Gravity Measurements and Their Variations before
the 2008 Wenchuan Earthquake
by Yiqing Zhu,*
F. Benjamin Zhan,†
Jiangcun Zhou, Weifeng Liang, and Yunma Xu
Abstract It was recognized 50 years ago that coseismic gravity changes take
place during a large earthquake. In the past 30 years, there have been research efforts
devoted to investigating possible associations between gravity variations and earth-
quakes in China. Before the Wenchuan (Mw 7.9) earthquake, a group of researchers
at the Second Crust Monitoring and Application Center of China Earthquake
Administration noticed significant gravity changes in a region covering the well-
known south–north earthquake belt in China and suggested in 2006 that the possi-
bility for a major earthquake to occur near Wenchuan in either 2007 or 2008
was high. These researchers used gravity changes as the primary earthquake precur-
sor to make the suggestion. In this article, we report the method used for repeated
regional gravity survey, the procedures for gravity survey data analysis, and the
characteristics of gravity variations before the Wenchuan earthquake that ruptured
on 12 May 2008. Although gravity changes at a number of locations in the region
surrounding Wenchuan were significant, more research is needed to investigate
whether these gravity variations could be viewed as a precursor of the Wenchuan
earthquake. Uncertainties in the reported gravity variations include inevitable mea-
surement errors related to ground gravity surveys covering a large region, hydrologic
effects on gravity, and the effects of vertical crustal movements on gravity. Other
limitations of the data are that the density of the gravity observation stations is coarse
and that the time intervals of the surveys were two to three years long. Based on
these observations, we make several recommendations about data collection and data
analysis procedures that would enhance future earthquake research using gravity
monitoring data in China.
Introduction
The devastating Wenchuan (Mw 7.9) earthquake that
ruptured on 12 May 2008 (China Earthquake Networks
Center [CENC] 2010) in Sichuan province of China caught
many scientists off guard. One exception is that a group of
researchers at the Second Crust Monitoring and Application
Center, China Earthquake Administration, suggested that a
major earthquake would occur near Wenchuan in northern
Sichuan of China in either 2007 or 2008. The suggestion
was first officially documented in an internal report in
December of 2006 (Zhu et al., 2006). These researchers
made that suggestion primarily based on gravity variations
determined from repeated ground gravity survey data in
China. The gravity data were obtained through stations of
a monitoring network covering the well-known south–north
earthquake belt.
Although it was recognized a long time ago that coseis-
mic gravity changes take place during an earthquake (Oliver
et al., 1961; Page, 1968), and various attempts have been
made to use gravity change as a precursor for earthquake
forecast (Chen et al., 1979; Wei et al., 1985; Gu et al.,
1998; Kuo et al., 1999; Liu et al. 2002), there have been only
a limited number of recent studies examining the relation-
ships between gravity variations and earthquakes (Zhu et al.,
2003; Zhu et al., 2006; Zhu et al., 2008). We believe the
method used for repeated regional gravity survey, the proce-
dures for gravity survey data analysis, and the characteristics
of gravity variations before the Wenchuan earthquake are of
important value to the earthquake research community,
therefore, we report those issues in this article. In addition,
we also make a number of recommendations about possible
improvements in data collection and data analysis procedures
*Also at Second Crust Monitoring and Application Center, China
Earthquake Administration, Xi’An, 710054, China.
†
Also at School of Resource and Environmental Science, Wuhan
University, Wuhan, 430079, China.
2815
Bulletin of the Seismological Society of America, Vol. 100, No. 5B, pp. 2815–2824, November 2010, doi: 10.1785/0120100081
that will enhance earthquake research using gravity monitor-
ing data in China.
Ground Gravity Survey Data and Data
Analysis Procedures
In order to monitor gravity dynamics in China and study
its relationships with seismic activities, the China Earthquake
Administration, the Chinese Academy of Sciences, and the
China State Bureau of Surveying and Mapping coordinated
four rounds of field gravity survey in 1998, 2000, 2002, and
2005 in a region covering the well-known south–north
earthquake belt in China (Fig. 1). The gravity monitoring
network in the area consisted of nine absolute gravity obser-
vation stations and 128 relative gravity observation stations
that are situated along routes connecting the absolute gravity
observation stations. Some of the relative gravity observation
stations were gradually added to the network over time after
1998. The nine absolute gravity observation stations
included Xining, Lanzhou, Yinchuan, Xi’an, Chengdu, Luz-
hou, Yushu, Lijiang, and Kunming (Fig. 1).
Figure 1. A gravity monitoring network covering the south–north earthquake belt in China.
2816 Y. Zhu, F. B. Zhan, J. Zhou, W. Liang, and Y. Xu
The absolute gravity observation stations serve as a
control network through which a stable and uniform gravity
field in the region can be established and upon which gravity
at locations of the relative gravity observation stations can be
computed systematically through an integration of the abso-
lute and relative gravity survey data. The strategy of combin-
ing absolute and relative gravity survey data for the purposes
of gravity monitoring and earthquake forecast was pioneered
by a group of scientists through a collaborative China–U.S.
research effort led by John T. Kuo of Columbia University
and the late Gongxu Gu of China Earthquake Administration
in the 1980s. The strategy has since been used in China for
earthquake monitoring and other related research (Chen
et al., 1979; Gu et al., 1998; Kuo et al., 1999; Liu et al.,
2002; Zhu et al., 2003; Zhu et al., 2006; Zhu et al., 2008).
Absolute Gravity Survey
Surveyors with significant field observation experience
from three different organizations: the Institute of Geodesy
and Geophysics of the Chinese Academy of Sciences, the
Institute of Seismology of China Earthquake Administration,
and the State Bureau of Surveying and Mapping in China
conducted the absolute gravity surveys using the FG-5 g
ravimeters. Surveyors from each organization used the
FG-5 gravimeter maintained at that organization. The accu-
racy of an FG-5 gravimeter, based on information provided
by its manufacturer, is better than 5 × 108
m=s2
(μGal) (Xu,
2003; Zhang et al., 2008). In fact, results of recent evalua-
tions in China and in Europe confirmed that the accuracy of
two of the FG-5 gravimeters used in the absolute gravity
survey reported in this article was better than 5 μGal (Xuan
et al., 2008; Xing et al., 2009). These evaluations also indi-
cated that the FG-5 gravimeters were stable and reliable.
Analysis results of field survey data also confirmed that
the accuracy of the observed absolute gravity data at each
absolute gravity observation station was better than 5 μGal
(Xu, 2003; Zhang et al., 2008).
After field survey, absolute gravity data at the nine abso-
lute gravity observation stations were corrected for earth-tide,
speed of light, local air pressure, polar motion, and vertical
gradient. The corrected data then were used for subsequent
analysis and integration with the relative gravity survey data.
Both the absolute and relative gravity surveys were conducted
during the months from July through November in 1998,
2000, 2002, and 2005. Surveys at a station in different years
were scheduled to take place in about the same dates of the
same months. This arrangement of conducting the gravity sur-
veys in the same months of different years was designed to
reduce possible seasonal hydrologic effects on the gravity
observed at the same location in different years.
Relative Gravity Survey
The mobile relative gravity surveys were completed
through joint efforts of two organizations of the China
Earthquake Administration: the Second Crust Monitoring
and Application Center and the Institute of Seismology.
The LaCoste and Romberg (LCR) gravimeter models G were
used in the relative gravity survey. The precision of the
LCR-G gravimeters was higher than 10 μGal, and the drifts
of null reading values of the LCR-G gravimeters were less
than 5 μGal per hour. Field surveyors followed the
Chinese national field work procedures and guidelines when
conducting the mobile relative gravity surveys. Key elements
of the procedures and guidelines that affect the quality of
survey data are summarized in the following two paragraphs.
First, all LCR-G gravimeters were calibrated at the
national gravity baseline facility once every three years.
Second, each team used three to four LCR-G gravimeters
to collect gravity data at each relative gravity observation sta-
tion in the field. The difference of the observed gravity value
at the starting/ending station from the three to four gravi-
meters in the forward and reverse survey covering the same
route must be less than 36 μGal, and the difference of the
observed gravity value at the starting/ending station from
the same gravimeter in the forward and reverse survey cover-
ing the same route must be less than 25 μGal. Otherwise,
measurements at the stations of that route must be retaken.
Third, whenever possible, members of each team remained
the same. The same team covered the same routes during the
field surveys in different years, and each team used the same
set of LCR-G gravimeters when possible.
Fourth, on each day before the actual field survey, all
LCR-G gravimeters were evaluated to ensure that the gravi-
meters were in their best possible conditions for field survey.
In addition, all gravimeters were properly insulated to ensure
a constant temperature at all times. Fifth, round-trip forward
and reverse field survey routes were carefully designed and
then strictly followed during field survey. Field measure-
ments at all stations on each round-trip route were completed
within three days. In addition, every effort was made to
ensure that the amount of time spent on each of the two
directions of a round-trip survey was about equal. These
arrangements were designed to reduce the drift effects of
the LCR-G gravimeters. Sixth, all vehicles used in the survey
were carefully chosen to ensure that the vehicles had limited
vibrations when they are in motion during field work. In
addition, every effort was made to maintain a constant driv-
ing speed to reduce possible effects of vehicle travel speed on
the gravimeters and hence on the quality of the survey data.
