&KHHGTGPV #RRTQCEJ VQ +PHQTOCVKQP 6GEJPQNQI[ 6GCEJKPI VJG +PVGNNKIGPV 5[UVGOU %QWTUG 
:
KHHGTGPV #RRTQCEJ VQ +PHQTOCVKQP 6GEJPQNQI[ 
6GCEJKPI VJG +PVGNNKIGPV 5[UVGOU %QWTUG
$QD 0DGHYVND %RJGDQRYD DQG 1HYHQD $FNRYVND
8QLYHUVLW 6WV ULO DQG 0HWKRGLXV
)DFXOW RI 1DWXUDO VFLHQFHV DQG 0DWKHPDWLFV
,QVWLWXWH RI ,QIRUPDWLFV
0DFHGRQLD
 +PVTQFWEVKQP
7KH FXUULFXOXP RI RPSXWHU 6FLHQFH PRGXOH DW RXU LQVWLWXWH DWWUDFWV VWXGHQWV ZLWK EURDGHU
PDWKHPDWLFDO EDFNJURXQG ZKR DUH HDJHU WR OHDUQ VRPHWKLQJ PRUH DQG GLIIHUHQW 7KLV
PRGXOH FRQVLVWV PDLQO RI VXEMHFWV WKDW DUH FRQFHUQHG ZLWK SUREOHP VROYLQJ PDWKHPDWLFDO
DOJRULWKPLF
ZLWK WKH DLG RI SURFHGXUDO DQG 2EMHFW2ULHQWHG 3URJUDPPLQJ SDUDGLJPV
+RZHYHU WKHUH DUH SUREOHPV WKDW FDQ·W EH VROYHG E WKH DIRUHPHQWLRQHG WHFKQLTXHV :KHQ
ZH FRQIURQW WKH VWXGHQWV ZLWK D SUREOHP RI SDWWHUQ UHFRJQLWLRQ RU SUHGLFWLRQ UHSUHVHQWHG E
D VWDFN RI GDWD ZLWK QR PDWKHPDWLFDO RU VWDWLVWLFDO PRGHO GHVFULELQJ LW WKH UHDOL]H WKDW
¶SURFHGXUDO· WKLQNLQJ ZLOO OHDG WR QR VXFFHVV 7KH PD WU WR GR VRPH VWDWLVWLFDO PRGHOLQJ
XVLQJ FRPPRQ VWDWLVWLFDO DQDOVLV EXW ZKHQ WKH FRPSDUH WKRVH UHVXOWV ZLWK WKH UHVXOWV
REWDLQHG ZLWK D VXLWDEOH OHDUQLQJ PHWKRG WKH XQGHUVWDQG WKDW WKH VROXWLRQ LV QRW DOZDV LQ
D VHW RI LQVWUXFWLRQV SURFHGXUHV RU FODVVHV DQG REMHFWV
6R D EHWWHU DSSURDFK LV WR XVH D
¶OHDUQLQJ PDFKLQH· DQG VHH KRZ LW ZRUNV RQ D SDUWLFXODU SUREOHP
7KH UHDO OLIH SUREOHPV XVXDOO DUH VROYHG E ILQGLQJ D JRRG DQVZHU ZKHQ WKH SHUIHFW DQVZHU
LV QRW SRVVLEOH WR REWDLQ 7KLV OLQH RI WKLQNLQJ ZDV QRW RIIHUHG E WKH XQGHUJUDGXDWH FRXUVHV
LQ WKH ,QVWLWXWH RI ,QIRUPDWLFV EHIRUH  7KLV JDYH XV WKH LGHD WR GHVLJQ WKH ,QWHOOLJHQW
6VWHPV FRXUVH ZKLFK VKRXOG HQDEOH VWXGHQWV WR UHFHLYH DQRWKHU YLHZSRLQW IRU VROYLQJ
FRPSOH[ SUREOHPV
7R H[SODLQ KRZ ZH PDQDJHG WR RUJDQL]H WKLV SDUWLFXODU FRXUVH ZH VWUXFWXUHG WKLV FKDSWHU LQ
 SDUWV LQFOXGLQJ WKLV LQWURGXFWRU SDUW :H EHJLQ RXU HODERUDWLRQ ZLWK WKH FRXUVH
GHVFULSWLRQ LQ SDUW  ZKHUH ZH GHVFULEH WKH FRXUVH RUJDQL]DWLRQ DQG LWV NH FRPSRQHQWV LQ
SDUWLFXODU ,Q SDUW  ZH HODERUDWH WKH PHWKRGRORJ XVHG LQ WKLV FRXUVH ,Q SDUW  ZH UHIHU WR
WKH RXWFRPHV DQG LQ SDUW  ZH GHVFULEH IXWXUH GHYHORSPHQW RI WKH ,QWHOOLJHQW 6VWHPV
FRXUVH 7KH FRQFOXVLRQV DUH JLYHQ LQ SDUW 
 %QWTUG FGUETKRVKQP
7KH ,QWHOOLJHQW 6VWHPV ,6
FRXUVH LV RUJDQL]HG LQ WZR SDUWV WKHRUHWLFDO SDUW ZLWK  FODVVHV
SHU ZHHN DQG H[HUFLVH SDUW ZLWK  FODVVHV SHU ZHHN ,W LV FDUULHG RXW LQ DQ RYHUYLHZ IDVKLRQ
6GEJPQNQI[ 'FWECVKQP CPF GXGNQROGPV
ZKHUH  PDLQ SDUWV DUH LQWURGXFHG 0DFKLQH /HDUQLQJ 3DWWHUQ 5HFRJQLWLRQ
'DWD 0LQLQJ
%LRLQIRUPDWLFV DQG 5RERWLFV (YHU HDU ZH H[SORUH WKH FKLHI XSWRGDWH GHYHORSPHQWV LQ
WKH DERYH PHQWLRQHG WRSLFV (YHU QHZ JHQHUDWLRQ GHDOV ZLWK D QHZ VHW RI H[HUFLVHV LH WKH
QHZ KRW SUREOHPV 0DGHYVND%RJGDQRYD $FNRYVND
7KH WHDFKLQJ PDWHULDO LV UHFUXLWHG IURP GLIIHUHQW VRXUFHV ² WH[WERRNV MRXUQDO SDSHUV
FRQIHUHQFH SDSHUV ZHE SDJHV ZLWK KLJK OHYHO RI FUHGLELOLW HWF 7H[WERRNV DUH XVHG LQ
XQGHUVWDQGLQJ WKH WKHRUHWLFDO EDFNJURXQG RI WKH RIIHUHG WRSLFV PDWKHPDWLFV VWDWLVWLFV
%DHVLDQ PRGHOV QXPHULFDO RSWLPL]DWLRQ«
-RXUQDOV DQG FRQIHUHQFH PDWHULDOV DUH
FRQVLGHUHG ZKHQ H[SODLQLQJ WKH ODWHVW DFKLHYHPHQWV LQ SDWWHUQ UHFRJQLWLRQ LQ %LRLQIRUPDWLFV
JHQH SURPRWRU UHFRJQLWLRQ
'DWD 0LQLQJ GLVFRYHULQJ QHZ NQRZOHGJH LQ JLYHQ GDWD VHWV
DQG 5RERWLFV :H DOVR XVH RSHQ VRXUFH VRIWZDUH VXSSRUW )RU WKH 0DFKLQH /HDUQLQJ
WHFKQLTXHV ZH XVH 690 OLJKW 7KRUVWHQ

In tech different-approach_to_information_technology_teaching_the_intelligent_systems_course

  • 1.
    &KHHGTGPV #RRTQCEJ VQ+PHQTOCVKQP 6GEJPQNQI[ 6GCEJKPI VJG +PVGNNKIGPV 5[UVGOU %QWTUG : KHHGTGPV #RRTQCEJ VQ +PHQTOCVKQP 6GEJPQNQI[ 6GCEJKPI VJG +PVGNNKIGPV 5[UVGOU %QWTUG $QD 0DGHYVND %RJGDQRYD DQG 1HYHQD $FNRYVND 8QLYHUVLW 6WV ULO DQG 0HWKRGLXV )DFXOW RI 1DWXUDO VFLHQFHV DQG 0DWKHPDWLFV ,QVWLWXWH RI ,QIRUPDWLFV 0DFHGRQLD +PVTQFWEVKQP 7KH FXUULFXOXP RI RPSXWHU 6FLHQFH PRGXOH DW RXU LQVWLWXWH DWWUDFWV VWXGHQWV ZLWK EURDGHU PDWKHPDWLFDO EDFNJURXQG ZKR DUH HDJHU WR OHDUQ VRPHWKLQJ PRUH DQG GLIIHUHQW 7KLV PRGXOH FRQVLVWV PDLQO RI VXEMHFWV WKDW DUH FRQFHUQHG ZLWK SUREOHP VROYLQJ PDWKHPDWLFDO DOJRULWKPLF
  • 2.
