FLOW BEHAVIOR OF GAS-CONDENSATE WELLS
A DISSERTATION
SUBMITTED TO THE DEPARTMENT OF ENERGY
RESOURCES ENGINEERING
AND THE COMMITTEE ON GRADUATE STUDIES
OF STANFORD UNIVERSITY
IN PARTIAL FULFILLMENT OF THE REQUIREMENTS
FOR THE DEGREE OF
DOCTOR OF PHILOSOPHY
Chunmei Shi
March 2009
c Copyright by Chunmei Shi 2009
All Rights Reserved
ii
I certify that I have read this dissertation and that, in my opinion, it
is fully adequate in scope and quality as a dissertation for the degree
of Doctor of Philosophy.
(Roland N. Horne) Principal Adviser
I certify that I have read this dissertation and that, in my opinion, it
is fully adequate in scope and quality as a dissertation for the degree
of Doctor of Philosophy.
(Anthony R. Kovscek)
I certify that I have read this dissertation and that, in my opinion, it
is fully adequate in scope and quality as a dissertation for the degree
of Doctor of Philosophy.
(Franklin M. Orr, Jr.)
Approved for the University Committee on Graduate Studies.
iii
iv
Abstract
The objective of this work was to develop a methodology to increase the productivity
of gas/condensate from gas-condensate reservoirs. Presently, gas-condensate reser-
voirs experience reductions in productivity by as much as a factor of 10 due to the
dropout of liquid close to the wellbore. The liquid dropout blocks the flow of gas
to the well and lowers the overall energy output by a very substantial degree. The
combination of condensate phase behavior and rock relative permeability results in
a composition change of the reservoir fluid, as heavier components separate into the
dropped-out liquid while the flowing gas phase becomes lighter in composition. This
effect has been sparsely recognized in the literature, although there is clear evidence
of it in field observations. This work quantified the effect, developed a scientific un-
derstanding of the phenomena, and used the results to investigate ways to enhance
the productivity by controlling the liquid composition that drops out close to the
well. By optimizing the producing pressure strategy, it should be possible to cause a
lighter liquid to be condensed in the reservoir, after which the productivity loss would
be more easily remedied. The research made use of experimental measurements of
gas-condensate flow, as well as compositional numerical simulations. Different strate-
gies have been compared, and the optimum producing sequences are suggested for
maximum condensate recovery. Results show that composition varies significantly as
a function of fluid phase behavior and producing sequence; condensate recovery can
be improved with proper producing strategy, and productivity loss can be reduced
by changing the producing sequence. This study can be used to determine the op-
timum producing strategy when the well is brought into production and reduce the
productivity loss caused by the condensate banking effect.
v
vi
Acknowledgements
During the last six and a half years, I have been assisted by many people. Most credit
is due to my advisor, Professor Roland N. Horne, for his patience, encouragement and
guidance throughout my research. All this work would not have come to fruition had
it not been for his support.
My sincere thanks are also extended to Professor Franklin M. Orr and Professor
Anthony R. Kovscek for reading my dissertation, providing valuable comments, and
serving on my defense committee. Many thanks to Professor Jennifer Wilcox for
being a member of my examination committee.
A large portion of this work has depended on the extensive use of Gas Chromatog-
raphy from SUPRI-C laboratory and the financial aid of SUPRI-D Affiliates, Saudi
Aramco and RPSEA are appreciated.
I would also like to thank Dr. Tom Tang and Qing Chen for various helpful
discussions I have had with each of them.
To my parents, Yufang Zhou and Zhenghuang Shi, for their love and support.
Especially my mother, she is such a great one. Although she did not receive any
formal education, and could not read and write, she encouraged me to leave our
small village to get better formal education. I thank my brother, ZhiYong Shi, for
taking part of my responsibility to take care of our parents while I was far away and
for making me realize other important things in life. Their unconditional support and
love have guided me through each and every step along the way.
I am especially thankful to my husband Yulin Jin who has been a colleague for
two years, and is a constant source for help and great ideas. He is always closest to
my joys and sorrows and always standing by me.
vii
viii
Contents
Abstract v
Acknowledgements vii
1 Introduction 1
1.1 Problem Statement . . . . . . . . . . . . . . . . . . . . . . . . . . . . 3
1.2 Dissertation Outline . . . . . . . . . . . . . . . . . . . . . . . . . . . 4
2 Concepts and Literature Review 7
2.1 Flow Behavior of Gas-Condensate Systems . . . . . . . . . . . . . . . 7
2.1.1 Constant Volume Depletion (CV D) and Constant Composition
Expansion (CCE) . . . . . . . . . . . . . . . . . . . . . . . . 8
2.1.2 Differential Condensation (DC) . . . . . . . . . . . . . . . . . 9
2.1.3 Three Flow Regions . . . . . . . . . . . . . . . . . . . . . . . . 13
2.2 Literature Review . . . . . . . . . . . . . . . . . . . . . . . . . . . . . 16
3 Experimental Investigation 25
3.1 Experimental Design . . . . . . . . . . . . . . . . . . . . . . . . . . . 25
3.1.1 Design Principles . . . . . . . . . . . . . . . . . . . . . . . . . 25
3.1.2 Difference Between Static Values and Flowing Values . . . . . 26
3.1.3 Preexperiment Numerical Simulation . . . . . . . . . . . . . . 30
3.2 Experimental Apparatus . . . . . . . . . . . . . . . . . . . . . . . . . 37
3.2.1 Gas Supply and Exhaust . . . . . . . . . . . . . . . . . . . . . 39
3.2.2 Core Flow System . . . . . . . . . . . . . . . . . . . . . . . . 41
ix
3.2.3 Fluid Sampling System . . . . . . . . . . . . . . . . . . . . . . 41
3.2.4 Data Acquisition System . . . . . . . . . . . . . . . . . . . . . 43
3.2.5 Gas Chromatography (GC) System . . . . . . . . . . . . . . . 43
3.2.6 CT system . . . . . . . . . . . . . . . . . . . . . . . . . . . . . 47
3.3 Experimental Procedures . . . . . . . . . . . . . . . . . . . . . . . . . 49
3.3.1 Gas Mixing . . . . . . . . . . . . . . . . . . . . . . . . . . . . 49
3.3.2 Core Flow Tests . . . . . . . . . . . . . . . . . . . . . . . . . . 52
3.3.3 Sampling from the Tubing Ports . . . . . . . . . . . . . . . . . 56
3.3.4 Composition Analysis . . . . . . . . . . . . . . . . . . . . . . . 57
3.3.5 X-ray Saturation analysis . . . . . . . . . . . . . . . . . . . . 59
3.4 Summary . . . . . . . . . . . . . . . . . . . . . . . . . . . . . . . . . 64
4 Experimental Results 65
4.1 Experimental Results . . . . . . . . . . . . . . . . . . . . . . . . . . . 65
4.1.1 Pressure Measurements . . . . . . . . . . . . . . . . . . . . . . 65
4.1.2 Compositional Measurements . . . . . . . . . . . . . . . . . . 73
4.1.3 Saturation Measurements . . . . . . . . . . . . . . . . . . . . 80
4.1.4 Apparent Permeability Measurements . . . . . . . . . . . . . . 82
4.2 Summary . . . . . . . . . . . . . . . . . . . . . . . . . . . . . . . . . 83
5 Gas-Condensate Flow Modeling 87
5.1 Theoretical Model . . . . . . . . . . . . . . . . . . . . . . . . . . . . . 87
5.2 Compositional Variation Behavior . . . . . . . . . . . . . . . . . . . . 91
5.2.1 The Impact of Relative Permeability Models . . . . . . . . . . 93
5.2.2 The Impact of Pressure . . . . . . . . . . . . . . . . . . . . . . 102
5.2.3 The Impact of Fluid Types . . . . . . . . . . . . . . . . . . . . 103
5.3 Simulation Model for Binary Gas-Condensate Systems . . . . . . . . 106
5.3.1 Model Setup . . . . . . . . . . . . . . . . . . . . . . . . . . . . 106
5.3.2 Simulation Results for Binary Gas-Condensate Systems . . . . 107
5.4 Simulation Model for MultiComponent Gas-Condensate Systems . . . 109
5.4.1 Model Setup . . . . . . . . . . . . . . . . . . . . . . . . . . . . 109
5.4.2 Simulation Results for MultiComponent Gas-Condensate Systems109
x
5.5 Flow Optimization with Genetic Algorithm . . . . . . . . . . . . . . . 114
5.6 Summary . . . . . . . . . . . . . . . . . . . . . . . . . . . . . . . . . 121
6 Conclusions and Discussions 127
6.1 General Conclusions . . . . . . . . . . . . . . . . . . . . . . . . . . . 127
6.1.1 Theoretical Compositional Variation Models . . . . . . . . . . 127
6.1.2 Experimental Study of Gas-Condensate Flow in a Core . . . . 128
6.1.3 Numerical Simulation Study of Gas-Condensate Flow . . . . . 129
6.2 Possible Improvements and Future Work . . . . . . . . . . . . . . . . 130
A Core Scale Simulation Input File 131
B Field Scale MultiComponent Simulation Input File 139
C Field Scale Binary Simulation Input File 149
xi
xii
List of Tables
2.1 Four gas-condensate systems with different compositions. . . . . . . . 17
2.2 Component composition variations for a Chinese field. (Yuan et al.,
2003) . . . . . . . . . . . . . . . . . . . . . . . . . . . . . . . . . . . . 21
3.1 Gas Chromatographic Conditions. . . . . . . . . . . . . . . . . . . . . 45
3.2 CT scanner settings. . . . . . . . . . . . . . . . . . . . . . . . . . . . 49
3.3 Parameters for CT number calculation. . . . . . . . . . . . . . . . . . 63
5.1 Fluid characterization for a multicomponent gas-condensate system. . 113
xiii
xiv
List of Figures
1.1 Phase diagram of a typical retrograde (McCain, 1990). . . . . . . . . 2
2.1 A schematic of Constant Volume Depletion (CV D) process. . . . . . 9
2.2 PT diagram and liquid drop curve for system C1/nC4 = 0.85/0.15. . . 10
2.3 A schematic of Differential Condensation (DC) process. . . . . . . . . 11
2.4 Total composition znC4 and gas composition ynC4 profiles at T = 60o
F
for system C1/nC4 = 0.85/0.15. . . . . . . . . . . . . . . . . . . . . . 11
2.5 Total composition znC4 and gas composition ynC4 profiles at T = 190o
F
for system C1/nC4 = 0.60/0.40. . . . . . . . . . . . . . . . . . . . . . 12
2.6 PT diagram and liquid dropout curve for system C1/nC4 = 0.60/0.40. 12
2.7 Heavy and intermediate components profiles at T = 190o
F for system
C1/nC4/C10 = 0.60/0.25/0.15. . . . . . . . . . . . . . . . . . . . . . . 13
2.8 PT diagram and liquid dropout curve for system C1/nC4/C10 = 0.60/0.25/0.15. 14
2.9 Schematic gas-condensate flow behavior in three regions (Roussennac,
2001). . . . . . . . . . . . . . . . . . . . . . . . . . . . . . . . . . . . 14
2.10 PT diagrams for four gas-condensate systems. . . . . . . . . . . . . . 16
2.11 Liquid dropout curves for four gas-condensate systems at T = 200o
F. 17
2.12 Vapor composition yC1 , yC4−6 , yC+2
7
and yC+3
7
for four gas-condensate
systems at T = 200o
F. . . . . . . . . . . . . . . . . . . . . . . . . . . 18
2.13 A typical production decline curve in the Whelan field (Lin and Finley,
1985). . . . . . . . . . . . . . . . . . . . . . . . . . . . . . . . . . . . 19
2.14 Profiles of component compositions for a Chinese field, (Yuan et al.,
2003). . . . . . . . . . . . . . . . . . . . . . . . . . . . . . . . . . . . 22
xv
3.1 Phase diagram for a two-component methane-butane gas-condensate
system (PVTi, 2003a, PR(1978) EoS). For this system, the critical tem-
perature and the critical pressure are Tc = 6.3 o
C and pc = 128.5 atm
respectively. At room temperature, the system produces a moderate
retrograde region. . . . . . . . . . . . . . . . . . . . . . . . . . . . . . 27
3.2 The difference of static values and flowing values in three regions. . . 29
3.3 Schematic of composition variation in the reservoir under different pres-
sures and at different conditions. . . . . . . . . . . . . . . . . . . . . 29
3.4 Simulation results for BHP = 70 atm scenario. (a) C4 mole frac-
tion profile in the flowing phase (b) Saturation distribution profiles at
different flow times. . . . . . . . . . . . . . . . . . . . . . . . . . . . . 32
3.5 In-situ composition history of butane component in (a) Liquid phase
and (b) The overall composition configuration. . . . . . . . . . . . . . 33
3.6 In-situ composition history for butane component during buildup test
in (a) Liquid phase and (b) The overall composition configuration. . . 34
3.7 Saturation distribution in the core during buildup. . . . . . . . . . . . 35
3.8 In-situ composition history for butane component with different BHP
control scenarios in (a) Liquid phase and (b) The overall composition
configuration. . . . . . . . . . . . . . . . . . . . . . . . . . . . . . . . 36
3.9 Simulation results for different BHP control scenarios. (a)C4 mole
fraction profiles in the flowing phase (b) Saturation distribution in the
core. . . . . . . . . . . . . . . . . . . . . . . . . . . . . . . . . . . . . 38
3.10 Schematic diagram of the gas-condensate flow system. The confin-
ing pressure is provided by a high pressure water pump and the gas-
condensate mixture is stored in a piston cylinder, which is supported
by a high pressure nitrogen cylinder to maintain the mixture pressure
at 2200psi. Pressures along the core are monitored by the high pressure
transducers and fluid samples are collected from the six ports along the
core for composition analysis. . . . . . . . . . . . . . . . . . . . . . . 39
xvi
3.11 Images of the experiment apparatus for the gas-condensate flow sys-
tem. (a) Front view, the high pressure titanium core holder is in the
foreground, this core holder has six ports along the core to allow for
pressure monitoring and fluid sampling (b) Rear view, the sampling
system and the pressure transducers are in the foreground. . . . . . . 40
3.12 Schematic and photograph of the gas sampling system. (a) Schematic
diagram. The fluid sample is first stored in the one-meter long coil,
then released to the sampling bag. (b) Photograph of the sampling
system. . . . . . . . . . . . . . . . . . . . . . . . . . . . . . . . . . . . 42
3.13 Schematic diagram of the valve and column configuration in the GC
(Parakh, 2007). . . . . . . . . . . . . . . . . . . . . . . . . . . . . . . 44
3.14 GC curve for a methane and butane mixture. The measurement shows
good signal-to-noise ratio, and the baseline is also very stable. . . . . 46
3.15 The calibration curve for C4 measurements. The calibrated butane
mole percentage is calculated by: zC4 c = 0.0084zC4 m2
+ 0.198zC4 m. 47
3.16 Apparatus for x-ray CT scanning. . . . . . . . . . . . . . . . . . . . . 48
3.17 Butane vapor pressure curve. . . . . . . . . . . . . . . . . . . . . . . 50
3.18 Overview of the gas mixing process. (a) Vacuum and fill the piston
cylinder with water (b) Displace water from the piston cylinder with
specified volume (c) Discharge liquid butane into the piston cylinder
(d) infill the piston cylinder with high pressure methane. . . . . . . . 53
3.19 Schematic of gas sampling directly from the cylinder with heat tape. . 57
3.20 Composition measurement with and without using the heat tape. (a)
without using heat tape (b) with heat tape. . . . . . . . . . . . . . . . 58
3.21 Butane density as a function of pressure. . . . . . . . . . . . . . . . . 62
3.22 Methane density as a function of pressure. . . . . . . . . . . . . . . . 62
3.23 Apparatus for x-ray CT scanning. . . . . . . . . . . . . . . . . . . . . 63
3.24 CT image processing. . . . . . . . . . . . . . . . . . . . . . . . . . . . 64
4.1 Sampling pressure profiles for Experiment A. (a) Sampling without
flow (b) Sampling during flow. . . . . . . . . . . . . . . . . . . . . . . 67
xvii
4.2 Sampling pressure profiles for Experiment B. (a) Sampling during flow
(b) Sampling without flow. . . . . . . . . . . . . . . . . . . . . . . . . 68
4.3 Pressure profiles for Experiment C. (a) Flowing and sampling pres-
sure profiles (b) Build-up pressure and the static pressure in the fully
discharged core. . . . . . . . . . . . . . . . . . . . . . . . . . . . . . . 69
4.4 Pressure profiles for Experiment D. (a) Flowing and sampling pressures
(b) Build-up pressure and pressure in the fully discharged core. . . . . 71
4.5 Pressure profile comparison of nitrogen flow and hydrocarbon flow.
(a) Comparison of nitrogen flow run 1 and hydrocarbon Experiment
A, C and D. (b) Comparison of nitrogen flow run 2 and hydrocarbon
Experiment B. . . . . . . . . . . . . . . . . . . . . . . . . . . . . . . . 72
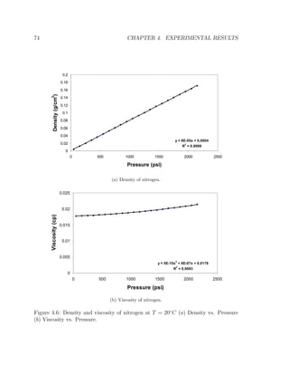
4.6 Density and viscosity of nitrogen at T = 20◦
C (a) Density vs. Pressure
(b) Viscosity vs. Pressure. . . . . . . . . . . . . . . . . . . . . . . . . 74
4.7 Density and viscosity of methane and butane mixture (C1/C4 = 85%/15%)
at T = 20◦
C (a) Density vs. Pressure (b) Viscosity vs. Pressure. . . . 75
4.8 Apparent permeability ratios for nitrogen and hydrocarbon flow (ki/k1,
scaled with the apparent permeability at location 90mm.). . . . . . . 76
4.9 Butane mole percentage profiles with samples collected in Experiment
A during flow with constant pressure drop. . . . . . . . . . . . . . . . 77
4.10 Butane mole percentage profiles with samples collected in Experiment
B during flow with constant pressure drop. . . . . . . . . . . . . . . . 78
4.11 Butane mole fraction profiles with samples collected in Experiment C
immediately after the flow with constant pressure drop. . . . . . . . . 79
4.12 Butane mole fraction profiles with (a) samples collected immediately in
Experiment D after the flow with constant pressure drop (b) Samples
collected after nitrogen injection into the naturally depleted core. . . 81
4.13 Butane mole fraction in the exit flow with nitrogen injection (Experi-
ment D). . . . . . . . . . . . . . . . . . . . . . . . . . . . . . . . . . . 82
xviii
4.14 CT images of the core saturated with (a) liquid butane (b) gas methane
(c) the mixture of methane and butane and (d) the difference between
liquid butane and gas methane and (e) the difference between liquid
butane and the mixture of methane and butane at l = 74mm. . . . . 83
4.15 A saturation profile from CT image interpretation. . . . . . . . . . . 84
4.16 Pressure profile in the core during x-ray CT scanning. . . . . . . . . . 84
4.17 PT diagram for binary component C1/C4 = 63%/37%. . . . . . . . . 85
4.18 Apparent permeability measurements for nitrogen flow. . . . . . . . . 85
5.1 PT diagram of methane-butane systems. The reservoir temperature
is 60 o
F. At reservoir temperature, the fluid with 15% butane is a
lean gas-condensate system, the fluid with 20% butane is near critical
gas-condensate, while the fluid with 25% Butane is light oil. . . . . . 93
5.2 CVD liquid dropout curves for three fluids at temperature 60 o
F. At
reservoir temperature, the fluid with 15% butane is an lean-intermediate
gas-condensate system, having a maximum liquid drop of 10.9%; the
fluid with 20% butane is near critical gas-condensate with a maximum
liquid drop of 31.4%; the fluid with 25% Butane is light oil with 100%
oil in reservoir condition. . . . . . . . . . . . . . . . . . . . . . . . . . 94
5.3 Interfacial tension (IFT) as a function of pressure. IFT is independent
of fluid type and decreases with increasing pressure. . . . . . . . . . . 96
5.4 Different relative permeability curves for a binary methane and butane
system with 25% butane. krc(IFT) and krg(IFT) are IFT corrected
relative permeability; krci and krgi are relative permeability curves
with immiscible treatment and krcm and krgm are miscible treatment
of relative permeabilities. . . . . . . . . . . . . . . . . . . . . . . . . 97
5.5 IFT corrected relative permeability curves for binary methane and
butane systems with 15% butane, 20% butane and 25% butane. . . . 98
5.6 Variation of term Ln(mi/m) with pressure for a methane-butane sys-
tem (zC4 = 0.15) with different relative permeability models. . . . . . 99
xix
5.7 Variation of term Ln(mi/m) with pressure for a methane-butane sys-
tem (zC4 = 0.20) with different relative permeability models. . . . . . 99
5.8 Variation of term Ln(mi/m) with pressure for a methane-butane sys-
tem (zC4 = 0.25) with different relative permeability models. . . . . . 100
5.9 Variation of term AC4 with pressure for a methane-butane system (zC4
= 0.15) with different relative permeability models. . . . . . . . . . . 100
5.10 Variation of term AC4 with pressure for a methane-butane system (zC4
= 0.25) with different relative permeability models. . . . . . . . . . . 101
5.11 Variation of term BC4 with pressure for a methane-butane system (zC4
= 0.15) with different relative permeability models. . . . . . . . . . . 101
5.12 Variation of term BC4 with pressure for a methane-butane system (zC4
= 0.25) with different relative permeability models. . . . . . . . . . . 102
5.13 Variation of term G with pressure for a methane-butane systems with
different compositions. . . . . . . . . . . . . . . . . . . . . . . . . . . 104
5.14 Variation of term AC4 with pressure for methane-butane systems with
different compositions. . . . . . . . . . . . . . . . . . . . . . . . . . . 104
5.15 Variation of term BC4 with pressure for methane-butane systems with
different compositions. . . . . . . . . . . . . . . . . . . . . . . . . . . 105
5.16 History profiles of (a) The accumulated gas production (WGPT (b)
Well bottom hole pressure (WBHP) and (c) Gas production rate
(WGPR) for a binary gas-condensate system. . . . . . . . . . . . . . 110
5.17 Overall butane mole fraction zC4 profiles. (a) Overall butane mole
fraction BzC4 profiles in the well block vs. the well block pressure. (a)
Overall butane mole fraction WzC4 profiles in the producing fluid vs.
BHP. . . . . . . . . . . . . . . . . . . . . . . . . . . . . . . . . . . . 111
5.18 Overall butane mole fraction zC4 history profiles. (a) History of the
overall butane mole fraction BzC4 in the well block. (a) History of the
overall butane mole fraction WzC4 profiles in the producing fluid. . . 112
5.19 History profiles of (a) The accumulated gas production (WGPT (b)
Well bottom hole pressure (WBHP) and (c) Gas production rate
(WGPR for a multicomponent gas-condensate system. . . . . . . . . 115
xx
5.20 Overall butane mole fraction zC+
7
profiles. (a) Overall butane mole
fraction BzC+
7
profiles in the well block vs. the well block pressure. (a)
Overall butane mole fraction WzC+
7
profiles in the producing fluid vs.
BHP. . . . . . . . . . . . . . . . . . . . . . . . . . . . . . . . . . . . 116
5.21 Overall butane mole fraction zC+
7
history profiles. (a) History of the
overall butane mole fraction BzC+
7
in the well block. (a) History of the
overall butane mole fraction WzC+
7
profiles in the producing fluid. . . 117
5.22 Computation procedure for Genetic Algorithm. . . . . . . . . . . . . 118
5.23 History profiles of (a) The accumulated gas production (WGPT (b)
Well bottom hole pressure (WBHP) and (c) Gas production rate
(WGPR for the top three WBHP GA optimized scenarios. . . . . . 120
5.24 Overall butane mole fraction zC4 profiles. (a) Overall butane mole
fraction BzC4 profiles in the well block vs. the well block pressure. (a)
Overall butane mole fraction WzC4 profiles in the producing fluid vs.
BHP for the top three WBHP GA optimized scenarios. . . . . . . . 121
5.25 Overall butane mole fraction zC4 history profiles. (a) History of the
overall butane mole fraction BzC4 in the well block. (a) History of the
overall butane mole fraction WzC4 profiles in the producing fluid for
the top three WBHP GA optimized scenarios. . . . . . . . . . . . . . 122
5.26 History profiles of (a) The accumulated gas production (WGPT (b)
Well bottom hole pressure (WBHP) and (c) Gas production rate
(WGPR for the top three WGPR GA optimized scenarios. . . . . . . 123
5.27 Overall butane mole fraction zC4 profiles. (a) Overall butane mole
fraction BzC4 profiles in the well block vs. the well block pressure. (a)
Overall butane mole fraction WzC4 profiles in the producing fluid vs.
BHP for the top three WGPR GA optimized scenarios. . . . . . . . 124
5.28 Overall butane mole fraction zC4 history profiles. (a) History of the
overall butane mole fraction BzC4 in the well block. (a) History of the
overall butane mole fraction WzC4 profiles in the producing fluid for
the top three WGPR GA optimized scenarios. . . . . . . . . . . . . . 125
xxi
xxii
Chapter 1
Introduction
Gas-condensate reservoirs represent an important source of hydrocarbon reserves and
have long been recognized as a reservoir type, possessing the most intricate flow and
complex thermodynamic behaviors. Gas-condensate reservoirs are characterized by
producing both gas and condensate liquid at surface. Typical retrograde condensate
reservoirs produce gas/liquid ratios of approximately 3-150 MCF/STB (McCain,
1990), or condensate surface yields ranging from 7 to 333 STB/MMCF. The added
economic value of produced condensate liquid, in addition to gas production, makes
the recovery of condensate a key consideration in the development of gas-condensate
reservoirs.
The phase diagram of a gas-condensate system has a critical temperature less than
the reservoir temperature and a cricondentherm greater than the reservoir temper-
ature (see Figure 1.1). The gas-condensate reservoir is initially gas at the reservoir
condition, point 1, and as the reservoir pressure decreases below the dewpoint, point
2, liquid condenses from gas and forms a “ring” or “bank” around the producing well
in the near-well region. Normally this liquid will not flow until the accumulated con-
densate saturation exceeds the critical condensate saturation (Scc) due to the relative
permeability and capillary pressure effects in the porous medium. Once the reservoir
pressure drops below the dewpoint, a pressure-drop occurs during production which
tends to form condensate banking (also known as the condensate blockage effect)
around the well. This causes a loss in productivity. As the reservoir pressure further
1
2 CHAPTER 1. INTRODUCTION
Figure 1.1: Phase diagram of a typical retrograde (McCain, 1990).
draws down to lower pressure, point 3, the liquid begins to revaporize in a PVT cell
experiment. However, the revaporization may not take place in the reservoir because
the overall composition of the reservoir fluid changed during production. As a conse-
quence of the composition variation, the total concentration of the heavy component
in the reservoir fluid will be higher than that of the original reservoir fluid. This leads
to the recovery problem associated with the heavier components, which are usually
not easy to recover once stuck in the reservoir.
Condensate blockage near the well may cause a significant loss in well productiv-
ity for low-to-moderate permeability high-yield condensate reservoirs since the main
source for pressure loss in the tight reservoir depends primarily on reservoir perme-
ability. Several other factors, including initial productivity, amount of near wellbore
liquid saturation due to condensation, phase behavior of well block fluid and how the
well is being produced (different producing pressure schemes) appear to influence the
observed level of productivity decline. A better understanding of how the condensate
accumulation influences the productivity and the composition configuration in the
1.1. PROBLEM STATEMENT 3
liquid phase is very important to optimize the producing strategy for gas-condensate
reservoirs, to reduce the impact of condensate banking, and to improve the ultimate
gas and condensate recovery.
1.1 Problem Statement
This research studied the well deliverability (productivity) issue associated with con-
densate blockage effect with an emphasis on flow behavior analysis. Although exten-
sive research and development have been performed in this general area, there still
exist many important and outstanding issues. Specifically, this work focused on the
following aspects:
• Composition variation. The objective of this work was to study how the com-
positions of heavy components of a gas condensate system change with time
around production wells during depletion, and how the rate of the composition
variation influences the fluid thermodynamic properties, and hence, defines the
dynamic phase diagram of the fluid in the reservoir. It should be noted that
the extent or even the existence of compositional changes has been noted in the
literature rather infrequently, which is an indication that the importance of this
phenomenon has not been fully recognized.
• Dynamic condensate saturation build-up. Due to compositional variation and
relative permeability constraints, the condensate saturation build-up is a dy-
namic process and varies as a function of time, place (distance to wellbore) and
phase behavior. In this work, we conducted CT experiments to investigate how
the liquid accumulates and distributes in a core.
• Producing schemes. Different producing strategies may impact the composition
configuration for both flowing and static phases and the amount of the liquid
trapped in the reservoir, which in turn may influence the well productivity and
hence the ultimate gas and liquid recovery from the reservoir. Changing the
manner in which the well is brought into flowing condition can affect the liquid
4 CHAPTER 1. INTRODUCTION
dropout composition and can therefore change the degree of productivity loss.
In this study, we conducted parametric studies to identify the most influential
reservoir and fluid characteristics in the establishment of optimum gas produc-
tion and condensate recovery for the exploitation of gas-condensate reservoirs.
1.2 Dissertation Outline
This dissertation proceeds as follows. Chapter 2 presents a literature review on con-
densate blockage effect around the well and the associated impairment in gas produc-
tivity and condensate recovery. The chapter includes advantages and limitations of
existing techniques and some outstanding issues are discussed.
Chapter 3 describes a core flooding experiment with two-component synthetic gas-
condensate, designed and constructed to model gas-condensate production behavior
from pressure above the dew-point to below. This experimental equipment was con-
structed to allow detailed and accurate measurements of real time pressure and in
situ composition of the flowing fluid along the core.
Experimental observations are discussed in Chapter 4. Five example experiments
on the binary gas-condensate system demonstrate and confirm the compositional
variation in the gas-condensate flow, even in the constant pressure-drop flow case.
In the first part of Chapter 5, a general form of material balance equation for con-
densate flow in porous media was developed for both one-dimensional linear flow and
three-dimensional radial flow of two-phase gas-condensate fluid through porous me-
dia, with the effect of interfacial tension. The compositional variation of the reservoir
fluid, especially the heavier component of the fluid, around the well during conden-
sate dropout was analyzed. Key parameters that influence the compositional be-
havior were also discussed in detail. The theoretical models provide tools to better
understand the momentary compositional variation in the reservoir. In the second
part of this chapter, compositional simulations of binary-component and multicom-
ponent gas-condensate fluids were designed and conducted at field scale to investigate
the composition and condensate saturation variations. Different producing strategies
1.2. DISSERTATION OUTLINE 5
were tested to fathom the optimum producing sequences for maximum gas and con-
densate recovery. By taking into account the new understanding of the impact of
compositional changes, the composition of the liquid dropout can be “controlled” by
the production strategy (for example by dropping a lighter liquid in preference to
a heavier one). Hence the recovery from gas reservoirs, especially tight ones, with
condensate fluids can be improved.
Chapter 6 summarizes the results of this work and provides some insight into
possible future research in experimental study for gas-condensate flow.
6 CHAPTER 1. INTRODUCTION
Chapter 2
Concepts and Literature Review
The flow behavior of a gas-condensate system depends on both the phase envelope of
the fluid and the conditions of the reservoir (such as pressure, temperature and rock
properties etc.). Due to compositional variation and relative permeability constraints,
the build-up of condensate saturation around the well is a dynamic process and varies
as a function of time, place (distance to wellbore) and phase behavior. In this chapter,
we explore several key concepts about the flow behavior of the gas-condensate system
and define the prospective issues for this study. Previous research on these issues will
be reviewed.
2.1 Flow Behavior of Gas-Condensate Systems
To analyze the flow behavior of a gas-condensate system, we first need to understand
the difference between the values of static and flowing properties. The static values
are for in-situ fluid properties defined at a specific reservoir location at a given time,
while the flowing values are associated with the properties of the flowing fluids. In
reservoir simulations static values will refer to the property values of a given grid block
at a given time, while in laboratory experiments and field sampling cases, the sample
collected at the wellhead only comes from the flowing phase. Hence, compositions of
the wellhead samples will not be the same as the overall compositions in the reservoir
or the static values in reservoir simulations, although they can indicate the changes
7
8 CHAPTER 2. CONCEPTS AND LITERATURE REVIEW
of flow property variations in the reservoir.
2.1.1 Constant Volume Depletion (CV D) and Constant Com-
position Expansion (CCE)
Gas-condensate fluid is investigated primarily using Constant Composition (Mass)
Expansion (CCE/CME) to obtain the dewpoint and Constant Volume Depletion
(CV D) to simulate reservoir production behavior. CCE is also called flash vapor-
ization and is simulated by expansion of a mixture with a fixed composition (zi) in
a series of pressure steps. During the CCE experiment, no gas or liquid is removed
from the cell, and at each step, the pressure and total volume of the reservoir fluid (oil
and gas) are measured. As the name CCE implies, the reservoir fluid composition
does not change during the production process. However,in a reservoir the heavier
component drops out to the reservoir during production as condensation develops in
the reservoir and this will definitely alter the configuration of the fluid composition
in the reservoir.
In the CV D procedure (as shown in Figure 2.1), the sample of reservoir liquid in
the laboratory cell is brought to the dewpoint pressure, and the temperature is set
to the reservoir temperature. Pressure is reduced by increasing the cell volume. Part
of the gas is expelled from the cell until the volume of the cell equals the volume
at the dewpoint. The process is repeated for several pressure steps and the liquid
volume at each pressure(V L
T ) is recorded and liquid dropout(V L
T /V dew
T ) is calculated.
The CV D experiment is a good representation of the reservoir depletion only if the
condensate phase is totally immobile, which is not true if condensate saturation ex-
ceeds the critical condensate saturation (SCC) and part of the condensate can flow
in the porous medium. At the same time, the liquid dropout estimation from the
CV D experiment does not account for the condensate buildup in the reservoir; hence
it cannot indicate the maximum possible condensate accumulation in the reservoir.
Taking a binary system C1/C4 for example, the maximum liquid dropout is less than
10% from the CV D experiment (Figure 2.2), however, reservoir simulation shows
that the condensate saturation can be as high as 57.5%, as will be discussed in more
2.1. FLOW BEHAVIOR OF GAS-CONDENSATE SYSTEMS 9
Figure 2.1: A schematic of Constant Volume Depletion (CV D) process.
detail in Chapter 3.
2.1.2 Differential Condensation (DC)
Heavier components separate into the dropped-out liquid while the flowing gas phase
becomes lighter in composition. By checking the wellhead fluid sample, we can in-
vestigate how the composition change with time. Differential Condensation (DC) is
a procedure assumed in this study to investigate the composition variation at the
wellhead. In the DC experiment (as shown in Figure 2.3), the sample of reservoir gas
in the laboratory cell is first brought to the dewpoint pressure, and the temperature
is set to the reservoir temperature. Next, pressure is reduced by increasing the cell
volume. Then all the liquid is expelled from the cell while pressure is held constant by
reducing the cell volume. The process is repeated in steps until atmospheric pressure
is reached. Liquid and vapor compositions are analyzed at each pressure step. In this
procedure no condensate is mobile during production, which may underestimate the
heavy component recovery at the surface since in reality part of the condensate phase
can flow once the accumulated condensate saturation exceeds the critical condensate
10 CHAPTER 2. CONCEPTS AND LITERATURE REVIEW
Figure 2.2: PT diagram and liquid drop curve for system C1/nC4 = 0.85/0.15.
saturation. However, this experiment can tell us how much of the heavier component
would be trapped in the reservoir in the worst case. Different from CCE (or flash
vaporization), the overall fluid composition in the DC procedure varies as we keep
removing the liquid phase from the mixture.
Comparing the regular flash vaporization and the DC procedure (Figure 2.4), in
the example fluid 0.85 C1 and 0.15 C4 we can find that as much as 7.6% (over 15%
original) of the heavy component butane can fail to reach the surface if no condensate
is brought to flow. Similarly, also about 6.4% (over 40% original) butane (Figure 2.5)
can be lost from a richer gas-condensate system C1/nC4 = 0.60/0.40 (Figure 2.6).
The extent of heavy component lost seems less severe in the rich gas-condensate case
in this example.
Figure 2.7 shows the comparison of the DC and flash results for a rich three-
component gas-condensate system, with the PT diagram and liquid drop-out curve
shown in Figure 2.8. Similar to the simple binary system, both heavy component
decane and intermediate component butane are lost to production in the DC proce-
dure. In terms of liquid dropout, the richer three-component system C1/nC4/C10 =
0.60/0.25/0.15 has the least heavy component loss given no condensate flow in the
2.1. FLOW BEHAVIOR OF GAS-CONDENSATE SYSTEMS 11
Figure 2.3: A schematic of Differential Condensation (DC) process.
Figure 2.4: Total composition znC4 and gas composition ynC4 profiles at T = 60o
F for
system C1/nC4 = 0.85/0.15.
12 CHAPTER 2. CONCEPTS AND LITERATURE REVIEW
Figure 2.5: Total composition znC4 and gas composition ynC4 profiles at T = 190o
F
for system C1/nC4 = 0.60/0.40.
Figure 2.6: PT diagram and liquid dropout curve for system C1/nC4 = 0.60/0.40.
2.1. FLOW BEHAVIOR OF GAS-CONDENSATE SYSTEMS 13
Figure 2.7: Heavy and intermediate components profiles at T = 190o
F for system
C1/nC4/C10 = 0.60/0.25/0.15.
reservoir.
2.1.3 Three Flow Regions
According to Fevang (1995), fluids flowing toward a producing well in a gas-condensate
reservoir during depletion can be divided into three main flow regions, as shown in
Figure 2.9:
• Single-phase gas region 3: A region that is far away from the well and has
reservoir pressure higher than the dewpoint, and hence only contains single-
phase gas.
• Condensate buildup region 2: A region where reservoir pressure drops below the
14 CHAPTER 2. CONCEPTS AND LITERATURE REVIEW
Figure 2.8: PT diagram and liquid dropout curve for system C1/nC4/C10 =
0.60/0.25/0.15.
Figure 2.9: Schematic gas-condensate flow behavior in three regions (Roussennac,
2001).
2.1. FLOW BEHAVIOR OF GAS-CONDENSATE SYSTEMS 15
dewpoint, and condensate drops out in the reservoir. However, the accumulated
condensate saturation is not high enough for the liquid phase to flow. Therefore,
the flowing phase in this region still contains only the single gas phase, and the
flowing gas becomes leaner as the heavier component drops into the reservoir.
• Near well region 1: An inner near-well region where reservoir pressure drops
further below the dewpoint, the critical condensate saturation is exceeded, and
part of the condensate buildup becomes mobile. The mobility of the gas phase
is greatly impaired due to the existence of the liquid phase.
Both the CV D and DC procedures assume that the accumulated condensate is
totally immobile in the reservoir. However, as we can infer from Figure 2.9, the con-
densate buildup in region 1 can flow if the accumulated condensate in this region is
sufficient to overcome the relative permeability constraint (immobile liquid satura-
tion). The liquid-phase flow alleviates the heavy component loss at the surface to
some extent, but because of the coexistence of gas and liquid phases, the gas mobility
is greatly impaired. The composition of reservoir fluid becomes complex as part of the
liquid participates in the flow. Figure 2.10 shows four different composition scenarios
in a reservoir as reservoir pressure drops below dewpoint. Compositions 1, 2, 3 and
4 (Table 2.1) correspond to reservoir pressures p1, p2, p3 and p4 respectively. As the
reservoir pressure drops, the PT diagram changes significantly from a relatively lean
gas-condensate system (Composition 1), to a richer system (Composition 2) and then
finally to a volatile oil system (Composition 3). The CV D experiment estimation
(Figure 2.11) shows a great increase of the liquid volume percentage as the reservoir
depletes. Figure 2.12 shows the vapor phase composition profile for light component
C1, intermediate component C4−6 and heavy component C+2
7 and C+3
7 for scenarios of
different fluid configurations in the reservoir. Note that although there are dramatic
changes in the PT diagram, the heavy components C+2
7 and C+3
7 in the vapor phase
vary little as the reservoir pressure drops below 2200 psi.
16 CHAPTER 2. CONCEPTS AND LITERATURE REVIEW
Figure 2.10: PT diagrams for four gas-condensate systems.
2.2 Literature Review
In this section, we review previous work on the issue of condensate buildup, since it is
the primary factor causing the decrease in the relative permeabilities and thus reduc-
ing the well-deliverability in gas-condensate reservoirs. Factors controlling condensate
blockage can be classified in different ways. As will be discussed later, among many
contributing parameters, the phase behavior, the relative permeability and the well
producing scheme are three of the most important aspects for both understanding the
dynamic condensate banking and developing the optimum strategies for the recovery
of both gas and condensate. We therefore present this literature review primarily
based on these three factors.
2.2. LITERATURE REVIEW 17
Table 2.1: Four gas-condensate systems with different compositions.
Component Composition 1 Composition 2 Composition 3 Composition 4
N2 1.210 1.174 1.103 0.977
CO2 1.940 1.752 1.558 1.438
C1 65.990 61.577 56.161 50.645
C2 8.690 8.694 8.511 7.598
C3 5.910 6.217 6.534 6.130
C4−6 9.670 11.228 13.385 14.804
C+1
7 4.745 6.306 8.628 12.370
C+2
7 1.515 2.588 3.556 5.339
C+3
7 0.330 0.463 0.565 0.698
Figure 2.11: Liquid dropout curves for four gas-condensate systems at T = 200o
F.
18 CHAPTER 2. CONCEPTS AND LITERATURE REVIEW
Figure 2.12: Vapor composition yC1 , yC4−6 , yC+2
7
and yC+3
7
for four gas-condensate
systems at T = 200o
F.
The effect of condensate blocking on well productivity is a broad and active re-
search area that has attracted many researchers, including Fussell (1973), Hinchman
and Barree (1985), Aziz (1985), Clark (1985) and Vo et al. (1989). The productiv-
ity loss caused by condensate buildup is striking. According to Whitson (2005), in
some cases, the decline can be as high as a factor of 30. Several examples of severe
productivity decline are available in the literature such as Engineer (1985), Duggan
(1972), Allen and Roe (1950), Abel et al. (1970) and Afidick et al. (1994) etc. Even in
very lean gas-condensate reservoirs with a maximum liquid dropout of only 1%, the
2.2. LITERATURE REVIEW 19
Figure 2.13: A typical production decline curve in the Whelan field (Lin and Finley,
1985).
productivity may be reduced by a factor of about two as the pressure drops below the
dewpoint pressure (Fevang and Whitson, 1996). Barnum et al. (1995) reviewed data
from 17 fields, conducted a survey on field examples from Exxon and other published
industrial cases, and concluded that a severe drop in gas recovery occurs primarily in
low productivity reservoirs with a permeability-thickness below 1000 md − ft. In a
tight gas reservoir, Figure 2.13 shows the typical production decline line curve in the
Whelan field (Lin and Finley, 1985), which has an average permeability of 0.153md
and 70 percent of the producing wells have permeabilities less than 0.1md. The gas
productivity of this tight gas field is reduced by a factor of about 10. In contrast,
there are no reported examples of severe decline from high productivity formations.
Similarly, most wells producing from gas caps below the saturation pressures do not
experience significant declines, perhaps because of the relatively low liquid content of
the gas in most associated gas caps.
It has been recognized in the literature that the relative permeability does impact
the degree of productivity loss below the dewpoint. Hinchman and Barree (1985)
20 CHAPTER 2. CONCEPTS AND LITERATURE REVIEW
showed how the choice between the imbibition and the drainage relative permeabil-
ity curves used in the numerical reservoir simulations could dramatically alter the
productivity forecast for gas-condensate reservoirs below the dewpoint pressure.
Fevang and Whitson (1996) addressed the well deliverability problem in their
gas-condensate modeling, in which they observed that the impairment of the well
deliverability resulting from the near well-bore condensate blockage effect depends
on the phase behavior, absolute and relative permeabilities, and how the well is
being produced. According to Fevang and Whitson (1996), the well deliverability
impairment resulting from the near well-bore condensate blockage depends on the
relative permeability, especially for gas and oil relative permeability ratios (krg/kro)
ranging from 0.05 to 0.3. In their well deliverability calculations, Fevang and Whitson
(1996) approximated the condensate saturation in Region 2 with the liquid dropout
curve from a CV D experiment. This approximation, however, did not account for
the condensate accumulation and the variations of the overall compositions in the
reservoir caused by the liquid build-up, hence it can not accurately estimate the well
deliverability for the condensate blockage effect.
Unfortunately, at this time we do not have a demonstrated capability in the indus-
try to measure the relative permeabilities at reservoir conditions for gas-condensate
systems. Most of the available work has concentrated on the measurement of the
endpoints of the relative permeability curves. A variety of laboratory work is still
underway in both academia and the industry to try to understand the nature of the
relative permeability relationships for gas-condensate systems.
Variations of the fluid flow properties at the time of discovery have also been ob-
served and discussed for many reservoirs around the world (examples include Riemens
and de Jong (1985) for Middle Eastern reservoirs and Schulte (1980) for North Sea
reservoirs). Lee (1989) also presented an example to show the variation of the com-
position and the saturation of a gas-condensate system due to the influences of the
capillary and gravitational forces. The composition change has also been observed in
the field (Yuan et al., 2003). Table 2.2 shows fluid samples for Well K401 and Well
K233, from the Kekeya gas field in China. These two wells are from the same reser-
voir and close in location. Three fluid samples were collected in this reservoir: one
2.2. LITERATURE REVIEW 21
Table 2.2: Component composition variations for a Chinese field. (Yuan et al., 2003)
Compononent Well K401 @ initial Well K233(mol%) Well K233(mol%)
reservoir condition (mol%) Year 1995 Year 1999
C1 + N2 77.280 83.86 86.08
C2 7.935 7.78 9.30
C3 3.126 2.38 2.60
C4 2.505 1.52 0.65
C5+ 8.909 4.40 1.31
from well K401, showing the initial reservoir condition, and the other two from Well
K233, collected four years apart. We can see clearly that as the reservoir pressure
drops, the produced fluid become leaner and leaner. Two other observations from the
same field are shown in Figure 2.14. Before the gas cycling, the fluid samples from
both wells grow leaner in heavy components. Furthermore, because the flowing fluid
becomes lighter, the liquid trapped in the reservoir ends up being richer in the heavy
components and therefore the blockage is more difficult to remedy because it will not
revaporize.
Roussennac (2001) illustrated the compositional change during the depletion in
his numerical simulation. According to Roussennac (2001), during the drawdown
period, the overall mixture close to the well becomes richer in heavy components as
the liquid builds up in the well grid cell, and the fluid behavior changes from the
initial gas-condensate reservoir to that of a volatile/black oil reservoir.
To characterize the condensate banking dynamics, Wheaton and Zhang (2000)
presented a general theoretical model to show how the compositions of the heavy
components in a gas-condensate system change with time around the production
wells during depletion. According to Wheaton and Zhang’s model, the rate of change
in heavy component composition is higher for a rich gas-condensate system than for
a lean gas-condensate system for the same reservoir, and the condensate banking
problem is particularly acute for low-permeability high-yield condensate systems.
22 CHAPTER 2. CONCEPTS AND LITERATURE REVIEW
Figure 2.14: Profiles of component compositions for a Chinese field, (Yuan et al.,
2003).
Bengherbia and Tiab (2002) also demonstrated in their study that both the pro-
duction history and the simulation prediction show an increase in lighter components
in the flowing phase once the pressure drops below the dewpoint, but it is still not
clear how the compositions vary with time and space and how the composition change
affects the gas production and the condensate recovery.
The well producing scheme may impose significant impacts on the phase behavior.
However, the manner by which the producing scheme influences the phase behavior
has not yet been sufficiently addressed. Recently, the work of Ayala et al. (2007)
shows major progress in tackling problems related to the production optimization.
Ayala et al. (2007) conducted parametric studies with the neurosimulation technique
to identify the most influential reservoir and fluid characteristics in the establishment
of the optimum production strategies for a gas-condensate system. Eight different
input variables investigated in their study were: permeability, porosity, drainage area,
thickness, pressure ratio of pwf /pi, bottomhole pressure, initial drawdown and initial
2.2. LITERATURE REVIEW 23
reservoir pressure. The advantage of the artificial-neural-network (ANN) is that it
provides a screening tool for a variety of gas-condensate reservoirs. With the aid
of such a tool, the engineer would be able to evaluate the viability of profitable
production without resorting to costly full-scale simulations. In addition, once the
possibility of the profitable production has been confirmed, the expert system could
be used to establish the best production scheme to be implemented for the field
development.
Other parameters, such as the relative permeability and the phase behavior, are
also key to the production strategy and have not yet been investigated so far; hence
they need to be addressed in future parametric studies. In spite of the numerous
methods proposed for measuring the relative permeability, investigating the phase
behavior and optimizing the condensate recovery for gas-condensate systems, there
is still no completely general approach for phase behavior analysis, especially for
the effect of compositional variations on gas-condensate systems. The flowing phase
behavior is influenced directly by the relative permeability and defines the conden-
sate recovery schemes of gas-condensate systems. Accordingly, this work focused on
flowing phase behavior and the impact of flowing composition changes.
24 CHAPTER 2. CONCEPTS AND LITERATURE REVIEW
Chapter 3
Experimental Investigation
In this chapter, we present our work on the experimental study of a synthetic binary
gas-condensate flow in a Berea sandstone core. The core-flooding experiment is di-
rectly analogous to the flow in a reservoir. The compositional behavior during the
core flow and the factors that influencing the compositional distribution are studied
and discussed.
It is important to keep in mind that the experiment has been designed to simulate
reservoir conditions using a synthetic gas-condensate fluid. Gas-condensate fluids
from real reservoirs are much more complicated than the binary fluids used here,
so the analogy here is only a simplified one. However, the apparatus is useful for
indicating compositional features of a gas-condensate flow in porous media.
3.1 Experimental Design
3.1.1 Design Principles
To investigate the composition change resulting from condensation due to the pressure
variation and the condensate hold-up due to relative permeability effect, we needed to
select an appropriate gas-condensate mixture to conduct the core flooding experiment.
In this study, we chose a binary component gas-condensate mixture based on the
following principles:
25
26 CHAPTER 3. EXPERIMENTAL INVESTIGATION
• The mixture should be easy to handle in the laboratory, thus two to four com-
ponents are preferred;
• The critical temperature of the mixture should be below 20 o
C, which makes
the experiment easy to perform at room temperature, and the critical pressure
should be relatively low, so it can be conducted within a safe pressure range;
• A broad condensate region is desirable in order to achieve considerable conden-
sate dropout during the experiment;
• Gas and liquid should show large discrepancies in density so as to be easily
distinguished by X-ray CT imaging.
Figure 3.1 shows the phase envelope for a binary gas-condensate mixture which
satisfies the four principles mentioned above. This system is composed of a mix of
85% methane and 15% butane. At a temperature of 20 o
C and a pressure from 130
atm to 70 atm, this phase diagram has a good retrograde region.
3.1.2 Difference Between Static Values and Flowing Values
Numerical simulation models can provide relatively fast and inexpensive estimates
of the performance of alternative system configurations and/or alternative operating
procedures. Hence, some preliminary numerical simulations were performed prior to
the experiment to investigate possible operating schemes. To use the simulation re-
sults properly, it is important to understand the difference between simulation and
experiment outputs, especially the static and flowing parameter values in each set-
ting. The static values are properties, such as saturation and compositions of each
component, at a given reservoir location, while the flowing values are only associated
with the property of the flowing fluid at this given location and a given time. In the
reservoir simulation, static values will refer to the property values of a given grid block
at a given time, while in experiment and field cases, samples collected come from the
flowing phase only. Due to the constraints of relative permeability and interfacial
tension, only the gas and some part of the liquid is mobile, hence the component
3.1. EXPERIMENTAL DESIGN 27
Figure 3.1: Phase diagram for a two-component methane-butane gas-condensate sys-
tem (PVTi, 2003a, PR(1978) EoS). For this system, the critical temperature and
the critical pressure are Tc = 6.3 o
C and pc = 128.5 atm respectively. At room
temperature, the system produces a moderate retrograde region.
composition of the flowing phase is generally different from the static values in the
two-phase region. The discrepancy between the static values and flowing values de-
pends on the flow region, as shown in Figure 3.2. In Region1, the flow pressure is
still above the dewpoint pressure, only the single-phase gas flow is present, hence the
static values and flowing values in Region1 will be the same. In Region2, the flow
pressure drops below the dewpoint pressure, liquid forms, drops out from the gas
phase and accumulates in the reservoir. However, the accumulated liquid saturation
is not sufficient to overcome the constraint of relative permeability, the liquid remains
immobile. Thus unlike Region1, the property values in the flowing phase in this re-
gion will differ from the static values. In Region3, the accumulated liquid saturation
exceeds the critical liquid saturation, part of the liquid starts to join the flowing gas
phase and would be produced at the wellhead (Figure 3.3). Thus in Region3, the
28 CHAPTER 3. EXPERIMENTAL INVESTIGATION
static and flowing phase fluid properties will differ. In the simulation, the overall
hydrocarbon component mole fractions at the separator are calculated based on the
mass balance, as given by Eq. 3.1, then a flash calculation is performed at separator
condition and fixed zc to determine the hydrocarbon component mole fraction in the
liquid phase (xc) and in the vapor phase (yc) respectively.
zc =
QWH
c /Mwc
nh
i=1
QWH
i /Mwi
(3.1)
Mwc is the component molecular weight, and QWH
c is the component well head mass
flow rate, is calculated as Eq. 3.2:
QWH
i = WIWH
·
p
λpρpXip(pp − pWH
) (3.2)
WIWH
is the well index (Peaceman, 1996), a constant defined by the geometry
property of the well blocks; pp is the phase pressure of the well block and pWH
is the
wellbore pressure for the well in the well block; Xcp is the mole fraction of component
c in phase p; λp is mobility of phase p, and ρp is the density of phase p. The phase
mobility is determined by Eq. 3.3:
λp =
krp
µp
(3.3)
Because of the liquid build-up around the well and in the reservoir, the overall
component mole fractions (the static values) at a given location and a given time
also changes with time, and can be very different from the original reservoir fluid
configuration. The overall hydrocarbon component mole fractions in the reservoir is
given by Eq. 3.4 in two-phase scenario:
zc = xcL + ycV (3.4)
or Eq. 3.5 given the saturation and component molar density information known.
