Multivariate Random Variables
Multivariate random variable or Random vector is a list of
mathematical variables each of whose value is unknown,
Either because the value has not yet occurred or
because there is imperfect knowledge of its value.
The individual variables in a random vector are
grouped together because they are all part of a
single mathematical system — often they
represent different properties of an
individual statistical unit
1.n-dimensional variables
n random variables X1 , X2 , ...,Xn compose a n-
dimensional vector (X1,X2,...,Xn), and the vector is
named n-dimensional variables or random vector.
2. Joint distribution of random vector
Define function
F(x1,x2,…xn)= P(X1≤x1,X2 ≤ x2,...,Xn ≤ xn)
the joint distribution function of random vector
(X1,X2,...,Xn).
Two-Dimensional Random Variables
Definition Let (X, Y) be 2-dimensional random
variables. Define F(x,y) = P{Xx, Yy}
the bivariate cdf of (X, Y) .
The Joint cdf for Two random variables
 
 
0
0 ,
,
, y
y
x
x
y
x 





Geometric interpretation :
the value of F( x, y) assume
the probability that the random
points belong to area in dark
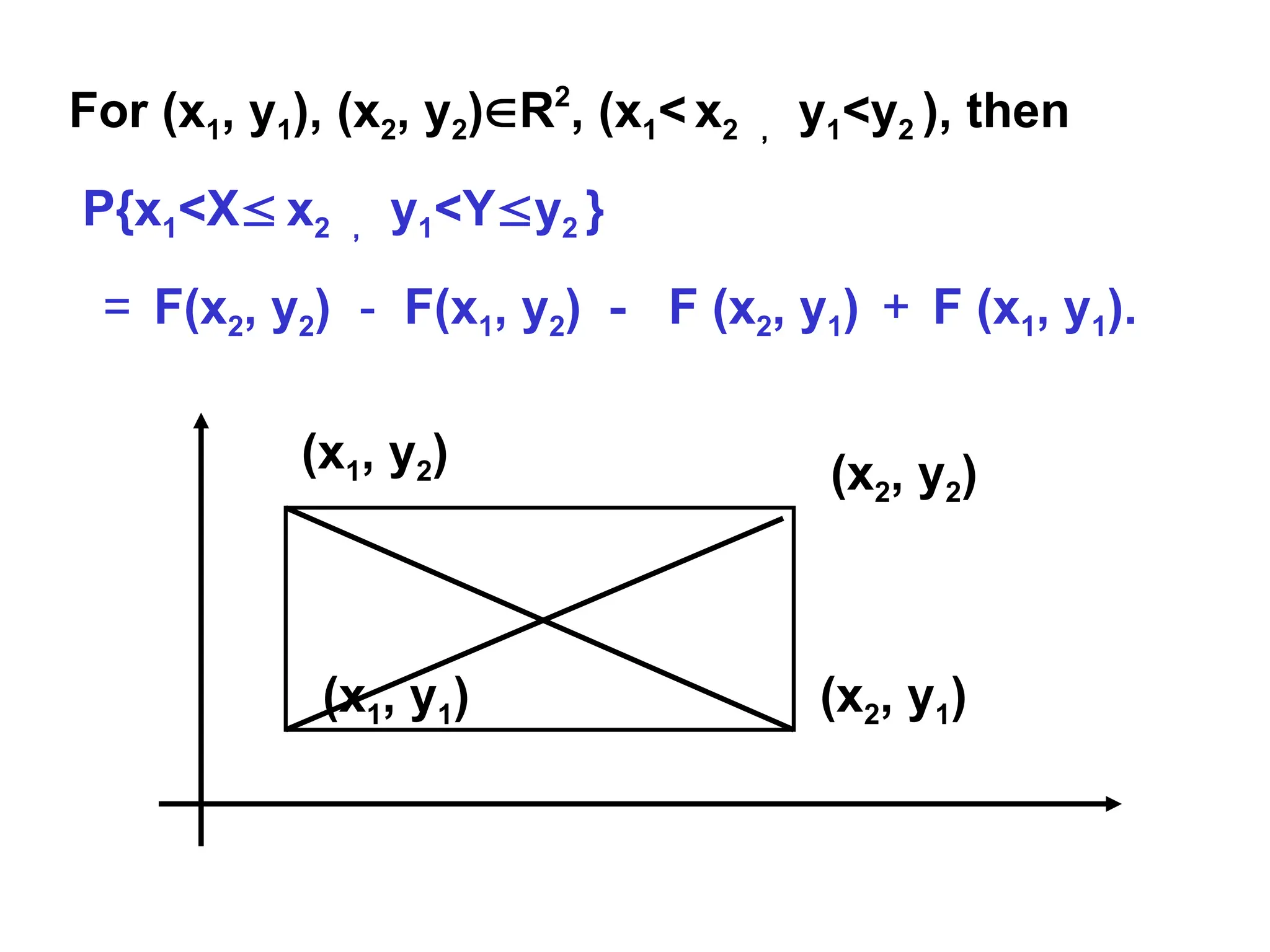
For (x1, y1), (x2, y2)R2
, (x1< x2 , y1<y2 ), then
P{x1<X x2 , y1<Yy2 }
= F(x2, y2) - F(x1, y2) - F (x2, y1) + F (x1, y1).
(x1, y1)
(x2, y2)
(x2, y1)
(x1, y2)
1
x 2
x 3
x
1
y
2
y
3
y
Suppose that the joint cdf of (X,Y) is F(x,y), find the probability that
(X,Y) stands in area G .
Answer
2 1 3 3 2 3 3 1
1 2 2 3 1 3 2 2
{( , ) } [ ( , ) ( , ) ( , ) ( , )]
[ ( , ) ( , ) ( , ) ( , )]
P X Y G F x y F x y F x y F x y
F x y F x y F x y F x y
    