    ZLWK WKH DLGRI SURFHGXUDO DQG 2EMHFW2ULHQWHG 3URJUDPPLQJ SDUDGLJPV +RZHYHU WKHUH DUH SUREOHPV WKDW FDQ·W EH VROYHG E WKH DIRUHPHQWLRQHG WHFKQLTXHV :KHQ ZH FRQIURQW WKH VWXGHQWV ZLWK D SUREOHP RI SDWWHUQ UHFRJQLWLRQ RU SUHGLFWLRQ UHSUHVHQWHG E D VWDFN RI GDWD ZLWK QR PDWKHPDWLFDO RU VWDWLVWLFDO PRGHO GHVFULELQJ LW WKH UHDOL]H WKDW ¶SURFHGXUDO· WKLQNLQJ ZLOO OHDG WR QR VXFFHVV 7KH PD WU WR GR VRPH VWDWLVWLFDO PRGHOLQJ XVLQJ FRPPRQ VWDWLVWLFDO DQDOVLV EXW ZKHQ WKH FRPSDUH WKRVH UHVXOWV ZLWK WKH UHVXOWV REWDLQHG ZLWK D VXLWDEOH OHDUQLQJ PHWKRG WKH XQGHUVWDQG WKDW WKH VROXWLRQ LV QRW DOZDV LQ D VHW RI LQVWUXFWLRQV SURFHGXUHV RU FODVVHV DQG REMHFWV
  • 3.
    6R D EHWWHUDSSURDFK LV WR XVH D ¶OHDUQLQJ PDFKLQH· DQG VHH KRZ LW ZRUNV RQ D SDUWLFXODU SUREOHP 7KH UHDO OLIH SUREOHPV XVXDOO DUH VROYHG E ILQGLQJ D JRRG DQVZHU ZKHQ WKH SHUIHFW DQVZHU LV QRW SRVVLEOH WR REWDLQ 7KLV OLQH RI WKLQNLQJ ZDV QRW RIIHUHG E WKH XQGHUJUDGXDWH FRXUVHV LQ WKH ,QVWLWXWH RI ,QIRUPDWLFV EHIRUH 7KLV JDYH XV WKH LGHD WR GHVLJQ WKH ,QWHOOLJHQW 6VWHPV FRXUVH ZKLFK VKRXOG HQDEOH VWXGHQWV WR UHFHLYH DQRWKHU YLHZSRLQW IRU VROYLQJ FRPSOH[ SUREOHPV 7R H[SODLQ KRZ ZH PDQDJHG WR RUJDQL]H WKLV SDUWLFXODU FRXUVH ZH VWUXFWXUHG WKLV FKDSWHU LQ SDUWV LQFOXGLQJ WKLV LQWURGXFWRU SDUW :H EHJLQ RXU HODERUDWLRQ ZLWK WKH FRXUVH GHVFULSWLRQ LQ SDUW ZKHUH ZH GHVFULEH WKH FRXUVH RUJDQL]DWLRQ DQG LWV NH FRPSRQHQWV LQ SDUWLFXODU ,Q SDUW ZH HODERUDWH WKH PHWKRGRORJ XVHG LQ WKLV FRXUVH ,Q SDUW ZH UHIHU WR WKH RXWFRPHV DQG LQ SDUW ZH GHVFULEH IXWXUH GHYHORSPHQW RI WKH ,QWHOOLJHQW 6VWHPV FRXUVH 7KH FRQFOXVLRQV DUH JLYHQ LQ SDUW %QWTUG FGUETKRVKQP 7KH ,QWHOOLJHQW 6VWHPV ,6
  • 4.
    FRXUVH LV RUJDQL]HGLQ WZR SDUWV WKHRUHWLFDO SDUW ZLWK FODVVHV SHU ZHHN DQG H[HUFLVH SDUW ZLWK FODVVHV SHU ZHHN ,W LV FDUULHG RXW LQ DQ RYHUYLHZ IDVKLRQ
  • 5.
    6GEJPQNQI[ 'FWECVKQP CPFGXGNQROGPV ZKHUH PDLQ SDUWV DUH LQWURGXFHG 0DFKLQH /HDUQLQJ 3DWWHUQ 5HFRJQLWLRQ
  • 6.
    'DWD 0LQLQJ %LRLQIRUPDWLFV DQG5RERWLFV (YHU HDU ZH H[SORUH WKH FKLHI XSWRGDWH GHYHORSPHQWV LQ WKH DERYH PHQWLRQHG WRSLFV (YHU QHZ JHQHUDWLRQ GHDOV ZLWK D QHZ VHW RI H[HUFLVHV LH WKH QHZ KRW SUREOHPV 0DGHYVND%RJGDQRYD $FNRYVND
  • 7.
    7KH WHDFKLQJ PDWHULDOLV UHFUXLWHG IURP GLIIHUHQW VRXUFHV ² WH[WERRNV MRXUQDO SDSHUV FRQIHUHQFH SDSHUV ZHE SDJHV ZLWK KLJK OHYHO RI FUHGLELOLW HWF 7H[WERRNV DUH XVHG LQ XQGHUVWDQGLQJ WKH WKHRUHWLFDO EDFNJURXQG RI WKH RIIHUHG WRSLFV PDWKHPDWLFV VWDWLVWLFV %DHVLDQ PRGHOV QXPHULFDO RSWLPL]DWLRQ«
  • 8.
    -RXUQDOV DQG FRQIHUHQFHPDWHULDOV DUH FRQVLGHUHG ZKHQ H[SODLQLQJ WKH ODWHVW DFKLHYHPHQWV LQ SDWWHUQ UHFRJQLWLRQ LQ %LRLQIRUPDWLFV JHQH SURPRWRU UHFRJQLWLRQ
  • 9.
    'DWD 0LQLQJ GLVFRYHULQJQHZ NQRZOHGJH LQ JLYHQ GDWD VHWV
  • 10.
    DQG 5RERWLFV :HDOVR XVH RSHQ VRXUFH VRIWZDUH VXSSRUW )RU WKH 0DFKLQH /HDUQLQJ WHFKQLTXHV ZH XVH 690 OLJKW 7KRUVWHQ
  • 11.
    DQG :HND 7KH8QLYHUVLW RI :DLNDWR
  • 12.
    IRU 'DWD 0LQLQJ'LIIHUHQW ZHE VRXUFHV DUH XVHG IRU JDWKHULQJ PDWHULDO IURP UHDO OLIH SDWWHUQ UHFRJQLWLRQ SUREOHPV RU GLIIHUHQW EHQFKPDUN VHWV :H DOVR H[SORLW GDWD VHW PDWHULDOV IURP RQJRLQJ RU SDVW SURMHFWV IURP WKH (XURSHDQ RU 86$ ,QVWLWXWLRQV WKDW ZH FROODERUDWH ZLWK 7KH FRXUVH LV GHVLJQHG WR LQYROYH WKH VWXGHQWV LQ WKH SURFHVV RI EXLOGLQJ VVWHPV IRU VROYLQJ GLIIHUHQW NLQGV RI SUREOHPV ,Q WKH H[HUFLVH SDUW RI WKH ,6 FRXUVH HDFK VWXGHQW KDV KLVKHU RZQ FRS RI WKH VLPXODWRU RQ WKH ODERUDWRU 3V 7KH VWXGHQWV JR WKURXJK WKH GDWD VHW RQ WKHLU RZQ RU LQ VPDOOHU JURXSV GHSHQGLQJ RI WKH PDJQLWXGH RI WKH SUREOHP 6RPH RI WKH H[HUFLVHV FRQWDLQ SURJUDPPLQJ WDVNV DERXW VROYLQJ SUREOHPV RI WKH GLIIHUHQW WRSLFV ,Q WKH VHTXHO ZH VKDOO HODERUDWH WKH PDLQ FRQVWLWXHQW SDUWV RI WKH ,6 FRXUVH /CEJKPG .GCTPKPI 7KH ILUVW SDUW RI WKH FRXUVH LV DERXW WKH 0DFKLQH /HDUQLQJ 0/
  • 13.
    WHFKQLTXHV 0DFKLQH /HDUQLQJ XVXDOOUHIHUV WR WKH FKDQJHV LQ VVWHPV WKDW SHUIRUP WDVNV WDNHQ IURP $UWLILFLDO ,QWHOOLJHQFH :H WHDFK RXU VWXGHQWV WKDW WKH PDFKLQH FDQ ¶OHDUQ· OLNH WKH OLYLQJ FUHDWXUHV GR ² ZKHQ WKH HQYLURQPHQW FKDQJHV LWV VWUXFWXUH RU LQSXW GDWD 6XFK WDVNV LQYROYH UHFRJQLWLRQ GLDJQRVLV SODQQLQJ URERW FRQWURO DQGRU SUHGLFWLRQ RPSXWHU 6FLHQFH VWXGHQWV ZLWK WKHLU VROLG PDWKHPDWLFDO EDFNJURXQG IRU WKH ILUVW WLPH LQ WKLV PRGXOH XQGHUVWDQG WKH SRWHQWLDO RI WKH PDWKHPDWLFDO GLVFLSOLQHV VXFK DV QXPHULF RSWLPL]DWLRQ VWDWLVWLFV YHFWRU VSDFHV HWF ZKHQ XVHG IRU VROYLQJ SUDFWLFDO SUREOHPV :H WHDFK 0/ WHFKQLTXHV PDLQO IRU GHDOLQJ ZLWK WKH SDWWHUQ UHFRJQLWLRQ SUREOHPV :H XVH $UWLILFLDO 1HXUDO 1HWZRUNV %LVKRS
  • 14.
