Oleh: Dr. Puji Lestari, S.Si., M.Pd.
DEFINISI:
Fungsi f adalah suatu aturan padanan yang menghubungkan tiap obyek x dalam suatu himpunan,
yang disebut daerah asal, dengan sebuah nilai unik f(x) (tepat satu) dari himpunan kedua.
Himpunan nilai yang diperoleh secara demikian disebut daerah hasil fungsi tersebut.
x disebut variabel bebas dan y = f(x) disebut variabel tak bebas.
Notasi: 𝑓: ℝ → ℝ
𝑥 → 𝑦 = 𝑓(𝑥)
Contoh:
𝑓 𝑥 = 𝑥2
− 2𝑥 + 4
𝑓 𝑥 = 1 + 𝑥
𝑓 𝑥 = 3𝑥 ; −3 < 𝑥 < 3
Domain/daerah asal dari 𝑓 𝑥  notasi 𝐷𝑓 yaitu 𝐷𝑓 = 𝑥 ∈ ℝ 𝑓 𝑥 ∈ ℝ
Range/daerah hasil dari 𝑓(𝑥)  notasi 𝑅𝑓 yaitu 𝑅𝑓 = 𝑓 𝑥 ∈ ℝ 𝑥 ∈ 𝐷𝑓
Jika aturan suatu fungsi dinyatakan dalam persamaan berbentuk y = f
(x), maka x disebut variabel bebas (independent variable) dan y disebut
variabel tak-bebas (dependent variable).
Contoh 1:
Diberikan fungsi f : R → R dengan f (x) = x2 + 3 untuk setiap
x ∈ R.
Tentukanlah f (0), f (2), f (a), f (a + h), f (2 a + h), Rf .
f (0) = 02 + 3 = 3
f (2) = 22 + 3 = 7
f (a) = a2 + 3,
f (a + h) = (a + h)2 + 3 = a2 + 2 a h + h2 + 3,
Rf = [3, ∞).□
Contoh 2:
Diberikan fungsi g : Dg → R dengan g(x) = 𝑥 + 3 untuk setiap x ∈ Dg
= [0, ∞).
Tentukanlah g(−1), g(0), g(1), g(a + h), Rg .
g(−1) tidak terdefinisi karena −1 ∉ 𝐷𝑔
g(0) = 3, g(1) = 2, g(a + h) = 𝑎 + ℎ + 3;
Rg = [ 3, ∞).
Perhatikan ada 3 hal yang berbeda, yaitu:
1. x: masukan (input) untuk fungsi f
2. f : fungsi (aturan)
3. f (x): keluaran (output) dari fungsi f , nilai fungsi f di titik x
1. Tentukan domain dan range dari :
 𝑓 𝑥 = 𝑥2 + 2𝑥 + 4
 𝑓 𝑥 = 1 + 𝑥
 𝑓 𝑥 =
2
𝑥+3
GRAFIK
FUNGSI
Misal y = f(x), himpunan titik
{(x, y) | x Df , y  Rf }
disebut grafik fungsi f
Grafik fungsi sederhana
a. Fungsi linear
f (x)  ax  b
Grafik berupa garis lurus
Cara menggambar : tentukan titik
potong dgn sumbu x dan sumbu y
y=x+1
1
-1
Contoh
Gambarkan grafik y = x + 1
Titik potong dgn sumbu x
(-1,0)
y = 0 x = -1
Titik potong dgn sumbu y
x = 0 y=1 (0,1)
b. Fungsi Kuadrat
9
Grafik berupa parabola. Misal D  b2
 4ac
a>0, D>0 a>0, D=0 a>0, D<0
b
2a
x 
D
4a
a<0, D>0
10
a<0, D=0 a<0, D<0
1. Tentukan titik potong dengan sumbu x  y=0
2. Tentukan titik potong dengan sumbu y  x=0
3. Tentukan titik puncak (x,y)=
−𝑏
2𝑎
,
𝑏2−4𝑎𝑐
−4𝑎
MENGGAMBAR
GRAFIK FUNGSI
DENGAN
PERGESERAN
12
 Jika diketahui grafik fungsi y = f(x), maka :
 Grafik y=f(x-h)+k diperoleh dengan cara menggeser grafik y = f(x)
(i) sejauh h satuan ke kanan jika h positif dan k satuan ke atas jika k
positif
(ii) sejauh h satuan ke kiri jika h negatif dan k satuan ke bawah jika k negatif.
