How to write a winning 
Resumé
What is a resumé? 
A résumé is an advertisement of your 
self, disguised as a story of your life 
It is not a history of your past or a 
personal statement 
It has only one purpose, to make sure 
that you get called for the interview
The ‘killer’ edge 
Depending on the level of the job 
 1 interview is granted for every 300-500 
resumes received by an average employer 
 10-20 seconds is all the time you have to 
persuade an employer to read further 
 Top half of the first page either makes or 
breaks you
What's the difference between a 
resume and a CV? 
Primary differences are the length, the 
content and the purpose. 
A resume is a one or two page summary of 
your skills, experience and education. 
A CV, is a longer (two or more pages), more 
detailed synopsis. 
It includes a summary of your educational 
and academic backgrounds as well as 
teaching and research experience, 
publications, presentations, awards, honors, 
affiliations and other details
What's the difference between a 
resume and a CV? 
CV is used primarily when applying for 
academic, education, scientific or research 
positions. It is also applicable when applying 
for fellowships or grants 
In addition to the basics, a CV includes 
research and teaching experience 
Publications, grants and fellowships 
Professional associations and licenses 
Awards and other information relevant to the 
position you are applying for
John Smith 
Street, City, State, Zip 
Phone: 555-555-5555 
Cell: 555-666-6666 
email@email.com 
Objective: 
Assistant Professor, Psychology 
Education: 
Ph.D., Psychology, University of Minnesota, 2006 
Concentrations: Psychology, Community Psychology 
Dissertation: A Study of Learning Disabled Children in a Low Income Community 
M.A., Psychology, University at Albany, 2003 
Concentrations: Psychology, Special Education 
Thesis: Communication Skills of Learning Disabled Children 
B.A, Psychology, California State University, Long Beach, CA, 2000 
Experience: 
Instructor, 2004 - 2006 
University of Minnesota 
Course: Psychology in the Classroom 
Teaching Assistant, 2002 - 2003 
University at Albany 
Courses: Special Education, Learning Disabilities 
Research Skills: 
Extensive knowledge of SPSSX and SAS statistical programs. 
Presentations: 
Smith John (2006). The behavior of learning disabled adolescents in the classrooms. 
Paper presented at the Psychology Conference at the University of Minnesota. 
Publications: 
Smith, John (2005). The behavior of learning disabled adolescents in the classroom. 
Journal of Educational Psychology, 120 - 125. 
Grants and Fellowships: 
•RDB Grant (University of Minnesota Research Grant, 2005), $2000 
•Workshop Grant (for ASPA meeting in New York, 2004), $1500 
Awards and Honors: 
•Treldar Scholar, 2005
Preparation 
Brainstorm 
 Write your answer to, ‘What would make 
someone the perfect candidate for the 
job?’ 
 ‘What is your USP?” Cover all the possible 
ways of thinking about and communicating 
what you do well 
 What does the employer really want?
Qualities employers seek 
1.Communication skills 
2.Honesty, Integrity 
3.Team skills 
4.Interpersonal skills 
5.Motivation/Initiative 
6.Strong work ethics 
7.Analytical skills 
8.Flexibility/Adaptability 
9.Computer skills 
10. Self-confidence
Formats 
There are two kinds – 
 One is the the familiar ‘tombstone’ that lists 
where you went to school and where 
you’ve worked in chronological order 
 The other is what is called the ‘functional’ 
résumé – descriptive, fun to read , unique 
to you and much more likely to land you an 
interview
Chronological format 
Name Header 
Objective 
Summary of skills/qualifications 
Work Experience 
Education 
Memberships/Activities/Honors
Chronological format 
When listing positions include – 
 Name of Employer 
 Employer’s location 
 Your dates of employment 
 Your position or job title 
 Summary of your responsibilities 
 Your major accomplishments
Functional format 
Name header 
Objective 
Summary of skills, qualification 
Skills 
Education 
Memberships/Interests/Honours
Objective 
Objectives are the simplest, quickest 
way to target a specific position 
Objective should be tailored to the 
prospective employer’s needs 
Use the objective to establish why you 
are the perfect candidate for the job 
 Eg: An XXX position in an organisation where YYY and ZZZ 
would be needed
Objective 
Objective should be simple, specific and brief -- no 
more than two or three lines. 
It should highlight what you have to offer the 
company, such as a specific skill or experience. 
A recruiter is more interested in what you can give 
the company than what you hope to get from it. 
 Eg: To obtain an entry-level account management position in 
financial services utilizing my strong analytical and 
interpersonal skills.