3.1. EXPERIMENTAL DESIGN 29
Gas
Oil
Flowing
phase
Static
phase
Region 1 Region 2 Region 3
Wellbore
Distance from the well
Flow direction
Figure 3.2: The difference of static values and flowing values in three regions.
Figure 3.3: Schematic of composition variation in the reservoir under different pres-
sures and at different conditions.
30 CHAPTER 3. EXPERIMENTAL INVESTIGATION
zc = xcSlρl + ycSgρg (3.5)
Where, L and V are liquid and vapor mole fraction respectively, Sl and Sg are
the liquid and gas phase saturation respectively and ρl and ρg, the component molar
density of liquid and gas phase respectively.
3.1.3 Preexperiment Numerical Simulation
In this study, several preexperiment numerical simulations at core scale were con-
ducted to define the experimental parameters, such as flow pressures and experiment
duration, and to examine the range of the liquid buildup and the extent of the com-
positional variation. Two wells, one gas injector and one producer, were used in these
simulation models. Both wells were controlled by bottom-hole pressures (BHP).
The BHP of the upstream injector was set above the reservoir dewpoint pressure
while the downstream producer has BHP below the dewpoint pressure, such that
the fluid from the injection well was always in gas phase, and the fluid around the
producing well was always in two-phase. The flow in the core flooding simulation was
manipulated under the condition of constant pressure drop.
To investigate the experimental duration, we first set the BHP control for injector
at 130 atm and for producer at 70 atm, thus a constant pressure drop of 60 atm is
maintained. Figure 3.4 (a) illustrates that in the preexperimental simulation the
mole fraction of the heavier component C4 in the flowing phase drops to about 8%
and then within one minute it stabilizes to the upstream C4 composition of 15% as
the flow reaches steady-state; meanwhile, liquid saturation (Figure 3.4 (b)) builds
up quickly once the pressure drops below the dewpoint pressure and the maximum
condensate accumulation reaches as high as 53% in one minute, although the critical
condensate saturation (Scc) is only 25% based on the input relative permeability
curve and the maximum liquid dropout from the CV D experiment is only 9%. A
wide range of saturation change occurs within one minute, and after two minutes, the
saturation has a slight drop from the maximum value and stabilizes around 52% near
the producer region. The saturation around the injector remains zero as two phases
3.1. EXPERIMENTAL DESIGN 31
do not develop in regions with high reservoir pressure.
The composition of butane component in the liquid phase (Figure 3.5 (a)) and the
overall in-situ composition of butane component (Figure 3.5 (b)) also show dramatic
changes within the first two minutes of flow. Due to the relative permeability effect,
the liquid dropout accumulates in the reservoir, and causes a major change in the
in-situ composition configuration. The overall butane composition changed from the
original 15% to 45% around the producer.
Composition varies little in the flowing phase under constant pressure control, as
we just illustrated. Only the flowing phase can be collected in the lab/field through
the producing fluid, so in addition to the fluid sampled during the constant pressure
drop flow, we needed to develop a methodology by which we can collect samples to
investigate the composition variation that occurred in the reservoir. In the simulation,
both the injector and the producer are open, and the flow is maintained under constant
pressure drop, then after 60 minutes both wells are shut down. Figure 3.6 shows
profiles for both xC4 and zC4 history before and after the buildup test. From the
simulation results, we can conclude that both the static overall butane mole fraction
(zC4 ) and the liquid butane composition xi vary immediately after the shutdown of
injector and producer. The greatest variation of component mole fraction occurs
within six seconds after the shutdown and around the producer. After six seconds,
the composition profiles stabilize as depicted the curves at t = 60.0997 minutes in
Figure 3.6. The saturation profiles (Figure 3.7) also show dramatic changes before
and after the shutdown. Different from the saturation profiles, the composition profile
keeps changing after t = 60.0997 minutes as the saturation dispersion proceeds in the
core.
Besides the buildup test, we also looked into the behavior of flow under different
bottom hole pressure (BHP) controls. These simulations were performed with the
same BHP control on the upstream injector (BHP = 130 atm), but different BHP
controls on the downstream producer. The downstream BHP ranged from 30 atm
to 110 atm, which gives a range of pressure drop from 100 atm to 20 atm. Figure 3.8
shows that the lower the bottom-hole pressure (BHP), the more the butane accu-
mulates in both liquid phase and the heavier the overall composition configuration.
32 CHAPTER 3. EXPERIMENTAL INVESTIGATION
10
−1
10
0
10
1
10
2
10
3
0
0.05
0.1
0.15
0.2
0.25
Time (minutes)
FlowingzC4
molefractioninthewellgridblock BHP = 70 atm
(a) C4 mole percentage in the flowing phase.
0 5 10 15 20 25 30
0
0.1
0.2
0.3
0.4
0.5
0.6
0.7
0.8
0.9
1
Distance to the well (cm)
Liquidsaturation(S
c
,fraction)
t = 0.10002 minutes
t = 0.49998 minutes
t = 1 minutes
t = 2 minutes
t = 5 minutes
(b) Saturation distribution profiles.
Figure 3.4: Simulation results for BHP = 70 atm scenario. (a) C4 mole fraction
profile in the flowing phase (b) Saturation distribution profiles at different flow times.
3.1. EXPERIMENTAL DESIGN 33
0 5 10 15 20 25 30
0.1
0.2
0.3
0.4
0.5
0.6
0.7
0.8
0.9
1
Distance to the well (cm)
xC4
(liquidC4
inthegridblock)
t = 0.10002 minutes
t = 0.49998 minutes
t = 1 minutes
t = 2 minutes
t = 5 minutes
t
(a) xC4 distribution.
0 5 10 15 20 25 30
0.1
0.2
0.3
0.4
0.5
0.6
0.7
0.8
0.9
1
Distance to the well (cm)
ZC4
(overallC4
inthegridblock)
t = 0.10002 minutes
t = 0.49998 minutes
t = 1 minutes
t = 2 minutes
t = 5 minutes
t
(b) zC4 distribution.
Figure 3.5: In-situ composition history of butane component in (a) Liquid phase and
(b) The overall composition configuration.
34 CHAPTER 3. EXPERIMENTAL INVESTIGATION
0 5 10 15 20 25 30
0.1
0.2
0.3
0.4
0.5
0.6
0.7
0.8
0.9
1
Distance to the well (cm)
xC4
(liquidC4
inthegridblock) t = 60 minutes
t = 60.0166 minutes
t = 60.0997 minutes
t = 120.9972 minutes
t
(a) xC4 distribution.
0 5 10 15 20 25 30
0.1
0.2
0.3
0.4
0.5
0.6
0.7
0.8
0.9
1
Distance to the well (cm)
ZC4
(overallC4
inthegridblock)
t = 60 minutes
t = 60.0166 minutes
t = 60.0997 minutes
t = 120.9972 minutes
t
(b) zC4 distribution.
Figure 3.6: In-situ composition history for butane component during buildup test in
(a) Liquid phase and (b) The overall composition configuration.
3.1. EXPERIMENTAL DESIGN 35
0 5 10 15 20 25 30
0
0.1
0.2
0.3
0.4
0.5
0.6
0.7
0.8
0.9
1
Distance to the well (cm)
Liquidsaturation(S
c
,fraction)
t = 60 minutes
t = 60.0166 minutes
t = 60.0997 minutes
t = 120.9972 minutes
Figure 3.7: Saturation distribution in the core during buildup.
At and around the producer region the accumulation of the heavier component C4
in the liquid phase can vary from 40% to as high as 75%, and even for the overall
static composition in this region the mole fraction can vary from 30% to 63%. The
different BHP scenarios produce different pressure distributions in the core. The
higher the BHP at the producer, the larger the single-phase region, hence the liquid
accumulates in a smaller region around the well.
Figure 3.9(a) illustrates that the component mole fractions in the flowing phase at
the wellbore do not vary linearly with BHP. When the producer is under the BHP
control of 50 atm, the mole fraction of the heavier component butane in the flowing
phase experiences the greatest lost in the first 40 seconds of flow, and then stabilizes
back to 15% as the flow reaches steady state. However in the BHP = 30 atm case,
instead of losing more butane in the reservoir, there is about 0.43% increase in the
concentration of butane in the produced fluid. This may be due to the fact that part
36 CHAPTER 3. EXPERIMENTAL INVESTIGATION
0 5 10 15 20 25 30
0.1
0.2
0.3
0.4
0.5
0.6
0.7
0.8
0.9
1
Distance to the well (cm)
xC
4
(liquidC
4
molefractioninthegridblock)
BHP = 30 atm
BHP = 50 atm
BHP = 70 atm
BHP = 90 atm
BHP = 110 atm
(a) xC4 distribution.
0 5 10 15 20 25 30
0.1
0.2
0.3
0.4
0.5
0.6
0.7
0.8
0.9
1
Distance to the well (cm)
ZC
4
(overallC
4
molefractioninthegridblock)
BHP = 30 atm
BHP = 50 atm
BHP = 70 atm
BHP = 90 atm
BHP = 110 atm
(b) zC4
distribution.
Figure 3.8: In-situ composition history for butane component with different BHP
control scenarios in (a) Liquid phase and (b) The overall composition configuration.
3.2. EXPERIMENTAL APPARATUS 37
of the reservoir liquid revaporizes at lower BHP, such as BHP = 30 atm, hence
more butane is produced in the well. When the producer BHP is greater than 50
atm, the higher the BHP, the more butane produced from the well in the first one
minute, then after the first one minute, the butane mole fraction stays at 15%.
Figure 3.9(b) shows the distribution profiles of the liquid saturation at t = 5
minutes for different BHP scenarios. From these profiles, we can conclude that the
lower the bottom-hole pressure at the producer, the shorter the range of the liquid
accumulation in the near-well region. Contrary to the overall and liquid composition
distribution in Figure 3.8, the lower the BHP, the greater the liquid accumulation in
the well. Away from the well, the liquid accumulation increases slightly or remains
constant in the two-phase region for all BHP controls except BHP = 110 atm.
When BHP = 110 atm, the pressure drop along the core is only 20 atm, and under
pressures greater than 110 atm, the reservoir fluid forms less liquid dropout than
the maximum liquid dropout, hence, at t = 5 minutes, the accumulation rate of the
liquid saturation is greater than liquid flow rate, hence more liquid accumulates in
the wellblock.
The preexperiment numerical simulation gave us a rough idea of how the binary
gas-condensate system performs under a constant pressure drop condition and how
fast the composition and saturation redistributes during a buildup. In the subse-
quent experiments, we used the conditions as learned from the numerical simulations
and investigated the flow behavior of the selected gas-condensate system by physical
observations.
3.2 Experimental Apparatus
The experimental apparatus was modified from an earlier design of Shi et al. (2006).
The experiment system is illustrated in Figure 3.10. This system is comprised of four
subsystems: the gas supply and exhaust system, the core flow system, fluid sampling
and data acquisition system. A photograph of the whole system is shown in Figure
3.11. The details of each component in the four subsystems, the major measuring
techniques associated with composition and saturation measurements are presented
38 CHAPTER 3. EXPERIMENTAL INVESTIGATION
10
−1
10
0
10
1
10
2
10
3
0
0.05
0.1
0.15
0.2
0.25
Time (minutes)
FlowingzC4
molefractioninthegridblock
BHP = 30 atm
BHP = 50 atm
BHP = 70 atm
BHP = 90 atm
BHP = 110 atm
(a) C4 in the flowing phase.
0 5 10 15 20 25 30
0
0.1
0.2
0.3
0.4
0.5
0.6
0.7
0.8
0.9
1
Distance to the well (cm)
Liquidsaturation(S
c
,fraction)
BHP = 30 atm
BHP = 50 atm
BHP = 70 atm
BHP = 90 atm
BHP = 110 atm
(b) Saturation distribution.
Figure 3.9: Simulation results for different BHP control scenarios. (a)C4 mole frac-
tion profiles in the flowing phase (b) Saturation distribution in the core.
3.2. EXPERIMENTAL APPARATUS 39
Figure 3.10: Schematic diagram of the gas-condensate flow system. The confining
pressure is provided by a high pressure water pump and the gas-condensate mixture
is stored in a piston cylinder, which is supported by a high pressure nitrogen cylinder
to maintain the mixture pressure at 2200psi. Pressures along the core are monitored
by the high pressure transducers and fluid samples are collected from the six ports
along the core for composition analysis.
in the following sections.
3.2.1 Gas Supply and Exhaust
The upstream gas mixture is stored in a piston cylinder (HaiAn, China, capacity
4,000 ml, pressure range 0-4641 psi), and the cylinder pressure is controlled by a high
pressure nitrogen cylinder (6000 psi). The downstream gas exhaust was discharged to
a fume hood directly in the constant pressure drop experiment since the total volume
of the exhaust is very small and safe to dilute into the atmosphere. After the buildup
40 CHAPTER 3. EXPERIMENTAL INVESTIGATION
(a) Front view.
(b) Rear view.
Figure 3.11: Images of the experiment apparatus for the gas-condensate flow system.
(a) Front view, the high pressure titanium core holder is in the foreground, this
core holder has six ports along the core to allow for pressure monitoring and fluid
sampling (b) Rear view, the sampling system and the pressure transducers are in the
foreground.
3.2. EXPERIMENTAL APPARATUS 41
test, the core was discharged into another empty piston cylinder, so that the collected
fluid could be analyzed to determine the total composition.
3.2.2 Core Flow System
The core flow system consists of a titanium core-holder (Shiyi Science and Technology,
model J300-01), which can support a maximum confining pressure 5800 psi), while
maintaining the pore pressure at 5366 psi. A photograph of the core holder is shown
in Figure 3.11(a). The high pressure titanium core holder has six ports along its
length to allow for pressure monitoring and fluid sampling. A homogeneous Berea
sandstone core was selected for this experiment. The core has a length of 25.04 cm
and a diameter of 5.06 cm with an average porosity around 15% and an average ab-
solute permeability about 5 md. The choice of permeability was intentional, as it
was necessary to produce pressure drops of suitable magnitude to create the desired
condensation region during flow.
3.2.3 Fluid Sampling System
One of the unusual aspects of this experiment is the ability to measure the in-place
composition, as well as the usual pressure data along the length of the core. The in-
place composition samples are collected with Tedlar gas sampling bags (SKCwest,
model 232-02) attached to the six sampling ports along the core-holder. In order to
protect the gas samples from being polluted by other gases, the gas sampling bags
are connected to the system in a way such that the bags can be vacuumed before
the experiment. The sampling pressure is regulated by the 25 psi relief valves to
ensure the sampling pressure lower than the pressure limits of the sampling bags.
Collecting the fluid samples directly from the flow system is challenging. Both the
sample size and the sampling duration need to be carefully manipulated. To reduce
the error involved in the sampling process and also to ensure all samples are collected
at roughly the same time, the sampling system is specially designed as shown in
Figure 3.12. A one-meter long stainless steel coil is installed prior to the relief valve
to capture and temporarily store the fluid sample. During the sampling process, we
42 CHAPTER 3. EXPERIMENTAL INVESTIGATION
S
p
(a) (b)
Two-way valve
Three-way valve
To the core
Figure 3.12: Schematic and photograph of the gas sampling system. (a) Schematic
diagram. The fluid sample is first stored in the one-meter long coil, then released to
the sampling bag. (b) Photograph of the sampling system.
first opened the two-valve valve (as depicted in Figure 3.12 (a)) connected to the
pressure port in the core holder and captured the fluid sample in the coil, this sample
could then be released later to the sampling bag. At atmospheric pressure, the one-
meter long coil can store as much as 7.91 cm3
of gas, which is sufficient for one gas
chromatography analysis. Fluid samples coming from the core are usually at high
pressure, hence the volume of the fluid stored in the coil is normally expanded to
larger volume in the sampling bag. By experience, at core pressure higher than 1500
psi, opening the two-way valve in Figure 3.12 (a) for 2 seconds, the amount of fluid
stored in the coil will be ideal for gas chromatographic analysis, while at core pressure
within the range of 1000 psi to 1500 psi, 3 to 5 seconds is required. For fluid pressure
lower than 1000 psi, longer sampling time is needed. The collected gas samples were
sent to an Agilent 6820 series gas chromatograph to analyze the compositions. The
gas chromatograph configuration will be discussed in detail in the next section.
3.2. EXPERIMENTAL APPARATUS 43
3.2.4 Data Acquisition System
All pressure measurements were electronic and digitized by using a high-speed data ac-
quisition system (DAQ; National Instrument, SCSI-1000 with PCI 6023E A/D board).
In the original design of Shi et al. (2006), the in-place pressures were measured by pres-
sure transducers with different capacities, chosen according to the pressure range and
the requirement of the measurement resolution. The absolute pressures on both up-
stream and downstream were measured with high pressure range 2,000 psi transducers
, and the differential pressures between each pair of sampling ports were measured
with low range 320 psi transducers. Several issues arose from this design. First, the
pressure transducers along the core did not generate reliable differential pressure data
in the earlier experiment due to the escalated zero shifting problems and the depen-
dency of each sampling port on its neighbors; secondly, the low pressure transducers
were prone to damage in case of leaks in the system. Pressure differences between
each pair of sampling ports are small when the flow system is under constant pressure
drop and reaches steady-state flow, and can become very large under nonsteady state
conditions. In the redesigned experiment, we replaced all the low pressure transducers
with high pressure ones and measured the absolute pressure at each sampling port
instead of differential pressure between sampling ports. This removed the pressure
dependency on the neighboring ports and prevented over-pressurizing the transducers
along the core. The absolute inlet and outlet core pressures were also monitored. All
pressure data from the eight transducers were logged by the data acquisition system
for analysis.
3.2.5 Gas Chromatography (GC) System
Chromatography is a separation technique used to separate and analyze a mixture
of compounds which are comprised of individual components. A mixture of various
components enters a chromatography process together with the carrier gas, an inert
gaseous mobile phase, and the different components are flushed through the system
at different rates. These differential rates of migration as the mixture moves over
adsorptive materials provide separation, and the rates are determined by the repeated
44 CHAPTER 3. EXPERIMENTAL INVESTIGATION
A
GC system
A
PPI
A
TCD
Sample out
Sample in
Loop
Valve 1 Valve 2
Column1 Column3
8
7 6 5
4
3
2
1
10
9 6
5
4
3
2
1
Column2
Figure 3.13: Schematic diagram of the valve and column configuration in the GC
(Parakh, 2007).
sorption/desorption activities that take place during the movement of the sample over
the stationary bed. The smaller the affinity a molecule has for the stationary phase,
the shorter the time spent in a column. In Gas Chromatography (GC), the sample is
vaporized and injected onto chromatographic columns and then separated into many
components.
In this study, GC analysis for component composition were performed on the
Agilent 6890N series GC, this GC is equipped with a purged packed inlet and single
filament Thermal Conductivity Detector (TCD). The configuration for the valves and
the columns designed inside the GC chamber are shown in Figure 3.13. This valve
and column configuration was designed originally for permanent gas analysis (Zhou
et al. (2003). Valve 1 in this system is a 10-port valve for automatic gas sampling and
backflush of the precolumn to the detector. Two columns can be associated with the
10-port valve. A 6-port switch valve (Valve 2), with adjustable restrictor, is used to
switch the column in and out of the carrier stream. Column 3 is isolated when Valve
2 is on. The purged packed inlet is interfaced directly to the valve to provide a source
of carrier gas. Since there are only two light hydrocarbon components, methane and
butane, in our gas-condensate system, hence one column (Agilent GasPro, 15m×
0.53 mm× 40 µm) was installed in the position of column 1, column 2 was replaced
directly by a by-pass stainless steel tubing, and column 3 was isolated from the system
by switching valve 2 on. The detailed GC setup is listed in Table 3.1:
3.2. EXPERIMENTAL APPARATUS 45
Table 3.1: Gas Chromatographic Conditions.
GC Agilent 6820 Gas Chromatograph
Data system ChemStation
EPC Purged packed inlet 200◦
C
(Heater temperature)
EPC Purged packed inlet 22.64psi
(Heater pressure)
Valve temperature 150◦
C
Carrier flow(Helium) 3.2mL/min
Column GS-GasPro (part number: J&W 113-4362)
50◦
C initial, hold for 3.00 minutes;
Oven increase from 50◦
C to 200◦
C at the rate of 25◦
C/min;
then hold at 200◦
C for 3 minutes.
Detector TCD, 250◦
C
Reference flow 30.00mL/min
Make up flow 10.00mL/min
The thermal conductivity detector (TCD) used in this study is a concentration
sensitive detector. It is simple and easy to use and suitable for the analysis of perma-
nent gases, hydrocarbons, and many other gases. The single-filament flow-switching
design eliminates the need for a reference column. Since TCD is based on the principle
of thermal conductivity, it depends upon the composition of the gas. The difference in
thermal conductivity between the column effluent flow (sample components in carrier
gas) and the reference flow of carrier gas alone, produces a voltage signal proportional
to this difference. The signal is proportional to the concentration of the sample com-
ponents. Different components in the sample gas produce different signals due to the
difference of the thermal conductivity between the pair of the sample component and
the carrier gas. Thus gas chromatography is a relative method, so calibration with a
46 CHAPTER 3. EXPERIMENTAL INVESTIGATION
25µV
1500
1250
1000
750
500
250
0
Front detector
2.5 5.0 7.5 10 12.5 15 17.5 min
Figure 3.14: GC curve for a methane and butane mixture. The measurement shows
good signal-to-noise ratio, and the baseline is also very stable.
standard mixture is required for mixtures having components with different thermal
conductivities.
Figure 3.14 shows the chromatogram of a mixture with a volume of 10 ml, the
methane and butane were easily detected at a good signal-to-noise ratio. The baseline
was also very stable.
Because the difference of the thermal conductivity between methane and helium
is smaller than that of butane and helium, the butane peak is prone to be wider and
hence the apparent butane mole percentage is elevated to a higher than true value.
Therefore, the measurement is calibrated with mixtures of fixed methane and butane
percentage. Figure 3.15 shows the calibrated curve for butane. The actual butane
percentage in the following experiment is calculated based on the calibration Eq. 3.6:
zC4 c = 0.0084zC4 m2
+ 0.198zC4 m (3.6)
Where, zC4 c and zC4 m are the calibrated butane mole percentage and measured
butane mole percentage respectively.
3.2. EXPERIMENTAL APPARATUS 47
y = 0.0084x2
+ 0.198x
R2
= 0.9927
0
10
20
30
40
50
60
70
80
90
100
0 10 20 30 40 50 60 70 80 90 100
GC butane area percentage(%)
Actualbutanepercentage(%)
Figure 3.15: The calibration curve for C4 measurements. The calibrated butane mole
percentage is calculated by: zC4 c = 0.0084zC4 m2
+ 0.198zC4 m.
3.2.6 CT system
An X-ray computed tomography (CT) scanner (GE HiSpeed CT/i) was used in this
study to measure the static saturation in the core. The scanner can also be used to
monitor dynamic experiments, such as core floods as the two phases develop in the
core. Because the CT number is directly proportional to the density of the object, so
we can observe changes in CT numbers as two phases develop in the core.
Measurements with X-ray CT are subject to image artifacts, such as beam harding,
positioning errors and X-artifacts etc. Special care and treatment are needed to
improve the resolution of CT images. According to Akin and Kovscek (2003), object
shape can lead to artifacts, the cross-sectional geometry of the scanner gantry is
circular and the machine delivers the best images of objects that are also circular and
symmetrical in cross-section. Beam hardening can be reduced by simply moving to
48 CHAPTER 3. EXPERIMENTAL INVESTIGATION
Figure 3.16: Apparatus for x-ray CT scanning.
higher energy X-ray sources. Positioning errors can be minimized by setting the scan
object in a fixed position on the patient table. Figure 3.16 shows a photograph of the
CT setup for this experiment. In this setup, positioning is accomplished electronically
with ± 0.01 mm accuracy. An arc-shaped mounting bracket attaches to the core
holder, the inside of the mounting bracket fits the core holder and holds the core holder
tightly, and the outside the mounting bracket fits the patient table, and eliminates
possible slippage between the core holder and the moving patient table. Thus the
core holder is in a fixed position relative to the table.
By trial and error, the best quality resolution was made by selecting the optimum
machine parameters. Table 3.2 shows the scanner settings used in this study.
3.3. EXPERIMENTAL PROCEDURES 49
Table 3.2: CT scanner settings.
Parameter Setting
Field of View (DFOV) 15 cm
SFOV Ped Head
Image Matrix 512 x 512
Sampling 512
Scan Speed 3 sec
Slice Thickness 3mm
Resolution High
Kv 140
MA 200
The tubing system that connects the sample ports to the valve panel was specially
designed to further reduce the influence of beam hardening. In the early stage of the
experiment, Halar Tubing with 2500 psi pressure rating was adopted, the advantage
of Halar tubing is that it is transparent in the CT scanning, but this type of tubing
tends to become brittle and easy to break in the case of high pressure hydrocarbon
flow, especially when the hydrocarbon flow undergoes phase changes. In the later
stages of the experiment, aluminum tubing was adopted. Aluminum tubing has less
beam hardening effect in the scanning system than stainless steel tubing and can also
sustain high flow pressure without rupturing.
3.3 Experimental Procedures
3.3.1 Gas Mixing
According to the preexperiment simulation, 5.5847 moles butane and 31.6465 moles
methane were required to fill the piston cylinder with size of 3,920 ml at 2000 psi
and give the component mole percentage of 85% methane and 15% butane. Butane is
50 CHAPTER 3. EXPERIMENTAL INVESTIGATION
0
5
10
15
20
25
30
35
40
45
0 5 10 15 20 25 30
Temperature (Degree C)
Pressure(psia)
Butane vapor pressure
Figure 3.17: Butane vapor pressure curve.
usually stored in liquid state with the butane tank pressure around 60 psi. According
to Figure 3.17, at room temperature, butane is in liquid phase as long as the fluid
pressure is above 23 psi. The liquid butane can thus be transferred to an empty piston
cylinder by gravity and small pressure difference between the butane tank and the
piston cylinder. Methane usually is supplied in high pressure cylinders, so methane
can be directly transferred to the piston cylinder by the high pressure difference.
Figure 3.18 shows a schematic of the whole process of mixing the liquid butane
with gaseous methane. Firstly, the piston cylinder was vacuumed from the lower end
as shown in Figure 3.18(a), thus the piston was pulled down to the bottom of the
piston cylinder. At the same time, the tubing connecting to the water pump was also
vacuumed to eliminate the air in the piston and tubing line. Water was then pumped
to the vacuumed cylinder. The water can be delivered to the piston cylinder at a
rate ranging from 0.01 ml/min to 9.9 ml/min. Low to intermediate injection rate
3.3. EXPERIMENTAL PROCEDURES 51
was adopted to minimize the air dissolved in the injection water. The piston cylinder
was positioned horizontally after it was filled with water, and the tubing connecting
the piston cylinder and the water pump was pulled vertically, with water head in the
tubing high above that in the piston cylinder. The water-filled piston cylinder stayed
horizontally for half a day to allow the dissolved air to evolve into the higher end of
the tubing. The next step was to open the valve at the higher tubing end, and release
all the accumulated air in the tubing, then put the piston cylinder back to vertical.
Then the higher end of the tubing was opened again, still at a position higher than
the top water level in the piston cylinder. Water was injected and the piston cylinder
was ready for the next step if no water flowed spontaneously out of the cylinder. The
water can flow out of the piston cylinder spontaneously only if the pressure inside
the water-filled piston cylinder is higher than the atmospheric pressure. In this case,
the cylinder is either pumped with too much water or there is too much air dissolved
in the cylinder. Both scenarios are undesirable and would definitely influence the
butane transfer in the next step, hence the water injection needs to be done carefully.
Secondly, the space was prepared for butane transfer. The volume of 5.6 moles
liquid butane at room temperature is equal to a volume of 539 ml water. To transfer
5.6 moles liquid butane to the piston cylinder, we first injected nitrogen into the top
of the water-filled piston cylinder prepared in Figure 3.18(a), so that the nitrogen
drove the piston down and expelled the water out from the bottom. The next step
was to open the valve at the bottom of the piston cylinder slowly, and collect the
water in a beaker and weigh the water on a digital scale, shutting down the valve
when the displaced water read 539 g. Then the nitrogen was released from the top of
the piston cylinder, and the nitrogen source disconnected from the system.
Thirdly, the butane cylinder was connected to the the piston cylinder prepared in
Figure 3.18(b) and then the tubing connection part and the top of the piston cylinder
were vacuumed. If no air was dissolved in the water in the first step, then the piston
will not be pulled up by the vacuum pressure since water has very low compressibility
at room temperature. The butane cylinder was put upside down such that the liquid
butane can flow directly into the piston cylinder. The butane was transferred and
settled in the piston cylinder in a few minutes. The practice was to wait about half
52 CHAPTER 3. EXPERIMENTAL INVESTIGATION
an hour until the pressure in the butane cylinder stopped dropping. Then the valve
on the butane cylinder and the valve on the top of the piston cylinder were shut, as
in Figure 3.18(c). 5.6 moles butane had therefore been successfully transferred into
the piston cylinder.
Lastly, the butane cylinder was disconnected, and the methane cylinder connected
to the piston cylinder partially filled with butane as in Figure 3.18(c). The next step
was to vacuum the connecting tubing and flow the methane directly into the piston
cylinder as in Figure 3.18(c) and discharge all the remaining water from the bottom
of the piston cylinder to the water bottle. The amount of methane transferred to the
piston cylinder depends on the pressure on the methane cylinder. When the maximum
pressure of the methane supply cylinder is around 2100 psi, the methane transferred
to the piston cylinder is roughly 32 moles and the equilibrium pressure in the piston
cylinder is about 2000 psi. Hence the mole percentage of the methane in the mixture
is about 85%. Varying the supply pressure on the methane cylinder, we were able to
slightly adjust the composition for the mixture by flowing less or more methane into
the piston cylinder. The final composition of the mixture was determined accurately
by GC composition analysis prior to conducting the flow experiment
The mixture prepared in Figure 3.18 (d) was ready for use when the piston cylinder
was shaken 100 times to allow the methane and butane to be fully mixed with each
other, then the mixture was pressurized to 2,200 psi for the core flow experiment by
connecting the lower (empty) end to the high pressure nitrogen supply.
3.3.2 Core Flow Tests
In this section, the procedure of the five core flow experiments will be explained in
detail. In Experiments A and B, the core was vacuumed and the hydrocarbon mixture
was injected directly into the core before the flow experiment, while in Experiments
C and D, the core was vacuumed and presaturated with high pressure methane.
Experiment C and D were “capture” experiments in which the fluid flowed in the
core for a given time, then both inlet and outlet valves were suddenly shut and all
six sample parts immediately opened to sample the composition of the fluids. Fluid
3.3. EXPERIMENTAL PROCEDURES 53
Figure 3.18: Overview of the gas mixing process. (a) Vacuum and fill the piston
cylinder with water (b) Displace water from the piston cylinder with specified volume
(c) Discharge liquid butane into the piston cylinder (d) infill the piston cylinder with
high pressure methane.
54 CHAPTER 3. EXPERIMENTAL INVESTIGATION
samples were collected immediately after the core was captured. In Experiment E,
the apparent permeabilities of the core to nitrogen gas were measured before and also
after the hydrocarbon flow test.
Experiment A
In Experiment A, the whole flow system, including the core, the sampling system
and the gas supply system, was fully vacuumed. The mixture in the piston cylinder
was pressurized to 2200 psi with the support of the high pressure nitrogen. The
maximum pressure of the nitrogen cylinder was 6000 psi and nitrogen was delivered
under a pressure of 2200 psi using a regulator. The high pressure support from the
nitrogen ensures the hydrocarbon mixture is always delivered as single-gas phase, as
2200 psi is well above the dewpoint of 1900 psi. During the experiment, the pressure
regulator at the upstream was set around 1950 psi, the downstream valve was closed.
The high pressure gas phase mixture was first flowed into the vacuumed core, and
settled for about 2 minutes until the pressure in the core reached 1950 psi, then the
first batch of fluid samples was taken.
The second batch of samples were taken during flow, which was controlled to
be constant pressure drop with the upstream pressure regulator set at 1950 psi and
downstream back pressure regulator set at 1000 psi. Samples were taken 40 seconds
after the pressure drop along the core was stabilized. In this experiment, the coil
setup shown in Figure 3.12 was originally a stainless tubing about 20 cm long. Longer
sampling time was found necessary to ensure a sufficient sample size. The straight
short tubing was later replaced by the 1 meter long coil in Experiments C, D and
E to increase the sample volume. Because of the extended sampling time, there was
sudden and dramatic pressure drop in the core during each sampling process.
Experiment B
Similar to Experiment A, two batches of samples were collected during the static
and flowing conditions. Different from Experiment A, the mixture in Experiment B
was slightly lighter because of the lower pressure provided by the methane cylinder
3.3. EXPERIMENTAL PROCEDURES 55
during the mixing process. The upstream pressure was regulated to a higher pressure
of 2000 psi, hence the static samples were taken at 2000 psi. During the flowing
stage, the upstream pressure was regulated to 2000 psi, and downstream to 500 psi,
hence a bigger pressure drop occurred during Experiment B. In addition to changes
in the pressure setting, the sampling was manipulated with extreme care during
the experiment, and the two-way valves in Figure 3.12(a) were turned on slowly
to minimize the sudden pressure drop during sampling.
After the flow, we shut down both the upstream and downstream valves on the
core, as well as the valves on the sampling ports. The core was isolated, detached
and taken to the CT scanning room for saturation analysis.
Experiment C
After Experiment B, the longer sampling coil design as in Figure 3.12 was adopted
for better sampling. During the experiment, the core was vacuumed and presaturated
with pure methane at a pressure around 2000 psi. Then at least two pore volumes of
the gas mixture of methane and butane were flushed through the core to fully displace
original methane gas. During the displacement process, the upstream pressure was
set around 2000 psi and downstream to 1950 psi to ensure the mixture of methane
and butane in the core was still in the gas phase. After about 10 minutes of the low
pressure-drop flow, the downstream pressure was set at 1000 psi. Flow occurred at a
high constant pressure drop for 3 minutes and reached steady state, then four valves,
one before the upstream pressure regulator, one prior to the core holder, one right
after the core holder and the one in the downstream of the back pressure regulator
were all shut, capturing the flowing gas within the core. Samples from the six sample
ports along the core were collected immediately after the flow shutoff. One sample
from the tubing upstream of the core was collected, as well as a sample from the
tubing between the back pressure regulator and the outlet end of the core. The valve
at the end of the core was then opened, the fluid in the core was fully discharged into
an empty piston cylinder, and one sample from the exhaust was collected.
56 CHAPTER 3. EXPERIMENTAL INVESTIGATION
Experiment D
The first part of Experiment D was exactly the same as in Experiment C, except
the mixture was heavier than that in Experiment C. The heavier fluid was chosen
to investigate the influence of the original fluid property on compositional variation.
After discharging the hydrocarbon gas into the collection piston cylinder, the remain-
ing liquid in the core was flushed out by injecting nitrogen into the core and three
samples at the exit of the core were taken at three different times.
Experiment E
The apparent permeability to nitrogen was measured before and after the hydrocarbon
flow test. The nitrogen was injected into the core with different pressures and the
downstream flow rates were measured using the upside-down cylinder method, in
which the volume of the gas outflow during a fixed time duration was calculated by
monitoring the water displaced from the upside down glass graduated cylinder.
3.3.3 Sampling from the Tubing Ports
Earlier experience showed that samples from the various tubing ports were often prob-
lematic, and displayed different compositions when sampled under different pressure.
This phenomena was more severe when the sampling pressure was below the dewpoint
pressure. This was attributed to the fact that liquid and gas phases flow at different
rate inside the tubing, hence the fluid captured in the sampling bag preferentially
carried more gas or liquid, depending on whether the tube was pointing upward or
downward. Hence the sample from the tubing was not representative. To reduce the
sampling bias, heat tape was attached around the tubing as shown in Figure 3.19,
to shift the fluid phase behavior to single-phase gas at a higher temperature. This
approach showed a considerable improvement, as shown in Figure 3.20.
3.3. EXPERIMENTAL PROCEDURES 57
C1
&
C4
High
pressure
N2
Sampling
bag
Heat tape
Valve 1 Valve 2
Valve 3
Vacumm
pump
Figure 3.19: Schematic of gas sampling directly from the cylinder with heat tape.
3.3.4 Composition Analysis
Sample compositions were analyzed by gas chromatography. In the GC analysis,
samples were injected manually into the GC column. There were a couple of issues
associated with the manual injection process.
Before the GC analysis, we needed to check the septum. The recommended inlet
septum is 11mm septum with partial through-hole and low-bleed (Part no. 51813383).
First we needed to check if the septum is contaminated and whether the septum hole
is closed. In either case, the septum was replaced. When the instrument is in steady
use, a daily septum replacement is recommended. Secondly, it was necessary to check
that the needle support assembly is installed correctly. Next, we needed to check that
the correct insert is installed and that it is installed correctly. Finally, we checked the
alignment of the inlet septum and the septum nut, tightening the septum nut finger
tight. If the septum nut is tightened too much, it prevents the needle going through;
on the other hand, a loose septum nut will reduce the peak height, and hence the
analysis reproducibility. To the extreme extent, a loose septum end will cause leaks
58 CHAPTER 3. EXPERIMENTAL INVESTIGATION
0.0
5.0
10.0
15.0
20.0
25.0
0 500 1000 1500 2000 2500
Pressure (psi)
CalibratedC4precentage(%)
Oct. 14
Oct. 06
Aug. 26
(a) Without heat tape.
0.0
5.0
10.0
15.0
20.0
25.0
0 500 1000 1500 2000 2500
Pressure (psi)
CalibratedC4percentage(%)
Oct. 25
Oct. 26
(b) With heat tape.
Figure 3.20: Composition measurement with and without using the heat tape. (a)
without using heat tape (b) with heat tape.
3.3. EXPERIMENTAL PROCEDURES 59
in the septum. In this case, we will see symptoms such as longer or shifting retention
times, loss of response, and/or loss of column head pressure. Additionally, signal
noise will increase.
The second part needing to be checked was the syringe needle. The useful lifetime
of septa depends upon injection frequency and needle quality; burrs, sharp edges,
rough surfaces, or a blunt end on the needle decreases septum lifetime and may cause
clogging by a septum crumb in the needle. For manual injection, the syringe plunger
should be moved up and down with the needle in the sample to expel air and improve
reproducibility.
Before the composition analysis, two blank runs are recommended to flush away
possible leftover gases from any previous experiment run.
3.3.5 X-ray Saturation analysis
According to Akin and Kovscek (2003), a single energy scan is sufficient to measure
two-phase saturations as shown in Eq. 3.7.
µglr = (1 − φ)µr + φSlµl + φSgµg (3.7)
where the subscript glr refers to rock containing both gas and liquid phases. Here,
µr, µg and µl are the attenuation coefficients for the rock matrix, when the core is
fully saturated with gas and liquid respectively and Sg and Sl are gas and liquid
saturations respectively. Sg + Sl = 1. The CT number is defined by normalizing with
the linear attenuation coefficients of water, µw, as shown in Eq. 3.8
CT = 1000
µ − µw
µw
(3.8)
The porosity, φ, is defined as Eq. 3.9:
φ =
CTlr − CTar
CTl − CTa
(3.9)
60 CHAPTER 3. EXPERIMENTAL INVESTIGATION
where the subscripts l and a represent liquid-phase and air-phase CT numbers,
whereas lr and ar refer to liquid- and air-saturation rock respectively. Thus, the
saturation of gas in each voxel is defined as:
Sg =
CTlr − CTgr
CTlr − CTglr
(3.10)
Thus to calculate the two-phase saturation, we need to have three parameters:
CTlr, CTgr, and CTglr. Due to the difficulty of discharging the hydrocarbon exhaust
in the CT room, the three parameters were measured separately. The core saturated
with liquid butane at 40 psi and gaseous methane at atmosphere pressure was first
scanned and after the flow test experiment, the isolated core filled with mixture
at high pressure was then taken to the CT room to measure CTglr. Fluid density,
especially gas density, normally changes with pressure, and according to Vinegar and
Wellington (1987), the linear attenuation coefficient is expressed as:
µ = [σ(E) + b ¯Z3.8
/E3.2
]ρ (3.11)
where σ(E) is the Klein-Nishina Coefficient, ρ is the electron density, ¯Z is the effective
atomic number, E is the photon energy in keV , and b is a constant. Eq. 3.11 shows
that fluids with greater density have greater linear attenuation coefficient. The CTlr
and CTgr were measured at relatively very low pressure (40 psi for the core saturated
with liquid butane, and atmosphere pressure for the core saturated with gaseous
methane), hence pressure adjustment for fluid density is needed to ensure that CTlr
and CTgr are measured/calculated at the same pressure as the high mixture pressure.
Due to the relatively small compressibility, we can assume that the sandstone matrix
density and the pore volume does not change with pressure, thus the change in the
µr is mainly due to the change of fluid in the pore space.
∆µfr = µfr(p) − µfr(ref) = φ[µf(p) − µf(ref)] (3.12)
where µfr is the attenuation coefficient for the core saturated with fluid f, and µf(p)
3.3. EXPERIMENTAL PROCEDURES 61
is the attenuation coefficient for fluid f at pressure p, and µf(ref) at reference mea-
surement pressure.
According to Eq.3.11, for the same fluid, we have:
µf(ref)
ρf(ref)
=
µf(p)
ρf(p)
(3.13)
The change of CT number for the core saturation with fluid f due to the change of
density in the fluid is, therefore, given by:
∆CTfr = CTfr(p) − CTfr(ref) = 1000
∆µrf
µw
(3.14)
substitute Eq. 3.12 and Eq. 3.13 into En.3.14, then Eq. 3.14 can be written as:
∆CTfr = 1000φ
(
ρf(p)
ρf(ref)
− 1)µf(ref)
µw
(3.15)
Divide ∆CTfr by CTf (ref), we can get:
∆CTfr
CTf(ref)
= φ
(
ρf(p)
ρf(ref)
− 1)µf(ref)
µf(ref) − µw
(3.16)
Rearrange Eq. 3.16, then the final ∆CTfr is given by:
∆CTfr = CTf(ref)φ(
ρf(p)
ρf(ref)
− 1)(1 +
1000
CTf(ref)
) (3.17)
Eq. 3.17 tells us that the change in CT number due to the density change for
the same fluid can be adjusted if the fluid density at pressure p and at the reference
pressure are both known, and CT numbers for the fluids themselves at the reference
measurement condition are also available. Table 3.3 shows the density of the liquid
butane and the vapor methane at reference pressure and a pressure of 2000 psi. The
density of the liquid butane and the density of the vapor methane at other pressures
can be calculated from correlations given in Figure 3.21 and Figure 3.22 respectively.
Figure 3.23 shows the nine scanning positions. The positions were chosen carefully
to avoid the ports and fittings along the core holder. The start and end scanning
62 CHAPTER 3. EXPERIMENTAL INVESTIGATION
ρ = 1E-05p + 0.6149
R2
= 0.9969
0.61
0.615
0.62
0.625
0.63
0.635
0.64
0.645
0 500 1000 1500 2000 2500
Pressure (psi)
Density(g/cm
3
)
Figure 3.21: Butane density as a function of pressure.
ρ = 6E-05p - 0.0041
R2
= 0.9978
0
0.02
0.04
0.06
0.08
0.1
0.12
0.14
0 500 1000 1500 2000 2500
Pressure (psi)
Density(g/cm
3
)
Figure 3.22: Methane density as a function of pressure.
3.3. EXPERIMENTAL PROCEDURES 63
Table 3.3: Parameters for CT number calculation.
ρC4(ref) ρC4(2000) ρC1(ref) ρC1(2000) CTC4(ref) CTC1(ref)
(g/cm3
) (g/cm3
) (g/cm3
) (g/cm3
) (liquid) (vapor)
0.6 0.6394 0.000717 0.1159 -285 -1000
CT scanning position
Figure 3.23: Apparatus for x-ray CT scanning.
position were labeled on the core holder, and all scans were started from the same
position and ended at the same location. Hence, for each scanning location, CTlr,
CTgr, and CTglr were ensured from exactly the same slice.
The images files from the CT room were transferred to the local computer and
postprocessed with Matlab. Figure 3.24(a) shows the whole image of the core with
the core holder. In saturation calculation, we are interested in the CT numbers of
the core only. So the image of the core (as shown in Figure 3.24(b)) was extracted
from the original image and only the CT numbers of the core were used for saturation
calculation.
64 CHAPTER 3. EXPERIMENTAL INVESTIGATION
(a) CT image with core holder
500
1000
1500
2000
2500
(b) CT image of the core only
500
1000
1500
2000
2500
Figure 3.24: CT image processing.
3.4 Summary
Experimental equipment was constructed to allow detailed and accurate measure-
ments of real time pressure and in situ composition of the flowing fluid along the
core. This apparatus was used to do constant pressure-drop core flooding experi-
ment and the isolated coreholder was taken to the X-ray CT room for saturation
measurements.
Chapter 4
Experimental Results
The results from the experiment are discussed in this chapter. The pressure data,
compositional data and also the saturation data are analyzed and presented here.
These results help in understanding of gas-condensate flow in porous media.
4.1 Experimental Results
4.1.1 Pressure Measurements
Experiment A
Figure 4.1 shows the pressure profiles for Experiment A. At the first sampling stage,
the core was saturated with the gas-condensate fluid of methane and butane at a
pressure of 1,956 psi. Due to the sudden pressure drop during the sampling process,
the actual sampling pressures are different from the baseline 1,956 psi, as depicted
by the pink square dots in Figure 4.1(a). From this figure, we can see that samples
collected at port 1, port 2, port 3 and port 5 are roughly at the same pressure of 1865
psi, which is above the dewpoint pressure (1837 psi), while the sampling pressures at
port 4 and port 6 are lower than the dewpoint pressure.
Sampling during the flow also showed pressure drop in all ports, the biggest in-
stantaneous pressure drops occurred at port 1 and port 5 due to the long sampling
time. The influence of pressure drop on the compositional results will be discussed in
65
66 CHAPTER 4. EXPERIMENTAL RESULTS
the next section.
Experiment B
Figure 4.2 illustrates the pressure results for constant pressure drop flow experiment
B. During this experiment, the sampling process was meticulously operated, conse-
quently, the sampling pressure did not drop as severely as in Experiment A.
Experiment C
Figure 4.3 shows the pressure measurements from Experiment C. Different from Ex-
periments A and B, the flow samples in Experiments C and D were collected when
the core was in “capture” status instead of in flowing condition. “Capture” refers to
the status in which both the upstream and downstream of the flow were shut, and
the flow in the core was immediately isolated. Samples from the “capture” status
were collected immediately after the flow cut. “Capture” mode was designed to try
to sample the in-situ (static) composition, instead of flowing composition measured
in flow mode in Experiments A and B. Fluid samples collected from the tubing in
the downstream of the core were usually contaminated by the fluid from the core.
The “capture” design helped to get the true sample right after the core flow. How-
ever, samples collected from the core were slightly altered even though sampling was
done in 3-4 seconds after the “capture”. Because of the small volume of the core,
pressure in the core tended to reach balance immediately after the external flow was
shut down. Sampling pressures, as shown in Figure 4.3(a), display a near uniform
distribution, which confirms the instant pressure redistribution.
The buildup pressures in Figure 4.3(a) were measured shortly after the core sam-
pling. Due to the small volume of core, the fluid redistributed in the core very quickly
and the pressure reached a steady-state condition very soon at 1570 psi. Pressure in
the core went down to 71 psi after the fluid in the core was fully discharged to an
empty piston cylinder.
4.1. EXPERIMENTAL RESULTS 67
1700
1750
1800
1850
1900
1950
2000
-100 -50 0 50 100 150 200 250 300
Core location (mm)
Pressure(psi)
original pressure
Sample pressure
Port 1
Port 2
Port 3
Port 4
Port 5
Port 6
Flow direction
(a) Sampling without flow.
0.0
500.0
1000.0
1500.0
2000.0
2500.0
-100 -50 0 50 100 150 200 250 300
Core location (mm)
Pressure(psi)
Flow pressure
Sample pressure
Port 1
Port 2
Port 3
Port 4
Port 5
Port 6
Flow direction
(b) Sampling during flow.
Figure 4.1: Sampling pressure profiles for Experiment A. (a) Sampling without flow
(b) Sampling during flow.
68 CHAPTER 4. EXPERIMENTAL RESULTS
600
800
1000
1200
1400
1600
1800
2000
2200
-100 -50 0 50 100 150 200 250 300
Core location (mm)
Pressure(psi)
Flow pressure
Sample pressure
Flow direction
Port 1
Port 2
Port 3
Port 4
Port 5
Port 6
(a) Sampling during flow.
600
800
1000
1200
1400
1600
1800
2000
2200
-100 -50 0 50 100 150 200 250 300
Core location (mm)
Pressure(psi)
original pressure
sample pressure
Port 1
Port 2
Port 3
Port 4
Port 5
Port 6
(b) Sampling without flow.
Figure 4.2: Sampling pressure profiles for Experiment B. (a) Sampling during flow
(b) Sampling without flow.
4.1. EXPERIMENTAL RESULTS 69
0
500
1000
1500
2000
2500
-100 -50 0 50 100 150 200 250 300 350
Core location (mm)
pressure(psi)
Flow pressure Sample pressure
Flow direction
(a) Sampling after shutdown.
0
500
1000
1500
2000
0 50 100 150 200 250 300
Core location (mm)
pressure(psi)
Buildup pressure Depleted pressure
(b) Build up pressure.
Figure 4.3: Pressure profiles for Experiment C. (a) Flowing and sampling pressure
profiles (b) Build-up pressure and the static pressure in the fully discharged core.
70 CHAPTER 4. EXPERIMENTAL RESULTS
Experiment D
Figure 4.4 shows the pressure measurements from Experiment D. Experiment pro-
cedure in the first part of Experiment D was similar to that used in Experiment
C. Sampling pressure in Experiment D (Figure 4.4(a)) also suggests a near uniform
distribution due to the fluid and pressure redistribution. The buildup pressure in
Experiment D is 1312 psi, 258 psi below the buildup pressure in Experiment C. This
maybe due to the difference in the sampling time. We tried to collect the samples
along the core as quickly and simultaneously as possible, but a few seconds of sampling
difference still occurred among the six samples.
Comparison with Nitrogen Flow
In the previous four subsections, the flow pressure, sampling pressure and buildup
pressure (if applicable) were discussed. To further understand the information be-
hind those pressure data, we performed two additional flow experiments with nitrogen
under similar pressure settings. Pressure profiles from the single-phase nitrogen flow
were then compared with the hydrocarbon flow. Figure 4.5 shows the pressure profile
comparison. Three hydrocarbon experiments, Experiment A, B and D, show greater
pressure drop at core locations close to upstream, this reveals two-phase flow in the
core since two-phase flow has lower mobility, and hence greater pressure gradient. Ex-
periment C, however, only show an increased pressure gradient at core location from
50 mm and 100 mm. At core location from 100 mm to 175 mm, the pressure gradient
is smaller than the corresponding nitrogen flow at the same location. This abnormal
pressure distribution may due to measurement error in the pressure transducers or
unusual flow activity.
Apparent permeability was calculated for both single-phase nitrogen flow and also
for four hydrocarbon experiments. The apparent permeability for compressible flow
is defined as Eq. (4.1):
k =
Q
A
·
2µLp0
pi
2 − p0
2
(4.1)
where Q is the volumetric flow rate, µ, the fluid viscosity, L, the flow distance and pi
4.1. EXPERIMENTAL RESULTS 71
0
500
1000
1500
2000
2500
-100 0 100 200 300 400
Core location (mm)
Pressure(psi)
Flow pressure Sample pressure
Flow direction
(a) Sampling after shutdown.
0
200
400
600
800
1000
1200
1400
1600
1800
0 50 100 150 200 250 300
Core location (mm)
Pressure(psi)
Build up pressure Depleted pressure
(b) Build up pressure.
Figure 4.4: Pressure profiles for Experiment D. (a) Flowing and sampling pressures
(b) Build-up pressure and pressure in the fully discharged core.
72 CHAPTER 4. EXPERIMENTAL RESULTS
900.0
1100.0
1300.0
1500.0
1700.0
1900.0
2100.0
-100 -50 0 50 100 150 200 250 300 350
Core location (mm)
Pressure(psi)
Nitrogen 01 Experiment A
Experiment C Experiment D
(a) Pressure profile comparison of nitrogen flow run 1 and hydrocarbon Experiment A, C
and D.
