International Journal of Electronics and Communication Engineering & Technology (IJECET), ISSN
        INTERNATIONAL JOURNAL OF ELECTRONICS AND
0976 – 6464(Print), ISSN 0976 – 6472(Online) Volume 3, Issue 1, January- June (2012), © IAEME
COMMUNICATION ENGINEERING & TECHNOLOGY (IJECET)

ISSN 0976 – 6464(Print)
ISSN 0976 – 6472(Online)
Volume 3, Issue 1, January- June (2012), pp. 98-110
                                                                   IJECET
© IAEME: www.iaeme.com/ijecet.html
Journal Impact Factor (2011): 0.8500 (Calculated by GISI)         ©IAEME
www.jifactor.com




    FAST DCT ALGORITHM USING WINOGRAD’S METHOD
              Ch. Ramesh1, Dr.N.B. Venkateswarlu2, Dr. J.V.R. Murthy3
                1
                  Professor, Dept .of CSE, AITAM, Tekkali, A.P, India
                             chappa_ramesh01@yahoo.co.in
                2
                  Professor, Dept .of CSE, AITAM, Tekkali, A.P, India
                                venkat_ritch@yahoo.com
        3
          Professor, Dept .of CSE, College of Engineering, JNTUK, A.P, India
                              mjonnalagedda@yahoo.com

ABSTRACT

Applications of Digital Image Communication have increased exponentially in the
recent years. Evidently, discrete cosine transform (DCT) based algorithms are in wide
use for reducing communication cost. Forward DCT and inverse DCT computation
are reported to be taking very long time which may often impede real time responses
in some applications. In this paper, we present Winograd’s matrix multiplication
approach for forward DCT and inverse DCT computation to reduce their CPU time.
Experiments are made with standard images and synthetic images.

Key Words: DCT, IDCT, Winograd’s, JPEG, MATLAB

I. INTRODUCTION

Discrete cosine transform (DCT) based algorithms such as JPEG, JPEG2000, MP3,
are the most widely used in the audio, image, and video data compression. DCT is
originally developed by Ahmed, Natarajan, and Rao (1974). Its application to image
compression was pioneered by Chen and Pratt (1984). DCT is a technique for
converting a signal into elementary frequency components. DCT represents an image
as a sum of sinusoids of varying magnitudes and frequencies.

The DCT has the property that, for a typical image, most of the visually significant
information about the image is concentrated in just a few coefficients of the DCT, for
this reason the DCT is often used in image compression applications [3]. The cosines
transform converts each block of spatial information into an efficient frequency space
representation that is better suited for compression. Specifically, the transform
produces an array of coefficients for real-valued basis functions that represent each
block of data in frequency space. The magnitude of the DCT coefficients exhibits a
distinct pattern within the array, where transform coefficients corresponding to the


                                             98
International Journal of Electronics and Communication Engineering & Technology (IJECET), ISSN
0976 – 6464(Print), ISSN 0976 – 6472(Online) Volume 3, Issue 1, January- June (2012), © IAEME
lowest frequency basis functions usually have the highest magnitude and are the most
perceptually significant. Similarly, discrete cosine transform coefficients
corresponding to the highest frequency basis functions usually have the lowest
magnitude and are the least perceptually significant. In DCT based compression
methods, only important DCT coefficients are retained. Thus, we achieve
compression of data.