    DQG 6XSSRUW 9HFWRU0DFKLQHV %XUJHV
  • 15.
    ,W VHHPV WR EHHQOLJKWHQLQJ IRU WKH VWXGHQWV WR XQGHUVWDQG WKH RWKHU QRQVWDQGDUG ZDV RI GHDOLQJ ZLWK SDWWHUQ UHFRJQLWLRQ LVVXHV 7KH DUH FRQIURQWHG ZLWK SUREOHPV IURP VFLHQFH PHGLFLQH OLQJXLVWLFV WUDGLQJ HWF 7KH DUH WDXJKW WR REVHUYH WKH VLPLODULWLHV VSUHDG DFURVV WKLV GLYHUVH VHW RI SUREOHPV UHSUHVHQWDWLRQ RI WKH GDWD
  • 16.
    2Q WKH RWKHUKDQG WKH DUH GLUHFWHG WR XQGHUVWDQG WKH GLIIHUHQFHV EHWZHHQ WKH SUREOHPV WKDW OHDG WR GLIIHUHQW ZDV RI GHDOLQJ ZLWK WKRVH SUREOHPV DGMXVWLQJ WKH SDUDPHWHUV LQ WKH 0/ WHFKQLTXHV
  • 17.
    7KH SHUIRUPDQFHV RI WKHJLYHQ WDVNV LQ WKH DERYH PHQWLRQHG DUHDV XVLQJ 0/ WHFKQLTXHV DUH PXFK KLJKHU FRPSDUHG WR WKH VWDQGDUG VWDWLVWLFDO SURFHGXUHV XVHG RYHU WKH VDPH SUREOHPV 0/ WHFKQLTXHV DUH DOVR JRRG VWDUWLQJ SRLQWV IRU GHDOLQJ ZLWK WKH 'DWD 0LQLQJ SDUW LQWURGXFHG ODWHU LQ WKH FRXUVH 7KHUH DUH WZR JRRG UHDVRQV WR XVH WKH 0/ DSSDUDWXV ZH FDQ VLPXODWH KRZ KXPDQV OHDUQ EXW WKHUH LV DOVR WKH HQJLQHHULQJ YLHZSRLQW FRQFHUQLQJ WKLV LVVXH KRZ WR GHDO ZLWK D KXJH
  • 18.
    KHHGTGPV #RRTQCEJ VQ+PHQTOCVKQP 6GEJPQNQI[ 6GCEJKPI VJG +PVGNNKIGPV 5[UVGOU %QWTUG DPRXQW RI GDWD LQ RUGHU WR REWDLQ QHZ LQIRUPDWLRQ ZKHQ ZH GRQ·W KDYH DQ PDWKHPDWLFDO PRGHO IRU FUHDWLQJ D VVWHP WKDW SUHGLFWV WKH IXWXUH EHKDYLRU RI WKLV VHW RI GDWD 3UDFWLFDO SDUW ,Q RUGHU WR SUDFWLFDOO LOOXVWUDWH WKH 0/ WHFKQLTXHV IRU WKH FODVVLILFDWLRQ SUREOHP ZH XVH D VLPXODWRU IRU D 690 FODVVLILFDWRU (DFK VWXGHQW LV JLYHQ D GDWD VHW IRU D FHUWDLQ SUREOHP UHFRJQLWLRQ RI SURPRWHUV LQ $UDELGRSVLV 7KDOLDQD UHFRJQLWLRQ RI PLWRFKRQGULDO VHTXHQFHV FODVVLILFDWLRQ RI XULQDU FDOFXOL RYDULDQ FDQFHU SUREOHP
  • 19.
    7KH GDWD VHWV RIWKH PHQWLRQHG SUREOHPV DUH UHDO GDWD GHULYHG IURP UHDO OLIH SUREOHPV 7KH VWXGHQWV DUH GLYLGHG LQ JURXSV RI WZR DSSURDFKLQJ RQH RI WKH SUREOHPV ZLWK GLIIHUHQW 690 SDUDPHWHUV .HUQHO IXQFWLRQ DQG WKH DSSURSULDWH SDUDPHWHUV
  • 20.
    7KH GDWD DUHZHOO SUHSDUHG SUHSURFHVVHG VR WKH FDQ DFFRPSOLVK WKH WDVN E WKH HQG RI WKH FODVV (DFK JURXS SUHVHQWV LWV UHVXOWV DQG WKH EHVW UHVXOWV DUH GLVFXVVHG 7KH VWXGHQWV GUDZ VRPH FRQFOXVLRQV DERXW WKH FRQQHFWLRQ RI WKH FKRVHQ SDUDPHWHUV ZLWK WKH SUREOHP $KQKPHQTOCVKEU 7KH VHFRQG SDUW RI WKH ,QWHOOLJHQW 6VWHP FRXUVH LV %LRLQIRUPDWLFV 2XU VWXGHQWV ZKR SRVVHVV VRXQG PDWKHPDWLFDO EDFNJURXQG FDQ ILQG D JUHDW FKDOOHQJH LQ XVLQJ PDWKHPDWLFV DQG LQIRUPDWLFV WRROV LQ GLVFRYHULQJ PHDQLQJIXO VHTXHQFHV LQ WKH JHQHWLF PDWHULDO 0DGHYVND%RJGDQRYD 1LNROLN
  • 21.
  • 22.
    7KHUH DUH PDQ ZDVWR DSSURDFK WKH SUREOHP RI XQGHUVWDQGLQJ WKH SURFHVVHV LQ WKH ELRORJLFDO FHOO )RU WKH SXUSRVHV RI WKH ,QWHOOLJHQW 6VWHPV FRXUVH ZH DUH PDLQO FRQFHUQHG ZLWK WKH EDVLF VWULQJ SURFHVVLQJ DVSHFWV RI '1$ DQG 51$ 7KH PRGHOLQJ RI WKH JHQHWLFV SURFHVVHV LV GRQH XVLQJ WKH OLQJXLVWLF DSSURDFK %R]LQRYVNL HW DO
  • 23.
    'HILQLQJ WKH WHUPVELRLQIRUPDWLFV DQG FRPSXWDWLRQDO ELRORJ LV QRW QHFHVVDULO DQ HDV WDVN RPSXWDWLRQDO ELRORJ DQG ELRLQIRUPDWLFV DUH PXOWLGLVFLSOLQDU ILHOGV LQYROYLQJ UHVHDUFKHUV IURP GLIIHUHQW DUHDV RI VSHFLDOW ,Q RUGHU WR EH D JRRG ELRLQIRUPDWLFLDQ LW LV LPSRUWDQW IRU WKH VWXGHQWV WR XQGHUVWDQG WKH WHUPLQRORJ DQG EDVLF SURFHVVHV EHKLQG WKH ELRORJLFDO SUREOHPV %URZQ
  • 24.
    0DQ LQWHUHVWLQJ SUREOHPVDULVH RXW RI VHTXHQFH DQDOVLV 7KHUH DUH WZR GLIIHUHQW WSHV RI ELRORJLFDO VHTXHQFHV VWXGLHG LQ WKLV FODVV '1$51$ DQG DPLQR DFLGV SURWHLQV
  • 25.
  • 26.
  • 27.
    ,W LV LPSRUWDQWIRU WKH VWXGHQWV WR XQGHUVWDQG WKDW E VWULQJLQJ WRJHWKHU D VLPSOH DOSKDEHW RI IRXU FKDUDFWHUV WRJHWKHU ZH FDQ JHW HQRXJK LQIRUPDWLRQ WR FUHDWH D FRPSOH[ RUJDQLVP $FNRYVND 0DGHYVND%RJGDQRYD
  • 28.