Skills for the functional resumé 
1. Communication skills 
1. Computer skills 
2. Organizational skills 
2. Event management 
3. Management skills 
skills 
4. Administrative skills 
5. Interpersonal skills 
6. Teaching skills 
7. Team/Competitive skills 
8. Leadership skills 
9. Financial skills 
10. Money management skills 
3. Creative skills 
4. Child management skills 
5. Analytical skills 
6. Motivational skills 
7. Training skills 
8. Mentoring skills
Exercise 
Decide which points should be included 
 Attended university ,left after a year 
 Studied business administration at night school 
 20 years raising children 
 Co-ordinated charity fund raising in town 
 Chairperson of son’s school parent teacher association 
 Sung in Church choir 
 Have run 5 marathons 
 Raised money for local social project
Exercise 
 Helped salesman husband reorganize his filing system by 
installing a micro-computer 
 Worked for 3 years as secretary to the manager of sales 
division,ABC company 
 Hated secretarial work 
 Promoted to administrative assistant 
 Like flower arranging 
 Look after family budget and save 10% of yearly income 
 Like working in a team 
 42 years and only 5 years of salaried income
Words count 
Use of language is extremely important 
Avoid large paragraphs (five or six lines). 
Use action verbs. Verbs such as "developed", 
"managed", and "designed" 
Don't use declarative sentences like "I 
developed the ..." or "I assisted in ...", leave 
out the "I" 
". Avoid passive constructions, such as "was 
responsible for managing". Just say, 
"managed":
Background checks 
You have to have done what you claim 
on your resume 
Background checks can include: 
reference checks 
criminal background checks 
past employment verification 
education verification
Words Every Resume Should 
Include 
'Teamwork‘ 
'Flexibility‘ 
'Detail-Oriented‘ 
'Self-Motivated'
Words That Weaken Your 
Resume 
'Assist,' 'Contribute' and 'Support' 
'Successfully' 
'Responsible For' 
Avoid buzzwords that have become 
cliché and words that are unnecessarily 
sophisticated. "Synergy" and "liaise" are 
examples of buzzwords that have been 
overused and abused.
Remember 
Put yourself first 
Sell what you can do not who you are 
Toot your own horn 
Never apologize 
Add punch with action words – 
completed, managed, operated, 
supervised.. 
Be specific, concrete, brief
Forget! 
Heading ‘resumé’ 
Job references 
Salary information 
Personal statistics 
Photos 
Personality profiles (attributes) 
Testimonials
Tips 
Limit to 1 or 2 pages 
Don’t cram, Edit 
Use easy to read font size – Times… 
Select a readable size 10-12 
Don’t mix type faces 
Highlight with bold type faces 
Use all-caps and underlying for section heads 
only 
Don’t overuse capitalization, italics, 
underlines or other emphasizing features
Tips 
Use bullets to highlight accomplishments 
Play Match Game 
Keep paragraph length to not more than 4-5 
lines 
Use short line length 
Keep it simple 
Don’t mix design style 
Don’t photocopy 
Select ivory Bond paper 
Print on one side of the paper only
Formatting 
Top margin 1” 
Sides ½” 
Ragged right margin (Right justified) 
Double space between sections 
Single space between lines 
If 2 pages, add ‘continued’.. 
Write Pg 2 on the 2nd page
Action Phrases 
Analyzed problems and developed solutions 
Excellent interpersonal and people management 
skills 
Able to exercise good judgment and sound reasoning 
Good interpersonal skills 
Able to concentrate and pay attention to detail 
Can work well on own initiative 
A good communicator 
Experienced, self motivated and energetic 
A good planner

How to write a winning resume

  • 1.
    How to writea winning Resumé
  • 2.
    What is aresumé? A résumé is an advertisement of your self, disguised as a story of your life It is not a history of your past or a personal statement It has only one purpose, to make sure that you get called for the interview
  • 3.
    The ‘killer’ edge Depending on the level of the job  1 interview is granted for every 300-500 resumes received by an average employer  10-20 seconds is all the time you have to persuade an employer to read further  Top half of the first page either makes or breaks you
  • 4.
    What's the differencebetween a resume and a CV? Primary differences are the length, the content and the purpose. A resume is a one or two page summary of your skills, experience and education. A CV, is a longer (two or more pages), more detailed synopsis. It includes a summary of your educational and academic backgrounds as well as teaching and research experience, publications, presentations, awards, honors, affiliations and other details
  • 5.
    What's the differencebetween a resume and a CV? CV is used primarily when applying for academic, education, scientific or research positions. It is also applicable when applying for fellowships or grants In addition to the basics, a CV includes research and teaching experience Publications, grants and fellowships Professional associations and licenses Awards and other information relevant to the position you are applying for
  • 6.
