXES
1. Executive Order No. 59, Series of 2017Creating the Local Public Transport Route Plan
Committee of the City of General Santos
2. Committee Resolution Adapting the Fifteen (15) Routes as Proposed for the City of General Santos
3. Committee Resolution Adapting the Draft LPTRP and Endorsing the same to the LTFRB for review
63 | G S C L O C A L P U B L I C T R A N S P O R T R O U T E P L A N 2 0 1 7
64 | G S C L O C A L P U B L I C T R A N S P O R T R O U T E P L A N 2 0 1 7
65 | G S C L O C A L P U B L I C T R A N S P O R T R O U T E P L A N 2 0 1 7
66 | G S C L O C A L P U B L I C T R A N S P O R T R O U T E P L A N 2 0 1 7
67 | G S C L O C A L P U B L I C T R A N S P O R T R O U T E P L A N 2 0 1 7
68 | G S C L O C A L P U B L I C T R A N S P O R T R O U T E P L A N 2 0 1 7
69 | G S C L O C A L P U B L I C T R A N S P O R T R O U T E P L A N 2 0 1 7
70 | G S C L O C A L P U B L I C T R A N S P O R T R O U T E P L A N 2 0 1 7
71 | G S C L O C A L P U B L I C T R A N S P O R T R O U T E P L A N 2 0 1 7
72 | G S C L O C A L P U B L I C T R A N S P O R T R O U T E P L A N 2 0 1 7

LPTRP GenSan.pdf

  • 1.
    1 | GS C L O C A L P U B L I C T R A N S P O R T R O U T E P L A N 2 0 1 7 City of General Santos LOCAL PUBLIC TRANSPORT ROUTE PLAN 1 | G S C L o c a l P u b l i c T r a n s p o r t R o u t e P l a n 2 0 1 7
  • 2.
    0 | GS C L O C A L P U B L I C T R A N S P O R T R O U T E P L A N 2 0 1 7 CONTENTS I. INTRODUCTION a. Vision and Mission b. Profile c. Geography d. Demography e. Economy II. COMPOSITION OF THE LPTRP TEAM III. STUDY AREA / CORRIDOR a. Road Infrastructure b. Routes c. Terminals IV. STATEMENT OF THE PROBLEM V. SETTING UP OF OBJECTIVES VI. REVIEW OF EXISTING CONDITIONS AND DATA a. Congestion b. Modal Shares c. Users Perception on Public Transport d. Self-Assessment Results on Public Transport e. Road Safety VII. DATA GATHERING VIII. ANALYSIS OF DATA IX. RECOMMENDATION TO LTFRB a. List and Map of Existing Public Transport Routes b. List and Map of Proposed Transportation Routes c. Proposed Transportation Facilities V. ANNEXES
  • 3.
    1 | GS C L O C A L P U B L I C T R A N S P O R T R O U T E P L A N 2 0 1 7 I. INTRODUCTION Vision and Mission The aspirations of the citizens of General Santos City are articulated in its vision and mission statements, as follows: Vision: “Gensan, the Green City of the South, the Financial Center of Region XII, Regional Agri-Industrial and Transshipment Hub of SOCCSKSARGEN, and Model of a Harmonious Multi-cultural City; blessed with a healthy, disciplined and educated citizenry; driven by diversified, competitive and resilient economy; endowed with a balanced, sustainable and well-managed environment; equipped with efficient, hazard-resistant, and world class infrastructures and governed by a responsive, participatory and transparent leadership.” Mission: To pursue a stable local economy supportive of development and growth, environmental protection, and security for all people in General Santos City. The vision of the Generals (as the citizens of the city are called) espouses a city that is globally competitive where people enjoy high quality of life in the form of good health, education, sense of responsibility, and participation in governance. The mission of the city emphasizes productivity and responsibility by undertaking quality interventions that pursue public welfare. The city‗s aspiration emphasizes the importance of efficiency, productivity, quality of life and environment, fairness and equity. Any intervention that the city pursues must therefore be anchored on these ideals. And in the process of identifying these interventions, the different stakeholders or the citizens themselves should get involved or granted the opportunity to participate for the city to realize its aspirations. In support of the city‗s vision and mission, five (5) equally important goals were crafted, as follows: (i) Improve road safety; (ii) Improve public transport quality; (iii) Reduce air pollution from transport; (iv) Reduce traffic congestion; and (v) Enhance transport equity. The proposed sustainable public transport plan for the city of General Santos that is embodied in this document intends to address the above stated goals leading to its vision and mission for a better quality of life for the Generals in the near and far future. In
  • 4.
    2 | GS C L O C A L P U B L I C T R A N S P O R T R O U T E P L A N 2 0 1 7 so doing it is necessary to adapt the paradigm in sustainable urban transport planning about, ―planning for the people rather than vehicles. The Department of Transportation through DOTr Department Order No. 2017- 011, otherwise known as the ―Omnibus Guidelines in the Planning and Identification of Public Road Transportation Services and Franchise Issuance‖, shifted the determination and provision of public transportation services from the private sector to the public sector. Therefore, local government units such as the city of General Santos shall do the planning, designing and implementing of the local public transport routes which should be consistent with the developmental plans of the city. Since the CLUP anticipates the growth of the city and it defines the potential growth or expansion areas for certain land uses, It is therefore necessary to adapt the concept of Sustainable Urban Transport in future land use planning. Therefore a paradigm shift is noted from the previous operator driven routes to the developmental plan driven route in determining the potential routes for public transport. There are a number of possible ways of viewing the concept of sustainability, all of which in some way or another point to the need for a lasting solution to the city‗s transport needs:  Environmentally sustainable: non-polluting, using low carbon technology, and sensitive to the scale of the local street environment;   Financially sustainable: able to generate sufficient revenue to cover costs, while still being affordable for the majority of users;  Socially sustainable: able to provide for the transport needs of most sectors of society, both now and in the foreseeable future; easily adaptable to future needs and supported by a wide range of stakeholders.  It is therefore the intention of this plan to adapt the principles of sustainable development that includes the following complimentary elements:   Integrated urban land use and transport planning: Urban transport plans should be integrated with urban land use plans to support more efficient approaches to planning urban expansion and redevelopment, limit trip lengths, make sustainable transport modes convenient for users, and optimize system integration.  Public transport systems: These are needed to provide urban populations with safe, secure, accessible, rapid, efficient, and user-friendly transport, and to reduce pollution, congestion, and accidents.
  • 5.
    3 | GS C L O C A L P U B L I C T R A N S P O R T R O U T E P L A N 2 0 1 7 Profile This section describes the geographic, demographic, and economic condition of GSC. Geography Figure 1: Location Map of General Santos City GSC lies at the southern part of thePhilippines. It is located between 125°1‘ and 125°17‘east longitude and between 5°58‘ and 6°20‘ north latitude. The city is south of Manila and southwest of Davao. The municipalities of Alabel, Malungon, and Maasim of Sarangani province and the municipalities of Polomolok and T‘boli of South Cotabato surround the city. With the new Reorganization of Administrative Region in Mindanao based on Presidential E.O. 36 approved on 19 September 2001, GSC became part of Region XII or SOCCSKSARGEN (South Cotabato, Cotabato, Sultan Kudarat, Sarangani, and GSC) in
  • 6.
    4 | GS C L O C A L P U B L I C T R A N S P O R T R O U T E P L A N 2 0 1 7 Central Mindanao. SOCCSKSARGEN now comprises 45 municipalities, with four provinces (North Cotabato, Sarangani, South Cotabato, and Sultan Kudarat) and five cities (GSC, Cotabato City, Koronadal City, Kidapawan City, and Tacurong City). GSC is part of the First Congressional District of South Cotabato. It is a chartered city and not politically part of any province. The city has 26 barangays with 12 urban and 14 rural barangays. Demography Based on the Philippine Statistics Authority census of 2015, the total population of the city is recorded at 594,446. The total number of households is estimated at 144,987 with an average household size of 4.1. Compared to the 1995–2000 population growth rate of the city at 5.05%, the NSO population census of 2010 marked a sharp decrease in annual growth rate at 2.71%. For the five-year period of 2010–2015, the city‗s population showed an annual increase of 1.9%. Of the city‗s 26 barangays, Calumpang (75,342) and Fatima (66,460) ranked highest in terms of population with a share of approximately 13% and 11%, respectively, in 2015. Labangal had a population of 61,713, which accounted for 10%. Lagao, with its population of 50,789, had a share of 9% of the total population of the city. Urban and rural populations accounted for 97% and 3%, respectively. Economy GSC is an important agro-industrial area in SOCCSKSARGEN (Region XII). The major economic activities are anchored in agro-industry and fishing industry. The city produces corn, coconut, pineapple, asparagus, banana, rice, other fruits, vegetables, and cut flowers. It is also a major producer and supplier of livestock, such as cattle, swine, and poultry. The major exports are fresh/canned pineapples, fresh bananas, coconut/ crude/ Cochin-type coconut oil, copra pellets, cut flowers, asparagus, okra, and abaca pulp. It is the largest producer of sashimi-grade tuna in the Philippines and is the Tuna Capital of the Philippines. Commercial fishing continues to be a major agro-industry of the city which accounts for the second-largest daily total catch of fish in the country next to Navotas City. The total daily capacity of GSC is 750 MT of fish catch. The Fish Port Complex has modern facilities that comply with international standards on fish catch landing. Aside from fresh/frozen tuna, GSC exports canned tuna, produced by seven canned tuna processors located in the city. Other fishery product exports are frozen octopus and shrimps, and other fish and aquaculture products.
  • 7.
    5 | GS C L O C A L P U B L I C T R A N S P O R T R O U T E P L A N 2 0 1 7 Aside from being a major food supplier, GSC is also the main service hub for exports and imports for the SOCCSKSARGEN Region. The quantity of exports from the GSC Seaport ranged from 395,000 MT in 2009 to 504,000 MT in 2011. Export value ranged from USD419 million to USD659 million. The quantity declined slightly by an average of 3.5% during a five-year period, but the value increased by an average of 12%. As the fastest growing metropolitan area in the region, GSC has become a major trading point for agricultural products in the region. In 2011, the city registered 1,365 new medium to large enterprises, valued at PHP1.202 billion. Hotels and the latest addition to thebuilt earlier, i.e., SM City Gen San, KCC Mall of GSC, Robinsons Place GSC, Gaisano Mall, and RD Plaza (Fitmart). Veranza Mall. Another mall by KCC Property Holdings, Inc., opened in June 2013. These malls have food courts and quick serve restaurant outlets/branches of local (city), national, and international brands. The malls are said to be ―enlarging‖ the local retail sector, possibly bringing in businesses from nearby areas, as has been the experience in other cities.