    L
Joint distribution F(x, y) has the following
characteristics:
0
)
,
(
lim
)
,
( 







y
x
F
F
y
x
1
)
,
(
lim
)
,
( 







y
x
F
F
y
x
0
)
,
(
lim
)
,
( 




y
x
F
y
F
x
0
)
,
(
lim
)
,
( 




y
x
F
x
F
y
(1) For all (x, y) R2
, 0 F(x, y)  1,
(2) Monotonically increment
for any fixed y R, x1<x2 yields
F(x1, y)  F(x2 , y) ;
for any fixed x R, y1<y2 yields
F(x, y1)  F(x , y2).
);
y
,
x
(
F
)
y
,
x
(
F
lim
)
y
,
0
x
(
F 0
x
x
0
0


 

).
y
,
x
(
F
)
y
,
x
(
F
lim
)
0
y
,
x
(
F 0
y
y
0
0


 

(3) right continuous for xR, yR,
(4) for all (x1, y1), (x2, y2)R2
, (x1< x2 , y1<y2 ),
F(x2, y2) - F(x1, y2) - F (x2, y1) + F (x1, y1)0.
Conversely, any real-valued function satisfied
the aforementioned 4 characteristics must be
a joint distribution function of 2-dimensional
variables.
Example 1. Let the joint distribution of (X,Y) is
)]
3
(
)][
2
(
[
)
,
(
y
arctg
C
x
arctg
B
A
y
x
F 


1) Find the value of A , B , C 。
2) Find P{0<X<2,0<Y<3}
Answer 1
]
2
][
2
[
)
,
( 







C
B
A
F
0
)]
3
(
][
2
[
)
,
( 




y
arctg
C
B
A
y
F

0
]
2
)][
2
(
[
)
,
( 





C
x
arctg
B
A
x
F
2
1
2 




 A
C
B
16
1
)
0
,
2
(
)
3
,
0
(
)
3
,
2
(
)
0
,
0
(
}
3
0
,
2
0
{ 







 F
F
F
F
Y
X
P
Discrete joint distribution
If both x and y are discrete random variable,
then,(X, Y) take values in (xi, yj), (i, j = 1, 2, … ), it is said
that X and Y have a discrete joint distribution .
Definition
The joint distribution is defined to be a function
such that for any points (xi, yj),
P{X = xi, Y = yj,} = pij , (i, j = 1, 2, … ).
That is
(X, Y) ~ P{X = xi, Y = yj,} = pij , (i, j = 1, 2, …
X
Y y
1
y
2
… y
j
…
p11 p12 ... P1j ...
p21 p22 ... P2j ...
pi1 pi2 ... Pij ...
..
.
...
...
...
...
...
..
.
..
.
Characteristics of joint distribution :
(1) pij 0 , i, j = 1, 2, … ;
(2) 1
1 1
=
 
 
i j
ij
p
x1
x2
xi
The joint distribution can also be specified in the
following table
Example 2. Suppose that there are two red balls and three
white balls in a bag, catch one ball from the bag twice
without put back, and define X and Y as follows:








ball
white
is
put
second
the
0
ball
red
is
put
second
the
1
ball
white
is
put
first
the
0
ball
red
is
put
first
the
1
Y
X
Please find the
joint pmf of (X,Y)
X
Y
1
0
1 0
10
1
10
3
10
3
10
3
2
5
2
2
}
1
,
1
{
P
P
Y
X
P 


