The impact of PROGRESA, PROCAMPO and the Word
Credit Program on Consumption in Mexico: A Propensity
Score Matching Analysis
Zaira Gonzalez
This research paper was written for the graduate Economics of Development course I took at
Oklahoma State University in the spring of 2015. It also served to fulfill the “creative
component” requirement for my Master of Science in International Agriculture degree.
1
1. INTRODUCTION
In the 1990s Latin America experienced a current in social policy that sought to move
away from discretionary aid towards more pro-poor and pro-democratic forms of welfare
(Gonzalez 2011). In Mexico, the expenditure in social development from 1990 to 2007 had a real
growth of 276%: from 1990 to 1994 it grew by 91%, from 1994 to 1995 it fell by 23%, but had a
subsequent recovery to 537 billion pesos in 1996. In 2007, this amount reached 1,136 billion
dollars (CONEVAL, 2008).
The budget for poverty alleviation in Mexico for 2014 was 1.575 billion pesos (around
101 billion dollars), amounting to 1.2% of the country’s GDP. Prospera (formerly
Progresa/Oportunidades) serves as the federal government’s main tool for poverty alleviation:
with 75 billion pesos in 2014 (around 4,818 million dollars), this program has the biggest budget
compared to any other federal program in Mexico (SEDESOL 2010, CNN.com 2014). Serving
5.8 million families, this program alone benefits around 25% of the Mexican population
(WorldBank.com). However, in spite of the coverage and the expenditure the Mexican
government devotes to poverty alleviation, the lack of correspondence between this expenditure
and their results has given rise to strong criticism to welfare government programs’
implementation and management.
According to the World Bank, the percentage of the population in Mexico living under
poverty amounted to 52.3% in 2012—more than half of the country’s population. This figure is
exacerbated when referring to rural poverty, since it affects about 63.6% of people living in rural
areas (WorldBank.org). The high incidence in poverty that is focalized in rural communities
brings the need of a through and comprehensive strategy to optimize the welfare expenditure on
policies designed to combat poverty.
The objective of this paper is to analyze and compare the impact on welfare of three
governmental programs in Mexico aimed at alleviating poverty, particularly in rural areas:
2
PROGRESA, PROCAMPO, and the Word Credit Program (WCP). Although the WCP was
replaced by Financiera Rural in 2003, which operates under different rules and has a wider target
population, information of the new program is not available. For this reason, this study will be
limited to the year 2002, allowing for the analysis and comparison of the three programs. The
research’s focus is to identify households’ characteristics that are decisive on the programs’
impact size on welfare. The initial hypothesis is that participation in these programs will
increase household consumption.
The key finding of this paper is that most programs seem to have a negative impact on
food expenditure at the household level. This result, although unexpected, is discussed in the last
section of the paper. The remainder of this research paper is organized as follows: the
Background section gives an overview of the operations and history for each of the three
programs analyzed, the Literature Review section goes over some relevant literature used in the
design of this research, the Data section describes the data used, the Methodology section
explains the strategy used to evaluate the impact of the three different government programs, the
Results section presents the findings, and in the Conclusions and Discussion section
interpretations for the results are presented as well as suggestions for future studies of the
programs.
2. BACKGROUND ON WELFARE PROGRAMS IN MEXICO
2.1 PROGRESA
In August 1997 the conditional cash transfer program (CCT) Progresa began operating
with the objective of addressing extreme poverty in rural areas, focusing on the welfare
indications of education, health, and nutrition. The transfer of cash was thus conditioned on
regular school attendance and visits to health care centers for medical checkups, as well as on
“platicas,” which are informational meetings discussing health-related topics, such as nutrition.
Gender plays an important role in this program, since the cash transfer is higher for families that
3
have girls enrolled in school in comparison to boys. In addition, the disbursement is given
directly to the mother in the household (Skoufias 2005). Before its dissolution in 2002 and its
replacement with Oportunidades, Progresa covered approximately 2.6 million families, which is
the equivalent to 40% of all rural families. With a budget size of $777 million in 1999, this
program received the equivalent of Mexico’s 0.2% total GDP (IFPRI.org).
2.2 PROCAMPO
Implemented in 1993 following the commencement of the North America Free Trade
Agreement (NAFTA), PROCAMPO was created to aid farmers compete against the lower-
priced, subsidized American and Canadian agricultural production. Although the program was
initially designed to operate for only 15 years, it is still operating thanks to political lobbying by
the agriculture sector, turning it into the federal program with the highest amount of rural
beneficiaries (Sagarpa.gob.mx). PROCAMPO also substituted agricultural programs that
consisted in government minimum price payment for agricultural production. Instead, this new
program provides fixed payments per hectare to eligible agricultural producers. Land is eligible
to receive PROCAMPO’s benefits if it was used to cultivate safflower, barley, corn, beans,
soybeans, wheat, sorghum, rice, or cotton between August 1992 and August 1993. Most of the
rural farmers that benefit from the program are low-income, and their production is mostly used
for self-consumption (Altamirano et al. 1997, Ruiz-Arranz 2006).
2.3 WORD CREDIT PROGRAM
In 1990, the federal government created the Word Credit Program aimed at low
productivity and rain-fed land farmers, who had no access to formal credit, and who owned no
more than 20 hectares of land. Beneficiaries could continue in the program as long as they did
not default on the previous year’s loan. The credits’ objective was to increasing beneficiaries’
production, particularly basic grains production, and thus improve their quality of life. These
loans were given at zero interest rate and had no collateral requirement. In 2002, the amount that
4
each farmer received was 550 pesos per hectare, which is equivalent to 35 USD (Stanton 2002,
Favela 2003).
In 2003 Financiera Rural replaced the Word Credit Program, among other government
financial institutions (Grammont 2001, FinancieraRural.gob.mx). Financiera Rural operates
with the mission to "develop rural areas through first and second floor financing for any
economic activity undertaken in communities of fewer than 50,000 inhabitants, resulting in an
improved quality of life" (Financiera Rural, 2013).
3. LITERATURE REVIEW
3.1 INDICATORS AND PROXIES FOR WELFARE
The most common proxy for welfare programs impact evaluations in developing
countries, at either household or community level, is consumption (Crépon et al. 2011, Khandker
2005). There is strong evidence that the use of a consumption-based poverty measure is
preferable to any income-based poverty measure for identifying the most disadvantaged sectors
of a population (Meyer and Sullivan, 2012). Waheed (2009) conducted a survey to families
participating in a microcredit program, which included questions about income, assets, education
and family size. The simple consumption model showed that among the variables that improved
the well-being of households, education and microcredits were the most significant ones.
Consumption as a measure of welfare can more efficiently be used if other baseline
characteristics are taken into account. Crépon et al. (2011) performed a randomized experiment
to measure the impact of microcredits using a control and a treatment group, where he found “a
substantial effect [of microcredits] on sales (3,305 MAD increase, Morocco’s currency),
expenses (2,297 MAD, or 14%), in-kind savings (11%) and self-consumption (11.8%).” Since
treatment households reduced their supply on external work to work on their agricultural
projects, Crépon did not observe any change in net income, even though these other indicators
improved. However, when he analyzed the data by households with and without a self-
5
employment activity at baseline, he observed that although households with a pre-existing
activity reduced consumption, they experienced a large increase in sales, expenditures and
savings. On the other hand, households without a baseline activity “had no significant increase
in their activities and had an increase in their consumption.” Thus, acknowledging other factors
that shape the impact of a program can be crucial to successfully understand the interaction
between the program and these impacts.
Another popular, more specific alternative to welfare impact evaluation is using food
consumption as the measure of welfare. For example, Jensen and Miller (2011) proposed
analyzing food consumption for households that benefited from subsidized goods in China,
finding no overall evidence of an effect of subsidies on nutrition, measured as caloric intake.
Interestingly, it is possible that these subsidies reduced the amount of calories consumed in one
of the provinces.
3.2 MICROFINANCE VS. CASH TRANSFERS AS A POLICY FOR POVERTY ALLEVIATION
An option to evaluate the effectiveness of the government’s poverty alleviation programs
is to compare the size of their impacts. Pantelić (2011) found that the effectiveness of CCT’s
compared to microfinance programs is affected by the recipient’s income level: households
living on US$2 or more per day will benefit better from microloans, whereas CCTs may be
better suited for individuals living in extreme poverty. Although both programs have a positive
effect on consumption, the evidence of CCT’s impact on health and education is more evident
compared to microloans’. This success can be attributed to CCT’s conditionality: participant
families are conditioned on sending their children to school and attending regular medical
checkups to receive benefits from Progresa, whereas PROCAMPO beneficiaries are conditioned
on the farming of their land (Pantelić 2011).