  • 8.
    6 | GS C L O C A L P U B L I C T R A N S P O R T R O U T E P L A N 2 0 1 7 Table 1: Population Enumerated in Various Censuses by Barangay, 2015 Name of Land Area** Total Number of Population Barangay sqr. Km Population Households Density (pop/km²) Apopong 19.07 U 46,384 11,313 2,432 Baluan 10.04 U 7,611 1,856 758 Batomelong 15.87 R 3,235 789 204 Buayan 4.93 U 11,196 2,731 2,271 Bula 2.93 U 31,363 7,650 10,704 Calumpang 7.89 U 75,342 18,376 9, 549 City Heights 4.75 U 24,014 5,857 5,056 Conel 51.56 U 11,164 2,723 217 Dad East 0.61 U 4,746 1,158 7,780 Dad North 0.97 U 8,056 1,965 8,305 Dad South 0.61 U 6,199 1,512 10,162 Dad West 0.86 U 13,827 3,372 16,078 Fatima 24.98 U 66,460 16,210 2,661 Katangawan 19.13 U 13,948 3,402 729 Labangal 12.52 U 61,713 15,052 4,929 Lagao 12.5 U 50,789 12,388 4,063 Ligaya 6.67 R 5,298 1,292 794 Mabuhay 38.44 U 28,288 6,900 736 Olympog 22.51 R 3,352 818 149 San Isidro 14.72 U 52,832 12,886 3,589 San Jose 38.09 U 11,333 2,764 298 Siguel 52.87 U 12,757 3,111 241 Sinawal 68.76 U 13,285 3,240 193 Tambler 57.74 U 21,474 5,238 372 Tinagacan 23.59 U 6,322 1,542 268 Upper Labay 23.45 R 3,458 843 147 536.06 594,446 144,987 1,109 * PopCen 2015-total population, PSA * Number of HH is estimated by population/4.1 * Average number of household member=4.1
  • 9.
    7 | GS C L O C A L P U B L I C T R A N S P O R T R O U T E P L A N 2 0 1 7 II. COMPOSITION OF THE LPTRP TEAM Pursuant to DOTr Department Order No. 2017-001dated June 19, 2017 and DOTr- DILG JMC No. 001 series of 2017 dated June 19, 2017, which states: ―There is a need to create the Local Public Transport Route Plan Committee.‖ The General Santos City Public Transport Route Plan Committee was organized through an Executive Order No. 59, Series of 2017, which shall be tasked to craft the Local Public Transport Route Plan (LPTRP) for the city of General Santos, which shall precede and from which shall be anchored all local policies and ordinances pertaining to all modes of public transportation including motorized tricycles for which is under the jurisdiction of the city government to regulate per RA 7160. The LPTRP Team was therefore created and is composed of the following: Chairperson : RONNEL C. RIVERA City Mayor ENGR. NAEL JOSEPH D. CRUSPERO Planning and Development Coordinator Permanent Alternate Vice-Chairperson : ATTY. ARNEL A ZAPATOS City Administrator ATTY. ARMANDO T. CLARIN City Legal Officer Permanent Alternate Members : ATTY. DOMINADOR LAGARE/ ATTY. EDMAR J. YUMANG SP Committee on Transportation Representative ATTY. ARMANDO T. CLARIN City Legal Officer DR. AGRIPINO V. DACERA, JR. Head of Traffic Management Office ENGR. MYLENE GECOSALA CEO Planning Division In-Charge for Traffic Engineering ENGR. RIZA E. PACHES Head of CEMCDO GERALDINE A. ZAMORA Head of Tricycle Regulatory Unit (TRU) GABRIEL FRANCIS GLENVILLE N. GONZALEZ Assistant City Administrator for Administration
  • 10.
    8 | GS C L O C A L P U B L I C T R A N S P O R T R O U T E P L A N 2 0 1 7 ENGR. TEODORICO B. DUMAGAN Assistant City Administrator for Operations DPWH District Office Representative LTO RO 12/HPG Representative LTFRB RO 12 Representative President of GSC Chamber of Commerce Private Sector Representative BRO. BOB MCGOVERN NGO Representative ROBERT N. CANG President-Public Transport Alliance of Gensan Transport Sector Representative Technical Working Group: Head : ENGR. MYLENE GECOSALA Members : ENGR. JOEL MATANGGUIHAN - CEO LESTER DIVINAGRACIA - CEO IRWIN DEMANDANTE - CEO MARIBETH B. CASTEN - CPDO
  • 11.
    9 | GS C L O C A L P U B L I C T R A N S P O R T R O U T E P L A N 2 0 1 7  III. Study Area Figure 2: Map of General Santos City Showing the Twenty-six Barangay‘s The city has a total of 583.194 km of local roads. Of this, only 27% is made of concrete and 1.8% is made of asphalt. The rest is unpaved. The existing road density is calculated at 1.09 km/km², the city‗s road network is barely sufficient. The city‗s road density in terms of length of road per 1000 population is calculated at 1.1 (based on 2007 population) which is way below the benchmark value of 2.4 km/1000 population. There is no doubt that the city‗s urbanization and population growth have outpaced road development. The 9.95 km western section of the GSC circumferential road was completed in July 2012. This section is located in Barangay Sinawal and forms part of the 27.6-km. Circumferential road that ill decongest traffic along the inner city roads. In contrast with the road supply conditions for the entire city, it seems that the road network within the central business district (CBD) is quite sufficient. Majority of the key roads have a right-of- way between 14 to 30 meters and capable of providing four lanes for vehicular traffic. The regional road network that traverses through the city is composed of four major highway segments, namely, (i) Digos-Makar Road; (ii) Makar-Marbel Road; (iii) Makar- Kiamba Road; and (iv) Digos-Junction-Buayan Airport Road.
  • 12.
    10 | GS C L O C A L P U B L I C T R A N S P O R T R O U T E P L A N 2 0 1 7 Figure 3: Road Network at GSC Center Source: TTMP 2013
  • 13.
    11 | GS C L O C A L P U B L I C T R A N S P O R T R O U T E P L A N 2 0 1 7 Table 2: Length of Roads in General Santos City
  • 14.
    12 | GS C L O C A L P U B L I C T R A N S P O R T R O U T E P L A N 2 0 1 7 Figure 4: Road Network in General Santos City by Administrative Classification (2010) Source: City Engineers Office 2010
  • 15.
    13 | GS C L O C A L P U B L I C T R A N S P O R T R O U T E P L A N 2 0 1 7 Figure 5: Road Network in General Santos City by Surface Type (2010) Source: City Engineers Office 2010
  • 16.
    14 | GS C L O C A L P U B L I C T R A N S P O R T R O U T E P L A N 2 0 1 7 Figure 6: Road Network in General Santos City by Number of Lanes (2010) Source: City Engineers Office 2010
  • 17.
    15 | GS C L O C A L P U B L I C T R A N S P O R T R O U T E P L A N 2 0 1 7 IV. STATEMENT OF THE PROBLEM An analysis of the city‗s strengths, weaknesses, opportunities, and threats (SWOT) analysis was undertaken to clearly understand the internal and external challenges faced by the city in relation to transport as well as the internal and external advantages that the city has. The information generated by the SWOT analysis adds to the body of evidence that was used as basis for the identification of appropriate interventions that are envisaged to address the city‗s transport challenges in the short, medium, and long terms. Aspect Description Strengths  Wide roads and right of ways in the Urban areas  High percentage of paved roads. Relatively flat ground  Most major roads are lighted  GIS based planning  2011 City Census Results (Transport)  New political leaders (Common ELA)  Availability of secondary data and trained personnel  Supportive business sector  Economic hub (Transportation) of SOCSKSARGEN  TIA implemented as a requirement in the development permit  Signalized intersections at critical intersections Weaknesses  Indiscriminate parking  Congested intersections  Limited number of traffic enforcers  Proliferation of green plate tricycles, habal-habal and mini-tricycles  Undue competition of various public transport modes  Poor drainage system  Proliferation of satellite terminals  Poor condition of city terminal  Presence of dispatchers  No office handling transportation planning and traffic management and enforcement  Transport a highly politicized sector  No comprehensive traffic ordinance or code  RROW occupants (vendors/settlers)  Limited road signs and pavement markings  Majority of routes using common roads in the CBD  Undisciplined and untrained drivers  CLUP outdated and overtaken by development  Poor pedestrian/bicycle facilities (walkways, bikeways, etc.)  PUJ operation eased out by low-capacity and voluminous tricycles  Residential used converted to commercial uses  Barangay government dependent on city for transport planning and traffic management
  • 18.
    16 | GS C L O C A L P U B L I C T R A N S P O R T R O U T E P L A N 2 0 1 7  Linear development trend and urban sprawl  Opport unities  Regional economic hub of SOCSKSARGEN and Region XII  Regional road network development (radial/circumferential roads)   Establishment of road engineering and database   MVUC funds for transport development   Technical assistance (LCP, WB, CDIA, etc)   International agreement (BIMP-EAGA)   Regional economic and trade development project (CDIA)   Universities available and open for partnership  Threats  Limited availability of funds for transport projects  Continues registration of MC w/o sidecar   Increasing fuel cost  Crossing over of tricycles beyond their city/neighboring municipality  boundaries  Poor national and local coordination   In-migration V. Objectives The CDP-ELA for 2017 to 2022 provides the objectives for the improvement of the quality of life for the citizens of the city of General Santos. The goal for the Transport and Traffic Management sector is. ―To provide an effective and sustainable transport and traffic management system by year 2022.‖ The specific objectives for the sector is enumerated as follows: a. To increase traffic signalization system by 80% in 2020; b. To deploy traffic enforcers in 100% of congested intersections without traffic signalization system; c. To prepare a major legislative act to regulate the city transportation system; and d. To undertake a study on the feasibility of establishing an Integrated Terminal Transport System in the city. VI. Review of Existing Condition and Data 1. Road Infrastructure The city has a total of 583.194 km of local roads. Of these, only 27% is made of concrete and 1.8% is made of asphalt. The rest is unpaved. The existing road density is calculated at 1.09 km/km2 of land. Based on a benchmark value of 1 km/km2, the
  • 19.