400
600
800
1000
1200
1400
1600
1800
2000
-100 -50 0 50 100 150 200 250 300 350
Core location (mm)
Pressure(psi)
Nitrogen 02
Experiment B
(b) Pressure profile comparison of nitrogen flow run 2 and hydrocarbon Experiment B.
Figure 4.5: Pressure profile comparison of nitrogen flow and hydrocarbon flow. (a)
Comparison of nitrogen flow run 1 and hydrocarbon Experiment A, C and D. (b)
Comparison of nitrogen flow run 2 and hydrocarbon Experiment B.
4.1. EXPERIMENTAL RESULTS 73
and p0, the upstream pressure and reference pressure respectively.
An average density of the liquid and the vapor density was used for two-phase
hydrocarbon flow and the vapor viscosity was used for hydrocarbon viscosity calcula-
tion. Since flow rate measurements are not available in this study, a relative apparent
permeability ki/kref is adopted for comparison. ki/kref is calculated as:
ki
kref
=
µip0
(p2
i − p2
0)ρi
/
µref p0
(p2
ref − p2
0)ρref
(4.2)
where ki is the apparent permeability at location i, and kref is the apparent
permeability at the reference location.
Figure 4.6 shows the density and the viscosity profiles as functions of pressure
for nitrogen. The average density and vapor viscosity of the methane-butane sys-
tem (C1/C4 = 85%/15%) at T = 20◦
C were calculated with WinProp (version 2006,
Computer Modeling Group Ltd., PR(1978) EoS), as displayed in Figure 4.7. Nitrogen
density bears a straight correlation with pressure, and shows lower density at high
pressure than the methane-butane mixture. In general, nitrogen viscosity has a nar-
rower variation from 0.017 cp to 0.0214 cp, however, the vapor viscosity for methane
and butane mixture varies from 0.01 cp to 0.0251 cp. At pressure lower than the dew-
point pressure, the viscosity of the two-phase hydrocarbon flow should have greater
value than the vapor viscosity used in the calculation. Hence the ki/kref calculation
for hydrocarbon flow at low pressure could be underestimated.
Figure 4.8 shows the calculated ki/kref for both nitrogen flow and four hydrocar-
bon experiments. Compared with the nitrogen flow, the hydrocarbon flow at the low
pressure range shows decrease in the ki/kref , which is due to the lower flow capacity
in the two-phase flow region.
4.1.2 Compositional Measurements
Experiment A
In this experiment, the first batch of samples (we call them original compositions) were
collected before the flow test, and the core was in static condition during sampling.
74 CHAPTER 4. EXPERIMENTAL RESULTS
y = 8E-05x + 0.0004
R
2
= 0.9999
0
0.02
0.04
0.06
0.08
0.1
0.12
0.14
0.16
0.18
0.2
0 500 1000 1500 2000 2500
Pressure (psi)
Density(g/cm
3
)
(a) Density of nitrogen.
y = 5E-10x
2
+ 6E-07x + 0.0178
R
2
= 0.9993
0
0.005
0.01
0.015
0.02
0.025
0 500 1000 1500 2000 2500
Pressure (psi)
Viscosity(cp)
(b) Viscosity of nitrogen.
Figure 4.6: Density and viscosity of nitrogen at T = 20◦
C (a) Density vs. Pressure
(b) Viscosity vs. Pressure.
4.1. EXPERIMENTAL RESULTS 75
y = -9E-15x
4
+ 3E-11x
3
- 2E-08x
2
+ 8E-05x - 0.002
R
2
= 0.9999
0
0.05
0.1
0.15
0.2
0.25
0 500 1000 1500 2000 2500
Pressure (psi)
Density(g/cm
3
)
(a) Density of methane and butane mixture (C1/C4 = 85%/15%).
y = -7E-16x
4
+ 6E-12x
3
- 8E-09x
2
+ 5E-06x + 0.0097
R
2
= 0.9962
0
0.005
0.01
0.015
0.02
0.025
0.03
0 500 1000 1500 2000 2500
Pressure (psi)
Viscosity(cp)
(b) Viscosity of methane and butane mixture (C1/C4 = 85%/15%.
Figure 4.7: Density and viscosity of methane and butane mixture (C1/C4 =
85%/15%) at T = 20◦
C (a) Density vs. Pressure (b) Viscosity vs. Pressure.
76 CHAPTER 4. EXPERIMENTAL RESULTS
0
0.5
1
1.5
2
2.5
0 50 100 150 200 250
Core location (mm)
ki/k0
Experiment A Experiment B
Experiment C Experiment D
Nitrogen 01 Nitrogen 02
Figure 4.8: Apparent permeability ratios for nitrogen and hydrocarbon flow (ki/k1,
scaled with the apparent permeability at location 90mm.).
Notice that, the original compositions (blue diamond dots in Figure 4.9) show slight
drop in the butane mole percentage at the two sample ports located downstream.
Compositions from the four upstream ports are identical and consistent with the
composition from the cylinder. The drop of butane mole percentage in the last
sampling ports may be due to the pressure drop during the sampling process or
due to liquid dropout during the initial introduction of the mixture into the empty
core.
The flow test was performed under constant pressure drop with the upstream and
downstream pressures were regulated to 1,954.1 psi and 1,000 psi respectively. The
second batch of samples were taken during the steady constant pressure drop flow.
The composition results in Figure 4.9 show that as the pressure drops, the molar
fraction of the heavy component C4 also decreases. This is due to the fact that as the
pressure decreases, liquid drops out into the core, and the accumulated liquid remains
immobile until the liquid saturation exceeds the critical condensate saturation (Scc).
Since the liquid is mainly comprised of the heavy component, the liquid becomes richer
4.1. EXPERIMENTAL RESULTS 77
0
5
10
15
20
25
-100 -50 0 50 100 150 200 250 300
core location (mm)
Butane(C4)molepercentagein
theflowingphase(%)
original composition
composition during flow
mixture composition
Figure 4.9: Butane mole percentage profiles with samples collected in Experiment A
during flow with constant pressure drop.
as the pressure decreases. At the early stage of the flow, the flowing phase becomes
leaner as the system had not reached the steady-state condition. This confirms the
presimulation results as depicted previously in Figure 3.4(a).
Experiment B
Experiment B was similar to Experiment A except that it was performed under larger
constant pressure drop. In this experiment, the compositional sampling during the
flow was taken when the flow reached fully steady state, hence the flowing composi-
tions are almost identical to those from static condition (as shown in Figure 4.10).
This also verifies the preexperiment simulation estimation.
Experiment C
Experiments C and D were designed for two purposes. The main purpose was to
isolate both the tubing lines at core ends, and thus the fluid sampling prior to and
after the core will not be influenced by the instant pressure drop during the sampling
78 CHAPTER 4. EXPERIMENTAL RESULTS
0
2
4
6
8
10
12
14
-100 -50 0 50 100 150 200 250 300
core location (mm)
Butane(C4)molepercentagein
theflowingphase(%)
original composition
composition during flow
Figure 4.10: Butane mole percentage profiles with samples collected in Experiment
B during flow with constant pressure drop.
process. This is especially important for the sampling at the core exit because more
liquid tends to be flushed to the tubing if there is a sudden pressure drop. The
second purpose is to see how quickly the composition redistributes in the core. As
seen from the preexperiment simulation results, the butane mole percentage in both
liquid and in-situ fluid drops in six seconds after the injector and producer shut
down, at the same time the butane mole percentage in the vapor phase increases.
Hence the fluid from the core at such condition becomes leaner. Figure 4.11 shows
the composition results taken right after shutting down both the upstream and the
downstream flow. Composition in the tubing prior to the core and after the core
shows perfect match with the original composition from the cylinder. Composition
prior to the core is in gas phase, so it is identical to the composition from the cylinder.
Composition in the tubing after the core is the composition in the flowing phase during
the constant pressure drop flow, hence is also the same as the original composition.
Compositions of fluid from the interior of the core show butane content drop. This
drop is not homogenous in the core, which may due two reasons. One reason is that
4.1. EXPERIMENTAL RESULTS 79
0
5
10
15
20
25
-100 0 100 200 300 400
Core location (mm)
Butanepercentage(%) core upstream
downstream discharge
original composition
Figure 4.11: Butane mole fraction profiles with samples collected in Experiment C
immediately after the flow with constant pressure drop.
the composition is not identical everywhere in the core even though the saturation
redistributed in the core within very short time period. The composition configuration
is still constrained by the history of the composition distribution at each core location.
Another reason is that the six samples were collect by three different persons, and
hence the samples were not collected at exactly the same time. The later the sampled
collected, the bigger drop in the butane mole percentage.
After the flow test, the core was naturally discharged, and the fluid was collected
in an empty piston cylinder. The discharging experiment measures the average com-
position zi flowing in the core, which can not be sampled directly from the flowing
phase during the constant pressure drop flow. The composition analysis (Figure 4.11)
shows increase of butane mole percentage in the fluid, which further confirms that
the in-situ fluid in the constant pressure drop flow became heavier.
80 CHAPTER 4. EXPERIMENTAL RESULTS
Experiment D
Experiment D is similar to Experiment C except that the mixture used for the flow
test is heavier. Similar conclusions are found in Figure 4.12. In Experiment D, the
composition collected from the tubing after the core shows increase in the butane
mole percentage. This is due to the reason that the downstream valves were switched
off one second later than those in the upstream. This delay, although very short, still
caused some liquid to be flushed out of the core. The composition of the discharged
fluid also shows increase in the heavier component.
After discharging naturally, the core was flushed by nitrogen gas. Three samples
were collected during the nitrogen injection. Figure 4.13 shows that butane percent-
age decreases as the injection proceeds in the core. At the beginning, the butane
percentage is about 14%, then after three minutes, butane percentage dropped to
about 2%. This demonstrates that the accumulated liquid could not fully revaporize
from the porous medium once it had been trapped there, and nitrogen injection is an
effective way to recover the heavy component trapped in the core.
4.1.3 Saturation Measurements
Saturation is calculated from CT numbers as defined in Eq. (3.10), and Sl = 1 − Sg.
Figure 4.14 shows that the CT images for the core saturated with butane liquid,
gas and the mixture of methane and butane. Figure 4.14(d) and Figure 4.14(e)
illustrate that the differences between the CT images for core saturated with different
fluids. The liquid saturation interpreted from the CT images is shown in Figure 4.15.
Note that CTlr and CTgr were also adjusted with pressure to reflect the density
change due to pressure change. Comparing the measured saturation results with
the preexperiment saturation distribution (as shown in Figure 3.7), we can see that
simulation and experiment behave differently in the well region. In the simulation,
liquid vaporizes to zero in the well region as the build-up pressure stabilizes at 2000
psi (Figure 4.16). However, in the core flow experiment, liquid redistributes in the
core one hour after the flow shut down. Although the final build up pressure is as
high as 2000 psi, the liquid did not revaporize as suggested by the original phase
4.1. EXPERIMENTAL RESULTS 81
0
5
10
15
20
25
30
35
40
-100 -50 0 50 100 150 200 250 300 350
Core location (mm)
Butanepercentage(%)
core upstream downstream discharge original
original composition
Figure 4.12: Butane mole fraction profiles with (a) samples collected immediately in
Experiment D after the flow with constant pressure drop (b) Samples collected after
nitrogen injection into the naturally depleted core.
diagram (Figure 3.1). This further confirms that the liquid becomes heavier (richer
in heavy component), and the fluid in the core did not go back to the single gas phase
at 2000 psi and room temperature according to the new phase configuration. The
zero liquid saturation near the well region suggested by ECLIPSE simulation results
is probably due to the inappropriate phase treatment in ECLIPSE. ECLIPSE treats
all the regions outside the phase diagram as one single gas phase. This is true when
the reservoir temperature remains on the right side of the critical temperature, and
the composition configuration in the core does not change over time. However, the
composition in the core becomes heavier as liquid builds up in the core, the phase
diagram shifts towards the heavier configuration, and the critical temperature of the
heavier fluid may shift to the right side of the reservoir temperature (as shown in
Figure 4.17). In this case, the reservoir fluid is no longer gas-condensate, and hence
liquid can not revaporize as the pressure goes up. In this case, repressurizing is not
a good strategy to remove the liquid accumulation.
82 CHAPTER 4. EXPERIMENTAL RESULTS
0
5
10
15
20
25
30
35
40
0 50 100 150 200
Time (seconds)
Butanepercentage(%)
Nitrogen injection
Figure 4.13: Butane mole fraction in the exit flow with nitrogen injection (Experiment
D).
4.1.4 Apparent Permeability Measurements
Nitrogen permeability was measured before and after the hydrocarbon flow test. Fig-
ure 4.18 shows the results measured at different time. Where k is apparent perme-
ability, defined as Eq. (4.1). From the figure, we can see that permeabilities measured
right after the hydrocarbon flow test are lower than those measured before the test,
which indicates that some liquid drop-out in the core did not revaporize. The fact that
liquid still exists even though the original phase diagram suggests complete revapor-
ization is of primary importance, because it shows that the liquid remaining in the
core is not the same as the original composition. Nitrogen permeability measured two
weeks after the hydrocarbon flow test is consistent with those measurements before
the hydrocarbon flow test, which indicates the ultimate revaporization of the conden-
sate in the core. These results are also consistent with the composition measurements
in Experiment D.
4.2. SUMMARY 83
(a)
500
1000
1500
2000
2500
(b)
500
1000
1500
2000
2500
(c)
500
1000
1500
2000
2500
(d)
0
100
200
300
400
(e)
0
100
200
300
400
(a) Image of the core saturated with liquid C4
.
(b) Image of the core saturated with gas C1
.
(c) Image of the core saturated with the mixture of C1
and C4
.
(d) The difference between the core saturated with liquid C4
and gas C
1
.
(e) The difference between the core saturated with liquid C4
and the mixture of C1
and C4
.
CT(H)
Figure 4.14: CT images of the core saturated with (a) liquid butane (b) gas methane
(c) the mixture of methane and butane and (d) the difference between liquid butane
and gas methane and (e) the difference between liquid butane and the mixture of
methane and butane at l = 74mm.
4.2 Summary
These five example experiments on the binary gas-condensate system demonstrate and
confirm the compositional variation in the gas-condensate flow, even in the constant
pressure-drop flow case. In gas-condensate flow, local composition changes due to the
influence of relative permeability effect although the composition of the flowing phase
has slight or no change. The reservoir flow would not revaporize as suggested by the
84 CHAPTER 4. EXPERIMENTAL RESULTS
0
10
20
30
40
50
60
70
80
90
100
0 50 100 150 200 250 300
core locations(mm)
Liquidsaturation(Sc,percentage)
after pressure adjustment no pressure adjustment
Flow direction
Figure 4.15: A saturation profile from CT image interpretation.
600
800
1000
1200
1400
1600
1800
2000
2200
-100 -50 0 50 100 150 200 250 300 350
core location (mm)
Build-uppressure(psi)
Build-up pressure Flowing pressure
Flow direction
Figure 4.16: Pressure profile in the core during x-ray CT scanning.
4.2. SUMMARY 85
0
500
1000
1500
2000
-150 -100 -50 0 50 100 150 200 250
Temperature (deg F)
Pressure(psia)
2-Phase boundary Critical 2-Phase boundary
Figure 4.17: PT diagram for binary component C1/C4 = 63%/37%.
0.0
0.5
1.0
1.5
2.0
2.5
3.0
3.5
4.0
0.00 0.10 0.20 0.30 0.40 0.50 0.60 0.70
1/pm (1/atm)
k(md)
Pre HC flow test 01
Pre HC flow test 02
Post HC flow test 01
Post HC flow test 02
(two weeks later)
Post hydrocarbon
flow test
Before
hydrocarbon flow
Figure 4.18: Apparent permeability measurements for nitrogen flow.
86 CHAPTER 4. EXPERIMENTAL RESULTS
CV D experiment in the PVT cell due to the local composition variation. Pressurizing
would not be a good strategy to remove the liquid accumulation in the reservoir once
the fluid composition shifted to the heavier side.
Chapter 5
Gas-Condensate Flow Modeling
In this chapter, we present the general form of material balance equation for con-
densate flow in porous media. The compositional variation of the reservoir fluid,
especially the heavier component of the fluid, around the well during condensate
dropout is analyzed. Key parameters that influence the compositional behavior are
also discussed in detail.
The theoretical analysis assists us to understand the mechanism of the composi-
tional variation in the reservoir. From the theoretical material balance standpoint,
we can then use our theoretical knowledge to investigate ways to enhance the produc-
tivity by producing more gas, and at the same time controlling the liquid composition
that drops out around the well. In the second section of this chapter, compositional
simulations are studied, and the resulting optimal producing strategies are suggested.
5.1 Theoretical Model
For an arbitrary volume, V (t), of the porous medium bounded by a surface, S(t),
a general form of the compositional conservation equation can be defined as Eq.
5.1 if the dispersion and the effects of pressure differences between phases (capillary
pressure differences) can be neglected. This assumption holds true for large capillary
number cases (Nc > 10−3
), where the viscous force dominates.
Consider the experiment we studied in Chapter 4, the core is 0.25 m long with an
87
88 CHAPTER 5. GAS-CONDENSATE FLOW MODELING
average permeability around 5 mD and pressure drop across the core is about 1000
to 1500 psi, the darcy velocity u is of order 1 to 1.5 cm/sec. The gas viscosity at 1800
psi is around 0.02 cp and the interfacial tension (IFT) is around 0.2 dyne/cm. In this
case capillary number Nc is around 2×10−3
to 3×10−3
in which case the capillary and
viscous forces is about the same. For gas flow with high flow rate near the well region,
Nc is relatively large, hence capillary forces can be reasonably neglected, however, in
cases where wells producing at low flow rate, and the interfacial tension between gas
and liquid is high, the capillary force needs to be considered in the model as well.
∂
∂t
φ
np
j=1
xijρjSj + ·
np
j=1
xijρjυj = 0, i = 1, nc. (5.1)
where φ is the porosity of the porous media, Sj is saturation of phase j, ρj is the
molar density of phase j, xij is the mole fraction of component i in phase j, υj is local
flow velocity of phase j.
One-Dimensional Flow
For one-dimensional flow in a Cartesian coordinate system, Eq. 5.2 reduces to:
∂
∂t
φ
np
j=1
xijρjSj +
∂
∂x
np
j=1
xijρjυj = 0, i = 1, nc. (5.2)
In the absence of capillary pressure and gradational force, the Darcy flow velocity,
υj, is defined by Eq. 5.3:
υj = −
kkrj
µj
∂p
∂x
, j = 1, np. (5.3)
The notation of Eq. 5.2 and Eq. 5.3 can be simplified by defining two additional
functions, Gi and mi, as:
Gi =
np
j=1
xijρjSj (5.4)
and
5.1. THEORETICAL MODEL 89
mi =
np
j=1
xijρj
kkrj
µj
(5.5)
Gi is an overall molar density of component i, and mi an overall mobility of com-
ponent i weighted with component molar density. The final version of the equations
for multicomponent, multiphase convection is, therefore,
φ
∂Gi
∂t
−
∂mi
∂x
∂p
∂x
− mi
∂2
p
∂x2
= 0, i = 1, nc. (5.6)
Summing up Eq. 5.6 over all components, a similar conservation equation can be
obtained as:
φ
∂G
∂t
−
∂m
∂x
∂p
∂x
− m
∂2
p
∂x2
= 0 (5.7)
where
G =
nc
i=1
Gi (5.8)
and
m =
nc
i=1
mi (5.9)
Rearranging and combining Eq. 5.6 and Eq. 5.7 together, the following equation
can be obtained:
1
mi
∂Gi
∂t
=
1
m
∂G
∂t
+
1
φ
∂
∂x
ln(
mi
m
)
∂p
∂x
, i = 1, np. (5.10)
ρj is the molar density (in moles per unit volume) of phase j. Given a volume
V and a porous media with porosity φ, then ρjV φSj is the mole fraction of phase j,
hence,
GiV φ =
np
j=1
xijV φρjSj = zi (5.11)
90 CHAPTER 5. GAS-CONDENSATE FLOW MODELING
and
GV φ =
nc
i=1
GiV φ =
nc
i=1
zi = 1 (5.12)
Therefore:
Gi
G
=
GiV φ
GV φ
=
zi
1
= zi (5.13)
Rearranging and putting zi = Gi/G in Eq. 5.10, the final version of the equations
for multicomponent, multiphase convection is, therefore,
∂zi
∂t
= (
mi
m
− zi)
∂lnG
∂t
+
mi
φG
∂
∂x
ln(
mi
m
)
∂p
∂x
, i = 1, nc. (5.14)
Notice that Gi, G and mi/m are functions of pressure, by applying the chain rule,
Eq. 5.14 can be further expressed as:
∂zi
∂t
= (
mi
m
− zi)
∂lnG
∂p
∂p
∂t
+
mi
φG
∂
∂p
ln(
mi
m
)(
∂p
∂x
)2
, i = 1, nc. (5.15)
The notation of Eq. 5.15 can be simplified by defining two additional functions,
Ai and Bi, as
Ai = (
mi
m
− zi)
∂lnG
∂p
, i = 1, nc. (5.16)
and
Bi =
mi
φG
∂
∂p
ln(
mi
m
), i = 1, nc. (5.17)
The final version of the simplified equations for multicomponent, multiphase con-
vection is, therefore,
∂zi
∂t
= Ai
∂p
∂t
+ Bi(
∂p
∂x
)2
, i = 1, nc. (5.18)
5.2. COMPOSITIONAL VARIATION BEHAVIOR 91
Ai and Bi are the coefficients of time derivative of pressure (∂p/∂t) and the pres-
sure gradient (∂p/∂x) respectively. Both Ai and Bi are functions of relative perme-
ability, viscosity, pressure and PVT properties. During the production, the reservoir
pressure varies both temporally and spatially, so does the compositional change, as
indicated by Eq. 5.18. If the producer is controlled at a constant bottom hole flowing
pressure (∂p/∂t = 0), the rate of compositional change is determined by the pressure
gradient only. For a low permeability system, the pressure gradient around the well
is usually very large, and hence the compositional variation around the well can be-
come significant as well. Away from the well, pressure gradient is generally small or
sometimes, insignificant, the compositional variation is then mainly determined by
the time derivative of pressure (∂p/∂t).
Radial Flow
For three-dimensional radial flow in a cylindrical coordinate system, a similar deriva-
tion can be made by applying radial Darcy velocity. The general form is given as:
∂zi
∂t
= Ai
∂p
∂t
+ Bi(
∂p
∂r
)2
, i = 1, nc. (5.19)
Similar to the linear flow, the rate of compositional change in a radial flow (∂zi/∂t)
also depends not only on pressure, but also on composition and both the gas and
the condensate relative permeabilities. The detailed discussion of the compositional
variation behavior is presented in the following section.
5.2 Compositional Variation Behavior
The condensate bank builds up around the producing well when the bottom hole flow-
ing pressure drops below the dewpoint pressure. As the reservoir pressure declines, the
bank grows and the well produces less heavy components at the surface. Eq. 5.18 and
Eq. 5.19 provide us a straightforward theoretical model to facilitate the understand-
ing of the process involved in the compositional change. Three binary-component
92 CHAPTER 5. GAS-CONDENSATE FLOW MODELING
fluids consisting of methane and butane only are considered for compositional behav-
ior analysis. The composition of the heavier component C4 varies from 0.15 to 0.25,
representing a range of lean, near-critical and light oil mixtures. Figure 5.1 shows
the PT phase diagram for the methane-butane systems adopted in this analysis. The
reservoir temperature is 60 o
F and is assumed to remain constant during production.
At reservoir temperature, the fluid with 15% butane is a lean gas-condensate sys-
tem, the fluid with 20% butane is near critical gas-condensate, while the fluid with
25% Butane is light oil. For gas-condensate fluid, the maximum of the CVD liquid
dropout, as shown in Figure 5.2, varies from 31% to 11% in terms of liquid volume
relative to the dewpoint volume at temperature 60 o
F, and in the light oil case, the
fluid originally consists of 100% butane at the reservoir condition, and the liquid per-
centage drops as the solution gas evolves from the system as the reservoir pressure
drops below bubble-point pressure.
As illustrated in Eq. 5.19 and Eq. 5.18, the variation rate of compositions de-
pends on the time derivative of pressure (∂p/∂t), the pressure gradient (∂p/∂x) for
linear flow or (∂p/∂r) for radial flow and their coefficients Ai and Bi. According
to the definition of Ai (Eq. 5.16) and Bi(Eq. 5.17), both Ai and Bi consist of the
mobility term mi and m. Since mobility is closely related to relative permeability. A
representative relative permeability model needs to be used in the Ai and Bi calcula-
tion. In the following section, we will examine the sensitivity of Ai and Bi to relative
permeability, pressure and fluid types.
The Ai and Bi terms in Eq. 5.18 are calculated for the heavier component C4
from the PVT properties and relative permeabilities. The PVT properties, such
as molar density, composition, viscosity and interfacial tension etc, were modeled
with WinProp (version 2006, Computer Modeling Group Ltd.) The Peng-Robinson
equation of state (EoS) was used to represent the thermodynamic properties of the
fluids and the viscosity calculation is based on the Pederson Corresponding States
model. Three relative permeability models were used in this calculation. Details of
the relative permeability modeling are presented in the flowing subsection.
5.2. COMPOSITIONAL VARIATION BEHAVIOR 93
0
500
1000
1500
2000
2500
-140 -120 -100 -80 -60 -40 -20 0 20 40 60 80 100 120 140 160 180
Temperature (°F)
Pressure(psia)
2-Phase boundary for 20% C4 Critical for 20% C4
2-Phase boundary for 25% C4 2-Phase boundary for 25% C4
Critical for 25% C4 2-Phase boundary for 15% C4
Critical for 15% C4
T=60°F
15% C4
20% C4
25% C4
Figure 5.1: PT diagram of methane-butane systems. The reservoir temperature is
60 o
F. At reservoir temperature, the fluid with 15% butane is a lean gas-condensate
system, the fluid with 20% butane is near critical gas-condensate, while the fluid with
25% Butane is light oil.
5.2.1 The Impact of Relative Permeability Models
Both coefficients Ai and Bi are functions of mobility terms mi and m. To model the
mobility correctly, we need to have a representative relative permeability model. In
the following section, we will demonstrate how the relative permeability plays a role
in the Ai and Bi terms. In the governing equation, we did not include the capillary
pressure terms explicitly. This treatment may not be appropriate when the gas-
condensate fluid is far away from the critical point, the interfacial tension is high and
the phase interface is distinct. To account for the influence of high interfacial tension
(IFT) , we can adopt a relative permeability model with IFT dependent functions.
The IFT dependant relative permeability model was initially proposed by Bette et al.
94 CHAPTER 5. GAS-CONDENSATE FLOW MODELING
0.0
10.0
20.0
30.0
40.0
50.0
60.0
70.0
80.0
90.0
100.0
0 500 1000 1500 2000
Pressure (psia)
LiquidVolume,%originalvol.
15% C4
20% C4
25% C4
Figure 5.2: CVD liquid dropout curves for three fluids at temperature 60 o
F. At reser-
voir temperature, the fluid with 15% butane is an lean-intermediate gas-condensate
system, having a maximum liquid drop of 10.9%; the fluid with 20% butane is near
critical gas-condensate with a maximum liquid drop of 31.4%; the fluid with 25%
Butane is light oil with 100% oil in reservoir condition.
(1991) and Coats (1980). Recently, Hartman and Cullick (1994) applied this method
to study the oil recovery at low interfacial tension. The relative permeabilities to
condensate, krc and to gas, krg, at a specified saturation is:
krc = f(σ)krci + (1 − f(σ))krcm (5.20)
krg = f(σ)krgi + (1 − f(σ))krgm (5.21)
f(σ) = (
σ
σ∗
)
1
n (5.22)
5.2. COMPOSITIONAL VARIATION BEHAVIOR 95
where σ is the IFT, σ∗
is a reference IFT, krcm and krgm are the condensate and
gas relative permeabilities at complete miscibility, the immiscible krci and krgi are the
condensate and gas relative permeabilities for the fluids at IFT values equal to or
greater than σ∗
, and n is an adjustable exponent. Eq. 5.20 and Eq. 5.21 states that
the relative permeability transition function is a mixing model as a function of IFT.
Based on experimental data, Hartman and Cullick (1994) suggested a correlation
for residual condensate saturation to gas as a function of IFT:
Scrg(σ) = [1 + 0.67log(
σ
σ∗
)]Scrgi (5.23)
The gas endpoint is:
Sgc(σ) =
σ
σ∗
Sgc (5.24)
The miscible relative permeability used in the mixing function is normalized with
respect to the IFT dependent endpoints:
krcm =
1 − Scrg(σ) − Sg
1 − Scrg(σ)
(5.25)
krgm =
Sg
1 − Sgc(σ)
(5.26)
When the fluid condition is far away from the critical point, the phase interface is
distinct. The permeabilities of the liquid and vapor phase can be approximated with
Eq. 5.27 and Eq. 5.28:
krci = [
1 − Scrg(σ) − Sg
1 − Scrg(σ)
]2
(5.27)
krgi = [
Sg
1 − Sgc(σ)
]2
(5.28)
Figure 5.3 shows the calculated interfacial tension (IFT) correlated with pressure
data for the three binary fluids used in this compositional analysis. A good rela-
tionship (Eq. 5.29) between IFT and pressure can be inferred from the correlation.
96 CHAPTER 5. GAS-CONDENSATE FLOW MODELING
σ = 4E-06p
2
- 0.0157p + 16.869
R
2
= 0.9995
0
2
4
6
8
10
12
14
0 500 1000 1500 2000 2500
Pressure (psi)
σ,(InterfacialTension,dyne/cm)
15% Butane
25% Butane
20% Butane
Figure 5.3: Interfacial tension (IFT) as a function of pressure. IFT is independent
of fluid type and decreases with increasing pressure.
Notice that IFT is independent of fluid type, and it decreases sharply with increasing
pressure, and IFT equals zero at dew-point pressure.
IFT = 4 × 10−6
p2
− 0.0157p + 16.869 (5.29)
Figure 5.4 illustrates the difference among three different relative permeability
models for a binary-component fluid with 25% butane. The miscible treatment of
relative permeability is near X-curve shape and has the lowest critical condensate
saturation threshold, which implies that in the miscible situation, liquid is easier to
move than immiscible cases. As the miscibility decreases in the fluid, liquid phase
in the mixture needs to overcome greater critical condensate saturation to become
mobile. The liquid mobility is also harmed as the phase interface becomes distinct.
Although IFT itself only depends on pressure and independent of fluid types, the
relative permeability is affected by the fluid type because different fluid has different
liquid drop-out volume, and hence different liquid saturation. Figure 5.5 shows the
5.2. COMPOSITIONAL VARIATION BEHAVIOR 97
zC1/zC4 = 75%/25%
0
0.1
0.2
0.3
0.4
0.5
0.6
0.7
0.8
0.9
1
0 20 40 60 80 100
Liquid saturation (%)
kr
krc(IFT)
krg(IFT)
krci
krgi
krcm(IFT)
krgm(IFT)
Figure 5.4: Different relative permeability curves for a binary methane and butane
system with 25% butane. krc(IFT) and krg(IFT) are IFT corrected relative per-
meability; krci and krgi are relative permeability curves with immiscible treatment
and krcm and krgm are miscible treatment of relative permeabilities.
IFT corrected relative permeabilities for three fluids. Notice that the leaner the fluid,
the lower the threshold for the liquid phase to mobilize. Both the liquid and the gas
exhibit greater capability to move in a leaner fluid than in a richer one. This is due
to the fact that the leaner fluids tend to have greater miscibility.
Figure 5.6, Figure 5.7 and Figure 5.8 show the influences of the relative perme-
ability on term ln(mi/m) for different fluids. ln(mi/m) bears a good quadratic rela-
tionship with pressure for all fluids with three different relative permeability models.
In the lean gas-condensate case (zC4 = 0.15), ln(mi/m) values resulting from differ-
ent relative permeability curves show very little discrepancy, and the nuance appears
on the low IFT, high pressure side. Different relative permeability models do have
greater impact on ln(mi/m) term in the case of richer fluid, (zC4 = 0.25) in this
example. Greater difference in zC4 = 0.25 also exists on the higher pressure side.
The richer the fluid, the greater the impact of relative permeability. In all cases, the
98 CHAPTER 5. GAS-CONDENSATE FLOW MODELING
0
0.1
0.2
0.3
0.4
0.5
0.6
0.7
0.8
0.9
1
0 20 40 60 80 100
Liquid saturation (%)
kr
krc(IFT, 25% Butane)
krg(IFT, 25% Butane)
krc(IFT, 15% Butane)
krg(IFT, 15% Butane)
krc(IFT, 20% Butane)
krg(IFT, 20% Butane)
Figure 5.5: IFT corrected relative permeability curves for binary methane and butane
systems with 15% butane, 20% butane and 25% butane.
miscible treatment of relative permeability always give the highest ln(mi/m) value,
and the completely immiscible case has the lowest ln(mi/m) value.
Figure 5.9 shows the influences of relative permeability on coefficient AC4 . First
of all, AC4 is very small of the order of 10−4
and there are very small differences in
AC4 value on the high pressure side. The difference is also small in rich fluids, as
shown in Figure 5.10.
Compared with term Ai, term Bi is of the order of 10−2
, 100 times greater than
term Ai (Figure 5.11 and Figure 5.12). The impact of relative permeability is ob-
vious for both lean and rich fluids, especially on the high pressure side. Unlike Ai,
which is negative when pressure is below the dew-point pressure, Bi is positive when
the pressure is above some threshold, say 1000 psi, in both cases. The richer the
fluid, the greater the discrepancy of Bi in the high pressure end for different relative
permeability models.
In summary, relative permeability has greater impact on term Bi than on term
Ai, and the difference varies with fluid types and pressure. The richer the fluid,
5.2. COMPOSITIONAL VARIATION BEHAVIOR 99
zC4=0.15, Ln(mC4/m) = 8E-07p
2
- 0.0016p - 1.834
R
2
= 0.9903
zC4=0.15, Ln(mC4/m) = 8E-07p
2
- 0.0016p - 1.8428
R
2
= 0.9879
zC4=0.15, Ln(mC4/m) = 9E-07p
2
- 0.0016p - 1.8205
R
2
= 0.986
-3
-2.5
-2
-1.5
-1
-0.5
0
0 500 1000 1500 2000 2500
Pressure (psi)
Ln(mC4/m)
zC4 = 0.15, kr(IFT) zC4 = 0.15, kri
zC4 = 0.15, krm Poly. (zC4 = 0.15, kr(IFT))
Poly. (zC4 = 0.15, kri) Poly. (zC4 = 0.15, krm)
Figure 5.6: Variation of term Ln(mi/m) with pressure for a methane-butane system
(zC4 = 0.15) with different relative permeability models.
zC4=0.20, Ln(mC4/m) = 9E-07p
2
- 0.0018p - 1.7455
R
2
= 0.9912
zC4=0.20, Ln(mC4/m) = 8E-07p
2
- 0.0016p - 1.8018
R
2
= 0.9791
zC4=0.20, Ln(mC4/m) = 1E-06p
2
- 0.0019p - 1.7279
R
2
= 0.9777
-3
-2.5
-2
-1.5
-1
-0.5
0
0 500 1000 1500 2000
Pressure (psi)
Ln(mC4/m)
zC4 = 0.20, kr(IFT) zC4 = 0.20, kri
zC4 = 0.20, krm Poly. (zC4 = 0.20, kr(IFT))
Poly. (zC4 = 0.20, kri) Poly. (zC4 = 0.20, krm)
Figure 5.7: Variation of term Ln(mi/m) with pressure for a methane-butane system
(zC4 = 0.20) with different relative permeability models.
100 CHAPTER 5. GAS-CONDENSATE FLOW MODELING
zC4=0.25, Ln(mC4/m) = 1E-06p
2
- 0.0021p - 1.6408
R
2
= 0.9974
zC4=0.25, Ln(mC4/m) = 1E-06p
2
- 0.002p - 1.6568
R
2
= 0.9699
zC4=0.25, Ln(mC4/m) = 1E-06p
2
- 0.0019p - 1.7487
R
2
= 0.9679
-3
-2.5
-2
-1.5
-1
-0.5
0
0 500 1000 1500 2000 2500
Pressure (psi)
Ln(mC4/m)
zC4 = 0.25, kr(IFT) zC4 = 0.25, kri
zC4 = 0.25, krm Poly. (zC4 = 0.25, kr(IFT))
Poly. (zC4 = 0.25, kri) Poly. (zC4 = 0.25, krm)
Figure 5.8: Variation of term Ln(mi/m) with pressure for a methane-butane system
(zC4 = 0.25) with different relative permeability models.
-0.00018
-0.00016
-0.00014
-0.00012
-0.0001
-0.00008
-0.00006
-0.00004
-0.00002
0
0 500 1000 1500 2000
Pressure (psi)
AC4(Acoefficientforbutanecomponent)
zC4 = 0.15, Kr(IFT)
zC4 = 0.15, Kri
zC4 = 0.15, Krm
Figure 5.9: Variation of term AC4 with pressure for a methane-butane system (zC4 =
0.15) with different relative permeability models.
5.2. COMPOSITIONAL VARIATION BEHAVIOR 101
-0.00018
-0.00016
-0.00014
-0.00012
-0.0001
-0.00008
-0.00006
-0.00004
-0.00002
0
0 500 1000 1500 2000
Pressure (psi)
AC4(Acoefficientforbutanecomponent)
zC4 = 0.25, Kr(IFT)
zC4 = 0.25, Kri
zC4 = 0.25, Krm
Figure 5.10: Variation of term AC4 with pressure for a methane-butane system (zC4
= 0.25) with different relative permeability models.
-0.1
-0.08
-0.06
-0.04
-0.02
0
0.02
0.04
0.06
0.08
0.1
0 500 1000 1500 2000
Pressure (psi)
BC4(Bcoefficientforbutanecomponent)
zC4 = 0.15, Kr(IFT)
zC4 = 0.15, Kri
zC4 = 0.15, Krm
Figure 5.11: Variation of term BC4 with pressure for a methane-butane system (zC4
= 0.15) with different relative permeability models.
102 CHAPTER 5. GAS-CONDENSATE FLOW MODELING
-0.1
-0.08
-0.06
-0.04
-0.02
0
0.02
0.04
0.06
0.08
0.1
0 500 1000 1500 2000
Pressure (psi)
BC4(Bcoefficientforbutanecomponent)
zC4 = 0.25, Kr(IFT)
zC4 = 0.25, Kri
zC4 = 0.25, Krm
Figure 5.12: Variation of term BC4 with pressure for a methane-butane system (zC4
= 0.25) with different relative permeability models.
the greater the differences and the higher the pressure, the greater the differences.
Miscible behavior tends to generate greater Ai and Bi values, while immiscible fluid
has lower Ai and Bi values.
5.2.2 The Impact of Pressure
Figure 5.9, Figure 5.10, Figure 5.11 and Figure 5.12 discussed in the previous subsec-
tion show the great dependency of Bi on relative permeability models. These figures
also show that both Ai and Bi are highly influenced by pressure. Both Ai and Bi
decrease as the pressure drops. The magnitude of the decrease in Ai is almost dou-
bled when the heavier component concentration varies from 0.15 to 0.20. Bi shows
less magnitude change for different fluid types. Ai value is negative and relatively
small, of the order of 10−4
within the pressure range presented in this study, while Bi
is positive at higher pressure end, and negative on the lower side of pressure range
and Bi is 100 times greater than Ai in magnitude. Since Ai is the coefficient for
5.2. COMPOSITIONAL VARIATION BEHAVIOR 103
the time derivative of pressure (∂p/∂t) and Bi for the pressure gradient (∂p/∂x) or
(∂p/∂r), the compositional change resulted from the time derivative of pressure is
insignificant and hence negligible when (∂p/∂t) is small. This is true when the well
flows at a constant bottom hole pressure. In this case, the compositional variation
in the well block is controlled mainly by the pressure gradient around the well. In
regions far away from the well, the pressure gradient (∂p/∂x) or (∂p/∂r) is relatively
small and (∂p/∂t) becomes relatively larger. In this case, the compositional change is
dominated by (∂p/∂t). Recall that Ai is by definition a small coefficient, and hence
the compositional variation is considerably smaller in regions not near the well.
5.2.3 The Impact of Fluid Types
Since fluid properties are directly associated with fluid type, the difference in the fluid
properties resulting from different fluid types is then carried over to terms Gi, G, Ai
and Bi accordingly. Figure 5.13 shows that different fluids have minor impact on
the overall molar density term G, hence, ln(G). Rich fluid results in greater ln(G).
The impact of fluid type on term AC4 , however, is obvious and the influence is seen
in the entire pressure range (Figure 5.14). At pressure 300 psi, AC4 is ranging from
−0.00016 to −0.00056 as the heavier component butane mole concentration varies
from 0.15 to 0.25. The difference on AC4 decreases as the fluid pressure increases. As
the fluid pressure approaches dew-point pressure, AC4 approaches zero. This implies
that when the pressure is around dew-point pressure, the term AC4 (∂p/∂t) draws
close to negligible. The impact of fluid type on term BC4 is very small, and rich fluid
gives slightly smaller BC4 value according to Figure 5.11.
In summary, fluid type, relative permeability and pressure all have impact on
terms Ai and Bi, hence ∂zi/∂t. Ai is mainly impacted by pressure and fluid type.
Higher pressure gives greater Ai value for the heavier component C4 for the binary
methane and butane system and richer fluid yields lower AC4 value. The impact of
relative permeability on Ai is negligible and only noticeable as pressure close to dew-
point pressure. Relative permeability and pressure have greater impact on Bi than
fluid type. The influence of fluid types on Bi is small and only detectable as the fluid
104 CHAPTER 5. GAS-CONDENSATE FLOW MODELING
zC4 = 0.15, Ln(G) = 1.2337Ln(p) - 14.004
R
2
= 0.9991
zC4 = 0.25, Ln(G) = 1.2519Ln(p) - 13.98
R
2
= 0.999
zC4 = 0.20, Ln(G) = 1.2415Ln(p) - 13.986
R
2
= 0.999
-8
-7
-6
-5
-4
-3
-2
-1
0
0 500 1000 1500 2000 2500
Pressure (psi)
Ln(G)
zC4 = 0.15 zC4 = 0.25 zC4 = 0.20
Log. (zC4 = 0.15) Log. (zC4 = 0.25) Log. (zC4 = 0.20)
Figure 5.13: Variation of term G with pressure for a methane-butane systems with
different compositions.
-0.0006
-0.0005
-0.0004
-0.0003
-0.0002
-0.0001
0
0 500 1000 1500 2000
Pressure (psi)
AC4(Acoefficientforbutanecomponent)
zC4 = 0.15
zC4 = 0.25
zC4 = 0.20
Figure 5.14: Variation of term AC4 with pressure for methane-butane systems with
different compositions.
5.2. COMPOSITIONAL VARIATION BEHAVIOR 105
-0.1
-0.08
-0.06
-0.04
-0.02
0
0.02
0.04
0.06
0.08
0 500 1000 1500 2000
Pressure (psi)
BC4(Bcoefficientforbutanecomponent)
zC4 = 0.15
zC4 = 0.25
zC4 = 0.20
Figure 5.15: Variation of term BC4 with pressure for methane-butane systems with
different compositions.
pressure approaches dew-point pressure. In general, miscible behavior yields greater
value in Bi, and Bi decreases as the miscibility reduces on the phase interface. BC4
is negative under lower flow pressure and positive at higher pressure. At some point,
BC4 can be zero.
The magnitude of Ai is insignificant in general and therefore negligible when
(∂p/∂t) is very small. AC4 is negative for the methane and butane binary system,
which implies that in the depletion scenario, (∂p/∂t) is negative, AC4 (∂p/∂t) is there-
fore positive. The compositional variation of C4 resulting from the AC4 (∂p/∂t) part
is then positive. In another words, the methane and butane mixture becomes richer
during depletion if (∂p/∂t) is the dominant factor. This is often true when the flow
region is far away from the well. In zones other than the near-well region, the pressure
gradient (∂p/∂x) or (∂p/∂r) is insignificant and can be negligible.
When the gas-condensate well flows at a constant bottom hole pressure (∂p/∂t =
0) or the flow pressure approaches dew-point pressure (Ai approaches zero), AC4 (∂p/∂t)
is zero or close to zero, the pressure gradient part is the main factor controlling the
106 CHAPTER 5. GAS-CONDENSATE FLOW MODELING
compositional variation. In either of these two cases, the compositional variation rate
of butane can be either positive or negative depending on the sign of Bi. When the
pressure is high, Bi > 0, the overall butane concentration increases with time. At
lower pressure, Bi < 0, the overall butane concentration decreases with time. As
pressure decreases, some part of the accumulated liquid starts to vaporize, this may
account for the decrease in overall butane concentration. The dividing point is, how-
ever, much lower than the pressure corresponding to the maximum liquid drop-out
pressure. This is due to the relative permeability effect. The condensate drop-out
during pressure draw down accumulates and becomes mobile only when the accumu-
lated condensate saturation exceeds the critical condensate saturation.
5.3 Simulation Model for Binary Gas-Condensate
Systems
In this section, we present our work on the numerical simulation of gas-condensate
system on field scales. We first present the simulation model and results for a binary
gas-condensate system and then later apply the simulation model to a multicompo-
nent gas-condensate system and discuss the issues associated with different producing
schemes. Finally we summarize important findings and discuss direction for future
work.
5.3.1 Model Setup
The primary objective of the simulation is to understand the impact of producing
scheme on the condensate banking and compositional variations. A hypothetical
cylindrical reservoir model, with radius of 9699 ft and permeability-thickness of 162.5
md − ft has been chosen. In the simulations, small grid block radii around the well-
bore were chosen to allow accurate pressure drop calculation in the near well-bore re-
gion. A simulator E300 (2005a, Eclipse) with the fully implicit (FULLIMP) method
5.3. SIMULATION MODEL FOR BINARY GAS-CONDENSATE SYSTEMS 107
was used to simulate the performance under different producing strategies. The reser-
voir fluid is a binary synthetic gas-condensate system with C1/C4 = 85%/15%, char-
acterized by Figure 2.2. The simulation is performed under reservoir temperature 60
o
F.
The single producer in this simulation is controlled by gas rate and minimum
bottom hole pressure. The well initially produces at the designated gas rate and
switches to BHP control if the BHP is below the BHP minimum limit. The same
gas rate but different BHP control schemes were adopted to explore the flow behavior
features for this binary system.
5.3.2 Simulation Results for Binary Gas-Condensate Systems
Figure 5.16 shows the total gas production, well BHP and well gas production rate
history for six different BHP configurations. The producer starts with constant
production rate at 3300 MCF/day, and then switches to BHP pressure control as
long as the flowing BHP drops below the BHP limit. BHP01, BHP02 and BHP03
scenarios follow this producing scheme switch. Under the other three scenarios, the
well produces with constant producing rate as the flowing BHPs remain high above
the BHP limit. As the BHP decreases from 700 psi in BHP01 to 200 psi in
BHP06, the well shows delay in the production rate drop, hence achieved higher
cummulative gas production, as shown in Figure 5.16(a). In BHP01, BHP02 and
BHP03 scenarios, the well flows at a constant BHP (∂p/∂t = 0) during part of the
production period.
According to Figure 5.11, as the well block pressure falls below 1000 psi, the
overall mole concentration of the heavier component, butane (zC4 ), in the well block
should decrease with time because of the negative Bi. However, the simulated (zC4 ),
as shown in Figure 5.17(a) does not show decrease as predicted by the theoretical
model (Eq. 5.19). This is caused by the accumulated condensate. The theoretical
model does not account for the liquid accumulation as happened in the real porous
medium. Although relative permeability is included in the theoretical model, the liq-
uid saturation estimation is based on the in-situ pressure and original compositional
108 CHAPTER 5. GAS-CONDENSATE FLOW MODELING
information. In real porous media, the condensate drops out and accumulates in the
reservoir and only gains the mobility when the accumulated liquid saturation exceeds
the threshold saturation. Since the liquid drop out is rich in heavier component, the
local reservoir fluid becomes richer than the PVT cell flash calculation. Hence we
do not see the expected heavier component drop in the well block at low well block
pressure. Figure 5.17(b) illustrates the correlation of zC4 in the flowing phase with
pressure. The flowing fluid composition in this case reflects the condensate accu-
mulation effect. When the flowing pressure drops immediately below the dewpoint
pressure, the well produces leaner gas as the heavier component drops to the reservoir
and stays immobile. As part of the condensate starts to flow and part of the butane
previously stuck in the reservoir vaporizes, the well starts to produce more butane at
the wellhead.
Different BHPs give rise to different compositional variations in the well block
and wellhead fluid (Figure 5.18). As mentioned earlier, in scenarios BHP01, BHP02
and BHP03, the well flows at a constant BHP (∂p/∂t = 0) during part of the
production period. During that period, we see that zC4 actually remains constant.
As analyzed in the previous section, at constant BHP (∂p/∂t = 0), the increase or
decrease of the butane mole fraction depends on the sign of BC4 unless BC4 is zero
or pressure gradient (∂p/∂r = 0). ∂p/∂r = 0 implies that the well production rate
is zero, which is not true in this case, and according to Figure 5.15, BC4 = 0 at
pressure around 1100 psi for zc4 = 0.25. BC4 reaches zero at higher pressure for fluid
richer than zc4 = 0.25. The bottom hole pressure in scenario BHP01, BHP02 and
BHP03 are all below 1000 psi. Possible reason for the constant zC4 under constant
bottom hole pressure is that at the constant flowing pressure, the temporary butane
concentration zC4 is decreasing because of the negative BC4 , however, because of the
accumulation of butane in the earlier stage, the temporary decrease in the butane
concentration cancels out the previous accumulation.
The producing fluid composition shows the predicted trend. The wellhead fluid
becomes leaner initially as the liquid dropout is stuck in the reservoir, and becomes
richer as the part of the condensate starts to flow. When the well is controlled by
the BHP only, as in part of the scenarios BHP01, BHP02 and BHP03, the higher
5.4. SIMULATION MODEL FOR MULTICOMPONENT GAS-CONDENSATE SYSTEMS109
the BHP pressure control, the lower the overall heavier component fraction in the
reservoir and hence more heavier component produced at surface.
In summary, for this binary gas-condensate system, producing with the lower
BHP constraint can yield higher cumulative gas production while losing more heavy
component, butane, to reservoir liquid dropout.
5.4 Simulation Model for MultiComponent Gas-
Condensate Systems
5.4.1 Model Setup
The multicomponent fluid properties are shown in Table 5.1. The phase envelope
for the multicomponent gas-condensate system of component set 1 is shown in Figure
2.10, and the liquid dropout estimation is shown in Figure 2.11. IFT adjusted relative
permeability were used in this simulation. Different from the binary cases studies in
the previous section, different gas rate controls but the same minimum BHP = 500
psi constraint were explored in this simulation. The well produces at constant rate
unless the flowing BHP falls below 500 psi, in this case, the well is then switched
to the minimum BHP constraint. The PVT properties for this fluid were estimated
with PV Ti (2005a, Schlumberger). The corrected Peng-Robinson equation of state
(PRCORR) is used to represent the thermodynamic properties of the fluids and the
viscosity calculation is based on the Pederson Corresponding States model.
5.4.2 Simulation Results for MultiComponent Gas-Condensate
Systems
Figure 5.19, Figure 5.20 and Figure 5.21 show the simulation results for this multi-
component system. Since the heavier components C+1
7 , C+2
7 and C+3
7 have very small
mole fractions, three components are grouped together and form a new group C+
7 for
discussion. As we can see from these figures that the different rate controls give rise to
different flowing bottom hole pressure, which yields similar results as setting different
110 CHAPTER 5. GAS-CONDENSATE FLOW MODELING
0 5 10 15 20 25 30 35
0
1
2
3
4
5
6
7
8
9
10
x 10
4
Time (days)
WGPT(mscf)
BHP01
BHP02
BHP03
BHP04
BHP05
BHP06
0 10 20 30 40
200
400
600
800
1000
1200
1400
1600
1800
Time (days)
WBHP(psia)
0 10 20 30 40
2600
2700
2800
2900
3000
3100
3200
3300
3400
Time (days)
WGPR(mscf/day)
decreasing BHP
decreasing BHP
decreasing BHP
(a) Accumulated gas production with time.
(b) Bottom hole pressure history. (c) Gas production history
Figure 5.16: History profiles of (a) The accumulated gas production (WGPT (b) Well
bottom hole pressure (WBHP) and (c) Gas production rate (WGPR) for a binary
gas-condensate system.
5.4. SIMULATION MODEL FOR MULTICOMPONENT GAS-CONDENSATE SYSTEMS111
0 500 1000 1500 2000
0
0.1
0.2
0.3
0.4
0.5
0.6
0.7
0.8
0.9
1
Well block pressure (psi)
zC4
inthewellblock
BHP01
BHP02
BHP03
BHP04
BHP05
BHP06
0 500 1000 1500 2000
0
0.05
0.1
Bottom hole pressure (psi)
ProducedzC4
fromthewellhead
BHP01
BHP02
BHP03
BHP04
BHP05
BHP06
(b) Flowing C4
mole fraction vs. well bottom hole pressure (BHP).
