Recommended
PDF
PDF
PDF
PDF
CM 1.0 geometry2 MrG 20110913 - sage
PPTX
PDF
Chu de hinh hoc giai tich trong mat phang
PDF
CM 1.3a MrG Functions, Domain, Range
PPTX
PDF
Sakhtoman dadeha 90-91 - nimsal 1 -F1notes.ir
PPT
6.2 the indefinite integral
PPTX
6.5 & 6.6 & 6.9 the definite integral and the fundemental theorem of calculus...
PPT
6.1 & 6.4 an overview of the area problem area
PPTX
PDF
Kuiz 8 - aze - riyaziyyat - 9 sinif (i-iv)
DOC
Inm si impa nr reale rep prin lit
PDF
PPT
PDF
DOC
DOC
PDF
PDF
Tổng hợp hình cầu truonghocso.com
PDF
PDF
DOCX
DOCX
DOCX
Sjkt rpt matematik tahun 3 shared by murugan manikam
DOC
DOCX
PDF
More Related Content
PDF
PDF
PDF
PDF
CM 1.0 geometry2 MrG 20110913 - sage
PPTX
PDF
Chu de hinh hoc giai tich trong mat phang
PDF
CM 1.3a MrG Functions, Domain, Range
PPTX
What's hot
PDF
Sakhtoman dadeha 90-91 - nimsal 1 -F1notes.ir
PPT
6.2 the indefinite integral
PPTX
6.5 & 6.6 & 6.9 the definite integral and the fundemental theorem of calculus...
PPT
6.1 & 6.4 an overview of the area problem area
PPTX
PDF
Kuiz 8 - aze - riyaziyyat - 9 sinif (i-iv)
DOC
Inm si impa nr reale rep prin lit
PDF
PPT
PDF
DOC
DOC
PDF
PDF
Tổng hợp hình cầu truonghocso.com
PDF
PDF
More from Arun Narayanan
DOCX
DOCX
DOCX
Sjkt rpt matematik tahun 3 shared by murugan manikam
DOC
DOCX
PDF
DOC
49181321 rancangan-tahunan-olahraga
PPT
201109230909292. guru sbg profesional
PDF
Iklan tbbk dg32 tahun 2014
DOCX
Kalkulus bahagian a n b 1. BAHAGIANA
1)
I. Imej untuk b : { p,q}
II. Objek untuk p :{a,b}
III. Domain f :{a,b,c}
IV. Julat f :{p,q,r}
V. Jenis hubungan :Banyak kepada Satu
2) Fungsipolynomial berdarjah juga dikenali sebagai fungsikubik.
3)
𝑓(𝑥) =
1
x2−9
𝑓(𝑥) =
1
x2−32
𝑓(𝑥) =
1
(x+3)(x−3)
(x+3)(x-3)≠0
X=-3
X=3
4)
(a) domain f = 2x +1 ≥ 0
= 2x+1 ≥ -1
= 2 ≥ −
1
2
Df = {x|x£ R,x ≥ -
1
2
}
2. (b)
Julat f=y =√2𝑥 + 1
𝑦2
= 2𝑥 + 1
2x+1 =𝑦2
X= 𝑦2−1
2
x≥ −
1
2
−
1
2
=
𝑦2−1
2
-1=𝑦2
− 1
𝑦 ≥ 0
Jf = {𝑦|𝑦 ∈ 𝑅, 𝑦 ≥ 0}
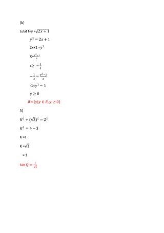
5)
𝐾2
+ (√3)2
= 22
𝐾2
= 4 − 3
K =1
K =√1
= 1
tan 𝑄 =
1
√3
3. BAHAGIANB
1(a)
F([
2
3
] = 2 [−
2
3
] + 3
= −
4
3
+ 3
= −
4+9
3
= -
5
3
(b)
2𝑘 + 3 = 𝑥
2𝑘 = 𝑥 − 3
𝑘 =
x−3
2
𝑓−1
(𝑥) =
x−3
2
(c)
𝑘 =
𝑘−3
2
𝑘 =
2−3
2
𝑘 = −
1
2
𝑓−1
(2) = −
1
2
4. 2)
𝑓𝑔( 𝑥) = 𝑓(10𝑥 − 12)
= −7(10𝑥 − 12) − 5
= −70𝑥 + 84 − 5
= −70𝑥 + 79
3)
( 𝑥)1𝑥 − 2| + 2
𝑥 − 2 ≥ 0
𝑥 ≥ 0
𝐽𝑓 {𝑥 ∈ 𝑅, 𝑓(𝑥) ≥ 3}
4)
𝑥 → 1 → (1 + 2)3
(12
− 6)
(27)(−5)
−135
6. 7)
𝑐(2) + 7 = 𝑐(22) − 5
2(2) + 7 = 4𝑐 − 5
7 + 5 = 4𝑐 − 2𝑐
12 = 2𝑐
𝑐 =
12
2
𝑐 = 6