    17 | GS C L O C A L P U B L I C T R A N S P O R T R O U T E P L A N 2 0 1 7 city‗s road network is barely sufficient. The city‗s road density in terms of length of road per 1,000 population is calculated at 1.1 (based on 2007 population) which is way below the benchmark value of 2.4 km/1,000 population. There is no doubt that the city‗s urbanization and population growth have outpaced road development. 2. Congestion The capacity of an urban road is dictated significantly by the capacity of the junction. Intersection analysis conducted shows that at the 10 junctions where volume surveys were conducted, there is a level of service (LOS) F during peak periods, which means heavy congestion. Outside the peak hours, however, traffic conditions improve. (i) Congestion due to parked/waiting vehicles along national highways; (ii) Heavy congestion and lack of traffic signals at major intersections; and (iii) Heavy congestion along major roads due to various on-street activities (other than parking) of roadside facilities such as garages, terminals, repair and car painting shops, etc. In addition, vehicle speeds are hampered by on-street parking and roadside friction resulting from various activities such as business and commercial establishments that directly open to the road. The proliferation of curb cuts also creates roadside friction that impedes vehicle and pedestrian flows. 3. Modal Shares There is a high usage of public transport in the city of General Santos. It is estimated based on the 2011 City Census that 81% of school- and work-related trips are taken using various modes of public transport. The total number of person trips in a typical day in GSC at approximately 374,000 person-trips per day with 19% using private transport and 81% using public transport. For private transport, 6% of trips is by cars and 13% is by motorcycles. Of the public transport modes in the city, it is tricycles that serve the highest number of person trips at 42%. The share of public utility jeepneys is at 6% and multicabs at 4%. These numbers continue to decline as a result of the huge number of tricycles in the city which have in effect driven the higher-capacity mode out of the competition. The number of tricycles in the city has continuously grown over the years, thereby making the tricycles as the main public transport mode serving local and some inter-city trips. With their sheer number, the tricycle sector has become a major political force to reckon with, making regulation of the sector an enormous challenge. Reinforcing this growth in the number of tricycles is the sidecar manufacturing industry which not only
  • 20.
    18 | GS C L O C A L P U B L I C T R A N S P O R T R O U T E P L A N 2 0 1 7 adds to the already large number of tricycles but also raises issues of lack of manufacturing standards. In 1990, there used to be 450 units of taxis plying the streets of General Santos City. This sector too was adversely affected by the influx of tricycles. Current number of taxi units in the city is 150 units. Taxi service is an option for the door-to-door service that the tricycles provide. Other forms of informal public transport are mini-tricycles (trisikad) at 20% and habal-habal at 8%, among others. Figure 7: General Santos City Modal Shares There is a significant share of public transport trips, thereby indicating the important role of public transport in the city. What is peculiar about the city is the fact that the major transport mode is the tricycle, eclipsing all other modes including the higher capacity PU. The rarity of this phenomenon is further highlighted by the fact that the city has relatively wide and generous road infrastructure as compared to other cities, with tricycles in droves occupying the roads. This phenomenon is not a result of people‗s choice but a product of many years of allowing the tricycle sector to grow beyond what is optimum and in the process edge out the more reasonable higher capacity modes. The city is grossly obese in terms of number of tricycles, and it is important therefore to curb the number to a healthy figure and put in place a more reasonable transport system.
  • 21.
    19 | GS C L O C A L P U B L I C T R A N S P O R T R O U T E P L A N 2 0 1 7 Table 3: Number of person trips per barangay in the city of General Santos. These figures reflect the dominant school and work trips only and do not include other trip purposes. NO. OF NO. OF PERSON TOTAL PASSENGER NAME OF BARANGAY PERSON SCHOOL DEMAND WORK TRIPS TRIPS Apopong 6328 6501 12829 Baluan 516 750 1266 Batomelong 268 204 472 Buayan 1020 1107 2127 Bula 5204 4755 9959 Calumpang 11451 10219 21670 City Heights 3537 3625 7162 Conel 509 806 1315 East 699 687 1386 North 1521 1397 2918 South 748 896 1644 West 2490 2552 5042 Fatima 7255 9654 16909 Katangawan 1305 1270 2575 Labangal 7540 8078 15618 Lagao 9778 7836 17614 Ligaya 312 315 627 Mabuhay 2382 3036 5418 Olympog 124 246 370 San Isidro 7829 5026 12855 SanJose 363 333 696 Siguel 955 1279 2234 Sinawal 719 1264 1983 Tambler 1950 2448 4398 Tinagacan 703 506 1209 Upper Labay 107 162 269 TOTAL 75613 74952 150565 Source: CityCen 2011
  • 22.
    20 | GS C L O C A L P U B L I C T R A N S P O R T R O U T E P L A N 2 0 1 7 Figure 8. Graph showing comparison between person work and school trips and the total passenger demand per barangay in the city of General Santos. (Data source TTMP) Figure 9: Mostly used mode of transport in going to work in General Santos 50.00% 40.00% 30.00% 20.00% 10.00% 0.00% Mode of Transport in Going to Work Source: TTMP
  • 23.
    21 | GS C L O C A L P U B L I C T R A N S P O R T R O U T E P L A N 2 0 1 7 Figure 10: Mostly used mode of transport in going to school in the city of General Santos 50.00% 40.00% 30.00% 20.00% 10.00% 0.00% Mode of Transport in Going to School Source: TTMP The number of tricycles in the city estimated at around 8,000 with only half of them duly franchised has created what some call the tricycle phenomenon‗ with wide and generous avenues which are generally reserved for higher-capacity public transport vehicles being dominated by tricycles. This implies that there is an absence of a public transport hierarchy in the city, with PUJs, which used to have 11 routes, now left with only three due to the competition with tricycles. The remaining PUJ routes are struggling to survive. Habal-habal serve the hinterlands. Their speed and ability to bring people to their final destinations are additional contributors to the demise of jeepney services. As a result, the low ridership of jeepneys has made its operations between the outskirts and the city center unviable and habal-habal are filling up the vacuum. Trips between GSC and neighboring provinces and municipalities are either by air-conditioned vans or buses. Taxis primarily serve trips between the airport and different parts of the city. As their fares are much higher than those of tricycles (i.e., PHP8.00), the niche they serve are to and from airport trips. Percentage
  • 24.
    22 | GS C L O C A L P U B L I C T R A N S P O R T R O U T E P L A N 2 0 1 7 4. Routes Tricycles have no route or zone regulations. They are allowed to ply anywhere in the city but officially banned from national highways; in reality, however, it is common to see them using these major roads, PUJs and multicabs offer trips between the city center and areas outside, but their viability is compromised by the huge volume of tricycles that provide them stiff completion. The approved routes for PUJs and multicabs in the city are as follows: (i) Doña Soledad Subdivision–Susana Homes and vice versa (ii) GSC Proper–Mabuhay via Habitat and vice versa (Terminal) (iii) GSC Proper–Upper Tambler and vice versa (Terminal) (iv) Purok Malakas Phase II–Lagao and vice versa (v) Bulaong Buayan and vice versa (vi) GSC Proper–FVR Village 39.2 and vice versa (vii) Crisostomo Subdivision–Greenville and vice versa (viii) Bula–Purok Balunto and vice versa (ix) GSC Proper–Conel and vice versa (x) GSC Proper–MSU and vice versa (xi) San Isidro–Bulaong and vice versa (xii) GSCville Subdivision–Agan Homes (xiii) Lote–NFA and vice versa (xiv) Purok 5 Apopong–Lagao and vice versa (xv) GSC Proper–Bawing, Siguel and vice versa (Terminal) (xvi) Purok Malakas Phase I–Lagao and vice versa (xvii) GSC Proper–Olympog and vice versa (xviii) GSC Proper–Uhaw and vice versa (xix) Lanton–NFA and vice versa (xx) Katangawan–Makar Wharf and vice versa (xxi) Katangawan–Bulaong and vice versa
  • 25.
    23 | GS C L O C A L P U B L I C T R A N S P O R T R O U T E P L A N 2 0 1 7 (xxii) Casa Luisa–Cahilsot Village and vice versa (xxiii) Cabuay, Sinawal–Lagao and vice versa (xxiv) Crossing Glamang–Katangawan and vice versa (xxv) GSC Proper–Tambler and vice versa (xxvi) Greenville–Emergency Hospital (xxvii) Greenville–Purok 15 Lagao An increasing number of these routes are becoming non-operational due to attrition as a result of the competition with lower capacity modes. Figure 11: Barangay‘s Unserved or Poorly Served by Public Utility Jeepney‘s or Filcab Source : CPDO 2017 Figure above shows barangay‗s not served and poorly served by public transport depicted in red and yellow respectively. Blue dots represent households.
  • 26.
    24 | GS C L O C A L P U B L I C T R A N S P O R T R O U T E P L A N 2 0 1 7 The situation has arisen because 1) rapid urbanization and ―urban sprawl is outpacing the provision of appropriate public transport services, and 2) little or no attention appears to have been given to the public transport needs of newly forming communities, and 3) non-viability of existing authorized routes due to influx of tricycles. The deficiencies on the ground are almost certainly more pronounced than is illustrated in the above figure because many of the above stated franchised services or authorized routes do not operate at all or are routinely terminated short of their final destination – a situation which has been observed in many of the outer areas of the route network. Where jeepney and filcab service are lacking, their place is filled by motorized tricycles or motorcycles, many of which are unregulated. The result is often an inadequate and unsafe transport system. 5. Terminals Buses and vans ply routes between GSC and neighboring provinces and municipalities. Vans are not allowed to pick up passengers along their routes in the city. But they are allowed to use the city‗s major roads to access their respective private terminals. The GSC Terminal or the Bulaong Terminal, located in Barangay Dadiangas North, is the city's main integrated land transport terminal. The terminal serves as the city's gateway for land travelers. Buses and other forms of public mass transport—to and from various parts of Mindanao and the country—use this terminal. The Yellow Bus Lines has buses that use this terminal. It has buses that ply the GSC–Davao and GSC–Koronadal routes, among others. Other bus lines include the Husky Lines, Mindanao Star, and Rural Transit all of which serve the inter-regional routes. Informal terminals for PUV and tricycles could be seen wherever there are abundant economic activities, like the J. Catolico corridor. Most of which occupy the road, the road right-of-way and pedestrian walkways. 6. User‘s Perception on Public Transport A multi-stakeholder consultation meeting was held in GSC on 18 November 2013 to gather the perceptions of public transport users on the state of public transport in their city and identify current issues. When asked what they perceive as issues in the different public transport modes, the respondents identified the following:
  • 27.