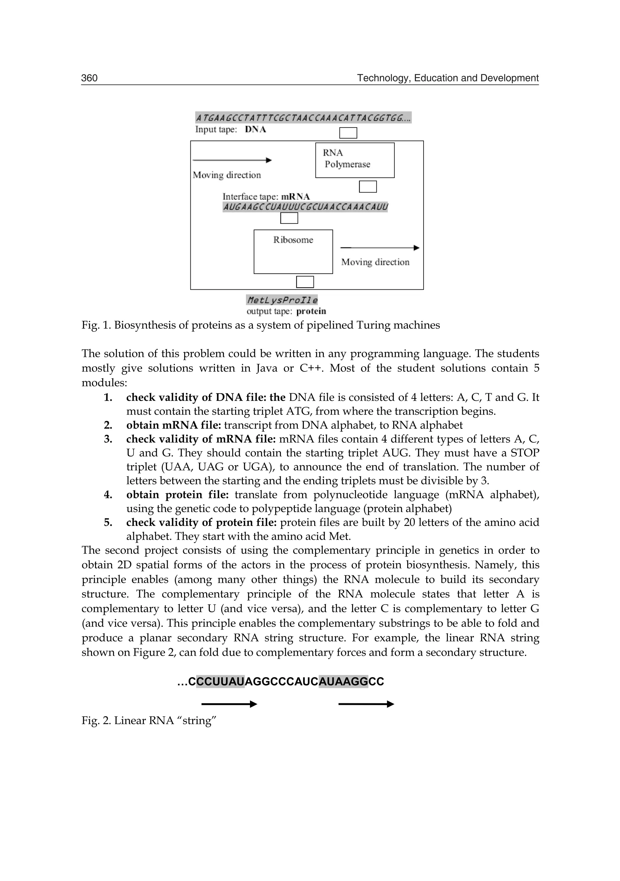
    3UDFWLFDO SDUW 6LQFHWKH OLQJXLVWLF YLHZSRLQW RI JHQHWLFV SURFHVVHV LV YHU QDWXUDO IRU FRPSXWHU DQDOVLV ZH XVH LW IRU PRGHOLQJ LQ WKH VWXGHQW SURMHFWV 7KH VWXGHQWV DUH VXSSRVHG WR VROYH WKUHH WSHV RI SUREOHPV 7KH ILUVW SUREOHP LV WR EXLOG D SURJUDP PRGXOH WKDW VKRXOG VLPXODWH WKH ELRVQWKHVLV RI SURWHLQV 7KH ZKROH SURFHVV KDV D '1$ VWULQJ DV DQ LQSXW DQG VKRXOG REWDLQ D SURWHLQ DV DQ RXWSXW $V )LJXUH VKRZV WKH SURFHVV LV PRGHOHG E WZR SLSHOLQHG 7XULQJ PDFKLQHV %R]LQRYVNL HW DO
  • 29.
  • 30.
    7KH ILUVW RQH LVUXQQLQJ WKH SURFHVV RI WUDQVFULSWLRQ JLYHQ DQ LQSXW '1$ WDSH SURGXFH DQ RXWSXW P51$ WDSH 7KH VHFRQG 7XULQJ PDFKLQH LV UXQQLQJ WKH SURFHVV RI WUDQVODWLRQ JLYHQ DQ LQSXW P51$ WDSH REWDLQ WKH SROSHSWLGH
  • 31.
    6GEJPQNQI[ 'FWECVKQP CPFGXGNQROGPV )LJ %LRVQWKHVLV RI SURWHLQV DV D VVWHP RI SLSHOLQHG 7XULQJ PDFKLQHV 7KH VROXWLRQ RI WKLV SUREOHP FRXOG EH ZULWWHQ LQ DQ SURJUDPPLQJ ODQJXDJH 7KH VWXGHQWV PRVWO JLYH VROXWLRQV ZULWWHQ LQ -DYD RU 0RVW RI WKH VWXGHQW VROXWLRQV FRQWDLQ PRGXOHV FKHFN YDOLGLW RI '1$ ILOH WKH '1$ ILOH LV FRQVLVWHG RI OHWWHUV $ 7 DQG * ,W PXVW FRQWDLQ WKH VWDUWLQJ WULSOHW $7* IURP ZKHUH WKH WUDQVFULSWLRQ EHJLQV REWDLQ P51$ ILOH WUDQVFULSW IURP '1$ DOSKDEHW WR 51$ DOSKDEHW FKHFN YDOLGLW RI P51$ ILOH P51$ ILOHV FRQWDLQ GLIIHUHQW WSHV RI OHWWHUV $ 8 DQG * 7KH VKRXOG FRQWDLQ WKH VWDUWLQJ WULSOHW $8* 7KH PXVW KDYH D 6723 WULSOHW 8$$ 8$* RU 8*$
  • 32.
    WR DQQRXQFH WKHHQG RI WUDQVODWLRQ 7KH QXPEHU RI OHWWHUV EHWZHHQ WKH VWDUWLQJ DQG WKH HQGLQJ WULSOHWV PXVW EH GLYLVLEOH E REWDLQ SURWHLQ ILOH WUDQVODWH IURP SROQXFOHRWLGH ODQJXDJH P51$ DOSKDEHW
  • 33.
    XVLQJ WKH JHQHWLFFRGH WR SROSHSWLGH ODQJXDJH SURWHLQ DOSKDEHW
  • 34.
    FKHFN YDOLGLW RISURWHLQ ILOH SURWHLQ ILOHV DUH EXLOW E OHWWHUV RI WKH DPLQR DFLG DOSKDEHW 7KH VWDUW ZLWK WKH DPLQR DFLG 0HW 7KH VHFRQG SURMHFW FRQVLVWV RI XVLQJ WKH FRPSOHPHQWDU SULQFLSOH LQ JHQHWLFV LQ RUGHU WR REWDLQ ' VSDWLDO IRUPV RI WKH DFWRUV LQ WKH SURFHVV RI SURWHLQ ELRVQWKHVLV 1DPHO WKLV SULQFLSOH HQDEOHV DPRQJ PDQ RWKHU WKLQJV
  • 35.
    WKH 51$ PROHFXOHWR EXLOG LWV VHFRQGDU VWUXFWXUH 7KH FRPSOHPHQWDU SULQFLSOH RI WKH 51$ PROHFXOH VWDWHV WKDW OHWWHU $ LV FRPSOHPHQWDU WR OHWWHU 8 DQG YLFH YHUVD
  • 36.
    DQG WKH OHWWHU LV FRPSOHPHQWDU WR OHWWHU * DQG YLFH YHUVD
  • 37.
    7KLV SULQFLSOH HQDEOHVWKH FRPSOHPHQWDU VXEVWULQJV WR EH DEOH WR IROG DQG SURGXFH D SODQDU VHFRQGDU 51$ VWULQJ VWUXFWXUH )RU H[DPSOH WKH OLQHDU 51$ VWULQJ VKRZQ RQ )LJXUH FDQ IROG GXH WR FRPSOHPHQWDU IRUFHV DQG IRUP D VHFRQGDU VWUXFWXUH )LJ /LQHDU 51$ ´VWULQJµ «88$8$**$8$8$$**
  • 38.
    KHHGTGPV #RRTQCEJ VQ+PHQTOCVKQP 6GEJPQNQI[ 6GCEJKPI VJG +PVGNNKIGPV 5[UVGOU %QWTUG $IWHU WKH IROGLQJ RI WKH VWULQJ JLYHQ RQ )LJXUH ZH REWDLQ D QHZ VWUXFWXUH NQRZQ DV VWHP ORRS JLYHQ RQ )LJXUH )LJ )ROGHG 51$ ´VWULQJµ GXH WR WKH FRPSOHPHQWDU SULQFLSOH 7KLV LV XVHG WR GHILQH WKH VHFRQG VWXGHQW SURMHFW 1DPHO WKH WDVN LV WR ILQG ZKHWKHU WKH 51$ VWUXFWXUH FRXOG EH IROGHG WR LWV VHFRQGDU IRUP RU QRW ,I VR WKH VWXGHQWV DUH VXSSRVHG WR ORFDWH WKH VXEVWULQJV RQ ZKLFK WKH FRPSOHPHQWDU SULQFLSOH FRXOG SRVVLEO EH XVHG )RU WKLV WDVN PRVW RI WKH VWXGHQWV XVH WKH SUHYLRXVO FRQVWUXFWHG PRGXOH WKDW FKHFNV WKH YDOLGLW RI WKH 51$ VWULQJ ILUVW DQG WKHQ FUHDWH D QHZ PRGXOH WKDW ILQGV VXEVWULQJ FDQGLGDWHV 7KH WKLUG SURMHFW FRQVLVWV RI ILQGLQJ P51$ FDQGLGDWHV IRU DQ JLYHQ SURWHLQ $FWXDOO LW FRQVLVWV RI FUHDWLQJ D IXQFWLRQ WKDW FDOFXODWHV WKH ´LQYHUVH *HQHWLF RGHµ JLYHQ WKH DPLQR DFLG VHTXHQFH FDOFXODWH D SRVVLEOH P51$ VHTXHQFH 7KH GLYHUVLW RI P51$ VHTXHQFHV WKDW OHDGV WR WKH VDPH SURWHLQ VHTXHQFH DURXVHG GLVFXVVLRQV WKDW OLIH KDV PRUH WKDQ RQH VROXWLRQ IRU WKH SRWHQWLDO WKUHDWV IRU WKH VXUYLYDO RI WKH RUJDQLVP 4QDQVKEU 5RERWLFV IRU HGXFDWLRQDO SXUSRVHV EHFDPH YHU SRSXODU LQ WKH SUHYLRXV HDUV $OPRVW HYHU FXUULFXOXP RI RPSXWHU VFLHQFH KDV DQ DGYDQFHG URERWLFV FRXUVH ,W LV EHFRPLQJ VR SRSXODU WKDW PDQ VWXGHQW URERWLFV FRPSHWLWLRQV DUH EHLQJ KHOG ZRUOGZLGH 7KH URERWLFV SDUW RI WKH ,QWHOOLJHQW 6VWHPV FRXUVH WHDFKHV VWXGHQWV WR GHDO ZLWK WKH FRQVWUDLQWV RI WKH UHDO ZRUOG 7KH RWKHU VXEMHFWV LQ WKHLU FXUULFXOD DUH PDLQO FRYHULQJ VRIWZDUH SUREOHPV 3URJUDPPLQJ 2SHUDWLQJ 6VWHPV DQG 6VWHP 6RIWZDUH
  • 39.