An analysis on Progresa and PROCAMPO welfare impact performed in 2006 by Ruiz-
Arranz provides further evidence on the different impact these programs have depending on the
6
recipients’ characteristics. Progresa is a short run consumption based program for nutrition
improvements, since beneficiaries improve their food security through purchases. In contrast,
given the PROCAMPO’s operating dynamics, this program impacts households’ agricultural
investment and home production, serving as a production based, medium term policy tool for
food security (Ruiz-Arranz, 2006).
4. DATA
This papers uses data obtained from household surveys given by the first round of the
Mexican Family Life Survey (MxFLS-1) conducted in 2002. The first round was designed by
the National Institute of Statistics and Geography (INEGI, by its initials in Spanish). The
baseline sample is probabilistic, stratified, multi-staged, and independent at every phase of the
study, and the population is comprised by Mexican households in 2002. According to the
MxFLS website, “primary sampling units were selected under criterions of national, urban-rural
and regional representation on pre-established demographic and economic variables.”
The first round or baseline survey (MXFLS-1) collected information on a sample of
35,000 individuals from 8,400 households in 150 communities throughout the country. The
survey included questions on socioeconomic and demographic indicators at the individual,
household and community level, such as on education, government programs’ benefits, labor and
non-labor income, credits and loans, food expenditure, etc. The survey’s individual observations
were collapsed into average or sum observations, creating a household level dataset with 8,400
observations.
The treatment group consisted of 682 households receiving PROCAMPO benefits, 1163
receiving Progresa benefits, and 56 WCP participating households. In the second part of the
analysis a propensity score matching was performed, where in order to avoid biased caused by
7
household participating in two or more programs 239 household were dropped from the
PROCAMPO analysis, 720 from Progresa, and 50 from the WCP.1
5. METHODOLOGY
In order to account for income (which is an endogenous variable to the model), this paper
uses other variables determinants of households’ consumption. These include measures of
human capital, household assets, regional dummies, age, gender of the head of the household,
and education. Food consumption is measured as calorie intake. The proposed initial model
thus looks as follows:
Consumptioni = β1PROCAMPOi + β2PROGRESAi + β3WCPi + β4Xi + εi
where different proxies are used to account for Consumptioni, the amount of consumption
experimented per year in household i. These include Total Expenditures, Food Expenditures,
and Meat Expenditures. The last proxy was included to understand how the three programs
affect expenditure by food group.
Due to dropped observations, the danger of selection bias is present for each of the three
program analysis. To check whether there are certain observable characteristics that affect
selection into each of the three programs, an initial t-test is run between beneficiaries and non-
beneficiaries in the survey. A propensity score model is calculated afterwards, which controls for
observable heterogeneity by creating a counterfactual outcome to estimate outcomes without the
program. Subsequently, this outcome is compared to the outcome from individuals with similar
propensity to participate in the program given their characteristics. Finally, a test to check that
the covariates are balanced in the matched sample is performed. State is controlled for in all
regressions and models, except for WCP, due to the low number of control observations.
1
These observations were not dropped for the OLS regression due to the low number of observations this regression
relied on.
8
6. RESULTS
6.1 OLS Model
The first simple regression run gives an initial assessment of the impact each of the three
programs had on consumption, measured as total expenditure, expenditure on food, and meat
expenditure. The independent variable is the disbursement amount received by the household
from each of the three programs. None of these programs had a statistically significant effect on
the consumption measures, but the coefficients for PROCAMPO and the WCP were positive,
whereas Progresa’s coefficient was negative. When the regression was run using dummy
variables for household program participation, the results indicated that participating in Progresa
has a significant negative impact on a household’s total expenditures and food expenditures.
Although not statistically significant, the impact of WCP was positive for the three expenditure
measures. Procampo participation had a negative impact for total expenditures and meat, and a
positive impact for food expenditure, all non-significant.
6.2 Propensity Score Matching
The t-test results to check for statistical differences between the beneficiary and the non-
beneficiary groups are shown on table 3, after dropping observations for households participating
in two or more programs. Although the null hypothesis stating that the groups are not different
was rejected for very few observations in the Progresa and WCP t-tests, five characteristics
(household size, household assets, number of people in the household aged 16-21/22-27, and
number of females) out of 17 presented a p-value above .10, and thus the null hypothesis could
not be rejected. Following Azam’s methodology (2013), a Probit model is estimated to calibrate
the propensity score on the sample of individuals surveyed, both beneficiaries and non-
beneficiaries (table 4). The explanatory power of the model is relatively high for Progresa and
Procampo, which have a pseudo R2
of 0.3144 and 0.2808. The WCP has an R2
of 0.0801. Most
explanatory variables are statistically significant, except for the WCP model. The overlap in
9
support between the treatment and control groups for Progresa and Procampo is noticeably better
than for the WCP, where the matching was very low since the covariates were not balanced in
the matched sample. The overlap is shown figure 1, where homoskedasticity is assumed for the
Food Expenditure variable within the treated and control groups. The graphs for
homoskedasticity for Total Expenditure and Meat Expenditure are very similar and not included
in this paper.
The same t-test from table 3 was performed after matching to test for the differences
between treatment and control groups’ characteristics for each program (Progresa, Procampo,
and WCP), and for each welfare measure (Total Expenditure, Food Expenditure, and Meat
Expenditure). No significant differences between the treatment and control groups’
characteristics were found for the Progresa and WCP (Table 5). That means that the matching
method was indeed successful at controlling for the differences observed in the unmatched data.
Table 6 shows the three programs’ average treatment effect on the treated (ATT), which
are negative and not significant, with the exception of Food Expenditure under the Progresa
program, which is significant at a 99% confidence level. The results contrast with those from the
OLS regression on table 1 and 2. However, the only statistically significant coefficients in the
OLS regressions were found on table 2 for the Progresa Participation dummy, and they were
negative.
7. CONCLUSIONS AND DISCUSSION
Although theory would have predicted that the ATT values on Table 6 would be positive,
the ATT results for Progresa can be interpreted theoretically. Boccia et al. (2011) shows that
“there exists some substitution of quantity for quality as cash transfers rise, reflected by the fact
that food expenditure elasticities are higher than calorie elasticities.” This could very much be
the case in the Progresa program: there is a significant reduction on Total Expenditure and Food
Expenditure, but not significant for Meat Expenditure. Although most coefficients in table 6 are
10
not statistically significant, the difference between treatment and control groups is the smallest
under the meat expenditure category. Boccia mentions that the shift from high calorie to low
calorie/better tasting foods is a major policy concern in the development literature. However, the
context in Mexico is different given the high prevalence in obesity in the population. Mexico is
the country with the highest amount of obese children in the world, and the Mexican government
has implemented an array of public policy initiatives to approach this health problem, including
promoting a more balanced diet and the consumption of more fruits and vegetables.
Following the interpretations from Boccia, this research’s findings could reflect families’
substitution of staple goods, such as corn and beans, for meat and vegetables: “since poor
nutritional status can be caused not only by insufficient intake of calories but also by lack of diet
diversity, the observed shift can be considered beneficial” (Boccia et al., 2011). However, these
findings could also be the result of omitted variable bias, which happens when the model does
not incorporate unobserved characteristics that differ between the two groups and that account
for the probability to participate in the program. These worries are dismissed, since the
regressions and models’ results are logical assuming that low-income people consume less.
Although the results are not conclusive, this paper provides a framework for a future
study that could incorporate data from MXFLS-2 (2005) and MXFLS-3 (2009) after information
from the WCP becomes available later this year. Other suggestions for a future study are to
include more food expenditure categories, such as dairy and vegetables, and to incorporate
consumption of homegrown food to the model.
11
REFERENCES
Azam, M., Ferré, C., & Ajwad, M. 2013. Can public works programs mitigate the impact of
crises in Europe? The case of Latvia. IZA Journal of European Labor Studies, 2, 1-21.
Boccia, D., Hargreaves, J., Lönnroth, K., Jaramillo, E., Weiss, J., Uplekar, M., Porter, J.D.H.,
and Evans, C.A. 2011. Cash transfer and microfinance interventions for tuberculosis control:
review of the impact evidence and policy implications. The international journal of tuberculosis
and lung disease: the official journal of the International Union against Tuberculosis and Lung
Disease, 15(Suppl 2), S37.