    25 | GS C L O C A L P U B L I C T R A N S P O R T R O U T E P L A N 2 0 1 7 (a) Tricycles According to data available from the GSC Land Transportation Office, 2017 Monthly Summary Registration of Vehicles as of November, 2017, the number of registered motorized tricycle for hire is 4,243; number of motorcycle with sidecar is 6,925; and number of motorcycle is 29,630. The number of private tricycles being used for hire (colorum) could be within the number of motorcycle registered with sidecar, while the number of mini-tricycles could be very well within the number of motorcycles. That aside from the above stated information, the following issues were raised by the respondents: (i) There are still several tricycles with two-stroke engines operating within the city. (ii) Fares are unregulated and, more often than not, drivers enter into a "pakyaw" arrangement with passenger/s. (iii) Drivers lack courtesy. (iv) Too small; passengers get wet when it rains. The transport group explained that the oversupply of tricycles is due to tricycles from nearby municipalities coming into the city. The group also requested that the federations be consulted prior to the renewal of franchises. This will empower them to police their ranks. (b) Habal-habal In addition to the similar issues raised against tricycles, these units do not have franchises, which means, there is no insurance, which puts passengers at risk. (c) Trisikad (i) Drivers lack courtesy. (ii) Too small; passengers get wet when it rains. (d)Taxis The practiced method of fare collection is by fare contracting. The metered system is not being practiced. There is no regulation of fares for airport services. The representatives of the taxi subsector stated that they do not quite understand why, despite the fact that they are considered by the DOT as the front line, habal-habal and tricycles are allowed to service passengers from the airport
  • 28.
    26 | GS C L O C A L P U B L I C T R A N S P O R T R O U T E P L A N 2 0 1 7 7. Self-assessment Results on Public Transport The table below shows the results of the self-assessment questionnaire survey conducted with responsible transport officials of the GSC government. Table 4: Public Transport Issues in GSC Issues Degree/Level of Problem¹ 5 4 3 2 1 1. Disorderly loading /unloading √ 2. Lack of waiting sheds for √ commuters 3. Inadequate public transport √ 4. Poor public transport services √ 5. Lack of public transport √ management 6. Declining public transport √ ridership 7. Overloaded public transport at √ peak hours 8. High transport fares √ 9. Poor management of tricycles √ 10. Operations of √ illegal/unorganized terminals ¹5=big problem, 4=medium to big, 3-medium problem, 2=small to medium problem, 1=small problem 8. Road Safety Being an inherently unstable transport mode, motorcycles are involved in half of road crashes in GSC, based on 2011 and 2012 data. There is also an increase in the number of accidents involving cars based on the same data, from 193 in 2011 to 1,040 in 2012, equivalent to a five-fold increase. There is no information on the extent of accident underreporting in GSC, but underreporting of accidents is generally recognized in the country. Be that as it may, all sectors of society should be made mindful of the importance of road safety being everyone‗s concern regardless of whether one is a driver, passenger, or pedestrian. The respondents identified potential threats to road safety, which include: (i) No proper designation of boarding and alighting areas; thus people board or alight from a public utility vehicle anywhere. This increases the risk of accidents. (ii) Tricycles travel with no head or tail lights. (iii) Inadequate or no lighting system in some inner roads. As regards road safety, the table below shows the results of the self-assessment questionnaire survey conducted with responsible transport officials of the city government.
  • 29.
    27 | GS C L O C A L P U B L I C T R A N S P O R T R O U T E P L A N 2 0 1 7 Recorded accidents from 2005 to 2009 show an average of 2,051 a year, as shown below. (i) Vehicle-Vehicle 1,852/year; (ii) Vehicle-Pedestrian 173/year; (iii) Vehicle-Animals 11/year; and (iv) Vehicle-Property 15/year. Of these, 29 cases were fatalities, 1,193 were injuries, and 2,029 were damage to property (PNP Traffic Control Section, 2010). Table 5: Road Safety Issues in GSC Issue Degree/Level of Problem¹ 5 4 3 2 1 1. Accidents/road crashes √ 2. Reckless drivers √ 3. Lack of public awareness on road √ safety 4. Lack of traffic safety education √ 5. Dangerous crossings for pedestrians √ 6. Drunk/drugged driving √ 7. Lack of safety for cyclists √ ¹5=big problem, 4=medium to big, 3-medium problem, 2=small to medium problem, 1=small problem Source: Self-assessment Questionnaire Survey, TTM Project 2013 VII. DATA GATHERING The primary source of data used for the crafting of this plan was taken from the City Transport and Traffic Management Plan (CTTMP, 2015). A study conducted for the city of General Santos by the CDS Program of the League of Cities and the World Bank. Additional primary data was derived from the following sources: 1. LTFRB XII 2. LTO- Gen. Santos District Office 3. Conduct of an occupancy survey; and 4. Driver /operator survey Baseline data is derived from City Census 2011 and PSA 2015 population data. Passenger volume count was conducted at survey points strategically located where passengers of public utility from the influence areas (zones) travel on their way to their destination most often to the central business district (CBD). The data generated from the survey was used to derive the passenger demand per peak hour per day (PPHPD). Survey was conducted at peak hours in the morning from 6 o‘clock to 9 o‘clock and in the afternoon at 3 o‘clock to 6‘ o‘clock. Data is shown on tables of the succeeding pages.
  • 30.
    28 | GS C L O C A L P U B L I C T R A N S P O R T R O U T E P L A N 2 0 1 7 Table 6: RESULT OF PASSENGER VOLUME COUNT MARCOS AVE. / H-WAY Time Veh Cpty Pass Time Veh Cpty Pass Time T.Pass 6-7 am 56 69 6-7 am 4 2 6-7 am 71 7-8 am 65 91 7-8 am 6 19 7-8 am 110 8-9 am 18 34 8-9 am 2 7 8-9 am 41 3-4 pm 36 67 3-4 pm 3 52 3-4 pm 119 4-5 pm 55 148 4-5 pm 8 154 4-5 pm 302 5-6 pm 46 122 5-6 pm 5 104 5-6 pm 226 MARCOS AVE. / H-WAY Time Veh Cpty Pass Time Veh Cpty Pass Time T.Pass 6-7 am 70 250 6-7 am 5 75 6-7 am 325 7-8 am 55 160 7-8 am 5 48 7-8 am 208 8-9 am 15 44 8-9 am 0 0 8-9 am 44 3-4 pm 18 29 3-4 pm 1 16 3-4 pm 45 4-5 pm 42 121 4-5 pm 3 32 4-5 pm 153 5-6 pm 41 123 5-6 pm 2 14 5-6 pm 137 HADANO Time Veh Cpty Pass Time Veh Cpty Pass Time T.Pass 6-7 am 126 248 6-7 am 2 0 6-7 am 248 7-8 am 236 417 7-8 am 9 26 7-8 am 443 8-9 am 299 279 8-9 am 9 24 8-9 am 303 3-4 pm 192 531 3-4 pm 6 116 3-4 pm 647 4-5 pm 346 1268 4-5 pm 10 194 4-5 pm 1462 5-6 pm 406 1377 5-6 pm 15 311 5-6 pm 1688 HADANO Time Veh Cpty Pass Time Veh Cpty Pass Time T.Pass 6-7 am 264 1114 6-7 am 6 8 6-7 am 1122 7-8 am 173 697 7-8 am 8 81 7-8 am 778 8-9 am 134 471 8-9 am 6 81 8-9 am 552 3-4 pm 152 481 3-4 pm 3 22 3-4 pm 503 4-5 pm 157 417 4-5 pm 4 17 4-5 pm 434 5-6 pm 137 480 5-6 pm 3 26 5-6 pm 506 LAGAO / BUAYAN (PAG-ASA) Time Veh Cpty Pass Time Veh Cpty Pass Time T.Pass 6-7 am 56 73 6-7 am 4 68 6-7 am 141 7-8 am 159 181 7-8 am 15 229 7-8 am 410 8-9 am 80 158 8-9 am 10 126 8-9 am 284 3-4 pm 75 177 3-4 pm 10 143 3-4 pm 320 4-5 pm 83 223 4-5 pm 13 184 4-5 pm 407 5-6 pm 66 186 5-6 pm 6 90 5-6 pm 276 LAGAO / BUAYAN (PAG-ASA) Time Veh Cpty Pass Time Veh Cpty Pass Time T.Pass 6-7 am 91 329 6-7 am 18 106 6-7 am 435 7-8 am 134 460 7-8 am 16 175 7-8 am 635 8-9 am 47 103 8-9 am 6 49 8-9 am 152 3-4 pm 53 124 3-4 pm 15 173 3-4 pm 297 4-5 pm 25 110 4-5 pm 6 67 4-5 pm 177 5-6 pm 32 54 5-6 pm 7 61 5-6 pm 115 41 - T 41- J 41 42 - T 42- J 42 39 - T 39 - J 39 40 - T 40- J 40 37 - T 37 - J 37 38 - T 38 - J 38
  • 31.