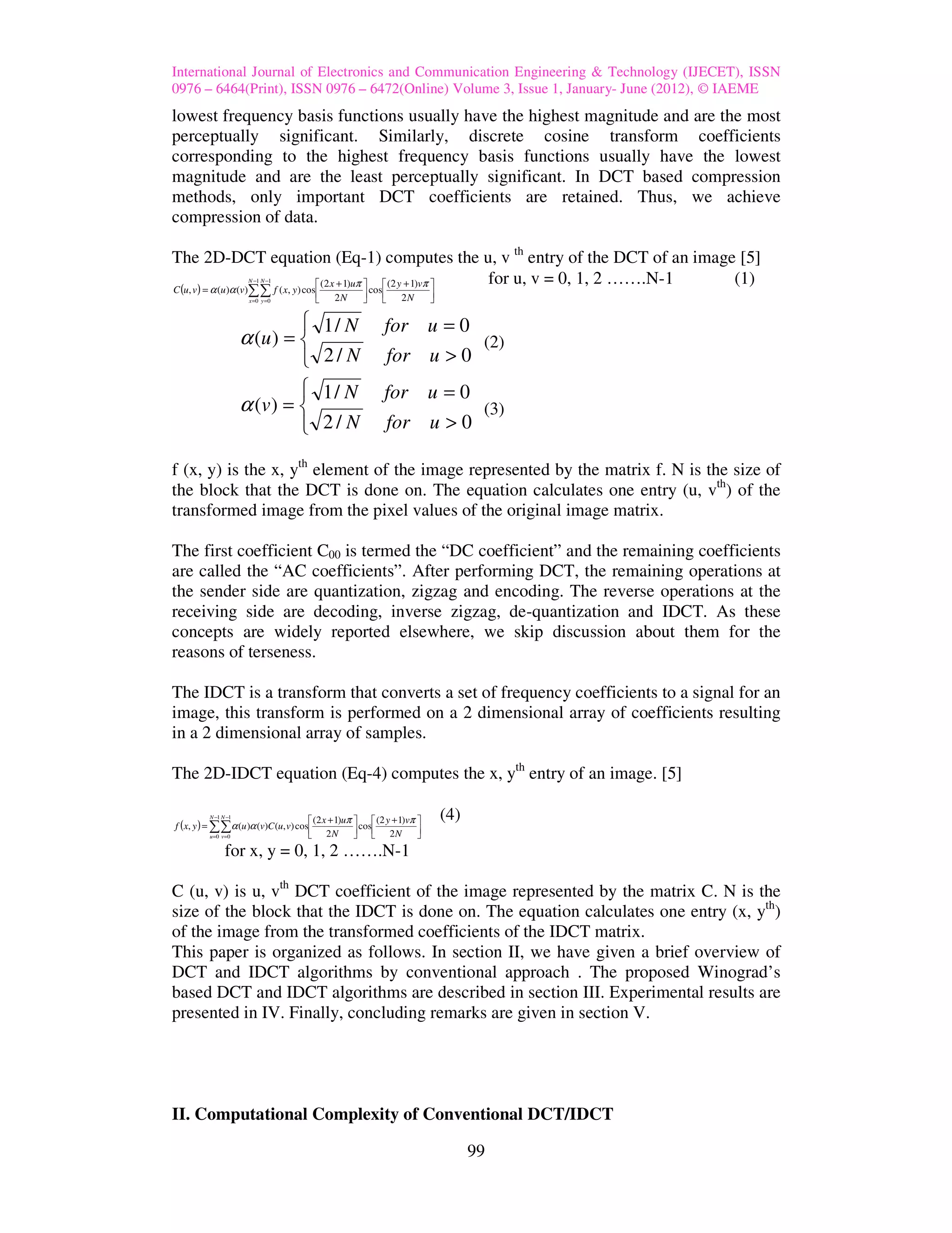
The 2D-DCT equation (Eq-1) computes the u, v th entry of the DCT of an image [5]
                  ( 2 x + 1)uπ 
                     N −1 N −1
                                   (2 y + 1)vπ  for u, v = 0, 1, 2 …….N-1 (1)
C (u, v ) = α (u )α (v)∑∑ f ( x, y ) cos            cos              
                       x =0 y =0           2N               2N       

                                    1/ N                 for u = 0
                  α (u ) =                                         (2)
                                    2/ N                 for u > 0
                                    1/ N                 for u = 0
                  α (v ) =                                         (3)
                                    2/ N                 for u > 0

f (x, y) is the x, yth element of the image represented by the matrix f. N is the size of
the block that the DCT is done on. The equation calculates one entry (u, vth) of the
transformed image from the pixel values of the original image matrix.