(a) Overall C4
mole fraction in the well block vs. well block pressure.
Figure 5.17: Overall butane mole fraction zC4 profiles. (a) Overall butane mole
fraction BzC4 profiles in the well block vs. the well block pressure. (a) Overall butane
mole fraction WzC4 profiles in the producing fluid vs. BHP.
112 CHAPTER 5. GAS-CONDENSATE FLOW MODELING
0 5 10 15 20 25 30 35
0
0.2
0.4
0.6
0.8
1
Time(days)
zC4
inthewellblock
BHP01
BHP02
BHP03
BHP04
BHP05
BHP06
0 5 10 15 20 25 30 35
0
0.05
0.1
Time(days)
ProducedzC4
fromthewellhead
BHP01
BHP02
BHP03
BHP04
BHP05
BHP06
(a) Overall C4
mole fraction in the well block vs. time.
(b) Flowing C4
mole fraction vs. time.
decreasing BHP
decreasing BHP
Figure 5.18: Overall butane mole fraction zC4 history profiles. (a) History of the
overall butane mole fraction BzC4 in the well block. (a) History of the overall butane
mole fraction WzC4 profiles in the producing fluid.
5.4. SIMULATION MODEL FOR MULTICOMPONENT GAS-CONDENSATE SYSTEMS113
Table 5.1: Fluid characterization for a multicomponent gas-condensate system.
Component Composition PC(atm) TC(K) Acentric factor Mol. Weight
N2 0.0121 72.8 304.2 0.225 44.01
CO2 0.0194 33.5 126.2 0.04 28.013
C1 0.6599 45.4 190.6 0.008 16.043
C2 0.0869 48.2 305.4 0.098 30.07
C3 0.0591 41.9 369.8 0.152 44.097
C4−6 0.0967 35.0386 448.0781 0.225 66.85942
C+1
7 0.04745 27.94985 465.6182 0.3123 107.77943
C+2
7 0.01515 16.84569 587.7992 0.5567 198.56203
C+3
7 0.0033 10.91565 717.7171 0.91692 335.1979
BHP limits in the binary cases. The maximum rate control, scheme BHP06, yields
maximum total gas production. The overall composition zC+
7
in the well block varies
as the well is controlled under different BHPs. The higher the gas rate, hence the
lower the flowing BHP, and the more heavier components are seen in the reservoir
fluid, as illustrated in Figure 5.20(a). The well-head fluid composition bears a sim-
ilar relation with pressure and time as in the binary case. The C+
7 mole fraction in
both the well block and the well-head fluid changes. As C+
7 deposits in the reservoir,
the well loses some heavier component production initially as BHP drops below the
dewpoint pressure. The reduced production of the heavier component is remedied as
the BHP further draws down because part of the condensate build-up resumes flow
or part of the condensate starts to vaporize at lower flowing pressure. Condensate
vaporizing in the low pressure condition is not always feasible because of the phase
envelopes, as shown in Figure 2.10. Notice that as the reservoir pressure drops below
dew-point, the original reservoir fluid shifts toward heavier gas-condensate, and even
to light oil side. As a result of this phase envelope shifting, the vaporization becomes
less feasible.
Different from the binary simulations, both well BHP and production rate have
114 CHAPTER 5. GAS-CONDENSATE FLOW MODELING
great ranges in the multicomponent simulations. As a result, we saw more differences
in the zC+
7
in the well block and also the well-head flow. The general findings in the
binary simulation still apply here. The lower the BHP, the more zC+
7
accumulates in
the well block and the less zC+
7
produced from the well-head flow, as seen in Figure
5.20.
Combined with the observations from the binary system, we found that for both
the binary simple gas-condensate system and the complex multicomponent system,
no matter how rich or lean the fluid is, the higher the gas flow rate control, hence the
lower the BHP constraint, the greater the total gas production yield, at the same
time, the greater the loss of heavier component produced at the surface.
5.5 Flow Optimization with Genetic Algorithm
In both binary and multicomponent simulations, we choose six BHP or rate control
scenarios to investigate the impact of different producing schemes on compositional
variations. In this section, we used Genetic Algorithm (GA) technique to confirm and
generalize the optimal producing strategy for gas production and condensate recovery.
Genetic Algorithm (GA) is a robust search method based on analogies to biology
and genetics. Survival of the latest among a population of individuals, selection
criteria, and reproduction strategies are concepts copied from the natural life and used
as operators in this artificial environment (Holland, 1975). Only function evaluations
are used rather than derivatives or other secondary descriptors in GA, which makes
GA particularly handy for production optimization application as the value of the
objective function is known.
GA begins the search with a population of parameter realizations, rather than
a single realization as many of the conventional optimization methods might. Each
set of possible configurations of the decision variables is referred to as one realiza-
tion or member of the population. In this way, the search domain is covered in a
random distribution. The realizations are perturbed by probabilistic rules rather
than deterministic ones. To assure that evaluation values will never decrease from
one generation to the next and assure that crossover and mutation do not lead to
5.5. FLOW OPTIMIZATION WITH GENETIC ALGORITHM 115
0 100 200 300 400
0
1
2
3
4
5
6
x 10
6
Time (days)
WGPT(mscf)
BHP01
BHP02
BHP03
BHP04
BHP05
BHP06
0 100 200 300 400
0
500
1000
1500
2000
2500
3000
3500
Time (days)
WBHP(psia)
0 100 200 300 400
0.8
0.9
1
1.1
1.2
1.3
1.4
1.5
1.6
x 10
4
Time (days)
WGPR(mscf/day)
decreasing BHP
decreasing BHP
decreasing BHP
(c) Gas production history(b) Bottom hole pressure history.
(a) Accumulated gas production with time.
Figure 5.19: History profiles of (a) The accumulated gas production (WGPT (b)
Well bottom hole pressure (WBHP) and (c) Gas production rate (WGPR for a
multicomponent gas-condensate system.
116 CHAPTER 5. GAS-CONDENSATE FLOW MODELING
500 1000 1500 2000 2500 3000 3500
0.06
0.08
0.1
0.12
0.14
0.16
0.18
0.2
Well block pressure (psi)
zC7
+
inthewellblock
BHP01
BHP02
BHP03
BHP04
BHP05
BHP06
500 1000 1500 2000 2500 3000 3500
0.048
0.05
0.052
0.054
0.056
0.058
0.06
0.062
0.064
Bottom hole pressure (psi)
ProducedzC7
+
fromthewellhead
BHP01
BHP02
BHP03
BHP04
BHP05
BHP06
decreasing BHP
decreasing BHP
(a) Overall C7
+
mole fraction in the well block vs. well block pressure.
(b) Flowing C7
+
mole fraction vs. well bottom hole pressure (BHP).
Figure 5.20: Overall butane mole fraction zC+
7
profiles. (a) Overall butane mole
fraction BzC+
7
profiles in the well block vs. the well block pressure. (a) Overall
butane mole fraction WzC+
7
profiles in the producing fluid vs. BHP.
5.5. FLOW OPTIMIZATION WITH GENETIC ALGORITHM 117
0 50 100 150 200 250 300 350 400
0.06
0.08
0.1
0.12
0.14
0.16
0.18
0.2
Time(days)
zC7
+
inthewellblock
BHP01
BHP02
BHP03
BHP04
BHP05
BHP06
0 50 100 150 200 250 300 350 400
0.048
0.05
0.052
0.054
0.056
0.058
0.06
0.062
0.064
Time(days)
ProducedzC7
+
fromthewellhead
BHP01
BHP02
BHP03
BHP04
BHP05
BHP06
decreasing BHP
decreasing BHP
(a) Overall C7
+
mole fraction in the well block vs. time.
(b) Flowing C7
+
mole fraction vs. time.
Figure 5.21: Overall butane mole fraction zC+
7
history profiles. (a) History of the
overall butane mole fraction BzC+
7
in the well block. (a) History of the overall butane
mole fraction WzC+
7
profiles in the producing fluid.
118 CHAPTER 5. GAS-CONDENSATE FLOW MODELING
F(Xj )
initial population
objective function
evaluation
mutation
crossover
reproduction repeat for
N generations
Figure 5.22: Computation procedure for Genetic Algorithm.
a degradation, we can use elitism in the GA model, in which the best individual is
always saved from generation to generation. A typical Genetic Algorithm is processed
as the procedure shown in Figure 5.22 and in the following pseudocode.
1. Choose initial population.
2. Evaluate the fitness of each individual in the population.
3. Repeat:
• Select any two individuals to reproduce.
• Breed new generation through crossover and mutation and give birth to
offspring.
• Evaluate the individual fitness of the offspring.
• Replace worst ranked part of population with offspring.
4. Until termination.
Instead of fixing the BHP or production rate at a predefined value, combinations
of random rates were used in the Genetic Algorithm in an attempt to define an
optimal strategy. In this study, two producing parameters, BHP and WGPR, were
5.5. FLOW OPTIMIZATION WITH GENETIC ALGORITHM 119
optimized. In BHP optimization, a BHP is defined as a combination of 30 random
BHPs from 500 to 2000 psi. and in WGPR optimzation, a WGPR is defined as
a combination of 30 random production rates from 1,000 to 300,000 SCF/day. The
individual population fitness is evaluated by the cumulative gas production (WGPT).
A total of 100 generations were performed during the optimization process. For each
generation, the mole fraction of the heavier component (zC4 ) in the well block is also
checked as a secondary evaluation parameter. When two individuals produce the
same amount of gas, the one with lower (zC4 ) in the well block is kept as one of the
offsprings.
The final top three optimized BHPs are shown in Figure 5.23, Figure 5.24 and
Figure 5.28. The reference model has BHP = 500psi, the lowest boundary of the
initial population. As observed from the binary simulations in the previous section,
the lowest BHP scheme tends to yield the highest gas production, so the lowest
BHP = 500 psi scenario is selected as a checkpoint for GA optimization results. In
all GA simulations, a longer producing time, 3650 days, was chosen to investigate the
long term compositional variation behavior. Figure 5.23 illustrates that all top three
individuals have BHP close to the 500 psi, which is the lowest bottom hole pressure
boundary. The optimized BHP after 100 generations comes as expected from pre-
vious observation. That is, the lowest BHP case yields the highest cumulative gas
production. The zC4 mole fraction in the well block reaches a startling high level of
0.7 as compared with initial 0.15. Produced zC4 shows a sharp decrease initially as
the condensate starts to deposit in the reservoir, and the well-head flow gains part of
zC4 back as the accumulated condensate begins to flow, however, in the long run, less
and less butane is produced from the well, as shown in Figure 5.28(b).
Similar to BHP optimization, the optimized WGPR also comes close to the
highest reference WGPR (Figure 5.23). From Figure 5.24 and Figure 5.25, we can
see that although we gain total gas production by optimizing the producing rate, we
also leave more butane in the reservoir.
To summarize the GA simulation results, we can conclude using low BHP or high
production rate, we can achieve higher total gas production, but leaving with more
butane, the heavier component in the reservoir. To minimize the condensate banking
120 CHAPTER 5. GAS-CONDENSATE FLOW MODELING
0 1000 2000 3000 4000
0
0.5
1
1.5
2
2.5
3
x 10
8
Time (days)
WGPT(mscf)
Reference
GA01
GA02
GA03
0 1000 2000 3000 4000
500
502
504
506
508
510
512
514
516
Time (days)
WBHP(psia)
0 1000 2000 3000 4000
0.5
1
1.5
2
2.5
3
x 10
5
Time (days)
WGPR(mscf/day)
(a) Accumulated gas production with time.
(b) Bottom hole pressure history. (c) Gas production history.
Figure 5.23: History profiles of (a) The accumulated gas production (WGPT (b)
Well bottom hole pressure (WBHP) and (c) Gas production rate (WGPR for the
top three WBHP GA optimized scenarios.
5.6. SUMMARY 121
500 1000 1500 2000
0.1
0.2
0.3
0.4
0.5
0.6
0.7
0.8
Well block pressure (psi)
zC4
inthewellblock
Reference
GA01
GA02
GA03
Figure 5.24: Overall butane mole fraction zC4 profiles. (a) Overall butane mole
fraction BzC4 profiles in the well block vs. the well block pressure. (a) Overall butane
mole fraction WzC4 profiles in the producing fluid vs. BHP for the top three WBHP
GA optimized scenarios.
blockage and hence to enhance the ultimate liquid recovery, higher BHP or lower
initial production rate may be a better strategy.
5.6 Summary
In the first section, a general form of material balance equation for condensate
flow in porous media was developed for both one-dimensional linear flow and three-
dimensional radial flow of two-phase gas-condensate fluid through porous media, with
the effect of interfacial tension. The compositional variation of the reservoir fluid,
122 CHAPTER 5. GAS-CONDENSATE FLOW MODELING
0 500 1000 1500 2000 2500 3000 3500 4000
0
0.2
0.4
0.6
0.8
1
Time(days)
zC4
inthewellblock
Reference
GA01
GA02
GA03
0 500 1000 1500 2000 2500 3000 3500 4000
0
0.05
0.1
Time(days)
ProducedzC4
fromthewellhead
Reference
GA01
GA02
GA03
(a) Overall C4
mole fraction in the well block vs. time.
(b) Flowing C4
mole fraction vs. time.
Figure 5.25: Overall butane mole fraction zC4 history profiles. (a) History of the
overall butane mole fraction BzC4 in the well block. (a) History of the overall butane
mole fraction WzC4 profiles in the producing fluid for the top three WBHP GA
optimized scenarios.
5.6. SUMMARY 123
0 1000 2000 3000 4000
0
0.5
1
1.5
2
2.5
3
x 10
8
Time (days)
WGPT(mscf)
Reference
GA01
GA02
GA03
0 1000 2000 3000 4000
500
550
600
650
700
750
800
850
Time (days)
WBHP(psia)
0 1000 2000 3000 4000
0.5
1
1.5
2
2.5
3
x 10
5
Time (days)
WGPR(mscf/day)
(a) Accumulated gas production with time.
(c) Gas production history(b) Bottom hole pressure history.
Figure 5.26: History profiles of (a) The accumulated gas production (WGPT (b)
Well bottom hole pressure (WBHP) and (c) Gas production rate (WGPR for the
top three WGPR GA optimized scenarios.
124 CHAPTER 5. GAS-CONDENSATE FLOW MODELING
500 1000 1500 2000
0.1
0.2
0.3
0.4
0.5
0.6
0.7
0.8
Well block pressure (psi)
zC4
inthewellblock
Reference
GA01
GA02
GA03
500 550 600 650 700 750 800 850
0.08
0.085
0.09
0.095
0.1
0.105
0.11
0.115
0.12
0.125
0.13
Bottom hole pressure (psi)
ProducedzC4
fromthewellhead
Reference
GA01
GA02
GA03
(b) Flowing C4
mole fraction vs. well bottom hole pressure (BHP).
(a) Overall C4
mole fraction in the well block vs. well block pressure.
Figure 5.27: Overall butane mole fraction zC4 profiles. (a) Overall butane mole
fraction BzC4 profiles in the well block vs. the well block pressure. (a) Overall butane
mole fraction WzC4 profiles in the producing fluid vs. BHP for the top three WGPR
GA optimized scenarios.
5.6. SUMMARY 125
0 500 1000 1500 2000 2500 3000 3500 4000
0
0.2
0.4
0.6
0.8
1
Time(days)
zC4
inthewellblock
Reference
GA01
GA02
GA03
0 500 1000 1500 2000 2500 3000 3500 4000
0
0.05
0.1
Time(days)
ProducedzC4
fromthewellhead
Reference
GA01
GA02
GA03
(a) Overall C4
mole fraction in the well block vs. time.
(b) Flowing C4
mole fraction vs. time.
Figure 5.28: Overall butane mole fraction zC4 history profiles. (a) History of the
overall butane mole fraction BzC4 in the well block. (a) History of the overall butane
mole fraction WzC4 profiles in the producing fluid for the top three WGPR GA
optimized scenarios.
126 CHAPTER 5. GAS-CONDENSATE FLOW MODELING
especially the heavier component of the fluid, around the well during condensate
dropout was analyzed. Key parameters that influence the compositional behavior
were also discussed in detail. The theoretical models provide tools to better under-
stand the momentary compositional variation in the reservoir.
In the last two sections, compositional simulations of binary and multicomponent
gas-condensate systems were performed to investigate how the producing strategies
influence the total gas production and compositional variation in both the well block
and the well-head flow. Then in the following section, GA algorithm was applied
to confirm and generalize the optimal producing schemes observed in the previous
simulation.
Chapter 6
Conclusions and Discussions
This chapter consists of two parts. In the first section, general conclusions are drawn
from the work performed on experimental, theoretical and simulation studies for gas-
condensate flow in porous media with emphasis on composition behavior. In the
second section, we discuss possible improvements of the current work.
6.1 General Conclusions
Compositional variation behavior in the reservoir was studied through experimen-
tal, theoretical and numerical simulation work. Optimal producing schemes were
suggested for both gas production and also for condensate recovery. More specific
conclusions are summarized in the following sections.
6.1.1 Theoretical Compositional Variation Models
General mathematical models were established to describe problems of dynamic con-
densate banking in both one-dimensional linear flow and three-dimensional radial
flow in the porous media, with the effect of interfacial tension. The theoretical mod-
els provide us with an opportunity to isolate and investigate certain parameters that
influence the compositional variation of the heavy components with time in the near-
well region during depletion. The effects of relative permeability, fluid type and
127
128 CHAPTER 6. CONCLUSIONS AND DISCUSSIONS
pressure on condensate banking were discussed. The primary conclusions from the
theoretical work can be summarized as follows:
• Both relative permeability and absolute permeability have effects on conden-
sate banking behavior through the influence of the mobility term. Relative
permeability models adjusted with the effect of interfacial tension may be more
appropriate for gas-condensate modeling. The rate of the change in heavy
components is higher for low permeability gas-condensate systems with greater
pressure gradient.
• The total molar concentration of heavy components around the well increases
as the flowing bottom hole pressure falls below the dew-point pressure. The
rate of change in heavy components is higher for rich gas-condensate than for
lean gas-condensate for a given reservoir.
• Reservoir pressure has significant effects on compositional variation behavior.
In regions far away from the well, where pressure gradient is small, the total
molar concentration of heavy components increases as the reservoir pressure
drops below the dewpoint pressure. The heavy component deposits faster in
low pressure regions than in high pressure regions. For a well producing at a
constant bottom hole flowing pressure, the change of the composition of heavy
components depends highly on pressure. The total molar concentration of heavy
components increases around the well when the flowing pressure is above some
pressure values, and then could decrease as pressure further drops down if va-
porization takes effect in the reservoir.
6.1.2 Experimental Study of Gas-Condensate Flow in a Core
An experimental apparatus was designed and built to allow in-situ measurements of
the real time pressure and composition sampling of the flowing fluid along the core.
This coreholder can be used to perform constant pressure-drop core flooding experi-
ment and the isolated coreholder can be taken to the x-ray CT room for saturation
measurements.
6.1. GENERAL CONCLUSIONS 129
Conclusions on the experimental work can be summarized as follows:
• In gas-condensate flow, local composition changes due to the influence of rel-
ative permeability effects even in the constant pressure-drop flow case. The
composition of the flowing fluid had slight or no change in a flow with constant
pressure drop.
• The reservoir fluid would not vaporize as suggested by the CVD experiment in
the PVT cell due to the local composition variation.
• Repressurizing may not be a good strategy to remove the liquid accumulation
in the reservoir.
• The condensate drop-out will hinder the flow capability due to relative perme-
ability effects.
6.1.3 Numerical Simulation Study of Gas-Condensate Flow
Compositional simulations of binary and multicomponent gas-condensate systems
were performed to investigate how the producing strategies influence the total gas
production and compositional variation in both the well block and the well-head flow.
GA algorithm was also performed to confirm and generalize the optimal producing
schemes observed in simulation work. Observations on the simulation work are as
follows:
• Composition and condensate saturation change significantly as a function of
producing sequence. The higher the BHP, the less the condensate banking
and a smaller amount of heavy-component is trapped in the reservoir. The
lower the producing rate, the lower the amount of heavy-component left in the
reservoir.
• Gas productivity can be maximized with a proper producing strategy. The
total gas production can be increased by lowering the BHP or optimizing the
producing rate.
• Productivity loss can be reduced by optimizing the producing sequence.
130 CHAPTER 6. CONCLUSIONS AND DISCUSSIONS
6.2 Possible Improvements and Future Work
As a number of assumptions and simplifications have been made in order to make the
attempt to solve problems in the experimental setup presented earlier in this study.
Other than the intrinsic restrictions of the equipment, improvements can still be made
to the following aspects to better characterize the gas-condensate flow behavior in the
reservoir.
First, composition samples from the core flow represent only the flowing fluid. In
this study, the flowing fluid happens to have slight or no change in the composition.
An immediate improvement would be a more careful design of non-constant pressure
drop core-flooding or other forms of core-flooding that allow changes in the flowing
fluid. The difficulties may come from identifying the sampling pressure correctly as
the pressure keeps changing in non-constant pressure drop flow.
Second, the change in the total molar concentration of components in the core was
investigated by comparing the original fluid with the fluid collected by the natural
discharge into a receiver cylinder. The sample from the receiver cylinder is, therefore,
an average of the molar concentration of fluids in the core. Due to the fact that
some liquid is still stuck in the reservoir, and may not vaporize and flow out of the
core without external force, the discharged fluid sample has lower heavy component
concentration. A better way to measure the in-situ fluid composition in the core is
desirable.
Third, the current saturation measurements were taken on the isolated core. An
improvement on the tubing systems to allow the concurrent saturation and flow mea-
surements is favored.
Finally, the current experiment was conducted at room temperature. The Joule-
Thompson cooling effect was remedied in the tubing flow by applying heat tapes. The
temperature variation in the core, however, has not been investigated. Temperature
variation in the core would affect the flow on sampling. An improvement would be a
real-time constant temperature environment for the experiment.
Appendix A
Core Scale Simulation Input File
−− =============================================
−−Study: Gas Condensate Core Flooding Test
−−Author: Chunmei Shi
−−Simulator: E300(2005a)
−− =============================================
−−Constant Pressure Drop Flow
−−Berea Sandstone with Length=27.4 cm and Diameter=5.06 cm.
−− =============================================
RUNSPEC
−− =============================================
OIL GAS
FULLIMP
WELLDIMS
10 50 3 3 5 10 5 4 3 0 /
DIMENS 51 1 1 /
NSTACK 50 /
ISGAS
−−Units
LAB
−−Number of components: implies compositional run COMPS
131
132 APPENDIX A. CORE SCALE SIMULATION INPUT FILE
2 /
MISCIBLE
/
FMTOUT
UNIFOUT
−− =============================================
GRID
−− =============================================
INIT
DX
51∗0.51837 /
DY
51∗4.48 /
DZ
51∗4.48 /
−− Porosity and permeability
− − − (Rock)
BOX
− − − IX1−IX2 JY1−JY2 KZ1−KZ2
1 51 1 1 1 1 /
INCLUDE Perm.txt /
ENDBOX
− − − TOP Specification
− − − IX1-IX2 JY1-JY2 KZ1-KZ1
−− 1 1 1 1 1 1 /
TOPS
51∗1 /
ENDBOX
−− =============================================
PROPS
−− =============================================
133
−− Properties section: PVT data
EOS
PR /
−− Names of Components
CNAMES
C1
nC4
/
−− Miscibility exponent
MISCEXP
0.000000001 /
−− Component Critical Temperatures (K)
TCRIT
190.5611111
425.2
/
−− Component Critical Pressures (atm)
PCRIT
45.44
37.46953
/
−−Component Critical Volumes(m3
/kg − mole)
−− set by user
VCRIT
0.098
0.255
/
−− Component acentric factor
ACF
0.013
0.201
134 APPENDIX A. CORE SCALE SIMULATION INPUT FILE
/
−−Peneleux Correction (Shift parameters)
SSHIFT
0.
0.
/
−− Component Molecular Weight g/mol
MW
16.04
58.12
/
−− Binary interaction parameters
BIC
0.0
/
STCOND
15.0
1.0
/
−− Reservoir temperature: Deg C / K
RTEMP
−−20 / 293.15K
20 / 293.15K
−− Rock and fluid properties
ROCK
132.7 0.00000000001 /
−−Relative Permeability Functions
INCLUDE KrgoGC2.dat
/
−−Miscibility surface tension reference
MISCSTR
135
12.3048 /
/
−−Surface tension with respect to pressure
STVP
300 12.3048
400 11.1124
500 9.9551
600 8.837
700 7.7623
800 6.7356
900 5.7616
1000 4.8454
1100 3.9918
1200 3.2063
1300 2.4941
1400 1.8605
1500 1.311
1600 0.8507
1700 0.4848
1800 0.2181
1850 0.1234
1900 0.0552
1925 0.0311
1950 0.0139
1975 0.0035 /
/
−−Specify miscibility variation with surface tension
FVST
0.0035 0.441977
0.0139 0.507334
0.0311 0.549881
136 APPENDIX A. CORE SCALE SIMULATION INPUT FILE
0.0552 0.582353
0.1234 0.631138
0.2181 0.668126
0.4848 0.723684
0.8507 0.765544
1.311 0.799379
1.8605 0.827857
2.4941 0.852479
3.2063 0.874164
3.9918 0.893531
4.8454 0.911015
5.7616 0.92693
6.7356 0.941521
7.7623 0.954974
8.837 0.967438
9.9551 0.979032
11.1124 0.989859
12.3048 1.0 /
/
−− =============================================
SOLUTION
−− =============================================
PRESSURE
−−Pressure (atm)
51*132.7 /
SGAS
1.0 50*1.0 /
XMF
51*0.85 51*0.15 /
YMF
51*0.85 51*0.15 /
137
−− =============================================
SUMMARY
−− =============================================
RUNSUM
RPTONLY
−−Output Well properties for the producer
INCLUDE WOUTPUT BINARY.txt /
−− Output grid properties for specified grid blocks
INCLUDE BPRES.txt /
INCLUDE BSOIL.txt /
INCLUDE BXMF1.txt /
INCLUDE BXMF2.txt /
INCLUDE BYMF1.txt /
INCLUDE BYMF2.txt /
INCLUDE BBOIL.txt /
INCLUDE BBGAS.txt /
INCLUDE BMLSC2.txt /
INCLUDE BMLST.txt /
INCLUDE BVMF.txt /
/
−− =============================================
SCHEDULE
−− =============================================
WELLSPEC
INJ1 G1 1 1 3∗ /
PROD1 G2 50 1 3∗ /
/
WELLCOMP
INJ1 1 1 1 1 1∗ 0.15875 5∗ /
PROD1 50 1 1 1 1∗ 0.15875 5∗ /
/
138 APPENDIX A. CORE SCALE SIMULATION INPUT FILE
−− Specify compositions of inj gas stream
WELLSTRE
LEANGAS 0.85 0.15 /
/
WCONINJE INJ1 GAS AUTO BHP 2∗ 133.3701 /
/
WINJGAS
INJ1 STREAM LEANGAS/
/
WCONPROD
PROD1 OPEN BHP 5∗ 68.72642 /
/
TUNING
.000277 0.05 0.0000277 /
/
TSTEP
60∗0.0166667 60∗0.5 /
END
Appendix B
Field Scale MultiComponent
Simulation Input File
−− =============================================
−−Study: Gas Condensate Flow Behavior Study
−−by Chunmei Shi on Oct 1st, 2007
−−2 components; Peng-Robinson EoS with correction
−−Grid dimensions 36x1x4, RADIAL
−−Fully implicit solution method; FIELD units; 3-stage separator
−−Simulator: E300(2005a)
−− =============================================
RUNSPEC
−− =============================================
RADIAL
−−Request the FIELD unit set
FIELD
−−Water is present
WATER
−−FULLIMP solution method
FULLIMP
−−Nine components in study ( plus water )
139
140APPENDIX B. FIELD SCALE MULTICOMPONENT SIMULATION INPUT FILE
COMPS
9 /
−−Peng-Robinson equation of state to be used
EOS
PR /
DIMENS
36 1 4 /
TABDIMS
1 1 40 40 /
−−Is a gas condensate study
ISGAS
MULTSAVE
0 /
−− =============================================
GRID
−− =============================================
−−Basic grid block sizes
INRAD
0.3/
/
DR
0.630957 0.794328 1.000000 1.258925 1.584893 1.995262 2.511886 3.162278 3.981072
5.011872 6.309572 7.943282 10.00000 12.58925 15.84893 19.95262 25.11886 31.62278
39.81072 50.11872 63.09573 79.43282 100.0000 125.8925 158.4893 199.5262 251.1886
316.2278 398.1072 501.1872 630.9573 794.3282 1000.000 1258.925 1584.893 1995.262
0.630957 0.794328 1.000000 1.258925 1.584893 1.995262 2.511886 3.162278 3.981072
5.011872 6.309572 7.943282 10.00000 12.58925 15.84893 19.95262 25.11886 31.62278
39.81072 50.11872 63.09573 79.43282 100.0000 125.8925 158.4893 199.5262 251.1886
316.2278 398.1072 501.1872 630.9573 794.3282 1000.000 1258.925 1584.893 1995.262
0.630957 0.794328 1.000000 1.258925 1.584893 1.995262 2.511886 3.162278 3.981072
5.011872 6.309572 7.943282 10.00000 12.58925 15.84893 19.95262 25.11886 31.62278
141
39.81072 50.11872 63.09573 79.43282 100.0000 125.8925 158.4893 199.5262 251.1886
316.2278 398.1072 501.1872 630.9573 794.3282 1000.000 1258.925 1584.893 1995.262
0.630957 0.794328 1.000000 1.258925 1.584893 1.995262 2.511886 3.162278 3.981072
5.011872 6.309572 7.943282 10.00000 12.58925 15.84893 19.95262 25.11886 31.62278
39.81072 50.11872 63.09573 79.43282 100.0000 125.8925 158.4893 199.5262 251.1886
316.2278 398.1072 501.1872 630.9573 794.3282 1000.000 1258.925 1584.893 1995.262/
/
PORO
144∗0.13 /
PERMX
36∗13 36∗4 36∗2 36∗15 /
PERMY
36∗13 36∗4 36∗2 36∗15 /
PERMZ
36∗13 36∗4 36∗2 36∗15 /
EQUALS
DTHETA 360 /
DZ 30 1 36 1 1 1 2 /
DZ 50 1 36 1 1 3 4 /
TOPS 7340 1 36 1 1 1 1 /
TOPS 7370 1 36 1 1 2 2 /
TOPS 7400 1 36 1 1 3 3 /
TOPS 7450 1 36 1 1 4 4 /
/
−− =============================================
PROPS
−− =============================================
NCOMPS
9 /
EOS
PR /
142APPENDIX B. FIELD SCALE MULTICOMPONENT SIMULATION INPUT FILE
−− Peng-Robinson correction
PRCORR
−− Standard temperature and pressure in Deg F and PSIA
STCOND
60.0 14.7 /
−− Component names
CNAMES
CO2 N2 C1 C2 C3 C4-6 C7+1 C7+2 C7+3 /
−− Critical temperatures Deg R
TCRIT
548.46000 227.16000 343.08000 549.77400 665.64000 806.54054 838.11282 1058.03863
1291.89071 /
−− Critical pressures PSIA
PCRIT
1071.33111 492.31265 667.78170 708.34238 618.69739 514.92549 410.74956 247.56341
160.41589 /
−− Critical Z-factors
ZCRIT
.27408 .29115 .28473 .28463 .27748 .27640 .26120 .22706 .20137 /
−− Acentric factors
ACF
.22500 .04000 .01300 .09860 .15240 .21575 .31230 .55670 .91692 /
−− Molecular Weights
MW
44.01000 28.01300 16.04300 30.07000 44.09700 66.86942 107.77943 198.56203 335.19790
/
−− OmegaA values
OMEGAA
.4572355 .4572355 .5340210 .4572355 .4572355 .4572355 .6373344 .6373344 .6373344
/
−− OmegaB values
143
OMEGAB
.0777961 .0777961 .0777961 .0777961 .0777961 .0777961 .0872878 .0872878 .0872878
/
−− Default fluid sample composition
−− composition not varying with depth
ZMFVD
1.00000 .01210 .01940 .65990 .08690 .05910 .09670 .04745 .01515 .00330
10000.00000 .01210 .01940 .65990 .08690 .05910 .09670 .04745 .01515 .00330 /
−− Boiling point temperatures Deg R
TBOIL
350.46000 139.32000 201.06000 332.10000 415.98000 523.33222 689.67140 958.31604
1270.40061 /
−− Reference temperatures Deg R
TREF
527.40000 140.58000 201.06000 329.40000 415.80000 526.05233 519.67000 519.67000
519.67000 /
−− Reference densities LB/FT3
DREF
48.50653 50.19209 26.53189 34.21053 36.33308 37.87047 45.60035 50.88507 55.89861
/
−− Parachors (Dynes/cm)
PARACHOR
78.00000 41.00000 77.00000 108.00000 150.30000 213.52089 331.78241 516.45301 853.48860
/
−− Binary Interaction Coefficients
BIC
.0200
.1000 .0360
.1300 .0500 .000000
.1350 .0800 .000000 .000
.1277 .1002 .092810 .000 .000
144APPENDIX B. FIELD SCALE MULTICOMPONENT SIMULATION INPUT FILE
.1000 .1000 .130663 .006 .006 .0
.1000 .1000 .130663 .006 .006 .0 .0
.1000 .1000 .130663 .006 .006 .0 .0 .0 /
−− Reservoir temperature in Deg F
RTEMP 200.0 /
−−Water saturation functions
SWFN
0.16 0 50
0.20 0.002 32
0.24 0.010 21
0.28 0.020 15.5
0.32 0.033 12.0
0.36 0.049 9.2
0.40 0.066 7.0
0.44 0.090 5.3
0.48 0.119 4.2
0.52 0.150 3.4
0.56 0.186 2.7
0.60 0.227 2.1
0.64 0.277 1.7
0.68 0.330 1.3
0.72 0.390 1.0
0.76 0.462 0.7
0.8 0.540 0.5
0.84 0.620 0.4
0.88 0.710 0.3
0.92 0.800 0.2
0.96 0.900 0.1
1.00 1.000 0.0 /
−−Gas saturation functions
SGFN
145
0.00 0.000 0.0
0.04 0.038 0.0
0.08 0.070 0.0
0.12 0.106 0.0
0.16 0.141 0.0
0.20 0.177 0.0
0.24 0.217 0.0
0.28 0.260 0.0
0.32 0.300 0.0
0.36 0.349 0.0
0.40 0.400 0.0
0.44 0.450 0.0
0.48 0.505 0.0
0.52 0.562 0.0
0.56 0.620 0.0
0.60 0.680 0.0
0.64 0.740 0.0
0.68 0.740 0.0
0.72 0.740 0.0
0.76 0.740 0.0
0.80 0.740 0.0
0.84 0.740 0.0 /
−−Oil saturation functions
SOF3
0.00 0.000 0.000
0.04 0.000 0.000
0.08 0.000 0.000
0.12 0.000 0.000
0.16 0.000 0.000
0.20 0.000 0.000
0.24 0.000 0.000
146APPENDIX B. FIELD SCALE MULTICOMPONENT SIMULATION INPUT FILE
0.28 0.000 0.000
0.32 0.000 0.000
0.36 0.000 0.000
0.40 0.000 0.000
0.44 0.000 0.000
0.48 0.005 0.005
0.52 0.012 0.012
0.56 0.024 0.024
0.60 0.040 0.040
0.68 0.082 0.082
0.72 0.112 0.112
0.76 0.150 0.150
0.80 0.196 0.196
0.84 0.256 0.256 /
−−Rock and water pressure data
ROCK
3550 0.000004 /
PVTW
3550 1.0 0.000003 0.31 0.0 /
−−Surface density of water
DENSITY
1∗ 63.0 1∗ /
−− =============================================
SOLUTION
−− =============================================
−−Equilibration data - initial pressure 3500 psi at 7500
EQUIL
7500 3550 7500 0 7500 0 1 1 0 /
RPTRST
PRESSURE SOIL YMF VOIL /
RPTSOL
147
PRESSURE SOIL /
FIELDSEP
1 80 815 /
2 80 65 /
3 60 14.7 /
/
−− =============================================
SUMMARY
−− =============================================
−−ALL
RUNSUM
RPTONLY
−−Output Well properties for the producer
INCLUDE WOUTPUT MULlTICOMP.txt /
−−saturation and composition history for layer 4
INCLUDE BSOIL.txt /
INCLUDE BXMF.txt /
INCLUDE BYMF.txt /
BVMF
1 1 4 /
/
−− =============================================
SCHEDULE
−− =============================================
−−Define separator ; third stage represents stock tank
SEPCOND
SEP FIELD 1 80 815 /
SEP FIELD 2 80 65 /
SEP FIELD 3 60 14.7 /
/
−−Define injection and production wells
148APPENDIX B. FIELD SCALE MULTICOMPONENT SIMULATION INPUT FILE
WELSPECS
–I FIELD 1 1 7330 GAS/
P FIELD 1 1 7400 GAS/
/
WSEPCOND
P SEP /
/
COMPDAT
−−I 1 1 1 2 1∗ 1 /
P 1 1 3 4 1∗ 1 /
/
−−Well P set to target gas rate of 10000, with min bhp of 500 psi
WCONPROD
P OPEN GRAT 1∗ 1∗ 10000 2∗ 500 /
/
TSCRIT
0.001 0.00001 1 /
TSTEP
0.00002 /
/
TSTEP
365 /
/
END
Appendix C
Field Scale Binary Simulation
Input File
−− =============================================
−−Study: Gas Condensate Flow Behavior Study
−−by Chunmei Shi on Oct 1st, 2007
−−9 components; Peng-Robinson EoS with correction
−−Grid dimensions 36x1x4, RADIAL
−−Fully implicit solution method; FIELD units; 3-stage separator
−−Simulator: E300(2005a)
−− =============================================
RUNSPEC
−− =============================================
RADIAL
−−Request the FIELD unit set
FIELD
−−Water is present
WATER
−−FULLIMP solution method
FULLIMP
−−Two components in study ( plus water )
149
150 APPENDIX C. FIELD SCALE BINARY SIMULATION INPUT FILE
COMPS
2 /
−−Peng-Robinson equation of state to be used
EOS
PR /
DIMENS
36 1 4 /
TABDIMS
1 1 40 40 /
−−Is a gas condensate study
ISGAS
MULTSAVE
0 /
−− =============================================
GRID
−− =============================================
−−Basic grid block sizes
INRAD
0.3/
/
DR
0.630957 0.794328 1.000000 1.258925 1.584893 1.995262 2.511886 3.162278 3.981072
5.011872 6.309572 7.943282 10.00000 12.58925 15.84893 19.95262 25.11886 31.62278
39.81072 50.11872 63.09573 79.43282 100.0000 125.8925 158.4893 199.5262 251.1886
316.2278 398.1072 501.1872 630.9573 794.3282 1000.000 1258.925 1584.893 1995.262
0.630957 0.794328 1.000000 1.258925 1.584893 1.995262 2.511886 3.162278 3.981072
5.011872 6.309572 7.943282 10.00000 12.58925 15.84893 19.95262 25.11886 31.62278
39.81072 50.11872 63.09573 79.43282 100.0000 125.8925 158.4893 199.5262 251.1886
316.2278 398.1072 501.1872 630.9573 794.3282 1000.000 1258.925 1584.893 1995.262
0.630957 0.794328 1.000000 1.258925 1.584893 1.995262 2.511886 3.162278 3.981072
5.011872 6.309572 7.943282 10.00000 12.58925 15.84893 19.95262 25.11886 31.62278
151
39.81072 50.11872 63.09573 79.43282 100.0000 125.8925 158.4893 199.5262 251.1886
316.2278 398.1072 501.1872 630.9573 794.3282 1000.000 1258.925 1584.893 1995.262
0.630957 0.794328 1.000000 1.258925 1.584893 1.995262 2.511886 3.162278 3.981072
5.011872 6.309572 7.943282 10.00000 12.58925 15.84893 19.95262 25.11886 31.62278
39.81072 50.11872 63.09573 79.43282 100.0000 125.8925 158.4893 199.5262 251.1886
316.2278 398.1072 501.1872 630.9573 794.3282 1000.000 1258.925 1584.893 1995.262/
/
PORO
144∗0.13 /
PERMX
36∗13 36∗4 36∗2 36∗15 /
PERMY
36∗13 36∗4 36∗2 36∗15 /
PERMZ
36∗13 36∗4 36∗2 36∗15 /
EQUALS
DTHETA 360 /
DZ 30 1 36 1 1 1 2 /
DZ 50 1 36 1 1 3 4 /
TOPS 7340 1 36 1 1 1 1 /
TOPS 7370 1 36 1 1 2 2 /
TOPS 7400 1 36 1 1 3 3 /
TOPS 7450 1 36 1 1 4 4 /
/
−− =============================================
PROPS
−− =============================================
NCOMPS
2 /
EOS
PR /
152 APPENDIX C. FIELD SCALE BINARY SIMULATION INPUT FILE
−− Peng-Robinson correction
PRCORR
−− Standard temperature and pressure in Deg F and PSIA
STCOND
60.0 14.7 /
−− Component names
CNAMES
C1 C4 /
−− Critical temperatures Deg R
TCRIT
343.08000 755.1 /
−− Critical pressures PSIA
PCRIT
667.78170 543.45 /
−− Critical Z-factors
ZCRIT
.28473 0.27717 /
−− Acentric factors
ACF
.01300 0.1956 /
−− Molecular Weights
MW
16.04300 58.124 /
−− OmegaA values
OMEGAA
.4572355 .4572355 /
−− OmegaB values
OMEGAB
.0777961 .0777961 /
−− Default fluid sample composition
−− composition not varying with depth
153
ZMFVD
1.00000 0.8500 0.1500
10000.00000 0.8500 0.1500 /
−− Boiling point temperatures Deg R
TBOIL
200.88 484.02 /
−− Reference temperatures Deg R
TREF
201.06 527.4 /
−− Reference densities LB/FT3
DREF
26.53189 35.69 /
−− Parachors (Dynes/cm)
PARACHOR
77.00000 187.2 /
−− Binary Interaction Coefficients
BIC
.0000
/
−− Reservoir temperature in Deg F
RTEMP 60.0 /
−−Water saturation functions
SWFN
0.16 0 50
0.20 0.002 32
0.24 0.010 21
0.28 0.020 15.5
0.32 0.033 12.0
0.36 0.049 9.2
0.40 0.066 7.0
0.44 0.090 5.3
154 APPENDIX C. FIELD SCALE BINARY SIMULATION INPUT FILE
0.48 0.119 4.2
0.52 0.150 3.4
0.56 0.186 2.7
0.60 0.227 2.1
0.64 0.277 1.7
0.68 0.330 1.3
0.72 0.390 1.0
0.76 0.462 0.7
0.8 0.540 0.5
0.84 0.620 0.4
0.88 0.710 0.3
0.92 0.800 0.2
0.96 0.900 0.1
1.00 1.000 0.0 /
−−Gas saturation functions
SGFN
0.00 0.000 0.0
0.04 0.038 0.0
0.08 0.070 0.0
0.12 0.106 0.0
0.16 0.141 0.0
0.20 0.177 0.0
0.24 0.217 0.0
0.28 0.260 0.0
0.32 0.300 0.0
0.36 0.349 0.0
0.40 0.400 0.0
0.44 0.450 0.0
0.48 0.505 0.0
0.52 0.562 0.0
0.56 0.620 0.0
155
0.60 0.680 0.0
0.64 0.740 0.0
0.68 0.740 0.0
0.72 0.740 0.0
0.76 0.740 0.0
0.80 0.740 0.0
0.84 0.740 0.0 /
−−Oil saturation functions
SOF3
0.00 0.000 0.000
0.04 0.000 0.000
0.08 0.000 0.000
0.12 0.000 0.000
0.16 0.000 0.000
0.20 0.000 0.000
0.24 0.000 0.000
0.28 0.005 0.005
0.32 0.012 0.012
0.36 0.024 0.024
0.40 0.040 0.040
0.44 0.060 0.060
0.48 0.082 0.082
0.52 0.112 0.112
0.56 0.150 0.150
0.60 0.196 0.196
0.68 0.315 0.315
0.72 0.400 0.400
0.76 0.513 0.513
0.80 0.650 0.650
0.84 0.800 0.800 /
−−Rock and water pressure data
156 APPENDIX C. FIELD SCALE BINARY SIMULATION INPUT FILE
ROCK
3550 0.000004 /
PVTW
3550 1.0 0.000003 0.31 0.0 /
−−Surface density of water
DENSITY
1∗ 63.0 1∗ /
−− =============================================
SOLUTION
−− =============================================
−−Equilibration data - initial pressure 3500 psi at 7500.
EQUIL
7500 3550 7500 0 7500 0 1 1 0 /
FIELDSEP
1 80 815 /
2 80 65 /
3 60 14.7 /
/
−− =============================================
SUMMARY
−− =============================================
−−ALL
RUNSUM
−−Field oil production rate and total, GOR and field pressure
WGPR
P /
/
WGPT
/
WBHP
P /
157
/
BPRES
1 1 4 /
/
WZMF
P 2 /
/
BVMF
1 1 4 /
/
BXMF
1 1 4 2 /
/
BYMF
1 1 4 2/
/
−− =============================================
SCHEDULE
−− =============================================
−−Define separator ; third stage represents stock tank
SEPCOND
SEP FIELD 1 80 815 /
SEP FIELD 2 80 65 /
SEP FIELD 3 60 14.7 /
/
−−Define injection and production wells
WELSPECS
–I FIELD 1 1 7330 GAS/
P FIELD 1 1 7400 GAS/
/
WSEPCOND
158 APPENDIX C. FIELD SCALE BINARY SIMULATION INPUT FILE
P SEP /
/
COMPDAT
−−I 1 1 1 2 1∗ 1 /
P 1 1 3 4 1∗ 1 /
/
−−Well P set to target gas rate of 10000, with min bhp of 500 psi
WCONPROD
P OPEN GRAT 1∗ 1∗ 10000 2∗ 500 /
/
TSCRIT
0.001 0.00002 1 /
TSTEP
0.00002 /
/
TSTEP
365 /
/
END
Nomenclatures
BHP = bottom-hole pressure
CO2 = carbon dioxide
C1 = methane
C2 = ethane
C3 = propane
iC4 = i-butane
nC4 = n-butane
iC5 = i-pentane
nC5 = n-pentane
C6 = hexane
C7 = heptane
C8 = octane
C9 = nonane
C10+
= decene and higher
CTa = air phase CT number
CTl = liquid phase CT number
CTar = CT number for air-saturated rock
CTlr = CT number for liquid-saturated rock
CTgr = CT number for gas-saturated rock
CTglr = CT number for the rock saturated with the mixture of liquid and gas
CV D = Constant volume depletion
N2 = nitrogen
Mw = molecular weight
159
160 APPENDIX C. FIELD SCALE BINARY SIMULATION INPUT FILE
pc = critical pressure (psi or atm)
Sc = condensate saturation
Scc = critical condensate saturation
Sg = gas saturation
Tc = critical temperature(o
C or o
F)
WGPT = well total gas production (mscf or scc)
WBHP = well bottom hole pressure (psi or atm)
WGPR = gas production rate for a single well (mscf/day)
φ = porosity
µg = the attenuation coefficients for the core fully saturated with gas
µl = the attenuation coefficients for the core fully saturated with liquid
µr = the attenuation coefficients for the rock matrix
Bibliography
Abel, W., Jackson, R., and Wattenbarger, R. (1970). “Simulation of a Partial Pressure
Maintenance Gas Cycling Project with a Compositional Model, Carson Creek Field,
Alberta”. JPT January, pp 38–46.
Afidick, D., Kaczorowski, N., and Bette, S. (1994). “Production Performance of a
Retrograde Gas: A Case Study of the Arun Field”. In SPE Asia Pacific Oil and
Gas Conference, Melbourne, Australia. SPE 28749.
Akin, S. and Kovscek, A. (2003). “Computed Tomography in Petroleum Engineering
Research”. Geological Society speical publications, pp 22–38.
Allen, F. and Roe, R. (1950). “Performance Characteristics of a Volumetric Conden-
sate Reservoir”. Petroleum Transactions, AIME, pp 83–90.
Aly, A., El-Banbi, A., Holditch, S., M.Wahdan, N.Salah, Aly, N., and Boerrigter,
P. (2001). “Optimization of Gas Condensate Reservoir Development by Coupling
Reservoir Modeling and Hydraulic Fracturing Design”. In SPE Middle East Oil
Show and Conference, Bahrain. SPE 68175.
Ayala, L., Ertekin, T., and Adewumi, M. (2007). “Study of Gas/Condensate Reservoir
Exploitation Using Neurosimulation”. Petroleum Transactions, AIME April.
Aziz, R. (1985). “Deliverability Projection Model for Overpressured Gas-Condensate
Reservoirs”. In SPE Middle East Technical Conference and Exhibition, Bahrain.
SPE 13706.
161
162 BIBLIOGRAPHY
Barnum, R., Brinkman, F., Richardson, T., and Spillette, A. (1995). “Gas Condensate
Reservoir Behavior: Productivity and Recovery Reduction Due to Condensation”.
In SPE Annual Technical Conference and Exhibition, Dallas, TX. SPE 30767.
Bengherbia, M. and Tiab, D. (2002). “Gas-Condensate Well Performance Using
Compositional Simulator: A Case Study”. In SPE Gas Technology Symposium,
Calgary, Canada. SPE 75531.
Bette, S., Hartman, K., and Heinemann, R. (1991). “Compositional modelling of
interfacial tesion effects in miscible displacement processes”. Journal of Petroleum
Science and Engineering, pp 1–14.
Bittencourt, A. (1997). “Optimizing Hydrocarbon Field Development Using a Genetic
Algorithm Based Approach”. Ph.D. thesis, Stanford University.
Clark, T. (1985). “The Application of a 2-D Compositional, Radial Model to Predict
Single-Well Performance in a Rich Gas Condensate Reservoir”. In SPE Annual
Technical Conference and Exhibition, Las Vegas, NV. SPE 14413.
Coats, K. (1980). “An equation of state compositional model”. Journal of Petroleum
Science and Engineering October, pp 363–367.
Dempsey, B., Taki, H., and Druyff, J. (2001). “Case History of Hydraulic Fracture
Optimization in Tight Gas Wells with Water Production in the Wind River Basin,
Wyoming”. In SPE Production and Operations Symposium, Oklahoma City, OK.
SPE 67300.
Duggan, J. (1972). “The Anderson ’L’-an Abnormally Pressured Gas Reservoir in
South Texas”. JPT February, pp 132–138.
Engineer, R. (1985). “Cal Canal Field, California: Case History of a Tight and Ab-
normally Pressured Gas Condensate Reservoir”. In SPE 1985 California Regional
Meeting, Bakersfield, CA. SPE 13650.
Fevang, O. (1995). “Gas Condensate Flow Behavoir and Sampling”. Ph.D. thesis,
University of Trondheim.
BIBLIOGRAPHY 163
Fevang, O. and Whitson, C. (1996). “Modeling Gas-Condensate Well Deliverability”.
SPE Reservoir Engineering, pp 221–230.
Fussell, D. (1973). “Single-Well Performance Predictions for Gas Condensate Reser-
voirs”. JPT July, pp 860–870.
Hartman, K. and Cullick, A. (1994). “Oil Recovery by Gas Displacement at Low
Interfacial Tension”. Journal of Petroleum Science and Engineering, pp 197–210.
Hinchman, S. and Barree, R. (1985). “Productivity Loss in Gas condensate Reser-
voirs”. In SPE Annual Technical Conference and Exhibition, Las Vegas, NV. SPE
14203.
Holland, J. (1975). “Adaptation in Natural and Artificial Systems”. MIT Press,
Cambridge, MA.
Hurst, W. and Leeser, R. (1962). “Aspects of Gas Deliverability”. In Economics and
Valuation Symposium, Dallas, TX. SPE 262.
Iverson, W. and Surdam, R. (1995). “Tight Gas Sand Production from the Almond
Formation, Washakie Basin, Wyoming”. In SPE Rocky Mountain Regional/Low-
Permeability Reservoirs Symposium, Denver, CO. SPE 29559.
Kleinsteiber, S., Wendschlag, D., and Calvin, J. (1983). “A Study for Development
of a Plan of Depletion in a Rich Gas Condensate Reservoir: Anschutz Ranch East
Unit, Summit County, Utah, Uinta County, Wyoming”. In SPE Annual Technical
Conference and Exhibition, San Francisco, CA. SPE 12042.
Lee, S. (1989). “Capillary-Gravity Equilibria for Hydrocarbon Fluids in Porous Me-
dia”. In SPE Annual Technical Conference and Exhibition, San Antonio, TX. SPE
19650-MS.
Lin, Z. and Finley, R. (1985). “Reservoir Engineering Properties and Production
Characteristics of Selected Tight Gas Fields, Travis Peak Formation, East Texas
Basin”. In SPE low Permeability Gas Reservoirs Symposium, Denver, CO. SPE
13901.
164 BIBLIOGRAPHY
McCain, W. (1990). “The Properties of Petroleum Fluids”. PennWell Books, Tulsa,
OK, 2nd edition.
Moses, P. (1986). “Engineering Applications of Phase Behavoir of Crude Oil and
Condensate Systems”. JPT July, pp 715–725.
Parakh, S. (2007). “Experimental Investigation of Enhanced Coal Bed Methane Re-
covery”. Master’s thesis, Stanford University, Stanford, CA.