    29 | GS C L O C A L P U B L I C T R A N S P O R T R O U T E P L A N 2 0 1 7 PAG-ASA Time Veh Cpty Pass Time Veh Cpty Pass Time T.Pass 6-7 am 6-7 am 6-7 am 0 7-8 am 7-8 am 7-8 am 0 8-9 am 8-9 am 8-9 am 0 3-4 pm 3-4 pm 3-4 pm 0 4-5 pm 4-5 pm 4-5 pm 0 5-6 pm 5-6 pm 5-6 pm 0 DONA SOLEDAD Time Veh Cpty Pass Time Veh Cpty Pass Time T.Pass 6-7 am 33 83 6-7 am 11 50 6-7 am 133 7-8 am 67 198 7-8 am 49 277 7-8 am 475 8-9 am 40 117 8-9 am 37 143 8-9 am 260 3-4 pm 29 112 3-4 pm 14 186 3-4 pm 298 4-5 pm 87 342 4-5 pm 53 821 4-5 pm 1163 5-6 pm 125 500 5-6 pm 60 991 5-6 pm 1491 DONA SOLEDAD Time Veh Cpty Pass Time Veh Cpty Pass Time T.Pass 6-7 am 165 679 6-7 am 41 647 6-7 am 1326 7-8 am 164 512 7-8 am 45 732 7-8 am 1244 8-9 am 78 170 8-9 am 39 405 8-9 am 575 3-4 pm 75 106 3-4 pm 30 218 3-4 pm 324 4-5 pm 79 107 4-5 pm 35 174 4-5 pm 281 5-6 pm 101 125 5-6 pm 46 231 5-6 pm 356 MABUHAY RD. / NLSA (EXTENSION) Time Veh Cpty Pass Time Veh Cpty Pass Time T.Pass 6-7 am 80 100 6-7 am 8 35 6-7 am 135 7-8 am 163 297 7-8 am 8 41 7-8 am 338 8-9 am 104 161 8-9 am 2 12 8-9 am 173 3-4 pm 117 370 3-4 pm 3 34 3-4 pm 404 4-5 pm 126 474 4-5 pm 4 53 4-5 pm 527 5-6 pm 125 378 5-6 pm 5 67 5-6 pm 445 MABUHAY RD. / NLSA (EXTENSION) Time Veh Cpty Pass Time Veh Cpty Pass Time T.Pass 6-7 am 205 557 6-7 am 5 30 6-7 am 587 7-8 am 192 627 7-8 am 13 113 7-8 am 740 8-9 am 135 338 8-9 am 6 29 8-9 am 367 3-4 pm 177 235 3-4 pm 7 42 3-4 pm 277 4-5 pm 132 229 4-5 pm 1 3 4-5 pm 232 5-6 pm 114 144 5-6 pm 2 3 5-6 pm 147 MABUHAY RD. / H-WAY Time Veh Cpty Pass Time Veh Cpty Pass Time T.Pass 6-7 am 57 113 6-7 am 1 4 6-7 am 117 7-8 am 194 349 7-8 am 6 13 7-8 am 362 8-9 am 98 160 8-9 am 4 3 8-9 am 163 3-4 pm 98 257 3-4 pm 4 38 3-4 pm 295 4-5 pm 167 664 4-5 pm 7 76 4-5 pm 740 5-6 pm 168 649 5-6 pm 7 93 5-6 pm 742 46 - T 46- J 46 47 - T 47- J 47 44 - T 44- J 44 45 - T 45- J 45 42 - T 42- J 42 43 - T 43- J 43
  • 32.
    30 | GS C L O C A L P U B L I C T R A N S P O R T R O U T E P L A N 2 0 1 7 MABUHAY RD. / H-WAY Time Veh Cpty Pass Time Veh Cpty Pass Time T.Pass 6-7 am 143 653 6-7 am 9 87 6-7 am 740 7-8 am 325 1538 7-8 am 13 139 7-8 am 1677 8-9 am 118 509 8-9 am 11 83 8-9 am 592 3-4 pm 173 429 3-4 pm 3 25 3-4 pm 454 4-5 pm 196 592 4-5 pm 5 23 4-5 pm 615 5-6 pm 217 738 5-6 pm 1 4 5-6 pm 742 APARENTE ST. / H-WAY Time Veh Cpty Pass Time Veh Cpty Pass Time T.Pass 6-7 am 97 301 6-7 am 0 0 6-7 am 301 7-8 am 174 620 7-8 am 0 0 7-8 am 620 8-9 am 119 455 8-9 am 0 0 8-9 am 455 3-4 pm 90 276 3-4 pm 0 0 3-4 pm 276 4-5 pm 147 599 4-5 pm 0 0 4-5 pm 599 5-6 pm 243 1120 5-6 pm 0 0 5-6 pm 1120 APARENTE ST. / H-WAY Time Veh Cpty Pass Time Veh Cpty Pass Time T.Pass 6-7 am 222 800 6-7 am 0 0 6-7 am 800 7-8 am 284 1081 7-8 am 0 0 7-8 am 1081 8-9 am 349 1039 8-9 am 0 0 8-9 am 1039 3-4 pm 232 641 3-4 pm 0 0 3-4 pm 641 4-5 pm 268 861 4-5 pm 0 0 4-5 pm 861 5-6 pm 332 990 5-6 pm 0 0 5-6 pm 990 LLIDO ST. / NLSA RD. Time Veh Cpty Pass Time Veh Cpty Pass Time T.Pass 6-7 am 77 193 6-7 am 0 0 6-7 am 193 7-8 am 88 256 7-8 am 0 0 7-8 am 256 8-9 am 70 126 8-9 am 0 0 8-9 am 126 3-4 pm 67 84 3-4 pm 0 0 3-4 pm 84 4-5 pm 86 262 4-5 pm 0 0 4-5 pm 262 5-6 pm 21 52 5-6 pm 0 0 5-6 pm 52 LLIDO ST. / NLSA RD. Time Veh Cpty Pass Time Veh Cpty Pass Time T.Pass 6-7 am 43 56 6-7 am 0 0 6-7 am 56 7-8 am 88 119 7-8 am 0 0 7-8 am 119 8-9 am 43 44 8-9 am 0 0 8-9 am 44 3-4 pm 43 71 3-4 pm 0 0 3-4 pm 71 4-5 pm 37 84 4-5 pm 0 0 4-5 pm 84 5-6 pm 37 106 5-6 pm 0 0 5-6 pm 106 LLIDO ST. / H-WAY Time Veh Cpty Pass Time Veh Cpty Pass Time T.Pass 6-7 am 120 278 6-7 am 0 0 6-7 am 278 7-8 am 174 395 7-8 am 0 0 7-8 am 395 8-9 am 120 337 8-9 am 0 0 8-9 am 337 3-4 pm 105 199 3-4 pm 0 0 3-4 pm 199 4-5 pm 149 470 4-5 pm 0 0 4-5 pm 470 5-6 pm 103 354 5-6 pm 0 0 5-6 pm 354 52- T 52- J 52 53- T 53- J 53 50- T 50 J 50 51- T 51- J 51 48- T 48- J 48 49- T 49- J 49
  • 33.
    31 | GS C L O C A L P U B L I C T R A N S P O R T R O U T E P L A N 2 0 1 7 LLIDO ST. / H-WAY Time Veh Cpty Pass Time Veh Cpty Pass Time T.Pass 6-7 am 87 190 6-7 am 1 2 6-7 am 192 7-8 am 236 555 7-8 am 0 0 7-8 am 555 8-9 am 117 238 8-9 am 0 0 8-9 am 238 3-4 pm 103 271 3-4 pm 3 7 3-4 pm 278 4-5 pm 120 262 4-5 pm 0 0 4-5 pm 262 5-6 pm 142 431 5-6 pm 1 12 5-6 pm 443 CONEL RD. / NLSA Time Veh Cpty Pass Time Veh Cpty Pass Time T.Pass 6-7 am 197 589 6-7 am 0 0 6-7 am 589 7-8 am 384 1197 7-8 am 2 4 7-8 am 1201 8-9 am 189 340 8-9 am 0 0 8-9 am 340 3-4 pm 194 433 3-4 pm 0 0 3-4 pm 433 4-5 pm 142 302 4-5 pm 0 0 4-5 pm 302 5-6 pm 159 361 5-6 pm 0 0 5-6 pm 361 CONEL RD. / NLSA Time Veh Cpty Pass Time Veh Cpty Pass Time T.Pass 6-7 am 91 155 6-7 am 0 0 6-7 am 155 7-8 am 240 344 7-8 am 0 0 7-8 am 344 8-9 am 136 155 8-9 am 0 0 8-9 am 155 3-4 pm 165 278 3-4 pm 0 0 3-4 pm 278 4-5 pm 156 387 4-5 pm 0 0 4-5 pm 387 5-6 pm 203 534 5-6 pm 0 0 5-6 pm 534 TIONGSON ST. / H-WAY Time Veh Cpty Pass Time Veh Cpty Pass Time T.Pass 6-7 am 125 92 6-7 am 1 0 6-7 am 92 7-8 am 248 206 7-8 am 0 0 7-8 am 206 8-9 am 201 104 8-9 am 1 6 8-9 am 110 3-4 pm 150 171 3-4 pm 0 0 3-4 pm 171 4-5 pm 170 383 4-5 pm 0 0 4-5 pm 383 5-6 pm 140 307 5-6 pm 0 0 5-6 pm 307 TIONGSON ST. / H-WAY Time Veh Cpty Pass Time Veh Cpty Pass Time T.Pass 6-7 am 167 352 6-7 am 0 0 6-7 am 352 7-8 am 296 657 7-8 am 0 0 7-8 am 657 8-9 am 194 180 8-9 am 0 0 8-9 am 180 3-4 pm 180 117 3-4 pm 0 0 3-4 pm 117 4-5 pm 210 130 4-5 pm 0 0 4-5 pm 130 5-6 pm 175 197 5-6 pm 0 0 5-6 pm 197 NURSERY RD. / H-WAY Time Veh Cpty Pass Time Veh Cpty Pass Time T.Pass 6-7 am 78 79 6-7 am 0 0 6-7 am 79 7-8 am 92 120 7-8 am 0 0 7-8 am 120 8-9 am 56 38 8-9 am 0 0 8-9 am 38 3-4 pm 118 184 3-4 pm 0 0 3-4 pm 184 4-5 pm 117 277 4-5 pm 0 0 4-5 pm 277 5-6 pm 96 254 5-6 pm 0 0 5-6 pm 254 58-T 58-J 58 59-T 59-J 59 56-T 56-J 56 57-T 57-J 57 54- T 54- J 54 55-T 55- J 55
  • 34.