2
5
3
2
}
0
,
1
{
P
Y
X
P




2
5
2
3
}
1
,
0
{
P
Y
X
P




2
5
2
3
}
0
,
0
{
P
P
Y
X
P 


Continuous joint distributions and
density functions
1. It is said that two random variables (X, Y) have a continuous
joint distribution if there exists a nonnegative function f (x, y)
such that for all (x, y)R2
, the distribution function satisfies


 


x y
dudv
v
u
f
y
x
F ,
)
,
(
)
,
(
and denote it with
(X, Y) ~ f (x, y) , (x, y)R2
2. characteristics of f(x, y)
(1) f (x, y)0, (x, y)R2
;
(2)
);
,
(
)
,
(
2
y
x
f
y
x
y
x
F




(3)
( , ) 1;
f x y dxdy
 
 


- -
(4) For any region G R2
,



G
dxdy
y
x
f
G
Y
X
P .
)
,
(
}
)
,
{(



G
dxdy
y
x
f
G
Y
X
P .
)
,
(
}
)
,
{(
Let


 




others
y
x
y
x
f
Y
X
0
1
0
,
1
0
1
)
,
(
~
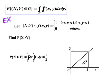
)
,
(
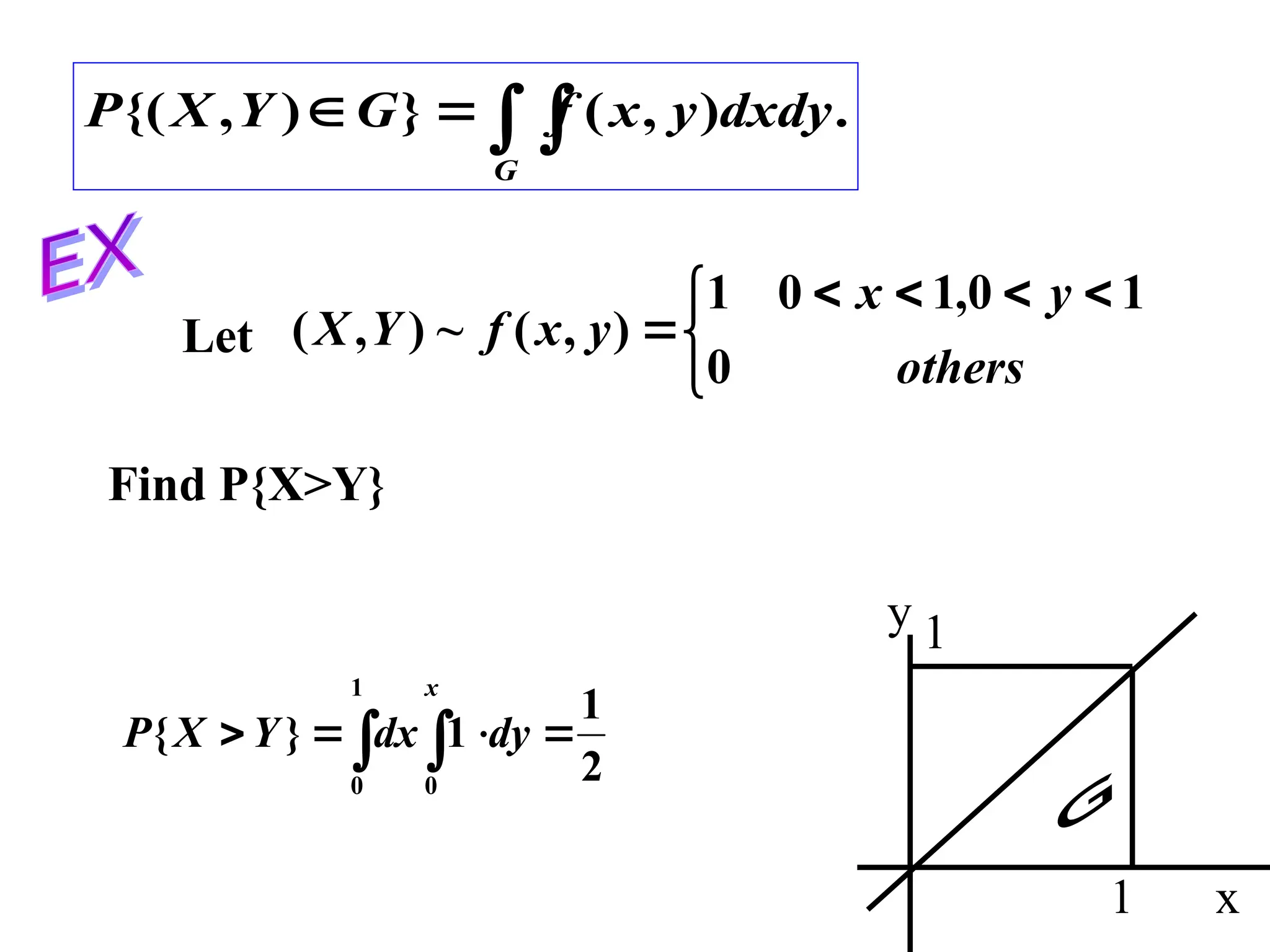
Find P{X>Y}
2
1
1
}
{
0
1
0