The first coefficient C00 is termed the “DC coefficient” and the remaining coefficients
are called the “AC coefficients”. After performing DCT, the remaining operations at
the sender side are quantization, zigzag and encoding. The reverse operations at the
receiving side are decoding, inverse zigzag, de-quantization and IDCT. As these
concepts are widely reported elsewhere, we skip discussion about them for the
reasons of terseness.

The IDCT is a transform that converts a set of frequency coefficients to a signal for an
image, this transform is performed on a 2 dimensional array of coefficients resulting
in a 2 dimensional array of samples.

The 2D-IDCT equation (Eq-4) computes the x, yth entry of an image. [5]

             N −1 N −1
                                       (2 x + 1)uπ   (2 y + 1)vπ        (4)
f ( x, y ) = ∑∑α (u )α (v)C (u, v) cos              cos 2 N      
             u =0 v =0                 2N                        
              for x, y = 0, 1, 2 …….N-1

C (u, v) is u, vth DCT coefficient of the image represented by the matrix C. N is the
size of the block that the IDCT is done on. The equation calculates one entry (x, yth)
of the image from the transformed coefficients of the IDCT matrix.
This paper is organized as follows. In section II, we have given a brief overview of
DCT and IDCT algorithms by conventional approach . The proposed Winograd’s
based DCT and IDCT algorithms are described in section III. Experimental results are
presented in IV. Finally, concluding remarks are given in section V.




II. Computational Complexity of Conventional DCT/IDCT

                                                                                  99
International Journal of Electronics and Communication Engineering & Technology (IJECET), ISSN
0976 – 6464(Print), ISSN 0976 – 6472(Online) Volume 3, Issue 1, January- June (2012), © IAEME

                                                          (2 x + 1)uπ 
In the 2D-DCT (Eq-1) the cosine functions            cos                and
                                                               2N      
      (2 y + 1)vπ                                                 (2 y + 1)vπ 
 cos                are computationally very expensive. cos                    is the transpose
          2N                                                          2N      
          (2 x + 1)uπ                         (2 x + 1)uπ 
of cos                  . Calculation of cos                 requires 4 multiplications, 1
              2N                                  2N        
addition, and 1 division. For calculation of each element in DCT matrix the loop in
                                             (2 x + 1)uπ 
Eq-1 iterates 64 times. Therefore cos                       requires 256 multiplications, 64
                                                 2N        
additions and 64 divisions. For calculation of all elements in DCT matrix, it requires
16384 multiplications 4096 additions and 4096 divisions. Therefore both the cos
functions require 32768 multiplications 8192 additions and 8192 divisions. Therefore
the way to improve the performance is to pre compute the coefficients and read them
during DCT algorithms. In this way for the calculation of each element in DCT
matrix, the Eq-1 requires 130 multiplications, 63 additions and 2 divisions. Similarly
for the calculation of all the elements in 8x8 DCT matrix The Eq-1 requires 8320
multiplications,4023 additions and 2 divisions. For the calculation of each element in
IDCT matrix, the Eq-4 requires 256 multiplications, 63 additions and 2 divisions.
Similarly for the calculation of all the elements in 8x8 IDCT matrix The Eq-4
requires 16384 multiplications, 4023 additions and 2 divisions. The IDCT requires
more number of arithmetic operations compared to DCT.