13
2
 x  2  1
y  x  22
1. Gambarkan grafik fungsi
f x x2
 4x  5
 x2
 4x  4 4  5
 y  x2
digeser sejauh
2 ke kanan
2
4
y  x2
y  x  22
14
digeser sejauh 1 ke atas
y  x  22
 1
Kemudian
maka akan terbentuk
4
y  x  22
2
y  x  22
 1
15
Contoh Gambarkan grafik
f(x)=
𝑥2
, 𝑥 ≤ 0
𝑥, 0 < 𝑥 < 1
2 + 𝑥2, 𝑥 ≥ 1
Untuk x  0
f (x)  x2
Grafik: parabola
Untuk 0<x<1
f(x)=x
Grafik:garis lurus
Untuk x  1
f (x)  2 x2
Grafik: parabola
3
º
1
16
17
1. Fungsi polinom (suku banyak)
f (x)  a0  a1x  a2 x2...an xn
Fungsi suku banyak terdefinisi dimana-mana(R)
2. Fungsi Rasional :
f (x) 
p(x)
 4
1
f (x) 
x2
x2
q(x)
dengan p(x) dan q(x) merupakan fungsi polinom , dan q(x) ≠0.
Fungsi rasional terdefinisi dimana-mana kecuali dipembuat nol q(x)
contoh
terdefinisi di mana2 , kecuali di x = 2, dan x = -2
Df  R {2,2}
18
3. Fungsi genap dan fungsi ganjil
Definisi : Fungsi f disebut fungsi ganjil jika f(-x) = - f(x)
Grafik fungsi ganjil simetri terhadap titik asal
Contoh:
Fungsi f disebut fungsi genap jika f(-x) = f(x)
Grafik fungsi genap simetri terhadap sumbu y
contoh
ganjil karena
f (x)  x3
f (x)  (x)3
 x3
  f (x)
f (x)  x2
f (x)  (x)2
 x2
 f (x)
genap karena
Fungsi f dikatakan fungsi genap (even function) jika
f (x) = f (−x) untuk setiap x.
Ciri grafik fungsi genap: simetri terhadap sumbu y.
Grafik fungsi genap (kurva biru). Df = R, Rf = (−∞, 5].
Kalkulus 1 (SCMA601002) 19/23
0.5 Fungsi dan grafiknya
Fungsi f dikatakan fungsi ganjil (odd function) jika
f (−x) = −f (x) untuk setiap x.
Ciri grafik fungsi ganjil: simetri terhadap titik asal (0,0).
Grafik fungsi ganjil (kurva biru). Df = R, Rf = R.
20/23
0.5 Fungsi dan grafiknya
LATIHAN
 Periksa apakah fungsi berikut adalah fungsi ganjil, genap atau bahkan bukan
keduanya
a) 𝑓 𝑥 = 1 − 𝑥4
b) 𝑓 𝑥 = 2𝑥 − 𝑥2
 Fungsi f(x) disebut periodik dengan perioda p jika f(x+p) = f(x).
 Contoh
f(x) = sin x fungsi periodik dengan perioda 2п karena
f(x+2п) = sin(x+2п) = sinx cos(2п) + cosx sin2п) = sinx = f(x)
22
5. Fungsi Bilangan Bulat T
erbesar
𝑓 𝑥 = 𝑥
yaitu bilangan bulat terbesar yang lebih kecil atau sama dengan x.