Adjustment of Field Gravity Survey Data
The key in processing the field gravity data described
previously is to integrate the highly accurate absolute gravity
survey data with the mobile relative gravity survey data and
then compute the absolute gravity at each of the relative grav-
ity observation stations. We followed a three-step procedure
to determine the final gravity data at each relative gravity
observation station. First, relative gravity survey data were
adjusted for solid earth tide, air pressure, linear (scale)
correction, and height of gravimeters. Second, we performed
Gravity Measurements and Their Variations before the 2008 Wenchuan Earthquake 2817
a preliminary analysis of the gravity survey data across all
four rounds of surveys to eliminate data with possible gross
errors. Third, we used the Adjustment Program for Mobile
Gravimetric Data Measured by LaCoste and Romberg Gravi-
meters (LGADJ) software package recommended by the
China Earthquake Administration to obtain the (absolute)
gravity data at the location of every observation station in
each of the four years with survey data. The LGADJ software
package is a standard software package that can be used to
integrate absolute and relative gravity survey data and com-
pute the final absolute gravity data at all relative gravity ob-
servation stations (Liu et al., 1991; Wu et al., 1995). The
average accuracy of the final adjusted gravity data at each
relative gravity observation station was better than 15 μGal.
In the LGADJ software package, the ratio between the
weights of the absolute and relative gravity observational
data was assigned based on the formula given as
Pa
Pr

2m2
r
m2
a
; (1)
where Pa is the weight associated with the absolute gravity
observational data, Pr is the weight associated with the
relative gravity observational data, m2
r is the variance of
the relative gravity observational data for a single LCR-G
gravimeter in each way of a round-trip survey route, and m2
a
is the variance of the absolute gravity observational data.
Based on the observational data, the calculated value of
mr was 17 μGal, and the value of ma was 5 μGal.
Therefore, the ratio was 23 to 1. During adjustment compu-
tation, Pr was usually assigned a value of 1. Therefore, a
value of 23 was assigned to Pa as the weight to ensure the
control role of the data obtained at the absolute gravity
observation stations in the computational process of deter-
mining the gravity at all relative gravity observation stations.
Estimation of Hydrologic Effects on Gravity
Although the schedule of conducting the ground gravity
surveys in the same months in different years helps minimize
seasonal hydrologic effects on the observed gravity changes
at the same station between different years, it is still impor-
tant to estimate the hydrologic effects on gravity to ensure
that gravity variations caused by hydrologic effects are with-
in a tolerable range relative to the level of gravity changes in
the region in question. We used water storage data from the
Global Land Data Assimilation System (GLDAS; Rodell
et al., 2004) to calculate hydrologic effects on gravity.
Details of the procedures of using GLDAS to calculate
hydrologic effects on gravity are described in a recent paper
(Zhou et al. 2009). A complete account of hydrologic effects
on gravity, and their impacts on gravity variations in the
region will be discussed in a separate article (J. C. Zhou et al.,
personal comm., 2010). When analyzing the hydrologic
effects, we first estimated the hydrologic effects at each
observation station in every year with survey data based
on the coordinates of a station and the date and year of the
corresponding ground gravity measurements at that station.
We then adjusted the gravity value at each station using the
estimated hydrologic effects to determine the gravity value at
that station.
Some basic statistics reflecting the estimated hydrologic
effects on gravity changes are summarized in Table 1. For the
four time intervals listed in Table 1, we calculated the differ-
ences between gravity changes corresponding to each of the
four time intervals with and without adjustments of hydrolo-
gic effects. The maximum, minimum, average, median, and
the standard deviation (STDEV) of the differences of gravity
changes associated with each of the four time intervals are
shown in Table 1. The average difference associated with each
of the four time intervals varied from 1:7 to 4:9 μGal, and
they arewell within the error budget of thegravity survey data.
Analysis results suggest that adjustments of hydrologic
effects on gravity changes at a station between two time
periods are in the range of 15 to 20 μGal. This range of
hydrologic effects brings some uncertainties to the gravity
variations reported in this article. But as will be seen in the
next section, this range is tolerable given the level of most
gravity changes exhibited at some locations in the region.
Another concern is the effects of the construction of the
Zipingpu reservoir on gravity in the area because the reser-
voir was only about 17-km east of the epicenter of the 2008
Wenchuan earthquake. It should be noted that the Zipingpu
reservoir started accumulating water in September of 2005,
and the reservoir was full in October 2006 (Zhang et al.,
2009). The two observation stations closest to the reservoir
were the Chengdu station and the Wenchuan station. The
ground gravity measurements at these two stations were
completed before September 2005. Therefore, water
impoundment in the reservoir should not affect the results
reported in this article. In addition, these two stations are
more than 40-km away from the reservoir. Recent studies
in China about the effects of the Three Gorges Dam reservoir
on gravity in its surrounding areas suggested that the effects
of reservoirs on gravity are mostly local (Sun et al., 2006;
Zhu et al., 2009). It should be pointed out that the Three
Gorges Dam reservoir is more than 700 kilometers away
from Wenchuan and is not within the study area. Under
any circumstances as stated previously, we estimated the
hydrologic effects on gravity in the region, including
Table 1
Estimates of Hydrologic Effects*
1998–2000 2000–2002 2002–2005 1998–2005
Max 10.5 15.4 10.4 12.2
Min 9:9 1:8 8:8 4:5
Average 1:7 4.9 1.7 4.9
Median 2:7 4.9 1.9 5.0
Standard deviation
(STDEV)
3.3 3.2 4.1 3.5
*Values shown in the table are the differences of gravity changes (in
μGal) with or without adjustments of hydrologic effects.
2818 Y. Zhu, F. B. Zhan, J. Zhou, W. Liang, and Y. Xu
possible effects of the Zipingpu reservoir, using the GLDAS
data and related procedures (J. C. Zhou et al., personal
comm., 2010). The results of gravity changes without and
with adjustments of hydrologic effects are reported in Table 1
and in the next two sections when appropriate.
It should be cautioned that results from the GLDAS
model can only serve the purpose of estimating the range
of possible hydrologic effects at the stations. A better way
to more accurately account for hydrologic effects on gravity
would be to take readings of ground water height at each
station first and then calculate the effects based on the
readings. Unfortunately, that was not done during the field
survey. It is suggested that future ground gravity surveys
should strive to obtain ground water height readings at each
station during field work for more accurate estimations of
hydrologic effects on gravity.
Gravity Variations in the Region from 1998 to 2005
In this section and the next, unless otherwise stated,
gravity changes are based on data without adjustments of
hydrologic effects but with all other corrections mentioned
in the Ground Gravity Survey Data and Data Analysis Pro-
cedures section. Some basic statistics of gravity changes in
the region from 1998 to 2005 are summarized in Table 2. We
only used 87 stations in the calculations shown in Table 2.
Other stations were not included in the calculations of the
statistics because data at these stations were not available
in each of the four years (1998, 2000, 2002, and 2005).
The reasons that these stations had missing data in at least
one of the four years were either because the stations were
added after 1998 or because there were changes around a
station that affected gravity around the station; and therefore,
the station was deemed not suitable for evaluating gravity
changes over the entire period stretching over the four years
with survey data.
As can be seen in Table 2, the average positive or
negative gravity changes at all observation stations between
two consecutive years with survey data were less than
20 μGal. The average gravity changes from 1998 to 2000,
2002, and 2005 were even smaller, less than 11 μGal. Some
locations exhibited significant gravity changes with the
largest positive gravity change reaching as high as
115:8 μGal over the time interval from 2000 to 2002. The dif-
ference between the largest positive and negative gravity
changes from 2000 to 2002 was also the greatest compared
with those from 1998 to 2000 and those from 2002 to 2005.
The difference between the largest positive and negative grav-
ity changes relative to 1998 kept expanding from 109:3 μGal
in 2000, to 120:6 μGal in 2002, and reached 184:0 μGal
in 2005.
Figures 2 and 3 illustrate gravity variations in the region
from 1998 to 2000, 2002, and 2005. Figure 2 shows gravity
variations at the nine absolute gravity observation stations. As
can be seen from Figure 2, gravity at the Lijiang station had
significant swings over those years with a negative gravity
change of 18:7 μGal from 1998 to 2000, a positive change
of 56:2 μGal from 2000 to 2002, and another negative change
of 46:3 μGal from 2002 to 2005. Gravity at the Yushu
station had changes similar to those at the Lijiang station.
Another station with significant gravity changes is the Kum-
ing station where gravity increased 2:1 μGal from 1998 to
2000 and then decreased from 2000 to 2005 with an overall
negative change of 35:1 μGal from 1998 to 2005. Gravity at
other absolute gravity observation stations changed within a
range varying from 15 μGal to 13:7 μGal (Fig. 2).
Figure 3a shows the time series of gravity changes at the
87 stations in the region from 1998 to 2000, 2002, and 2005.
As can be seen from Figure 3a, gravity changes at all 87 sta-
tions in the region over the time period from 1998 to 2005
were within the range of 120 to 75 μGal. We selected five
stations where gravity changes were either most positive or
most negative for the years 2000, 2002, and 2005 relative to
1998 and plotted the time series of gravity changes at these
five stations in Figure 3b. The locations of these five stations
are also shown in Figure 1. The station with the largest
positive gravity change (64:8 μGal) from 1998 to 2005
was Xichang, and the station with the largest negative gravity
change (119:2 μGal) over the same period was Qingchuan.