    John Smith Street,City, State, Zip Phone: 555-555-5555 Cell: 555-666-6666 email@email.com Objective: Assistant Professor, Psychology Education: Ph.D., Psychology, University of Minnesota, 2006 Concentrations: Psychology, Community Psychology Dissertation: A Study of Learning Disabled Children in a Low Income Community M.A., Psychology, University at Albany, 2003 Concentrations: Psychology, Special Education Thesis: Communication Skills of Learning Disabled Children B.A, Psychology, California State University, Long Beach, CA, 2000 Experience: Instructor, 2004 - 2006 University of Minnesota Course: Psychology in the Classroom Teaching Assistant, 2002 - 2003 University at Albany Courses: Special Education, Learning Disabilities Research Skills: Extensive knowledge of SPSSX and SAS statistical programs. Presentations: Smith John (2006). The behavior of learning disabled adolescents in the classrooms. Paper presented at the Psychology Conference at the University of Minnesota. Publications: Smith, John (2005). The behavior of learning disabled adolescents in the classroom. Journal of Educational Psychology, 120 - 125. Grants and Fellowships: •RDB Grant (University of Minnesota Research Grant, 2005), $2000 •Workshop Grant (for ASPA meeting in New York, 2004), $1500 Awards and Honors: •Treldar Scholar, 2005
  • 7.
    Preparation Brainstorm Write your answer to, ‘What would make someone the perfect candidate for the job?’  ‘What is your USP?” Cover all the possible ways of thinking about and communicating what you do well  What does the employer really want?
  • 8.
    Qualities employers seek 1.Communication skills 2.Honesty, Integrity 3.Team skills 4.Interpersonal skills 5.Motivation/Initiative 6.Strong work ethics 7.Analytical skills 8.Flexibility/Adaptability 9.Computer skills 10. Self-confidence
  • 9.
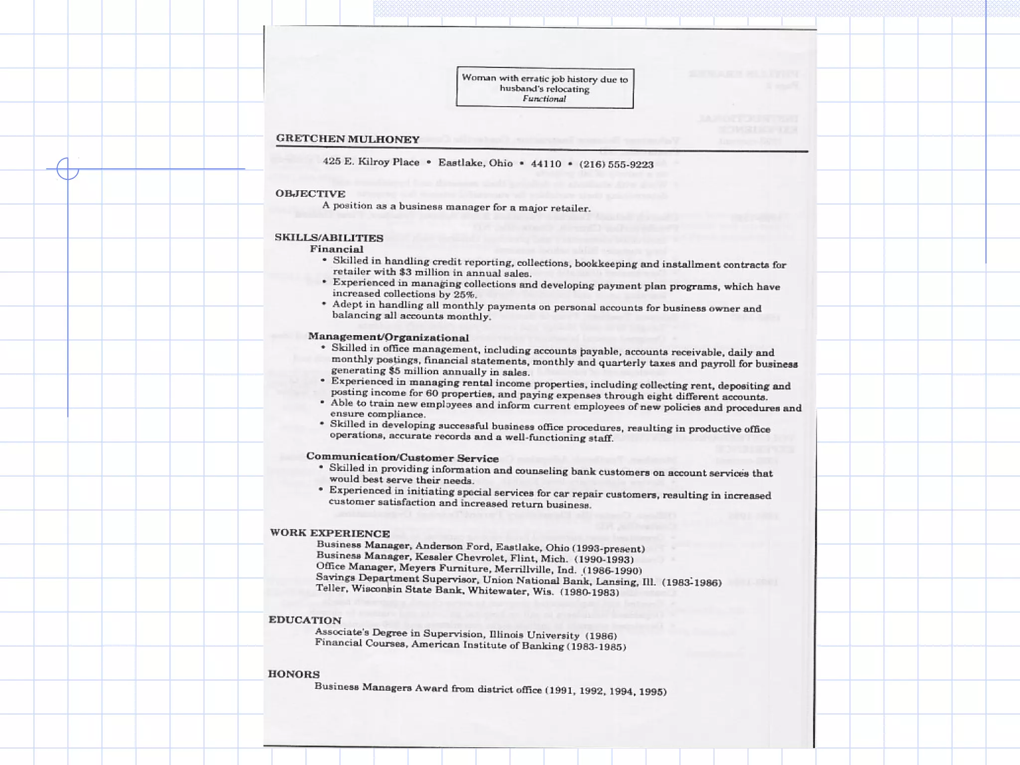
    Formats There aretwo kinds –  One is the the familiar ‘tombstone’ that lists where you went to school and where you’ve worked in chronological order  The other is what is called the ‘functional’ résumé – descriptive, fun to read , unique to you and much more likely to land you an interview
  • 10.