Peaceman, D. (1996). “Calculation of Transmissibilities of Gridblocks Defined by
Arbitrary Corner Point Geometry”. In SPE e-library (unpublished, but available
from SPE e-library). SPE 37306.
Reid, R., Prausnitz, J., and Sherwood, T. (1977). “The Properties of Gases and
Liquids”. McGraw-Hill, New York, 3rd edition.
Riemens, W. and de Jong, L. (1985). “Birba Field PVT Variations Along the Hydro-
carbon Column and Confirmatory Field Tests”. In SPE Middle East Oil Technical
Conference, Bahrain. SPE 13719.
Roussennac, B. (2001). “Gas Condensate Well Test Analysis”. Master’s thesis, Stan-
ford University, Stanford, CA.
Schulte, A. (1980). “Compositional Variation within a Hydrocarbon Column Due to
Gravity”. In SPE Annual Technical Conference and Exhibition, Dallas, TX. SPE
9235.
Shi, C., Horne, R., and Li, K. (2006). “Optimizing the Productivity of Gas-
Condensate Wells”. In SPE Annual Technical Conference and Exhibition, San
Antonio, TX. SPE 103255.
Vinegar, H. and Wellington, S. (1987). “Tomographic imaging of three-phase flow
experiments”. Rev. Sci. Instrum. January.
Vo, D., Jones, J., and Raghavan, R. (1989). “Performance Prediction for Gas Con-
densate Reservoirs”. SPE Formation Evaluation December, pp 576–584.
BIBLIOGRAPHY 165
Wheaton, R. and Zhang, H. (2000). “Condensate Banking Dynamics in Gas Con-
densate Fields: Compositional Changes and Condensate Accumulation Around
Production Wells”. In SPE Annual Technical Conference and Exhibition, Dallas,
TX. SPE 62930.
Whitson, C. (2005). “Khuff Gas Condensate Development”. In International
Petroleum Technology Conference, Doha, Qatar. IPTC 10692.
Yuan, S., Ye, J., and Sun, Z. (2003). “Theory and Practices in Gas-Condensate
Reservoir Development”. China Petroleum Industry Press, Beijing, China.
Zhou, Y., Wang, C., and Firor, R. (2003). “Analysis of Permanent Gases and Methane
with the Agilent 6820 Gas Chromatograph”. Agilent Technologies, publication
5988-9260EN, www.agilent.com/chem.

Gas condensation process

  • 1.
    FLOW BEHAVIOR OFGAS-CONDENSATE WELLS A DISSERTATION SUBMITTED TO THE DEPARTMENT OF ENERGY RESOURCES ENGINEERING AND THE COMMITTEE ON GRADUATE STUDIES OF STANFORD UNIVERSITY IN PARTIAL FULFILLMENT OF THE REQUIREMENTS FOR THE DEGREE OF DOCTOR OF PHILOSOPHY Chunmei Shi March 2009
  • 2.
    c Copyright byChunmei Shi 2009 All Rights Reserved ii
  • 3.
    I certify thatI have read this dissertation and that, in my opinion, it is fully adequate in scope and quality as a dissertation for the degree of Doctor of Philosophy. (Roland N. Horne) Principal Adviser I certify that I have read this dissertation and that, in my opinion, it is fully adequate in scope and quality as a dissertation for the degree of Doctor of Philosophy. (Anthony R. Kovscek) I certify that I have read this dissertation and that, in my opinion, it is fully adequate in scope and quality as a dissertation for the degree of Doctor of Philosophy. (Franklin M. Orr, Jr.) Approved for the University Committee on Graduate Studies. iii
  • 4.
  • 5.
    Abstract The objective ofthis work was to develop a methodology to increase the productivity of gas/condensate from gas-condensate reservoirs. Presently, gas-condensate reser- voirs experience reductions in productivity by as much as a factor of 10 due to the dropout of liquid close to the wellbore. The liquid dropout blocks the flow of gas to the well and lowers the overall energy output by a very substantial degree. The combination of condensate phase behavior and rock relative permeability results in a composition change of the reservoir fluid, as heavier components separate into the dropped-out liquid while the flowing gas phase becomes lighter in composition. This effect has been sparsely recognized in the literature, although there is clear evidence of it in field observations. This work quantified the effect, developed a scientific un- derstanding of the phenomena, and used the results to investigate ways to enhance the productivity by controlling the liquid composition that drops out close to the well. By optimizing the producing pressure strategy, it should be possible to cause a lighter liquid to be condensed in the reservoir, after which the productivity loss would be more easily remedied. The research made use of experimental measurements of gas-condensate flow, as well as compositional numerical simulations. Different strate- gies have been compared, and the optimum producing sequences are suggested for maximum condensate recovery. Results show that composition varies significantly as a function of fluid phase behavior and producing sequence; condensate recovery can be improved with proper producing strategy, and productivity loss can be reduced by changing the producing sequence. This study can be used to determine the op- timum producing strategy when the well is brought into production and reduce the productivity loss caused by the condensate banking effect. v
  • 6.
  • 7.
    Acknowledgements During the lastsix and a half years, I have been assisted by many people. Most credit is due to my advisor, Professor Roland N. Horne, for his patience, encouragement and guidance throughout my research. All this work would not have come to fruition had it not been for his support. My sincere thanks are also extended to Professor Franklin M. Orr and Professor Anthony R. Kovscek for reading my dissertation, providing valuable comments, and serving on my defense committee. Many thanks to Professor Jennifer Wilcox for being a member of my examination committee. A large portion of this work has depended on the extensive use of Gas Chromatog- raphy from SUPRI-C laboratory and the financial aid of SUPRI-D Affiliates, Saudi Aramco and RPSEA are appreciated. I would also like to thank Dr. Tom Tang and Qing Chen for various helpful discussions I have had with each of them. To my parents, Yufang Zhou and Zhenghuang Shi, for their love and support. Especially my mother, she is such a great one. Although she did not receive any formal education, and could not read and write, she encouraged me to leave our small village to get better formal education. I thank my brother, ZhiYong Shi, for taking part of my responsibility to take care of our parents while I was far away and for making me realize other important things in life. Their unconditional support and love have guided me through each and every step along the way. I am especially thankful to my husband Yulin Jin who has been a colleague for two years, and is a constant source for help and great ideas. He is always closest to my joys and sorrows and always standing by me. vii
  • 8.
  • 9.
    Contents Abstract v Acknowledgements vii 1Introduction 1 1.1 Problem Statement . . . . . . . . . . . . . . . . . . . . . . . . . . . . 3 1.2 Dissertation Outline . . . . . . . . . . . . . . . . . . . . . . . . . . . 4 2 Concepts and Literature Review 7 2.1 Flow Behavior of Gas-Condensate Systems . . . . . . . . . . . . . . . 7 2.1.1 Constant Volume Depletion (CV D) and Constant Composition Expansion (CCE) . . . . . . . . . . . . . . . . . . . . . . . . 8 2.1.2 Differential Condensation (DC) . . . . . . . . . . . . . . . . . 9 2.1.3 Three Flow Regions . . . . . . . . . . . . . . . . . . . . . . . . 13 2.2 Literature Review . . . . . . . . . . . . . . . . . . . . . . . . . . . . . 16 3 Experimental Investigation 25 3.1 Experimental Design . . . . . . . . . . . . . . . . . . . . . . . . . . . 25 3.1.1 Design Principles . . . . . . . . . . . . . . . . . . . . . . . . . 25 3.1.2 Difference Between Static Values and Flowing Values . . . . . 26 3.1.3 Preexperiment Numerical Simulation . . . . . . . . . . . . . . 30 3.2 Experimental Apparatus . . . . . . . . . . . . . . . . . . . . . . . . . 37 3.2.1 Gas Supply and Exhaust . . . . . . . . . . . . . . . . . . . . . 39 3.2.2 Core Flow System . . . . . . . . . . . . . . . . . . . . . . . . 41 ix
  • 10.
    3.2.3 Fluid SamplingSystem . . . . . . . . . . . . . . . . . . . . . . 41 3.2.4 Data Acquisition System . . . . . . . . . . . . . . . . . . . . . 43 3.2.5 Gas Chromatography (GC) System . . . . . . . . . . . . . . . 43 3.2.6 CT system . . . . . . . . . . . . . . . . . . . . . . . . . . . . . 47 3.3 Experimental Procedures . . . . . . . . . . . . . . . . . . . . . . . . . 49 3.3.1 Gas Mixing . . . . . . . . . . . . . . . . . . . . . . . . . . . . 49 3.3.2 Core Flow Tests . . . . . . . . . . . . . . . . . . . . . . . . . . 52 3.3.3 Sampling from the Tubing Ports . . . . . . . . . . . . . . . . . 56 3.3.4 Composition Analysis . . . . . . . . . . . . . . . . . . . . . . . 57 3.3.5 X-ray Saturation analysis . . . . . . . . . . . . . . . . . . . . 59 3.4 Summary . . . . . . . . . . . . . . . . . . . . . . . . . . . . . . . . . 64 4 Experimental Results 65 4.1 Experimental Results . . . . . . . . . . . . . . . . . . . . . . . . . . . 65 4.1.1 Pressure Measurements . . . . . . . . . . . . . . . . . . . . . . 65 4.1.2 Compositional Measurements . . . . . . . . . . . . . . . . . . 73 4.1.3 Saturation Measurements . . . . . . . . . . . . . . . . . . . . 80 4.1.4 Apparent Permeability Measurements . . . . . . . . . . . . . . 82 4.2 Summary . . . . . . . . . . . . . . . . . . . . . . . . . . . . . . . . . 83 5 Gas-Condensate Flow Modeling 87 5.1 Theoretical Model . . . . . . . . . . . . . . . . . . . . . . . . . . . . . 87 5.2 Compositional Variation Behavior . . . . . . . . . . . . . . . . . . . . 91 5.2.1 The Impact of Relative Permeability Models . . . . . . . . . . 93 5.2.2 The Impact of Pressure . . . . . . . . . . . . . . . . . . . . . . 102 5.2.3 The Impact of Fluid Types . . . . . . . . . . . . . . . . . . . . 103 5.3 Simulation Model for Binary Gas-Condensate Systems . . . . . . . . 106 5.3.1 Model Setup . . . . . . . . . . . . . . . . . . . . . . . . . . . . 106 5.3.2 Simulation Results for Binary Gas-Condensate Systems . . . . 107 5.4 Simulation Model for MultiComponent Gas-Condensate Systems . . . 109 5.4.1 Model Setup . . . . . . . . . . . . . . . . . . . . . . . . . . . . 109 5.4.2 Simulation Results for MultiComponent Gas-Condensate Systems109 x
  • 11.
    5.5 Flow Optimizationwith Genetic Algorithm . . . . . . . . . . . . . . . 114 5.6 Summary . . . . . . . . . . . . . . . . . . . . . . . . . . . . . . . . . 121 6 Conclusions and Discussions 127 6.1 General Conclusions . . . . . . . . . . . . . . . . . . . . . . . . . . . 127 6.1.1 Theoretical Compositional Variation Models . . . . . . . . . . 127 6.1.2 Experimental Study of Gas-Condensate Flow in a Core . . . . 128 6.1.3 Numerical Simulation Study of Gas-Condensate Flow . . . . . 129 6.2 Possible Improvements and Future Work . . . . . . . . . . . . . . . . 130 A Core Scale Simulation Input File 131 B Field Scale MultiComponent Simulation Input File 139 C Field Scale Binary Simulation Input File 149 xi
  • 12.
  • 13.
    List of Tables 2.1Four gas-condensate systems with different compositions. . . . . . . . 17 2.2 Component composition variations for a Chinese field. (Yuan et al., 2003) . . . . . . . . . . . . . . . . . . . . . . . . . . . . . . . . . . . . 21 3.1 Gas Chromatographic Conditions. . . . . . . . . . . . . . . . . . . . . 45 3.2 CT scanner settings. . . . . . . . . . . . . . . . . . . . . . . . . . . . 49 3.3 Parameters for CT number calculation. . . . . . . . . . . . . . . . . . 63 5.1 Fluid characterization for a multicomponent gas-condensate system. . 113 xiii
  • 14.
  • 15.
    List of Figures 1.1Phase diagram of a typical retrograde (McCain, 1990). . . . . . . . . 2 2.1 A schematic of Constant Volume Depletion (CV D) process. . . . . . 9 2.2 PT diagram and liquid drop curve for system C1/nC4 = 0.85/0.15. . . 10 2.3 A schematic of Differential Condensation (DC) process. . . . . . . . . 11 2.4 Total composition znC4 and gas composition ynC4 profiles at T = 60o F for system C1/nC4 = 0.85/0.15. . . . . . . . . . . . . . . . . . . . . . 11 2.5 Total composition znC4 and gas composition ynC4 profiles at T = 190o F for system C1/nC4 = 0.60/0.40. . . . . . . . . . . . . . . . . . . . . . 12 2.6 PT diagram and liquid dropout curve for system C1/nC4 = 0.60/0.40. 12 2.7 Heavy and intermediate components profiles at T = 190o F for system C1/nC4/C10 = 0.60/0.25/0.15. . . . . . . . . . . . . . . . . . . . . . . 13 2.8 PT diagram and liquid dropout curve for system C1/nC4/C10 = 0.60/0.25/0.15. 14 2.9 Schematic gas-condensate flow behavior in three regions (Roussennac, 2001). . . . . . . . . . . . . . . . . . . . . . . . . . . . . . . . . . . . 14 2.10 PT diagrams for four gas-condensate systems. . . . . . . . . . . . . . 16 2.11 Liquid dropout curves for four gas-condensate systems at T = 200o F. 17 2.12 Vapor composition yC1 , yC4−6 , yC+2 7 and yC+3 7 for four gas-condensate systems at T = 200o F. . . . . . . . . . . . . . . . . . . . . . . . . . . 18 2.13 A typical production decline curve in the Whelan field (Lin and Finley, 1985). . . . . . . . . . . . . . . . . . . . . . . . . . . . . . . . . . . . 19 2.14 Profiles of component compositions for a Chinese field, (Yuan et al., 2003). . . . . . . . . . . . . . . . . . . . . . . . . . . . . . . . . . . . 22 xv
  • 16.
    3.1 Phase diagramfor a two-component methane-butane gas-condensate system (PVTi, 2003a, PR(1978) EoS). For this system, the critical tem- perature and the critical pressure are Tc = 6.3 o C and pc = 128.5 atm respectively. At room temperature, the system produces a moderate retrograde region. . . . . . . . . . . . . . . . . . . . . . . . . . . . . . 27 3.2 The difference of static values and flowing values in three regions. . . 29 3.3 Schematic of composition variation in the reservoir under different pres- sures and at different conditions. . . . . . . . . . . . . . . . . . . . . 29 3.4 Simulation results for BHP = 70 atm scenario. (a) C4 mole frac- tion profile in the flowing phase (b) Saturation distribution profiles at different flow times. . . . . . . . . . . . . . . . . . . . . . . . . . . . . 32 3.5 In-situ composition history of butane component in (a) Liquid phase and (b) The overall composition configuration. . . . . . . . . . . . . . 33 3.6 In-situ composition history for butane component during buildup test in (a) Liquid phase and (b) The overall composition configuration. . . 34 3.7 Saturation distribution in the core during buildup. . . . . . . . . . . . 35 3.8 In-situ composition history for butane component with different BHP control scenarios in (a) Liquid phase and (b) The overall composition configuration. . . . . . . . . . . . . . . . . . . . . . . . . . . . . . . . 36 3.9 Simulation results for different BHP control scenarios. (a)C4 mole fraction profiles in the flowing phase (b) Saturation distribution in the core. . . . . . . . . . . . . . . . . . . . . . . . . . . . . . . . . . . . . 38 3.10 Schematic diagram of the gas-condensate flow system. The confin- ing pressure is provided by a high pressure water pump and the gas- condensate mixture is stored in a piston cylinder, which is supported by a high pressure nitrogen cylinder to maintain the mixture pressure at 2200psi. Pressures along the core are monitored by the high pressure transducers and fluid samples are collected from the six ports along the core for composition analysis. . . . . . . . . . . . . . . . . . . . . . . 39 xvi
  • 17.
    3.11 Images ofthe experiment apparatus for the gas-condensate flow sys- tem. (a) Front view, the high pressure titanium core holder is in the foreground, this core holder has six ports along the core to allow for pressure monitoring and fluid sampling (b) Rear view, the sampling system and the pressure transducers are in the foreground. . . . . . . 40 3.12 Schematic and photograph of the gas sampling system. (a) Schematic diagram. The fluid sample is first stored in the one-meter long coil, then released to the sampling bag. (b) Photograph of the sampling system. . . . . . . . . . . . . . . . . . . . . . . . . . . . . . . . . . . . 42 3.13 Schematic diagram of the valve and column configuration in the GC (Parakh, 2007). . . . . . . . . . . . . . . . . . . . . . . . . . . . . . . 44 3.14 GC curve for a methane and butane mixture. The measurement shows good signal-to-noise ratio, and the baseline is also very stable. . . . . 46 3.15 The calibration curve for C4 measurements. The calibrated butane mole percentage is calculated by: zC4 c = 0.0084zC4 m2 + 0.198zC4 m. 47 3.16 Apparatus for x-ray CT scanning. . . . . . . . . . . . . . . . . . . . . 48 3.17 Butane vapor pressure curve. . . . . . . . . . . . . . . . . . . . . . . 50 3.18 Overview of the gas mixing process. (a) Vacuum and fill the piston cylinder with water (b) Displace water from the piston cylinder with specified volume (c) Discharge liquid butane into the piston cylinder (d) infill the piston cylinder with high pressure methane. . . . . . . . 53 3.19 Schematic of gas sampling directly from the cylinder with heat tape. . 57 3.20 Composition measurement with and without using the heat tape. (a) without using heat tape (b) with heat tape. . . . . . . . . . . . . . . . 58 3.21 Butane density as a function of pressure. . . . . . . . . . . . . . . . . 62 3.22 Methane density as a function of pressure. . . . . . . . . . . . . . . . 62 3.23 Apparatus for x-ray CT scanning. . . . . . . . . . . . . . . . . . . . . 63 3.24 CT image processing. . . . . . . . . . . . . . . . . . . . . . . . . . . . 64 4.1 Sampling pressure profiles for Experiment A. (a) Sampling without flow (b) Sampling during flow. . . . . . . . . . . . . . . . . . . . . . . 67 xvii
  • 18.
    4.2 Sampling pressureprofiles for Experiment B. (a) Sampling during flow (b) Sampling without flow. . . . . . . . . . . . . . . . . . . . . . . . . 68 4.3 Pressure profiles for Experiment C. (a) Flowing and sampling pres- sure profiles (b) Build-up pressure and the static pressure in the fully discharged core. . . . . . . . . . . . . . . . . . . . . . . . . . . . . . . 69 4.4 Pressure profiles for Experiment D. (a) Flowing and sampling pressures (b) Build-up pressure and pressure in the fully discharged core. . . . . 71 4.5 Pressure profile comparison of nitrogen flow and hydrocarbon flow. (a) Comparison of nitrogen flow run 1 and hydrocarbon Experiment A, C and D. (b) Comparison of nitrogen flow run 2 and hydrocarbon Experiment B. . . . . . . . . . . . . . . . . . . . . . . . . . . . . . . . 72 4.6 Density and viscosity of nitrogen at T = 20◦ C (a) Density vs. Pressure (b) Viscosity vs. Pressure. . . . . . . . . . . . . . . . . . . . . . . . . 74 4.7 Density and viscosity of methane and butane mixture (C1/C4 = 85%/15%) at T = 20◦ C (a) Density vs. Pressure (b) Viscosity vs. Pressure. . . . 75 4.8 Apparent permeability ratios for nitrogen and hydrocarbon flow (ki/k1, scaled with the apparent permeability at location 90mm.). . . . . . . 76 4.9 Butane mole percentage profiles with samples collected in Experiment A during flow with constant pressure drop. . . . . . . . . . . . . . . . 77 4.10 Butane mole percentage profiles with samples collected in Experiment B during flow with constant pressure drop. . . . . . . . . . . . . . . . 78 4.11 Butane mole fraction profiles with samples collected in Experiment C immediately after the flow with constant pressure drop. . . . . . . . . 79 4.12 Butane mole fraction profiles with (a) samples collected immediately in Experiment D after the flow with constant pressure drop (b) Samples collected after nitrogen injection into the naturally depleted core. . . 81 4.13 Butane mole fraction in the exit flow with nitrogen injection (Experi- ment D). . . . . . . . . . . . . . . . . . . . . . . . . . . . . . . . . . . 82 xviii
  • 19.
    4.14 CT imagesof the core saturated with (a) liquid butane (b) gas methane (c) the mixture of methane and butane and (d) the difference between liquid butane and gas methane and (e) the difference between liquid butane and the mixture of methane and butane at l = 74mm. . . . . 83 4.15 A saturation profile from CT image interpretation. . . . . . . . . . . 84 4.16 Pressure profile in the core during x-ray CT scanning. . . . . . . . . . 84 4.17 PT diagram for binary component C1/C4 = 63%/37%. . . . . . . . . 85 4.18 Apparent permeability measurements for nitrogen flow. . . . . . . . . 85 5.1 PT diagram of methane-butane systems. The reservoir temperature is 60 o F. At reservoir temperature, the fluid with 15% butane is a lean gas-condensate system, the fluid with 20% butane is near critical gas-condensate, while the fluid with 25% Butane is light oil. . . . . . 93 5.2 CVD liquid dropout curves for three fluids at temperature 60 o F. At reservoir temperature, the fluid with 15% butane is an lean-intermediate gas-condensate system, having a maximum liquid drop of 10.9%; the fluid with 20% butane is near critical gas-condensate with a maximum liquid drop of 31.4%; the fluid with 25% Butane is light oil with 100% oil in reservoir condition. . . . . . . . . . . . . . . . . . . . . . . . . . 94 5.3 Interfacial tension (IFT) as a function of pressure. IFT is independent of fluid type and decreases with increasing pressure. . . . . . . . . . . 96 5.4 Different relative permeability curves for a binary methane and butane system with 25% butane. krc(IFT) and krg(IFT) are IFT corrected relative permeability; krci and krgi are relative permeability curves with immiscible treatment and krcm and krgm are miscible treatment of relative permeabilities. . . . . . . . . . . . . . . . . . . . . . . . . 97 5.5 IFT corrected relative permeability curves for binary methane and butane systems with 15% butane, 20% butane and 25% butane. . . . 98 5.6 Variation of term Ln(mi/m) with pressure for a methane-butane sys- tem (zC4 = 0.15) with different relative permeability models. . . . . . 99 xix
  • 20.
    5.7 Variation ofterm Ln(mi/m) with pressure for a methane-butane sys- tem (zC4 = 0.20) with different relative permeability models. . . . . . 99 5.8 Variation of term Ln(mi/m) with pressure for a methane-butane sys- tem (zC4 = 0.25) with different relative permeability models. . . . . . 100 5.9 Variation of term AC4 with pressure for a methane-butane system (zC4 = 0.15) with different relative permeability models. . . . . . . . . . . 100 5.10 Variation of term AC4 with pressure for a methane-butane system (zC4 = 0.25) with different relative permeability models. . . . . . . . . . . 101 5.11 Variation of term BC4 with pressure for a methane-butane system (zC4 = 0.15) with different relative permeability models. . . . . . . . . . . 101 5.12 Variation of term BC4 with pressure for a methane-butane system (zC4 = 0.25) with different relative permeability models. . . . . . . . . . . 102 5.13 Variation of term G with pressure for a methane-butane systems with different compositions. . . . . . . . . . . . . . . . . . . . . . . . . . . 104 5.14 Variation of term AC4 with pressure for methane-butane systems with different compositions. . . . . . . . . . . . . . . . . . . . . . . . . . . 104 5.15 Variation of term BC4 with pressure for methane-butane systems with different compositions. . . . . . . . . . . . . . . . . . . . . . . . . . . 105 5.16 History profiles of (a) The accumulated gas production (WGPT (b) Well bottom hole pressure (WBHP) and (c) Gas production rate (WGPR) for a binary gas-condensate system. . . . . . . . . . . . . . 110 5.17 Overall butane mole fraction zC4 profiles. (a) Overall butane mole fraction BzC4 profiles in the well block vs. the well block pressure. (a) Overall butane mole fraction WzC4 profiles in the producing fluid vs. BHP. . . . . . . . . . . . . . . . . . . . . . . . . . . . . . . . . . . . 111 5.18 Overall butane mole fraction zC4 history profiles. (a) History of the overall butane mole fraction BzC4 in the well block. (a) History of the overall butane mole fraction WzC4 profiles in the producing fluid. . . 112 5.19 History profiles of (a) The accumulated gas production (WGPT (b) Well bottom hole pressure (WBHP) and (c) Gas production rate (WGPR for a multicomponent gas-condensate system. . . . . . . . . 115 xx
  • 21.
    5.20 Overall butanemole fraction zC+ 7 profiles. (a) Overall butane mole fraction BzC+ 7 profiles in the well block vs. the well block pressure. (a) Overall butane mole fraction WzC+ 7 profiles in the producing fluid vs. BHP. . . . . . . . . . . . . . . . . . . . . . . . . . . . . . . . . . . . 116 5.21 Overall butane mole fraction zC+ 7 history profiles. (a) History of the overall butane mole fraction BzC+ 7 in the well block. (a) History of the overall butane mole fraction WzC+ 7 profiles in the producing fluid. . . 117 5.22 Computation procedure for Genetic Algorithm. . . . . . . . . . . . . 118 5.23 History profiles of (a) The accumulated gas production (WGPT (b) Well bottom hole pressure (WBHP) and (c) Gas production rate (WGPR for the top three WBHP GA optimized scenarios. . . . . . 120 5.24 Overall butane mole fraction zC4 profiles. (a) Overall butane mole fraction BzC4 profiles in the well block vs. the well block pressure. (a) Overall butane mole fraction WzC4 profiles in the producing fluid vs. BHP for the top three WBHP GA optimized scenarios. . . . . . . . 121 5.25 Overall butane mole fraction zC4 history profiles. (a) History of the overall butane mole fraction BzC4 in the well block. (a) History of the overall butane mole fraction WzC4 profiles in the producing fluid for the top three WBHP GA optimized scenarios. . . . . . . . . . . . . . 122 5.26 History profiles of (a) The accumulated gas production (WGPT (b) Well bottom hole pressure (WBHP) and (c) Gas production rate (WGPR for the top three WGPR GA optimized scenarios. . . . . . . 123 5.27 Overall butane mole fraction zC4 profiles. (a) Overall butane mole fraction BzC4 profiles in the well block vs. the well block pressure. (a) Overall butane mole fraction WzC4 profiles in the producing fluid vs. BHP for the top three WGPR GA optimized scenarios. . . . . . . . 124 5.28 Overall butane mole fraction zC4 history profiles. (a) History of the overall butane mole fraction BzC4 in the well block. (a) History of the overall butane mole fraction WzC4 profiles in the producing fluid for the top three WGPR GA optimized scenarios. . . . . . . . . . . . . . 125 xxi
  • 22.
  • 23.
    Chapter 1 Introduction Gas-condensate reservoirsrepresent an important source of hydrocarbon reserves and have long been recognized as a reservoir type, possessing the most intricate flow and complex thermodynamic behaviors. Gas-condensate reservoirs are characterized by producing both gas and condensate liquid at surface. Typical retrograde condensate reservoirs produce gas/liquid ratios of approximately 3-150 MCF/STB (McCain, 1990), or condensate surface yields ranging from 7 to 333 STB/MMCF. The added economic value of produced condensate liquid, in addition to gas production, makes the recovery of condensate a key consideration in the development of gas-condensate reservoirs. The phase diagram of a gas-condensate system has a critical temperature less than the reservoir temperature and a cricondentherm greater than the reservoir temper- ature (see Figure 1.1). The gas-condensate reservoir is initially gas at the reservoir condition, point 1, and as the reservoir pressure decreases below the dewpoint, point 2, liquid condenses from gas and forms a “ring” or “bank” around the producing well in the near-well region. Normally this liquid will not flow until the accumulated con- densate saturation exceeds the critical condensate saturation (Scc) due to the relative permeability and capillary pressure effects in the porous medium. Once the reservoir pressure drops below the dewpoint, a pressure-drop occurs during production which tends to form condensate banking (also known as the condensate blockage effect) around the well. This causes a loss in productivity. As the reservoir pressure further 1
  • 24.
    2 CHAPTER 1.INTRODUCTION Figure 1.1: Phase diagram of a typical retrograde (McCain, 1990). draws down to lower pressure, point 3, the liquid begins to revaporize in a PVT cell experiment. However, the revaporization may not take place in the reservoir because the overall composition of the reservoir fluid changed during production. As a conse- quence of the composition variation, the total concentration of the heavy component in the reservoir fluid will be higher than that of the original reservoir fluid. This leads to the recovery problem associated with the heavier components, which are usually not easy to recover once stuck in the reservoir. Condensate blockage near the well may cause a significant loss in well productiv- ity for low-to-moderate permeability high-yield condensate reservoirs since the main source for pressure loss in the tight reservoir depends primarily on reservoir perme- ability. Several other factors, including initial productivity, amount of near wellbore liquid saturation due to condensation, phase behavior of well block fluid and how the well is being produced (different producing pressure schemes) appear to influence the observed level of productivity decline. A better understanding of how the condensate accumulation influences the productivity and the composition configuration in the
  • 25.
    1.1. PROBLEM STATEMENT3 liquid phase is very important to optimize the producing strategy for gas-condensate reservoirs, to reduce the impact of condensate banking, and to improve the ultimate gas and condensate recovery. 1.1 Problem Statement This research studied the well deliverability (productivity) issue associated with con- densate blockage effect with an emphasis on flow behavior analysis. Although exten- sive research and development have been performed in this general area, there still exist many important and outstanding issues. Specifically, this work focused on the following aspects: • Composition variation. The objective of this work was to study how the com- positions of heavy components of a gas condensate system change with time around production wells during depletion, and how the rate of the composition variation influences the fluid thermodynamic properties, and hence, defines the dynamic phase diagram of the fluid in the reservoir. It should be noted that the extent or even the existence of compositional changes has been noted in the literature rather infrequently, which is an indication that the importance of this phenomenon has not been fully recognized. • Dynamic condensate saturation build-up. Due to compositional variation and relative permeability constraints, the condensate saturation build-up is a dy- namic process and varies as a function of time, place (distance to wellbore) and phase behavior. In this work, we conducted CT experiments to investigate how the liquid accumulates and distributes in a core. • Producing schemes. Different producing strategies may impact the composition configuration for both flowing and static phases and the amount of the liquid trapped in the reservoir, which in turn may influence the well productivity and hence the ultimate gas and liquid recovery from the reservoir. Changing the manner in which the well is brought into flowing condition can affect the liquid
  • 26.
    4 CHAPTER 1.INTRODUCTION dropout composition and can therefore change the degree of productivity loss. In this study, we conducted parametric studies to identify the most influential reservoir and fluid characteristics in the establishment of optimum gas produc- tion and condensate recovery for the exploitation of gas-condensate reservoirs. 1.2 Dissertation Outline This dissertation proceeds as follows. Chapter 2 presents a literature review on con- densate blockage effect around the well and the associated impairment in gas produc- tivity and condensate recovery. The chapter includes advantages and limitations of existing techniques and some outstanding issues are discussed. Chapter 3 describes a core flooding experiment with two-component synthetic gas- condensate, designed and constructed to model gas-condensate production behavior from pressure above the dew-point to below. This experimental equipment was con- structed to allow detailed and accurate measurements of real time pressure and in situ composition of the flowing fluid along the core. Experimental observations are discussed in Chapter 4. Five example experiments on the binary gas-condensate system demonstrate and confirm the compositional variation in the gas-condensate flow, even in the constant pressure-drop flow case. In the first part of Chapter 5, a general form of material balance equation for con- densate flow in porous media was developed for both one-dimensional linear flow and three-dimensional radial flow of two-phase gas-condensate fluid through porous me- dia, with the effect of interfacial tension. The compositional variation of the reservoir fluid, especially the heavier component of the fluid, around the well during conden- sate dropout was analyzed. Key parameters that influence the compositional be- havior were also discussed in detail. The theoretical models provide tools to better understand the momentary compositional variation in the reservoir. In the second part of this chapter, compositional simulations of binary-component and multicom- ponent gas-condensate fluids were designed and conducted at field scale to investigate the composition and condensate saturation variations. Different producing strategies
  • 27.
    1.2. DISSERTATION OUTLINE5 were tested to fathom the optimum producing sequences for maximum gas and con- densate recovery. By taking into account the new understanding of the impact of compositional changes, the composition of the liquid dropout can be “controlled” by the production strategy (for example by dropping a lighter liquid in preference to a heavier one). Hence the recovery from gas reservoirs, especially tight ones, with condensate fluids can be improved. Chapter 6 summarizes the results of this work and provides some insight into possible future research in experimental study for gas-condensate flow.
  • 28.
    6 CHAPTER 1.INTRODUCTION
  • 29.
    Chapter 2 Concepts andLiterature Review The flow behavior of a gas-condensate system depends on both the phase envelope of the fluid and the conditions of the reservoir (such as pressure, temperature and rock properties etc.). Due to compositional variation and relative permeability constraints, the build-up of condensate saturation around the well is a dynamic process and varies as a function of time, place (distance to wellbore) and phase behavior. In this chapter, we explore several key concepts about the flow behavior of the gas-condensate system and define the prospective issues for this study. Previous research on these issues will be reviewed. 2.1 Flow Behavior of Gas-Condensate Systems To analyze the flow behavior of a gas-condensate system, we first need to understand the difference between the values of static and flowing properties. The static values are for in-situ fluid properties defined at a specific reservoir location at a given time, while the flowing values are associated with the properties of the flowing fluids. In reservoir simulations static values will refer to the property values of a given grid block at a given time, while in laboratory experiments and field sampling cases, the sample collected at the wellhead only comes from the flowing phase. Hence, compositions of the wellhead samples will not be the same as the overall compositions in the reservoir or the static values in reservoir simulations, although they can indicate the changes 7
  • 30.
    8 CHAPTER 2.CONCEPTS AND LITERATURE REVIEW of flow property variations in the reservoir. 2.1.1 Constant Volume Depletion (CV D) and Constant Com- position Expansion (CCE) Gas-condensate fluid is investigated primarily using Constant Composition (Mass) Expansion (CCE/CME) to obtain the dewpoint and Constant Volume Depletion (CV D) to simulate reservoir production behavior. CCE is also called flash vapor- ization and is simulated by expansion of a mixture with a fixed composition (zi) in a series of pressure steps. During the CCE experiment, no gas or liquid is removed from the cell, and at each step, the pressure and total volume of the reservoir fluid (oil and gas) are measured. As the name CCE implies, the reservoir fluid composition does not change during the production process. However,in a reservoir the heavier component drops out to the reservoir during production as condensation develops in the reservoir and this will definitely alter the configuration of the fluid composition in the reservoir. In the CV D procedure (as shown in Figure 2.1), the sample of reservoir liquid in the laboratory cell is brought to the dewpoint pressure, and the temperature is set to the reservoir temperature. Pressure is reduced by increasing the cell volume. Part of the gas is expelled from the cell until the volume of the cell equals the volume at the dewpoint. The process is repeated for several pressure steps and the liquid volume at each pressure(V L T ) is recorded and liquid dropout(V L T /V dew T ) is calculated. The CV D experiment is a good representation of the reservoir depletion only if the condensate phase is totally immobile, which is not true if condensate saturation ex- ceeds the critical condensate saturation (SCC) and part of the condensate can flow in the porous medium. At the same time, the liquid dropout estimation from the CV D experiment does not account for the condensate buildup in the reservoir; hence it cannot indicate the maximum possible condensate accumulation in the reservoir. Taking a binary system C1/C4 for example, the maximum liquid dropout is less than 10% from the CV D experiment (Figure 2.2), however, reservoir simulation shows that the condensate saturation can be as high as 57.5%, as will be discussed in more
  • 31.
    2.1. FLOW BEHAVIOROF GAS-CONDENSATE SYSTEMS 9 Figure 2.1: A schematic of Constant Volume Depletion (CV D) process. detail in Chapter 3. 2.1.2 Differential Condensation (DC) Heavier components separate into the dropped-out liquid while the flowing gas phase becomes lighter in composition. By checking the wellhead fluid sample, we can in- vestigate how the composition change with time. Differential Condensation (DC) is a procedure assumed in this study to investigate the composition variation at the wellhead. In the DC experiment (as shown in Figure 2.3), the sample of reservoir gas in the laboratory cell is first brought to the dewpoint pressure, and the temperature is set to the reservoir temperature. Next, pressure is reduced by increasing the cell volume. Then all the liquid is expelled from the cell while pressure is held constant by reducing the cell volume. The process is repeated in steps until atmospheric pressure is reached. Liquid and vapor compositions are analyzed at each pressure step. In this procedure no condensate is mobile during production, which may underestimate the heavy component recovery at the surface since in reality part of the condensate phase can flow once the accumulated condensate saturation exceeds the critical condensate
  • 32.
    10 CHAPTER 2.CONCEPTS AND LITERATURE REVIEW Figure 2.2: PT diagram and liquid drop curve for system C1/nC4 = 0.85/0.15. saturation. However, this experiment can tell us how much of the heavier component would be trapped in the reservoir in the worst case. Different from CCE (or flash vaporization), the overall fluid composition in the DC procedure varies as we keep removing the liquid phase from the mixture. Comparing the regular flash vaporization and the DC procedure (Figure 2.4), in the example fluid 0.85 C1 and 0.15 C4 we can find that as much as 7.6% (over 15% original) of the heavy component butane can fail to reach the surface if no condensate is brought to flow. Similarly, also about 6.4% (over 40% original) butane (Figure 2.5) can be lost from a richer gas-condensate system C1/nC4 = 0.60/0.40 (Figure 2.6). The extent of heavy component lost seems less severe in the rich gas-condensate case in this example. Figure 2.7 shows the comparison of the DC and flash results for a rich three- component gas-condensate system, with the PT diagram and liquid drop-out curve shown in Figure 2.8. Similar to the simple binary system, both heavy component decane and intermediate component butane are lost to production in the DC proce- dure. In terms of liquid dropout, the richer three-component system C1/nC4/C10 = 0.60/0.25/0.15 has the least heavy component loss given no condensate flow in the
  • 33.
    2.1. FLOW BEHAVIOROF GAS-CONDENSATE SYSTEMS 11 Figure 2.3: A schematic of Differential Condensation (DC) process. Figure 2.4: Total composition znC4 and gas composition ynC4 profiles at T = 60o F for system C1/nC4 = 0.85/0.15.
  • 34.
    12 CHAPTER 2.CONCEPTS AND LITERATURE REVIEW Figure 2.5: Total composition znC4 and gas composition ynC4 profiles at T = 190o F for system C1/nC4 = 0.60/0.40. Figure 2.6: PT diagram and liquid dropout curve for system C1/nC4 = 0.60/0.40.
  • 35.
    2.1. FLOW BEHAVIOROF GAS-CONDENSATE SYSTEMS 13 Figure 2.7: Heavy and intermediate components profiles at T = 190o F for system C1/nC4/C10 = 0.60/0.25/0.15. reservoir. 2.1.3 Three Flow Regions According to Fevang (1995), fluids flowing toward a producing well in a gas-condensate reservoir during depletion can be divided into three main flow regions, as shown in Figure 2.9: • Single-phase gas region 3: A region that is far away from the well and has reservoir pressure higher than the dewpoint, and hence only contains single- phase gas. • Condensate buildup region 2: A region where reservoir pressure drops below the
  • 36.
    14 CHAPTER 2.CONCEPTS AND LITERATURE REVIEW Figure 2.8: PT diagram and liquid dropout curve for system C1/nC4/C10 = 0.60/0.25/0.15. Figure 2.9: Schematic gas-condensate flow behavior in three regions (Roussennac, 2001).
  • 37.
    2.1. FLOW BEHAVIOROF GAS-CONDENSATE SYSTEMS 15 dewpoint, and condensate drops out in the reservoir. However, the accumulated condensate saturation is not high enough for the liquid phase to flow. Therefore, the flowing phase in this region still contains only the single gas phase, and the flowing gas becomes leaner as the heavier component drops into the reservoir. • Near well region 1: An inner near-well region where reservoir pressure drops further below the dewpoint, the critical condensate saturation is exceeded, and part of the condensate buildup becomes mobile. The mobility of the gas phase is greatly impaired due to the existence of the liquid phase. Both the CV D and DC procedures assume that the accumulated condensate is totally immobile in the reservoir. However, as we can infer from Figure 2.9, the con- densate buildup in region 1 can flow if the accumulated condensate in this region is sufficient to overcome the relative permeability constraint (immobile liquid satura- tion). The liquid-phase flow alleviates the heavy component loss at the surface to some extent, but because of the coexistence of gas and liquid phases, the gas mobility is greatly impaired. The composition of reservoir fluid becomes complex as part of the liquid participates in the flow. Figure 2.10 shows four different composition scenarios in a reservoir as reservoir pressure drops below dewpoint. Compositions 1, 2, 3 and 4 (Table 2.1) correspond to reservoir pressures p1, p2, p3 and p4 respectively. As the reservoir pressure drops, the PT diagram changes significantly from a relatively lean gas-condensate system (Composition 1), to a richer system (Composition 2) and then finally to a volatile oil system (Composition 3). The CV D experiment estimation (Figure 2.11) shows a great increase of the liquid volume percentage as the reservoir depletes. Figure 2.12 shows the vapor phase composition profile for light component C1, intermediate component C4−6 and heavy component C+2 7 and C+3 7 for scenarios of different fluid configurations in the reservoir. Note that although there are dramatic changes in the PT diagram, the heavy components C+2 7 and C+3 7 in the vapor phase vary little as the reservoir pressure drops below 2200 psi.
  • 38.
    16 CHAPTER 2.CONCEPTS AND LITERATURE REVIEW Figure 2.10: PT diagrams for four gas-condensate systems. 2.2 Literature Review In this section, we review previous work on the issue of condensate buildup, since it is the primary factor causing the decrease in the relative permeabilities and thus reduc- ing the well-deliverability in gas-condensate reservoirs. Factors controlling condensate blockage can be classified in different ways. As will be discussed later, among many contributing parameters, the phase behavior, the relative permeability and the well producing scheme are three of the most important aspects for both understanding the dynamic condensate banking and developing the optimum strategies for the recovery of both gas and condensate. We therefore present this literature review primarily based on these three factors.
  • 39.
    2.2. LITERATURE REVIEW17 Table 2.1: Four gas-condensate systems with different compositions. Component Composition 1 Composition 2 Composition 3 Composition 4 N2 1.210 1.174 1.103 0.977 CO2 1.940 1.752 1.558 1.438 C1 65.990 61.577 56.161 50.645 C2 8.690 8.694 8.511 7.598 C3 5.910 6.217 6.534 6.130 C4−6 9.670 11.228 13.385 14.804 C+1 7 4.745 6.306 8.628 12.370 C+2 7 1.515 2.588 3.556 5.339 C+3 7 0.330 0.463 0.565 0.698 Figure 2.11: Liquid dropout curves for four gas-condensate systems at T = 200o F.
  • 40.
    18 CHAPTER 2.CONCEPTS AND LITERATURE REVIEW Figure 2.12: Vapor composition yC1 , yC4−6 , yC+2 7 and yC+3 7 for four gas-condensate systems at T = 200o F. The effect of condensate blocking on well productivity is a broad and active re- search area that has attracted many researchers, including Fussell (1973), Hinchman and Barree (1985), Aziz (1985), Clark (1985) and Vo et al. (1989). The productiv- ity loss caused by condensate buildup is striking. According to Whitson (2005), in some cases, the decline can be as high as a factor of 30. Several examples of severe productivity decline are available in the literature such as Engineer (1985), Duggan (1972), Allen and Roe (1950), Abel et al. (1970) and Afidick et al. (1994) etc. Even in very lean gas-condensate reservoirs with a maximum liquid dropout of only 1%, the
  • 41.
    2.2. LITERATURE REVIEW19 Figure 2.13: A typical production decline curve in the Whelan field (Lin and Finley, 1985). productivity may be reduced by a factor of about two as the pressure drops below the dewpoint pressure (Fevang and Whitson, 1996). Barnum et al. (1995) reviewed data from 17 fields, conducted a survey on field examples from Exxon and other published industrial cases, and concluded that a severe drop in gas recovery occurs primarily in low productivity reservoirs with a permeability-thickness below 1000 md − ft. In a tight gas reservoir, Figure 2.13 shows the typical production decline line curve in the Whelan field (Lin and Finley, 1985), which has an average permeability of 0.153md and 70 percent of the producing wells have permeabilities less than 0.1md. The gas productivity of this tight gas field is reduced by a factor of about 10. In contrast, there are no reported examples of severe decline from high productivity formations. Similarly, most wells producing from gas caps below the saturation pressures do not experience significant declines, perhaps because of the relatively low liquid content of the gas in most associated gas caps. It has been recognized in the literature that the relative permeability does impact the degree of productivity loss below the dewpoint. Hinchman and Barree (1985)
  • 42.
    20 CHAPTER 2.CONCEPTS AND LITERATURE REVIEW showed how the choice between the imbibition and the drainage relative permeabil- ity curves used in the numerical reservoir simulations could dramatically alter the productivity forecast for gas-condensate reservoirs below the dewpoint pressure. Fevang and Whitson (1996) addressed the well deliverability problem in their gas-condensate modeling, in which they observed that the impairment of the well deliverability resulting from the near well-bore condensate blockage effect depends on the phase behavior, absolute and relative permeabilities, and how the well is being produced. According to Fevang and Whitson (1996), the well deliverability impairment resulting from the near well-bore condensate blockage depends on the relative permeability, especially for gas and oil relative permeability ratios (krg/kro) ranging from 0.05 to 0.3. In their well deliverability calculations, Fevang and Whitson (1996) approximated the condensate saturation in Region 2 with the liquid dropout curve from a CV D experiment. This approximation, however, did not account for the condensate accumulation and the variations of the overall compositions in the reservoir caused by the liquid build-up, hence it can not accurately estimate the well deliverability for the condensate blockage effect. Unfortunately, at this time we do not have a demonstrated capability in the indus- try to measure the relative permeabilities at reservoir conditions for gas-condensate systems. Most of the available work has concentrated on the measurement of the endpoints of the relative permeability curves. A variety of laboratory work is still underway in both academia and the industry to try to understand the nature of the relative permeability relationships for gas-condensate systems. Variations of the fluid flow properties at the time of discovery have also been ob- served and discussed for many reservoirs around the world (examples include Riemens and de Jong (1985) for Middle Eastern reservoirs and Schulte (1980) for North Sea reservoirs). Lee (1989) also presented an example to show the variation of the com- position and the saturation of a gas-condensate system due to the influences of the capillary and gravitational forces. The composition change has also been observed in the field (Yuan et al., 2003). Table 2.2 shows fluid samples for Well K401 and Well K233, from the Kekeya gas field in China. These two wells are from the same reser- voir and close in location. Three fluid samples were collected in this reservoir: one
  • 43.
    2.2. LITERATURE REVIEW21 Table 2.2: Component composition variations for a Chinese field. (Yuan et al., 2003) Compononent Well K401 @ initial Well K233(mol%) Well K233(mol%) reservoir condition (mol%) Year 1995 Year 1999 C1 + N2 77.280 83.86 86.08 C2 7.935 7.78 9.30 C3 3.126 2.38 2.60 C4 2.505 1.52 0.65 C5+ 8.909 4.40 1.31 from well K401, showing the initial reservoir condition, and the other two from Well K233, collected four years apart. We can see clearly that as the reservoir pressure drops, the produced fluid become leaner and leaner. Two other observations from the same field are shown in Figure 2.14. Before the gas cycling, the fluid samples from both wells grow leaner in heavy components. Furthermore, because the flowing fluid becomes lighter, the liquid trapped in the reservoir ends up being richer in the heavy components and therefore the blockage is more difficult to remedy because it will not revaporize. Roussennac (2001) illustrated the compositional change during the depletion in his numerical simulation. According to Roussennac (2001), during the drawdown period, the overall mixture close to the well becomes richer in heavy components as the liquid builds up in the well grid cell, and the fluid behavior changes from the initial gas-condensate reservoir to that of a volatile/black oil reservoir. To characterize the condensate banking dynamics, Wheaton and Zhang (2000) presented a general theoretical model to show how the compositions of the heavy components in a gas-condensate system change with time around the production wells during depletion. According to Wheaton and Zhang’s model, the rate of change in heavy component composition is higher for a rich gas-condensate system than for a lean gas-condensate system for the same reservoir, and the condensate banking problem is particularly acute for low-permeability high-yield condensate systems.
  • 44.
    22 CHAPTER 2.CONCEPTS AND LITERATURE REVIEW Figure 2.14: Profiles of component compositions for a Chinese field, (Yuan et al., 2003). Bengherbia and Tiab (2002) also demonstrated in their study that both the pro- duction history and the simulation prediction show an increase in lighter components in the flowing phase once the pressure drops below the dewpoint, but it is still not clear how the compositions vary with time and space and how the composition change affects the gas production and the condensate recovery. The well producing scheme may impose significant impacts on the phase behavior. However, the manner by which the producing scheme influences the phase behavior has not yet been sufficiently addressed. Recently, the work of Ayala et al. (2007) shows major progress in tackling problems related to the production optimization. Ayala et al. (2007) conducted parametric studies with the neurosimulation technique to identify the most influential reservoir and fluid characteristics in the establishment of the optimum production strategies for a gas-condensate system. Eight different input variables investigated in their study were: permeability, porosity, drainage area, thickness, pressure ratio of pwf /pi, bottomhole pressure, initial drawdown and initial
  • 45.
    2.2. LITERATURE REVIEW23 reservoir pressure. The advantage of the artificial-neural-network (ANN) is that it provides a screening tool for a variety of gas-condensate reservoirs. With the aid of such a tool, the engineer would be able to evaluate the viability of profitable production without resorting to costly full-scale simulations. In addition, once the possibility of the profitable production has been confirmed, the expert system could be used to establish the best production scheme to be implemented for the field development. Other parameters, such as the relative permeability and the phase behavior, are also key to the production strategy and have not yet been investigated so far; hence they need to be addressed in future parametric studies. In spite of the numerous methods proposed for measuring the relative permeability, investigating the phase behavior and optimizing the condensate recovery for gas-condensate systems, there is still no completely general approach for phase behavior analysis, especially for the effect of compositional variations on gas-condensate systems. The flowing phase behavior is influenced directly by the relative permeability and defines the conden- sate recovery schemes of gas-condensate systems. Accordingly, this work focused on flowing phase behavior and the impact of flowing composition changes.
  • 46.
    24 CHAPTER 2.CONCEPTS AND LITERATURE REVIEW
  • 47.
    Chapter 3 Experimental Investigation Inthis chapter, we present our work on the experimental study of a synthetic binary gas-condensate flow in a Berea sandstone core. The core-flooding experiment is di- rectly analogous to the flow in a reservoir. The compositional behavior during the core flow and the factors that influencing the compositional distribution are studied and discussed. It is important to keep in mind that the experiment has been designed to simulate reservoir conditions using a synthetic gas-condensate fluid. Gas-condensate fluids from real reservoirs are much more complicated than the binary fluids used here, so the analogy here is only a simplified one. However, the apparatus is useful for indicating compositional features of a gas-condensate flow in porous media. 3.1 Experimental Design 3.1.1 Design Principles To investigate the composition change resulting from condensation due to the pressure variation and the condensate hold-up due to relative permeability effect, we needed to select an appropriate gas-condensate mixture to conduct the core flooding experiment. In this study, we chose a binary component gas-condensate mixture based on the following principles: 25
  • 48.
    26 CHAPTER 3.EXPERIMENTAL INVESTIGATION • The mixture should be easy to handle in the laboratory, thus two to four com- ponents are preferred; • The critical temperature of the mixture should be below 20 o C, which makes the experiment easy to perform at room temperature, and the critical pressure should be relatively low, so it can be conducted within a safe pressure range; • A broad condensate region is desirable in order to achieve considerable conden- sate dropout during the experiment; • Gas and liquid should show large discrepancies in density so as to be easily distinguished by X-ray CT imaging. Figure 3.1 shows the phase envelope for a binary gas-condensate mixture which satisfies the four principles mentioned above. This system is composed of a mix of 85% methane and 15% butane. At a temperature of 20 o C and a pressure from 130 atm to 70 atm, this phase diagram has a good retrograde region. 3.1.2 Difference Between Static Values and Flowing Values Numerical simulation models can provide relatively fast and inexpensive estimates of the performance of alternative system configurations and/or alternative operating procedures. Hence, some preliminary numerical simulations were performed prior to the experiment to investigate possible operating schemes. To use the simulation re- sults properly, it is important to understand the difference between simulation and experiment outputs, especially the static and flowing parameter values in each set- ting. The static values are properties, such as saturation and compositions of each component, at a given reservoir location, while the flowing values are only associated with the property of the flowing fluid at this given location and a given time. In the reservoir simulation, static values will refer to the property values of a given grid block at a given time, while in experiment and field cases, samples collected come from the flowing phase only. Due to the constraints of relative permeability and interfacial tension, only the gas and some part of the liquid is mobile, hence the component
  • 49.