Table 2
Basic Statistics of Gravity Variations (in μGal) at all Stations with Data in all
Four Years (1998, 2000, 2002, and 2005) in the Region
Years LPC* LNC†
LPC minus LNC Average Median STDEV‡
Gravity Changes between Two Consecutive Years with Data
1998–2000 28.9 80:4 109.3 10:3 6:9 20.8
2000–2002 115.8 50:1 165.9 19.1 13.0 36.4
2002–2005 58.0 78:2 136.2 12:5 10:0 26.4
Gravity Changes Relative to 1998
1998–2000 28.9 80:4 109.3 10:3 6:9 20.8
1998–2002 75.0 45:6 120.6 8.7 5.4 27.7
1998–2005 64.8 119:2 184.0 3:8 4:0 30.2
*Largest positive change.
†Largest negative change.
‡
Standard deviation.
Gravity Measurements and Their Variations before the 2008 Wenchuan Earthquake 2819
The difference between the largest positive change
(64:8 μGal) at the Xichang station, and the largest negative
gravity change (119:2 μGal) at the Qingchuan station was
184 μGal. Xichang was 370-km south of the epicenter of the
Wenchuan earthquake, and Qingchuan was 260-km north-
east of the epicenter of the Wenchuan earthquake. The dis-
tance between these two stations is 630 km.
The exact areas with positive and negative gravity
changes and their geographic distribution are illustrated with
the map shown in Figure 4. The epicenter of the Wenchuan
earthquake is located in the middle of this region. Areas with
positive gravity changes are in the eastern rim of the Tibetan
plateau southwest of Wenchuan (Fig. 4), and the rest of the
region exhibited negative gravity changes with Qingchuan
being the location with the largest negative gravity change
from 1998 to 2005. Because hydrologic effects on gravity
are small (Table 1), hydrologic effects do not alter the overall
pattern of geographic distribution of areas with positive and
negative gravity changes shown in Figure 4.
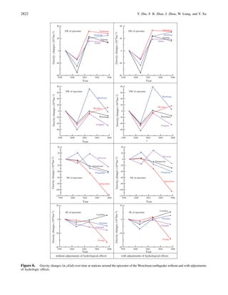
Gravity Variations at Stations around the Epicenter
We selected 16 stations around the epicenter of the
Wenchuan earthquake (Fig. 5) and constructed the time ser-
ies of gravity changes from 1998 to 2000, 2002, and 2005 at
these 16 stations (Fig. 6). We divided these 16 stations into
four groups based on their locations relative to the epicenter:
stations located in the area southwest (SW) of the epicenter:
Xinduqiao, Yajiang, Qianning, and Danba; northwest (NW):
Maerkang, Miyalou, Wenchuan, and Songpan; northeast
(NE): Wenxian, Qingchuan, Guangyuan, and Ningqiang,
and southeast (SE): Chengdu, Ziyang, Neijiang, and Luzhou.
Both gravity changes based on gravity data without or with
adjustments of hydrologic effects at these 16 stations are
shown in Figure 6. It can be seen in Figure 6 that hydrologic
effects on gravity do not alter the overall patterns of gravity
changes at these 16 stations.
The four stations (Xinduqiao, Yajiang, Qianning, and
Danba) located in the area southwest of the epicenter are
on the plateau of western Sichuan province. As can be seen
in Figure 6, after sizeable negative gravity changes at the four
stations from 1998 to 2000, all four locations exhibited a
significant increase in gravity from 2000 to 2002, and gravity
changes eased from 2002 to 2005. The negative gravity
change from 1998 to 2000 was as large as 70:1 μGal at
the Yajiang station, and the largest positive gravity change
from 2000 to 2002 was also observed at the Yajiang station
with a swing of 115:8 μGal over the 2-yr period (2000–
2002) from 70:1 μGal (1998–2000) to 45:7 μGal (1998–
2002) relative to the gravity observed at the station in 1998.
The four stations (Maerkang, Miyalou, Wenchuan, and
Songpan), located in the area northwest of the epicenter, are
also on the plateau of western Sichuan province. The range
of gravity changes at these four stations varied significantly.
Gravity at the Maerkang station exhibited wild swings with a
negative change of 38:6 μGal from 1998 to 2000, a posi-
tive reversal to 71.4 in 2002 relative to the gravity in 1998,
and again back to 2:4 μGal in 2005 relative to 1998. By
contrast, gravity at the Wenchuan station had only moderate
swings when compared with the one at the Maerkang station
(Fig. 6). Among the four stations, the Maerkang station was
-6.9
-11 -15.7
2.1
-7.5
-35.1
-9.4
3.6
-16.9
-18.7
37.5
-8.8
-4.1 -1.2
5.9
0
-11.5
-19.8
-30.6
13.7
7.6
-0.9
-18.9
24.1
-29.6
-40
-30
-20
-10
0
10
20
30
40
Gravity
changes
(in
µGal)
1998 2000 2002 2005
Chengdu Kunming Lanzhou
Lijiang Luzhou Xi'an
Xining Yinchuan Yushu
Figure 2. Gravity changes (in μGal) at nine absolute gravity
observation stations from 1998 to 2000, 2002, and 2005
Figure 3. Gravity changes (in μGal) at from 1998 to 2000,
2002, and 2005. (a) Gravity changes at all stations with complete
data in all four years; (b) gravity changes at selected locations.
2820 Y. Zhu, F. B. Zhan, J. Zhou, W. Liang, and Y. Xu
Figure 4. Geographic distribution of gravity changes (in μGal) at some selected stations in the region.
Figure 5. Gravity observation stations around the epicenter of the Wenchuan earthquake
Gravity Measurements and Their Variations before the 2008 Wenchuan Earthquake 2821
1998 2000 2002 2004 2006
Year
-80
-40
0
40
80
Gravity
changes
(10
-8
ms
-2
)
Gravity
changes
(10
-8
ms
-2
)
Gravity
changes
(10
-8
ms
-2
)
Gravity
changes
(10
-8
ms
-2
)
Gravity
changes
(10
-8
ms
-2
)
Gravity
changes
(10
-8
ms
-2
)
Gravity
changes
(10
-8
ms
-2
)
-80
-40
0
40
80
Gravity
changes
(10
-8
ms
-2
)
Xinduqiao
Yajiang
Danba
Qianning
SW of epicenter
1998 2000 2002 2004 2006
Year
Xinduqiao
Yajiang
Danba
Qianning
SW of epicenter
1998 2000 2002 2004 2006
Year
-60
-40
-20
0
20
40
60
80
NW of epicenter
Maerkang
Miyaluo
Wenchuan
Songpan
1998 2000 2002 2004 2006
Y
-60
-40
-20
0
20
40
60
80
NW of epicenter
Maerkang
Miyaluo
Wenchuan
Songpan
1998 2000 2002 2004 2006
Year
-120
-100
-80
-60
-40
-20
0
20
40
NE of epicenter
Wenxian
Guangyuan
Ningqinag
Qingchuan
1998 2000 2002 2004 2006
Year
-120
-100
-80
-60
-40
-20
0
20
40
NE of epicenter
Wenxian
Guangyuan
Ningqinag
Qingchuan
1998 2000 2002 2004 2006
Year
-40
-20
0
20
SE of epicenter
Louzhou
Neijiang
Chengdu
Ziyang
1998 2000 2002 2004 2006
Year
-40
-20
0
20
SE of epicenter
Louzhou
Neijiang
Chengdu
Ziyang
without adjustments of hydrological effects with adjustments of hydrological effects
Figure 6. Gravity changes (in μGal) over time at stations around the epicenter of the Wenchuan earthquake without and with adjustments
of hydrologic effects.
2822 Y. Zhu, F. B. Zhan, J. Zhou, W. Liang, and Y. Xu
the farthest from the epicenter of the Wenchuan earthquake,
whereas the Wenchuan station was the closest, only 56 km
from the epicenter. Gravity variations at these two stations
from 1998 to 2005 suggest that gravity changes at locations
near the epicenter actually were less than those at more dis-
tant locations.
Gravity at the four stations (Wenxian, Qingchuan, Guan-
gyuan, and Ningqiang) in the area northeast of the epicenter
from 1998 to 2005 was trending down in general with ex-
treme negative gravity changes observed at the Qingchuan
station. Gravity at the Qingchuan station decreased a total
of 119:2 μGal from 1998 to 2005 and appeared to be still
trending down in 2005. It is interesting that several strong
aftershocks occurred in Qingchuan County (Fig. 4). The
Qingchuan station was the closest station to the epicenters
of these aftershocks. The extreme negative gravity changes
at the Qingchuan station appear to be somewhat local and
could be partly from other sources such as hydrologic effects
and vertical crustal movements in the area. Unfortunately, no
data were available for the authors to fully evaluate the
effects of these sources.
In the area southeast of the epicenter, which is in the
Sichuan basin, gravity at these four stations, Chengdu,
Ziyang, Neijiang, and Luzhou, only exhibited moderate
changes from 1998 to 2005. This result suggests that the
Sichuan Basin was relatively calm with only moderate
changes in gravity from 1998 to 2005, and most of the grav-
ity changes occurred in places located in the areas west of the
epicenter on the plateau of western Sichuan province.
Summary, Limitations, and Recommendations
We described a gravity monitoring network covering the
well-known south–north earthquake belt in China, a method
for measuring gravity through stations on the network, as
well as the procedures used to process absolute and relative
ground gravity survey data. We then went on to report grav-
ity variations from 1998 to 2005 before the Wenchuan earth-
quake based on analysis results of ground gravity survey data
obtained in 1998, 2000, 2002, and 2005. Gravity variations
in the region from 1998 to 2005 exhibited several interesting
characteristics that may be useful for future research in earth-
quake science and earthquake forecast. First, the region
where the changes occurred was large with a diameter of
about 630 km, as measured by the distance from the location
of the largest positive gravity change (Xichang) to the loca-
tion of the largest negative gravity change (Qingchuan).
