Control Engineering Lab
Engr. Adnan Rasheed
A first-order system without zeros
The Step Response of the above system will be,
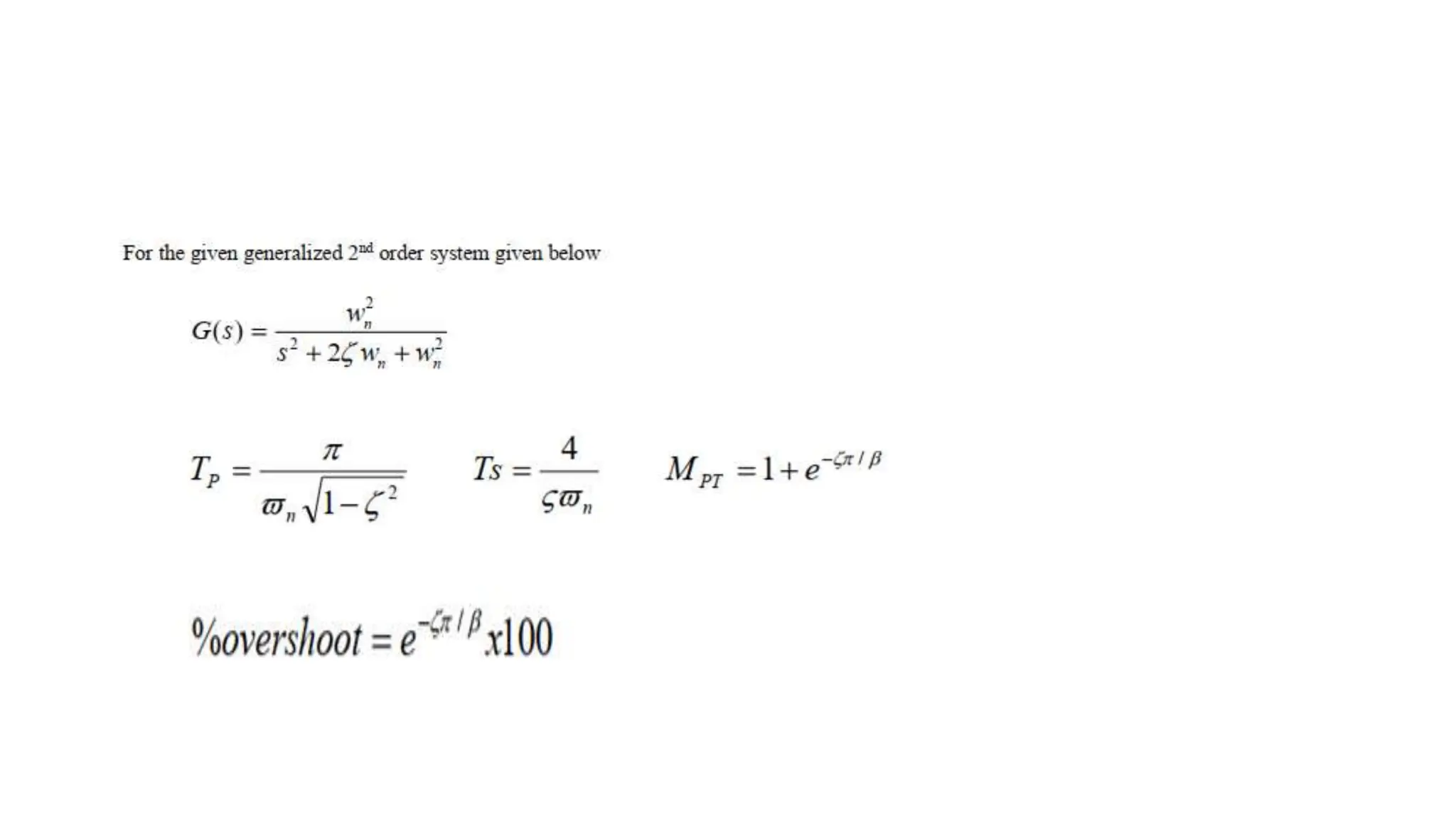
2nd Order Control Systems
Damping Cases (2nd Order) w.r.t Step
Responses
MATLAB Control Functions
step (num,den) : To plot the step response of the system
impulse(num,den) : To plot the impulse response of the system.
[y,x,t]=step(num,den): To store the values of the step response
function in an array.
ym=max(y): To get the maximum amplitude of a response value.
ys = dcgain(num,den) : To get the d.c. gain of the system (steady state
value)
yovrsht = (ym-yt)/ys * 100; To calculate the % over shoot.
Example 5.2.