CONEVAL, 2008. Informe de Evaluación de la Política de Desarrollo Social en México 2008.
CONEVAL, pp. 116.
Crépon, B., Devoto, F., Duflo, E., & Parienté, W. 2011. Impact of Microcredit in Rural Areas of
Morocco. Working Paper. International Growth Center. London School of Economic and
Political Science.
Favela, A. 2003. El combate a la pobreza en el sexenio de Zedillo. Plaza y Valdés.
Financiera Rural. 2013. Historia. Accessed August 6, 2014, from
http://www.financierarural.gob.mx/fr/Paginas/Historia.aspx
Financiera Rural. 2013. Misión y Visión. Accessed August 6, 2014, from
http://www.financierarural.gob.mx/fr/Paginas/MisionVision.aspx.
González, Z. 2011. Rewarding Voters through Welfare Transfers in Mexico and Brazil. Carleton
College. Available at http://people. carleton. edu/~ amontero/Zaira% 20Gonzalez. pdf.
Grammont, H. C. 2001. El Barzón: clase media, ciudadanía y democracia. Plaza y Valdes.
IFPRI. n.d. PROGRESA. http://www.ifpri.org/book-766/ourwork/program/progresa
Khandker, S. R. 2005. Microfinance and poverty: Evidence using panel data from Bangladesh.
The World Bank Economic Review, 19(2), 263-286.
Luna, C. 2014, October 2. De Oportunidades a Prospera, ¿solo un cambio de nombre? CNN
Expansión. Retrieved from
http://www.cnnexpansion.com/economia/2014/10/02/de-oportunidades-a-prospera-un-cambio-
fundamental
Meyer, B. D., & Sullivan, J. X. 2012. Identifying the disadvantaged: Official poverty,
consumption poverty, and the new supplemental poverty measure. The Journal of Economic
Perspectives, 111-135.
Pantelić, A. 2011. “A comparative analysis of microfinance and conditional cash transfers in
Latin America.” Development in Practice, 21:6, 790-805.
Rubalcava, L., y Teruel, G. 2006. “Mexican Family Life Survey, First Wave”, Working Paper,
www.ennvih-mxfls.org
12
Ruiz-Arranz, M., Davis, B., Handa, S., Stampini, M., & Winters, P. 2006. Program
conditionality and food security: The impact of PROGRESA and PROCAMPO transfers in rural
Mexico. Revista Economia, 7(2), 249-278.
Sagarpa. 2013. PROCAMPO Productivo - Antecedentes.
http://www.sagarpa.gob.mx/agricultura/Programas/proagro/procampo/Paginas/Antecedentes.asp
x
Santoyo, H., Reyes, J., and Manrubio, R. 1997. Tendencias del financiamiento rural en México,
Revista de Comercio Exterior, p. 1014.
SEDESOL. 2015, February 16. PROSPERA fomenta las capacidades productivas, la mejor
forma de acabar con la pobreza.
http://www.sedesol.gob.mx/en/SEDESOL/Comunicados/2872/prospera-fomenta-las-
capacidades-productivas-la-mejor-forma-de-acabar-con-la-pobreza
Skoufias, E. 2005. PROGRESA and its impacts on the welfare of rural households in Mexico
(Vol. 139). Intl Food Policy Res Inst.
Stanton, J., Zeller, M., & Meyer, R. L. (Eds.). 2002. The triangle of microfinance: Financial
sustainability, outreach, and impact. Intl Food Policy Res Inst.
Waheed, S. 2009. “Does Rural Micro Credit Improve Well-being of Borrowers in the Punjab
(Pakistan)?” Pakistan Economic and Social Review, 31-47.
World Bank. 2014. A Model from Mexico for the World.
https://www.worldbank.org/en/news/feature/2014/11/19/un-modelo-de-mexico-para-el-mundo
13
APPENDIX
Table 1. OLS for Program Impact on Household Expenditure
Variable Total Exp. Food Meat
PROCAMPO -0.1454 (.659) 0.2119 (.1431) -0.0201 (.1137)
WCP 0.9262 (1.17) 0.125 (.2542) 0.0329 (.2019)
Progresa -0.6084 (.6534) -0.0705 (.1419) -0.0634 (.1128)
hhsize
10326.72
(2186.49)*** 2337.665 (474.9)*** 475.7921 (377.33)
primary -8888.20 (3914.73)** 1333.306 (850.44) 792.495 (675.58)
coll 11138.5 (5675.53)** 10785.14 (1232.97)*** 4238.246 (979.45)***
secondary -4897.27 (4883.18) 3770.517 (1060.83)*** 1371.611 (842.71)
high 588.82 (5967.95) 7841.53 (1296.49)*** 1835.088 (1029.91)*
rural -7172.95 (2811.85)** -3097.131 (610.85)***
-1383.339
(485.25)***
pcincome 0.38 (.0438)*** 0.40005 (.0095)*** 0.0018 (.0076)
HHAssets 0.0002 (.0001)* 0.00003 (.00003) 9.92E-06 (.00002)
age -450.49 (148.57)*** -71.3261 (32.2875)** 28.0237 (25.64)
nage015
-13232.05
(2595.03)*** -2218.744 (563.571)*** -690.4924 (447.83)
nage1621
-10741.6
(3119.84)*** -1148.702 (677.76)* -139.4504 (538.40)
nage2227
-10319.97
(3160.24)*** -840.0254 (686.538) 313.6092 (545.38)
nage2835 -7154.74 (2896.11)* -433.2102 (629.157) 409.2961 (499.79)
nage3645 54.4783 (2472.29) 59.7457 (537.0856) 774.5937 (426.65)*
nfemales 1184.702 (1529.18) 464.3349 (332.204) 152.599 (263.90)
R2
0.0342 0.2518 0.0125
Figures represent unstandardized OLS Regression parameters; standard errors in parentheses; * p< .10, **
P< .05, *** p< .01
14
Table 2. OLS for Program Participation Impact on Household Expenditure
Variable Total Exp. Food Meat
dPROCAMPO -5231.99 (4945.5) 492.1406 (1074.40) -765.4642 (853.62)
dWCP 10735.72 (15053.56) 4376.81 (3270.35) 103.2523 (2598.30)
dProgresa -8858.65 (4061.02)** -1987.217 (882.25)** -882.6329 (700.95)
pcincome 0.3845 (.0438)*** 0.4000669 (.0095)*** 0.0018 (.008)
hhsize
10455.35
(2195.45)*** 2332.68 (476.956)*** 501.81 (378.94)
primary -9407.58 (3920.91)** 1239.352 (851.81) 742.18 (676.76)
coll 10072.47 (5695.53)* 10561.04 (1237.34)*** 4131.89 (983.07)***
secondary -5918.58 (4907.27) 3543.037 (1066.09)*** 1272.75 (847.01)
high -514.51 (5990.30) 7604.209 (1301.38)*** 1730.03 (1033.95)*
rural -4954.06 (2989.55)* -2688.564 (649.47)*** -1126.29 (516.006)**
HHAssets 0.0002 (.0001 )* 0.00003 (.00003) 9.89E-06 (.00002)
age -448.49 (148.56) *** -71.1575 (32.2734)** 28.50 (25.64)
nage015
-13081.23
(2606.58)*** -2136.016 (566.27)*** -688.59 (449.91)
nage1621
-10744.89
(3124.13)*** -1116.604 (678.71) -151.78 (539.24)
nage2227
-10509.16
(3164.51)*** -843.6824 (687.48) 284.18 (546.21)
nage2835
-7280.94
(2899.002)** -440.7857 (629.80) 385.12 (500.38)
nage3645 -52.01 (2475.04) 66.54938 (537.7) 755.72 (427.2)*
nfemales 1159.66 (1528.22) 449.4444 (332.003) 150.49 (263.78)
R2
0.0347 0.2522 0.0127
Figures represent unstandardized OLS Regression parameters; standard errors in parentheses; * p< .10, **
P< .05, *** p< .01
15
Table3.Differenceinex-antevariablesafterdroppingobservationsofhouseholdsparticipatingintwoormoreprograms,beforematching
VariablesTreatmentControlTreat=ControlTreatmentControlTreat=ControlTreatmentControlTreat=Control
HouseholdSize4.0675.183***4.1994.2374.2295
FinishedPrimarySchool?.4462.5989***.4528.6501***.4677.5
FinishedCollege?.1129.0160***.1067.0180***.09920
FinishedSecondarySchool?.2009.1058***.1956.0948***.18620