Second, the difference between positive and negative
gravity changes was large, varying from a negative change
of 119:2 μGal from 1998 to 2005 at the Qingchuan station
to a positive change of 75 μGal from 1998 to 2002 at the
Zhongdian station. Third, significant gravity changes or
swings occurred at several stations located west of the
epicenter. These stations are located on the plateau of west
Sichuan province. Fourth, gravity at the Wenchuan station,
which is the station closest to the epicenter of the Wenchuan
earthquake, only exhibited moderate gravity changes when it
is compared with the level of changes at other stations. This
result suggests that gravity changes in areas near the epicen-
ter were moderate compared to changes at locations with the
most significant changes.
Although gravity changes at a number of locations in the
area southwest of Wenchuan were noticeably significant, ad-
ditional research is needed to confirm whether these gravity
variations are associated with the Wenchuan earthquake. In
addition, it should be cautioned that the reported gravity var-
iations could be partly from inevitable measurement errors
related to gravity surveys covering a large region, hydrologic
effects on gravity, and vertical crustal movements on gravity.
Other limitations of the data are that the density of the gravity
observation stations is coarse, and the time intervals of the
surveys were two to three years. The coarse spatial distribu-
tion of the stations, the long time interval of the data, and the
uncertainties in the data make it difficult to more conclu-
sively establish any convincing association between the grav-
ity variations and the Wenchuan earthquake.
We did not report any attempts to forecast the Wenchuan
earthquake using information derived from repeated ground
gravity surveys in this discussion. The potential of gravity var-
iations before large earthquakes has yet to be fully explored
for earthquake forecasting and seismic hazards mitigation.
In addition, there is very limited understanding about the
association of gravity changes and earthquake processes.
These are a few significant issues demanding for additional
research.
In summary, we conclude that gravity variations
observed in the eastern rim of the Tibetan plateau before
the Wenchuan earthquake are significant and are of important
value to the earthquake research community, but additional
research is needed to investigate whether these gravity var-
iations are associated with the preparation of the Wenchuan
earthquake. A few recommendations are in order for future
research. For data collection, we recommend that (1) expand
the geographic coverage of the monitoring network to cover
the region more fully and add more stations to increase the
density of the observation stations; (2) increase the frequency
of gravity surveys to at least once a year; (3) collect ground
water height data at all stations during gravity survey; (4) ob-
tain vertical crustal movement data at stations if possible; and
(5) carefully design specific routes to cover stations where
noticeable gravity changes are observed and conduct the
field observations with gravimeters carefully calibrated at
nearby absolute gravity observation stations connecting
the designed routes. For data analysis, we recommend that
(1) design procedures to more fully account for hydrologic
effects on gravity in the analysis; (2) include adjustments of
vertical crustal movements on gravity in the analyses; and
(3) design more powerful analytical tools to perform diag-
nostic examinations of gravity variation patterns and their
possible associations with an earthquake.
Gravity Measurements and Their Variations before the 2008 Wenchuan Earthquake 2823
Data and Resources
Data discussed in this paper were collected and main-
tained by joint operations between China Earthquake
Administration, China State Bureau of Surveying and
Mapping, and the Chinese Academy of Sciences. Chinese
law prohibits the release of the data used for the analysis
reported in this paper to the general public.
Acknowledgments
Part of the work reported in this article was completed in 2009 and
2010 while F. B. Z. was visiting Wuhan University in China. He wishes
to thank the Chang Jiang Scholar Awards Program and Wuhan University
for their support. The work of Y. Z., W. L., and Y. X. was
supported in part by a grant from the National Science Foundation of China
(Number 40874035) and by a special earthquake research project grant
(Number 200908029) from China Earthquake Administration. The work
of J. Z. was partly supported by a grant (Number KZCX2-YW-133) from
the Knowledge Innovation of Chinese Academy of Sciences and a grant
(Number 40730316) from the National Natural Science Foundation of
China. The authors wish to thank the editor, the associate editor, and two
anonymous referees for their thoughtful suggestions that helped shape the
article to its current form.
References
China Earthquake Networks Center (CENC) (2010). http://www.csndmc.ac.
cn/newweb/data.htm (accessed 19 May 2010).
Chen, Y. T., H. D. Gu, and Z. X. Lu (1979). Variations of gravity before and
after the Haicheng earthquake, 1975, and the Tangshan earthquake,
1976, Phys. Earth Planet. Int. 18, 330–338.
Gu, G. X., J. T. Kuo, K. R. Liu, J. H. Zheng, H. Y. Lu, and D. F. Liu (1998).
Seismogenesis and occurrence of earthquakes as observed by tempo-
rally continuous gravity variations in China, Chi. Sci. Bull. 43, 8–21.
Kuo, J. T., J. H. Zheng, S. H. Song, and K. R. Liu (1999). Determination of
earthquake epicentroids by inversion of gravity variation data in the
BTTZ region, China, Tectonophysics 312, 267–281.
Liu, D., H. Li, and S. Liu (1991). A management and analysis system of
gravity survey data-LGADJ, In Proceedings of Research Symposium
of Application of Seismological Prediction Methods (Special issue on
Deformation, Gravity and Strain Measurement), 339–350. Seismolo-
gical PressBeijing, China (in Chinese).
Liu, K. R., J. X. Zheng, J. T. Kuo, S. H. Song, R. F. Liu, Y. H. Lu, and
F. Y. Guo (2002). Mobile gravity survey and the combined dilatation
model (CDM) in the BTTZ region (in Chinese), In Advances in Pure
and Applied Geophysics, Meteorological Publishing House, Beijing,
China, 167–178.
Oliver, H. W., M. F. Kane, and L. C. Pakiser (1961). Gravity anomalies in
central Sierra Nevada, California, J. Geophys. Res. 66, 4265–4271.
Page, R. (1968). Aftershocks and Microaftershocks of Great Alaska
Earthquake of 1964, Bull. Seismol. Soc. Am. 58, 1131–1168.
Rodell, M., P. R. Houser, U. Jambor, J. Gottschalck, K. Mitchell, C. J. Meng,
K. Arsenault, B. Cosgrove, J. Radakovich, M. Bosilovich, J. K. Entin,
J. P. Walker, D. Lohmann, and D. Toll (2004). The global land data
assimilation system, Bull. Seismol. Soc. Am. 85, 381–394.
Sun, S., A. Xiang, P. Zhu, and C. Shen (2006). Gravity change and its
Mechanism after the first water impoundment in Three Gorges Project,
Acta Seismologica Sinica 28, no. 5, 485–492(in Chinese).
Wei, M. H., W. Zhao, and L. Ma (1985). Gravity Changes before and after
the Tangshan Earthquake of July 28, 1976, and Possible Interpretation,
J. Geophys. Res. B. Solid Earth Planets 90, 5421–5428.
Wu, X., Y. Chen, H. Li, C. Hua, B. Ouyang, J. Shen, M. Yang, H. Sun, and
Z. Zhang (1995). National network of gravity measurement and assess-
ment of its accuracy. Earthq. Res. China 11, no. 1, 92–98 (in Chinese).
Xing, L., C. Shen, H. Li, and O. Francis (2009). Comparative observation of
absolute gravimeters in Walferdange (Luxembourg), J. Geodes.
Geodyn. 29, no. 3, 77–79 (in Chinese).
Xu, H. (2003). Function of gravimetry in CMONOC, J. Geodes. Geodyn.
23, 1–3 (in Chinese).
Xuan, S., L. Xing, and Z. He (2008). Comparative experiment of gravity
survey in mainland China using absolute gravimeters, J. Geodes.
Geodyn. 28, no. 4, 72–74 (in Chinese).
Zhang, Z., W. Cheng, X. Ruan, and P. Wu (2009). Seismicity and tectonic
stress of the Longmenshan fault zone before 2008 Wenchuan Ms 8.0
earthquake, Acta Seismologica Sinica 31, no. 2, 117–127 (in Chinese).
Zhang, W. M., Y. Wang, and X.-H. Zhou (2008). Expectation and applica-
tion study of absolute gravity observation technology in China, Prog.
Geophys. 23, no. 1, 69–72 (in Chinese).
Zhou, J. C., H. P. Sun, and J. Q. Xu (2009). Validating global hydrological
models by ground and space gravimetry, Chi. Sci. Bull. 54, 1534–
1542.
Zhu, Y., B. Hu, H. Li, and B. Chen (2003). Variation of gravity field of
Xinjiang area and Jiashi Ms 6.8 earthquake, J. Geodes. Geodyn.
23, no. 3, 66–69 (in Chinese).
Zhu, Y., W. Liang, Y. Xu, and L. Liu (2006). Spatial-temporal characteristics
of gravity field dynamics in mainland China and forecast of earthquake
trends (in Chinese), In Annual Research Report about Earthquake
Trends in China in 2007, Second Crust Monitoring and Application
Center, China Earthquake Administration, Xi’An, China, 111–119.
Zhu, Y., W. Liang, and Y. Xu (2008). Medium-term prediction of Ms 8.0
earthquake in Wenchuan, Sichuan by mobile gravity, Recent Dev.