    Chronological format NameHeader Objective Summary of skills/qualifications Work Experience Education Memberships/Activities/Honors
  • 11.
    Chronological format Whenlisting positions include –  Name of Employer  Employer’s location  Your dates of employment  Your position or job title  Summary of your responsibilities  Your major accomplishments
  • 12.
    Functional format Nameheader Objective Summary of skills, qualification Skills Education Memberships/Interests/Honours
  • 20.
    Objective Objectives arethe simplest, quickest way to target a specific position Objective should be tailored to the prospective employer’s needs Use the objective to establish why you are the perfect candidate for the job  Eg: An XXX position in an organisation where YYY and ZZZ would be needed
  • 21.
    Objective Objective shouldbe simple, specific and brief -- no more than two or three lines. It should highlight what you have to offer the company, such as a specific skill or experience. A recruiter is more interested in what you can give the company than what you hope to get from it.  Eg: To obtain an entry-level account management position in financial services utilizing my strong analytical and interpersonal skills.
  • 22.
    Skills for thefunctional resumé 1. Communication skills 1. Computer skills 2. Organizational skills 2. Event management 3. Management skills skills 4. Administrative skills 5. Interpersonal skills 6. Teaching skills 7. Team/Competitive skills 8. Leadership skills 9. Financial skills 10. Money management skills 3. Creative skills 4. Child management skills 5. Analytical skills 6. Motivational skills 7. Training skills 8. Mentoring skills
  • 23.
    Exercise Decide whichpoints should be included  Attended university ,left after a year  Studied business administration at night school  20 years raising children  Co-ordinated charity fund raising in town  Chairperson of son’s school parent teacher association  Sung in Church choir  Have run 5 marathons  Raised money for local social project
  • 24.
    Exercise  Helpedsalesman husband reorganize his filing system by installing a micro-computer  Worked for 3 years as secretary to the manager of sales division,ABC company  Hated secretarial work  Promoted to administrative assistant  Like flower arranging  Look after family budget and save 10% of yearly income  Like working in a team  42 years and only 5 years of salaried income
  • 25.
    Words count Useof language is extremely important Avoid large paragraphs (five or six lines). Use action verbs. Verbs such as "developed", "managed", and "designed" Don't use declarative sentences like "I developed the ..." or "I assisted in ...", leave out the "I" ". Avoid passive constructions, such as "was responsible for managing". Just say, "managed":
  • 26.
    Background checks Youhave to have done what you claim on your resume Background checks can include: reference checks criminal background checks past employment verification education verification
  • 27.
    Words Every ResumeShould Include 'Teamwork‘ 'Flexibility‘ 'Detail-Oriented‘ 'Self-Motivated'
  • 28.
    Words That WeakenYour Resume 'Assist,' 'Contribute' and 'Support' 'Successfully' 'Responsible For' Avoid buzzwords that have become cliché and words that are unnecessarily sophisticated. "Synergy" and "liaise" are examples of buzzwords that have been overused and abused.
  • 29.
    Remember Put yourselffirst Sell what you can do not who you are Toot your own horn Never apologize Add punch with action words – completed, managed, operated, supervised.. Be specific, concrete, brief
  • 30.
    Forget! Heading ‘resumé’ Job references Salary information Personal statistics Photos Personality profiles (attributes) Testimonials
  • 31.
    Tips Limit to1 or 2 pages Don’t cram, Edit Use easy to read font size – Times… Select a readable size 10-12 Don’t mix type faces Highlight with bold type faces Use all-caps and underlying for section heads only Don’t overuse capitalization, italics, underlines or other emphasizing features
  • 32.
    Tips Use bulletsto highlight accomplishments Play Match Game Keep paragraph length to not more than 4-5 lines Use short line length Keep it simple Don’t mix design style Don’t photocopy Select ivory Bond paper Print on one side of the paper only
  • 33.
    Formatting Top margin1” Sides ½” Ragged right margin (Right justified) Double space between sections Single space between lines If 2 pages, add ‘continued’.. Write Pg 2 on the 2nd page
  • 34.
    Action Phrases Analyzedproblems and developed solutions Excellent interpersonal and people management skills Able to exercise good judgment and sound reasoning Good interpersonal skills Able to concentrate and pay attention to detail Can work well on own initiative A good communicator Experienced, self motivated and energetic A good planner