 

x
dy
dx
Y
X
P
1
1
x
y
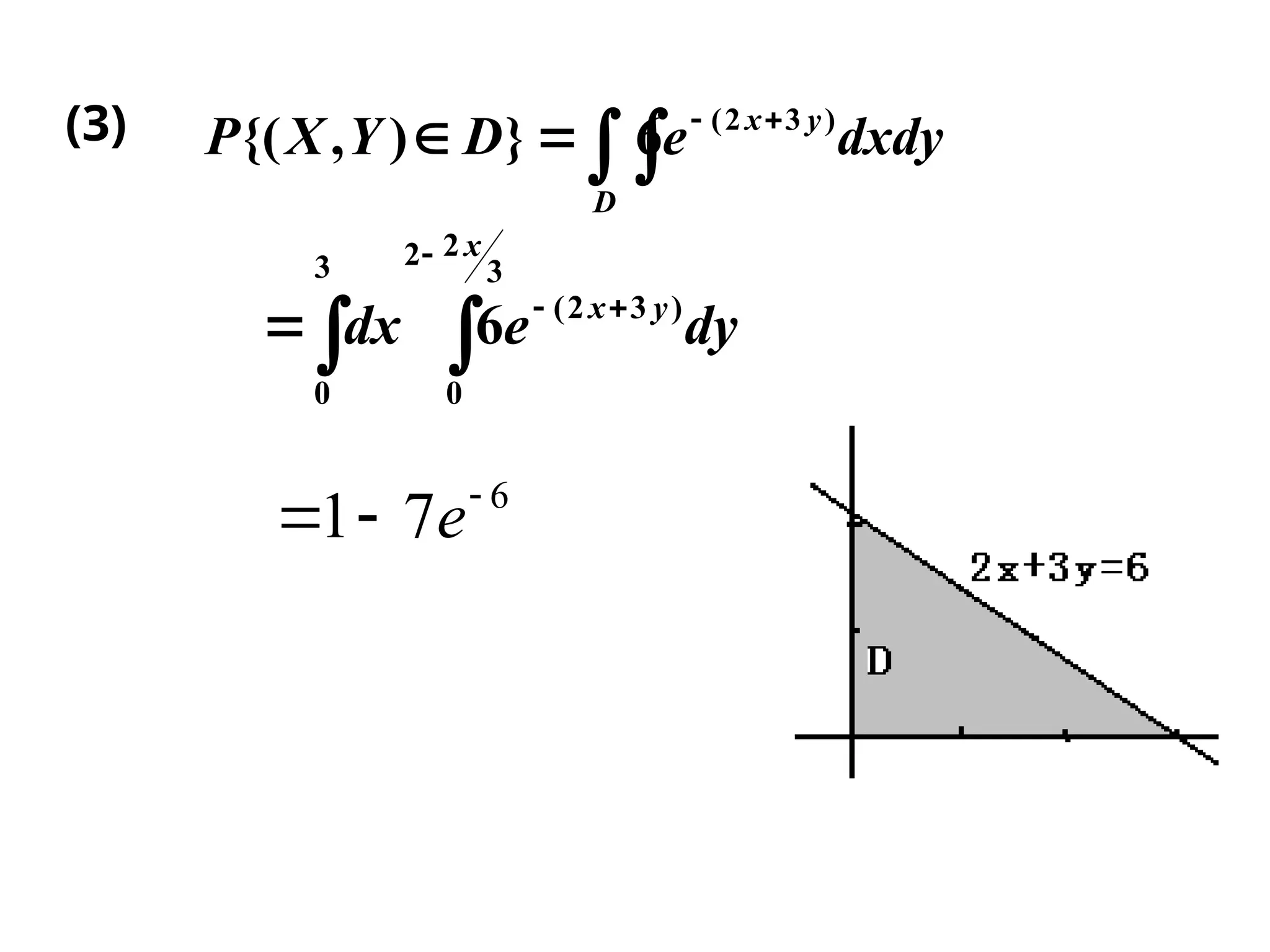
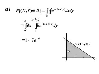
Find (1)the value of A ;
(2) the value of F(1,1) ;
(3) the probability of (X, Y) stand in
region D : x0, y0, 2X+3y6