FinishedHighSchool?.0913.0203***.0864.0270***.08120
LivesinRuralArea.3107.8748***.3482.8261***.38961***
PerCapitaIncome11702.033.725.711***11036.736.577.637***10582.051.739.021
HouseholdAssets713895.5395364673392.5758236.5662646.1165050.8
AgeofHHHead32.5027.90***31.4541.06***32.0636.31
NumberofpeopleinHHage0-151.3802.426***1.5281.139***1.5222
NumberofpeopleinHHage16-21.4724.5604***.4818.5101.4886.6666
NumberofpeopleinHHage22-27.3879.3294***.3817.3679.3789.1666
NumberofpeopleinHHage28-35.4785.4983.4886.3363***.4758.3333
NumberofpeolpeinHHage36-45.4943.6117***.5168.3769***.5090.3333
NumberofFemales2.1072.681***2.1812.099*2.1933.166**
PerCapitaHHAssets231495.1212118225684.3289635.1223678.256866.37
Standarderrorsinparentheses;*p<.10,**P<.05,***p<.01
ProgresaProcampoWCP
16
Table 4. Probit for Calibrating Propensity Score
Progresa Procampo WCP
Household Size -.1004 (.04)** .4371 (.04)*** .0745 (.21)
Finished Primary School? -.3011 (.06)*** .2507 (.08)*** -.2205 (.29)
Finished College? -.9448 (.15)*** -.1600 (.18) 0 (omitted)
Finished Secondary School? -.7055 (.09)*** .2275 (.11)** 0 (omitted)
Finished High School? -1.000 (.14)*** .2227 (.16) 0 (omitted)
Lives in Rural Area 1.232 (.05)*** .9679 (.06)*** 0 (omitted)
Per Capita Income -0000 (.000)*** .000 (.000) -.000 (.00)
Household Assets -.000 (.000) .000 (.000) -.000 (.00)
Age of HH Head .0048 (.00)* .0071 (.00)** -.0036 (.01)
Number of people in HH age 0-15 .2813 (.05)***
-.4366
(.05)*** -.1484 (.23)
Number of people in HH age 16-21 .1477 (.05)***
-.3609 (.06)
*** -.1305 (.30)
Number of people in HH age 22-27 .0528 (.06)
-.3150
(.07)*** -.3746 (.37)
Number of people in HH age 28-35 .0780 (.05)
-.2993
(.06)*** -.1552 (.28)
Number of peolpe in HH age 36-45 .1315 (.04)***
-.2204
(.05)*** -.2575 (.27)
Number of Females -.0238 (.02) -.0649 (.03)* .2023 (.16)
Per Capita HH Assets .000 (.000)* .000 (.000) -.000 (.00)
R2
0.3144 0.2808 0.0801
Standard errors in parentheses; * p< .10, ** P< .05, *** p< .01
17
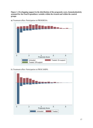
Figure 1. Overlapping support in the distribution of the propensity score, homoskedasticity
assumed for the Food Expenditure variable within the treated and within the control
groups
a) Treatment effect: Participation in PROGRESA.
b) Treatment effect: Participation in PROCAMPO.
0 .2 .4 .6 .8
Propensity Score
Untreated Treated: On support
Treated: Off support
0 .2 .4 .6 .8
Propensity Score
Untreated Treated
18
c) Treatment effect: Participation in WCP.
0 .2 .4 .6 .8
Propensity Score
Untreated Treated
19
Table 5. Difference in ex-ante variables, after matching
Variables Treatment Control Treat = Control Treatment Control Treat = Control Treatment Control Treat = Control
Household Size 5.168 5.20 4.252 4.40 5 5.33
Finished Primary School? .5989 .60 .6522 .53 *** .5 .83
Finished College? .0161 .02 .0181 .05 *** 0 0
Finished Secondary School? .1064 .10 .0954 .27 *** 0 0
Finished High School? .0204 .02 .0272 .06 * 0 0
Lives in Rural Area .8763 .88 .825 .61 *** 1 1
Per Capita Income 3726.2 3983.7 6615.7 10.466 1739 4697.8
Household Assets .0000 .00 .0000 .00 .0000 76133
Age of HH Head 27.91 27.37 41.00 31.92 *** 36.31 24.34
Number of people in HH age 0-15 2.414 2.42 1.147 1.71 *** 2 2.33
Number of people in HH age 16-21 .5602 .59 .5136 .45 .6666 .66
Number of people in HH age 22-27 .3290 .33 .3704 .36 .1666 .5
Number of people in HH age 28-35 .4989 .48 .3386 .52 *** .3333 .33
Number of peolpe in HH age 36-45 .6118 .60 .3795 .55 *** .3333 .5
Number of Females 2.672 2.67 2.106 2.20 3.166 3.33
Per Capita HH Assets .0000 .00 .0000 99507 5686 11453
Variables Treatment Control Treat = Control Treatment Control Treat = Control Treatment Control Treat = Control
Household Size 5.168 5.20 4.252 4.40 5 5.33
Finished Primary School? .5989 .60 .6522 .53 *** .5 .83
Finished College? .0161 .02 .0181 .05 *** 0 0
Finished Secondary School? .1064 .10 .0954 .17 *** 0 0
Finished High School? .0204 .02 .0272 .06 * 0 0
Lives in Rural Area .8763 .88 .825 .61 *** 1 1
Per Capita Income 3726.2 3983.7 6615.7 10.466 1739 4697.8
Household Assets .0000 .00 .0000 .00 .0000 76133
Age of HH Head 27.91 27.37 41.00 31.92 *** 36.31 24.34
Number of people in HH age 0-15 2.414 2.42 1.147 1.71 *** 2 2.33
Number of people in HH age 16-21 .5602 .59 .5136 .45 .6666 .66
Number of people in HH age 22-27 .3290 .33 .3704 .36 .1666 .5
Number of people in HH age 28-35 .4989 .48 .3386 .52 *** .3333 3.33
Number of peolpe in HH age 36-45 .6118 .60 .3795 .55 *** .3333 .5
Number of Females 2.672 2.67 2.106 2.20 3.166 3.33
Per Capita HH Assets .0000 .00 .0000 99507 5686 11453
Variables Treatment Control Treat = Control Treatment Control Treat = Control Treatment Control Treat = Control
Household Size 51.688 5.20 4.252 4.40 5 5.33
Finished Primary School? .5989 .60 .6522 .53 *** .5 .83
Finished College? .0161 .02 .0181 .05 *** 0 0
Finished Secondary School? .1064 .10 .0954 .17 *** 0 0
Finished High School? .0204 .02 .0272 .06 * 0 0
Lives in Rural Area .8763 .88 .825 .61 *** 1 1
Per Capita Income 3726.2 3983.7 6615.7 10.466 1739 4697.8
Household Assets .0000 .00 .0000 .00 .0000 76133
Age of HH Head 27.91 27.37 41.00 31.92 *** 36.31 24.34
Number of people in HH age 0-15 2.414 2.42 1.147 1.71 *** 2 2.33
Number of people in HH age 16-21 .5602 .59 .5136 .45 .6666 .66
Number of people in HH age 22-27 .3290 .33 .3704 .36 .1666 .5
Number of people in HH age 28-35 .4989 .48 .3386 .52 *** .3333 .33
Number of peolpe in HH age 36-45 .6118 .60 .3795 .55 *** .3333 .5
Number of Females 2.672 2.67 2.106 2.20 3.166 3.33
Per Capita HH Assets .0000 .00 .0000 99507 56866 11453
Standard errors in parentheses; * p< .10, ** P< .05, *** p< .01
Progresa Procampo WCP
MEAT
EXP
FOOD
Progresa Procampo WCP
Progresa Procampo WCP
20
Table 6. Average impact of programs on expenditure.
Standard errors in parentheses; * p< .10, ** P< .05, *** p< .01
Expenditure Treated Control Difference
Total 24376.68 36702.32 -12325.64 (4784.51)
Food 8768.38 11160.26 -2391.88 (944.47)***
Meat 3966.42 4492.51 -526.08 (521.38)
Expenditure Treated Control Difference
Total 29899.18 31155.032 -1255.85 (4060.36)
Food 11631.60 15051.28 -3419.67 (2900.91)
Meat 4352.03 4366.49 -14.457 (312.36)
Expenditure Treated Control Difference
Total 15711.82 22113.19 -6401.38 (6294.89)
Food 5622.43 7464.71 -1842.28 (2868.52)
Meat 2346.30 2998.05 -651.75 (1367.74)
WCP
Progresa
Procampo

GonzalezZaira_WritingSample

  • 1.