    6LQFH WKH FXUULFXODRQ WKH ,QVWLWXWH RI ,QIRUPDWLFV LV SULPDULO EDVHG RQ VRIWZDUH WHFKQLTXHV WKH NQRZOHGJH JDLQHG ZKHQ GHDOLQJ ZLWK KDUGZDUH LV D XQLTXH RSSRUWXQLW IRU RXU VWXGHQWV WR JDLQ DSWLWXGH LQ FUHDWLQJ HPEHGGHG VRIWZDUH IRU UHDO OLIH DSSOLFDWLRQV ,Q WKLV SDUW RI WKH ,6 FRXUVH VWXGHQWV HQFRXQWHU WKH SUREOHPV RI PDVV JUDYLWDWLRQ SDUW DVVHPEO HWF 7KH UHDOL]H WKDW WKH WKHRUHWLFDO DOJRULWKPV WKDW DUH XVHG WR VROYH UHDO PRYHPHQW QHHG WR EH WXQHG LQ RUGHU WR ZRUN IRU SKVLFDO PDWWHU 3UDFWLFDO SDUW 7KH DSSURDFK WKDW ZH DUH IROORZLQJ LQ WKH SUDFWLFDO SDUW LQFOXGHV IRUZDUG DQG LQYHUVH NLQHPDWLFV YHORFLW NLQHPDWLFV YLVLRQ DQG PDQLSXODWLRQ DQG ELRORJLFDO LQSXW DV URERW LQSXW :H DUH SURXG WR VD WKDW WKLV DSSURDFK VHHPV WR EH YHU XS WR GDWH DQG DFFHSWHG LQ GLIIHUHQW XQLYHUVLWLHV :RRG
  • 40.
    )RU WKH QHHGVRI WKLV FRXUVH ZH XVHG WKH /Q[ URERWLF DUP GHVLJQHG E /Q[PRWLRQ ,QF /Q[
  • 41.
    7KH EDVLF LGHDEHKLQG WKHVH SURMHFWV LV WR HPEHG WKH VRIWZDUH EDVHG RQ VHQVRU LQSXWV YRLFH DQG YLGHR
  • 42.
    LQ PRYHPHQW RIWKH URERW DUP /Q[ 7KH SURMHFWV FUHDWHG LQFOXGH FKHVV SODLQJ
  • 43.
    6GEJPQNQI[ 'FWECVKQP CPFGXGNQROGPV )LJXUH
  • 44.
    YLGHR PRWLRQ GHWHFWLRQVRXQG IRUFHG PRYHPHQW URERW GDQFLQJ HWF :H DOVR LQWURGXFH RXU VWXGHQWV WR WKH URERWLFV DSSOLFDWLRQV LQ PHGLFLQH HVSHFLDOO WR WKH %UDLQ5RERW ,QWHUIDFH SDUDGLJP LQ ZKLFK UHFRJQLWLRQ RI DQ DQWLFLSDWRU EUDLQ SRWHQWLDO LV DFNQRZOHGJHG DQG UHDFWHG WR E D URERW DUP PRYHPHQW )LJ KHVV SODLQJ XVLQJ WKH URERW DUP /Q[ CVC /KPKPI / $QRWKHU SDUW WKDW LV RIIHUHG LQ WKLV FRXUVH HW RQ D VPDOOHU VFDOH LV 'DWD 0LQLQJ 7KH VWXGHQWV DUH YHU LQWHUHVWHG WR XQGHUVWDQG WKH PDLQ SULQFLSOHV LQ NQRZOHGJH GLVFRYHULQJ LQ GDWDEDVHV VHOHFWLRQ RI GDWD SUHSURFHVVLQJ WUDQVIRUPDWLRQ GDWD PLQLQJ LQWHUSUHWDWLRQ HYDOXDWLRQ DQG ILQDOO GLVFRYHULQJ QHZ NQRZOHGJH ,W LV LQWULJXLQJ IRU WKH VWXGHQWV WR REVHUYH WKH GLIIHUHQFHV EHWZHHQ WKH GDWD EDVH TXHULHV DQG VHDUFKLQJ GDWD EDVHV IRU QHZ NQRZOHGJH DQG DOVR WR XQGHUVWDQG WKH GLIIHUHQFH EHWZHHQ 0DFKLQH /HDUQLQJ DQG 'DWD 0LQLQJ %UDPHU
  • 45.
    7KH VWXGHQWV DUHDFFXVWRPHG WR ZRUN LQ ´ODERUDWRU HQYLURQPHQWµ FOHDQ GDWD EDVHV ZLWK NQRZQ IHDWXUHV RI WKH LQSXW YHFWRUV QR GXSOLFDWHV LQ WUDLQLQJ RU WHVW GDWD VHW
  • 46.
    :KHQ WKH DUHFRQIURQWHG ZLWK WKH UHDO ZRUOG SUREOHPV ZKLFK LQFOXGH QRLVH DQG XQVWUXFWXUHG GDWD WKH VWXGHQWV XQGHUVWDQG WKH ZKROH SURFHVV RI JDLQLQJ QHZ NQRZOHGJH ZKHUH 'DWD 0LQLQJ DOJRULWKPV WDNH WKH FHQWUDO SODFH :H FRQVLGHU H[DPSOHV IURP D ELJ PRELOH FRPSDQ FXVWRPHU FKXUQ
  • 47.
    DQG GDWD IURPXVWRPHU 5HODWLRQVKLS 0DQDJHPHQW $OVR ZH FRQVLGHU PRUH VFLHQWLILF SUREOHPV OLNH H[SORULQJ WKH ZHE ORJV ZKHUH WKH JDLQHG NQRZOHGJH LV SUHGLFWLQJ WKH QH[W FDVK DGGUHVV RU SHUVRQDOL]DWLRQ LQ RIIHULQJ ZHE DGGUHVVHV LQ WKH SHUVRQ·V FDFKH 3UDFWLFDO SDUW :H RIIHU WKH VWXGHQWV WZR DSSURDFKHV FRQFHUQLQJ 'DWD 0LQLQJ )LUVW ZH XVH WKH RSHQ VRXUFH SDFNDJH :HND ZKHUH GLIIHUHQW 0/ WHFKQLTXHV DUH XVHG LQ VROYLQJ VHYHUDO WR SUREOHPV 7KH VWXGHQWV FDQ XQGHUVWDQG WKH SRZHU RI WKH QRQVWDQGDUG 0/ WHFKQLTXHV LQ GLVFRYHULQJ FRPPRQ IHDWXUHV LQ ODUJH DPRXQWV RI GDWD 7KH VWXGHQWV EHFRPH DZDUH RI WKH LPSRUWDQFH RI WKH SUHSURFHVVLQJ VWDJH 7KH GDWD IRU WKH SUREOHPV WKDW VWXGHQWV GHDO ZLWK KDYH D UDZ IRUPDW LH WKH DUH DOSKDQXPHULFDO ZLWK QRLVH 6HFRQG ZH LOOXVWUDWH WKH XVH RI DVVRFLDWLYH UXOHV DV RQH RI WKH VWXGLHG '0 WHFKQLTXHV :H XVH D FXVWRPHU VXUYH WR GHFLGH KRZ WR RSWLPL]H WKH FRQILJXUDWLRQ RI D EHDXW VWRUH LQ RUGHU WR DFKLHYH PD[LPXP SURILW
  • 48.
    KHHGTGPV #RRTQCEJ VQ+PHQTOCVKQP 6GEJPQNQI[ 6GCEJKPI VJG +PVGNNKIGPV 5[UVGOU %QWTUG /GVJQFQNQI[ HQT VGCEJKPI VJG +PVGNNKIGPV 5[UVGOU 5HJDUGOHVV RI WKH WRSLF 0DFKLQH /HDUQLQJ %LRLQIRUPDWLFV 'DWD 0LQLQJ 5RERWLFV
  • 49.
    WKH PDLQ DSSURDFK LHWKH PHWKRGRORJ LV WR FRQIURQW WKH VWXGHQWV ZLWK D SUREOHP SDWWHUQ UHFRJQLWLRQ SUHGLFWLRQ
  • 50.