    32 | GS C L O C A L P U B L I C T R A N S P O R T R O U T E P L A N 2 0 1 7 NURSERY RD. / H-WAY Time Veh Cpty Pass Time Veh Cpty Pass Time T.Pass 6-7 am 137 489 6-7 am 0 0 6-7 am 489 7-8 am 134 616 7-8 am 0 0 7-8 am 616 8-9 am 68 177 8-9 am 0 0 8-9 am 177 3-4 pm 73 139 3-4 pm 0 0 3-4 pm 139 4-5 pm 107 146 4-5 pm 0 0 4-5 pm 146 5-6 pm 78 143 5-6 pm 0 0 5-6 pm 143 LAGAO-KATANGAWAN (SHELL) Time Veh Cpty Pass Time Veh Cpty Pass Time T.Pass 6-7 am 30 109 6-7 am 0 0 6-7 am 109 7-8 am 127 269 7-8 am 5 54 7-8 am 323 8-9 am 71 169 8-9 am 6 70 8-9 am 239 3-4 pm 50 109 3-4 pm 4 66 3-4 pm 175 4-5 pm 64 207 4-5 pm 13 228 4-5 pm 435 5-6 pm 51 195 5-6 pm 9 145 5-6 pm 340 LAGAO-KATANGAWAN (SHELL) Time Veh Cpty Pass Time Veh Cpty Pass Time T.Pass 6-7 am 178 574 6-7 am 2 26 6-7 am 600 7-8 am 187 559 7-8 am 9 159 7-8 am 718 8-9 am 82 125 8-9 am 8 157 8-9 am 282 3-4 pm 96 115 3-4 pm 10 124 3-4 pm 239 4-5 pm 154 190 4-5 pm 10 143 4-5 pm 333 5-6 pm 153 204 5-6 pm 11 109 5-6 pm 313 AMAO RD., BULA (PP #7) Time Veh Cpty Pass Time Veh Cpty Pass Time T.Pass 6-7 am 254 220 6-7 am 0 0 6-7 am 220 7-8 am 401 543 7-8 am 0 0 7-8 am 543 8-9 am 425 278 8-9 am 0 0 8-9 am 278 3-4 pm 314 451 3-4 pm 0 0 3-4 pm 451 4-5 pm 436 730 4-5 pm 0 0 4-5 pm 730 5-6 pm 418 782 5-6 pm 0 0 5-6 pm 782 AMAO RD., BULA (PP #7) Time Veh Cpty Pass Time Veh Cpty Pass Time T.Pass 6-7 am 280 595 6-7 am 0 0 6-7 am 595 7-8 am 439 1116 7-8 am 1 12 7-8 am 1128 8-9 am 307 525 8-9 am 0 0 8-9 am 525 3-4 pm 319 348 3-4 pm 1 2 3-4 pm 350 4-5 pm 401 624 4-5 pm 0 0 4-5 pm 624 5-6 pm 360 382 5-6 pm 0 0 5-6 pm 382 64-T 64-J 64 62-T 62-J 62 63-T 63-J 63 60-T 60-J 60 61-T 61-J 61
  • 35.
    33 | GS C L O C A L P U B L I C T R A N S P O R T R O U T E P L A N 2 0 1 7 Figure 12: MAP OF SURVEY POINTS RELATIVE TO PUBLIC TRANSPORT INFLUENCE AREAS (ZONES)
  • 36.
    34 | GS C L O C A L P U B L I C T R A N S P O R T R O U T E P L A N 2 0 1 7 VIII. Recommendation to LTFRB Table 7: INVENTORY OF EXISTING PUJ FRANCHISE (LTFRB XII, As of 2013) ROUTE NAME NO. OF CPC GRANTED UNCO ROUTE TYPE OF NFIRM STATU AS VEHICLE AS OF ED S ORIGIN DESTINATION OF 2010 (2013) 2013 P. Acharon Blvd.-Santiago Blvd.-Magsaysay Gensanville Subd. Agan Homes Ave.-Pioneer Ave.-Pendatun Ave.-Laurel St.- FILCAB 17 X inactive Bulaong Ave. -Crossing Natl Hiway-Dacera St.-MMC-Agan Homes and vice versa Lote Carcon Village NFA Road and VV 51 53 40 inactive Aradaza st.-J. Catolico Sr. Ave.-Magsaysay Casa Luisa Subd. Cahilsot Village Ave.-Pioneer Ave.-P. Acharon Blvd.-Silway- FILCAB 286 184 47 Labangal-Makar Wharf-Natl Hiway-J.P. Rizal and VV Aradaza st.-J. Catolico Sr. Ave.-Magsaysay Casa Luisa Subd. Placida Ave.-Pioneer Ave.-P. Acharon Blvd.-Silway- FILCAB 37 50 Labangal-Makar Wharf-Natl Hiway-J.P. Rizal and VV GSC PROPER Mabuhay Habitat and VV FILCAB, 102 81 57 PUJ Fresco Valde Teachers Village-J.P Rizal St.- Natl. Hiway-Makar Labangal Rd.-P. Acharon Emergency Blvd.-Cahilsot St.-Daproza Ave.-Pendatun Greenville Subd. Ave.-Roxas Ave.-Osmeña St.-Quirino Ave.- FILCAB 5 30 6 Hospital Magsaysay Ave.-Santiago Blvd.-San Miguel St.-J. Catolico Ave.-Natl. Hiway-Fernandez St and VV Natl. Hiway-Pendatun Ave. Pioneer Ave.-P. Crossing Glamang Tinagacan Acharon Blvd.-Santiago Blvd.-J. Catolico PUJ 168 122 Ave.-Cabel St.-Balite-Pagasa-Natl Hiway- Crossing Ligaya -Tinagacan and VV
  • 37.
    35 | GS C L O C A L P U B L I C T R A N S P O R T R O U T E P L A N 2 0 1 7 Natl. Hiway-Bulaong Ave.-J>P Laurel St.- Pendatun Ave. Pioneer Ave.-P. Acharon Susana Homes Doña Soledad Blvd.-Public Market-Santiago Blvd.-J. FILCAB 105 127 11 Catolico Ave.-Lagao Nursery Road-and VV and VV Natl. Hiway-Bulaong Ave.-J>P Laurel St.- Pendatun Ave. Pioneer Ave.-P. Acharon Susana Homes Doña Soledad Blvd.-Public Market-Santiago Blvd.-J. PUJ 44 29 3 Catolico Ave.-Lagao Nursery Road-and VV and VV Calumpang NFA Road Bula FILCAB 36 25 16 Purok 6 National Highway- Pendaton Ave.- West Ave.-Pioneer Ave.-P. Acharon Blvd.- FILCAB, Lanton NFA ROAd Santiago Blvd.-J Catholico Sr. ave._NFA 23 11 6 PUJ Road-National Highway.- St. Elizabeth Hospital and Vice –versa General Santos Tambler Proper Natinal Highway -RFM -Purefoods -Sta. PUJ 123 101 10 City Proper Monica- Agrotex and Vice –versa Sarangani Province Road -Diamond Road - Natinal Highway - Labangal -P. Acharon Malagat, FVR Lagao Blvd. Santiago Blvd. San Miguel Road - J. FILCAB 33 33 8 Village, Fatima Catholico Sr. Ave. KCC Mall- Lagao Road - Tiongson St.ext.- bCabalina st.- Cabel St. and Vice –versa General Santos Bawing Seguil P. Acharon Blvd.- Labangal -Makar Wharf- PUJ 69 59 35 City Proper National Highway and vice versa General Santos Conel Terminal only FILCAB 7 x x inactive City Proper NLSA Road - Leon Llido st. -Tiogson St. -J Catholico Sr. ave,- Santiago Blvd. -Acharon Purok Malakas Lagao Phase I Blvd.- Pioneer ave.- Pendatun ave.- Natinal PUJ 19 x x inactive Highway Aparente st.- Nunes St. and Vice Versa
  • 38.
    36 | GS C L O C A L P U B L I C T R A N S P O R T R O U T E P L A N 2 0 1 7 Nunes st. Guinoo st.- Aparente ave.- Sarangani Homes National Highway - Roxas Ave.- Pioneer ave.- Lagao P. Acharon Blvd.- Santiago Blvd.-J. PUJ 43 26 19 Phase II Catholico Sr.Ave.- NLSA Road- Llido St.- Tiogson General Santos Centro Fatima Labangal -Makar Wharf - National Highway - PUJ 34 36 5 City Proper San Jose and viceversa General Santos MSU Tambler National Highway- Makar wharf - MSU Ave. PUJ 29 21 3 City Proper and vice versa Katangawan Makar Wharf Vice- versa PUJ x inactive New Society- National highway -Balite - Prk 5, Sto. Nino Apopong - Lagao Pendatun ave.-Pioneer Ave.- P. Acharon PUJ 45 31 21 Blvd. - J. Catholico Sr. Ave.- Cabel St.- Pag - asa and vice-versa Beta Farm Road - Marcus Ave.- National Highway- Cossing Makar -Labus- Pendatun Prk 3, Sto. Nino Apopong - Lagao Ave.- Pioneer Ave.- P. Acharon Blvd.- PUJ 111 69 47 Santiago Blvd.- J. Catolico Sr. ave.- Balite - Cabet st.- Lagao and vice-versa Beta Farm Road - Marcus Ave.- National Highway- Cossing Makar -Labus- Pendatun Sinawal - Lagao Cabuay- Yusaville Ave.- Pioneer Ave.- P. Acharon Blvd.- PUJ 44 x 44 Santiago Blvd.- J. Catolico Sr. ave.- Balite - Cabel st.- Lagao and vice-versa General Santos Basag , T'boli, Glamang and Vice Versa PUJ 5 5 City Proper South Cotabato General Santos Olympog Conel and Vice versa PUJ City Proper inactive National Highway ( Lagao ave. ) - J. Catolico Sr. Ave.- Santiago BLVD.- ( Public Market ) P. Acharon Blvd.- Pioneer ave.- Pendatun Buayan Townsite Makar Wharf Ave.- Osmena St - ( now Fiscal Gregorio FILCAB Daproza St.- City Terminal) Bulaopn Ave. National Highway - Poilytechnic - Makar Wharf and vice versa inactive
  • 39.