World Seismol. 7, 36–39 (in Chinese).
Zhu, Y., Y. Xu, Y. Lv, and T. Li (2009). Relations between gravity variation
of Longmenshan fault zone and Wenchuan Ms 8.0 earthquake, Chi. J.
Geophys. 52, no. 10, 2538–2546 (in Chinese).
Institute of Geodesy and Geophysics
Chinese Academy of Sciences
Wuhan, 430077, China
(Y.Z., J.Z.)
Texas Center for Geographic Information Science
Department of Geography
Texas State University
San Marcos, Texas 78666
zhan@txstate.edu
(F.B.Z.)
Second Crust Monitoring and Application Center
China Earthquake Administration
Xi’An, 710054, China
(W.L., Y.X.)
Manuscript received 31 March 2010
2824 Y. Zhu, F. B. Zhan, J. Zhou, W. Liang, and Y. Xu

Gravity Predictions for Earthquakes

  • 1.
    Gravity Measurements andTheir Variations before the 2008 Wenchuan Earthquake by Yiqing Zhu,* F. Benjamin Zhan,† Jiangcun Zhou, Weifeng Liang, and Yunma Xu Abstract It was recognized 50 years ago that coseismic gravity changes take place during a large earthquake. In the past 30 years, there have been research efforts devoted to investigating possible associations between gravity variations and earth- quakes in China. Before the Wenchuan (Mw 7.9) earthquake, a group of researchers at the Second Crust Monitoring and Application Center of China Earthquake Administration noticed significant gravity changes in a region covering the well- known south–north earthquake belt in China and suggested in 2006 that the possi- bility for a major earthquake to occur near Wenchuan in either 2007 or 2008 was high. These researchers used gravity changes as the primary earthquake precur- sor to make the suggestion. In this article, we report the method used for repeated regional gravity survey, the procedures for gravity survey data analysis, and the characteristics of gravity variations before the Wenchuan earthquake that ruptured on 12 May 2008. Although gravity changes at a number of locations in the region surrounding Wenchuan were significant, more research is needed to investigate whether these gravity variations could be viewed as a precursor of the Wenchuan earthquake. Uncertainties in the reported gravity variations include inevitable mea- surement errors related to ground gravity surveys covering a large region, hydrologic effects on gravity, and the effects of vertical crustal movements on gravity. Other limitations of the data are that the density of the gravity observation stations is coarse and that the time intervals of the surveys were two to three years long. Based on these observations, we make several recommendations about data collection and data analysis procedures that would enhance future earthquake research using gravity monitoring data in China. Introduction The devastating Wenchuan (Mw 7.9) earthquake that ruptured on 12 May 2008 (China Earthquake Networks Center [CENC] 2010) in Sichuan province of China caught many scientists off guard. One exception is that a group of researchers at the Second Crust Monitoring and Application Center, China Earthquake Administration, suggested that a major earthquake would occur near Wenchuan in northern Sichuan of China in either 2007 or 2008. The suggestion was first officially documented in an internal report in December of 2006 (Zhu et al., 2006). These researchers made that suggestion primarily based on gravity variations determined from repeated ground gravity survey data in China. The gravity data were obtained through stations of a monitoring network covering the well-known south–north earthquake belt. Although it was recognized a long time ago that coseis- mic gravity changes take place during an earthquake (Oliver et al., 1961; Page, 1968), and various attempts have been made to use gravity change as a precursor for earthquake forecast (Chen et al., 1979; Wei et al., 1985; Gu et al., 1998; Kuo et al., 1999; Liu et al. 2002), there have been only a limited number of recent studies examining the relation- ships between gravity variations and earthquakes (Zhu et al., 2003; Zhu et al., 2006; Zhu et al., 2008). We believe the method used for repeated regional gravity survey, the proce- dures for gravity survey data analysis, and the characteristics of gravity variations before the Wenchuan earthquake are of important value to the earthquake research community, therefore, we report those issues in this article. In addition, we also make a number of recommendations about possible improvements in data collection and data analysis procedures *Also at Second Crust Monitoring and Application Center, China Earthquake Administration, Xi’An, 710054, China. † Also at School of Resource and Environmental Science, Wuhan University, Wuhan, 430079, China. 2815 Bulletin of the Seismological Society of America, Vol. 100, No. 5B, pp. 2815–2824, November 2010, doi: 10.1785/0120100081
  • 2.
    that will enhanceearthquake research using gravity monitor- ing data in China. Ground Gravity Survey Data and Data Analysis Procedures In order to monitor gravity dynamics in China and study its relationships with seismic activities, the China Earthquake Administration, the Chinese Academy of Sciences, and the China State Bureau of Surveying and Mapping coordinated four rounds of field gravity survey in 1998, 2000, 2002, and 2005 in a region covering the well-known south–north earthquake belt in China (Fig. 1). The gravity monitoring network in the area consisted of nine absolute gravity obser- vation stations and 128 relative gravity observation stations that are situated along routes connecting the absolute gravity observation stations. Some of the relative gravity observation stations were gradually added to the network over time after 1998. The nine absolute gravity observation stations included Xining, Lanzhou, Yinchuan, Xi’an, Chengdu, Luz- hou, Yushu, Lijiang, and Kunming (Fig. 1). Figure 1. A gravity monitoring network covering the south–north earthquake belt in China. 2816 Y. Zhu, F. B. Zhan, J. Zhou, W. Liang, and Y. Xu
  • 3.
    The absolute gravityobservation stations serve as a control network through which a stable and uniform gravity field in the region can be established and upon which gravity at locations of the relative gravity observation stations can be computed systematically through an integration of the abso- lute and relative gravity survey data. The strategy of combin- ing absolute and relative gravity survey data for the purposes of gravity monitoring and earthquake forecast was pioneered by a group of scientists through a collaborative China–U.S. research effort led by John T. Kuo of Columbia University and the late Gongxu Gu of China Earthquake Administration in the 1980s. The strategy has since been used in China for earthquake monitoring and other related research (Chen et al., 1979; Gu et al., 1998; Kuo et al., 1999; Liu et al., 2002; Zhu et al., 2003; Zhu et al., 2006; Zhu et al., 2008). Absolute Gravity Survey Surveyors with significant field observation experience from three different organizations: the Institute of Geodesy and Geophysics of the Chinese Academy of Sciences, the Institute of Seismology of China Earthquake Administration, and the State Bureau of Surveying and Mapping in China conducted the absolute gravity surveys using the FG-5 g ravimeters. Surveyors from each organization used the FG-5 gravimeter maintained at that organization. The accu- racy of an FG-5 gravimeter, based on information provided by its manufacturer, is better than 5 × 108 m=s2 (μGal) (Xu, 2003; Zhang et al., 2008). In fact, results of recent evalua- tions in China and in Europe confirmed that the accuracy of two of the FG-5 gravimeters used in the absolute gravity survey reported in this article was better than 5 μGal (Xuan et al., 2008; Xing et al., 2009). These evaluations also indi- cated that the FG-5 gravimeters were stable and reliable. Analysis results of field survey data also confirmed that the accuracy of the observed absolute gravity data at each absolute gravity observation station was better than 5 μGal (Xu, 2003; Zhang et al., 2008). After field survey, absolute gravity data at the nine abso- lute gravity observation stations were corrected for earth-tide, speed of light, local air pressure, polar motion, and vertical gradient. The corrected data then were used for subsequent analysis and integration with the relative gravity survey data. Both the absolute and relative gravity surveys were conducted during the months from July through November in 1998, 2000, 2002, and 2005. Surveys at a station in different years were scheduled to take place in about the same dates of the same months. This arrangement of conducting the gravity sur- veys in the same months of different years was designed to reduce possible seasonal hydrologic effects on the gravity observed at the same location in different years. Relative Gravity Survey The mobile relative gravity surveys were completed through joint efforts of two organizations of the China Earthquake Administration: the Second Crust Monitoring and Application Center and the Institute of Seismology. The LaCoste and Romberg (LCR) gravimeter models G were used in the relative gravity survey. The precision of the LCR-G gravimeters was higher than 10 μGal, and the drifts of null reading values of the LCR-G gravimeters were less than 5 μGal per hour. Field surveyors followed the Chinese national field work procedures and guidelines when conducting the mobile relative gravity surveys. Key elements of the procedures and guidelines that affect the quality of survey data are summarized in the following two paragraphs. First, all LCR-G gravimeters were calibrated at the national gravity baseline facility once every three years. Second, each team used three to four LCR-G gravimeters to collect gravity data at each relative gravity observation sta- tion in the field. The difference of the observed gravity value at the starting/ending station from the three to four gravi- meters in the forward and reverse survey covering the same route must be less than 36 μGal, and the difference of the observed gravity value at the starting/ending station from the same gravimeter in the forward and reverse survey cover- ing the same route must be less than 25 μGal. Otherwise, measurements at the stations of that route must be retaken. Third, whenever possible, members of each team remained the same. The same team covered the same routes during the field surveys in different years, and each team used the same set of LCR-G gravimeters when possible. Fourth, on each day before the actual field survey, all LCR-G gravimeters were evaluated to ensure that the gravi- meters were in their best possible conditions for field survey. In addition, all gravimeters were properly insulated to ensure a constant temperature at all times. Fifth, round-trip forward and reverse field survey routes were carefully designed and then strictly followed during field survey. Field measure- ments at all stations on each round-trip route were completed within three days. In addition, every effort was made to ensure that the amount of time spent on each of the two directions of a round-trip survey was about equal. These arrangements were designed to reduce the drift effects of the LCR-G gravimeters. Sixth, all vehicles used in the survey were carefully chosen to ensure that the vehicles had limited vibrations when they are in motion during field work. In addition, every effort was made to maintain a constant driv- ing speed to reduce possible effects of vehicle travel speed on the gravimeters and hence on the quality of the survey data. Adjustment of Field Gravity Survey Data The key in processing the field gravity data described previously is to integrate the highly accurate absolute gravity survey data with the mobile relative gravity survey data and then compute the absolute gravity at each of the relative grav- ity observation stations. We followed a three-step procedure to determine the final gravity data at each relative gravity observation station. First, relative gravity survey data were adjusted for solid earth tide, air pressure, linear (scale) correction, and height of gravimeters. Second, we performed Gravity Measurements and Their Variations before the 2008 Wenchuan Earthquake 2817
  • 4.