    The impact ofPROGRESA, PROCAMPO and the Word Credit Program on Consumption in Mexico: A Propensity Score Matching Analysis Zaira Gonzalez This research paper was written for the graduate Economics of Development course I took at Oklahoma State University in the spring of 2015. It also served to fulfill the “creative component” requirement for my Master of Science in International Agriculture degree.
  • 2.
    1 1. INTRODUCTION In the1990s Latin America experienced a current in social policy that sought to move away from discretionary aid towards more pro-poor and pro-democratic forms of welfare (Gonzalez 2011). In Mexico, the expenditure in social development from 1990 to 2007 had a real growth of 276%: from 1990 to 1994 it grew by 91%, from 1994 to 1995 it fell by 23%, but had a subsequent recovery to 537 billion pesos in 1996. In 2007, this amount reached 1,136 billion dollars (CONEVAL, 2008). The budget for poverty alleviation in Mexico for 2014 was 1.575 billion pesos (around 101 billion dollars), amounting to 1.2% of the country’s GDP. Prospera (formerly Progresa/Oportunidades) serves as the federal government’s main tool for poverty alleviation: with 75 billion pesos in 2014 (around 4,818 million dollars), this program has the biggest budget compared to any other federal program in Mexico (SEDESOL 2010, CNN.com 2014). Serving 5.8 million families, this program alone benefits around 25% of the Mexican population (WorldBank.com). However, in spite of the coverage and the expenditure the Mexican government devotes to poverty alleviation, the lack of correspondence between this expenditure and their results has given rise to strong criticism to welfare government programs’ implementation and management. According to the World Bank, the percentage of the population in Mexico living under poverty amounted to 52.3% in 2012—more than half of the country’s population. This figure is exacerbated when referring to rural poverty, since it affects about 63.6% of people living in rural areas (WorldBank.org). The high incidence in poverty that is focalized in rural communities brings the need of a through and comprehensive strategy to optimize the welfare expenditure on policies designed to combat poverty. The objective of this paper is to analyze and compare the impact on welfare of three governmental programs in Mexico aimed at alleviating poverty, particularly in rural areas:
  • 3.
    2 PROGRESA, PROCAMPO, andthe Word Credit Program (WCP). Although the WCP was replaced by Financiera Rural in 2003, which operates under different rules and has a wider target population, information of the new program is not available. For this reason, this study will be limited to the year 2002, allowing for the analysis and comparison of the three programs. The research’s focus is to identify households’ characteristics that are decisive on the programs’ impact size on welfare. The initial hypothesis is that participation in these programs will increase household consumption. The key finding of this paper is that most programs seem to have a negative impact on food expenditure at the household level. This result, although unexpected, is discussed in the last section of the paper. The remainder of this research paper is organized as follows: the Background section gives an overview of the operations and history for each of the three programs analyzed, the Literature Review section goes over some relevant literature used in the design of this research, the Data section describes the data used, the Methodology section explains the strategy used to evaluate the impact of the three different government programs, the Results section presents the findings, and in the Conclusions and Discussion section interpretations for the results are presented as well as suggestions for future studies of the programs. 2. BACKGROUND ON WELFARE PROGRAMS IN MEXICO 2.1 PROGRESA In August 1997 the conditional cash transfer program (CCT) Progresa began operating with the objective of addressing extreme poverty in rural areas, focusing on the welfare indications of education, health, and nutrition. The transfer of cash was thus conditioned on regular school attendance and visits to health care centers for medical checkups, as well as on “platicas,” which are informational meetings discussing health-related topics, such as nutrition. Gender plays an important role in this program, since the cash transfer is higher for families that
  • 4.
    3 have girls enrolledin school in comparison to boys. In addition, the disbursement is given directly to the mother in the household (Skoufias 2005). Before its dissolution in 2002 and its replacement with Oportunidades, Progresa covered approximately 2.6 million families, which is the equivalent to 40% of all rural families. With a budget size of $777 million in 1999, this program received the equivalent of Mexico’s 0.2% total GDP (IFPRI.org). 2.2 PROCAMPO Implemented in 1993 following the commencement of the North America Free Trade Agreement (NAFTA), PROCAMPO was created to aid farmers compete against the lower- priced, subsidized American and Canadian agricultural production. Although the program was initially designed to operate for only 15 years, it is still operating thanks to political lobbying by the agriculture sector, turning it into the federal program with the highest amount of rural beneficiaries (Sagarpa.gob.mx). PROCAMPO also substituted agricultural programs that consisted in government minimum price payment for agricultural production. Instead, this new program provides fixed payments per hectare to eligible agricultural producers. Land is eligible to receive PROCAMPO’s benefits if it was used to cultivate safflower, barley, corn, beans, soybeans, wheat, sorghum, rice, or cotton between August 1992 and August 1993. Most of the rural farmers that benefit from the program are low-income, and their production is mostly used for self-consumption (Altamirano et al. 1997, Ruiz-Arranz 2006). 2.3 WORD CREDIT PROGRAM In 1990, the federal government created the Word Credit Program aimed at low productivity and rain-fed land farmers, who had no access to formal credit, and who owned no more than 20 hectares of land. Beneficiaries could continue in the program as long as they did not default on the previous year’s loan. The credits’ objective was to increasing beneficiaries’ production, particularly basic grains production, and thus improve their quality of life. These loans were given at zero interest rate and had no collateral requirement. In 2002, the amount that
  • 5.
    4 each farmer receivedwas 550 pesos per hectare, which is equivalent to 35 USD (Stanton 2002, Favela 2003). In 2003 Financiera Rural replaced the Word Credit Program, among other government financial institutions (Grammont 2001, FinancieraRural.gob.mx). Financiera Rural operates with the mission to "develop rural areas through first and second floor financing for any economic activity undertaken in communities of fewer than 50,000 inhabitants, resulting in an improved quality of life" (Financiera Rural, 2013). 3. LITERATURE REVIEW 3.1 INDICATORS AND PROXIES FOR WELFARE The most common proxy for welfare programs impact evaluations in developing countries, at either household or community level, is consumption (Crépon et al. 2011, Khandker 2005). There is strong evidence that the use of a consumption-based poverty measure is preferable to any income-based poverty measure for identifying the most disadvantaged sectors of a population (Meyer and Sullivan, 2012). Waheed (2009) conducted a survey to families participating in a microcredit program, which included questions about income, assets, education and family size. The simple consumption model showed that among the variables that improved the well-being of households, education and microcredits were the most significant ones. Consumption as a measure of welfare can more efficiently be used if other baseline characteristics are taken into account. Crépon et al. (2011) performed a randomized experiment to measure the impact of microcredits using a control and a treatment group, where he found “a substantial effect [of microcredits] on sales (3,305 MAD increase, Morocco’s currency), expenses (2,297 MAD, or 14%), in-kind savings (11%) and self-consumption (11.8%).” Since treatment households reduced their supply on external work to work on their agricultural projects, Crépon did not observe any change in net income, even though these other indicators improved. However, when he analyzed the data by households with and without a self-
  • 6.
    5 employment activity atbaseline, he observed that although households with a pre-existing activity reduced consumption, they experienced a large increase in sales, expenditures and savings. On the other hand, households without a baseline activity “had no significant increase in their activities and had an increase in their consumption.” Thus, acknowledging other factors that shape the impact of a program can be crucial to successfully understand the interaction between the program and these impacts. Another popular, more specific alternative to welfare impact evaluation is using food consumption as the measure of welfare. For example, Jensen and Miller (2011) proposed analyzing food consumption for households that benefited from subsidized goods in China, finding no overall evidence of an effect of subsidies on nutrition, measured as caloric intake. Interestingly, it is possible that these subsidies reduced the amount of calories consumed in one of the provinces. 3.2 MICROFINANCE VS. CASH TRANSFERS AS A POLICY FOR POVERTY ALLEVIATION An option to evaluate the effectiveness of the government’s poverty alleviation programs is to compare the size of their impacts. Pantelić (2011) found that the effectiveness of CCT’s compared to microfinance programs is affected by the recipient’s income level: households living on US$2 or more per day will benefit better from microloans, whereas CCTs may be better suited for individuals living in extreme poverty. Although both programs have a positive effect on consumption, the evidence of CCT’s impact on health and education is more evident compared to microloans’. This success can be attributed to CCT’s conditionality: participant families are conditioned on sending their children to school and attending regular medical checkups to receive benefits from Progresa, whereas PROCAMPO beneficiaries are conditioned on the farming of their land (Pantelić 2011). An analysis on Progresa and PROCAMPO welfare impact performed in 2006 by Ruiz- Arranz provides further evidence on the different impact these programs have depending on the
  • 7.