    DQG WR SURSRVHDQ XQFRQYHQWLRQDO ZD RI VROYLQJ LW :H XVH WKH ¶WRROV· RI DFWLYH DQG FUHDWLYH WHDFKLQJ SXWWLQJ WKH VWXGHQW LQ WKH FHQWHU RI WKH OHFWXUH 8VXDOO WKH OHFWXUH WLPH LV GLYLGHG LQ PDLQ SDUWV ² HYRFDWLRQ SUHVHQWDWLRQ RI WKH FXUUHQW WRSLF DQG UHIOHFWLRQ 7KH HYRFDWLRQ SDUW LV LQ WKH EHJLQQLQJ RI WKH OHFWXUH ZKHUH ZH H[SORUH WKH SUHYLRXV NQRZOHGJH DERXW WKH FXUUHQW WRSLF 7KH VWXGHQWV· VWURQJ PDWKHPDWLFDO EDFNJURXQG LV YHU LPSRUWDQW DW WKLV SRLQW 7KLV ZD WKH VWXGHQWV EHFRPH DZDUH RI WKH FRQQHFWLRQ EHWZHHQ WKH IRUPDO PDWKHPDWLFDO WKHRU DQG WKH UHDOOLIH SUREOHPV DQG WKH DUH HQFRXUDJHG WR WKLQN RI WKH EHVW ZD WR VROYH WKHP 6RPHWLPHV LQ WKH HYRFDWLRQ SDUW ZH XVH WKH PHWKRGLFDO WHFKQLTXH RI ZULWLQJ GRZQ WKH SUHNQRZOHGJH RI WKH FXUUHQW WRSLF DQG ZH ZULWH WKH NH SRLQWV RQ WKH ERDUG VR HYHURQH FDQ UHDG DQG HYHQWXDOO OHDUQ VRPHWKLQJ QHZ ,Q WKH QH[W SDUW RI WKH OHFWXUH ² SUHVHQWDWLRQ RI WKH FXUUHQW WRSLF ZH SUHVHQW WKH FKRVHQ SUREOHP WR WKH VWXGHQWV ZLWKLQ WKHVH WKUHH VWHSV )LUVW VWHS ² ZH LQWURGXFH WKH FKRVHQ SUREOHP VSHFLILF IRU WKH FHUWDLQ SDUW RI WKH FRXUVH ,W LV UHSUHVHQWHG ZLWK D GDWD VHW ; DQG PDWFKLQJ ODEHO VHW `^ `^ Q P Q ; ƒŽ[[
  • 51.
    ZKHUH [ [ [Q DUH YHFWRUV UHSUHVHQWLQJ HDFK GDWD ZLWK P IHDWXUHV DQG Q DUH WKH FRUUHVSRQGLQJ ODEHOV GHSHQGLQJ RQ ZKLFK FODVV WKH LQSXW YHFWRU EHORQJV WR 6HFRQG VWHS ² VWXGHQWV WKLQN DERXW WKH SUREOHP GLVFXVV DERXW WKH VL]H RI WKH GDWD VHW WKH SRVVLELOLWLHV RI GDWD UHSUHVHQWDWLRQ 0/ %LRLQIRUPDWLFV '0 5RERWLFV
  • 52.
    DQG WKLQN DERXW VROYLQJLW LQ WKH WUDGLWLRQDO ZD GHYHORSLQJ DOJRULWKP XVLQJ VWDWLVWLFDO SURFHGXUHV
  • 53.
    $W WKLV SRLQW ZHGLVFXVV KRZ WR REWDLQ WKH WUDLQWHVW GDWD VHW :H HPSKDVL]H WKH PHDQLQJ RI WKH SUHSURFHVVLQJ SDUW DQG JUDGXDOO PRYH WRZDUG WKH VXLWDEOH ZD RI SUHVHQWLQJ WKH GDWD IRU WKH PHWKRG WKDW LV LQWURGXFHG LQ WKH QH[W VWHSV 7KLUG VWHS ² ZH VXJJHVW PHWKRGV EODFNER[ WHFKQLTXHV GDWD PLQLQJ PHWKRGV GQDPLF SURJUDPPLQJ IRU %LRLQIRUPDWLFV VLJQDO SURFHVVLQJ
  • 54.
    WKDW DUH VXLWDEOHIRU VROYLQJ WKH SUREOHP DQG H[SODLQ WKH DOJRULWKPV LH WKH ZD WKH ZRUN 7KLV LV DFWXDOO WKH QHZ PDWHULDO WKDW ZDV SODQQHG WR EH LQWURGXFHG WR WKH VWXGHQWV IRU WKH FXUUHQW SDUW RI WKH FRXUVH E SUHVHQWLQJ LWV WKHRUHWLFDO EDFNJURXQG KLVWRU RI LWV GHYHORSPHQW DQG SRVVLEOH YDULDWLRQV RI WKH PHWKRG 6RPHWLPHV LI DSSURSULDWH ZH H[SODLQ WKH WRSLF XVLQJ HGXFDWLRQDO PRYLHV RU DQLPDWLRQV WKDW ZHUH SUHYLRXVO SURJUDPPHG ,Q WKH UHIOHFWLRQ SDUW RI WKH OHFWXUH ZH REWDLQ WKH PDLQ FRQFOXVLRQV DERXW WKH VXEMHFW DW KDQG :H FRQFOXGH WKH OHVVRQ E XVLQJ GLIIHUHQW PHWKRGLFDO WHFKQLTXHV 8VXDOO WKHUH DUH VRPH FKDUWV RU WDEOHV ZKHUH ZH SUHVHQW WKH VXFFHVV RI WKH QHZ PHWKRG FRPSDUHG WR WKH RWKHU NQRZQ PHWKRGV XVHG RQ WKH VDPH EHQFKPDUN GDWD VHWV ,W LV YHU LPSRUWDQW IRU WKH VWXGHQWV WR XQGHUVWDQG WKH SURSHU ZD RI SUHVHQWLQJ WKH UHVXOW RI WKH JLYHQ PHWKRG LH SHUFHQWDJH RI FRUUHFW SRVLWLYHQHJDWLYH SHUFHQWDJH RI IDOVH SRVLWLYHQHJDWLYH H[DPSOHV RI WKH WHVW GDWD
  • 55.
    6GEJPQNQI[ 'FWECVKQP CPFGXGNQROGPV 7KH WKHRUHWLFDOO H[SODLQHG PHWKRGV DUH SUDFWLFDOO GHPRQVWUDWHG RQ WKH H[HUFLVHV FODVVHV 7KH XVH RI WKH PHWKRGV LV SHUIRUPHG ZLWK WKH DSSURSULDWH VLPXODWLRQ VRIWZDUH XVLQJ UHDO OLIH GDWD VHWV RU NQRZQ EHQFKPDUN GDWD VHWV IRU WKH JLYHQ SUREOHP 6WXGHQWV JHW WKH LQVLJKW RI GDWD SUHSURFHVVLQJ SUHSDULQJ WKH WUDLQLQJWHVWLQJ GDWD VHWV IURP WKH SXEOLF GDWDEDVHV 'HDOLQJ ZLWK WKH GLIILFXOWLHV FRQVLGHULQJ WKH SXEOLF GDWD UHSRVLWRULHV LV YHU LPSRUWDQW EHFDXVH GDWD FDQ FRQWDLQ QRLVH GXH WR WKH ZURQJ LQWHUSUHWDWLRQ RI H[SHULPHQWV LQFRUUHFW KDQGOLQJ DQG VWRUDJH )RU H[DPSOH LQ ELRORJLFDO GDWD EDVHV UHGXQGDQF LV D ELJ SUREOHP PDQ HQWULHV LQ SURWHLQ RU JHQRPLF GDWDEDVHV DUH PHPEHUV RI SURWHLQ DQG JHQH IDPLOLHV WKDW DUH YHUVLRQV RI KRPRORJRXV JHQHV IRXQG LQ GLIIHUHQW RUJDQLVPV $OVR WKH VWXGHQWV DQDO]H DQG LQWHUSUHW WKH UHVXOWV RI WKH PHWKRG SRVWSURFHVVLQJ
  • 56.
    ,W VHHPV WKDWDW WKLV SRLQW DIWHU SUDFWLFDOO JRLQJ WKURXJK WKH SUREOHP PRVW RI WKH VWXGHQWV GHYHORS H[WHQGHG LQWHUHVW DERXW WKH VXEMHFW 2TGUGPVCVKQP QH VJG QWVEQOGU (DFK HDU JHQHUDWLRQV E
  • 57.
    WKH EHVW VWXGHQWVLQ WKH JHQHUDWLRQ KDYH DWWHQGHG WKH FRXUVH ,QWHOOLJHQW 6VWHPV 7KH GHYHORS LQWHUHVW LQ GLIIHUHQW SDUWV FRYHUHG E WKH FRXUVH $W WKH HQG RI WKH FRXUVH WKH VWXGHQWV FKRRVH WKH WRSLF WKH OLNHG WKH PRVW DQG SURGXFH D SDSHU DQ HVVD
  • 58.