    37 | GS C L O C A L P U B L I C T R A N S P O R T R O U T E P L A N 2 0 1 7 General Santos Batomelong Vice- Versa FILCAB City Proper inactive NLSA Road- Tiogson St. L. Catholico Sr. Ave.- Santiago BLVD.- Cagampang - West Lagao Prk Malakas- San Side- P. Acharon BLVD.- Pioneer Ave.- PUJ Vicente Roxas East- National Highway - Old NSA Road - Brgy. San Isidro ( @nd Bo.) - Basketball Court San Vicente and vice versa inactive NLSA Road -Tiogson St.- J Catholico Sr. Ave.- Santiago BLVD.- Cagampang - west Prk Malakas- San side- P. acharon Blvd.- Pioneer Ave._ Roxas Lagao Isidro Via Habitat East - National Highway - Aparente St. .- PUJ Phase B Nunes St .- Old NLSA Road - Brgy San Isidro - ( 2nd Bo.) Basketball Court San Vicente and vice-versa inactive General Santos Mabuhay Habitat Terminal - National Highway - Mindanao FILCAB, Medical Hospital- Mabuhay Road _ Habitat City Proper Phase A PUJ Phase A- Klinan % and vice-versa Inactive DATA SOURCE: LTFRB XII
  • 40.
    38 | GS C L O C A L P U B L I C T R A N S P O R T R O U T E P L A N 2 0 1 7 Figure 13: MAP OF EXISTING ACTIVE PUJ ROUTES
  • 41.
    39 | GS C L O C A L P U B L I C T R A N S P O R T R O U T E P L A N 2 0 1 7 Table 8: NUMBER OF UNITS FOR PROPOSED NEW ROUTES Route Name Origin Destination Route Description Passenger Per Peak Hour Per Direction (PPHPD) .75 PPHPD Seasonality Factor (SF) Utilization Rate (UR) Viable Load Factor (VLF) Average Seating Capacity (ASC) Route Distance Average Speed Average Travel Time Terminal Waiting Time Average Turn- Around Time (TAT) Number of Round Trips (NRT) /hour Number of Units Frequency per direction Time Headway during peak hour Time Headway during peak hour Terminal name or area name Terminal name or area name UR = No. of Units Operating Everyday / Total Number of Proposed Units *VLF represents the minimum average load factor at which transit operation earns a reasonable or viable profit. *ASC represents the average number of seats which can be accommodated by the chosen vehicle type. *Total route length (two- way route length for non-loop route) Observed average speed during the peak hour; Average travel time for plying the route from end to end (includes pick- up at designated stops, does not include waiting time at the terminals) Total waiting time of the driver at the terminal/s in one roundtrip. This should include driver queuing time, rest, passenger loading at both terminals. Average Travel Time + Terminal Waiting Time NRT = 60 mins. / TAT Number of Units = Passenger Demand (PD)(SF) / (UR*VSC*ASC*NRT) Frequency = PPHPD / ASC; Headway = 60 mins. / Frequency 1 CBD Purok Sarif Mucsin From Barangays North, East, West , South (CBD) to Sarip Mucsin, Baluan via P. Acharon Blvd. to Pioneer Avenue to Quezon Ave. to Laurel Ave. to Quirino Ave. to Magsaysay Ave to Pioneer Ave. to Acharon Blvd. to J.P. Royeca Ave. And VV 1671 1253 1 0.85 1 22 28.6 20 85.8 20 105.8 0.6 118.2 57.0 1.1 63.2 2 Central Public Market Purok 7 Batomelong From the Central Public Market (CPM) to Barangay Batomelong via Santiago Blvd. to J. Catolico Ave. to Maharlika Hiway and VV 1041 781 1 0.85 1 22 37.2 20 111.6 20 131.6 0.5 91.6 35.5 1.7 101.4 3 Central Public Market Katangawan From the Central Public Market (CPM) to Barangay Katangawan via Santiago Blvd. to J. Catolico Ave. to Nursery Rd. and VV 736 552 1 0.85 1 22 22 20 66 20 86 0.7 42.3 25.1 2.4 143.5 4 Central Public Market Olympog From the CPM to Barangay Olympog via Santiago Blvd. to Natl. Hiway to Leon Llido St. to NLSA Rd. to Conel Rd. and VV 1545 1159 1 0.85 1 22 28.4 20 85.2 20 105.2 0.6 108.6 52.7 1.1 68.3 5 Central Public Market Mabuhay From the CPM to Barangay Mabuhay via P. Acharon Blvd. to Pioneer Ave. to Roxas St. to National Hiway to Aparente St. to NLSA Rd. to Dacera Ave and VV 2110 1583 1 0.85 1 22 26 20 78 20 98 0.6 138.2 71.9 0.8 50.0 6 North loop Dacera Avenue to NLSA Rd. to L.Llido St. to Tiongson St. to National Hiway (A and B) 2039 1529 1 0.85 1 22 15 20 45 10 55 1.1 75.0 69.5 0.9 51.8 7 CBD loop Bulaong Terminal to Osmeña St. to Quezon Ave. to Magsaysay Ave. to Santiago Blvd. to J. Catolico Ave. to National Hiway to Mangga St. (A and B) 0 #DIV/0! #DIV/0! #DIV/0! 15.0 #DIV/0! #DIV/0! #DIV/0! 8 Central Public Market DAR BCI From the CPM to DARBCI via P. Acharon Blvd. to Pioneer Ave. to Osmeña North to Bulaong Ave. to National Highway to Maharlika Hiway and VV 455 341 1 0.85 1 22 18.6 20 55.8 20 75.8 0.8 23.1 15.5 3.9 232.1 9 Buayan Lanton, Apopong From Buayan to Lanton via Lagao-Buayan Rd. to National Hiway to Pendatun Ave. to Osmeña North to Bulaong Ave. to National Hiway to Maharlika Hiway to Marcos Ave. and VV 1739 1304 1 0.85 1 22 32.4 20 97.2 20 117.2 0.5 136.2 59.3 1.0 60.7 10 Dona Soledad Lagao Public Market From Dña. Soledad to Lagao PM via Maharlika Hiway to National Hiway to Bulaong Ave. to Laurel Ave. to Santiago Blvd. to San Miguel St. to J. Catolico Ave. to Arradaza St. to Calima St. to NLSA Ext. to Ardonia T. and VV 1847 1385 1 0.85 1 22 26 20 78 20 98 0.6 121.0 63.0 1.0 57.2 11 Calumpang Lagao Public Market From Calumpang Lote to Lagao PM via Rizal St. to Makar-Maasim Rd. to P. Acharon Blvd. to Pioneer Ave. to Magsaysay Ave. to J. Catolico Ave. to to Arradaza St. to Calima St. to NLSA Ext. to Ardonia T. and VV 1851 1388 1 0.85 1 22 26 20 78 20 98 0.6 121.3 63.1 1.0 57.1 12 Calumpang San Jose From Calumpang to San Jose via Fil-Am Rd. to San Jose Rd and VV 0 27 #DIV/0! #DIV/0! #DIV/0! 15.0 #DIV/0! #DIV/0! #DIV/0! 13 Airport Central Public Market From GSC Airport to CPM via Fil-Am Rd. to Maharlika Hiway to National Hiway to Bulaong Ave. to Osmeña St. to Pendatun Ave. to Pioneer Ave. to P. Acharon Blvd. and VV 1499 1124 1 0.85 1 22 34 20 102 20 122 0.5 122.2 51.1 1.2 70.4 14 Calumpang Siguel From Calumpang to Siguel via Rizal St. to Makar-Maasim Rd. and VV 542 407 1 0.85 1 22 29.2 20 87.6 20 107.6 0.6 39.0 18.5 3.2 194.8
  • 42.
    40 | GS C L O C A L P U B L I C T R A N S P O R T R O U T E P L A N 2 0 1 7 Table 9: MODES OF TRANSPORTATION PER PROPOSED ROUTE Route Name PPHPD Mode Route Length Existing Route? Was route modified? Modification description Affected Routes (if any) Modification description km Y/N Y/N Indicate recommended mode for the route. FILCAB: ≤ 500 pphpd PUJ/UV: ≤ 1000 MINI-BUS: ≤ 5000 BUS: > 5000 Provide justification if mode does not follow PPHPD requirement. Justificatio n if not following Maximum Distance Policy If No (ie developm ental route), Answer Sheet C: Dev Routes Merge / Delete/ Shorten/ Extend, etc. List of affected routes with valid CPCs Merge / Delete/ Shorten/ Extend, etc. 1 CBD Purok Sarif Mucsin 1253 PUJ Need to validate the route viability after the first 6 months of operation 14.3 - N None 2 Central Public Market Purok 7 Batomelong 781 PUJ 18.6 No transfer areas along the route. Y Y Shortened None 3 Central Public Market Katangawan 552 PUJ 11 N 4 Central Public Market Olympog 1159 PUJ Road with too narrow for mini-bus 14.2 Y N 5 Central Public Market Mabuhay 1583 PUJ Road with too narrow for mini-bus 13 Y Y Shortened None 6 North loop 0 1529 PUJ Road with too narrow for mini-bus 15 N N Gensanville - Agan Homes; Purok Malakas- Lagao Phase 1; Sarangani Homes - Lagao; Lagao - Purok Malakas San Vicente; Lagao - Purok Malakas San Isidro Phase B Merged 7 CBD loop 0 0 PUJ 6.7 N None 8 Central Public Market DAR BCI 341 PUJ 9.3 Y Y Shortened 9 Buayan Lanton, Apopong 1304 PUJ Road with too narrow for mini-bus 16.2 Y Y Extended Purok 5 Sto Nino to Lagao v. Jcat; Purok 3 Sto. Nino - Lagao; Sinawal - Lagao; Merged 10 Dona Soledad Lagao Public Market 1385 PUJ Road with too narrow for mini-bus 13 Y Y Shortened None 11 Calumpang Lagao Public Market 1388 PUJ Road with too narrow for mini-bus 12.3 Y Y Shortened Greenville-Emergency Merged 12 Calumpang San Jose 0 PUJ 13.5 N 13 Airport Central Public Market 1124 PUJ Road with too narrow for mini-bus 14.8 Y Y Extended MSU CETD- MSU Tambler; FVR Malagat - GenSan Proper; Centro Fatima -Gensan Proper; 11B Fatima - GenSan Proper; Labus - GenSan Proper; Airport - Bulaong Terminal Merged w/ Airport - Central Public Market 14 Calumpang Siguel 407 PUJ 14.6 Y Y Shortened Tambler - GenSan Proper Merged Maximum distances per OFG Sec. 2.5: 15 km for Highly urbanized cities, independent component cities, and component cities 35 km for Inter-regional, inter-provincial, provincial, and municipal routes. For PUJ loop services, the loop length shall be covered by similar restrictions.