    a preliminary analysisof the gravity survey data across all four rounds of surveys to eliminate data with possible gross errors. Third, we used the Adjustment Program for Mobile Gravimetric Data Measured by LaCoste and Romberg Gravi- meters (LGADJ) software package recommended by the China Earthquake Administration to obtain the (absolute) gravity data at the location of every observation station in each of the four years with survey data. The LGADJ software package is a standard software package that can be used to integrate absolute and relative gravity survey data and com- pute the final absolute gravity data at all relative gravity ob- servation stations (Liu et al., 1991; Wu et al., 1995). The average accuracy of the final adjusted gravity data at each relative gravity observation station was better than 15 μGal. In the LGADJ software package, the ratio between the weights of the absolute and relative gravity observational data was assigned based on the formula given as Pa Pr 2m2 r m2 a ; (1) where Pa is the weight associated with the absolute gravity observational data, Pr is the weight associated with the relative gravity observational data, m2 r is the variance of the relative gravity observational data for a single LCR-G gravimeter in each way of a round-trip survey route, and m2 a is the variance of the absolute gravity observational data. Based on the observational data, the calculated value of mr was 17 μGal, and the value of ma was 5 μGal. Therefore, the ratio was 23 to 1. During adjustment compu- tation, Pr was usually assigned a value of 1. Therefore, a value of 23 was assigned to Pa as the weight to ensure the control role of the data obtained at the absolute gravity observation stations in the computational process of deter- mining the gravity at all relative gravity observation stations. Estimation of Hydrologic Effects on Gravity Although the schedule of conducting the ground gravity surveys in the same months in different years helps minimize seasonal hydrologic effects on the observed gravity changes at the same station between different years, it is still impor- tant to estimate the hydrologic effects on gravity to ensure that gravity variations caused by hydrologic effects are with- in a tolerable range relative to the level of gravity changes in the region in question. We used water storage data from the Global Land Data Assimilation System (GLDAS; Rodell et al., 2004) to calculate hydrologic effects on gravity. Details of the procedures of using GLDAS to calculate hydrologic effects on gravity are described in a recent paper (Zhou et al. 2009). A complete account of hydrologic effects on gravity, and their impacts on gravity variations in the region will be discussed in a separate article (J. C. Zhou et al., personal comm., 2010). When analyzing the hydrologic effects, we first estimated the hydrologic effects at each observation station in every year with survey data based on the coordinates of a station and the date and year of the corresponding ground gravity measurements at that station. We then adjusted the gravity value at each station using the estimated hydrologic effects to determine the gravity value at that station. Some basic statistics reflecting the estimated hydrologic effects on gravity changes are summarized in Table 1. For the four time intervals listed in Table 1, we calculated the differ- ences between gravity changes corresponding to each of the four time intervals with and without adjustments of hydrolo- gic effects. The maximum, minimum, average, median, and the standard deviation (STDEV) of the differences of gravity changes associated with each of the four time intervals are shown in Table 1. The average difference associated with each of the four time intervals varied from 1:7 to 4:9 μGal, and they arewell within the error budget of thegravity survey data. Analysis results suggest that adjustments of hydrologic effects on gravity changes at a station between two time periods are in the range of 15 to 20 μGal. This range of hydrologic effects brings some uncertainties to the gravity variations reported in this article. But as will be seen in the next section, this range is tolerable given the level of most gravity changes exhibited at some locations in the region. Another concern is the effects of the construction of the Zipingpu reservoir on gravity in the area because the reser- voir was only about 17-km east of the epicenter of the 2008 Wenchuan earthquake. It should be noted that the Zipingpu reservoir started accumulating water in September of 2005, and the reservoir was full in October 2006 (Zhang et al., 2009). The two observation stations closest to the reservoir were the Chengdu station and the Wenchuan station. The ground gravity measurements at these two stations were completed before September 2005. Therefore, water impoundment in the reservoir should not affect the results reported in this article. In addition, these two stations are more than 40-km away from the reservoir. Recent studies in China about the effects of the Three Gorges Dam reservoir on gravity in its surrounding areas suggested that the effects of reservoirs on gravity are mostly local (Sun et al., 2006; Zhu et al., 2009). It should be pointed out that the Three Gorges Dam reservoir is more than 700 kilometers away from Wenchuan and is not within the study area. Under any circumstances as stated previously, we estimated the hydrologic effects on gravity in the region, including Table 1 Estimates of Hydrologic Effects* 1998–2000 2000–2002 2002–2005 1998–2005 Max 10.5 15.4 10.4 12.2 Min 9:9 1:8 8:8 4:5 Average 1:7 4.9 1.7 4.9 Median 2:7 4.9 1.9 5.0 Standard deviation (STDEV) 3.3 3.2 4.1 3.5 *Values shown in the table are the differences of gravity changes (in μGal) with or without adjustments of hydrologic effects. 2818 Y. Zhu, F. B. Zhan, J. Zhou, W. Liang, and Y. Xu
  • 5.
    possible effects ofthe Zipingpu reservoir, using the GLDAS data and related procedures (J. C. Zhou et al., personal comm., 2010). The results of gravity changes without and with adjustments of hydrologic effects are reported in Table 1 and in the next two sections when appropriate. It should be cautioned that results from the GLDAS model can only serve the purpose of estimating the range of possible hydrologic effects at the stations. A better way to more accurately account for hydrologic effects on gravity would be to take readings of ground water height at each station first and then calculate the effects based on the readings. Unfortunately, that was not done during the field survey. It is suggested that future ground gravity surveys should strive to obtain ground water height readings at each station during field work for more accurate estimations of hydrologic effects on gravity. Gravity Variations in the Region from 1998 to 2005 In this section and the next, unless otherwise stated, gravity changes are based on data without adjustments of hydrologic effects but with all other corrections mentioned in the Ground Gravity Survey Data and Data Analysis Pro- cedures section. Some basic statistics of gravity changes in the region from 1998 to 2005 are summarized in Table 2. We only used 87 stations in the calculations shown in Table 2. Other stations were not included in the calculations of the statistics because data at these stations were not available in each of the four years (1998, 2000, 2002, and 2005). The reasons that these stations had missing data in at least one of the four years were either because the stations were added after 1998 or because there were changes around a station that affected gravity around the station; and therefore, the station was deemed not suitable for evaluating gravity changes over the entire period stretching over the four years with survey data. As can be seen in Table 2, the average positive or negative gravity changes at all observation stations between two consecutive years with survey data were less than 20 μGal. The average gravity changes from 1998 to 2000, 2002, and 2005 were even smaller, less than 11 μGal. Some locations exhibited significant gravity changes with the largest positive gravity change reaching as high as 115:8 μGal over the time interval from 2000 to 2002. The dif- ference between the largest positive and negative gravity changes from 2000 to 2002 was also the greatest compared with those from 1998 to 2000 and those from 2002 to 2005. The difference between the largest positive and negative grav- ity changes relative to 1998 kept expanding from 109:3 μGal in 2000, to 120:6 μGal in 2002, and reached 184:0 μGal in 2005. Figures 2 and 3 illustrate gravity variations in the region from 1998 to 2000, 2002, and 2005. Figure 2 shows gravity variations at the nine absolute gravity observation stations. As can be seen from Figure 2, gravity at the Lijiang station had significant swings over those years with a negative gravity change of 18:7 μGal from 1998 to 2000, a positive change of 56:2 μGal from 2000 to 2002, and another negative change of 46:3 μGal from 2002 to 2005. Gravity at the Yushu station had changes similar to those at the Lijiang station. Another station with significant gravity changes is the Kum- ing station where gravity increased 2:1 μGal from 1998 to 2000 and then decreased from 2000 to 2005 with an overall negative change of 35:1 μGal from 1998 to 2005. Gravity at other absolute gravity observation stations changed within a range varying from 15 μGal to 13:7 μGal (Fig. 2). Figure 3a shows the time series of gravity changes at the 87 stations in the region from 1998 to 2000, 2002, and 2005. As can be seen from Figure 3a, gravity changes at all 87 sta- tions in the region over the time period from 1998 to 2005 were within the range of 120 to 75 μGal. We selected five stations where gravity changes were either most positive or most negative for the years 2000, 2002, and 2005 relative to 1998 and plotted the time series of gravity changes at these five stations in Figure 3b. The locations of these five stations are also shown in Figure 1. The station with the largest positive gravity change (64:8 μGal) from 1998 to 2005 was Xichang, and the station with the largest negative gravity change (119:2 μGal) over the same period was Qingchuan. Table 2 Basic Statistics of Gravity Variations (in μGal) at all Stations with Data in all Four Years (1998, 2000, 2002, and 2005) in the Region Years LPC* LNC† LPC minus LNC Average Median STDEV‡ Gravity Changes between Two Consecutive Years with Data 1998–2000 28.9 80:4 109.3 10:3 6:9 20.8 2000–2002 115.8 50:1 165.9 19.1 13.0 36.4 2002–2005 58.0 78:2 136.2 12:5 10:0 26.4 Gravity Changes Relative to 1998 1998–2000 28.9 80:4 109.3 10:3 6:9 20.8 1998–2002 75.0 45:6 120.6 8.7 5.4 27.7 1998–2005 64.8 119:2 184.0 3:8 4:0 30.2 *Largest positive change. †Largest negative change. ‡ Standard deviation. Gravity Measurements and Their Variations before the 2008 Wenchuan Earthquake 2819
  • 6.