    7KLV HQDEOHV XVWR VHH ZKLFK WRSLF ZDV WKH PRVW LQWULJXLQJ IRU WKH VWXGHQWV DQG HQDEOHV XV WR LPSURYH WKH FRXUVH FRQWHQWV ,W LV QRW XQXVXDO WKHVH HVVDV WR EHFRPH VWDUWLQJ SRLQWV IRU WKHLU GLSORPD WKHVHV ODWHU RQ 7KH VWDWLVWLFV VKRZV JURZLQJ VWXGHQW LQWHUHVW IRU WKHVH DUHDV RI RPSXWHU 6FLHQFH DQG PDQ RI RXU VWXGHQWV GHFLGH WR WDNH 0DVWHU DQG 3K' WKHVHV LQ ,QWHOOLJHQW 6VWHPV 0DQ RI RXU VWXGHQWV DUH QRZ UHVHDUFKHUV LQ GLIIHUHQW 8QLYHUVLWLHV DQG 5HVHDUFK ,QVWLWXWHV DEURDG 2QH RI WKH PRVW VLJQLILFDQW UHVXOWV ZDV WKH RUJDQL]DWLRQ RI D VSHFLDO WRSLF ZRUNVKRS QDPHG ´,QWHOOLJHQW VVWHPV ² %LRORJLFDO DSSURDFKµ $FNRYVND 0DGHYVND%RJGDQRYD
  • 59.
    ZKHUH VFLHQWLVWV RIGLIIHUHQW DUHDV ZHUH SUHVHQWLQJ WKHLU ZRUN 7KLV ZRUNVKRS ZDV D FKDQFH IRU RXU VWXGHQWV WR SUHVHQW WKHLU RZQ DFKLHYHPHQWV LQ GLIIHUHQW WRSLFV VWXGLHG ZKLOH WDNLQJ WKH ,QWHOOLJHQW 6VWHPV FRXUVH 7KHUH DUH PDQ UHTXHVWV IRU RXU VWXGHQWV DV OHDGHUV LQ WKH FKDOOHQJLQJ GHYHORSPHQW SURMHFWV LQ WKH ,7 ,QGXVWU 0DQ ,7 FRPSDQLHV LQ 0DFHGRQLD PDNH VSHFLDO UHTXHVWV IRU WKH VWXGHQWV WKDW WRRN WKLV VSHFLILF
  • 60.
    VXEMHFW DV DSDUW RI WKHLU GHJUHH 6LQFH WKLV FRXUVH RIIHUV D ZLGH DUHD RI WRSLFV ZKLFK DUH KDQGOHG E GLIIHUHQW SURJUDPPLQJ WHFKQLTXHV WKH VWXGHQWV ZKR WDNH WKLV FRXUVH DUH DEOH WR FRSH ZLWK GLIIHUHQW DQG YHU FKDOOHQJLQJ SURJUDPPLQJ SUREOHPV LQ WKHLU ZRUN HQYLURQPHQW 0DQ RI WKHP DUH DOUHDG LQ PDQDJLQJ SRVLWLRQV RU DUH OHDGHUV RI 5HVHDUFK DQG 'HYHORSPHQW WHDPV LQ WKH 0DFHGRQLDQ ,7 RPSDQLHV $OVR D JUHDW GHDO RI RXU VWXGHQWV LV DOUHDG ZRUNLQJ LQ UHVHDUFK DUHDV LQ ZHOO NQRZQ IRUHLJQ FRPSDQLHV VXFK DV 3KLOLSV 1RNLD 6LHPHQV DQG PDQ PRUH 'XQNWVKQP QH VJG +5 EQWTUG CPF (WVWTG FGXGNQROGPVU 7KH VWXGHQW LQWHUHVW LQ VRPH RI WKH FRXUVH WRSLFV OHDG XV WR DQ LGHD RI GHYHORSPHQW RI QHZ HOHFWLYH FRXUVHV LQ 'DWD PLQLQJ %LRLQIRUPDWLFV DQG 5RERWLFV IRU WKH VWXGHQWV RI ,QVWLWXWH RI ,QIRUPDWLFV DQG WKH FRXUVH RI '1$ 3URJUDPPLQJ IRU WKH VWXGHQWV RI ,QVWLWXWH RI 0DWKHPDWLFV DW WKH )DFXOW RI 1DWXUDO 6FLHQFHV DQG 0DWKHPDWLFV
  • 61.
    KHHGTGPV #RRTQCEJ VQ+PHQTOCVKQP 6GEJPQNQI[ 6GCEJKPI VJG +PVGNNKIGPV 5[UVGOU %QWTUG 7KH FRXUVHV LQ 'DWD 0LQLQJ DQG 5RERWLFV DUH DOUHDG RIIHUHG DV HOHFWLYH FRXUVHV DW WKH ,QVWLWXWH RI ,QIRUPDWLFV 7KH FRXUVH LQ 'DWD 0LQLQJ LV DQ H[WHQGHG YHUVLRQ RI WKH '0 SDUW RI WKH ,QWHOOLJHQW 6VWHPV FRXUVH 7KH VWXGHQWV OHDUQ WKH ZKROH SURFHVV RI GLVFRYHULQJ QHZ NQRZOHGJH IURP D JLYHQ GDWD VHW E OHDUQLQJ DERXW VHYHUDO '0 DOJRULWKPV IRU ODVVLILFDWLRQ DQG 3UHGLFWLRQ 7UHH LQGXFWLRQ %DHVLDQ ODVVLILFDWLRQ /LQHDU DQG 0XOWLSOH 5HJUHVVLRQ NQHDUHVW QHLJKERUV
  • 62.
    DQG OXVWHU $QDOVLV 3DUWLWLRQLQJ+LHUDWLFDO 0HWKRGV DQG 0RGHO%DVHG OXVWHULQJ 0HWKRGV
  • 63.
    $OVR 'DWD :DUHKRXVLQJLV D SDUW RI WKLV FRXUVH 7KH JURZLQJ VWXGHQW LQWHUHVW IRU WKH 5RERWLFV SDUW RI WKH ,QWHOOLJHQW 6VWHPV FRXUVH OHDG WR WKH GHYHORSPHQW RI D QHZ 5RERWLFV ODE LQ RXU ,QVWLWXWH RI ,QIRUPDWLFV 0RVW RI WKH VWXGHQWV WDNLQJ WKH FRXUVH LQ ,QWHOOLJHQW 6VWHPV DUH UHJXODU VWXGHQW UHVHDUFKHUV RI WKH 5RERWLFV ODE 7KH QHZO FRQVWLWXWHG 5RERWLFV FRXUVH WHDFKHV WKH RPSXWHU 6FLHQFH VWXGHQWV DERXW WKH EDVLFV RI 5RERWLFV 7KLV FRXUVH LV VXSSRUWHG E WKH DERYH PHQWLRQHG 5RERWLFV /DE VXSSOLHG E PDQLSXODWLYH ZDONLQJ DQG PRELOH URERWV 7KH VWXGHQWV WDNLQJ WKLV FRXUVH OHDUQ DERXW WKH DVVHPEO DQG FRQWURO RI URERWV DQG SURJUDPPLQJ WHFKQLTXHV LQYROYLQJ PDWHULDO DQG PDVV FRQWURO RI WKH URERWV 7KH FRXUVH LQ '1$ 3URJUDPPLQJ 5RJDQRYLF $FNRYVND
  • 64.