    3.1. EXPERIMENTAL DESIGN27 Figure 3.1: Phase diagram for a two-component methane-butane gas-condensate sys- tem (PVTi, 2003a, PR(1978) EoS). For this system, the critical temperature and the critical pressure are Tc = 6.3 o C and pc = 128.5 atm respectively. At room temperature, the system produces a moderate retrograde region. composition of the flowing phase is generally different from the static values in the two-phase region. The discrepancy between the static values and flowing values de- pends on the flow region, as shown in Figure 3.2. In Region1, the flow pressure is still above the dewpoint pressure, only the single-phase gas flow is present, hence the static values and flowing values in Region1 will be the same. In Region2, the flow pressure drops below the dewpoint pressure, liquid forms, drops out from the gas phase and accumulates in the reservoir. However, the accumulated liquid saturation is not sufficient to overcome the constraint of relative permeability, the liquid remains immobile. Thus unlike Region1, the property values in the flowing phase in this re- gion will differ from the static values. In Region3, the accumulated liquid saturation exceeds the critical liquid saturation, part of the liquid starts to join the flowing gas phase and would be produced at the wellhead (Figure 3.3). Thus in Region3, the
  • 50.
    28 CHAPTER 3.EXPERIMENTAL INVESTIGATION static and flowing phase fluid properties will differ. In the simulation, the overall hydrocarbon component mole fractions at the separator are calculated based on the mass balance, as given by Eq. 3.1, then a flash calculation is performed at separator condition and fixed zc to determine the hydrocarbon component mole fraction in the liquid phase (xc) and in the vapor phase (yc) respectively. zc = QWH c /Mwc nh i=1 QWH i /Mwi (3.1) Mwc is the component molecular weight, and QWH c is the component well head mass flow rate, is calculated as Eq. 3.2: QWH i = WIWH · p λpρpXip(pp − pWH ) (3.2) WIWH is the well index (Peaceman, 1996), a constant defined by the geometry property of the well blocks; pp is the phase pressure of the well block and pWH is the wellbore pressure for the well in the well block; Xcp is the mole fraction of component c in phase p; λp is mobility of phase p, and ρp is the density of phase p. The phase mobility is determined by Eq. 3.3: λp = krp µp (3.3) Because of the liquid build-up around the well and in the reservoir, the overall component mole fractions (the static values) at a given location and a given time also changes with time, and can be very different from the original reservoir fluid configuration. The overall hydrocarbon component mole fractions in the reservoir is given by Eq. 3.4 in two-phase scenario: zc = xcL + ycV (3.4) or Eq. 3.5 given the saturation and component molar density information known.
  • 51.
    3.1. EXPERIMENTAL DESIGN29 Gas Oil Flowing phase Static phase Region 1 Region 2 Region 3 Wellbore Distance from the well Flow direction Figure 3.2: The difference of static values and flowing values in three regions. Figure 3.3: Schematic of composition variation in the reservoir under different pres- sures and at different conditions.
  • 52.
    30 CHAPTER 3.EXPERIMENTAL INVESTIGATION zc = xcSlρl + ycSgρg (3.5) Where, L and V are liquid and vapor mole fraction respectively, Sl and Sg are the liquid and gas phase saturation respectively and ρl and ρg, the component molar density of liquid and gas phase respectively. 3.1.3 Preexperiment Numerical Simulation In this study, several preexperiment numerical simulations at core scale were con- ducted to define the experimental parameters, such as flow pressures and experiment duration, and to examine the range of the liquid buildup and the extent of the com- positional variation. Two wells, one gas injector and one producer, were used in these simulation models. Both wells were controlled by bottom-hole pressures (BHP). The BHP of the upstream injector was set above the reservoir dewpoint pressure while the downstream producer has BHP below the dewpoint pressure, such that the fluid from the injection well was always in gas phase, and the fluid around the producing well was always in two-phase. The flow in the core flooding simulation was manipulated under the condition of constant pressure drop. To investigate the experimental duration, we first set the BHP control for injector at 130 atm and for producer at 70 atm, thus a constant pressure drop of 60 atm is maintained. Figure 3.4 (a) illustrates that in the preexperimental simulation the mole fraction of the heavier component C4 in the flowing phase drops to about 8% and then within one minute it stabilizes to the upstream C4 composition of 15% as the flow reaches steady-state; meanwhile, liquid saturation (Figure 3.4 (b)) builds up quickly once the pressure drops below the dewpoint pressure and the maximum condensate accumulation reaches as high as 53% in one minute, although the critical condensate saturation (Scc) is only 25% based on the input relative permeability curve and the maximum liquid dropout from the CV D experiment is only 9%. A wide range of saturation change occurs within one minute, and after two minutes, the saturation has a slight drop from the maximum value and stabilizes around 52% near the producer region. The saturation around the injector remains zero as two phases
  • 53.
    3.1. EXPERIMENTAL DESIGN31 do not develop in regions with high reservoir pressure. The composition of butane component in the liquid phase (Figure 3.5 (a)) and the overall in-situ composition of butane component (Figure 3.5 (b)) also show dramatic changes within the first two minutes of flow. Due to the relative permeability effect, the liquid dropout accumulates in the reservoir, and causes a major change in the in-situ composition configuration. The overall butane composition changed from the original 15% to 45% around the producer. Composition varies little in the flowing phase under constant pressure control, as we just illustrated. Only the flowing phase can be collected in the lab/field through the producing fluid, so in addition to the fluid sampled during the constant pressure drop flow, we needed to develop a methodology by which we can collect samples to investigate the composition variation that occurred in the reservoir. In the simulation, both the injector and the producer are open, and the flow is maintained under constant pressure drop, then after 60 minutes both wells are shut down. Figure 3.6 shows profiles for both xC4 and zC4 history before and after the buildup test. From the simulation results, we can conclude that both the static overall butane mole fraction (zC4 ) and the liquid butane composition xi vary immediately after the shutdown of injector and producer. The greatest variation of component mole fraction occurs within six seconds after the shutdown and around the producer. After six seconds, the composition profiles stabilize as depicted the curves at t = 60.0997 minutes in Figure 3.6. The saturation profiles (Figure 3.7) also show dramatic changes before and after the shutdown. Different from the saturation profiles, the composition profile keeps changing after t = 60.0997 minutes as the saturation dispersion proceeds in the core. Besides the buildup test, we also looked into the behavior of flow under different bottom hole pressure (BHP) controls. These simulations were performed with the same BHP control on the upstream injector (BHP = 130 atm), but different BHP controls on the downstream producer. The downstream BHP ranged from 30 atm to 110 atm, which gives a range of pressure drop from 100 atm to 20 atm. Figure 3.8 shows that the lower the bottom-hole pressure (BHP), the more the butane accu- mulates in both liquid phase and the heavier the overall composition configuration.
  • 54.
    32 CHAPTER 3.EXPERIMENTAL INVESTIGATION 10 −1 10 0 10 1 10 2 10 3 0 0.05 0.1 0.15 0.2 0.25 Time (minutes) FlowingzC4 molefractioninthewellgridblock BHP = 70 atm (a) C4 mole percentage in the flowing phase. 0 5 10 15 20 25 30 0 0.1 0.2 0.3 0.4 0.5 0.6 0.7 0.8 0.9 1 Distance to the well (cm) Liquidsaturation(S c ,fraction) t = 0.10002 minutes t = 0.49998 minutes t = 1 minutes t = 2 minutes t = 5 minutes (b) Saturation distribution profiles. Figure 3.4: Simulation results for BHP = 70 atm scenario. (a) C4 mole fraction profile in the flowing phase (b) Saturation distribution profiles at different flow times.
  • 55.
    3.1. EXPERIMENTAL DESIGN33 0 5 10 15 20 25 30 0.1 0.2 0.3 0.4 0.5 0.6 0.7 0.8 0.9 1 Distance to the well (cm) xC4 (liquidC4 inthegridblock) t = 0.10002 minutes t = 0.49998 minutes t = 1 minutes t = 2 minutes t = 5 minutes t (a) xC4 distribution. 0 5 10 15 20 25 30 0.1 0.2 0.3 0.4 0.5 0.6 0.7 0.8 0.9 1 Distance to the well (cm) ZC4 (overallC4 inthegridblock) t = 0.10002 minutes t = 0.49998 minutes t = 1 minutes t = 2 minutes t = 5 minutes t (b) zC4 distribution. Figure 3.5: In-situ composition history of butane component in (a) Liquid phase and (b) The overall composition configuration.
  • 56.
    34 CHAPTER 3.EXPERIMENTAL INVESTIGATION 0 5 10 15 20 25 30 0.1 0.2 0.3 0.4 0.5 0.6 0.7 0.8 0.9 1 Distance to the well (cm) xC4 (liquidC4 inthegridblock) t = 60 minutes t = 60.0166 minutes t = 60.0997 minutes t = 120.9972 minutes t (a) xC4 distribution. 0 5 10 15 20 25 30 0.1 0.2 0.3 0.4 0.5 0.6 0.7 0.8 0.9 1 Distance to the well (cm) ZC4 (overallC4 inthegridblock) t = 60 minutes t = 60.0166 minutes t = 60.0997 minutes t = 120.9972 minutes t (b) zC4 distribution. Figure 3.6: In-situ composition history for butane component during buildup test in (a) Liquid phase and (b) The overall composition configuration.
  • 57.
    3.1. EXPERIMENTAL DESIGN35 0 5 10 15 20 25 30 0 0.1 0.2 0.3 0.4 0.5 0.6 0.7 0.8 0.9 1 Distance to the well (cm) Liquidsaturation(S c ,fraction) t = 60 minutes t = 60.0166 minutes t = 60.0997 minutes t = 120.9972 minutes Figure 3.7: Saturation distribution in the core during buildup. At and around the producer region the accumulation of the heavier component C4 in the liquid phase can vary from 40% to as high as 75%, and even for the overall static composition in this region the mole fraction can vary from 30% to 63%. The different BHP scenarios produce different pressure distributions in the core. The higher the BHP at the producer, the larger the single-phase region, hence the liquid accumulates in a smaller region around the well. Figure 3.9(a) illustrates that the component mole fractions in the flowing phase at the wellbore do not vary linearly with BHP. When the producer is under the BHP control of 50 atm, the mole fraction of the heavier component butane in the flowing phase experiences the greatest lost in the first 40 seconds of flow, and then stabilizes back to 15% as the flow reaches steady state. However in the BHP = 30 atm case, instead of losing more butane in the reservoir, there is about 0.43% increase in the concentration of butane in the produced fluid. This may be due to the fact that part
  • 58.
    36 CHAPTER 3.EXPERIMENTAL INVESTIGATION 0 5 10 15 20 25 30 0.1 0.2 0.3 0.4 0.5 0.6 0.7 0.8 0.9 1 Distance to the well (cm) xC 4 (liquidC 4 molefractioninthegridblock) BHP = 30 atm BHP = 50 atm BHP = 70 atm BHP = 90 atm BHP = 110 atm (a) xC4 distribution. 0 5 10 15 20 25 30 0.1 0.2 0.3 0.4 0.5 0.6 0.7 0.8 0.9 1 Distance to the well (cm) ZC 4 (overallC 4 molefractioninthegridblock) BHP = 30 atm BHP = 50 atm BHP = 70 atm BHP = 90 atm BHP = 110 atm (b) zC4 distribution. Figure 3.8: In-situ composition history for butane component with different BHP control scenarios in (a) Liquid phase and (b) The overall composition configuration.
  • 59.
    3.2. EXPERIMENTAL APPARATUS37 of the reservoir liquid revaporizes at lower BHP, such as BHP = 30 atm, hence more butane is produced in the well. When the producer BHP is greater than 50 atm, the higher the BHP, the more butane produced from the well in the first one minute, then after the first one minute, the butane mole fraction stays at 15%. Figure 3.9(b) shows the distribution profiles of the liquid saturation at t = 5 minutes for different BHP scenarios. From these profiles, we can conclude that the lower the bottom-hole pressure at the producer, the shorter the range of the liquid accumulation in the near-well region. Contrary to the overall and liquid composition distribution in Figure 3.8, the lower the BHP, the greater the liquid accumulation in the well. Away from the well, the liquid accumulation increases slightly or remains constant in the two-phase region for all BHP controls except BHP = 110 atm. When BHP = 110 atm, the pressure drop along the core is only 20 atm, and under pressures greater than 110 atm, the reservoir fluid forms less liquid dropout than the maximum liquid dropout, hence, at t = 5 minutes, the accumulation rate of the liquid saturation is greater than liquid flow rate, hence more liquid accumulates in the wellblock. The preexperiment numerical simulation gave us a rough idea of how the binary gas-condensate system performs under a constant pressure drop condition and how fast the composition and saturation redistributes during a buildup. In the subse- quent experiments, we used the conditions as learned from the numerical simulations and investigated the flow behavior of the selected gas-condensate system by physical observations. 3.2 Experimental Apparatus The experimental apparatus was modified from an earlier design of Shi et al. (2006). The experiment system is illustrated in Figure 3.10. This system is comprised of four subsystems: the gas supply and exhaust system, the core flow system, fluid sampling and data acquisition system. A photograph of the whole system is shown in Figure 3.11. The details of each component in the four subsystems, the major measuring techniques associated with composition and saturation measurements are presented
  • 60.
    38 CHAPTER 3.EXPERIMENTAL INVESTIGATION 10 −1 10 0 10 1 10 2 10 3 0 0.05 0.1 0.15 0.2 0.25 Time (minutes) FlowingzC4 molefractioninthegridblock BHP = 30 atm BHP = 50 atm BHP = 70 atm BHP = 90 atm BHP = 110 atm (a) C4 in the flowing phase. 0 5 10 15 20 25 30 0 0.1 0.2 0.3 0.4 0.5 0.6 0.7 0.8 0.9 1 Distance to the well (cm) Liquidsaturation(S c ,fraction) BHP = 30 atm BHP = 50 atm BHP = 70 atm BHP = 90 atm BHP = 110 atm (b) Saturation distribution. Figure 3.9: Simulation results for different BHP control scenarios. (a)C4 mole frac- tion profiles in the flowing phase (b) Saturation distribution in the core.
  • 61.
    3.2. EXPERIMENTAL APPARATUS39 Figure 3.10: Schematic diagram of the gas-condensate flow system. The confining pressure is provided by a high pressure water pump and the gas-condensate mixture is stored in a piston cylinder, which is supported by a high pressure nitrogen cylinder to maintain the mixture pressure at 2200psi. Pressures along the core are monitored by the high pressure transducers and fluid samples are collected from the six ports along the core for composition analysis. in the following sections. 3.2.1 Gas Supply and Exhaust The upstream gas mixture is stored in a piston cylinder (HaiAn, China, capacity 4,000 ml, pressure range 0-4641 psi), and the cylinder pressure is controlled by a high pressure nitrogen cylinder (6000 psi). The downstream gas exhaust was discharged to a fume hood directly in the constant pressure drop experiment since the total volume of the exhaust is very small and safe to dilute into the atmosphere. After the buildup
  • 62.
    40 CHAPTER 3.EXPERIMENTAL INVESTIGATION (a) Front view. (b) Rear view. Figure 3.11: Images of the experiment apparatus for the gas-condensate flow system. (a) Front view, the high pressure titanium core holder is in the foreground, this core holder has six ports along the core to allow for pressure monitoring and fluid sampling (b) Rear view, the sampling system and the pressure transducers are in the foreground.
  • 63.
    3.2. EXPERIMENTAL APPARATUS41 test, the core was discharged into another empty piston cylinder, so that the collected fluid could be analyzed to determine the total composition. 3.2.2 Core Flow System The core flow system consists of a titanium core-holder (Shiyi Science and Technology, model J300-01), which can support a maximum confining pressure 5800 psi), while maintaining the pore pressure at 5366 psi. A photograph of the core holder is shown in Figure 3.11(a). The high pressure titanium core holder has six ports along its length to allow for pressure monitoring and fluid sampling. A homogeneous Berea sandstone core was selected for this experiment. The core has a length of 25.04 cm and a diameter of 5.06 cm with an average porosity around 15% and an average ab- solute permeability about 5 md. The choice of permeability was intentional, as it was necessary to produce pressure drops of suitable magnitude to create the desired condensation region during flow. 3.2.3 Fluid Sampling System One of the unusual aspects of this experiment is the ability to measure the in-place composition, as well as the usual pressure data along the length of the core. The in- place composition samples are collected with Tedlar gas sampling bags (SKCwest, model 232-02) attached to the six sampling ports along the core-holder. In order to protect the gas samples from being polluted by other gases, the gas sampling bags are connected to the system in a way such that the bags can be vacuumed before the experiment. The sampling pressure is regulated by the 25 psi relief valves to ensure the sampling pressure lower than the pressure limits of the sampling bags. Collecting the fluid samples directly from the flow system is challenging. Both the sample size and the sampling duration need to be carefully manipulated. To reduce the error involved in the sampling process and also to ensure all samples are collected at roughly the same time, the sampling system is specially designed as shown in Figure 3.12. A one-meter long stainless steel coil is installed prior to the relief valve to capture and temporarily store the fluid sample. During the sampling process, we
  • 64.
    42 CHAPTER 3.EXPERIMENTAL INVESTIGATION S p (a) (b) Two-way valve Three-way valve To the core Figure 3.12: Schematic and photograph of the gas sampling system. (a) Schematic diagram. The fluid sample is first stored in the one-meter long coil, then released to the sampling bag. (b) Photograph of the sampling system. first opened the two-valve valve (as depicted in Figure 3.12 (a)) connected to the pressure port in the core holder and captured the fluid sample in the coil, this sample could then be released later to the sampling bag. At atmospheric pressure, the one- meter long coil can store as much as 7.91 cm3 of gas, which is sufficient for one gas chromatography analysis. Fluid samples coming from the core are usually at high pressure, hence the volume of the fluid stored in the coil is normally expanded to larger volume in the sampling bag. By experience, at core pressure higher than 1500 psi, opening the two-way valve in Figure 3.12 (a) for 2 seconds, the amount of fluid stored in the coil will be ideal for gas chromatographic analysis, while at core pressure within the range of 1000 psi to 1500 psi, 3 to 5 seconds is required. For fluid pressure lower than 1000 psi, longer sampling time is needed. The collected gas samples were sent to an Agilent 6820 series gas chromatograph to analyze the compositions. The gas chromatograph configuration will be discussed in detail in the next section.
  • 65.
    3.2. EXPERIMENTAL APPARATUS43 3.2.4 Data Acquisition System All pressure measurements were electronic and digitized by using a high-speed data ac- quisition system (DAQ; National Instrument, SCSI-1000 with PCI 6023E A/D board). In the original design of Shi et al. (2006), the in-place pressures were measured by pres- sure transducers with different capacities, chosen according to the pressure range and the requirement of the measurement resolution. The absolute pressures on both up- stream and downstream were measured with high pressure range 2,000 psi transducers , and the differential pressures between each pair of sampling ports were measured with low range 320 psi transducers. Several issues arose from this design. First, the pressure transducers along the core did not generate reliable differential pressure data in the earlier experiment due to the escalated zero shifting problems and the depen- dency of each sampling port on its neighbors; secondly, the low pressure transducers were prone to damage in case of leaks in the system. Pressure differences between each pair of sampling ports are small when the flow system is under constant pressure drop and reaches steady-state flow, and can become very large under nonsteady state conditions. In the redesigned experiment, we replaced all the low pressure transducers with high pressure ones and measured the absolute pressure at each sampling port instead of differential pressure between sampling ports. This removed the pressure dependency on the neighboring ports and prevented over-pressurizing the transducers along the core. The absolute inlet and outlet core pressures were also monitored. All pressure data from the eight transducers were logged by the data acquisition system for analysis. 3.2.5 Gas Chromatography (GC) System Chromatography is a separation technique used to separate and analyze a mixture of compounds which are comprised of individual components. A mixture of various components enters a chromatography process together with the carrier gas, an inert gaseous mobile phase, and the different components are flushed through the system at different rates. These differential rates of migration as the mixture moves over adsorptive materials provide separation, and the rates are determined by the repeated
  • 66.
    44 CHAPTER 3.EXPERIMENTAL INVESTIGATION A GC system A PPI A TCD Sample out Sample in Loop Valve 1 Valve 2 Column1 Column3 8 7 6 5 4 3 2 1 10 9 6 5 4 3 2 1 Column2 Figure 3.13: Schematic diagram of the valve and column configuration in the GC (Parakh, 2007). sorption/desorption activities that take place during the movement of the sample over the stationary bed. The smaller the affinity a molecule has for the stationary phase, the shorter the time spent in a column. In Gas Chromatography (GC), the sample is vaporized and injected onto chromatographic columns and then separated into many components. In this study, GC analysis for component composition were performed on the Agilent 6890N series GC, this GC is equipped with a purged packed inlet and single filament Thermal Conductivity Detector (TCD). The configuration for the valves and the columns designed inside the GC chamber are shown in Figure 3.13. This valve and column configuration was designed originally for permanent gas analysis (Zhou et al. (2003). Valve 1 in this system is a 10-port valve for automatic gas sampling and backflush of the precolumn to the detector. Two columns can be associated with the 10-port valve. A 6-port switch valve (Valve 2), with adjustable restrictor, is used to switch the column in and out of the carrier stream. Column 3 is isolated when Valve 2 is on. The purged packed inlet is interfaced directly to the valve to provide a source of carrier gas. Since there are only two light hydrocarbon components, methane and butane, in our gas-condensate system, hence one column (Agilent GasPro, 15m× 0.53 mm× 40 µm) was installed in the position of column 1, column 2 was replaced directly by a by-pass stainless steel tubing, and column 3 was isolated from the system by switching valve 2 on. The detailed GC setup is listed in Table 3.1:
  • 67.
    3.2. EXPERIMENTAL APPARATUS45 Table 3.1: Gas Chromatographic Conditions. GC Agilent 6820 Gas Chromatograph Data system ChemStation EPC Purged packed inlet 200◦ C (Heater temperature) EPC Purged packed inlet 22.64psi (Heater pressure) Valve temperature 150◦ C Carrier flow(Helium) 3.2mL/min Column GS-GasPro (part number: J&W 113-4362) 50◦ C initial, hold for 3.00 minutes; Oven increase from 50◦ C to 200◦ C at the rate of 25◦ C/min; then hold at 200◦ C for 3 minutes. Detector TCD, 250◦ C Reference flow 30.00mL/min Make up flow 10.00mL/min The thermal conductivity detector (TCD) used in this study is a concentration sensitive detector. It is simple and easy to use and suitable for the analysis of perma- nent gases, hydrocarbons, and many other gases. The single-filament flow-switching design eliminates the need for a reference column. Since TCD is based on the principle of thermal conductivity, it depends upon the composition of the gas. The difference in thermal conductivity between the column effluent flow (sample components in carrier gas) and the reference flow of carrier gas alone, produces a voltage signal proportional to this difference. The signal is proportional to the concentration of the sample com- ponents. Different components in the sample gas produce different signals due to the difference of the thermal conductivity between the pair of the sample component and the carrier gas. Thus gas chromatography is a relative method, so calibration with a
  • 68.
    46 CHAPTER 3.EXPERIMENTAL INVESTIGATION 25µV 1500 1250 1000 750 500 250 0 Front detector 2.5 5.0 7.5 10 12.5 15 17.5 min Figure 3.14: GC curve for a methane and butane mixture. The measurement shows good signal-to-noise ratio, and the baseline is also very stable. standard mixture is required for mixtures having components with different thermal conductivities. Figure 3.14 shows the chromatogram of a mixture with a volume of 10 ml, the methane and butane were easily detected at a good signal-to-noise ratio. The baseline was also very stable. Because the difference of the thermal conductivity between methane and helium is smaller than that of butane and helium, the butane peak is prone to be wider and hence the apparent butane mole percentage is elevated to a higher than true value. Therefore, the measurement is calibrated with mixtures of fixed methane and butane percentage. Figure 3.15 shows the calibrated curve for butane. The actual butane percentage in the following experiment is calculated based on the calibration Eq. 3.6: zC4 c = 0.0084zC4 m2 + 0.198zC4 m (3.6) Where, zC4 c and zC4 m are the calibrated butane mole percentage and measured butane mole percentage respectively.
  • 69.
    3.2. EXPERIMENTAL APPARATUS47 y = 0.0084x2 + 0.198x R2 = 0.9927 0 10 20 30 40 50 60 70 80 90 100 0 10 20 30 40 50 60 70 80 90 100 GC butane area percentage(%) Actualbutanepercentage(%) Figure 3.15: The calibration curve for C4 measurements. The calibrated butane mole percentage is calculated by: zC4 c = 0.0084zC4 m2 + 0.198zC4 m. 3.2.6 CT system An X-ray computed tomography (CT) scanner (GE HiSpeed CT/i) was used in this study to measure the static saturation in the core. The scanner can also be used to monitor dynamic experiments, such as core floods as the two phases develop in the core. Because the CT number is directly proportional to the density of the object, so we can observe changes in CT numbers as two phases develop in the core. Measurements with X-ray CT are subject to image artifacts, such as beam harding, positioning errors and X-artifacts etc. Special care and treatment are needed to improve the resolution of CT images. According to Akin and Kovscek (2003), object shape can lead to artifacts, the cross-sectional geometry of the scanner gantry is circular and the machine delivers the best images of objects that are also circular and symmetrical in cross-section. Beam hardening can be reduced by simply moving to
  • 70.
    48 CHAPTER 3.EXPERIMENTAL INVESTIGATION Figure 3.16: Apparatus for x-ray CT scanning. higher energy X-ray sources. Positioning errors can be minimized by setting the scan object in a fixed position on the patient table. Figure 3.16 shows a photograph of the CT setup for this experiment. In this setup, positioning is accomplished electronically with ± 0.01 mm accuracy. An arc-shaped mounting bracket attaches to the core holder, the inside of the mounting bracket fits the core holder and holds the core holder tightly, and the outside the mounting bracket fits the patient table, and eliminates possible slippage between the core holder and the moving patient table. Thus the core holder is in a fixed position relative to the table. By trial and error, the best quality resolution was made by selecting the optimum machine parameters. Table 3.2 shows the scanner settings used in this study.
  • 71.
    3.3. EXPERIMENTAL PROCEDURES49 Table 3.2: CT scanner settings. Parameter Setting Field of View (DFOV) 15 cm SFOV Ped Head Image Matrix 512 x 512 Sampling 512 Scan Speed 3 sec Slice Thickness 3mm Resolution High Kv 140 MA 200 The tubing system that connects the sample ports to the valve panel was specially designed to further reduce the influence of beam hardening. In the early stage of the experiment, Halar Tubing with 2500 psi pressure rating was adopted, the advantage of Halar tubing is that it is transparent in the CT scanning, but this type of tubing tends to become brittle and easy to break in the case of high pressure hydrocarbon flow, especially when the hydrocarbon flow undergoes phase changes. In the later stages of the experiment, aluminum tubing was adopted. Aluminum tubing has less beam hardening effect in the scanning system than stainless steel tubing and can also sustain high flow pressure without rupturing. 3.3 Experimental Procedures 3.3.1 Gas Mixing According to the preexperiment simulation, 5.5847 moles butane and 31.6465 moles methane were required to fill the piston cylinder with size of 3,920 ml at 2000 psi and give the component mole percentage of 85% methane and 15% butane. Butane is
  • 72.
    50 CHAPTER 3.EXPERIMENTAL INVESTIGATION 0 5 10 15 20 25 30 35 40 45 0 5 10 15 20 25 30 Temperature (Degree C) Pressure(psia) Butane vapor pressure Figure 3.17: Butane vapor pressure curve. usually stored in liquid state with the butane tank pressure around 60 psi. According to Figure 3.17, at room temperature, butane is in liquid phase as long as the fluid pressure is above 23 psi. The liquid butane can thus be transferred to an empty piston cylinder by gravity and small pressure difference between the butane tank and the piston cylinder. Methane usually is supplied in high pressure cylinders, so methane can be directly transferred to the piston cylinder by the high pressure difference. Figure 3.18 shows a schematic of the whole process of mixing the liquid butane with gaseous methane. Firstly, the piston cylinder was vacuumed from the lower end as shown in Figure 3.18(a), thus the piston was pulled down to the bottom of the piston cylinder. At the same time, the tubing connecting to the water pump was also vacuumed to eliminate the air in the piston and tubing line. Water was then pumped to the vacuumed cylinder. The water can be delivered to the piston cylinder at a rate ranging from 0.01 ml/min to 9.9 ml/min. Low to intermediate injection rate
  • 73.
    3.3. EXPERIMENTAL PROCEDURES51 was adopted to minimize the air dissolved in the injection water. The piston cylinder was positioned horizontally after it was filled with water, and the tubing connecting the piston cylinder and the water pump was pulled vertically, with water head in the tubing high above that in the piston cylinder. The water-filled piston cylinder stayed horizontally for half a day to allow the dissolved air to evolve into the higher end of the tubing. The next step was to open the valve at the higher tubing end, and release all the accumulated air in the tubing, then put the piston cylinder back to vertical. Then the higher end of the tubing was opened again, still at a position higher than the top water level in the piston cylinder. Water was injected and the piston cylinder was ready for the next step if no water flowed spontaneously out of the cylinder. The water can flow out of the piston cylinder spontaneously only if the pressure inside the water-filled piston cylinder is higher than the atmospheric pressure. In this case, the cylinder is either pumped with too much water or there is too much air dissolved in the cylinder. Both scenarios are undesirable and would definitely influence the butane transfer in the next step, hence the water injection needs to be done carefully. Secondly, the space was prepared for butane transfer. The volume of 5.6 moles liquid butane at room temperature is equal to a volume of 539 ml water. To transfer 5.6 moles liquid butane to the piston cylinder, we first injected nitrogen into the top of the water-filled piston cylinder prepared in Figure 3.18(a), so that the nitrogen drove the piston down and expelled the water out from the bottom. The next step was to open the valve at the bottom of the piston cylinder slowly, and collect the water in a beaker and weigh the water on a digital scale, shutting down the valve when the displaced water read 539 g. Then the nitrogen was released from the top of the piston cylinder, and the nitrogen source disconnected from the system. Thirdly, the butane cylinder was connected to the the piston cylinder prepared in Figure 3.18(b) and then the tubing connection part and the top of the piston cylinder were vacuumed. If no air was dissolved in the water in the first step, then the piston will not be pulled up by the vacuum pressure since water has very low compressibility at room temperature. The butane cylinder was put upside down such that the liquid butane can flow directly into the piston cylinder. The butane was transferred and settled in the piston cylinder in a few minutes. The practice was to wait about half
  • 74.
    52 CHAPTER 3.EXPERIMENTAL INVESTIGATION an hour until the pressure in the butane cylinder stopped dropping. Then the valve on the butane cylinder and the valve on the top of the piston cylinder were shut, as in Figure 3.18(c). 5.6 moles butane had therefore been successfully transferred into the piston cylinder. Lastly, the butane cylinder was disconnected, and the methane cylinder connected to the piston cylinder partially filled with butane as in Figure 3.18(c). The next step was to vacuum the connecting tubing and flow the methane directly into the piston cylinder as in Figure 3.18(c) and discharge all the remaining water from the bottom of the piston cylinder to the water bottle. The amount of methane transferred to the piston cylinder depends on the pressure on the methane cylinder. When the maximum pressure of the methane supply cylinder is around 2100 psi, the methane transferred to the piston cylinder is roughly 32 moles and the equilibrium pressure in the piston cylinder is about 2000 psi. Hence the mole percentage of the methane in the mixture is about 85%. Varying the supply pressure on the methane cylinder, we were able to slightly adjust the composition for the mixture by flowing less or more methane into the piston cylinder. The final composition of the mixture was determined accurately by GC composition analysis prior to conducting the flow experiment The mixture prepared in Figure 3.18 (d) was ready for use when the piston cylinder was shaken 100 times to allow the methane and butane to be fully mixed with each other, then the mixture was pressurized to 2,200 psi for the core flow experiment by connecting the lower (empty) end to the high pressure nitrogen supply. 3.3.2 Core Flow Tests In this section, the procedure of the five core flow experiments will be explained in detail. In Experiments A and B, the core was vacuumed and the hydrocarbon mixture was injected directly into the core before the flow experiment, while in Experiments C and D, the core was vacuumed and presaturated with high pressure methane. Experiment C and D were “capture” experiments in which the fluid flowed in the core for a given time, then both inlet and outlet valves were suddenly shut and all six sample parts immediately opened to sample the composition of the fluids. Fluid
  • 75.
    3.3. EXPERIMENTAL PROCEDURES53 Figure 3.18: Overview of the gas mixing process. (a) Vacuum and fill the piston cylinder with water (b) Displace water from the piston cylinder with specified volume (c) Discharge liquid butane into the piston cylinder (d) infill the piston cylinder with high pressure methane.
  • 76.
    54 CHAPTER 3.EXPERIMENTAL INVESTIGATION samples were collected immediately after the core was captured. In Experiment E, the apparent permeabilities of the core to nitrogen gas were measured before and also after the hydrocarbon flow test. Experiment A In Experiment A, the whole flow system, including the core, the sampling system and the gas supply system, was fully vacuumed. The mixture in the piston cylinder was pressurized to 2200 psi with the support of the high pressure nitrogen. The maximum pressure of the nitrogen cylinder was 6000 psi and nitrogen was delivered under a pressure of 2200 psi using a regulator. The high pressure support from the nitrogen ensures the hydrocarbon mixture is always delivered as single-gas phase, as 2200 psi is well above the dewpoint of 1900 psi. During the experiment, the pressure regulator at the upstream was set around 1950 psi, the downstream valve was closed. The high pressure gas phase mixture was first flowed into the vacuumed core, and settled for about 2 minutes until the pressure in the core reached 1950 psi, then the first batch of fluid samples was taken. The second batch of samples were taken during flow, which was controlled to be constant pressure drop with the upstream pressure regulator set at 1950 psi and downstream back pressure regulator set at 1000 psi. Samples were taken 40 seconds after the pressure drop along the core was stabilized. In this experiment, the coil setup shown in Figure 3.12 was originally a stainless tubing about 20 cm long. Longer sampling time was found necessary to ensure a sufficient sample size. The straight short tubing was later replaced by the 1 meter long coil in Experiments C, D and E to increase the sample volume. Because of the extended sampling time, there was sudden and dramatic pressure drop in the core during each sampling process. Experiment B Similar to Experiment A, two batches of samples were collected during the static and flowing conditions. Different from Experiment A, the mixture in Experiment B was slightly lighter because of the lower pressure provided by the methane cylinder
  • 77.
    3.3. EXPERIMENTAL PROCEDURES55 during the mixing process. The upstream pressure was regulated to a higher pressure of 2000 psi, hence the static samples were taken at 2000 psi. During the flowing stage, the upstream pressure was regulated to 2000 psi, and downstream to 500 psi, hence a bigger pressure drop occurred during Experiment B. In addition to changes in the pressure setting, the sampling was manipulated with extreme care during the experiment, and the two-way valves in Figure 3.12(a) were turned on slowly to minimize the sudden pressure drop during sampling. After the flow, we shut down both the upstream and downstream valves on the core, as well as the valves on the sampling ports. The core was isolated, detached and taken to the CT scanning room for saturation analysis. Experiment C After Experiment B, the longer sampling coil design as in Figure 3.12 was adopted for better sampling. During the experiment, the core was vacuumed and presaturated with pure methane at a pressure around 2000 psi. Then at least two pore volumes of the gas mixture of methane and butane were flushed through the core to fully displace original methane gas. During the displacement process, the upstream pressure was set around 2000 psi and downstream to 1950 psi to ensure the mixture of methane and butane in the core was still in the gas phase. After about 10 minutes of the low pressure-drop flow, the downstream pressure was set at 1000 psi. Flow occurred at a high constant pressure drop for 3 minutes and reached steady state, then four valves, one before the upstream pressure regulator, one prior to the core holder, one right after the core holder and the one in the downstream of the back pressure regulator were all shut, capturing the flowing gas within the core. Samples from the six sample ports along the core were collected immediately after the flow shutoff. One sample from the tubing upstream of the core was collected, as well as a sample from the tubing between the back pressure regulator and the outlet end of the core. The valve at the end of the core was then opened, the fluid in the core was fully discharged into an empty piston cylinder, and one sample from the exhaust was collected.
  • 78.
    56 CHAPTER 3.EXPERIMENTAL INVESTIGATION Experiment D The first part of Experiment D was exactly the same as in Experiment C, except the mixture was heavier than that in Experiment C. The heavier fluid was chosen to investigate the influence of the original fluid property on compositional variation. After discharging the hydrocarbon gas into the collection piston cylinder, the remain- ing liquid in the core was flushed out by injecting nitrogen into the core and three samples at the exit of the core were taken at three different times. Experiment E The apparent permeability to nitrogen was measured before and after the hydrocarbon flow test. The nitrogen was injected into the core with different pressures and the downstream flow rates were measured using the upside-down cylinder method, in which the volume of the gas outflow during a fixed time duration was calculated by monitoring the water displaced from the upside down glass graduated cylinder. 3.3.3 Sampling from the Tubing Ports Earlier experience showed that samples from the various tubing ports were often prob- lematic, and displayed different compositions when sampled under different pressure. This phenomena was more severe when the sampling pressure was below the dewpoint pressure. This was attributed to the fact that liquid and gas phases flow at different rate inside the tubing, hence the fluid captured in the sampling bag preferentially carried more gas or liquid, depending on whether the tube was pointing upward or downward. Hence the sample from the tubing was not representative. To reduce the sampling bias, heat tape was attached around the tubing as shown in Figure 3.19, to shift the fluid phase behavior to single-phase gas at a higher temperature. This approach showed a considerable improvement, as shown in Figure 3.20.
  • 79.
    3.3. EXPERIMENTAL PROCEDURES57 C1 & C4 High pressure N2 Sampling bag Heat tape Valve 1 Valve 2 Valve 3 Vacumm pump Figure 3.19: Schematic of gas sampling directly from the cylinder with heat tape. 3.3.4 Composition Analysis Sample compositions were analyzed by gas chromatography. In the GC analysis, samples were injected manually into the GC column. There were a couple of issues associated with the manual injection process. Before the GC analysis, we needed to check the septum. The recommended inlet septum is 11mm septum with partial through-hole and low-bleed (Part no. 51813383). First we needed to check if the septum is contaminated and whether the septum hole is closed. In either case, the septum was replaced. When the instrument is in steady use, a daily septum replacement is recommended. Secondly, it was necessary to check that the needle support assembly is installed correctly. Next, we needed to check that the correct insert is installed and that it is installed correctly. Finally, we checked the alignment of the inlet septum and the septum nut, tightening the septum nut finger tight. If the septum nut is tightened too much, it prevents the needle going through; on the other hand, a loose septum nut will reduce the peak height, and hence the analysis reproducibility. To the extreme extent, a loose septum end will cause leaks
  • 80.
    58 CHAPTER 3.EXPERIMENTAL INVESTIGATION 0.0 5.0 10.0 15.0 20.0 25.0 0 500 1000 1500 2000 2500 Pressure (psi) CalibratedC4precentage(%) Oct. 14 Oct. 06 Aug. 26 (a) Without heat tape. 0.0 5.0 10.0 15.0 20.0 25.0 0 500 1000 1500 2000 2500 Pressure (psi) CalibratedC4percentage(%) Oct. 25 Oct. 26 (b) With heat tape. Figure 3.20: Composition measurement with and without using the heat tape. (a) without using heat tape (b) with heat tape.
  • 81.
    3.3. EXPERIMENTAL PROCEDURES59 in the septum. In this case, we will see symptoms such as longer or shifting retention times, loss of response, and/or loss of column head pressure. Additionally, signal noise will increase. The second part needing to be checked was the syringe needle. The useful lifetime of septa depends upon injection frequency and needle quality; burrs, sharp edges, rough surfaces, or a blunt end on the needle decreases septum lifetime and may cause clogging by a septum crumb in the needle. For manual injection, the syringe plunger should be moved up and down with the needle in the sample to expel air and improve reproducibility. Before the composition analysis, two blank runs are recommended to flush away possible leftover gases from any previous experiment run. 3.3.5 X-ray Saturation analysis According to Akin and Kovscek (2003), a single energy scan is sufficient to measure two-phase saturations as shown in Eq. 3.7. µglr = (1 − φ)µr + φSlµl + φSgµg (3.7) where the subscript glr refers to rock containing both gas and liquid phases. Here, µr, µg and µl are the attenuation coefficients for the rock matrix, when the core is fully saturated with gas and liquid respectively and Sg and Sl are gas and liquid saturations respectively. Sg + Sl = 1. The CT number is defined by normalizing with the linear attenuation coefficients of water, µw, as shown in Eq. 3.8 CT = 1000 µ − µw µw (3.8) The porosity, φ, is defined as Eq. 3.9: φ = CTlr − CTar CTl − CTa (3.9)
  • 82.
    60 CHAPTER 3.EXPERIMENTAL INVESTIGATION where the subscripts l and a represent liquid-phase and air-phase CT numbers, whereas lr and ar refer to liquid- and air-saturation rock respectively. Thus, the saturation of gas in each voxel is defined as: Sg = CTlr − CTgr CTlr − CTglr (3.10) Thus to calculate the two-phase saturation, we need to have three parameters: CTlr, CTgr, and CTglr. Due to the difficulty of discharging the hydrocarbon exhaust in the CT room, the three parameters were measured separately. The core saturated with liquid butane at 40 psi and gaseous methane at atmosphere pressure was first scanned and after the flow test experiment, the isolated core filled with mixture at high pressure was then taken to the CT room to measure CTglr. Fluid density, especially gas density, normally changes with pressure, and according to Vinegar and Wellington (1987), the linear attenuation coefficient is expressed as: µ = [σ(E) + b ¯Z3.8 /E3.2 ]ρ (3.11) where σ(E) is the Klein-Nishina Coefficient, ρ is the electron density, ¯Z is the effective atomic number, E is the photon energy in keV , and b is a constant. Eq. 3.11 shows that fluids with greater density have greater linear attenuation coefficient. The CTlr and CTgr were measured at relatively very low pressure (40 psi for the core saturated with liquid butane, and atmosphere pressure for the core saturated with gaseous methane), hence pressure adjustment for fluid density is needed to ensure that CTlr and CTgr are measured/calculated at the same pressure as the high mixture pressure. Due to the relatively small compressibility, we can assume that the sandstone matrix density and the pore volume does not change with pressure, thus the change in the µr is mainly due to the change of fluid in the pore space. ∆µfr = µfr(p) − µfr(ref) = φ[µf(p) − µf(ref)] (3.12) where µfr is the attenuation coefficient for the core saturated with fluid f, and µf(p)
  • 83.
    3.3. EXPERIMENTAL PROCEDURES61 is the attenuation coefficient for fluid f at pressure p, and µf(ref) at reference mea- surement pressure. According to Eq.3.11, for the same fluid, we have: µf(ref) ρf(ref) = µf(p) ρf(p) (3.13) The change of CT number for the core saturation with fluid f due to the change of density in the fluid is, therefore, given by: ∆CTfr = CTfr(p) − CTfr(ref) = 1000 ∆µrf µw (3.14) substitute Eq. 3.12 and Eq. 3.13 into En.3.14, then Eq. 3.14 can be written as: ∆CTfr = 1000φ ( ρf(p) ρf(ref) − 1)µf(ref) µw (3.15) Divide ∆CTfr by CTf (ref), we can get: ∆CTfr CTf(ref) = φ ( ρf(p) ρf(ref) − 1)µf(ref) µf(ref) − µw (3.16) Rearrange Eq. 3.16, then the final ∆CTfr is given by: ∆CTfr = CTf(ref)φ( ρf(p) ρf(ref) − 1)(1 + 1000 CTf(ref) ) (3.17) Eq. 3.17 tells us that the change in CT number due to the density change for the same fluid can be adjusted if the fluid density at pressure p and at the reference pressure are both known, and CT numbers for the fluids themselves at the reference measurement condition are also available. Table 3.3 shows the density of the liquid butane and the vapor methane at reference pressure and a pressure of 2000 psi. The density of the liquid butane and the density of the vapor methane at other pressures can be calculated from correlations given in Figure 3.21 and Figure 3.22 respectively. Figure 3.23 shows the nine scanning positions. The positions were chosen carefully to avoid the ports and fittings along the core holder. The start and end scanning
  • 84.
    62 CHAPTER 3.EXPERIMENTAL INVESTIGATION ρ = 1E-05p + 0.6149 R2 = 0.9969 0.61 0.615 0.62 0.625 0.63 0.635 0.64 0.645 0 500 1000 1500 2000 2500 Pressure (psi) Density(g/cm 3 ) Figure 3.21: Butane density as a function of pressure. ρ = 6E-05p - 0.0041 R2 = 0.9978 0 0.02 0.04 0.06 0.08 0.1 0.12 0.14 0 500 1000 1500 2000 2500 Pressure (psi) Density(g/cm 3 ) Figure 3.22: Methane density as a function of pressure.
  • 85.
    3.3. EXPERIMENTAL PROCEDURES63 Table 3.3: Parameters for CT number calculation. ρC4(ref) ρC4(2000) ρC1(ref) ρC1(2000) CTC4(ref) CTC1(ref) (g/cm3 ) (g/cm3 ) (g/cm3 ) (g/cm3 ) (liquid) (vapor) 0.6 0.6394 0.000717 0.1159 -285 -1000 CT scanning position Figure 3.23: Apparatus for x-ray CT scanning. position were labeled on the core holder, and all scans were started from the same position and ended at the same location. Hence, for each scanning location, CTlr, CTgr, and CTglr were ensured from exactly the same slice. The images files from the CT room were transferred to the local computer and postprocessed with Matlab. Figure 3.24(a) shows the whole image of the core with the core holder. In saturation calculation, we are interested in the CT numbers of the core only. So the image of the core (as shown in Figure 3.24(b)) was extracted from the original image and only the CT numbers of the core were used for saturation calculation.
  • 86.
    64 CHAPTER 3.EXPERIMENTAL INVESTIGATION (a) CT image with core holder 500 1000 1500 2000 2500 (b) CT image of the core only 500 1000 1500 2000 2500 Figure 3.24: CT image processing. 3.4 Summary Experimental equipment was constructed to allow detailed and accurate measure- ments of real time pressure and in situ composition of the flowing fluid along the core. This apparatus was used to do constant pressure-drop core flooding experi- ment and the isolated coreholder was taken to the X-ray CT room for saturation measurements.
  • 87.
    Chapter 4 Experimental Results Theresults from the experiment are discussed in this chapter. The pressure data, compositional data and also the saturation data are analyzed and presented here. These results help in understanding of gas-condensate flow in porous media. 4.1 Experimental Results 4.1.1 Pressure Measurements Experiment A Figure 4.1 shows the pressure profiles for Experiment A. At the first sampling stage, the core was saturated with the gas-condensate fluid of methane and butane at a pressure of 1,956 psi. Due to the sudden pressure drop during the sampling process, the actual sampling pressures are different from the baseline 1,956 psi, as depicted by the pink square dots in Figure 4.1(a). From this figure, we can see that samples collected at port 1, port 2, port 3 and port 5 are roughly at the same pressure of 1865 psi, which is above the dewpoint pressure (1837 psi), while the sampling pressures at port 4 and port 6 are lower than the dewpoint pressure. Sampling during the flow also showed pressure drop in all ports, the biggest in- stantaneous pressure drops occurred at port 1 and port 5 due to the long sampling time. The influence of pressure drop on the compositional results will be discussed in 65
  • 88.
    66 CHAPTER 4.EXPERIMENTAL RESULTS the next section. Experiment B Figure 4.2 illustrates the pressure results for constant pressure drop flow experiment B. During this experiment, the sampling process was meticulously operated, conse- quently, the sampling pressure did not drop as severely as in Experiment A. Experiment C Figure 4.3 shows the pressure measurements from Experiment C. Different from Ex- periments A and B, the flow samples in Experiments C and D were collected when the core was in “capture” status instead of in flowing condition. “Capture” refers to the status in which both the upstream and downstream of the flow were shut, and the flow in the core was immediately isolated. Samples from the “capture” status were collected immediately after the flow cut. “Capture” mode was designed to try to sample the in-situ (static) composition, instead of flowing composition measured in flow mode in Experiments A and B. Fluid samples collected from the tubing in the downstream of the core were usually contaminated by the fluid from the core. The “capture” design helped to get the true sample right after the core flow. How- ever, samples collected from the core were slightly altered even though sampling was done in 3-4 seconds after the “capture”. Because of the small volume of the core, pressure in the core tended to reach balance immediately after the external flow was shut down. Sampling pressures, as shown in Figure 4.3(a), display a near uniform distribution, which confirms the instant pressure redistribution. The buildup pressures in Figure 4.3(a) were measured shortly after the core sam- pling. Due to the small volume of core, the fluid redistributed in the core very quickly and the pressure reached a steady-state condition very soon at 1570 psi. Pressure in the core went down to 71 psi after the fluid in the core was fully discharged to an empty piston cylinder.
  • 89.
    4.1. EXPERIMENTAL RESULTS67 1700 1750 1800 1850 1900 1950 2000 -100 -50 0 50 100 150 200 250 300 Core location (mm) Pressure(psi) original pressure Sample pressure Port 1 Port 2 Port 3 Port 4 Port 5 Port 6 Flow direction (a) Sampling without flow. 0.0 500.0 1000.0 1500.0 2000.0 2500.0 -100 -50 0 50 100 150 200 250 300 Core location (mm) Pressure(psi) Flow pressure Sample pressure Port 1 Port 2 Port 3 Port 4 Port 5 Port 6 Flow direction (b) Sampling during flow. Figure 4.1: Sampling pressure profiles for Experiment A. (a) Sampling without flow (b) Sampling during flow.
  • 90.
    68 CHAPTER 4.EXPERIMENTAL RESULTS 600 800 1000 1200 1400 1600 1800 2000 2200 -100 -50 0 50 100 150 200 250 300 Core location (mm) Pressure(psi) Flow pressure Sample pressure Flow direction Port 1 Port 2 Port 3 Port 4 Port 5 Port 6 (a) Sampling during flow. 600 800 1000 1200 1400 1600 1800 2000 2200 -100 -50 0 50 100 150 200 250 300 Core location (mm) Pressure(psi) original pressure sample pressure Port 1 Port 2 Port 3 Port 4 Port 5 Port 6 (b) Sampling without flow. Figure 4.2: Sampling pressure profiles for Experiment B. (a) Sampling during flow (b) Sampling without flow.
  • 91.
    4.1. EXPERIMENTAL RESULTS69 0 500 1000 1500 2000 2500 -100 -50 0 50 100 150 200 250 300 350 Core location (mm) pressure(psi) Flow pressure Sample pressure Flow direction (a) Sampling after shutdown. 0 500 1000 1500 2000 0 50 100 150 200 250 300 Core location (mm) pressure(psi) Buildup pressure Depleted pressure (b) Build up pressure. Figure 4.3: Pressure profiles for Experiment C. (a) Flowing and sampling pressure profiles (b) Build-up pressure and the static pressure in the fully discharged core.
  • 92.
    70 CHAPTER 4.EXPERIMENTAL RESULTS Experiment D Figure 4.4 shows the pressure measurements from Experiment D. Experiment pro- cedure in the first part of Experiment D was similar to that used in Experiment C. Sampling pressure in Experiment D (Figure 4.4(a)) also suggests a near uniform distribution due to the fluid and pressure redistribution. The buildup pressure in Experiment D is 1312 psi, 258 psi below the buildup pressure in Experiment C. This maybe due to the difference in the sampling time. We tried to collect the samples along the core as quickly and simultaneously as possible, but a few seconds of sampling difference still occurred among the six samples. Comparison with Nitrogen Flow In the previous four subsections, the flow pressure, sampling pressure and buildup pressure (if applicable) were discussed. To further understand the information be- hind those pressure data, we performed two additional flow experiments with nitrogen under similar pressure settings. Pressure profiles from the single-phase nitrogen flow were then compared with the hydrocarbon flow. Figure 4.5 shows the pressure profile comparison. Three hydrocarbon experiments, Experiment A, B and D, show greater pressure drop at core locations close to upstream, this reveals two-phase flow in the core since two-phase flow has lower mobility, and hence greater pressure gradient. Ex- periment C, however, only show an increased pressure gradient at core location from 50 mm and 100 mm. At core location from 100 mm to 175 mm, the pressure gradient is smaller than the corresponding nitrogen flow at the same location. This abnormal pressure distribution may due to measurement error in the pressure transducers or unusual flow activity. Apparent permeability was calculated for both single-phase nitrogen flow and also for four hydrocarbon experiments. The apparent permeability for compressible flow is defined as Eq. (4.1): k = Q A · 2µLp0 pi 2 − p0 2 (4.1) where Q is the volumetric flow rate, µ, the fluid viscosity, L, the flow distance and pi
  • 93.
    4.1. EXPERIMENTAL RESULTS71 0 500 1000 1500 2000 2500 -100 0 100 200 300 400 Core location (mm) Pressure(psi) Flow pressure Sample pressure Flow direction (a) Sampling after shutdown. 0 200 400 600 800 1000 1200 1400 1600 1800 0 50 100 150 200 250 300 Core location (mm) Pressure(psi) Build up pressure Depleted pressure (b) Build up pressure. Figure 4.4: Pressure profiles for Experiment D. (a) Flowing and sampling pressures (b) Build-up pressure and pressure in the fully discharged core.
  • 94.
