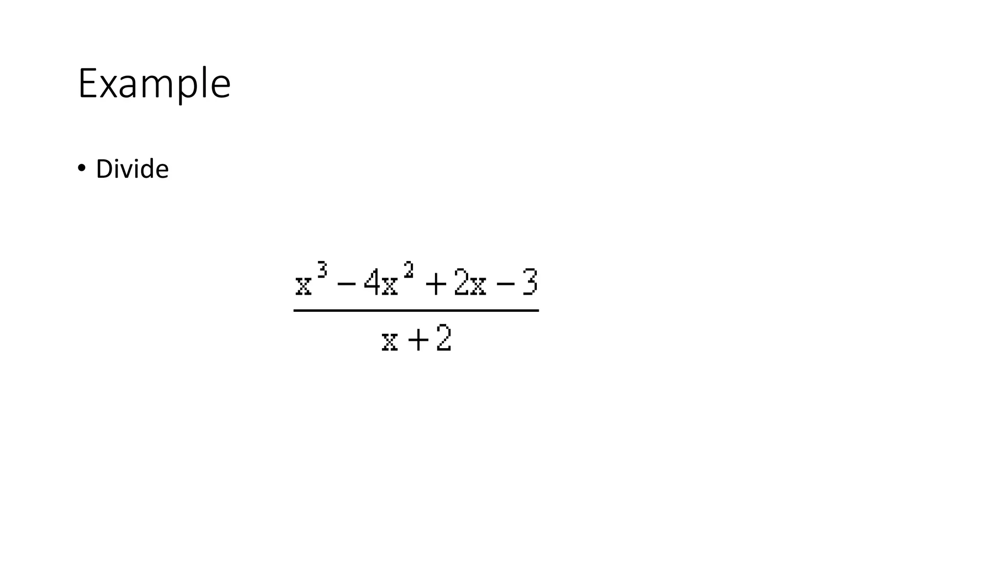
Example
• Divide
Step 1
• Make sure the polynomial is written in descending order.
Step 2
• Divide the term with the highest power inside the division symbol by
the term with the highest power outside the division symbol. In this
case, we have x3 divided by x which is x2.
Step 3
• Multiply (or distribute) the answer obtained in the previous step by
the polynomial in front of the division symbol. In this case, we need
to multiply x2 and x + 2.
Step 4
• Subtract and bring down the next term.
Step 5
• Divide the term with the highest power inside the division symbol by
the term with the highest power outside the division symbol. In this
case, we have –6x2 divided by x which is –6x.
Step 6
• Multiply (or distribute) the answer obtained in the previous step by
the polynomial in front of the division symbol. In this case, we need
to multiply –6x and x + 2.
Step 7
• Subtract and bring down the next term.
Step 8
• Divide the term with the highest power inside the division symbol by
the term with the highest power outside the division symbol. In this
case, we have 14x divided by x which is +14.
Step 9
• Multiply (or distribute) the answer obtained in the previous step by
the polynomial in front of the division symbol. In this case, we need
to multiply 14 and x + 2.
Step 10
• Subtract and notice there are no more terms to bring down.
Step 11
• Write the final answer. The term remaining after the last subtract step
is the remainder and must be written as a fraction in the final answer.

Long Division Example 1

  • 1.
  • 2.
    Step 1 • Makesure the polynomial is written in descending order.
  • 3.
    Step 2 • Dividethe term with the highest power inside the division symbol by the term with the highest power outside the division symbol. In this case, we have x3 divided by x which is x2.
  • 4.
    Step 3 • Multiply(or distribute) the answer obtained in the previous step by the polynomial in front of the division symbol. In this case, we need to multiply x2 and x + 2.
  • 5.
    Step 4 • Subtractand bring down the next term.
  • 6.
    Step 5 • Dividethe term with the highest power inside the division symbol by the term with the highest power outside the division symbol. In this case, we have –6x2 divided by x which is –6x.
  • 7.
    Step 6 • Multiply(or distribute) the answer obtained in the previous step by the polynomial in front of the division symbol. In this case, we need to multiply –6x and x + 2.
  • 8.
    Step 7 • Subtractand bring down the next term.
  • 9.
    Step 8 • Dividethe term with the highest power inside the division symbol by the term with the highest power outside the division symbol. In this case, we have 14x divided by x which is +14.
  • 10.
    Step 9 • Multiply(or distribute) the answer obtained in the previous step by the polynomial in front of the division symbol. In this case, we need to multiply 14 and x + 2.
  • 11.
    Step 10 • Subtractand notice there are no more terms to bring down.
  • 12.
    Step 11 • Writethe final answer. The term remaining after the last subtract step is the remainder and must be written as a fraction in the final answer.