Embed presentation
Download to read offline

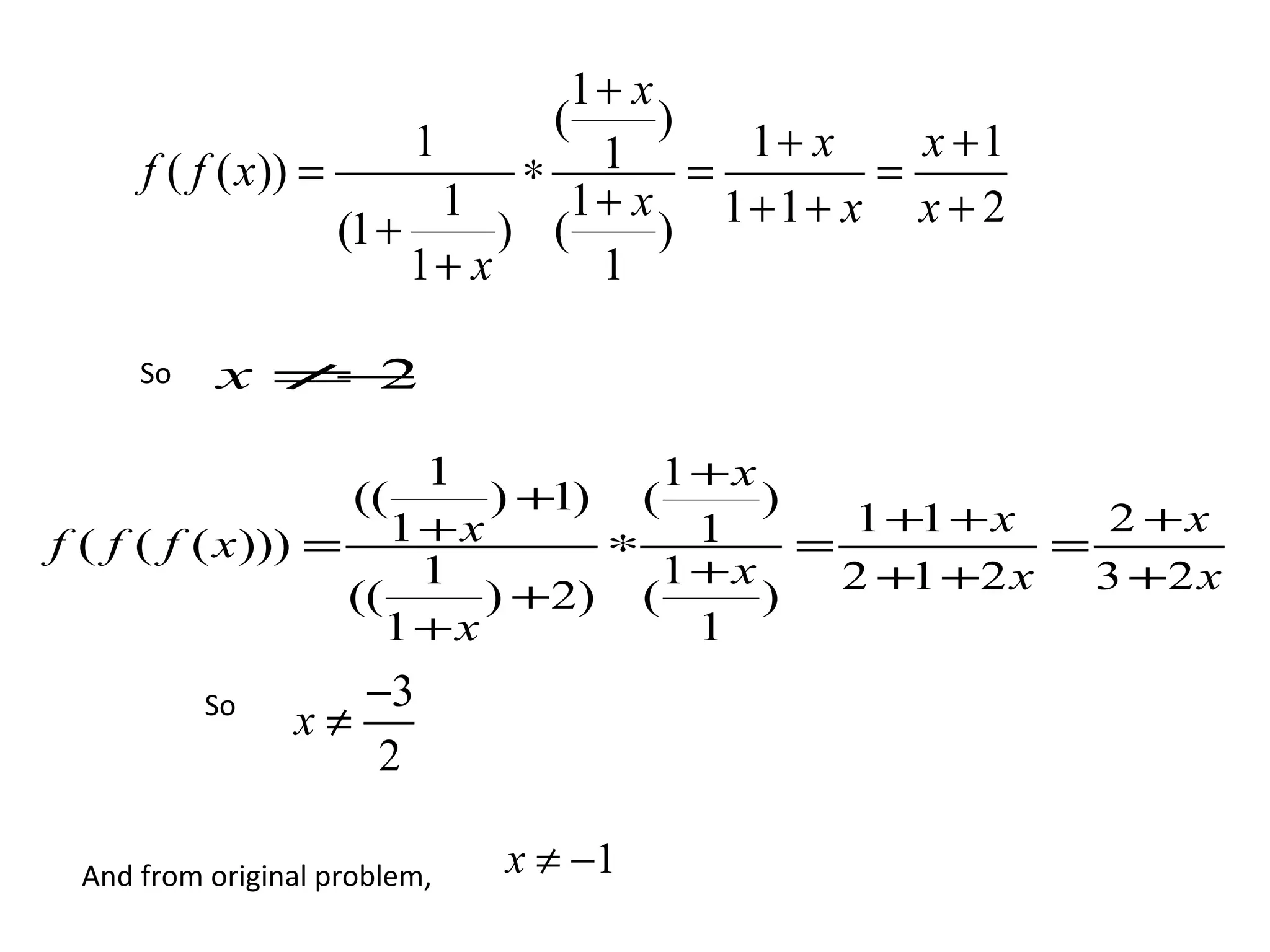
The document defines the function f(f(x)) and shows that it equals x+1. It then defines f(f(f(x))) and shows that it equals 3+2x. It concludes that for these functions to be defined, x cannot equal -1 or 2.