    72 CHAPTER 4.EXPERIMENTAL RESULTS 900.0 1100.0 1300.0 1500.0 1700.0 1900.0 2100.0 -100 -50 0 50 100 150 200 250 300 350 Core location (mm) Pressure(psi) Nitrogen 01 Experiment A Experiment C Experiment D (a) Pressure profile comparison of nitrogen flow run 1 and hydrocarbon Experiment A, C and D. 400 600 800 1000 1200 1400 1600 1800 2000 -100 -50 0 50 100 150 200 250 300 350 Core location (mm) Pressure(psi) Nitrogen 02 Experiment B (b) Pressure profile comparison of nitrogen flow run 2 and hydrocarbon Experiment B. Figure 4.5: Pressure profile comparison of nitrogen flow and hydrocarbon flow. (a) Comparison of nitrogen flow run 1 and hydrocarbon Experiment A, C and D. (b) Comparison of nitrogen flow run 2 and hydrocarbon Experiment B.
  • 95.
    4.1. EXPERIMENTAL RESULTS73 and p0, the upstream pressure and reference pressure respectively. An average density of the liquid and the vapor density was used for two-phase hydrocarbon flow and the vapor viscosity was used for hydrocarbon viscosity calcula- tion. Since flow rate measurements are not available in this study, a relative apparent permeability ki/kref is adopted for comparison. ki/kref is calculated as: ki kref = µip0 (p2 i − p2 0)ρi / µref p0 (p2 ref − p2 0)ρref (4.2) where ki is the apparent permeability at location i, and kref is the apparent permeability at the reference location. Figure 4.6 shows the density and the viscosity profiles as functions of pressure for nitrogen. The average density and vapor viscosity of the methane-butane sys- tem (C1/C4 = 85%/15%) at T = 20◦ C were calculated with WinProp (version 2006, Computer Modeling Group Ltd., PR(1978) EoS), as displayed in Figure 4.7. Nitrogen density bears a straight correlation with pressure, and shows lower density at high pressure than the methane-butane mixture. In general, nitrogen viscosity has a nar- rower variation from 0.017 cp to 0.0214 cp, however, the vapor viscosity for methane and butane mixture varies from 0.01 cp to 0.0251 cp. At pressure lower than the dew- point pressure, the viscosity of the two-phase hydrocarbon flow should have greater value than the vapor viscosity used in the calculation. Hence the ki/kref calculation for hydrocarbon flow at low pressure could be underestimated. Figure 4.8 shows the calculated ki/kref for both nitrogen flow and four hydrocar- bon experiments. Compared with the nitrogen flow, the hydrocarbon flow at the low pressure range shows decrease in the ki/kref , which is due to the lower flow capacity in the two-phase flow region. 4.1.2 Compositional Measurements Experiment A In this experiment, the first batch of samples (we call them original compositions) were collected before the flow test, and the core was in static condition during sampling.
  • 96.
    74 CHAPTER 4.EXPERIMENTAL RESULTS y = 8E-05x + 0.0004 R 2 = 0.9999 0 0.02 0.04 0.06 0.08 0.1 0.12 0.14 0.16 0.18 0.2 0 500 1000 1500 2000 2500 Pressure (psi) Density(g/cm 3 ) (a) Density of nitrogen. y = 5E-10x 2 + 6E-07x + 0.0178 R 2 = 0.9993 0 0.005 0.01 0.015 0.02 0.025 0 500 1000 1500 2000 2500 Pressure (psi) Viscosity(cp) (b) Viscosity of nitrogen. Figure 4.6: Density and viscosity of nitrogen at T = 20◦ C (a) Density vs. Pressure (b) Viscosity vs. Pressure.
  • 97.
    4.1. EXPERIMENTAL RESULTS75 y = -9E-15x 4 + 3E-11x 3 - 2E-08x 2 + 8E-05x - 0.002 R 2 = 0.9999 0 0.05 0.1 0.15 0.2 0.25 0 500 1000 1500 2000 2500 Pressure (psi) Density(g/cm 3 ) (a) Density of methane and butane mixture (C1/C4 = 85%/15%). y = -7E-16x 4 + 6E-12x 3 - 8E-09x 2 + 5E-06x + 0.0097 R 2 = 0.9962 0 0.005 0.01 0.015 0.02 0.025 0.03 0 500 1000 1500 2000 2500 Pressure (psi) Viscosity(cp) (b) Viscosity of methane and butane mixture (C1/C4 = 85%/15%. Figure 4.7: Density and viscosity of methane and butane mixture (C1/C4 = 85%/15%) at T = 20◦ C (a) Density vs. Pressure (b) Viscosity vs. Pressure.
  • 98.
    76 CHAPTER 4.EXPERIMENTAL RESULTS 0 0.5 1 1.5 2 2.5 0 50 100 150 200 250 Core location (mm) ki/k0 Experiment A Experiment B Experiment C Experiment D Nitrogen 01 Nitrogen 02 Figure 4.8: Apparent permeability ratios for nitrogen and hydrocarbon flow (ki/k1, scaled with the apparent permeability at location 90mm.). Notice that, the original compositions (blue diamond dots in Figure 4.9) show slight drop in the butane mole percentage at the two sample ports located downstream. Compositions from the four upstream ports are identical and consistent with the composition from the cylinder. The drop of butane mole percentage in the last sampling ports may be due to the pressure drop during the sampling process or due to liquid dropout during the initial introduction of the mixture into the empty core. The flow test was performed under constant pressure drop with the upstream and downstream pressures were regulated to 1,954.1 psi and 1,000 psi respectively. The second batch of samples were taken during the steady constant pressure drop flow. The composition results in Figure 4.9 show that as the pressure drops, the molar fraction of the heavy component C4 also decreases. This is due to the fact that as the pressure decreases, liquid drops out into the core, and the accumulated liquid remains immobile until the liquid saturation exceeds the critical condensate saturation (Scc). Since the liquid is mainly comprised of the heavy component, the liquid becomes richer
  • 99.
    4.1. EXPERIMENTAL RESULTS77 0 5 10 15 20 25 -100 -50 0 50 100 150 200 250 300 core location (mm) Butane(C4)molepercentagein theflowingphase(%) original composition composition during flow mixture composition Figure 4.9: Butane mole percentage profiles with samples collected in Experiment A during flow with constant pressure drop. as the pressure decreases. At the early stage of the flow, the flowing phase becomes leaner as the system had not reached the steady-state condition. This confirms the presimulation results as depicted previously in Figure 3.4(a). Experiment B Experiment B was similar to Experiment A except that it was performed under larger constant pressure drop. In this experiment, the compositional sampling during the flow was taken when the flow reached fully steady state, hence the flowing composi- tions are almost identical to those from static condition (as shown in Figure 4.10). This also verifies the preexperiment simulation estimation. Experiment C Experiments C and D were designed for two purposes. The main purpose was to isolate both the tubing lines at core ends, and thus the fluid sampling prior to and after the core will not be influenced by the instant pressure drop during the sampling
  • 100.
    78 CHAPTER 4.EXPERIMENTAL RESULTS 0 2 4 6 8 10 12 14 -100 -50 0 50 100 150 200 250 300 core location (mm) Butane(C4)molepercentagein theflowingphase(%) original composition composition during flow Figure 4.10: Butane mole percentage profiles with samples collected in Experiment B during flow with constant pressure drop. process. This is especially important for the sampling at the core exit because more liquid tends to be flushed to the tubing if there is a sudden pressure drop. The second purpose is to see how quickly the composition redistributes in the core. As seen from the preexperiment simulation results, the butane mole percentage in both liquid and in-situ fluid drops in six seconds after the injector and producer shut down, at the same time the butane mole percentage in the vapor phase increases. Hence the fluid from the core at such condition becomes leaner. Figure 4.11 shows the composition results taken right after shutting down both the upstream and the downstream flow. Composition in the tubing prior to the core and after the core shows perfect match with the original composition from the cylinder. Composition prior to the core is in gas phase, so it is identical to the composition from the cylinder. Composition in the tubing after the core is the composition in the flowing phase during the constant pressure drop flow, hence is also the same as the original composition. Compositions of fluid from the interior of the core show butane content drop. This drop is not homogenous in the core, which may due two reasons. One reason is that
  • 101.
    4.1. EXPERIMENTAL RESULTS79 0 5 10 15 20 25 -100 0 100 200 300 400 Core location (mm) Butanepercentage(%) core upstream downstream discharge original composition Figure 4.11: Butane mole fraction profiles with samples collected in Experiment C immediately after the flow with constant pressure drop. the composition is not identical everywhere in the core even though the saturation redistributed in the core within very short time period. The composition configuration is still constrained by the history of the composition distribution at each core location. Another reason is that the six samples were collect by three different persons, and hence the samples were not collected at exactly the same time. The later the sampled collected, the bigger drop in the butane mole percentage. After the flow test, the core was naturally discharged, and the fluid was collected in an empty piston cylinder. The discharging experiment measures the average com- position zi flowing in the core, which can not be sampled directly from the flowing phase during the constant pressure drop flow. The composition analysis (Figure 4.11) shows increase of butane mole percentage in the fluid, which further confirms that the in-situ fluid in the constant pressure drop flow became heavier.
  • 102.
    80 CHAPTER 4.EXPERIMENTAL RESULTS Experiment D Experiment D is similar to Experiment C except that the mixture used for the flow test is heavier. Similar conclusions are found in Figure 4.12. In Experiment D, the composition collected from the tubing after the core shows increase in the butane mole percentage. This is due to the reason that the downstream valves were switched off one second later than those in the upstream. This delay, although very short, still caused some liquid to be flushed out of the core. The composition of the discharged fluid also shows increase in the heavier component. After discharging naturally, the core was flushed by nitrogen gas. Three samples were collected during the nitrogen injection. Figure 4.13 shows that butane percent- age decreases as the injection proceeds in the core. At the beginning, the butane percentage is about 14%, then after three minutes, butane percentage dropped to about 2%. This demonstrates that the accumulated liquid could not fully revaporize from the porous medium once it had been trapped there, and nitrogen injection is an effective way to recover the heavy component trapped in the core. 4.1.3 Saturation Measurements Saturation is calculated from CT numbers as defined in Eq. (3.10), and Sl = 1 − Sg. Figure 4.14 shows that the CT images for the core saturated with butane liquid, gas and the mixture of methane and butane. Figure 4.14(d) and Figure 4.14(e) illustrate that the differences between the CT images for core saturated with different fluids. The liquid saturation interpreted from the CT images is shown in Figure 4.15. Note that CTlr and CTgr were also adjusted with pressure to reflect the density change due to pressure change. Comparing the measured saturation results with the preexperiment saturation distribution (as shown in Figure 3.7), we can see that simulation and experiment behave differently in the well region. In the simulation, liquid vaporizes to zero in the well region as the build-up pressure stabilizes at 2000 psi (Figure 4.16). However, in the core flow experiment, liquid redistributes in the core one hour after the flow shut down. Although the final build up pressure is as high as 2000 psi, the liquid did not revaporize as suggested by the original phase
  • 103.
    4.1. EXPERIMENTAL RESULTS81 0 5 10 15 20 25 30 35 40 -100 -50 0 50 100 150 200 250 300 350 Core location (mm) Butanepercentage(%) core upstream downstream discharge original original composition Figure 4.12: Butane mole fraction profiles with (a) samples collected immediately in Experiment D after the flow with constant pressure drop (b) Samples collected after nitrogen injection into the naturally depleted core. diagram (Figure 3.1). This further confirms that the liquid becomes heavier (richer in heavy component), and the fluid in the core did not go back to the single gas phase at 2000 psi and room temperature according to the new phase configuration. The zero liquid saturation near the well region suggested by ECLIPSE simulation results is probably due to the inappropriate phase treatment in ECLIPSE. ECLIPSE treats all the regions outside the phase diagram as one single gas phase. This is true when the reservoir temperature remains on the right side of the critical temperature, and the composition configuration in the core does not change over time. However, the composition in the core becomes heavier as liquid builds up in the core, the phase diagram shifts towards the heavier configuration, and the critical temperature of the heavier fluid may shift to the right side of the reservoir temperature (as shown in Figure 4.17). In this case, the reservoir fluid is no longer gas-condensate, and hence liquid can not revaporize as the pressure goes up. In this case, repressurizing is not a good strategy to remove the liquid accumulation.
  • 104.
    82 CHAPTER 4.EXPERIMENTAL RESULTS 0 5 10 15 20 25 30 35 40 0 50 100 150 200 Time (seconds) Butanepercentage(%) Nitrogen injection Figure 4.13: Butane mole fraction in the exit flow with nitrogen injection (Experiment D). 4.1.4 Apparent Permeability Measurements Nitrogen permeability was measured before and after the hydrocarbon flow test. Fig- ure 4.18 shows the results measured at different time. Where k is apparent perme- ability, defined as Eq. (4.1). From the figure, we can see that permeabilities measured right after the hydrocarbon flow test are lower than those measured before the test, which indicates that some liquid drop-out in the core did not revaporize. The fact that liquid still exists even though the original phase diagram suggests complete revapor- ization is of primary importance, because it shows that the liquid remaining in the core is not the same as the original composition. Nitrogen permeability measured two weeks after the hydrocarbon flow test is consistent with those measurements before the hydrocarbon flow test, which indicates the ultimate revaporization of the conden- sate in the core. These results are also consistent with the composition measurements in Experiment D.
  • 105.
    4.2. SUMMARY 83 (a) 500 1000 1500 2000 2500 (b) 500 1000 1500 2000 2500 (c) 500 1000 1500 2000 2500 (d) 0 100 200 300 400 (e) 0 100 200 300 400 (a)Image of the core saturated with liquid C4 . (b) Image of the core saturated with gas C1 . (c) Image of the core saturated with the mixture of C1 and C4 . (d) The difference between the core saturated with liquid C4 and gas C 1 . (e) The difference between the core saturated with liquid C4 and the mixture of C1 and C4 . CT(H) Figure 4.14: CT images of the core saturated with (a) liquid butane (b) gas methane (c) the mixture of methane and butane and (d) the difference between liquid butane and gas methane and (e) the difference between liquid butane and the mixture of methane and butane at l = 74mm. 4.2 Summary These five example experiments on the binary gas-condensate system demonstrate and confirm the compositional variation in the gas-condensate flow, even in the constant pressure-drop flow case. In gas-condensate flow, local composition changes due to the influence of relative permeability effect although the composition of the flowing phase has slight or no change. The reservoir flow would not revaporize as suggested by the
  • 106.
    84 CHAPTER 4.EXPERIMENTAL RESULTS 0 10 20 30 40 50 60 70 80 90 100 0 50 100 150 200 250 300 core locations(mm) Liquidsaturation(Sc,percentage) after pressure adjustment no pressure adjustment Flow direction Figure 4.15: A saturation profile from CT image interpretation. 600 800 1000 1200 1400 1600 1800 2000 2200 -100 -50 0 50 100 150 200 250 300 350 core location (mm) Build-uppressure(psi) Build-up pressure Flowing pressure Flow direction Figure 4.16: Pressure profile in the core during x-ray CT scanning.
  • 107.
    4.2. SUMMARY 85 0 500 1000 1500 2000 -150-100 -50 0 50 100 150 200 250 Temperature (deg F) Pressure(psia) 2-Phase boundary Critical 2-Phase boundary Figure 4.17: PT diagram for binary component C1/C4 = 63%/37%. 0.0 0.5 1.0 1.5 2.0 2.5 3.0 3.5 4.0 0.00 0.10 0.20 0.30 0.40 0.50 0.60 0.70 1/pm (1/atm) k(md) Pre HC flow test 01 Pre HC flow test 02 Post HC flow test 01 Post HC flow test 02 (two weeks later) Post hydrocarbon flow test Before hydrocarbon flow Figure 4.18: Apparent permeability measurements for nitrogen flow.
  • 108.
    86 CHAPTER 4.EXPERIMENTAL RESULTS CV D experiment in the PVT cell due to the local composition variation. Pressurizing would not be a good strategy to remove the liquid accumulation in the reservoir once the fluid composition shifted to the heavier side.
  • 109.
    Chapter 5 Gas-Condensate FlowModeling In this chapter, we present the general form of material balance equation for con- densate flow in porous media. The compositional variation of the reservoir fluid, especially the heavier component of the fluid, around the well during condensate dropout is analyzed. Key parameters that influence the compositional behavior are also discussed in detail. The theoretical analysis assists us to understand the mechanism of the composi- tional variation in the reservoir. From the theoretical material balance standpoint, we can then use our theoretical knowledge to investigate ways to enhance the produc- tivity by producing more gas, and at the same time controlling the liquid composition that drops out around the well. In the second section of this chapter, compositional simulations are studied, and the resulting optimal producing strategies are suggested. 5.1 Theoretical Model For an arbitrary volume, V (t), of the porous medium bounded by a surface, S(t), a general form of the compositional conservation equation can be defined as Eq. 5.1 if the dispersion and the effects of pressure differences between phases (capillary pressure differences) can be neglected. This assumption holds true for large capillary number cases (Nc > 10−3 ), where the viscous force dominates. Consider the experiment we studied in Chapter 4, the core is 0.25 m long with an 87
  • 110.
    88 CHAPTER 5.GAS-CONDENSATE FLOW MODELING average permeability around 5 mD and pressure drop across the core is about 1000 to 1500 psi, the darcy velocity u is of order 1 to 1.5 cm/sec. The gas viscosity at 1800 psi is around 0.02 cp and the interfacial tension (IFT) is around 0.2 dyne/cm. In this case capillary number Nc is around 2×10−3 to 3×10−3 in which case the capillary and viscous forces is about the same. For gas flow with high flow rate near the well region, Nc is relatively large, hence capillary forces can be reasonably neglected, however, in cases where wells producing at low flow rate, and the interfacial tension between gas and liquid is high, the capillary force needs to be considered in the model as well. ∂ ∂t φ np j=1 xijρjSj + · np j=1 xijρjυj = 0, i = 1, nc. (5.1) where φ is the porosity of the porous media, Sj is saturation of phase j, ρj is the molar density of phase j, xij is the mole fraction of component i in phase j, υj is local flow velocity of phase j. One-Dimensional Flow For one-dimensional flow in a Cartesian coordinate system, Eq. 5.2 reduces to: ∂ ∂t φ np j=1 xijρjSj + ∂ ∂x np j=1 xijρjυj = 0, i = 1, nc. (5.2) In the absence of capillary pressure and gradational force, the Darcy flow velocity, υj, is defined by Eq. 5.3: υj = − kkrj µj ∂p ∂x , j = 1, np. (5.3) The notation of Eq. 5.2 and Eq. 5.3 can be simplified by defining two additional functions, Gi and mi, as: Gi = np j=1 xijρjSj (5.4) and
  • 111.
    5.1. THEORETICAL MODEL89 mi = np j=1 xijρj kkrj µj (5.5) Gi is an overall molar density of component i, and mi an overall mobility of com- ponent i weighted with component molar density. The final version of the equations for multicomponent, multiphase convection is, therefore, φ ∂Gi ∂t − ∂mi ∂x ∂p ∂x − mi ∂2 p ∂x2 = 0, i = 1, nc. (5.6) Summing up Eq. 5.6 over all components, a similar conservation equation can be obtained as: φ ∂G ∂t − ∂m ∂x ∂p ∂x − m ∂2 p ∂x2 = 0 (5.7) where G = nc i=1 Gi (5.8) and m = nc i=1 mi (5.9) Rearranging and combining Eq. 5.6 and Eq. 5.7 together, the following equation can be obtained: 1 mi ∂Gi ∂t = 1 m ∂G ∂t + 1 φ ∂ ∂x ln( mi m ) ∂p ∂x , i = 1, np. (5.10) ρj is the molar density (in moles per unit volume) of phase j. Given a volume V and a porous media with porosity φ, then ρjV φSj is the mole fraction of phase j, hence, GiV φ = np j=1 xijV φρjSj = zi (5.11)
  • 112.
    90 CHAPTER 5.GAS-CONDENSATE FLOW MODELING and GV φ = nc i=1 GiV φ = nc i=1 zi = 1 (5.12) Therefore: Gi G = GiV φ GV φ = zi 1 = zi (5.13) Rearranging and putting zi = Gi/G in Eq. 5.10, the final version of the equations for multicomponent, multiphase convection is, therefore, ∂zi ∂t = ( mi m − zi) ∂lnG ∂t + mi φG ∂ ∂x ln( mi m ) ∂p ∂x , i = 1, nc. (5.14) Notice that Gi, G and mi/m are functions of pressure, by applying the chain rule, Eq. 5.14 can be further expressed as: ∂zi ∂t = ( mi m − zi) ∂lnG ∂p ∂p ∂t + mi φG ∂ ∂p ln( mi m )( ∂p ∂x )2 , i = 1, nc. (5.15) The notation of Eq. 5.15 can be simplified by defining two additional functions, Ai and Bi, as Ai = ( mi m − zi) ∂lnG ∂p , i = 1, nc. (5.16) and Bi = mi φG ∂ ∂p ln( mi m ), i = 1, nc. (5.17) The final version of the simplified equations for multicomponent, multiphase con- vection is, therefore, ∂zi ∂t = Ai ∂p ∂t + Bi( ∂p ∂x )2 , i = 1, nc. (5.18)
  • 113.
    5.2. COMPOSITIONAL VARIATIONBEHAVIOR 91 Ai and Bi are the coefficients of time derivative of pressure (∂p/∂t) and the pres- sure gradient (∂p/∂x) respectively. Both Ai and Bi are functions of relative perme- ability, viscosity, pressure and PVT properties. During the production, the reservoir pressure varies both temporally and spatially, so does the compositional change, as indicated by Eq. 5.18. If the producer is controlled at a constant bottom hole flowing pressure (∂p/∂t = 0), the rate of compositional change is determined by the pressure gradient only. For a low permeability system, the pressure gradient around the well is usually very large, and hence the compositional variation around the well can be- come significant as well. Away from the well, pressure gradient is generally small or sometimes, insignificant, the compositional variation is then mainly determined by the time derivative of pressure (∂p/∂t). Radial Flow For three-dimensional radial flow in a cylindrical coordinate system, a similar deriva- tion can be made by applying radial Darcy velocity. The general form is given as: ∂zi ∂t = Ai ∂p ∂t + Bi( ∂p ∂r )2 , i = 1, nc. (5.19) Similar to the linear flow, the rate of compositional change in a radial flow (∂zi/∂t) also depends not only on pressure, but also on composition and both the gas and the condensate relative permeabilities. The detailed discussion of the compositional variation behavior is presented in the following section. 5.2 Compositional Variation Behavior The condensate bank builds up around the producing well when the bottom hole flow- ing pressure drops below the dewpoint pressure. As the reservoir pressure declines, the bank grows and the well produces less heavy components at the surface. Eq. 5.18 and Eq. 5.19 provide us a straightforward theoretical model to facilitate the understand- ing of the process involved in the compositional change. Three binary-component
  • 114.
    92 CHAPTER 5.GAS-CONDENSATE FLOW MODELING fluids consisting of methane and butane only are considered for compositional behav- ior analysis. The composition of the heavier component C4 varies from 0.15 to 0.25, representing a range of lean, near-critical and light oil mixtures. Figure 5.1 shows the PT phase diagram for the methane-butane systems adopted in this analysis. The reservoir temperature is 60 o F and is assumed to remain constant during production. At reservoir temperature, the fluid with 15% butane is a lean gas-condensate sys- tem, the fluid with 20% butane is near critical gas-condensate, while the fluid with 25% Butane is light oil. For gas-condensate fluid, the maximum of the CVD liquid dropout, as shown in Figure 5.2, varies from 31% to 11% in terms of liquid volume relative to the dewpoint volume at temperature 60 o F, and in the light oil case, the fluid originally consists of 100% butane at the reservoir condition, and the liquid per- centage drops as the solution gas evolves from the system as the reservoir pressure drops below bubble-point pressure. As illustrated in Eq. 5.19 and Eq. 5.18, the variation rate of compositions de- pends on the time derivative of pressure (∂p/∂t), the pressure gradient (∂p/∂x) for linear flow or (∂p/∂r) for radial flow and their coefficients Ai and Bi. According to the definition of Ai (Eq. 5.16) and Bi(Eq. 5.17), both Ai and Bi consist of the mobility term mi and m. Since mobility is closely related to relative permeability. A representative relative permeability model needs to be used in the Ai and Bi calcula- tion. In the following section, we will examine the sensitivity of Ai and Bi to relative permeability, pressure and fluid types. The Ai and Bi terms in Eq. 5.18 are calculated for the heavier component C4 from the PVT properties and relative permeabilities. The PVT properties, such as molar density, composition, viscosity and interfacial tension etc, were modeled with WinProp (version 2006, Computer Modeling Group Ltd.) The Peng-Robinson equation of state (EoS) was used to represent the thermodynamic properties of the fluids and the viscosity calculation is based on the Pederson Corresponding States model. Three relative permeability models were used in this calculation. Details of the relative permeability modeling are presented in the flowing subsection.
  • 115.
    5.2. COMPOSITIONAL VARIATIONBEHAVIOR 93 0 500 1000 1500 2000 2500 -140 -120 -100 -80 -60 -40 -20 0 20 40 60 80 100 120 140 160 180 Temperature (°F) Pressure(psia) 2-Phase boundary for 20% C4 Critical for 20% C4 2-Phase boundary for 25% C4 2-Phase boundary for 25% C4 Critical for 25% C4 2-Phase boundary for 15% C4 Critical for 15% C4 T=60°F 15% C4 20% C4 25% C4 Figure 5.1: PT diagram of methane-butane systems. The reservoir temperature is 60 o F. At reservoir temperature, the fluid with 15% butane is a lean gas-condensate system, the fluid with 20% butane is near critical gas-condensate, while the fluid with 25% Butane is light oil. 5.2.1 The Impact of Relative Permeability Models Both coefficients Ai and Bi are functions of mobility terms mi and m. To model the mobility correctly, we need to have a representative relative permeability model. In the following section, we will demonstrate how the relative permeability plays a role in the Ai and Bi terms. In the governing equation, we did not include the capillary pressure terms explicitly. This treatment may not be appropriate when the gas- condensate fluid is far away from the critical point, the interfacial tension is high and the phase interface is distinct. To account for the influence of high interfacial tension (IFT) , we can adopt a relative permeability model with IFT dependent functions. The IFT dependant relative permeability model was initially proposed by Bette et al.
  • 116.
    94 CHAPTER 5.GAS-CONDENSATE FLOW MODELING 0.0 10.0 20.0 30.0 40.0 50.0 60.0 70.0 80.0 90.0 100.0 0 500 1000 1500 2000 Pressure (psia) LiquidVolume,%originalvol. 15% C4 20% C4 25% C4 Figure 5.2: CVD liquid dropout curves for three fluids at temperature 60 o F. At reser- voir temperature, the fluid with 15% butane is an lean-intermediate gas-condensate system, having a maximum liquid drop of 10.9%; the fluid with 20% butane is near critical gas-condensate with a maximum liquid drop of 31.4%; the fluid with 25% Butane is light oil with 100% oil in reservoir condition. (1991) and Coats (1980). Recently, Hartman and Cullick (1994) applied this method to study the oil recovery at low interfacial tension. The relative permeabilities to condensate, krc and to gas, krg, at a specified saturation is: krc = f(σ)krci + (1 − f(σ))krcm (5.20) krg = f(σ)krgi + (1 − f(σ))krgm (5.21) f(σ) = ( σ σ∗ ) 1 n (5.22)
  • 117.
    5.2. COMPOSITIONAL VARIATIONBEHAVIOR 95 where σ is the IFT, σ∗ is a reference IFT, krcm and krgm are the condensate and gas relative permeabilities at complete miscibility, the immiscible krci and krgi are the condensate and gas relative permeabilities for the fluids at IFT values equal to or greater than σ∗ , and n is an adjustable exponent. Eq. 5.20 and Eq. 5.21 states that the relative permeability transition function is a mixing model as a function of IFT. Based on experimental data, Hartman and Cullick (1994) suggested a correlation for residual condensate saturation to gas as a function of IFT: Scrg(σ) = [1 + 0.67log( σ σ∗ )]Scrgi (5.23) The gas endpoint is: Sgc(σ) = σ σ∗ Sgc (5.24) The miscible relative permeability used in the mixing function is normalized with respect to the IFT dependent endpoints: krcm = 1 − Scrg(σ) − Sg 1 − Scrg(σ) (5.25) krgm = Sg 1 − Sgc(σ) (5.26) When the fluid condition is far away from the critical point, the phase interface is distinct. The permeabilities of the liquid and vapor phase can be approximated with Eq. 5.27 and Eq. 5.28: krci = [ 1 − Scrg(σ) − Sg 1 − Scrg(σ) ]2 (5.27) krgi = [ Sg 1 − Sgc(σ) ]2 (5.28) Figure 5.3 shows the calculated interfacial tension (IFT) correlated with pressure data for the three binary fluids used in this compositional analysis. A good rela- tionship (Eq. 5.29) between IFT and pressure can be inferred from the correlation.
  • 118.
    96 CHAPTER 5.GAS-CONDENSATE FLOW MODELING σ = 4E-06p 2 - 0.0157p + 16.869 R 2 = 0.9995 0 2 4 6 8 10 12 14 0 500 1000 1500 2000 2500 Pressure (psi) σ,(InterfacialTension,dyne/cm) 15% Butane 25% Butane 20% Butane Figure 5.3: Interfacial tension (IFT) as a function of pressure. IFT is independent of fluid type and decreases with increasing pressure. Notice that IFT is independent of fluid type, and it decreases sharply with increasing pressure, and IFT equals zero at dew-point pressure. IFT = 4 × 10−6 p2 − 0.0157p + 16.869 (5.29) Figure 5.4 illustrates the difference among three different relative permeability models for a binary-component fluid with 25% butane. The miscible treatment of relative permeability is near X-curve shape and has the lowest critical condensate saturation threshold, which implies that in the miscible situation, liquid is easier to move than immiscible cases. As the miscibility decreases in the fluid, liquid phase in the mixture needs to overcome greater critical condensate saturation to become mobile. The liquid mobility is also harmed as the phase interface becomes distinct. Although IFT itself only depends on pressure and independent of fluid types, the relative permeability is affected by the fluid type because different fluid has different liquid drop-out volume, and hence different liquid saturation. Figure 5.5 shows the
  • 119.
    5.2. COMPOSITIONAL VARIATIONBEHAVIOR 97 zC1/zC4 = 75%/25% 0 0.1 0.2 0.3 0.4 0.5 0.6 0.7 0.8 0.9 1 0 20 40 60 80 100 Liquid saturation (%) kr krc(IFT) krg(IFT) krci krgi krcm(IFT) krgm(IFT) Figure 5.4: Different relative permeability curves for a binary methane and butane system with 25% butane. krc(IFT) and krg(IFT) are IFT corrected relative per- meability; krci and krgi are relative permeability curves with immiscible treatment and krcm and krgm are miscible treatment of relative permeabilities. IFT corrected relative permeabilities for three fluids. Notice that the leaner the fluid, the lower the threshold for the liquid phase to mobilize. Both the liquid and the gas exhibit greater capability to move in a leaner fluid than in a richer one. This is due to the fact that the leaner fluids tend to have greater miscibility. Figure 5.6, Figure 5.7 and Figure 5.8 show the influences of the relative perme- ability on term ln(mi/m) for different fluids. ln(mi/m) bears a good quadratic rela- tionship with pressure for all fluids with three different relative permeability models. In the lean gas-condensate case (zC4 = 0.15), ln(mi/m) values resulting from differ- ent relative permeability curves show very little discrepancy, and the nuance appears on the low IFT, high pressure side. Different relative permeability models do have greater impact on ln(mi/m) term in the case of richer fluid, (zC4 = 0.25) in this example. Greater difference in zC4 = 0.25 also exists on the higher pressure side. The richer the fluid, the greater the impact of relative permeability. In all cases, the
  • 120.
    98 CHAPTER 5.GAS-CONDENSATE FLOW MODELING 0 0.1 0.2 0.3 0.4 0.5 0.6 0.7 0.8 0.9 1 0 20 40 60 80 100 Liquid saturation (%) kr krc(IFT, 25% Butane) krg(IFT, 25% Butane) krc(IFT, 15% Butane) krg(IFT, 15% Butane) krc(IFT, 20% Butane) krg(IFT, 20% Butane) Figure 5.5: IFT corrected relative permeability curves for binary methane and butane systems with 15% butane, 20% butane and 25% butane. miscible treatment of relative permeability always give the highest ln(mi/m) value, and the completely immiscible case has the lowest ln(mi/m) value. Figure 5.9 shows the influences of relative permeability on coefficient AC4 . First of all, AC4 is very small of the order of 10−4 and there are very small differences in AC4 value on the high pressure side. The difference is also small in rich fluids, as shown in Figure 5.10. Compared with term Ai, term Bi is of the order of 10−2 , 100 times greater than term Ai (Figure 5.11 and Figure 5.12). The impact of relative permeability is ob- vious for both lean and rich fluids, especially on the high pressure side. Unlike Ai, which is negative when pressure is below the dew-point pressure, Bi is positive when the pressure is above some threshold, say 1000 psi, in both cases. The richer the fluid, the greater the discrepancy of Bi in the high pressure end for different relative permeability models. In summary, relative permeability has greater impact on term Bi than on term Ai, and the difference varies with fluid types and pressure. The richer the fluid,
  • 121.
    5.2. COMPOSITIONAL VARIATIONBEHAVIOR 99 zC4=0.15, Ln(mC4/m) = 8E-07p 2 - 0.0016p - 1.834 R 2 = 0.9903 zC4=0.15, Ln(mC4/m) = 8E-07p 2 - 0.0016p - 1.8428 R 2 = 0.9879 zC4=0.15, Ln(mC4/m) = 9E-07p 2 - 0.0016p - 1.8205 R 2 = 0.986 -3 -2.5 -2 -1.5 -1 -0.5 0 0 500 1000 1500 2000 2500 Pressure (psi) Ln(mC4/m) zC4 = 0.15, kr(IFT) zC4 = 0.15, kri zC4 = 0.15, krm Poly. (zC4 = 0.15, kr(IFT)) Poly. (zC4 = 0.15, kri) Poly. (zC4 = 0.15, krm) Figure 5.6: Variation of term Ln(mi/m) with pressure for a methane-butane system (zC4 = 0.15) with different relative permeability models. zC4=0.20, Ln(mC4/m) = 9E-07p 2 - 0.0018p - 1.7455 R 2 = 0.9912 zC4=0.20, Ln(mC4/m) = 8E-07p 2 - 0.0016p - 1.8018 R 2 = 0.9791 zC4=0.20, Ln(mC4/m) = 1E-06p 2 - 0.0019p - 1.7279 R 2 = 0.9777 -3 -2.5 -2 -1.5 -1 -0.5 0 0 500 1000 1500 2000 Pressure (psi) Ln(mC4/m) zC4 = 0.20, kr(IFT) zC4 = 0.20, kri zC4 = 0.20, krm Poly. (zC4 = 0.20, kr(IFT)) Poly. (zC4 = 0.20, kri) Poly. (zC4 = 0.20, krm) Figure 5.7: Variation of term Ln(mi/m) with pressure for a methane-butane system (zC4 = 0.20) with different relative permeability models.
  • 122.
    100 CHAPTER 5.GAS-CONDENSATE FLOW MODELING zC4=0.25, Ln(mC4/m) = 1E-06p 2 - 0.0021p - 1.6408 R 2 = 0.9974 zC4=0.25, Ln(mC4/m) = 1E-06p 2 - 0.002p - 1.6568 R 2 = 0.9699 zC4=0.25, Ln(mC4/m) = 1E-06p 2 - 0.0019p - 1.7487 R 2 = 0.9679 -3 -2.5 -2 -1.5 -1 -0.5 0 0 500 1000 1500 2000 2500 Pressure (psi) Ln(mC4/m) zC4 = 0.25, kr(IFT) zC4 = 0.25, kri zC4 = 0.25, krm Poly. (zC4 = 0.25, kr(IFT)) Poly. (zC4 = 0.25, kri) Poly. (zC4 = 0.25, krm) Figure 5.8: Variation of term Ln(mi/m) with pressure for a methane-butane system (zC4 = 0.25) with different relative permeability models. -0.00018 -0.00016 -0.00014 -0.00012 -0.0001 -0.00008 -0.00006 -0.00004 -0.00002 0 0 500 1000 1500 2000 Pressure (psi) AC4(Acoefficientforbutanecomponent) zC4 = 0.15, Kr(IFT) zC4 = 0.15, Kri zC4 = 0.15, Krm Figure 5.9: Variation of term AC4 with pressure for a methane-butane system (zC4 = 0.15) with different relative permeability models.
  • 123.
    5.2. COMPOSITIONAL VARIATIONBEHAVIOR 101 -0.00018 -0.00016 -0.00014 -0.00012 -0.0001 -0.00008 -0.00006 -0.00004 -0.00002 0 0 500 1000 1500 2000 Pressure (psi) AC4(Acoefficientforbutanecomponent) zC4 = 0.25, Kr(IFT) zC4 = 0.25, Kri zC4 = 0.25, Krm Figure 5.10: Variation of term AC4 with pressure for a methane-butane system (zC4 = 0.25) with different relative permeability models. -0.1 -0.08 -0.06 -0.04 -0.02 0 0.02 0.04 0.06 0.08 0.1 0 500 1000 1500 2000 Pressure (psi) BC4(Bcoefficientforbutanecomponent) zC4 = 0.15, Kr(IFT) zC4 = 0.15, Kri zC4 = 0.15, Krm Figure 5.11: Variation of term BC4 with pressure for a methane-butane system (zC4 = 0.15) with different relative permeability models.
  • 124.
    102 CHAPTER 5.GAS-CONDENSATE FLOW MODELING -0.1 -0.08 -0.06 -0.04 -0.02 0 0.02 0.04 0.06 0.08 0.1 0 500 1000 1500 2000 Pressure (psi) BC4(Bcoefficientforbutanecomponent) zC4 = 0.25, Kr(IFT) zC4 = 0.25, Kri zC4 = 0.25, Krm Figure 5.12: Variation of term BC4 with pressure for a methane-butane system (zC4 = 0.25) with different relative permeability models. the greater the differences and the higher the pressure, the greater the differences. Miscible behavior tends to generate greater Ai and Bi values, while immiscible fluid has lower Ai and Bi values. 5.2.2 The Impact of Pressure Figure 5.9, Figure 5.10, Figure 5.11 and Figure 5.12 discussed in the previous subsec- tion show the great dependency of Bi on relative permeability models. These figures also show that both Ai and Bi are highly influenced by pressure. Both Ai and Bi decrease as the pressure drops. The magnitude of the decrease in Ai is almost dou- bled when the heavier component concentration varies from 0.15 to 0.20. Bi shows less magnitude change for different fluid types. Ai value is negative and relatively small, of the order of 10−4 within the pressure range presented in this study, while Bi is positive at higher pressure end, and negative on the lower side of pressure range and Bi is 100 times greater than Ai in magnitude. Since Ai is the coefficient for
  • 125.
    5.2. COMPOSITIONAL VARIATIONBEHAVIOR 103 the time derivative of pressure (∂p/∂t) and Bi for the pressure gradient (∂p/∂x) or (∂p/∂r), the compositional change resulted from the time derivative of pressure is insignificant and hence negligible when (∂p/∂t) is small. This is true when the well flows at a constant bottom hole pressure. In this case, the compositional variation in the well block is controlled mainly by the pressure gradient around the well. In regions far away from the well, the pressure gradient (∂p/∂x) or (∂p/∂r) is relatively small and (∂p/∂t) becomes relatively larger. In this case, the compositional change is dominated by (∂p/∂t). Recall that Ai is by definition a small coefficient, and hence the compositional variation is considerably smaller in regions not near the well. 5.2.3 The Impact of Fluid Types Since fluid properties are directly associated with fluid type, the difference in the fluid properties resulting from different fluid types is then carried over to terms Gi, G, Ai and Bi accordingly. Figure 5.13 shows that different fluids have minor impact on the overall molar density term G, hence, ln(G). Rich fluid results in greater ln(G). The impact of fluid type on term AC4 , however, is obvious and the influence is seen in the entire pressure range (Figure 5.14). At pressure 300 psi, AC4 is ranging from −0.00016 to −0.00056 as the heavier component butane mole concentration varies from 0.15 to 0.25. The difference on AC4 decreases as the fluid pressure increases. As the fluid pressure approaches dew-point pressure, AC4 approaches zero. This implies that when the pressure is around dew-point pressure, the term AC4 (∂p/∂t) draws close to negligible. The impact of fluid type on term BC4 is very small, and rich fluid gives slightly smaller BC4 value according to Figure 5.11. In summary, fluid type, relative permeability and pressure all have impact on terms Ai and Bi, hence ∂zi/∂t. Ai is mainly impacted by pressure and fluid type. Higher pressure gives greater Ai value for the heavier component C4 for the binary methane and butane system and richer fluid yields lower AC4 value. The impact of relative permeability on Ai is negligible and only noticeable as pressure close to dew- point pressure. Relative permeability and pressure have greater impact on Bi than fluid type. The influence of fluid types on Bi is small and only detectable as the fluid
  • 126.
    104 CHAPTER 5.GAS-CONDENSATE FLOW MODELING zC4 = 0.15, Ln(G) = 1.2337Ln(p) - 14.004 R 2 = 0.9991 zC4 = 0.25, Ln(G) = 1.2519Ln(p) - 13.98 R 2 = 0.999 zC4 = 0.20, Ln(G) = 1.2415Ln(p) - 13.986 R 2 = 0.999 -8 -7 -6 -5 -4 -3 -2 -1 0 0 500 1000 1500 2000 2500 Pressure (psi) Ln(G) zC4 = 0.15 zC4 = 0.25 zC4 = 0.20 Log. (zC4 = 0.15) Log. (zC4 = 0.25) Log. (zC4 = 0.20) Figure 5.13: Variation of term G with pressure for a methane-butane systems with different compositions. -0.0006 -0.0005 -0.0004 -0.0003 -0.0002 -0.0001 0 0 500 1000 1500 2000 Pressure (psi) AC4(Acoefficientforbutanecomponent) zC4 = 0.15 zC4 = 0.25 zC4 = 0.20 Figure 5.14: Variation of term AC4 with pressure for methane-butane systems with different compositions.
  • 127.
    5.2. COMPOSITIONAL VARIATIONBEHAVIOR 105 -0.1 -0.08 -0.06 -0.04 -0.02 0 0.02 0.04 0.06 0.08 0 500 1000 1500 2000 Pressure (psi) BC4(Bcoefficientforbutanecomponent) zC4 = 0.15 zC4 = 0.25 zC4 = 0.20 Figure 5.15: Variation of term BC4 with pressure for methane-butane systems with different compositions. pressure approaches dew-point pressure. In general, miscible behavior yields greater value in Bi, and Bi decreases as the miscibility reduces on the phase interface. BC4 is negative under lower flow pressure and positive at higher pressure. At some point, BC4 can be zero. The magnitude of Ai is insignificant in general and therefore negligible when (∂p/∂t) is very small. AC4 is negative for the methane and butane binary system, which implies that in the depletion scenario, (∂p/∂t) is negative, AC4 (∂p/∂t) is there- fore positive. The compositional variation of C4 resulting from the AC4 (∂p/∂t) part is then positive. In another words, the methane and butane mixture becomes richer during depletion if (∂p/∂t) is the dominant factor. This is often true when the flow region is far away from the well. In zones other than the near-well region, the pressure gradient (∂p/∂x) or (∂p/∂r) is insignificant and can be negligible. When the gas-condensate well flows at a constant bottom hole pressure (∂p/∂t = 0) or the flow pressure approaches dew-point pressure (Ai approaches zero), AC4 (∂p/∂t) is zero or close to zero, the pressure gradient part is the main factor controlling the
  • 128.
    106 CHAPTER 5.GAS-CONDENSATE FLOW MODELING compositional variation. In either of these two cases, the compositional variation rate of butane can be either positive or negative depending on the sign of Bi. When the pressure is high, Bi > 0, the overall butane concentration increases with time. At lower pressure, Bi < 0, the overall butane concentration decreases with time. As pressure decreases, some part of the accumulated liquid starts to vaporize, this may account for the decrease in overall butane concentration. The dividing point is, how- ever, much lower than the pressure corresponding to the maximum liquid drop-out pressure. This is due to the relative permeability effect. The condensate drop-out during pressure draw down accumulates and becomes mobile only when the accumu- lated condensate saturation exceeds the critical condensate saturation. 5.3 Simulation Model for Binary Gas-Condensate Systems In this section, we present our work on the numerical simulation of gas-condensate system on field scales. We first present the simulation model and results for a binary gas-condensate system and then later apply the simulation model to a multicompo- nent gas-condensate system and discuss the issues associated with different producing schemes. Finally we summarize important findings and discuss direction for future work. 5.3.1 Model Setup The primary objective of the simulation is to understand the impact of producing scheme on the condensate banking and compositional variations. A hypothetical cylindrical reservoir model, with radius of 9699 ft and permeability-thickness of 162.5 md − ft has been chosen. In the simulations, small grid block radii around the well- bore were chosen to allow accurate pressure drop calculation in the near well-bore re- gion. A simulator E300 (2005a, Eclipse) with the fully implicit (FULLIMP) method
  • 129.
    5.3. SIMULATION MODELFOR BINARY GAS-CONDENSATE SYSTEMS 107 was used to simulate the performance under different producing strategies. The reser- voir fluid is a binary synthetic gas-condensate system with C1/C4 = 85%/15%, char- acterized by Figure 2.2. The simulation is performed under reservoir temperature 60 o F. The single producer in this simulation is controlled by gas rate and minimum bottom hole pressure. The well initially produces at the designated gas rate and switches to BHP control if the BHP is below the BHP minimum limit. The same gas rate but different BHP control schemes were adopted to explore the flow behavior features for this binary system. 5.3.2 Simulation Results for Binary Gas-Condensate Systems Figure 5.16 shows the total gas production, well BHP and well gas production rate history for six different BHP configurations. The producer starts with constant production rate at 3300 MCF/day, and then switches to BHP pressure control as long as the flowing BHP drops below the BHP limit. BHP01, BHP02 and BHP03 scenarios follow this producing scheme switch. Under the other three scenarios, the well produces with constant producing rate as the flowing BHPs remain high above the BHP limit. As the BHP decreases from 700 psi in BHP01 to 200 psi in BHP06, the well shows delay in the production rate drop, hence achieved higher cummulative gas production, as shown in Figure 5.16(a). In BHP01, BHP02 and BHP03 scenarios, the well flows at a constant BHP (∂p/∂t = 0) during part of the production period. According to Figure 5.11, as the well block pressure falls below 1000 psi, the overall mole concentration of the heavier component, butane (zC4 ), in the well block should decrease with time because of the negative Bi. However, the simulated (zC4 ), as shown in Figure 5.17(a) does not show decrease as predicted by the theoretical model (Eq. 5.19). This is caused by the accumulated condensate. The theoretical model does not account for the liquid accumulation as happened in the real porous medium. Although relative permeability is included in the theoretical model, the liq- uid saturation estimation is based on the in-situ pressure and original compositional
  • 130.
    108 CHAPTER 5.GAS-CONDENSATE FLOW MODELING information. In real porous media, the condensate drops out and accumulates in the reservoir and only gains the mobility when the accumulated liquid saturation exceeds the threshold saturation. Since the liquid drop out is rich in heavier component, the local reservoir fluid becomes richer than the PVT cell flash calculation. Hence we do not see the expected heavier component drop in the well block at low well block pressure. Figure 5.17(b) illustrates the correlation of zC4 in the flowing phase with pressure. The flowing fluid composition in this case reflects the condensate accu- mulation effect. When the flowing pressure drops immediately below the dewpoint pressure, the well produces leaner gas as the heavier component drops to the reservoir and stays immobile. As part of the condensate starts to flow and part of the butane previously stuck in the reservoir vaporizes, the well starts to produce more butane at the wellhead. Different BHPs give rise to different compositional variations in the well block and wellhead fluid (Figure 5.18). As mentioned earlier, in scenarios BHP01, BHP02 and BHP03, the well flows at a constant BHP (∂p/∂t = 0) during part of the production period. During that period, we see that zC4 actually remains constant. As analyzed in the previous section, at constant BHP (∂p/∂t = 0), the increase or decrease of the butane mole fraction depends on the sign of BC4 unless BC4 is zero or pressure gradient (∂p/∂r = 0). ∂p/∂r = 0 implies that the well production rate is zero, which is not true in this case, and according to Figure 5.15, BC4 = 0 at pressure around 1100 psi for zc4 = 0.25. BC4 reaches zero at higher pressure for fluid richer than zc4 = 0.25. The bottom hole pressure in scenario BHP01, BHP02 and BHP03 are all below 1000 psi. Possible reason for the constant zC4 under constant bottom hole pressure is that at the constant flowing pressure, the temporary butane concentration zC4 is decreasing because of the negative BC4 , however, because of the accumulation of butane in the earlier stage, the temporary decrease in the butane concentration cancels out the previous accumulation. The producing fluid composition shows the predicted trend. The wellhead fluid becomes leaner initially as the liquid dropout is stuck in the reservoir, and becomes richer as the part of the condensate starts to flow. When the well is controlled by the BHP only, as in part of the scenarios BHP01, BHP02 and BHP03, the higher
  • 131.
    5.4. SIMULATION MODELFOR MULTICOMPONENT GAS-CONDENSATE SYSTEMS109 the BHP pressure control, the lower the overall heavier component fraction in the reservoir and hence more heavier component produced at surface. In summary, for this binary gas-condensate system, producing with the lower BHP constraint can yield higher cumulative gas production while losing more heavy component, butane, to reservoir liquid dropout. 5.4 Simulation Model for MultiComponent Gas- Condensate Systems 5.4.1 Model Setup The multicomponent fluid properties are shown in Table 5.1. The phase envelope for the multicomponent gas-condensate system of component set 1 is shown in Figure 2.10, and the liquid dropout estimation is shown in Figure 2.11. IFT adjusted relative permeability were used in this simulation. Different from the binary cases studies in the previous section, different gas rate controls but the same minimum BHP = 500 psi constraint were explored in this simulation. The well produces at constant rate unless the flowing BHP falls below 500 psi, in this case, the well is then switched to the minimum BHP constraint. The PVT properties for this fluid were estimated with PV Ti (2005a, Schlumberger). The corrected Peng-Robinson equation of state (PRCORR) is used to represent the thermodynamic properties of the fluids and the viscosity calculation is based on the Pederson Corresponding States model. 5.4.2 Simulation Results for MultiComponent Gas-Condensate Systems Figure 5.19, Figure 5.20 and Figure 5.21 show the simulation results for this multi- component system. Since the heavier components C+1 7 , C+2 7 and C+3 7 have very small mole fractions, three components are grouped together and form a new group C+ 7 for discussion. As we can see from these figures that the different rate controls give rise to different flowing bottom hole pressure, which yields similar results as setting different
  • 132.
    110 CHAPTER 5.GAS-CONDENSATE FLOW MODELING 0 5 10 15 20 25 30 35 0 1 2 3 4 5 6 7 8 9 10 x 10 4 Time (days) WGPT(mscf) BHP01 BHP02 BHP03 BHP04 BHP05 BHP06 0 10 20 30 40 200 400 600 800 1000 1200 1400 1600 1800 Time (days) WBHP(psia) 0 10 20 30 40 2600 2700 2800 2900 3000 3100 3200 3300 3400 Time (days) WGPR(mscf/day) decreasing BHP decreasing BHP decreasing BHP (a) Accumulated gas production with time. (b) Bottom hole pressure history. (c) Gas production history Figure 5.16: History profiles of (a) The accumulated gas production (WGPT (b) Well bottom hole pressure (WBHP) and (c) Gas production rate (WGPR) for a binary gas-condensate system.
  • 133.
    5.4. SIMULATION MODELFOR MULTICOMPONENT GAS-CONDENSATE SYSTEMS111 0 500 1000 1500 2000 0 0.1 0.2 0.3 0.4 0.5 0.6 0.7 0.8 0.9 1 Well block pressure (psi) zC4 inthewellblock BHP01 BHP02 BHP03 BHP04 BHP05 BHP06 0 500 1000 1500 2000 0 0.05 0.1 Bottom hole pressure (psi) ProducedzC4 fromthewellhead BHP01 BHP02 BHP03 BHP04 BHP05 BHP06 (b) Flowing C4 mole fraction vs. well bottom hole pressure (BHP). (a) Overall C4 mole fraction in the well block vs. well block pressure. Figure 5.17: Overall butane mole fraction zC4 profiles. (a) Overall butane mole fraction BzC4 profiles in the well block vs. the well block pressure. (a) Overall butane mole fraction WzC4 profiles in the producing fluid vs. BHP.
  • 134.
    112 CHAPTER 5.GAS-CONDENSATE FLOW MODELING 0 5 10 15 20 25 30 35 0 0.2 0.4 0.6 0.8 1 Time(days) zC4 inthewellblock BHP01 BHP02 BHP03 BHP04 BHP05 BHP06 0 5 10 15 20 25 30 35 0 0.05 0.1 Time(days) ProducedzC4 fromthewellhead BHP01 BHP02 BHP03 BHP04 BHP05 BHP06 (a) Overall C4 mole fraction in the well block vs. time. (b) Flowing C4 mole fraction vs. time. decreasing BHP decreasing BHP Figure 5.18: Overall butane mole fraction zC4 history profiles. (a) History of the overall butane mole fraction BzC4 in the well block. (a) History of the overall butane mole fraction WzC4 profiles in the producing fluid.
  • 135.