 




cases
other
for
,
0
0
,
0
,
)
,
(
~
)
,
(
)
3
2
(
y
x
Ae
y
x
f
Y
X
y
x
Answer (1) Since
6

 A









1
0
1
0
3
2
)
3
2
(
)
1
)(
1
(
6
)
1
,
1
(
)
2
( e
e
dxdy
e
F y
x
1
1
   
 
  
- -
-(2x+3y)
0 0
f(x, y)dxdy = Ae dxdy = 1
(3)
 




3
0
3
2
2
0
)
3
2
(
6 dy
e
dx
x
y
x
6
7
1 

 e
dxdy
e
D
Y
X
P
D
y
x




 )
3
2
(
6
}
)
,
{(
Operations on random vectors
Lecture 05 Random Vector 02.pptKHsiBBIBSJBSJBJSB
Lecture 05 Random Vector 02.pptKHsiBBIBSJBSJBJSB

Lecture 05 Random Vector 02.pptKHsiBBIBSJBSJBJSB

  • 1.
    Multivariate Random Variables Multivariaterandom variable or Random vector is a list of mathematical variables each of whose value is unknown, Either because the value has not yet occurred or because there is imperfect knowledge of its value. The individual variables in a random vector are grouped together because they are all part of a single mathematical system — often they represent different properties of an individual statistical unit
  • 2.
    1.n-dimensional variables n randomvariables X1 , X2 , ...,Xn compose a n- dimensional vector (X1,X2,...,Xn), and the vector is named n-dimensional variables or random vector. 2. Joint distribution of random vector Define function F(x1,x2,…xn)= P(X1≤x1,X2 ≤ x2,...,Xn ≤ xn) the joint distribution function of random vector (X1,X2,...,Xn). Two-Dimensional Random Variables
  • 3.
    Definition Let (X,Y) be 2-dimensional random variables. Define F(x,y) = P{Xx, Yy} the bivariate cdf of (X, Y) . The Joint cdf for Two random variables     0 0 , , , y y x x y x       Geometric interpretation : the value of F( x, y) assume the probability that the random points belong to area in dark
  • 4.
    For (x1, y1),(x2, y2)R2 , (x1< x2 , y1<y2 ), then P{x1<X x2 , y1<Yy2 } = F(x2, y2) - F(x1, y2) - F (x2, y1) + F (x1, y1). (x1, y1) (x2, y2) (x2, y1) (x1, y2)
  • 5.
    1 x 2 x 3 x 1 y 2 y 3 y Supposethat the joint cdf of (X,Y) is F(x,y), find the probability that (X,Y) stands in area G . Answer 2 1 3 3 2 3 3 1 1 2 2 3 1 3 2 2 {( , ) } [ ( , ) ( , ) ( , ) ( , )] [ ( , ) ( , ) ( , ) ( , )] P X Y G F x y F x y F x y F x y F x y F x y F x y F x y          L
  • 6.
    Joint distribution F(x,y) has the following characteristics: 0 ) , ( lim ) , (         y x F F y x 1 ) , ( lim ) , (         y x F F y x 0 ) , ( lim ) , (      y x F y F x 0 ) , ( lim ) , (      y x F x F y (1) For all (x, y) R2 , 0 F(x, y)  1,
  • 7.
    (2) Monotonically increment forany fixed y R, x1<x2 yields F(x1, y)  F(x2 , y) ; for any fixed x R, y1<y2 yields F(x, y1)  F(x , y2). ); y , x ( F ) y , x ( F lim ) y , 0 x ( F 0 x x 0 0      ). y , x ( F ) y , x ( F lim ) 0 y , x ( F 0 y y 0 0      (3) right continuous for xR, yR,
  • 8.