f (x)  x
Contoh:
5,9 = 6; 1 = 1; −2,6 = −3; −0.9 = −1
Notasi lain :
23
24
A. Operasi aljabar
 Definisi: Misalkan fungsi f(x) dan g(x) mempunyai daerah asal Df dan Dg ,
maka
 ( f  g)(x)  f (x)  g(x),
 ( f .g)(x)  f (x).g(x),
 Df  Dg
 D f  Dg
D f  g
D f .g
 (
f
)(x) 
f (x)
g g(x)
, g(x)  0 ,  Df  Dg {x | g(x)  0}
Df / g
B. Fungsi Komposisi
Definisi: Komposisi dari fungsi f(x) dengan g(x) didefinisikan sebagai
( f ∘g)(x)  f (g(x))
Syarat yang harus dipenuhi agar f o g ada (terdefinisi) adalah Rg ∩Df 
R R R
g f
f○
g
Dg
Rg Rf
Df
25
SIFAT-SIFATFUNGSI
KOMPOSISI :
26
 f o g  g o f .
D f ∘g  {x Dg | g(x)  D f }
 Contoh:
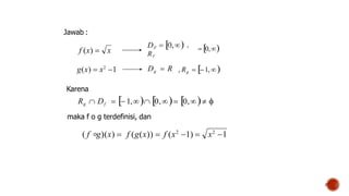
Diketahui
Tentukan (jika ada),
f (x)  x dan g(x)  x2
1
 {y  Rf | y  f (t), t  Rg }
Rf ∘g
, Rf ∘
g
f ∘g dan Df ∘
g
Jawab :
f (x)  x
g(x)  x2
1
27
 0,
Dg  R , Rg  1,
  1, 0, 0, 
Karena
Rg  Df
maka f o g terdefinisi, dan
x2
( f ∘g)(x)  f (g(x))  f (x2
1)  1
 
x  R | x2
1  0 x  R | (x 1)(x 1)  0
 (,1]  [1,).
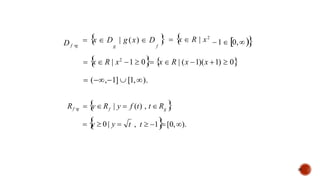
 
x  D | g(x)  D   
x  R | x2
g f
D f ∘g
1 0,
f
R  
y R | y  f (t) , t  R 
f ∘
g g
t , t  1
[0,).
28
 
y  0 | y 
 Tentukan f o g, g o f dan f o f beserta daerah asalnya, jika :
1. 𝑓 𝑥 = 𝑥2 𝑑𝑎𝑛 𝑔 𝑥 = 𝑥
2. 𝑓 𝑥 =
1
𝑥
dan g x = x + 1

fungsi .pptx

  • 1.
    Oleh: Dr. PujiLestari, S.Si., M.Pd.
  • 2.
    DEFINISI: Fungsi f adalahsuatu aturan padanan yang menghubungkan tiap obyek x dalam suatu himpunan, yang disebut daerah asal, dengan sebuah nilai unik f(x) (tepat satu) dari himpunan kedua. Himpunan nilai yang diperoleh secara demikian disebut daerah hasil fungsi tersebut. x disebut variabel bebas dan y = f(x) disebut variabel tak bebas. Notasi: 𝑓: ℝ → ℝ 𝑥 → 𝑦 = 𝑓(𝑥) Contoh: 𝑓 𝑥 = 𝑥2 − 2𝑥 + 4 𝑓 𝑥 = 1 + 𝑥 𝑓 𝑥 = 3𝑥 ; −3 < 𝑥 < 3
  • 3.
    Domain/daerah asal dari𝑓 𝑥  notasi 𝐷𝑓 yaitu 𝐷𝑓 = 𝑥 ∈ ℝ 𝑓 𝑥 ∈ ℝ Range/daerah hasil dari 𝑓(𝑥)  notasi 𝑅𝑓 yaitu 𝑅𝑓 = 𝑓 𝑥 ∈ ℝ 𝑥 ∈ 𝐷𝑓
  • 4.
    Jika aturan suatufungsi dinyatakan dalam persamaan berbentuk y = f (x), maka x disebut variabel bebas (independent variable) dan y disebut variabel tak-bebas (dependent variable). Contoh 1: Diberikan fungsi f : R → R dengan f (x) = x2 + 3 untuk setiap x ∈ R. Tentukanlah f (0), f (2), f (a), f (a + h), f (2 a + h), Rf . f (0) = 02 + 3 = 3 f (2) = 22 + 3 = 7 f (a) = a2 + 3, f (a + h) = (a + h)2 + 3 = a2 + 2 a h + h2 + 3, Rf = [3, ∞).□
  • 5.