III. Winograd’s Approach

Consider calculation of scalar or dot product of two vectors, X and Y
X = [x1, x2, …..xN]                      (5)
Y = [y1, y2,…...yN]                      (6)
  T
X Y= x1y1 +x2y2+ …+xNyN                  (7)
This calculation usually requires N multiplications and N additions. Winograd’s
algorithm [2, 5] is used in the literature to reduce these computations in applications
such as classification, etc. According to [2],
XTY= [(x1+y2)(x2+y1)+(x3+y4)(x4+y3) + …. + (xN+yN-1)(xN-1+yN) ] –
    [ x1x2+x3x4+ … xN-1xN] –
    [ y1y2 + y3y4 + …. + yN-1yN]      (8)

This can be also represented as below assuming k=N/2.
         2k         k                 (9)           k             k
X T Y = ∑xi yi = ∑( x2u −1 + y2u )(x2u + y2u −1 ) − ∑x2u x2u −1 − ∑y2u y2u −1
        i =1       u =1                            u =1          u =1


By representing in the above form, if last two terms are assumed to be pre-calculated,
we can get dot product with N/2 multiplications itself. In some applications, last two
terms can be re-used. Thus, we may get computational benefit. This theme we
propose to use in our DCT/IDCT algorithm’s by extending this to matrix
multiplication. Of course, here we have assumed N is even number, thus N/2 pairs are
available. If N is not even, we can simply convert X and Y into even by adding one 0
at the end.

Though Winograd’s algorithm [2, 5] reduces actual computations involved, its
asymptotic computational complexity is same as the naïve matrix multiplication

                                                                                100
International Journal of Electronics and Communication Engineering & Technology (IJECET), ISSN
0976 – 6464(Print), ISSN 0976 – 6472(Online) Volume 3, Issue 1, January- June (2012), © IAEME
algorithm. In our DCT algorithm, we are required to carry a series of matrix
multiplications. We propose to reduce CPU time requirements by meticulously using
Winograd’s method.

For the multiplication of two N x N square matrices A and B Winogard’s algorithm is
defined as shown in equations (11), (12) and (13) below.

Ci,j=Product of Ai and Bj                                                   (10)

         n/2
Ci , j = ∑ ( ai , 2 K −1 + b2 K , j )(ai , 2 K + b2 K −1, j ) − Ai − B j
                                                                              (11)
         K =1




                              n/2
                 Ai = ∑ ai , 2 K −1 .a i , 2 K                                (12)
                              K =1
                       n/2
        B j = ∑ b2 K −1, j .b2 K , j                                         (13)
                       K =1

Ai → Sum of pairwise multiplication of couples in ith row.
B j → Sum of pairwise multiplication of couples in jth column.
Ci , j → ith row, jth column element of matrix C.

Since Ai and Bj are pre-computed once for each row of A and column of B. They
require only N2 multiplications. That is, to calculate pair-wise product of any row or
column of N x N matrix, we need N/2 multiplications. For N rows or columns, we
need NxN/2 multiplications. Thus, in total to calculate pair-wise product of rows of A
and columns of B, we need N2 multiplications. The total number of multiplications
                                                                                           1 3
needed to calculate matrix product becomes:                                                  N + N 2 . However, the number of
                                                                                           2
                                                   3
additions and subtractions has been increased to ( ) N 3 + 2 N 2 − 2 N .Winograd’s
                                                   2
algorithm is theoretically faster than the naïve matrix multiplication algorithm,
because additions takes very less CPU time compared to multiplications. In DCT or
IDCT computations matrices are of size 8 x 8. For an 8x8 matrix, each                                                Ai   calculation
requires              4        multiplications,                         3    additions.     Each   B j calculation        requires   4

multiplications, 3 additions. Each Ci , j calculation requires 4 multiplications, 3
additions and 2 subtractions. For multiplication of two 8x8 matrices 320
multiplications, 752 additions and 128 subtractions are required.