    5.4. SIMULATION MODELFOR MULTICOMPONENT GAS-CONDENSATE SYSTEMS113 Table 5.1: Fluid characterization for a multicomponent gas-condensate system. Component Composition PC(atm) TC(K) Acentric factor Mol. Weight N2 0.0121 72.8 304.2 0.225 44.01 CO2 0.0194 33.5 126.2 0.04 28.013 C1 0.6599 45.4 190.6 0.008 16.043 C2 0.0869 48.2 305.4 0.098 30.07 C3 0.0591 41.9 369.8 0.152 44.097 C4−6 0.0967 35.0386 448.0781 0.225 66.85942 C+1 7 0.04745 27.94985 465.6182 0.3123 107.77943 C+2 7 0.01515 16.84569 587.7992 0.5567 198.56203 C+3 7 0.0033 10.91565 717.7171 0.91692 335.1979 BHP limits in the binary cases. The maximum rate control, scheme BHP06, yields maximum total gas production. The overall composition zC+ 7 in the well block varies as the well is controlled under different BHPs. The higher the gas rate, hence the lower the flowing BHP, and the more heavier components are seen in the reservoir fluid, as illustrated in Figure 5.20(a). The well-head fluid composition bears a sim- ilar relation with pressure and time as in the binary case. The C+ 7 mole fraction in both the well block and the well-head fluid changes. As C+ 7 deposits in the reservoir, the well loses some heavier component production initially as BHP drops below the dewpoint pressure. The reduced production of the heavier component is remedied as the BHP further draws down because part of the condensate build-up resumes flow or part of the condensate starts to vaporize at lower flowing pressure. Condensate vaporizing in the low pressure condition is not always feasible because of the phase envelopes, as shown in Figure 2.10. Notice that as the reservoir pressure drops below dew-point, the original reservoir fluid shifts toward heavier gas-condensate, and even to light oil side. As a result of this phase envelope shifting, the vaporization becomes less feasible. Different from the binary simulations, both well BHP and production rate have
  • 136.
    114 CHAPTER 5.GAS-CONDENSATE FLOW MODELING great ranges in the multicomponent simulations. As a result, we saw more differences in the zC+ 7 in the well block and also the well-head flow. The general findings in the binary simulation still apply here. The lower the BHP, the more zC+ 7 accumulates in the well block and the less zC+ 7 produced from the well-head flow, as seen in Figure 5.20. Combined with the observations from the binary system, we found that for both the binary simple gas-condensate system and the complex multicomponent system, no matter how rich or lean the fluid is, the higher the gas flow rate control, hence the lower the BHP constraint, the greater the total gas production yield, at the same time, the greater the loss of heavier component produced at the surface. 5.5 Flow Optimization with Genetic Algorithm In both binary and multicomponent simulations, we choose six BHP or rate control scenarios to investigate the impact of different producing schemes on compositional variations. In this section, we used Genetic Algorithm (GA) technique to confirm and generalize the optimal producing strategy for gas production and condensate recovery. Genetic Algorithm (GA) is a robust search method based on analogies to biology and genetics. Survival of the latest among a population of individuals, selection criteria, and reproduction strategies are concepts copied from the natural life and used as operators in this artificial environment (Holland, 1975). Only function evaluations are used rather than derivatives or other secondary descriptors in GA, which makes GA particularly handy for production optimization application as the value of the objective function is known. GA begins the search with a population of parameter realizations, rather than a single realization as many of the conventional optimization methods might. Each set of possible configurations of the decision variables is referred to as one realiza- tion or member of the population. In this way, the search domain is covered in a random distribution. The realizations are perturbed by probabilistic rules rather than deterministic ones. To assure that evaluation values will never decrease from one generation to the next and assure that crossover and mutation do not lead to
  • 137.
    5.5. FLOW OPTIMIZATIONWITH GENETIC ALGORITHM 115 0 100 200 300 400 0 1 2 3 4 5 6 x 10 6 Time (days) WGPT(mscf) BHP01 BHP02 BHP03 BHP04 BHP05 BHP06 0 100 200 300 400 0 500 1000 1500 2000 2500 3000 3500 Time (days) WBHP(psia) 0 100 200 300 400 0.8 0.9 1 1.1 1.2 1.3 1.4 1.5 1.6 x 10 4 Time (days) WGPR(mscf/day) decreasing BHP decreasing BHP decreasing BHP (c) Gas production history(b) Bottom hole pressure history. (a) Accumulated gas production with time. Figure 5.19: History profiles of (a) The accumulated gas production (WGPT (b) Well bottom hole pressure (WBHP) and (c) Gas production rate (WGPR for a multicomponent gas-condensate system.
  • 138.
    116 CHAPTER 5.GAS-CONDENSATE FLOW MODELING 500 1000 1500 2000 2500 3000 3500 0.06 0.08 0.1 0.12 0.14 0.16 0.18 0.2 Well block pressure (psi) zC7 + inthewellblock BHP01 BHP02 BHP03 BHP04 BHP05 BHP06 500 1000 1500 2000 2500 3000 3500 0.048 0.05 0.052 0.054 0.056 0.058 0.06 0.062 0.064 Bottom hole pressure (psi) ProducedzC7 + fromthewellhead BHP01 BHP02 BHP03 BHP04 BHP05 BHP06 decreasing BHP decreasing BHP (a) Overall C7 + mole fraction in the well block vs. well block pressure. (b) Flowing C7 + mole fraction vs. well bottom hole pressure (BHP). Figure 5.20: Overall butane mole fraction zC+ 7 profiles. (a) Overall butane mole fraction BzC+ 7 profiles in the well block vs. the well block pressure. (a) Overall butane mole fraction WzC+ 7 profiles in the producing fluid vs. BHP.
  • 139.
    5.5. FLOW OPTIMIZATIONWITH GENETIC ALGORITHM 117 0 50 100 150 200 250 300 350 400 0.06 0.08 0.1 0.12 0.14 0.16 0.18 0.2 Time(days) zC7 + inthewellblock BHP01 BHP02 BHP03 BHP04 BHP05 BHP06 0 50 100 150 200 250 300 350 400 0.048 0.05 0.052 0.054 0.056 0.058 0.06 0.062 0.064 Time(days) ProducedzC7 + fromthewellhead BHP01 BHP02 BHP03 BHP04 BHP05 BHP06 decreasing BHP decreasing BHP (a) Overall C7 + mole fraction in the well block vs. time. (b) Flowing C7 + mole fraction vs. time. Figure 5.21: Overall butane mole fraction zC+ 7 history profiles. (a) History of the overall butane mole fraction BzC+ 7 in the well block. (a) History of the overall butane mole fraction WzC+ 7 profiles in the producing fluid.
  • 140.
    118 CHAPTER 5.GAS-CONDENSATE FLOW MODELING F(Xj ) initial population objective function evaluation mutation crossover reproduction repeat for N generations Figure 5.22: Computation procedure for Genetic Algorithm. a degradation, we can use elitism in the GA model, in which the best individual is always saved from generation to generation. A typical Genetic Algorithm is processed as the procedure shown in Figure 5.22 and in the following pseudocode. 1. Choose initial population. 2. Evaluate the fitness of each individual in the population. 3. Repeat: • Select any two individuals to reproduce. • Breed new generation through crossover and mutation and give birth to offspring. • Evaluate the individual fitness of the offspring. • Replace worst ranked part of population with offspring. 4. Until termination. Instead of fixing the BHP or production rate at a predefined value, combinations of random rates were used in the Genetic Algorithm in an attempt to define an optimal strategy. In this study, two producing parameters, BHP and WGPR, were
  • 141.
    5.5. FLOW OPTIMIZATIONWITH GENETIC ALGORITHM 119 optimized. In BHP optimization, a BHP is defined as a combination of 30 random BHPs from 500 to 2000 psi. and in WGPR optimzation, a WGPR is defined as a combination of 30 random production rates from 1,000 to 300,000 SCF/day. The individual population fitness is evaluated by the cumulative gas production (WGPT). A total of 100 generations were performed during the optimization process. For each generation, the mole fraction of the heavier component (zC4 ) in the well block is also checked as a secondary evaluation parameter. When two individuals produce the same amount of gas, the one with lower (zC4 ) in the well block is kept as one of the offsprings. The final top three optimized BHPs are shown in Figure 5.23, Figure 5.24 and Figure 5.28. The reference model has BHP = 500psi, the lowest boundary of the initial population. As observed from the binary simulations in the previous section, the lowest BHP scheme tends to yield the highest gas production, so the lowest BHP = 500 psi scenario is selected as a checkpoint for GA optimization results. In all GA simulations, a longer producing time, 3650 days, was chosen to investigate the long term compositional variation behavior. Figure 5.23 illustrates that all top three individuals have BHP close to the 500 psi, which is the lowest bottom hole pressure boundary. The optimized BHP after 100 generations comes as expected from pre- vious observation. That is, the lowest BHP case yields the highest cumulative gas production. The zC4 mole fraction in the well block reaches a startling high level of 0.7 as compared with initial 0.15. Produced zC4 shows a sharp decrease initially as the condensate starts to deposit in the reservoir, and the well-head flow gains part of zC4 back as the accumulated condensate begins to flow, however, in the long run, less and less butane is produced from the well, as shown in Figure 5.28(b). Similar to BHP optimization, the optimized WGPR also comes close to the highest reference WGPR (Figure 5.23). From Figure 5.24 and Figure 5.25, we can see that although we gain total gas production by optimizing the producing rate, we also leave more butane in the reservoir. To summarize the GA simulation results, we can conclude using low BHP or high production rate, we can achieve higher total gas production, but leaving with more butane, the heavier component in the reservoir. To minimize the condensate banking
  • 142.
    120 CHAPTER 5.GAS-CONDENSATE FLOW MODELING 0 1000 2000 3000 4000 0 0.5 1 1.5 2 2.5 3 x 10 8 Time (days) WGPT(mscf) Reference GA01 GA02 GA03 0 1000 2000 3000 4000 500 502 504 506 508 510 512 514 516 Time (days) WBHP(psia) 0 1000 2000 3000 4000 0.5 1 1.5 2 2.5 3 x 10 5 Time (days) WGPR(mscf/day) (a) Accumulated gas production with time. (b) Bottom hole pressure history. (c) Gas production history. Figure 5.23: History profiles of (a) The accumulated gas production (WGPT (b) Well bottom hole pressure (WBHP) and (c) Gas production rate (WGPR for the top three WBHP GA optimized scenarios.
  • 143.
    5.6. SUMMARY 121 5001000 1500 2000 0.1 0.2 0.3 0.4 0.5 0.6 0.7 0.8 Well block pressure (psi) zC4 inthewellblock Reference GA01 GA02 GA03 Figure 5.24: Overall butane mole fraction zC4 profiles. (a) Overall butane mole fraction BzC4 profiles in the well block vs. the well block pressure. (a) Overall butane mole fraction WzC4 profiles in the producing fluid vs. BHP for the top three WBHP GA optimized scenarios. blockage and hence to enhance the ultimate liquid recovery, higher BHP or lower initial production rate may be a better strategy. 5.6 Summary In the first section, a general form of material balance equation for condensate flow in porous media was developed for both one-dimensional linear flow and three- dimensional radial flow of two-phase gas-condensate fluid through porous media, with the effect of interfacial tension. The compositional variation of the reservoir fluid,
  • 144.
    122 CHAPTER 5.GAS-CONDENSATE FLOW MODELING 0 500 1000 1500 2000 2500 3000 3500 4000 0 0.2 0.4 0.6 0.8 1 Time(days) zC4 inthewellblock Reference GA01 GA02 GA03 0 500 1000 1500 2000 2500 3000 3500 4000 0 0.05 0.1 Time(days) ProducedzC4 fromthewellhead Reference GA01 GA02 GA03 (a) Overall C4 mole fraction in the well block vs. time. (b) Flowing C4 mole fraction vs. time. Figure 5.25: Overall butane mole fraction zC4 history profiles. (a) History of the overall butane mole fraction BzC4 in the well block. (a) History of the overall butane mole fraction WzC4 profiles in the producing fluid for the top three WBHP GA optimized scenarios.
  • 145.
    5.6. SUMMARY 123 01000 2000 3000 4000 0 0.5 1 1.5 2 2.5 3 x 10 8 Time (days) WGPT(mscf) Reference GA01 GA02 GA03 0 1000 2000 3000 4000 500 550 600 650 700 750 800 850 Time (days) WBHP(psia) 0 1000 2000 3000 4000 0.5 1 1.5 2 2.5 3 x 10 5 Time (days) WGPR(mscf/day) (a) Accumulated gas production with time. (c) Gas production history(b) Bottom hole pressure history. Figure 5.26: History profiles of (a) The accumulated gas production (WGPT (b) Well bottom hole pressure (WBHP) and (c) Gas production rate (WGPR for the top three WGPR GA optimized scenarios.
  • 146.
    124 CHAPTER 5.GAS-CONDENSATE FLOW MODELING 500 1000 1500 2000 0.1 0.2 0.3 0.4 0.5 0.6 0.7 0.8 Well block pressure (psi) zC4 inthewellblock Reference GA01 GA02 GA03 500 550 600 650 700 750 800 850 0.08 0.085 0.09 0.095 0.1 0.105 0.11 0.115 0.12 0.125 0.13 Bottom hole pressure (psi) ProducedzC4 fromthewellhead Reference GA01 GA02 GA03 (b) Flowing C4 mole fraction vs. well bottom hole pressure (BHP). (a) Overall C4 mole fraction in the well block vs. well block pressure. Figure 5.27: Overall butane mole fraction zC4 profiles. (a) Overall butane mole fraction BzC4 profiles in the well block vs. the well block pressure. (a) Overall butane mole fraction WzC4 profiles in the producing fluid vs. BHP for the top three WGPR GA optimized scenarios.
  • 147.
    5.6. SUMMARY 125 0500 1000 1500 2000 2500 3000 3500 4000 0 0.2 0.4 0.6 0.8 1 Time(days) zC4 inthewellblock Reference GA01 GA02 GA03 0 500 1000 1500 2000 2500 3000 3500 4000 0 0.05 0.1 Time(days) ProducedzC4 fromthewellhead Reference GA01 GA02 GA03 (a) Overall C4 mole fraction in the well block vs. time. (b) Flowing C4 mole fraction vs. time. Figure 5.28: Overall butane mole fraction zC4 history profiles. (a) History of the overall butane mole fraction BzC4 in the well block. (a) History of the overall butane mole fraction WzC4 profiles in the producing fluid for the top three WGPR GA optimized scenarios.
  • 148.
    126 CHAPTER 5.GAS-CONDENSATE FLOW MODELING especially the heavier component of the fluid, around the well during condensate dropout was analyzed. Key parameters that influence the compositional behavior were also discussed in detail. The theoretical models provide tools to better under- stand the momentary compositional variation in the reservoir. In the last two sections, compositional simulations of binary and multicomponent gas-condensate systems were performed to investigate how the producing strategies influence the total gas production and compositional variation in both the well block and the well-head flow. Then in the following section, GA algorithm was applied to confirm and generalize the optimal producing schemes observed in the previous simulation.
  • 149.
    Chapter 6 Conclusions andDiscussions This chapter consists of two parts. In the first section, general conclusions are drawn from the work performed on experimental, theoretical and simulation studies for gas- condensate flow in porous media with emphasis on composition behavior. In the second section, we discuss possible improvements of the current work. 6.1 General Conclusions Compositional variation behavior in the reservoir was studied through experimen- tal, theoretical and numerical simulation work. Optimal producing schemes were suggested for both gas production and also for condensate recovery. More specific conclusions are summarized in the following sections. 6.1.1 Theoretical Compositional Variation Models General mathematical models were established to describe problems of dynamic con- densate banking in both one-dimensional linear flow and three-dimensional radial flow in the porous media, with the effect of interfacial tension. The theoretical mod- els provide us with an opportunity to isolate and investigate certain parameters that influence the compositional variation of the heavy components with time in the near- well region during depletion. The effects of relative permeability, fluid type and 127
  • 150.
    128 CHAPTER 6.CONCLUSIONS AND DISCUSSIONS pressure on condensate banking were discussed. The primary conclusions from the theoretical work can be summarized as follows: • Both relative permeability and absolute permeability have effects on conden- sate banking behavior through the influence of the mobility term. Relative permeability models adjusted with the effect of interfacial tension may be more appropriate for gas-condensate modeling. The rate of the change in heavy components is higher for low permeability gas-condensate systems with greater pressure gradient. • The total molar concentration of heavy components around the well increases as the flowing bottom hole pressure falls below the dew-point pressure. The rate of change in heavy components is higher for rich gas-condensate than for lean gas-condensate for a given reservoir. • Reservoir pressure has significant effects on compositional variation behavior. In regions far away from the well, where pressure gradient is small, the total molar concentration of heavy components increases as the reservoir pressure drops below the dewpoint pressure. The heavy component deposits faster in low pressure regions than in high pressure regions. For a well producing at a constant bottom hole flowing pressure, the change of the composition of heavy components depends highly on pressure. The total molar concentration of heavy components increases around the well when the flowing pressure is above some pressure values, and then could decrease as pressure further drops down if va- porization takes effect in the reservoir. 6.1.2 Experimental Study of Gas-Condensate Flow in a Core An experimental apparatus was designed and built to allow in-situ measurements of the real time pressure and composition sampling of the flowing fluid along the core. This coreholder can be used to perform constant pressure-drop core flooding experi- ment and the isolated coreholder can be taken to the x-ray CT room for saturation measurements.
  • 151.
    6.1. GENERAL CONCLUSIONS129 Conclusions on the experimental work can be summarized as follows: • In gas-condensate flow, local composition changes due to the influence of rel- ative permeability effects even in the constant pressure-drop flow case. The composition of the flowing fluid had slight or no change in a flow with constant pressure drop. • The reservoir fluid would not vaporize as suggested by the CVD experiment in the PVT cell due to the local composition variation. • Repressurizing may not be a good strategy to remove the liquid accumulation in the reservoir. • The condensate drop-out will hinder the flow capability due to relative perme- ability effects. 6.1.3 Numerical Simulation Study of Gas-Condensate Flow Compositional simulations of binary and multicomponent gas-condensate systems were performed to investigate how the producing strategies influence the total gas production and compositional variation in both the well block and the well-head flow. GA algorithm was also performed to confirm and generalize the optimal producing schemes observed in simulation work. Observations on the simulation work are as follows: • Composition and condensate saturation change significantly as a function of producing sequence. The higher the BHP, the less the condensate banking and a smaller amount of heavy-component is trapped in the reservoir. The lower the producing rate, the lower the amount of heavy-component left in the reservoir. • Gas productivity can be maximized with a proper producing strategy. The total gas production can be increased by lowering the BHP or optimizing the producing rate. • Productivity loss can be reduced by optimizing the producing sequence.
  • 152.
    130 CHAPTER 6.CONCLUSIONS AND DISCUSSIONS 6.2 Possible Improvements and Future Work As a number of assumptions and simplifications have been made in order to make the attempt to solve problems in the experimental setup presented earlier in this study. Other than the intrinsic restrictions of the equipment, improvements can still be made to the following aspects to better characterize the gas-condensate flow behavior in the reservoir. First, composition samples from the core flow represent only the flowing fluid. In this study, the flowing fluid happens to have slight or no change in the composition. An immediate improvement would be a more careful design of non-constant pressure drop core-flooding or other forms of core-flooding that allow changes in the flowing fluid. The difficulties may come from identifying the sampling pressure correctly as the pressure keeps changing in non-constant pressure drop flow. Second, the change in the total molar concentration of components in the core was investigated by comparing the original fluid with the fluid collected by the natural discharge into a receiver cylinder. The sample from the receiver cylinder is, therefore, an average of the molar concentration of fluids in the core. Due to the fact that some liquid is still stuck in the reservoir, and may not vaporize and flow out of the core without external force, the discharged fluid sample has lower heavy component concentration. A better way to measure the in-situ fluid composition in the core is desirable. Third, the current saturation measurements were taken on the isolated core. An improvement on the tubing systems to allow the concurrent saturation and flow mea- surements is favored. Finally, the current experiment was conducted at room temperature. The Joule- Thompson cooling effect was remedied in the tubing flow by applying heat tapes. The temperature variation in the core, however, has not been investigated. Temperature variation in the core would affect the flow on sampling. An improvement would be a real-time constant temperature environment for the experiment.
  • 153.
    Appendix A Core ScaleSimulation Input File −− ============================================= −−Study: Gas Condensate Core Flooding Test −−Author: Chunmei Shi −−Simulator: E300(2005a) −− ============================================= −−Constant Pressure Drop Flow −−Berea Sandstone with Length=27.4 cm and Diameter=5.06 cm. −− ============================================= RUNSPEC −− ============================================= OIL GAS FULLIMP WELLDIMS 10 50 3 3 5 10 5 4 3 0 / DIMENS 51 1 1 / NSTACK 50 / ISGAS −−Units LAB −−Number of components: implies compositional run COMPS 131
  • 154.
    132 APPENDIX A.CORE SCALE SIMULATION INPUT FILE 2 / MISCIBLE / FMTOUT UNIFOUT −− ============================================= GRID −− ============================================= INIT DX 51∗0.51837 / DY 51∗4.48 / DZ 51∗4.48 / −− Porosity and permeability − − − (Rock) BOX − − − IX1−IX2 JY1−JY2 KZ1−KZ2 1 51 1 1 1 1 / INCLUDE Perm.txt / ENDBOX − − − TOP Specification − − − IX1-IX2 JY1-JY2 KZ1-KZ1 −− 1 1 1 1 1 1 / TOPS 51∗1 / ENDBOX −− ============================================= PROPS −− =============================================
  • 155.
    133 −− Properties section:PVT data EOS PR / −− Names of Components CNAMES C1 nC4 / −− Miscibility exponent MISCEXP 0.000000001 / −− Component Critical Temperatures (K) TCRIT 190.5611111 425.2 / −− Component Critical Pressures (atm) PCRIT 45.44 37.46953 / −−Component Critical Volumes(m3 /kg − mole) −− set by user VCRIT 0.098 0.255 / −− Component acentric factor ACF 0.013 0.201
  • 156.
    134 APPENDIX A.CORE SCALE SIMULATION INPUT FILE / −−Peneleux Correction (Shift parameters) SSHIFT 0. 0. / −− Component Molecular Weight g/mol MW 16.04 58.12 / −− Binary interaction parameters BIC 0.0 / STCOND 15.0 1.0 / −− Reservoir temperature: Deg C / K RTEMP −−20 / 293.15K 20 / 293.15K −− Rock and fluid properties ROCK 132.7 0.00000000001 / −−Relative Permeability Functions INCLUDE KrgoGC2.dat / −−Miscibility surface tension reference MISCSTR
  • 157.
    135 12.3048 / / −−Surface tensionwith respect to pressure STVP 300 12.3048 400 11.1124 500 9.9551 600 8.837 700 7.7623 800 6.7356 900 5.7616 1000 4.8454 1100 3.9918 1200 3.2063 1300 2.4941 1400 1.8605 1500 1.311 1600 0.8507 1700 0.4848 1800 0.2181 1850 0.1234 1900 0.0552 1925 0.0311 1950 0.0139 1975 0.0035 / / −−Specify miscibility variation with surface tension FVST 0.0035 0.441977 0.0139 0.507334 0.0311 0.549881
  • 158.
    136 APPENDIX A.CORE SCALE SIMULATION INPUT FILE 0.0552 0.582353 0.1234 0.631138 0.2181 0.668126 0.4848 0.723684 0.8507 0.765544 1.311 0.799379 1.8605 0.827857 2.4941 0.852479 3.2063 0.874164 3.9918 0.893531 4.8454 0.911015 5.7616 0.92693 6.7356 0.941521 7.7623 0.954974 8.837 0.967438 9.9551 0.979032 11.1124 0.989859 12.3048 1.0 / / −− ============================================= SOLUTION −− ============================================= PRESSURE −−Pressure (atm) 51*132.7 / SGAS 1.0 50*1.0 / XMF 51*0.85 51*0.15 / YMF 51*0.85 51*0.15 /
  • 159.
    137 −− ============================================= SUMMARY −− ============================================= RUNSUM RPTONLY −−OutputWell properties for the producer INCLUDE WOUTPUT BINARY.txt / −− Output grid properties for specified grid blocks INCLUDE BPRES.txt / INCLUDE BSOIL.txt / INCLUDE BXMF1.txt / INCLUDE BXMF2.txt / INCLUDE BYMF1.txt / INCLUDE BYMF2.txt / INCLUDE BBOIL.txt / INCLUDE BBGAS.txt / INCLUDE BMLSC2.txt / INCLUDE BMLST.txt / INCLUDE BVMF.txt / / −− ============================================= SCHEDULE −− ============================================= WELLSPEC INJ1 G1 1 1 3∗ / PROD1 G2 50 1 3∗ / / WELLCOMP INJ1 1 1 1 1 1∗ 0.15875 5∗ / PROD1 50 1 1 1 1∗ 0.15875 5∗ / /
  • 160.
    138 APPENDIX A.CORE SCALE SIMULATION INPUT FILE −− Specify compositions of inj gas stream WELLSTRE LEANGAS 0.85 0.15 / / WCONINJE INJ1 GAS AUTO BHP 2∗ 133.3701 / / WINJGAS INJ1 STREAM LEANGAS/ / WCONPROD PROD1 OPEN BHP 5∗ 68.72642 / / TUNING .000277 0.05 0.0000277 / / TSTEP 60∗0.0166667 60∗0.5 / END
  • 161.
    Appendix B Field ScaleMultiComponent Simulation Input File −− ============================================= −−Study: Gas Condensate Flow Behavior Study −−by Chunmei Shi on Oct 1st, 2007 −−2 components; Peng-Robinson EoS with correction −−Grid dimensions 36x1x4, RADIAL −−Fully implicit solution method; FIELD units; 3-stage separator −−Simulator: E300(2005a) −− ============================================= RUNSPEC −− ============================================= RADIAL −−Request the FIELD unit set FIELD −−Water is present WATER −−FULLIMP solution method FULLIMP −−Nine components in study ( plus water ) 139
  • 162.
    140APPENDIX B. FIELDSCALE MULTICOMPONENT SIMULATION INPUT FILE COMPS 9 / −−Peng-Robinson equation of state to be used EOS PR / DIMENS 36 1 4 / TABDIMS 1 1 40 40 / −−Is a gas condensate study ISGAS MULTSAVE 0 / −− ============================================= GRID −− ============================================= −−Basic grid block sizes INRAD 0.3/ / DR 0.630957 0.794328 1.000000 1.258925 1.584893 1.995262 2.511886 3.162278 3.981072 5.011872 6.309572 7.943282 10.00000 12.58925 15.84893 19.95262 25.11886 31.62278 39.81072 50.11872 63.09573 79.43282 100.0000 125.8925 158.4893 199.5262 251.1886 316.2278 398.1072 501.1872 630.9573 794.3282 1000.000 1258.925 1584.893 1995.262 0.630957 0.794328 1.000000 1.258925 1.584893 1.995262 2.511886 3.162278 3.981072 5.011872 6.309572 7.943282 10.00000 12.58925 15.84893 19.95262 25.11886 31.62278 39.81072 50.11872 63.09573 79.43282 100.0000 125.8925 158.4893 199.5262 251.1886 316.2278 398.1072 501.1872 630.9573 794.3282 1000.000 1258.925 1584.893 1995.262 0.630957 0.794328 1.000000 1.258925 1.584893 1.995262 2.511886 3.162278 3.981072 5.011872 6.309572 7.943282 10.00000 12.58925 15.84893 19.95262 25.11886 31.62278
  • 163.
    141 39.81072 50.11872 63.0957379.43282 100.0000 125.8925 158.4893 199.5262 251.1886 316.2278 398.1072 501.1872 630.9573 794.3282 1000.000 1258.925 1584.893 1995.262 0.630957 0.794328 1.000000 1.258925 1.584893 1.995262 2.511886 3.162278 3.981072 5.011872 6.309572 7.943282 10.00000 12.58925 15.84893 19.95262 25.11886 31.62278 39.81072 50.11872 63.09573 79.43282 100.0000 125.8925 158.4893 199.5262 251.1886 316.2278 398.1072 501.1872 630.9573 794.3282 1000.000 1258.925 1584.893 1995.262/ / PORO 144∗0.13 / PERMX 36∗13 36∗4 36∗2 36∗15 / PERMY 36∗13 36∗4 36∗2 36∗15 / PERMZ 36∗13 36∗4 36∗2 36∗15 / EQUALS DTHETA 360 / DZ 30 1 36 1 1 1 2 / DZ 50 1 36 1 1 3 4 / TOPS 7340 1 36 1 1 1 1 / TOPS 7370 1 36 1 1 2 2 / TOPS 7400 1 36 1 1 3 3 / TOPS 7450 1 36 1 1 4 4 / / −− ============================================= PROPS −− ============================================= NCOMPS 9 / EOS PR /
  • 164.
    142APPENDIX B. FIELDSCALE MULTICOMPONENT SIMULATION INPUT FILE −− Peng-Robinson correction PRCORR −− Standard temperature and pressure in Deg F and PSIA STCOND 60.0 14.7 / −− Component names CNAMES CO2 N2 C1 C2 C3 C4-6 C7+1 C7+2 C7+3 / −− Critical temperatures Deg R TCRIT 548.46000 227.16000 343.08000 549.77400 665.64000 806.54054 838.11282 1058.03863 1291.89071 / −− Critical pressures PSIA PCRIT 1071.33111 492.31265 667.78170 708.34238 618.69739 514.92549 410.74956 247.56341 160.41589 / −− Critical Z-factors ZCRIT .27408 .29115 .28473 .28463 .27748 .27640 .26120 .22706 .20137 / −− Acentric factors ACF .22500 .04000 .01300 .09860 .15240 .21575 .31230 .55670 .91692 / −− Molecular Weights MW 44.01000 28.01300 16.04300 30.07000 44.09700 66.86942 107.77943 198.56203 335.19790 / −− OmegaA values OMEGAA .4572355 .4572355 .5340210 .4572355 .4572355 .4572355 .6373344 .6373344 .6373344 / −− OmegaB values
  • 165.
    143 OMEGAB .0777961 .0777961 .0777961.0777961 .0777961 .0777961 .0872878 .0872878 .0872878 / −− Default fluid sample composition −− composition not varying with depth ZMFVD 1.00000 .01210 .01940 .65990 .08690 .05910 .09670 .04745 .01515 .00330 10000.00000 .01210 .01940 .65990 .08690 .05910 .09670 .04745 .01515 .00330 / −− Boiling point temperatures Deg R TBOIL 350.46000 139.32000 201.06000 332.10000 415.98000 523.33222 689.67140 958.31604 1270.40061 / −− Reference temperatures Deg R TREF 527.40000 140.58000 201.06000 329.40000 415.80000 526.05233 519.67000 519.67000 519.67000 / −− Reference densities LB/FT3 DREF 48.50653 50.19209 26.53189 34.21053 36.33308 37.87047 45.60035 50.88507 55.89861 / −− Parachors (Dynes/cm) PARACHOR 78.00000 41.00000 77.00000 108.00000 150.30000 213.52089 331.78241 516.45301 853.48860 / −− Binary Interaction Coefficients BIC .0200 .1000 .0360 .1300 .0500 .000000 .1350 .0800 .000000 .000 .1277 .1002 .092810 .000 .000
  • 166.
    144APPENDIX B. FIELDSCALE MULTICOMPONENT SIMULATION INPUT FILE .1000 .1000 .130663 .006 .006 .0 .1000 .1000 .130663 .006 .006 .0 .0 .1000 .1000 .130663 .006 .006 .0 .0 .0 / −− Reservoir temperature in Deg F RTEMP 200.0 / −−Water saturation functions SWFN 0.16 0 50 0.20 0.002 32 0.24 0.010 21 0.28 0.020 15.5 0.32 0.033 12.0 0.36 0.049 9.2 0.40 0.066 7.0 0.44 0.090 5.3 0.48 0.119 4.2 0.52 0.150 3.4 0.56 0.186 2.7 0.60 0.227 2.1 0.64 0.277 1.7 0.68 0.330 1.3 0.72 0.390 1.0 0.76 0.462 0.7 0.8 0.540 0.5 0.84 0.620 0.4 0.88 0.710 0.3 0.92 0.800 0.2 0.96 0.900 0.1 1.00 1.000 0.0 / −−Gas saturation functions SGFN
  • 167.
    145 0.00 0.000 0.0 0.040.038 0.0 0.08 0.070 0.0 0.12 0.106 0.0 0.16 0.141 0.0 0.20 0.177 0.0 0.24 0.217 0.0 0.28 0.260 0.0 0.32 0.300 0.0 0.36 0.349 0.0 0.40 0.400 0.0 0.44 0.450 0.0 0.48 0.505 0.0 0.52 0.562 0.0 0.56 0.620 0.0 0.60 0.680 0.0 0.64 0.740 0.0 0.68 0.740 0.0 0.72 0.740 0.0 0.76 0.740 0.0 0.80 0.740 0.0 0.84 0.740 0.0 / −−Oil saturation functions SOF3 0.00 0.000 0.000 0.04 0.000 0.000 0.08 0.000 0.000 0.12 0.000 0.000 0.16 0.000 0.000 0.20 0.000 0.000 0.24 0.000 0.000
  • 168.
    146APPENDIX B. FIELDSCALE MULTICOMPONENT SIMULATION INPUT FILE 0.28 0.000 0.000 0.32 0.000 0.000 0.36 0.000 0.000 0.40 0.000 0.000 0.44 0.000 0.000 0.48 0.005 0.005 0.52 0.012 0.012 0.56 0.024 0.024 0.60 0.040 0.040 0.68 0.082 0.082 0.72 0.112 0.112 0.76 0.150 0.150 0.80 0.196 0.196 0.84 0.256 0.256 / −−Rock and water pressure data ROCK 3550 0.000004 / PVTW 3550 1.0 0.000003 0.31 0.0 / −−Surface density of water DENSITY 1∗ 63.0 1∗ / −− ============================================= SOLUTION −− ============================================= −−Equilibration data - initial pressure 3500 psi at 7500 EQUIL 7500 3550 7500 0 7500 0 1 1 0 / RPTRST PRESSURE SOIL YMF VOIL / RPTSOL
  • 169.
    147 PRESSURE SOIL / FIELDSEP 180 815 / 2 80 65 / 3 60 14.7 / / −− ============================================= SUMMARY −− ============================================= −−ALL RUNSUM RPTONLY −−Output Well properties for the producer INCLUDE WOUTPUT MULlTICOMP.txt / −−saturation and composition history for layer 4 INCLUDE BSOIL.txt / INCLUDE BXMF.txt / INCLUDE BYMF.txt / BVMF 1 1 4 / / −− ============================================= SCHEDULE −− ============================================= −−Define separator ; third stage represents stock tank SEPCOND SEP FIELD 1 80 815 / SEP FIELD 2 80 65 / SEP FIELD 3 60 14.7 / / −−Define injection and production wells
  • 170.
    148APPENDIX B. FIELDSCALE MULTICOMPONENT SIMULATION INPUT FILE WELSPECS –I FIELD 1 1 7330 GAS/ P FIELD 1 1 7400 GAS/ / WSEPCOND P SEP / / COMPDAT −−I 1 1 1 2 1∗ 1 / P 1 1 3 4 1∗ 1 / / −−Well P set to target gas rate of 10000, with min bhp of 500 psi WCONPROD P OPEN GRAT 1∗ 1∗ 10000 2∗ 500 / / TSCRIT 0.001 0.00001 1 / TSTEP 0.00002 / / TSTEP 365 / / END
  • 171.
    Appendix C Field ScaleBinary Simulation Input File −− ============================================= −−Study: Gas Condensate Flow Behavior Study −−by Chunmei Shi on Oct 1st, 2007 −−9 components; Peng-Robinson EoS with correction −−Grid dimensions 36x1x4, RADIAL −−Fully implicit solution method; FIELD units; 3-stage separator −−Simulator: E300(2005a) −− ============================================= RUNSPEC −− ============================================= RADIAL −−Request the FIELD unit set FIELD −−Water is present WATER −−FULLIMP solution method FULLIMP −−Two components in study ( plus water ) 149
  • 172.
    150 APPENDIX C.FIELD SCALE BINARY SIMULATION INPUT FILE COMPS 2 / −−Peng-Robinson equation of state to be used EOS PR / DIMENS 36 1 4 / TABDIMS 1 1 40 40 / −−Is a gas condensate study ISGAS MULTSAVE 0 / −− ============================================= GRID −− ============================================= −−Basic grid block sizes INRAD 0.3/ / DR 0.630957 0.794328 1.000000 1.258925 1.584893 1.995262 2.511886 3.162278 3.981072 5.011872 6.309572 7.943282 10.00000 12.58925 15.84893 19.95262 25.11886 31.62278 39.81072 50.11872 63.09573 79.43282 100.0000 125.8925 158.4893 199.5262 251.1886 316.2278 398.1072 501.1872 630.9573 794.3282 1000.000 1258.925 1584.893 1995.262 0.630957 0.794328 1.000000 1.258925 1.584893 1.995262 2.511886 3.162278 3.981072 5.011872 6.309572 7.943282 10.00000 12.58925 15.84893 19.95262 25.11886 31.62278 39.81072 50.11872 63.09573 79.43282 100.0000 125.8925 158.4893 199.5262 251.1886 316.2278 398.1072 501.1872 630.9573 794.3282 1000.000 1258.925 1584.893 1995.262 0.630957 0.794328 1.000000 1.258925 1.584893 1.995262 2.511886 3.162278 3.981072 5.011872 6.309572 7.943282 10.00000 12.58925 15.84893 19.95262 25.11886 31.62278
  • 173.
    151 39.81072 50.11872 63.0957379.43282 100.0000 125.8925 158.4893 199.5262 251.1886 316.2278 398.1072 501.1872 630.9573 794.3282 1000.000 1258.925 1584.893 1995.262 0.630957 0.794328 1.000000 1.258925 1.584893 1.995262 2.511886 3.162278 3.981072 5.011872 6.309572 7.943282 10.00000 12.58925 15.84893 19.95262 25.11886 31.62278 39.81072 50.11872 63.09573 79.43282 100.0000 125.8925 158.4893 199.5262 251.1886 316.2278 398.1072 501.1872 630.9573 794.3282 1000.000 1258.925 1584.893 1995.262/ / PORO 144∗0.13 / PERMX 36∗13 36∗4 36∗2 36∗15 / PERMY 36∗13 36∗4 36∗2 36∗15 / PERMZ 36∗13 36∗4 36∗2 36∗15 / EQUALS DTHETA 360 / DZ 30 1 36 1 1 1 2 / DZ 50 1 36 1 1 3 4 / TOPS 7340 1 36 1 1 1 1 / TOPS 7370 1 36 1 1 2 2 / TOPS 7400 1 36 1 1 3 3 / TOPS 7450 1 36 1 1 4 4 / / −− ============================================= PROPS −− ============================================= NCOMPS 2 / EOS PR /
  • 174.
    152 APPENDIX C.FIELD SCALE BINARY SIMULATION INPUT FILE −− Peng-Robinson correction PRCORR −− Standard temperature and pressure in Deg F and PSIA STCOND 60.0 14.7 / −− Component names CNAMES C1 C4 / −− Critical temperatures Deg R TCRIT 343.08000 755.1 / −− Critical pressures PSIA PCRIT 667.78170 543.45 / −− Critical Z-factors ZCRIT .28473 0.27717 / −− Acentric factors ACF .01300 0.1956 / −− Molecular Weights MW 16.04300 58.124 / −− OmegaA values OMEGAA .4572355 .4572355 / −− OmegaB values OMEGAB .0777961 .0777961 / −− Default fluid sample composition −− composition not varying with depth
  • 175.
    153 ZMFVD 1.00000 0.8500 0.1500 10000.000000.8500 0.1500 / −− Boiling point temperatures Deg R TBOIL 200.88 484.02 / −− Reference temperatures Deg R TREF 201.06 527.4 / −− Reference densities LB/FT3 DREF 26.53189 35.69 / −− Parachors (Dynes/cm) PARACHOR 77.00000 187.2 / −− Binary Interaction Coefficients BIC .0000 / −− Reservoir temperature in Deg F RTEMP 60.0 / −−Water saturation functions SWFN 0.16 0 50 0.20 0.002 32 0.24 0.010 21 0.28 0.020 15.5 0.32 0.033 12.0 0.36 0.049 9.2 0.40 0.066 7.0 0.44 0.090 5.3
  • 176.
    154 APPENDIX C.FIELD SCALE BINARY SIMULATION INPUT FILE 0.48 0.119 4.2 0.52 0.150 3.4 0.56 0.186 2.7 0.60 0.227 2.1 0.64 0.277 1.7 0.68 0.330 1.3 0.72 0.390 1.0 0.76 0.462 0.7 0.8 0.540 0.5 0.84 0.620 0.4 0.88 0.710 0.3 0.92 0.800 0.2 0.96 0.900 0.1 1.00 1.000 0.0 / −−Gas saturation functions SGFN 0.00 0.000 0.0 0.04 0.038 0.0 0.08 0.070 0.0 0.12 0.106 0.0 0.16 0.141 0.0 0.20 0.177 0.0 0.24 0.217 0.0 0.28 0.260 0.0 0.32 0.300 0.0 0.36 0.349 0.0 0.40 0.400 0.0 0.44 0.450 0.0 0.48 0.505 0.0 0.52 0.562 0.0 0.56 0.620 0.0
  • 177.
    155 0.60 0.680 0.0 0.640.740 0.0 0.68 0.740 0.0 0.72 0.740 0.0 0.76 0.740 0.0 0.80 0.740 0.0 0.84 0.740 0.0 / −−Oil saturation functions SOF3 0.00 0.000 0.000 0.04 0.000 0.000 0.08 0.000 0.000 0.12 0.000 0.000 0.16 0.000 0.000 0.20 0.000 0.000 0.24 0.000 0.000 0.28 0.005 0.005 0.32 0.012 0.012 0.36 0.024 0.024 0.40 0.040 0.040 0.44 0.060 0.060 0.48 0.082 0.082 0.52 0.112 0.112 0.56 0.150 0.150 0.60 0.196 0.196 0.68 0.315 0.315 0.72 0.400 0.400 0.76 0.513 0.513 0.80 0.650 0.650 0.84 0.800 0.800 / −−Rock and water pressure data
  • 178.
    156 APPENDIX C.FIELD SCALE BINARY SIMULATION INPUT FILE ROCK 3550 0.000004 / PVTW 3550 1.0 0.000003 0.31 0.0 / −−Surface density of water DENSITY 1∗ 63.0 1∗ / −− ============================================= SOLUTION −− ============================================= −−Equilibration data - initial pressure 3500 psi at 7500. EQUIL 7500 3550 7500 0 7500 0 1 1 0 / FIELDSEP 1 80 815 / 2 80 65 / 3 60 14.7 / / −− ============================================= SUMMARY −− ============================================= −−ALL RUNSUM −−Field oil production rate and total, GOR and field pressure WGPR P / / WGPT / WBHP P /
  • 179.
    157 / BPRES 1 1 4/ / WZMF P 2 / / BVMF 1 1 4 / / BXMF 1 1 4 2 / / BYMF 1 1 4 2/ / −− ============================================= SCHEDULE −− ============================================= −−Define separator ; third stage represents stock tank SEPCOND SEP FIELD 1 80 815 / SEP FIELD 2 80 65 / SEP FIELD 3 60 14.7 / / −−Define injection and production wells WELSPECS –I FIELD 1 1 7330 GAS/ P FIELD 1 1 7400 GAS/ / WSEPCOND
  • 180.
    158 APPENDIX C.FIELD SCALE BINARY SIMULATION INPUT FILE P SEP / / COMPDAT −−I 1 1 1 2 1∗ 1 / P 1 1 3 4 1∗ 1 / / −−Well P set to target gas rate of 10000, with min bhp of 500 psi WCONPROD P OPEN GRAT 1∗ 1∗ 10000 2∗ 500 / / TSCRIT 0.001 0.00002 1 / TSTEP 0.00002 / / TSTEP 365 / / END
  • 181.
    Nomenclatures BHP = bottom-holepressure CO2 = carbon dioxide C1 = methane C2 = ethane C3 = propane iC4 = i-butane nC4 = n-butane iC5 = i-pentane nC5 = n-pentane C6 = hexane C7 = heptane C8 = octane C9 = nonane C10+ = decene and higher CTa = air phase CT number CTl = liquid phase CT number CTar = CT number for air-saturated rock CTlr = CT number for liquid-saturated rock CTgr = CT number for gas-saturated rock CTglr = CT number for the rock saturated with the mixture of liquid and gas CV D = Constant volume depletion N2 = nitrogen Mw = molecular weight 159
  • 182.
    160 APPENDIX C.FIELD SCALE BINARY SIMULATION INPUT FILE pc = critical pressure (psi or atm) Sc = condensate saturation Scc = critical condensate saturation Sg = gas saturation Tc = critical temperature(o C or o F) WGPT = well total gas production (mscf or scc) WBHP = well bottom hole pressure (psi or atm) WGPR = gas production rate for a single well (mscf/day) φ = porosity µg = the attenuation coefficients for the core fully saturated with gas µl = the attenuation coefficients for the core fully saturated with liquid µr = the attenuation coefficients for the rock matrix
  • 183.
    Bibliography Abel, W., Jackson,R., and Wattenbarger, R. (1970). “Simulation of a Partial Pressure Maintenance Gas Cycling Project with a Compositional Model, Carson Creek Field, Alberta”. JPT January, pp 38–46. Afidick, D., Kaczorowski, N., and Bette, S. (1994). “Production Performance of a Retrograde Gas: A Case Study of the Arun Field”. In SPE Asia Pacific Oil and Gas Conference, Melbourne, Australia. SPE 28749. Akin, S. and Kovscek, A. (2003). “Computed Tomography in Petroleum Engineering Research”. Geological Society speical publications, pp 22–38. Allen, F. and Roe, R. (1950). “Performance Characteristics of a Volumetric Conden- sate Reservoir”. Petroleum Transactions, AIME, pp 83–90. Aly, A., El-Banbi, A., Holditch, S., M.Wahdan, N.Salah, Aly, N., and Boerrigter, P. (2001). “Optimization of Gas Condensate Reservoir Development by Coupling Reservoir Modeling and Hydraulic Fracturing Design”. In SPE Middle East Oil Show and Conference, Bahrain. SPE 68175. Ayala, L., Ertekin, T., and Adewumi, M. (2007). “Study of Gas/Condensate Reservoir Exploitation Using Neurosimulation”. Petroleum Transactions, AIME April. Aziz, R. (1985). “Deliverability Projection Model for Overpressured Gas-Condensate Reservoirs”. In SPE Middle East Technical Conference and Exhibition, Bahrain. SPE 13706. 161
  • 184.
    162 BIBLIOGRAPHY Barnum, R.,Brinkman, F., Richardson, T., and Spillette, A. (1995). “Gas Condensate Reservoir Behavior: Productivity and Recovery Reduction Due to Condensation”. In SPE Annual Technical Conference and Exhibition, Dallas, TX. SPE 30767. Bengherbia, M. and Tiab, D. (2002). “Gas-Condensate Well Performance Using Compositional Simulator: A Case Study”. In SPE Gas Technology Symposium, Calgary, Canada. SPE 75531. Bette, S., Hartman, K., and Heinemann, R. (1991). “Compositional modelling of interfacial tesion effects in miscible displacement processes”. Journal of Petroleum Science and Engineering, pp 1–14. Bittencourt, A. (1997). “Optimizing Hydrocarbon Field Development Using a Genetic Algorithm Based Approach”. Ph.D. thesis, Stanford University. Clark, T. (1985). “The Application of a 2-D Compositional, Radial Model to Predict Single-Well Performance in a Rich Gas Condensate Reservoir”. In SPE Annual Technical Conference and Exhibition, Las Vegas, NV. SPE 14413. Coats, K. (1980). “An equation of state compositional model”. Journal of Petroleum Science and Engineering October, pp 363–367. Dempsey, B., Taki, H., and Druyff, J. (2001). “Case History of Hydraulic Fracture Optimization in Tight Gas Wells with Water Production in the Wind River Basin, Wyoming”. In SPE Production and Operations Symposium, Oklahoma City, OK. SPE 67300. Duggan, J. (1972). “The Anderson ’L’-an Abnormally Pressured Gas Reservoir in South Texas”. JPT February, pp 132–138. Engineer, R. (1985). “Cal Canal Field, California: Case History of a Tight and Ab- normally Pressured Gas Condensate Reservoir”. In SPE 1985 California Regional Meeting, Bakersfield, CA. SPE 13650. Fevang, O. (1995). “Gas Condensate Flow Behavoir and Sampling”. Ph.D. thesis, University of Trondheim.
  • 185.
    BIBLIOGRAPHY 163 Fevang, O.and Whitson, C. (1996). “Modeling Gas-Condensate Well Deliverability”. SPE Reservoir Engineering, pp 221–230. Fussell, D. (1973). “Single-Well Performance Predictions for Gas Condensate Reser- voirs”. JPT July, pp 860–870. Hartman, K. and Cullick, A. (1994). “Oil Recovery by Gas Displacement at Low Interfacial Tension”. Journal of Petroleum Science and Engineering, pp 197–210. Hinchman, S. and Barree, R. (1985). “Productivity Loss in Gas condensate Reser- voirs”. In SPE Annual Technical Conference and Exhibition, Las Vegas, NV. SPE 14203. Holland, J. (1975). “Adaptation in Natural and Artificial Systems”. MIT Press, Cambridge, MA. Hurst, W. and Leeser, R. (1962). “Aspects of Gas Deliverability”. In Economics and Valuation Symposium, Dallas, TX. SPE 262. Iverson, W. and Surdam, R. (1995). “Tight Gas Sand Production from the Almond Formation, Washakie Basin, Wyoming”. In SPE Rocky Mountain Regional/Low- Permeability Reservoirs Symposium, Denver, CO. SPE 29559. Kleinsteiber, S., Wendschlag, D., and Calvin, J. (1983). “A Study for Development of a Plan of Depletion in a Rich Gas Condensate Reservoir: Anschutz Ranch East Unit, Summit County, Utah, Uinta County, Wyoming”. In SPE Annual Technical Conference and Exhibition, San Francisco, CA. SPE 12042. Lee, S. (1989). “Capillary-Gravity Equilibria for Hydrocarbon Fluids in Porous Me- dia”. In SPE Annual Technical Conference and Exhibition, San Antonio, TX. SPE 19650-MS. Lin, Z. and Finley, R. (1985). “Reservoir Engineering Properties and Production Characteristics of Selected Tight Gas Fields, Travis Peak Formation, East Texas Basin”. In SPE low Permeability Gas Reservoirs Symposium, Denver, CO. SPE 13901.
  • 186.
    164 BIBLIOGRAPHY McCain, W.(1990). “The Properties of Petroleum Fluids”. PennWell Books, Tulsa, OK, 2nd edition. Moses, P. (1986). “Engineering Applications of Phase Behavoir of Crude Oil and Condensate Systems”. JPT July, pp 715–725. Parakh, S. (2007). “Experimental Investigation of Enhanced Coal Bed Methane Re- covery”. Master’s thesis, Stanford University, Stanford, CA. Peaceman, D. (1996). “Calculation of Transmissibilities of Gridblocks Defined by Arbitrary Corner Point Geometry”. In SPE e-library (unpublished, but available from SPE e-library). SPE 37306. Reid, R., Prausnitz, J., and Sherwood, T. (1977). “The Properties of Gases and Liquids”. McGraw-Hill, New York, 3rd edition. Riemens, W. and de Jong, L. (1985). “Birba Field PVT Variations Along the Hydro- carbon Column and Confirmatory Field Tests”. In SPE Middle East Oil Technical Conference, Bahrain. SPE 13719. Roussennac, B. (2001). “Gas Condensate Well Test Analysis”. Master’s thesis, Stan- ford University, Stanford, CA. Schulte, A. (1980). “Compositional Variation within a Hydrocarbon Column Due to Gravity”. In SPE Annual Technical Conference and Exhibition, Dallas, TX. SPE 9235. Shi, C., Horne, R., and Li, K. (2006). “Optimizing the Productivity of Gas- Condensate Wells”. In SPE Annual Technical Conference and Exhibition, San Antonio, TX. SPE 103255. Vinegar, H. and Wellington, S. (1987). “Tomographic imaging of three-phase flow experiments”. Rev. Sci. Instrum. January. Vo, D., Jones, J., and Raghavan, R. (1989). “Performance Prediction for Gas Con- densate Reservoirs”. SPE Formation Evaluation December, pp 576–584.
  • 187.
    BIBLIOGRAPHY 165 Wheaton, R.and Zhang, H. (2000). “Condensate Banking Dynamics in Gas Con- densate Fields: Compositional Changes and Condensate Accumulation Around Production Wells”. In SPE Annual Technical Conference and Exhibition, Dallas, TX. SPE 62930. Whitson, C. (2005). “Khuff Gas Condensate Development”. In International Petroleum Technology Conference, Doha, Qatar. IPTC 10692. Yuan, S., Ye, J., and Sun, Z. (2003). “Theory and Practices in Gas-Condensate Reservoir Development”. China Petroleum Industry Press, Beijing, China. Zhou, Y., Wang, C., and Firor, R. (2003). “Analysis of Permanent Gases and Methane with the Agilent 6820 Gas Chromatograph”. Agilent Technologies, publication 5988-9260EN, www.agilent.com/chem.