    (4) for all(x1, y1), (x2, y2)R2 , (x1< x2 , y1<y2 ), F(x2, y2) - F(x1, y2) - F (x2, y1) + F (x1, y1)0. Conversely, any real-valued function satisfied the aforementioned 4 characteristics must be a joint distribution function of 2-dimensional variables.
  • 9.
    Example 1. Letthe joint distribution of (X,Y) is )] 3 ( )][ 2 ( [ ) , ( y arctg C x arctg B A y x F    1) Find the value of A , B , C 。 2) Find P{0<X<2,0<Y<3} Answer 1 ] 2 ][ 2 [ ) , (         C B A F 0 )] 3 ( ][ 2 [ ) , (      y arctg C B A y F  0 ] 2 )][ 2 ( [ ) , (       C x arctg B A x F 2 1 2       A C B 16 1 ) 0 , 2 ( ) 3 , 0 ( ) 3 , 2 ( ) 0 , 0 ( } 3 0 , 2 0 {          F F F F Y X P
  • 10.
    Discrete joint distribution Ifboth x and y are discrete random variable, then,(X, Y) take values in (xi, yj), (i, j = 1, 2, … ), it is said that X and Y have a discrete joint distribution . Definition The joint distribution is defined to be a function such that for any points (xi, yj), P{X = xi, Y = yj,} = pij , (i, j = 1, 2, … ). That is (X, Y) ~ P{X = xi, Y = yj,} = pij , (i, j = 1, 2, …
  • 11.
    X Y y 1 y 2 … y j … p11p12 ... P1j ... p21 p22 ... P2j ... pi1 pi2 ... Pij ... .. . ... ... ... ... ... .. . .. . Characteristics of joint distribution : (1) pij 0 , i, j = 1, 2, … ; (2) 1 1 1 =     i j ij p x1 x2 xi The joint distribution can also be specified in the following table
  • 12.
    Example 2. Supposethat there are two red balls and three white balls in a bag, catch one ball from the bag twice without put back, and define X and Y as follows:         ball white is put second the 0 ball red is put second the 1 ball white is put first the 0 ball red is put first the 1 Y X Please find the joint pmf of (X,Y) X Y 1 0 1 0 10 1 10 3 10 3 10 3 2 5 2 2 } 1 , 1 { P P Y X P    2 5 3 2 } 0 , 1 { P Y X P     2 5 2 3 } 1 , 0 { P Y X P     2 5 2 3 } 0 , 0 { P P Y X P   
  • 13.
    Continuous joint distributionsand density functions 1. It is said that two random variables (X, Y) have a continuous joint distribution if there exists a nonnegative function f (x, y) such that for all (x, y)R2 , the distribution function satisfies       x y dudv v u f y x F , ) , ( ) , ( and denote it with (X, Y) ~ f (x, y) , (x, y)R2
  • 14.
    2. characteristics off(x, y) (1) f (x, y)0, (x, y)R2 ; (2) ); , ( ) , ( 2 y x f y x y x F     (3) ( , ) 1; f x y dxdy       - - (4) For any region G R2 ,    G dxdy y x f G Y X P . ) , ( } ) , {(
  • 15.
  • 16.
    Find (1)the valueof A ; (2) the value of F(1,1) ; (3) the probability of (X, Y) stand in region D : x0, y0, 2X+3y6         cases other for , 0 0 , 0 , ) , ( ~ ) , ( ) 3 2 ( y x Ae y x f Y X y x Answer (1) Since 6   A          1 0 1 0 3 2 ) 3 2 ( ) 1 )( 1 ( 6 ) 1 , 1 ( ) 2 ( e e dxdy e F y x 1 1          - - -(2x+3y) 0 0 f(x, y)dxdy = Ae dxdy = 1
  • 17.
    (3)       3 0 3 2 2 0 ) 3 2 ( 6 dy e dx x y x 6 7 1   e dxdy e D Y X P D y x      ) 3 2 ( 6 } ) , {(
  • 18.