    6 recipients’ characteristics. Progresais a short run consumption based program for nutrition improvements, since beneficiaries improve their food security through purchases. In contrast, given the PROCAMPO’s operating dynamics, this program impacts households’ agricultural investment and home production, serving as a production based, medium term policy tool for food security (Ruiz-Arranz, 2006). 4. DATA This papers uses data obtained from household surveys given by the first round of the Mexican Family Life Survey (MxFLS-1) conducted in 2002. The first round was designed by the National Institute of Statistics and Geography (INEGI, by its initials in Spanish). The baseline sample is probabilistic, stratified, multi-staged, and independent at every phase of the study, and the population is comprised by Mexican households in 2002. According to the MxFLS website, “primary sampling units were selected under criterions of national, urban-rural and regional representation on pre-established demographic and economic variables.” The first round or baseline survey (MXFLS-1) collected information on a sample of 35,000 individuals from 8,400 households in 150 communities throughout the country. The survey included questions on socioeconomic and demographic indicators at the individual, household and community level, such as on education, government programs’ benefits, labor and non-labor income, credits and loans, food expenditure, etc. The survey’s individual observations were collapsed into average or sum observations, creating a household level dataset with 8,400 observations. The treatment group consisted of 682 households receiving PROCAMPO benefits, 1163 receiving Progresa benefits, and 56 WCP participating households. In the second part of the analysis a propensity score matching was performed, where in order to avoid biased caused by
  • 8.
    7 household participating intwo or more programs 239 household were dropped from the PROCAMPO analysis, 720 from Progresa, and 50 from the WCP.1 5. METHODOLOGY In order to account for income (which is an endogenous variable to the model), this paper uses other variables determinants of households’ consumption. These include measures of human capital, household assets, regional dummies, age, gender of the head of the household, and education. Food consumption is measured as calorie intake. The proposed initial model thus looks as follows: Consumptioni = β1PROCAMPOi + β2PROGRESAi + β3WCPi + β4Xi + εi where different proxies are used to account for Consumptioni, the amount of consumption experimented per year in household i. These include Total Expenditures, Food Expenditures, and Meat Expenditures. The last proxy was included to understand how the three programs affect expenditure by food group. Due to dropped observations, the danger of selection bias is present for each of the three program analysis. To check whether there are certain observable characteristics that affect selection into each of the three programs, an initial t-test is run between beneficiaries and non- beneficiaries in the survey. A propensity score model is calculated afterwards, which controls for observable heterogeneity by creating a counterfactual outcome to estimate outcomes without the program. Subsequently, this outcome is compared to the outcome from individuals with similar propensity to participate in the program given their characteristics. Finally, a test to check that the covariates are balanced in the matched sample is performed. State is controlled for in all regressions and models, except for WCP, due to the low number of control observations. 1 These observations were not dropped for the OLS regression due to the low number of observations this regression relied on.
  • 9.
    8 6. RESULTS 6.1 OLSModel The first simple regression run gives an initial assessment of the impact each of the three programs had on consumption, measured as total expenditure, expenditure on food, and meat expenditure. The independent variable is the disbursement amount received by the household from each of the three programs. None of these programs had a statistically significant effect on the consumption measures, but the coefficients for PROCAMPO and the WCP were positive, whereas Progresa’s coefficient was negative. When the regression was run using dummy variables for household program participation, the results indicated that participating in Progresa has a significant negative impact on a household’s total expenditures and food expenditures. Although not statistically significant, the impact of WCP was positive for the three expenditure measures. Procampo participation had a negative impact for total expenditures and meat, and a positive impact for food expenditure, all non-significant. 6.2 Propensity Score Matching The t-test results to check for statistical differences between the beneficiary and the non- beneficiary groups are shown on table 3, after dropping observations for households participating in two or more programs. Although the null hypothesis stating that the groups are not different was rejected for very few observations in the Progresa and WCP t-tests, five characteristics (household size, household assets, number of people in the household aged 16-21/22-27, and number of females) out of 17 presented a p-value above .10, and thus the null hypothesis could not be rejected. Following Azam’s methodology (2013), a Probit model is estimated to calibrate the propensity score on the sample of individuals surveyed, both beneficiaries and non- beneficiaries (table 4). The explanatory power of the model is relatively high for Progresa and Procampo, which have a pseudo R2 of 0.3144 and 0.2808. The WCP has an R2 of 0.0801. Most explanatory variables are statistically significant, except for the WCP model. The overlap in
  • 10.
    9 support between thetreatment and control groups for Progresa and Procampo is noticeably better than for the WCP, where the matching was very low since the covariates were not balanced in the matched sample. The overlap is shown figure 1, where homoskedasticity is assumed for the Food Expenditure variable within the treated and control groups. The graphs for homoskedasticity for Total Expenditure and Meat Expenditure are very similar and not included in this paper. The same t-test from table 3 was performed after matching to test for the differences between treatment and control groups’ characteristics for each program (Progresa, Procampo, and WCP), and for each welfare measure (Total Expenditure, Food Expenditure, and Meat Expenditure). No significant differences between the treatment and control groups’ characteristics were found for the Progresa and WCP (Table 5). That means that the matching method was indeed successful at controlling for the differences observed in the unmatched data. Table 6 shows the three programs’ average treatment effect on the treated (ATT), which are negative and not significant, with the exception of Food Expenditure under the Progresa program, which is significant at a 99% confidence level. The results contrast with those from the OLS regression on table 1 and 2. However, the only statistically significant coefficients in the OLS regressions were found on table 2 for the Progresa Participation dummy, and they were negative. 7. CONCLUSIONS AND DISCUSSION Although theory would have predicted that the ATT values on Table 6 would be positive, the ATT results for Progresa can be interpreted theoretically. Boccia et al. (2011) shows that “there exists some substitution of quantity for quality as cash transfers rise, reflected by the fact that food expenditure elasticities are higher than calorie elasticities.” This could very much be the case in the Progresa program: there is a significant reduction on Total Expenditure and Food Expenditure, but not significant for Meat Expenditure. Although most coefficients in table 6 are
  • 11.
    10 not statistically significant,the difference between treatment and control groups is the smallest under the meat expenditure category. Boccia mentions that the shift from high calorie to low calorie/better tasting foods is a major policy concern in the development literature. However, the context in Mexico is different given the high prevalence in obesity in the population. Mexico is the country with the highest amount of obese children in the world, and the Mexican government has implemented an array of public policy initiatives to approach this health problem, including promoting a more balanced diet and the consumption of more fruits and vegetables. Following the interpretations from Boccia, this research’s findings could reflect families’ substitution of staple goods, such as corn and beans, for meat and vegetables: “since poor nutritional status can be caused not only by insufficient intake of calories but also by lack of diet diversity, the observed shift can be considered beneficial” (Boccia et al., 2011). However, these findings could also be the result of omitted variable bias, which happens when the model does not incorporate unobserved characteristics that differ between the two groups and that account for the probability to participate in the program. These worries are dismissed, since the regressions and models’ results are logical assuming that low-income people consume less. Although the results are not conclusive, this paper provides a framework for a future study that could incorporate data from MXFLS-2 (2005) and MXFLS-3 (2009) after information from the WCP becomes available later this year. Other suggestions for a future study are to include more food expenditure categories, such as dairy and vegetables, and to incorporate consumption of homegrown food to the model.
  • 12.