5.2 Closed-loop speed tachometer control system
R(S) is the input voltage
w(S) is the output angular movement of motor
Td(S) is the external disturbance signal
5.2.1 Requirement:
Analyze under external Disturbance Closed loop with
feedback is better:
5.2.1 MATLAB Code for the Open-loop without
tachometer feedback of the above example
(Case-I)
• % ---------------------------------------------------------------------------MEEN-4263 Control Engineering Lab -------------------------------------------------------------
• % Author : Engr. Adnan Rasheed
• % Date : xxxxxxxx
• % Lab No. : 5
• % Class : BEMTS VI (A & B)
• % File name : opentach.m
• % Description : The function implements the speed tachometer example.
• %------------------------------------------------------------------------------------- % Define Tachometer control system parameters
• Ra = 1; Km = 10; J= 2; b = 0.5; Kb = 0.1; Ka = 54; Kt = 1;
• num1 = [1]; den1 = [J b]; % Define G(s)= 1 / Js+b
• num2 = [Km*Kb/Ra]; den2 = [1]; % Define H(s) = Km*Kb/Ra
• [num,den] = feedback(num1,den1,num2,den2); % Find the T(S)= w(s) / Td(s)
• num = -num % Change the sign of T(s) since Td(s) is negative
• printsys(num,den); % print the final T(S)
• [step_resp,x,t] = step(num,den); % Compute response to step disturbance
• figure plot(t,step_resp); % plot step response
• title('Open-loop Disturbance Step Response');
• xlabel('time[sec]'); ylabel('speed'); grid;
• Final_val = step_resp(length(t)) % Find steady-state error, last value of output
• %-------------------------------------------------------------------------------------
• % End Function
• %-------------------------------------------------------------------------------------
5.2.3 MATLAB Code for the Open-loop without
tachometer feedback of the above example
(Case-I)
The resulting system reduced to the following taking step Td(s):
Figure 5.3: Open-Loop system Disturbance Step Response
The approximate steady state
value is:
w(7) = -0.66 rad/s
at t = 7 sec

Lecture 07+08_1st & 2nd Order Control Systems (1).pptx

  • 1.
  • 2.
    A first-order systemwithout zeros The Step Response of the above system will be,
  • 7.
  • 10.
    Damping Cases (2ndOrder) w.r.t Step Responses
  • 13.
    MATLAB Control Functions step(num,den) : To plot the step response of the system impulse(num,den) : To plot the impulse response of the system. [y,x,t]=step(num,den): To store the values of the step response function in an array. ym=max(y): To get the maximum amplitude of a response value. ys = dcgain(num,den) : To get the d.c. gain of the system (steady state value) yovrsht = (ym-yt)/ys * 100; To calculate the % over shoot.
  • 14.
    Example 5.2. 5.2 Closed-loopspeed tachometer control system R(S) is the input voltage w(S) is the output angular movement of motor Td(S) is the external disturbance signal 5.2.1 Requirement: Analyze under external Disturbance Closed loop with feedback is better:
  • 15.
    5.2.1 MATLAB Codefor the Open-loop without tachometer feedback of the above example (Case-I) • % ---------------------------------------------------------------------------MEEN-4263 Control Engineering Lab ------------------------------------------------------------- • % Author : Engr. Adnan Rasheed • % Date : xxxxxxxx • % Lab No. : 5 • % Class : BEMTS VI (A & B) • % File name : opentach.m • % Description : The function implements the speed tachometer example. • %------------------------------------------------------------------------------------- % Define Tachometer control system parameters • Ra = 1; Km = 10; J= 2; b = 0.5; Kb = 0.1; Ka = 54; Kt = 1; • num1 = [1]; den1 = [J b]; % Define G(s)= 1 / Js+b • num2 = [Km*Kb/Ra]; den2 = [1]; % Define H(s) = Km*Kb/Ra • [num,den] = feedback(num1,den1,num2,den2); % Find the T(S)= w(s) / Td(s) • num = -num % Change the sign of T(s) since Td(s) is negative • printsys(num,den); % print the final T(S) • [step_resp,x,t] = step(num,den); % Compute response to step disturbance • figure plot(t,step_resp); % plot step response • title('Open-loop Disturbance Step Response'); • xlabel('time[sec]'); ylabel('speed'); grid; • Final_val = step_resp(length(t)) % Find steady-state error, last value of output • %------------------------------------------------------------------------------------- • % End Function • %-------------------------------------------------------------------------------------
  • 16.
    5.2.3 MATLAB Codefor the Open-loop without tachometer feedback of the above example (Case-I) The resulting system reduced to the following taking step Td(s): Figure 5.3: Open-Loop system Disturbance Step Response The approximate steady state value is: w(7) = -0.66 rad/s at t = 7 sec