    The difference betweenthe largest positive change (64:8 μGal) at the Xichang station, and the largest negative gravity change (119:2 μGal) at the Qingchuan station was 184 μGal. Xichang was 370-km south of the epicenter of the Wenchuan earthquake, and Qingchuan was 260-km north- east of the epicenter of the Wenchuan earthquake. The dis- tance between these two stations is 630 km. The exact areas with positive and negative gravity changes and their geographic distribution are illustrated with the map shown in Figure 4. The epicenter of the Wenchuan earthquake is located in the middle of this region. Areas with positive gravity changes are in the eastern rim of the Tibetan plateau southwest of Wenchuan (Fig. 4), and the rest of the region exhibited negative gravity changes with Qingchuan being the location with the largest negative gravity change from 1998 to 2005. Because hydrologic effects on gravity are small (Table 1), hydrologic effects do not alter the overall pattern of geographic distribution of areas with positive and negative gravity changes shown in Figure 4. Gravity Variations at Stations around the Epicenter We selected 16 stations around the epicenter of the Wenchuan earthquake (Fig. 5) and constructed the time ser- ies of gravity changes from 1998 to 2000, 2002, and 2005 at these 16 stations (Fig. 6). We divided these 16 stations into four groups based on their locations relative to the epicenter: stations located in the area southwest (SW) of the epicenter: Xinduqiao, Yajiang, Qianning, and Danba; northwest (NW): Maerkang, Miyalou, Wenchuan, and Songpan; northeast (NE): Wenxian, Qingchuan, Guangyuan, and Ningqiang, and southeast (SE): Chengdu, Ziyang, Neijiang, and Luzhou. Both gravity changes based on gravity data without or with adjustments of hydrologic effects at these 16 stations are shown in Figure 6. It can be seen in Figure 6 that hydrologic effects on gravity do not alter the overall patterns of gravity changes at these 16 stations. The four stations (Xinduqiao, Yajiang, Qianning, and Danba) located in the area southwest of the epicenter are on the plateau of western Sichuan province. As can be seen in Figure 6, after sizeable negative gravity changes at the four stations from 1998 to 2000, all four locations exhibited a significant increase in gravity from 2000 to 2002, and gravity changes eased from 2002 to 2005. The negative gravity change from 1998 to 2000 was as large as 70:1 μGal at the Yajiang station, and the largest positive gravity change from 2000 to 2002 was also observed at the Yajiang station with a swing of 115:8 μGal over the 2-yr period (2000– 2002) from 70:1 μGal (1998–2000) to 45:7 μGal (1998– 2002) relative to the gravity observed at the station in 1998. The four stations (Maerkang, Miyalou, Wenchuan, and Songpan), located in the area northwest of the epicenter, are also on the plateau of western Sichuan province. The range of gravity changes at these four stations varied significantly. Gravity at the Maerkang station exhibited wild swings with a negative change of 38:6 μGal from 1998 to 2000, a posi- tive reversal to 71.4 in 2002 relative to the gravity in 1998, and again back to 2:4 μGal in 2005 relative to 1998. By contrast, gravity at the Wenchuan station had only moderate swings when compared with the one at the Maerkang station (Fig. 6). Among the four stations, the Maerkang station was -6.9 -11 -15.7 2.1 -7.5 -35.1 -9.4 3.6 -16.9 -18.7 37.5 -8.8 -4.1 -1.2 5.9 0 -11.5 -19.8 -30.6 13.7 7.6 -0.9 -18.9 24.1 -29.6 -40 -30 -20 -10 0 10 20 30 40 Gravity changes (in µGal) 1998 2000 2002 2005 Chengdu Kunming Lanzhou Lijiang Luzhou Xi'an Xining Yinchuan Yushu Figure 2. Gravity changes (in μGal) at nine absolute gravity observation stations from 1998 to 2000, 2002, and 2005 Figure 3. Gravity changes (in μGal) at from 1998 to 2000, 2002, and 2005. (a) Gravity changes at all stations with complete data in all four years; (b) gravity changes at selected locations. 2820 Y. Zhu, F. B. Zhan, J. Zhou, W. Liang, and Y. Xu
  • 7.
    Figure 4. Geographicdistribution of gravity changes (in μGal) at some selected stations in the region. Figure 5. Gravity observation stations around the epicenter of the Wenchuan earthquake Gravity Measurements and Their Variations before the 2008 Wenchuan Earthquake 2821
  • 8.
    1998 2000 20022004 2006 Year -80 -40 0 40 80 Gravity changes (10 -8 ms -2 ) Gravity changes (10 -8 ms -2 ) Gravity changes (10 -8 ms -2 ) Gravity changes (10 -8 ms -2 ) Gravity changes (10 -8 ms -2 ) Gravity changes (10 -8 ms -2 ) Gravity changes (10 -8 ms -2 ) -80 -40 0 40 80 Gravity changes (10 -8 ms -2 ) Xinduqiao Yajiang Danba Qianning SW of epicenter 1998 2000 2002 2004 2006 Year Xinduqiao Yajiang Danba Qianning SW of epicenter 1998 2000 2002 2004 2006 Year -60 -40 -20 0 20 40 60 80 NW of epicenter Maerkang Miyaluo Wenchuan Songpan 1998 2000 2002 2004 2006 Y -60 -40 -20 0 20 40 60 80 NW of epicenter Maerkang Miyaluo Wenchuan Songpan 1998 2000 2002 2004 2006 Year -120 -100 -80 -60 -40 -20 0 20 40 NE of epicenter Wenxian Guangyuan Ningqinag Qingchuan 1998 2000 2002 2004 2006 Year -120 -100 -80 -60 -40 -20 0 20 40 NE of epicenter Wenxian Guangyuan Ningqinag Qingchuan 1998 2000 2002 2004 2006 Year -40 -20 0 20 SE of epicenter Louzhou Neijiang Chengdu Ziyang 1998 2000 2002 2004 2006 Year -40 -20 0 20 SE of epicenter Louzhou Neijiang Chengdu Ziyang without adjustments of hydrological effects with adjustments of hydrological effects Figure 6. Gravity changes (in μGal) over time at stations around the epicenter of the Wenchuan earthquake without and with adjustments of hydrologic effects. 2822 Y. Zhu, F. B. Zhan, J. Zhou, W. Liang, and Y. Xu
  • 9.