  • 43.
    41 | GS C L O C A L P U B L I C T R A N S P O R T R O U T E P L A N 2 0 1 7 Table 10: PROPOSED NEW/DEVELOPMENTAL ROUTES Route Name ORIGIN DESTINATION Does this route overlap with other existing routes? Affected Route Name Length of Affected Route Length of overlap bet. proposed route and affected % Justification if exceeding 25% Y/N km km Routes with valid CPC only 1 CBD Purok Sarif Mucsin Y Route 8 9.3 0.854 9% Route 11 12.3 0.854 7% Route 13 14.8 0.854 6% 3 Central Public Market Katangawan Y Route 2 18.6 3.46 19% 6 North loop 0 Y Route 2 18.6 1.17 6% 7 CBD loop 0 N #DIV/0! 12 Calumpang San Jose Y Route 13 14.8 4 27% No other options for the route. The following assumptions were considered by the TWG in the determination of the above figures: 1. Passenger per Peak Hour per Direction (PPHPD) was determined by computing the sum of the highest demand in a peak hour with the figure of the same hour in the opposite direction as per data from the passenger volume count. 2. Passenger Demand (PD) was estimated as 75% of the PPHPD derived from the result of the passenger volume count at specific points in the corridor for the assigned route. 3. Utilization rate (UR) was placed constant at 0.85. 4. Viable Load Factor (VLF) was placed constant at 1. 5. Average Seating Capacity (ASC), 22 passengers, is based on Philippine Standard for Seating Capacity for Public Utility Jeepney‘s. 6. Average Speed was placed constant at 20 KPH to include stops. The figures reflected in the above tables were computed using the prescribed formula in the LPTRP Manual.
  • 44.
    42 | GS C L O C A L P U B L I C T R A N S P O R T R O U T E P L A N 2 0 1 7 MAPS OF PROPOSED PUJ (INTRA-CITY) ROUTES Figure 14: PROPOSED ROUTE 1
  • 45.
    43 | GS C L O C A L P U B L I C T R A N S P O R T R O U T E P L A N 2 0 1 7 Figure 15: PROPOSED ROUTE 2
  • 46.
    44 | GS C L O C A L P U B L I C T R A N S P O R T R O U T E P L A N 2 0 1 7 Figure 16: PROPOSED ROUTE 3
  • 47.
    45 | GS C L O C A L P U B L I C T R A N S P O R T R O U T E P L A N 2 0 1 7 Figure 17: PROPOSED ROUTE 4
  • 48.
    46 | GS C L O C A L P U B L I C T R A N S P O R T R O U T E P L A N 2 0 1 7 Figure 18: PROPOSED ROUTE 5
  • 49.
    47 | GS C L O C A L P U B L I C T R A N S P O R T R O U T E P L A N 2 0 1 7 Figure 19: PROPOSED ROUTE 6
  • 50.
    48 | GS C L O C A L P U B L I C T R A N S P O R T R O U T E P L A N 2 0 1 7 Figure 20: PROPOSED ROUTE 7
  • 51.
    49 | GS C L O C A L P U B L I C T R A N S P O R T R O U T E P L A N 2 0 1 7 Figure 21: PROPOSED ROUTE 8
  • 52.
    50 | GS C L O C A L P U B L I C T R A N S P O R T R O U T E P L A N 2 0 1 7 Figure 22: PROPOSED ROUTE 9
  • 53.
    51 | GS C L O C A L P U B L I C T R A N S P O R T R O U T E P L A N 2 0 1 7 Figure 23: PROPOSED ROUTE 10
  • 54.
    52 | GS C L O C A L P U B L I C T R A N S P O R T R O U T E P L A N 2 0 1 7 Figure 24: PROPOSED ROUTE 11
  • 55.
    53 | GS C L O C A L P U B L I C T R A N S P O R T R O U T E P L A N 2 0 1 7 Figure 25: PROPOSED ROUTE 12
  • 56.
    54 | GS C L O C A L P U B L I C T R A N S P O R T R O U T E P L A N 2 0 1 7 Figure 26: PROPOSED ROUTE 13
  • 57.
    55 | GS C L O C A L P U B L I C T R A N S P O R T R O U T E P L A N 2 0 1 7 Figure 27: PROPOSED ROUTE 14
  • 58.
    56 | GS C L O C A L P U B L I C T R A N S P O R T R O U T E P L A N 2 0 1 7 Figure 28: CONSOLIDATED MAP OF PROPOSED PUV ROUTES
  • 59.
    57 | GS C L O C A L P U B L I C T R A N S P O R T R O U T E P L A N 2 0 1 7 Figure 29: MAP OF EXISTING INTER-REGIONAL (MULTI-MODAL) TERMINAL
  • 60.
    58 | GS C L O C A L P U B L I C T R A N S P O R T R O U T E P L A N 2 0 1 7 Figure 30: MAP OF PROPOSED INTEGRATED OFF-STREET TERMINALS
  • 61.
    59 | GS C L O C A L P U B L I C T R A N S P O R T R O U T E P L A N 2 0 1 7 TERMINALS The city has an existing integrated terminal located at the CBD. The Bulaong terminal is an LGU operated and managed multi-modal terminal that serves the inter- regional and the inter-municipality routes. A number of informal terminals operated by private individuals/operators are located outside the present terminal. General Santos City has an approved land use plan. As such and as prescribed by the minimum locational standards, as provided in the Housing and Land Use Regulatory Board‗s (HLURB) ―Locational Guidelines and Standards for Land Transportation Terminals and Garages. The location of bus terminals should be at the periphery of a commercial zone. In consideration of the above stated policy, this plan proposes the establishment of Integrated Off-street terminals that will serve the inter-municipality and the inter-city routes (refer to map of proposed off-street terminals). Jeepney/UV Express service terminals may be located within the commercial zone, provided, these are not near a major intersection in which traffic congestion occurs. 1. East Terminal This terminal is intended to serve the inter-municipality routes from the eastern side of the city. All PUV‗s coming from the municipalities of Alabel, Malapatan, Glan and further on, as well as from Malungon, all in the province of Sarangani and further on are to originate/terminate at the East terminal. 2. South Terminal This terminal is intended to serve the inter-municipality routes from the southern side of the city. All PUV‗s coming from the municipalities of Maaasim, Kiamba, Maitum, all in Sarangani province and further on are to originate/terminate at the South terminal. This terminal will also be the termination point of intra-city routes from Barangay‗s Bawing (Seguil) and San Jose. 3. Central Integrated Off-street terminal This Off-Street Terminal is intended to serve the intra-city routes from influence areas that are within the 15 KM radius of this within the city. These terminal systems shall be the transfer points to other modes as well as inter- linkage with other routes. Route assignments are to ensure inter-linkage between routes
  • 62.
    60 | GS C L O C A L P U B L I C T R A N S P O R T R O U T E P L A N 2 0 1 7 for convenient and safe transfer, embarking and disembarking. All routes are required to have an off-street terminal compliant with existing standards on both ends of the route, subject to the clearance issued by the LGU, in coordination with the DOTr and the LTFRB. Other considerations for the establishment of terminal shall be compliant with existing national guidelines and issuances. Aside from the off-street terminals, the city will endeavor to include in its transport plan the provision of PUV stops which shall be provided with appropriate signage‘s and convenient passenger boarding and alighting areas along each route. The same may serve as interchange/transfer areas with other modes or routes. TRICYCLES This plan makes reference to the OFG which describes the hierarchy of modes of public transport, such that buses are on top of the hierarchy, followed by jeepneys, UVs, and Filcabs that may pass the corridors traversed by buses. At the lower end of the hierarchy are tricycles, which can traverse local roads and subdivision roads that will feed into the routes traveled by jeepneys, UVs, or Filcabs. Pursuant to the OFG, the operation of tricycles shall be in accordance with the ―Joint Memorandum Circular (JMC) No. 1. Series of 2008‖ of the DILG and the DOTC, which states, “Tricycle operation should only be confined along city or municipal roads, not along national roads, and is limited only to routes not traversed by higher modes of public transport. Motorcycles and other farm implements, such as kuliglig, are likewise not allowed as public transport conveyance.” Tricycles serve as intra-zonal trip providers. They are intended to provide transport from home to trunk in which four-wheeled public transport services are available (refer to MAP OF PROPOSED TRICYCLE ZONES).
  • 63.
    61 | GS C L O C A L P U B L I C T R A N S P O R T R O U T E P L A N 2 0 1 7 Figure 31: MAP OF PROPOSED TRICYCLE ZONES
  • 64.
    62 | GS C L O C A L P U B L I C T R A N S P O R T R O U T E P L A N 2 0 1 7 ANNEXES 1. Executive Order No. 59, Series of 2017Creating the Local Public Transport Route Plan Committee of the City of General Santos 2. Committee Resolution Adapting the Fifteen (15) Routes as Proposed for the City of General Santos 3. Committee Resolution Adapting the Draft LPTRP and Endorsing the same to the LTFRB for review
  • 65.
    63 | GS C L O C A L P U B L I C T R A N S P O R T R O U T E P L A N 2 0 1 7
  • 66.
    64 | GS C L O C A L P U B L I C T R A N S P O R T R O U T E P L A N 2 0 1 7
  • 67.
    65 | GS C L O C A L P U B L I C T R A N S P O R T R O U T E P L A N 2 0 1 7
  • 68.
    66 | GS C L O C A L P U B L I C T R A N S P O R T R O U T E P L A N 2 0 1 7
  • 69.
    67 | GS C L O C A L P U B L I C T R A N S P O R T R O U T E P L A N 2 0 1 7
  • 70.
    68 | GS C L O C A L P U B L I C T R A N S P O R T R O U T E P L A N 2 0 1 7
  • 71.
    69 | GS C L O C A L P U B L I C T R A N S P O R T R O U T E P L A N 2 0 1 7
  • 72.
    70 | GS C L O C A L P U B L I C T R A N S P O R T R O U T E P L A N 2 0 1 7
  • 73.
    71 | GS C L O C A L P U B L I C T R A N S P O R T R O U T E P L A N 2 0 1 7
  • 74.
    72 | GS C L O C A L P U B L I C T R A N S P O R T R O U T E P L A N 2 0 1 7