    Contoh 2: Diberikan fungsig : Dg → R dengan g(x) = 𝑥 + 3 untuk setiap x ∈ Dg = [0, ∞). Tentukanlah g(−1), g(0), g(1), g(a + h), Rg . g(−1) tidak terdefinisi karena −1 ∉ 𝐷𝑔 g(0) = 3, g(1) = 2, g(a + h) = 𝑎 + ℎ + 3; Rg = [ 3, ∞).
  • 6.
    Perhatikan ada 3hal yang berbeda, yaitu: 1. x: masukan (input) untuk fungsi f 2. f : fungsi (aturan) 3. f (x): keluaran (output) dari fungsi f , nilai fungsi f di titik x
  • 7.
    1. Tentukan domaindan range dari :  𝑓 𝑥 = 𝑥2 + 2𝑥 + 4  𝑓 𝑥 = 1 + 𝑥  𝑓 𝑥 = 2 𝑥+3
  • 8.
    GRAFIK FUNGSI Misal y =f(x), himpunan titik {(x, y) | x Df , y  Rf } disebut grafik fungsi f Grafik fungsi sederhana a. Fungsi linear f (x)  ax  b Grafik berupa garis lurus Cara menggambar : tentukan titik potong dgn sumbu x dan sumbu y y=x+1 1 -1 Contoh Gambarkan grafik y = x + 1 Titik potong dgn sumbu x (-1,0) y = 0 x = -1 Titik potong dgn sumbu y x = 0 y=1 (0,1)
  • 9.
    b. Fungsi Kuadrat 9 Grafikberupa parabola. Misal D  b2  4ac a>0, D>0 a>0, D=0 a>0, D<0 b 2a x  D 4a
  • 10.
  • 11.
    1. Tentukan titikpotong dengan sumbu x  y=0 2. Tentukan titik potong dengan sumbu y  x=0 3. Tentukan titik puncak (x,y)= −𝑏 2𝑎 , 𝑏2−4𝑎𝑐 −4𝑎
  • 12.
    MENGGAMBAR GRAFIK FUNGSI DENGAN PERGESERAN 12  Jikadiketahui grafik fungsi y = f(x), maka :  Grafik y=f(x-h)+k diperoleh dengan cara menggeser grafik y = f(x) (i) sejauh h satuan ke kanan jika h positif dan k satuan ke atas jika k positif (ii) sejauh h satuan ke kiri jika h negatif dan k satuan ke bawah jika k negatif.
  • 13.
    13 2  x 2  1 y  x  22 1. Gambarkan grafik fungsi f x x2  4x  5  x2  4x  4 4  5  y  x2 digeser sejauh 2 ke kanan 2 4 y  x2 y  x  22
  • 14.
    14 digeser sejauh 1ke atas y  x  22  1 Kemudian maka akan terbentuk 4 y  x  22 2 y  x  22  1
  • 15.
    15 Contoh Gambarkan grafik f(x)= 𝑥2 ,𝑥 ≤ 0 𝑥, 0 < 𝑥 < 1 2 + 𝑥2, 𝑥 ≥ 1
  • 16.
    Untuk x 0 f (x)  x2 Grafik: parabola Untuk 0<x<1 f(x)=x Grafik:garis lurus Untuk x  1 f (x)  2 x2 Grafik: parabola 3 º 1 16
  • 17.
    17 1. Fungsi polinom(suku banyak) f (x)  a0  a1x  a2 x2...an xn Fungsi suku banyak terdefinisi dimana-mana(R) 2. Fungsi Rasional : f (x)  p(x)  4 1 f (x)  x2 x2 q(x) dengan p(x) dan q(x) merupakan fungsi polinom , dan q(x) ≠0. Fungsi rasional terdefinisi dimana-mana kecuali dipembuat nol q(x) contoh terdefinisi di mana2 , kecuali di x = 2, dan x = -2 Df  R {2,2}
  • 18.