    the farthest fromthe epicenter of the Wenchuan earthquake, whereas the Wenchuan station was the closest, only 56 km from the epicenter. Gravity variations at these two stations from 1998 to 2005 suggest that gravity changes at locations near the epicenter actually were less than those at more dis- tant locations. Gravity at the four stations (Wenxian, Qingchuan, Guan- gyuan, and Ningqiang) in the area northeast of the epicenter from 1998 to 2005 was trending down in general with ex- treme negative gravity changes observed at the Qingchuan station. Gravity at the Qingchuan station decreased a total of 119:2 μGal from 1998 to 2005 and appeared to be still trending down in 2005. It is interesting that several strong aftershocks occurred in Qingchuan County (Fig. 4). The Qingchuan station was the closest station to the epicenters of these aftershocks. The extreme negative gravity changes at the Qingchuan station appear to be somewhat local and could be partly from other sources such as hydrologic effects and vertical crustal movements in the area. Unfortunately, no data were available for the authors to fully evaluate the effects of these sources. In the area southeast of the epicenter, which is in the Sichuan basin, gravity at these four stations, Chengdu, Ziyang, Neijiang, and Luzhou, only exhibited moderate changes from 1998 to 2005. This result suggests that the Sichuan Basin was relatively calm with only moderate changes in gravity from 1998 to 2005, and most of the grav- ity changes occurred in places located in the areas west of the epicenter on the plateau of western Sichuan province. Summary, Limitations, and Recommendations We described a gravity monitoring network covering the well-known south–north earthquake belt in China, a method for measuring gravity through stations on the network, as well as the procedures used to process absolute and relative ground gravity survey data. We then went on to report grav- ity variations from 1998 to 2005 before the Wenchuan earth- quake based on analysis results of ground gravity survey data obtained in 1998, 2000, 2002, and 2005. Gravity variations in the region from 1998 to 2005 exhibited several interesting characteristics that may be useful for future research in earth- quake science and earthquake forecast. First, the region where the changes occurred was large with a diameter of about 630 km, as measured by the distance from the location of the largest positive gravity change (Xichang) to the loca- tion of the largest negative gravity change (Qingchuan). Second, the difference between positive and negative gravity changes was large, varying from a negative change of 119:2 μGal from 1998 to 2005 at the Qingchuan station to a positive change of 75 μGal from 1998 to 2002 at the Zhongdian station. Third, significant gravity changes or swings occurred at several stations located west of the epicenter. These stations are located on the plateau of west Sichuan province. Fourth, gravity at the Wenchuan station, which is the station closest to the epicenter of the Wenchuan earthquake, only exhibited moderate gravity changes when it is compared with the level of changes at other stations. This result suggests that gravity changes in areas near the epicen- ter were moderate compared to changes at locations with the most significant changes. Although gravity changes at a number of locations in the area southwest of Wenchuan were noticeably significant, ad- ditional research is needed to confirm whether these gravity variations are associated with the Wenchuan earthquake. In addition, it should be cautioned that the reported gravity var- iations could be partly from inevitable measurement errors related to gravity surveys covering a large region, hydrologic effects on gravity, and vertical crustal movements on gravity. Other limitations of the data are that the density of the gravity observation stations is coarse, and the time intervals of the surveys were two to three years. The coarse spatial distribu- tion of the stations, the long time interval of the data, and the uncertainties in the data make it difficult to more conclu- sively establish any convincing association between the grav- ity variations and the Wenchuan earthquake. We did not report any attempts to forecast the Wenchuan earthquake using information derived from repeated ground gravity surveys in this discussion. The potential of gravity var- iations before large earthquakes has yet to be fully explored for earthquake forecasting and seismic hazards mitigation. In addition, there is very limited understanding about the association of gravity changes and earthquake processes. These are a few significant issues demanding for additional research. In summary, we conclude that gravity variations observed in the eastern rim of the Tibetan plateau before the Wenchuan earthquake are significant and are of important value to the earthquake research community, but additional research is needed to investigate whether these gravity var- iations are associated with the preparation of the Wenchuan earthquake. A few recommendations are in order for future research. For data collection, we recommend that (1) expand the geographic coverage of the monitoring network to cover the region more fully and add more stations to increase the density of the observation stations; (2) increase the frequency of gravity surveys to at least once a year; (3) collect ground water height data at all stations during gravity survey; (4) ob- tain vertical crustal movement data at stations if possible; and (5) carefully design specific routes to cover stations where noticeable gravity changes are observed and conduct the field observations with gravimeters carefully calibrated at nearby absolute gravity observation stations connecting the designed routes. For data analysis, we recommend that (1) design procedures to more fully account for hydrologic effects on gravity in the analysis; (2) include adjustments of vertical crustal movements on gravity in the analyses; and (3) design more powerful analytical tools to perform diag- nostic examinations of gravity variation patterns and their possible associations with an earthquake. Gravity Measurements and Their Variations before the 2008 Wenchuan Earthquake 2823
  • 10.
    Data and Resources Datadiscussed in this paper were collected and main- tained by joint operations between China Earthquake Administration, China State Bureau of Surveying and Mapping, and the Chinese Academy of Sciences. Chinese law prohibits the release of the data used for the analysis reported in this paper to the general public. Acknowledgments Part of the work reported in this article was completed in 2009 and 2010 while F. B. Z. was visiting Wuhan University in China. He wishes to thank the Chang Jiang Scholar Awards Program and Wuhan University for their support. The work of Y. Z., W. L., and Y. X. was supported in part by a grant from the National Science Foundation of China (Number 40874035) and by a special earthquake research project grant (Number 200908029) from China Earthquake Administration. The work of J. Z. was partly supported by a grant (Number KZCX2-YW-133) from the Knowledge Innovation of Chinese Academy of Sciences and a grant (Number 40730316) from the National Natural Science Foundation of China. The authors wish to thank the editor, the associate editor, and two anonymous referees for their thoughtful suggestions that helped shape the article to its current form. References China Earthquake Networks Center (CENC) (2010). http://www.csndmc.ac. cn/newweb/data.htm (accessed 19 May 2010). Chen, Y. T., H. D. Gu, and Z. X. Lu (1979). Variations of gravity before and after the Haicheng earthquake, 1975, and the Tangshan earthquake, 1976, Phys. Earth Planet. Int. 18, 330–338. Gu, G. X., J. T. Kuo, K. R. Liu, J. H. Zheng, H. Y. Lu, and D. F. Liu (1998). Seismogenesis and occurrence of earthquakes as observed by tempo- rally continuous gravity variations in China, Chi. Sci. Bull. 43, 8–21. Kuo, J. T., J. H. Zheng, S. H. Song, and K. R. Liu (1999). Determination of earthquake epicentroids by inversion of gravity variation data in the BTTZ region, China, Tectonophysics 312, 267–281. Liu, D., H. Li, and S. Liu (1991). A management and analysis system of gravity survey data-LGADJ, In Proceedings of Research Symposium of Application of Seismological Prediction Methods (Special issue on Deformation, Gravity and Strain Measurement), 339–350. Seismolo- gical PressBeijing, China (in Chinese). Liu, K. R., J. X. Zheng, J. T. Kuo, S. H. Song, R. F. Liu, Y. H. Lu, and F. Y. Guo (2002). Mobile gravity survey and the combined dilatation model (CDM) in the BTTZ region (in Chinese), In Advances in Pure and Applied Geophysics, Meteorological Publishing House, Beijing, China, 167–178. Oliver, H. W., M. F. Kane, and L. C. Pakiser (1961). Gravity anomalies in central Sierra Nevada, California, J. Geophys. Res. 66, 4265–4271. Page, R. (1968). Aftershocks and Microaftershocks of Great Alaska Earthquake of 1964, Bull. Seismol. Soc. Am. 58, 1131–1168. Rodell, M., P. R. Houser, U. Jambor, J. Gottschalck, K. Mitchell, C. J. Meng, K. Arsenault, B. Cosgrove, J. Radakovich, M. Bosilovich, J. K. Entin, J. P. Walker, D. Lohmann, and D. Toll (2004). The global land data assimilation system, Bull. Seismol. Soc. Am. 85, 381–394. Sun, S., A. Xiang, P. Zhu, and C. Shen (2006). Gravity change and its Mechanism after the first water impoundment in Three Gorges Project, Acta Seismologica Sinica 28, no. 5, 485–492(in Chinese). Wei, M. H., W. Zhao, and L. Ma (1985). Gravity Changes before and after the Tangshan Earthquake of July 28, 1976, and Possible Interpretation, J. Geophys. Res. B. Solid Earth Planets 90, 5421–5428. Wu, X., Y. Chen, H. Li, C. Hua, B. Ouyang, J. Shen, M. Yang, H. Sun, and Z. Zhang (1995). National network of gravity measurement and assess- ment of its accuracy. Earthq. Res. China 11, no. 1, 92–98 (in Chinese). Xing, L., C. Shen, H. Li, and O. Francis (2009). Comparative observation of absolute gravimeters in Walferdange (Luxembourg), J. Geodes. Geodyn. 29, no. 3, 77–79 (in Chinese). Xu, H. (2003). Function of gravimetry in CMONOC, J. Geodes. Geodyn. 23, 1–3 (in Chinese). Xuan, S., L. Xing, and Z. He (2008). Comparative experiment of gravity survey in mainland China using absolute gravimeters, J. Geodes. Geodyn. 28, no. 4, 72–74 (in Chinese). Zhang, Z., W. Cheng, X. Ruan, and P. Wu (2009). Seismicity and tectonic stress of the Longmenshan fault zone before 2008 Wenchuan Ms 8.0 earthquake, Acta Seismologica Sinica 31, no. 2, 117–127 (in Chinese). Zhang, W. M., Y. Wang, and X.-H. Zhou (2008). Expectation and applica- tion study of absolute gravity observation technology in China, Prog. Geophys. 23, no. 1, 69–72 (in Chinese). Zhou, J. C., H. P. Sun, and J. Q. Xu (2009). Validating global hydrological models by ground and space gravimetry, Chi. Sci. Bull. 54, 1534– 1542. Zhu, Y., B. Hu, H. Li, and B. Chen (2003). Variation of gravity field of Xinjiang area and Jiashi Ms 6.8 earthquake, J. Geodes. Geodyn. 23, no. 3, 66–69 (in Chinese). Zhu, Y., W. Liang, Y. Xu, and L. Liu (2006). Spatial-temporal characteristics of gravity field dynamics in mainland China and forecast of earthquake trends (in Chinese), In Annual Research Report about Earthquake Trends in China in 2007, Second Crust Monitoring and Application Center, China Earthquake Administration, Xi’An, China, 111–119. Zhu, Y., W. Liang, and Y. Xu (2008). Medium-term prediction of Ms 8.0 earthquake in Wenchuan, Sichuan by mobile gravity, Recent Dev. World Seismol. 7, 36–39 (in Chinese). Zhu, Y., Y. Xu, Y. Lv, and T. Li (2009). Relations between gravity variation of Longmenshan fault zone and Wenchuan Ms 8.0 earthquake, Chi. J. Geophys. 52, no. 10, 2538–2546 (in Chinese). Institute of Geodesy and Geophysics Chinese Academy of Sciences Wuhan, 430077, China (Y.Z., J.Z.) Texas Center for Geographic Information Science Department of Geography Texas State University San Marcos, Texas 78666 zhan@txstate.edu (F.B.Z.) Second Crust Monitoring and Application Center China Earthquake Administration Xi’An, 710054, China (W.L., Y.X.) Manuscript received 31 March 2010 2824 Y. Zhu, F. B. Zhan, J. Zhou, W. Liang, and Y. Xu