    11 REFERENCES Azam, M., Ferré,C., & Ajwad, M. 2013. Can public works programs mitigate the impact of crises in Europe? The case of Latvia. IZA Journal of European Labor Studies, 2, 1-21. Boccia, D., Hargreaves, J., Lönnroth, K., Jaramillo, E., Weiss, J., Uplekar, M., Porter, J.D.H., and Evans, C.A. 2011. Cash transfer and microfinance interventions for tuberculosis control: review of the impact evidence and policy implications. The international journal of tuberculosis and lung disease: the official journal of the International Union against Tuberculosis and Lung Disease, 15(Suppl 2), S37. CONEVAL, 2008. Informe de Evaluación de la Política de Desarrollo Social en México 2008. CONEVAL, pp. 116. Crépon, B., Devoto, F., Duflo, E., & Parienté, W. 2011. Impact of Microcredit in Rural Areas of Morocco. Working Paper. International Growth Center. London School of Economic and Political Science. Favela, A. 2003. El combate a la pobreza en el sexenio de Zedillo. Plaza y Valdés. Financiera Rural. 2013. Historia. Accessed August 6, 2014, from http://www.financierarural.gob.mx/fr/Paginas/Historia.aspx Financiera Rural. 2013. Misión y Visión. Accessed August 6, 2014, from http://www.financierarural.gob.mx/fr/Paginas/MisionVision.aspx. González, Z. 2011. Rewarding Voters through Welfare Transfers in Mexico and Brazil. Carleton College. Available at http://people. carleton. edu/~ amontero/Zaira% 20Gonzalez. pdf. Grammont, H. C. 2001. El Barzón: clase media, ciudadanía y democracia. Plaza y Valdes. IFPRI. n.d. PROGRESA. http://www.ifpri.org/book-766/ourwork/program/progresa Khandker, S. R. 2005. Microfinance and poverty: Evidence using panel data from Bangladesh. The World Bank Economic Review, 19(2), 263-286. Luna, C. 2014, October 2. De Oportunidades a Prospera, ¿solo un cambio de nombre? CNN Expansión. Retrieved from http://www.cnnexpansion.com/economia/2014/10/02/de-oportunidades-a-prospera-un-cambio- fundamental Meyer, B. D., & Sullivan, J. X. 2012. Identifying the disadvantaged: Official poverty, consumption poverty, and the new supplemental poverty measure. The Journal of Economic Perspectives, 111-135. Pantelić, A. 2011. “A comparative analysis of microfinance and conditional cash transfers in Latin America.” Development in Practice, 21:6, 790-805. Rubalcava, L., y Teruel, G. 2006. “Mexican Family Life Survey, First Wave”, Working Paper, www.ennvih-mxfls.org
  • 13.
    12 Ruiz-Arranz, M., Davis,B., Handa, S., Stampini, M., & Winters, P. 2006. Program conditionality and food security: The impact of PROGRESA and PROCAMPO transfers in rural Mexico. Revista Economia, 7(2), 249-278. Sagarpa. 2013. PROCAMPO Productivo - Antecedentes. http://www.sagarpa.gob.mx/agricultura/Programas/proagro/procampo/Paginas/Antecedentes.asp x Santoyo, H., Reyes, J., and Manrubio, R. 1997. Tendencias del financiamiento rural en México, Revista de Comercio Exterior, p. 1014. SEDESOL. 2015, February 16. PROSPERA fomenta las capacidades productivas, la mejor forma de acabar con la pobreza. http://www.sedesol.gob.mx/en/SEDESOL/Comunicados/2872/prospera-fomenta-las- capacidades-productivas-la-mejor-forma-de-acabar-con-la-pobreza Skoufias, E. 2005. PROGRESA and its impacts on the welfare of rural households in Mexico (Vol. 139). Intl Food Policy Res Inst. Stanton, J., Zeller, M., & Meyer, R. L. (Eds.). 2002. The triangle of microfinance: Financial sustainability, outreach, and impact. Intl Food Policy Res Inst. Waheed, S. 2009. “Does Rural Micro Credit Improve Well-being of Borrowers in the Punjab (Pakistan)?” Pakistan Economic and Social Review, 31-47. World Bank. 2014. A Model from Mexico for the World. https://www.worldbank.org/en/news/feature/2014/11/19/un-modelo-de-mexico-para-el-mundo
  • 14.
    13 APPENDIX Table 1. OLSfor Program Impact on Household Expenditure Variable Total Exp. Food Meat PROCAMPO -0.1454 (.659) 0.2119 (.1431) -0.0201 (.1137) WCP 0.9262 (1.17) 0.125 (.2542) 0.0329 (.2019) Progresa -0.6084 (.6534) -0.0705 (.1419) -0.0634 (.1128) hhsize 10326.72 (2186.49)*** 2337.665 (474.9)*** 475.7921 (377.33) primary -8888.20 (3914.73)** 1333.306 (850.44) 792.495 (675.58) coll 11138.5 (5675.53)** 10785.14 (1232.97)*** 4238.246 (979.45)*** secondary -4897.27 (4883.18) 3770.517 (1060.83)*** 1371.611 (842.71) high 588.82 (5967.95) 7841.53 (1296.49)*** 1835.088 (1029.91)* rural -7172.95 (2811.85)** -3097.131 (610.85)*** -1383.339 (485.25)*** pcincome 0.38 (.0438)*** 0.40005 (.0095)*** 0.0018 (.0076) HHAssets 0.0002 (.0001)* 0.00003 (.00003) 9.92E-06 (.00002) age -450.49 (148.57)*** -71.3261 (32.2875)** 28.0237 (25.64) nage015 -13232.05 (2595.03)*** -2218.744 (563.571)*** -690.4924 (447.83) nage1621 -10741.6 (3119.84)*** -1148.702 (677.76)* -139.4504 (538.40) nage2227 -10319.97 (3160.24)*** -840.0254 (686.538) 313.6092 (545.38) nage2835 -7154.74 (2896.11)* -433.2102 (629.157) 409.2961 (499.79) nage3645 54.4783 (2472.29) 59.7457 (537.0856) 774.5937 (426.65)* nfemales 1184.702 (1529.18) 464.3349 (332.204) 152.599 (263.90) R2 0.0342 0.2518 0.0125 Figures represent unstandardized OLS Regression parameters; standard errors in parentheses; * p< .10, ** P< .05, *** p< .01
  • 15.
    14 Table 2. OLSfor Program Participation Impact on Household Expenditure Variable Total Exp. Food Meat dPROCAMPO -5231.99 (4945.5) 492.1406 (1074.40) -765.4642 (853.62) dWCP 10735.72 (15053.56) 4376.81 (3270.35) 103.2523 (2598.30) dProgresa -8858.65 (4061.02)** -1987.217 (882.25)** -882.6329 (700.95) pcincome 0.3845 (.0438)*** 0.4000669 (.0095)*** 0.0018 (.008) hhsize 10455.35 (2195.45)*** 2332.68 (476.956)*** 501.81 (378.94) primary -9407.58 (3920.91)** 1239.352 (851.81) 742.18 (676.76) coll 10072.47 (5695.53)* 10561.04 (1237.34)*** 4131.89 (983.07)*** secondary -5918.58 (4907.27) 3543.037 (1066.09)*** 1272.75 (847.01) high -514.51 (5990.30) 7604.209 (1301.38)*** 1730.03 (1033.95)* rural -4954.06 (2989.55)* -2688.564 (649.47)*** -1126.29 (516.006)** HHAssets 0.0002 (.0001 )* 0.00003 (.00003) 9.89E-06 (.00002) age -448.49 (148.56) *** -71.1575 (32.2734)** 28.50 (25.64) nage015 -13081.23 (2606.58)*** -2136.016 (566.27)*** -688.59 (449.91) nage1621 -10744.89 (3124.13)*** -1116.604 (678.71) -151.78 (539.24) nage2227 -10509.16 (3164.51)*** -843.6824 (687.48) 284.18 (546.21) nage2835 -7280.94 (2899.002)** -440.7857 (629.80) 385.12 (500.38) nage3645 -52.01 (2475.04) 66.54938 (537.7) 755.72 (427.2)* nfemales 1159.66 (1528.22) 449.4444 (332.003) 150.49 (263.78) R2 0.0347 0.2522 0.0127 Figures represent unstandardized OLS Regression parameters; standard errors in parentheses; * p< .10, ** P< .05, *** p< .01
  • 16.