    LV RIIHUHG WRVWXGHQWV RI WKH ,QVWLWXWH RI 0DWKHPDWLFV 7KH FRXUVH LV LQWHQGHG WR KHOS WKH VWXGHQWV RI PDWKHPDWLFV LQ WZR ZDV )LUVW WKH OHDUQ DERXW VRPHWKLQJ FRPSOHWHO GLIIHUHQW WKDQ WKHLU HQWLUH FXUULFXOXP ²IRXQGDWLRQV RI JHQHWLFV SURFHVVHV JRLQJ RQ LQ D ELRORJLFDO FHOO 7KLV LV YHU LQWHUHVWLQJ IRU WKHVH VWXGHQWV GXH WR WKH IDFW WKDW WKLV FRXUVH LV RQH RI WKH IHZ LQWHUGLVFLSOLQDU FRXUVHV WDXJKW DW WKH LQVWLWXWH RI 0DWKHPDWLFV 6HFRQG WKH FRXUVH LV GHVLJQHG LQ D ZD WKDW DOORZV PDWKHPDWLFV VWXGHQWV WR VWUHQJWKHQ WKHLU NQRZOHGJH LQ SURJUDPPLQJ 7KHUHIRUH WKLV FRXUVH KHOSV WKHP WR LPSURYH VRPH YHU LPSRUWDQW IHDWXUHV DV ILOH FRQWURO DQG PDQLSXODWLRQ SDWWHUQ UHFRJQLWLRQ LQ JHQHWLF VHTXHQFHV DV ZHOO DV VWDWLVWLFDO UHVHDUFK DQG HUURU FRUUHFWLRQ $W WKLV VWDJH WKH ,QVWLWXWH RI ,QIRUPDWLFV LV FUHDWLQJ QHZ FXUULFXOD IRU WKH 0DVWHU DQG 'RFWRUDO 6WXGLHV 7KLV FXUULFXOXP LV LQWHQGHG WR LQFOXGH WZR QHZ PRGXOHV WKDW ZLOO FRYHU %LRLQIRUPDWLFV DQG ,QWHOOLJHQW 6VWHPV VXEMHFWV %QPENWUKQP :H KDYH VKRZQ WKDW LQWURGXFLQJ WKH FRQFHSWV RI ,QWHOOLJHQW 6VWHPV FRXUVH KDV HQDEOHG RXU VWXGHQWV WR EURDGHQ WKHLU SHUVSHFWLYH RI WKH PRGHUQ ,QIRUPDWLRQ 7HFKQRORJLHV :LWKLQ WKLV FRXUVH RXU VWXGHQWV PDQDJH WR XQGHUVWDQG WKDW WKH UHDO OLIH SUREOHPV FDQ EH VROYHG E ILQGLQJ D JRRG DQVZHU ZKHQ WKH SHUIHFW DQVZHU LV QRW SRVVLEOH WR REWDLQ 7KLV LV DFKLHYHG E XVLQJ FRQWHPSRUDU PHWKRGRORJ WHFKQLTXHV RI DFWLYH WHDFKLQJ $ JUHDW GHDO RI WKH FRXUVH LV GHGLFDWHG WR WKH SUDFWLFDO XVH RI WKH HODERUDWHG PHWKRGV 7KHUH DUH VHYHUDO QHZO RIIHUHG HOHFWLYH FRXUVHV LQ WKH RPSXWHU 6FLHQFH FXUULFXOXP WKDW KDYH HYROYHG IRUP RXU ,6 FRXUVH 7KH IDFW WKDW WKH DUH YHU ZHOO DFFHSWHG E WKH VWXGHQWV LV HW DQRWKHU FRQILUPDWLRQ RI WKH VXFFHVV RI RXU FRXUVH ,W DOVR VKRZV WKH LPSRUWDQFH RI LQWURGXFLQJ GLIIHUHQW DSSURDFKHV WR XQGHUVWDQGLQJ DQG VROYLQJ ,7 SUREOHPV $V DQ XOWLPDWH UHFRJQLWLRQ RI RXU DSSURDFK WR WKLV FRXUVH ZH VHH WKH UHTXHVWV IRU RXU VWXGHQWV DV OHDGHUV LQ WKH FKDOOHQJLQJ GHYHORSPHQW SURMHFWV LQ WKH ,7 ,QGXVWU LQ RXU FRXQWU DQG DEURDG 0DQ RI WKHP DUH DOUHDG LQ PDQDJLQJ SRVLWLRQV RU DUH OHDGHUV RI 5HVHDUFK DQG 'HYHORSPHQW WHDPV LQ ZHOO NQRZQ ,7 RPSDQLHV
  • 65.
    6GEJPQNQI[ 'FWECVKQP CPFGXGNQROGPV 4GHGTGPEGU $FNRYVND 1 0DGHYVND%RJGDQRYD $
  • 66.
    7HDFKLQJ %LRLQIRUPDWLFV WRRPSXWHU 6FLHQFH 6WXGHQWV 3URFHHGLQJV RI ,((( (85221 SS ,6%1 ; %HOJUDGH 6HUELD DQG 0RQWHQHJUR 1RYHPEHU $FNRYVND 1 0DGHYVND%RJGDQRYD $
  • 67.
    :RUNVKRS ¶,QWHOOLJHQW VVWHPV² %LRORJLFDO $SSURDFK KWWSZZZLLHGXPNZRUNVKRSLQWHOLJHQWQLVLVWHPLLQGH[KWP %LVKRS 0
  • 68.
    3DWWHUQ 5HFRJQLWLRQ DQG0DFKLQH /HDUQLQJ ,6%1 6SULQJHU 1 86$ %XUJHV
  • 69.
    $ 7XWRULDO RQ6XSSRUW 9HFWRU 0DFKLQHV IRU 3DWWHUQ 5HFRJQLWLRQ 'DWD 0LQLQJ DQG .QRZOHGJH 'LVFRYHU 9RO 1R -XQH
  • 70.
    ,661 %R]LQRYVNL 6-RYDQFHYVNL *M $FNRYVND 1
  • 71.
    'LVWULEXWHG ,QWHUDFWLYH 5RERWLFV ODVVURRP3HULRGLFDO LQ 2SWRHOHFWURQLF ,QIRUPDWLRQ ² 3RZHU 7HFKQRORJLHV 1R
  • 72.
    ,661 %R]LQRYVNL 6-RYDQFHYVNL *M %R]LQRYVND 1
  • 73.
    '1$ DV DUHDOWLPH GDWDEDVH RSHUDWLQJ VVWHP 3URFHHGLQJV RI WKH :RUOG 0XOWLFRQIHUHQFH RQ 6VWHPLFV EHUQHWLFV DQG ,QIRUPDWLFV 9RO ;9,QGXVWULDO VVWHPV S %R]LQRYVNL 6 0XHOOHU % GL3ULPLR )
  • 74.
    %LRPLPHWLF $XWRQRPRXV )DFWRULHV $XWRQRPRXV0DQXIDFWXULQJ 6VWHPV DQG 6VWHPV 6RIWZDUH *0' 5HSRUW *HUPDQ 1DWLRQDO HQWHU IRU ,QIRUPDWLRQ 7HFKQRORJ 6DQNW $XJXVWLQ %UDPHU 0
  • 75.
    3ULQFLSOHV RI 'DWD0LQLQJ ,6%1 6SULQJHU /RQGRQ 8. %URZQ 7$
  • 76.
    *HQRPHV ,6%1 :LOH 6RQV ,QF 8. /HZLQ %
  • 77.
    *HQHV 9,, ,6%1; 2[IRUG 8QLYHUVLW 3UHVV 1 86$ /RGLVK + %HUN $ =LSXUVN / 0DWVXGDLUD 3 %DOWLPRUH ' 'DUQHOO -
  • 78.
    0ROHFXODU HOO %LRORJWK HGLWLRQ ,6%1 : + )UHHPDQ DQG RPS 1 86$ /Q[ KWWSZZZOQ[PRWLRQFRPDWHJRUDVS[DWHJRU,' 0DGHYVND%RJGDQRYD $ $FNRYVND 1
  • 79.
    ,QWHOOLJHQW 6VWHPV IRURPSXWHU 6FLHQFH 6WXGHQWV 3URFHHGLQJV RI ,QWHUQDWLRQDO 7HFKQRORJ (GXFDWLRQ DQG 'HYHORSPHQW RQIHUHQFH ,6%1 9DOHQFLD 6SDLQ 0DUFK ,QWHUQDWLRQDO $VVRFLDWLRQ RI 7HFKQRORJ (GXFDWLRQ DQG 'HYHORSPHQW 9DOHQFLD 6SDLQ 0DGHYVND%RJGDQRYD $ 1LNROLF ' XUIV /
  • 80.
    ODVVLILFDWLRQ RI '1$VHTXHQFHV XVLQJ PRGLILHG 690 RXWSXWV 3URFHHGLQJV RI WK ,QWHUQDWLRQDO RQIHUHQFH RI $UWLILFLDO 1HXUDO 1HWZRUNV ,$11 ,21,3 SS ,6%1 ,VWDQEXO 7XUNH -XQ %RJDVLFL 8QLYHUVLW ,VWDQEXO 0DGHYVND%RJGDQRYD $ 1LNROLF '
  • 81.
    $XWRPDWLF ODVVLILFDWLRQ :LWK6XSSRUW 9HFWRU 0DFKLQHV ,Q 0ROHFXODU %LRORJ 3URFHHGLQJV RI 7KLUG ,QWHUQDWLRQDO RQIHUHQFH RQ RJQLWLYH DQG 1HXUDO 6VWHPV 0D %RVWRQ 8QLYHUVLW %RVWRQ 86$ 5RJDQRYLF '= $FNRYVND 1 ZZZLLHGXPNSUHGPHWL'1$3 ZHE VLWH IRU WKH VXEMHFW '1$ 3URJUDPPLQJ 7KRUVWHQ - 690 OLJKW KWWSVYPOLJKWMRDFKLPVRUJ :HND RSHQ VRXUFH 0DFKLQH /HDUQLQJ 6RIWZDUH KWWSZZZFVZDLNDWRDFQ]POZHND :RRG 5-
  • 82.
    5RERWLF 0DQLSXODWLRQ 8VLQJ2SHQ$UFKLWHFWXUH ,QGXVWULDO $UP $ 3HGDJRJLFDO 2YHUZLHY ,((( 5RERWLFV $XWRPDWLRQ 0DJD]LQH 9RO 1R 6HSWHPEHU
  • 83.