    18 3. Fungsi genapdan fungsi ganjil Definisi : Fungsi f disebut fungsi ganjil jika f(-x) = - f(x) Grafik fungsi ganjil simetri terhadap titik asal Contoh: Fungsi f disebut fungsi genap jika f(-x) = f(x) Grafik fungsi genap simetri terhadap sumbu y contoh ganjil karena f (x)  x3 f (x)  (x)3  x3   f (x) f (x)  x2 f (x)  (x)2  x2  f (x) genap karena
  • 19.
    Fungsi f dikatakanfungsi genap (even function) jika f (x) = f (−x) untuk setiap x. Ciri grafik fungsi genap: simetri terhadap sumbu y. Grafik fungsi genap (kurva biru). Df = R, Rf = (−∞, 5]. Kalkulus 1 (SCMA601002) 19/23 0.5 Fungsi dan grafiknya
  • 20.
    Fungsi f dikatakanfungsi ganjil (odd function) jika f (−x) = −f (x) untuk setiap x. Ciri grafik fungsi ganjil: simetri terhadap titik asal (0,0). Grafik fungsi ganjil (kurva biru). Df = R, Rf = R. 20/23 0.5 Fungsi dan grafiknya
  • 21.
    LATIHAN  Periksa apakahfungsi berikut adalah fungsi ganjil, genap atau bahkan bukan keduanya a) 𝑓 𝑥 = 1 − 𝑥4 b) 𝑓 𝑥 = 2𝑥 − 𝑥2
  • 22.
     Fungsi f(x)disebut periodik dengan perioda p jika f(x+p) = f(x).  Contoh f(x) = sin x fungsi periodik dengan perioda 2п karena f(x+2п) = sin(x+2п) = sinx cos(2п) + cosx sin2п) = sinx = f(x) 22
  • 23.
    5. Fungsi BilanganBulat T erbesar 𝑓 𝑥 = 𝑥 yaitu bilangan bulat terbesar yang lebih kecil atau sama dengan x. f (x)  x Contoh: 5,9 = 6; 1 = 1; −2,6 = −3; −0.9 = −1 Notasi lain : 23
  • 24.
    24 A. Operasi aljabar Definisi: Misalkan fungsi f(x) dan g(x) mempunyai daerah asal Df dan Dg , maka  ( f  g)(x)  f (x)  g(x),  ( f .g)(x)  f (x).g(x),  Df  Dg  D f  Dg D f  g D f .g  ( f )(x)  f (x) g g(x) , g(x)  0 ,  Df  Dg {x | g(x)  0} Df / g
  • 25.
    B. Fungsi Komposisi Definisi:Komposisi dari fungsi f(x) dengan g(x) didefinisikan sebagai ( f ∘g)(x)  f (g(x)) Syarat yang harus dipenuhi agar f o g ada (terdefinisi) adalah Rg ∩Df  R R R g f f○ g Dg Rg Rf Df 25
  • 26.
    SIFAT-SIFATFUNGSI KOMPOSISI : 26  fo g  g o f . D f ∘g  {x Dg | g(x)  D f }  Contoh: Diketahui Tentukan (jika ada), f (x)  x dan g(x)  x2 1  {y  Rf | y  f (t), t  Rg } Rf ∘g , Rf ∘ g f ∘g dan Df ∘ g
  • 27.
    Jawab : f (x) x g(x)  x2 1 27  0, Dg  R , Rg  1,   1, 0, 0,  Karena Rg  Df maka f o g terdefinisi, dan x2 ( f ∘g)(x)  f (g(x))  f (x2 1)  1
  • 28.
      x R | x2 1  0 x  R | (x 1)(x 1)  0  (,1]  [1,).   x  D | g(x)  D    x  R | x2 g f D f ∘g 1 0, f R   y R | y  f (t) , t  R  f ∘ g g t , t  1 [0,). 28   y  0 | y 
  • 29.
     Tentukan fo g, g o f dan f o f beserta daerah asalnya, jika : 1. 𝑓 𝑥 = 𝑥2 𝑑𝑎𝑛 𝑔 𝑥 = 𝑥 2. 𝑓 𝑥 = 1 𝑥 dan g x = x + 1