    15 Table3.Differenceinex-antevariablesafterdroppingobservationsofhouseholdsparticipatingintwoormoreprograms,beforematching VariablesTreatmentControlTreat=ControlTreatmentControlTreat=ControlTreatmentControlTreat=Control HouseholdSize4.0675.183***4.1994.2374.2295 FinishedPrimarySchool?.4462.5989***.4528.6501***.4677.5 FinishedCollege?.1129.0160***.1067.0180***.09920 FinishedSecondarySchool?.2009.1058***.1956.0948***.18620 FinishedHighSchool?.0913.0203***.0864.0270***.08120 LivesinRuralArea.3107.8748***.3482.8261***.38961*** PerCapitaIncome11702.033.725.711***11036.736.577.637***10582.051.739.021 HouseholdAssets713895.5395364673392.5758236.5662646.1165050.8 AgeofHHHead32.5027.90***31.4541.06***32.0636.31 NumberofpeopleinHHage0-151.3802.426***1.5281.139***1.5222 NumberofpeopleinHHage16-21.4724.5604***.4818.5101.4886.6666 NumberofpeopleinHHage22-27.3879.3294***.3817.3679.3789.1666 NumberofpeopleinHHage28-35.4785.4983.4886.3363***.4758.3333 NumberofpeolpeinHHage36-45.4943.6117***.5168.3769***.5090.3333 NumberofFemales2.1072.681***2.1812.099*2.1933.166** PerCapitaHHAssets231495.1212118225684.3289635.1223678.256866.37 Standarderrorsinparentheses;*p<.10,**P<.05,***p<.01 ProgresaProcampoWCP
  • 17.
    16 Table 4. Probitfor Calibrating Propensity Score Progresa Procampo WCP Household Size -.1004 (.04)** .4371 (.04)*** .0745 (.21) Finished Primary School? -.3011 (.06)*** .2507 (.08)*** -.2205 (.29) Finished College? -.9448 (.15)*** -.1600 (.18) 0 (omitted) Finished Secondary School? -.7055 (.09)*** .2275 (.11)** 0 (omitted) Finished High School? -1.000 (.14)*** .2227 (.16) 0 (omitted) Lives in Rural Area 1.232 (.05)*** .9679 (.06)*** 0 (omitted) Per Capita Income -0000 (.000)*** .000 (.000) -.000 (.00) Household Assets -.000 (.000) .000 (.000) -.000 (.00) Age of HH Head .0048 (.00)* .0071 (.00)** -.0036 (.01) Number of people in HH age 0-15 .2813 (.05)*** -.4366 (.05)*** -.1484 (.23) Number of people in HH age 16-21 .1477 (.05)*** -.3609 (.06) *** -.1305 (.30) Number of people in HH age 22-27 .0528 (.06) -.3150 (.07)*** -.3746 (.37) Number of people in HH age 28-35 .0780 (.05) -.2993 (.06)*** -.1552 (.28) Number of peolpe in HH age 36-45 .1315 (.04)*** -.2204 (.05)*** -.2575 (.27) Number of Females -.0238 (.02) -.0649 (.03)* .2023 (.16) Per Capita HH Assets .000 (.000)* .000 (.000) -.000 (.00) R2 0.3144 0.2808 0.0801 Standard errors in parentheses; * p< .10, ** P< .05, *** p< .01
  • 18.
    17 Figure 1. Overlappingsupport in the distribution of the propensity score, homoskedasticity assumed for the Food Expenditure variable within the treated and within the control groups a) Treatment effect: Participation in PROGRESA. b) Treatment effect: Participation in PROCAMPO. 0 .2 .4 .6 .8 Propensity Score Untreated Treated: On support Treated: Off support 0 .2 .4 .6 .8 Propensity Score Untreated Treated
  • 19.
    18 c) Treatment effect:Participation in WCP. 0 .2 .4 .6 .8 Propensity Score Untreated Treated
  • 20.
    19 Table 5. Differencein ex-ante variables, after matching Variables Treatment Control Treat = Control Treatment Control Treat = Control Treatment Control Treat = Control Household Size 5.168 5.20 4.252 4.40 5 5.33 Finished Primary School? .5989 .60 .6522 .53 *** .5 .83 Finished College? .0161 .02 .0181 .05 *** 0 0 Finished Secondary School? .1064 .10 .0954 .27 *** 0 0 Finished High School? .0204 .02 .0272 .06 * 0 0 Lives in Rural Area .8763 .88 .825 .61 *** 1 1 Per Capita Income 3726.2 3983.7 6615.7 10.466 1739 4697.8 Household Assets .0000 .00 .0000 .00 .0000 76133 Age of HH Head 27.91 27.37 41.00 31.92 *** 36.31 24.34 Number of people in HH age 0-15 2.414 2.42 1.147 1.71 *** 2 2.33 Number of people in HH age 16-21 .5602 .59 .5136 .45 .6666 .66 Number of people in HH age 22-27 .3290 .33 .3704 .36 .1666 .5 Number of people in HH age 28-35 .4989 .48 .3386 .52 *** .3333 .33 Number of peolpe in HH age 36-45 .6118 .60 .3795 .55 *** .3333 .5 Number of Females 2.672 2.67 2.106 2.20 3.166 3.33 Per Capita HH Assets .0000 .00 .0000 99507 5686 11453 Variables Treatment Control Treat = Control Treatment Control Treat = Control Treatment Control Treat = Control Household Size 5.168 5.20 4.252 4.40 5 5.33 Finished Primary School? .5989 .60 .6522 .53 *** .5 .83 Finished College? .0161 .02 .0181 .05 *** 0 0 Finished Secondary School? .1064 .10 .0954 .17 *** 0 0 Finished High School? .0204 .02 .0272 .06 * 0 0 Lives in Rural Area .8763 .88 .825 .61 *** 1 1 Per Capita Income 3726.2 3983.7 6615.7 10.466 1739 4697.8 Household Assets .0000 .00 .0000 .00 .0000 76133 Age of HH Head 27.91 27.37 41.00 31.92 *** 36.31 24.34 Number of people in HH age 0-15 2.414 2.42 1.147 1.71 *** 2 2.33 Number of people in HH age 16-21 .5602 .59 .5136 .45 .6666 .66 Number of people in HH age 22-27 .3290 .33 .3704 .36 .1666 .5 Number of people in HH age 28-35 .4989 .48 .3386 .52 *** .3333 3.33 Number of peolpe in HH age 36-45 .6118 .60 .3795 .55 *** .3333 .5 Number of Females 2.672 2.67 2.106 2.20 3.166 3.33 Per Capita HH Assets .0000 .00 .0000 99507 5686 11453 Variables Treatment Control Treat = Control Treatment Control Treat = Control Treatment Control Treat = Control Household Size 51.688 5.20 4.252 4.40 5 5.33 Finished Primary School? .5989 .60 .6522 .53 *** .5 .83 Finished College? .0161 .02 .0181 .05 *** 0 0 Finished Secondary School? .1064 .10 .0954 .17 *** 0 0 Finished High School? .0204 .02 .0272 .06 * 0 0 Lives in Rural Area .8763 .88 .825 .61 *** 1 1 Per Capita Income 3726.2 3983.7 6615.7 10.466 1739 4697.8 Household Assets .0000 .00 .0000 .00 .0000 76133 Age of HH Head 27.91 27.37 41.00 31.92 *** 36.31 24.34 Number of people in HH age 0-15 2.414 2.42 1.147 1.71 *** 2 2.33 Number of people in HH age 16-21 .5602 .59 .5136 .45 .6666 .66 Number of people in HH age 22-27 .3290 .33 .3704 .36 .1666 .5 Number of people in HH age 28-35 .4989 .48 .3386 .52 *** .3333 .33 Number of peolpe in HH age 36-45 .6118 .60 .3795 .55 *** .3333 .5 Number of Females 2.672 2.67 2.106 2.20 3.166 3.33 Per Capita HH Assets .0000 .00 .0000 99507 56866 11453 Standard errors in parentheses; * p< .10, ** P< .05, *** p< .01 Progresa Procampo WCP MEAT EXP FOOD Progresa Procampo WCP Progresa Procampo WCP
  • 21.
    20 Table 6. Averageimpact of programs on expenditure. Standard errors in parentheses; * p< .10, ** P< .05, *** p< .01 Expenditure Treated Control Difference Total 24376.68 36702.32 -12325.64 (4784.51) Food 8768.38 11160.26 -2391.88 (944.47)*** Meat 3966.42 4492.51 -526.08 (521.38) Expenditure Treated Control Difference Total 29899.18 31155.032 -1255.85 (4060.36) Food 11631.60 15051.28 -3419.67 (2900.91) Meat 4352.03 4366.49 -14.457 (312.36) Expenditure Treated Control Difference Total 15711.82 22113.19 -6401.38 (6294.89) Food 5622.43 7464.71 -1842.28 (2868.52) Meat 2346.30 2998.05 -651.75 (1367.74) WCP Progresa Procampo