Now let us discuss how Winograd’s matrix multiplication method can be used with
DCT. The Eq-1 in matrix notation can be represented as [12]
                                                                    T
C (u, v ) = α (u )α (v) * (c1 * f ( x, y) * c1 )                              (14)
 f (x, y) → 8 x 8 image block
c1 → 8 x 8 matrix belongs to the 1st cos function in Eq-1 – c1 is

                                                                                     101
International Journal of Electronics and Communication Engineering & Technology (IJECET), ISSN
0976 – 6464(Print), ISSN 0976 – 6472(Online) Volume 3, Issue 1, January- June (2012), © IAEME
Constant for all the blocks.
C1T → 8 x 8 matrix belongs to the 2nd cos function in Eq-1 – C1T is
Constant for all the blocks.
C1T is the transpose of c1
We propose the following steps to calculate C (u , v ) .
1. Calculate the Matrix product of c1 and f ( x, y )
2. Calculate the product of Result at Step 1 and C1T.
3. Multiply the resultant Matrix at Step 2 with scalar α ( u ) α ( v )
For the multiplication of two matrices (c1 and f (x, y)) Ai calculation requires 32
multiplications, 24 additions, Bj calculation requires 32 multiplications, 24 additions
and cij calculation requires 256 multiplications, 704 additions,128 subtractions.
Therefore totally 320 multiplications, 752 additions, and 128 subtractions are
required. For the multiplication of resultant matrix (c1*f (x, y)) with C1T, Ai
calculation requires 32 multiplications, 24 additions, Bj is not required any
calculations because Bj in c1T is same as Ai in c1, cij calculation requires 256
multiplications, 704 additions, 128 subtractions. Therefore the term c1 * f (x, y)*c1T
calculation requires 608 multiplications, 1480 additions and 128 subtractions. Ai for
c1 or Bj for C1T is constant irrespective of the image block. For the calculation of all
the elements in 8 x 8 DCT matrix, according to Eq-14 requires 736 multiplications
1480 additions, 128 subtractions and 4 divisions. Thus, the no of arithmetic operations
required is less compared to conventional approach.

Now let us discuss how Winograd’s can be used with IDCT. The Eq-4 in matrix
notation is
                T
 f ( x, y ) = c1 * (α (u )α (v) * c(u, v)) * c1 ) (15)

c1T → 8 x 8 matrix belongs to the 1st cos function in Eq-4 – c1T is
Constant for all the blocks.
C1 → 8 x 8 matrix belongs to the 2nd cos function in Eq-4 – c1 is
Constant for all the blocks.
c4 is the transpose of c3

We propose the following steps to calculate f ( x, y )
1. Multiply the Matrix c(u , v) with scalar α (u )α (v)
2. Calculate the Product of Resultant Matrix at Step 1 with c1
                                  T
3. Calculate the Product of c 1       with the Resultant Matrix at Step 2.

α (u )α (v) * c(u, v) calculation      requires 4 divisions and 128 multiplications. For
the multiplication of two matrices C1T and (α (u )α (v) * c(u, v)) Ai Calculation
requires 32 multiplications, 24 additions, Bj calculation requires 32 multiplications, 24
additions and cij requires 256 multiplications, 704 additions,128 subtractions.
Therefore totally 320 multiplications, 752 additions, and 128 subtractions are
                                                             T
required. For the multiplication of resultant matrix c1 * (α (u )α (v) * c(u, v)) with
C1, Ai calculation requires 32 multiplications, 24 additions, Bj is not required any
calculations because Bj in c1 is same as Ai in, c1T ,cij calculation requires 256

                                             102
International Journal of Electronics and Communication Engineering & Technology (IJECET), ISSN
0976 – 6464(Print), ISSN 0976 – 6472(Online) Volume 3, Issue 1, January- June (2012), © IAEME
multiplications, 704 additions, 128 subtractions. For the calculation of all the
elements in 8 x 8 DCT matrix, according to Eq-15 requires 736 multiplications 1480
additions, 128 subtractions and 4 divisions. The total no of arithmetical operations
required is less when compared to conventional approach.

IV. EXPERIMENTAL WORK

In this study a number of images in tiff format are used including the widely used
Lena, Mandrill and Pepper images. The Table-1 shows the complete details of images
used in our study.

     S. No    Fig No      Image                       Size           Type
     1        1(a)        Chess                       128x128        Gray
     2        1(b)        Helmet                      128x128        Gray
     3        1(c)        X-ray                       128x128        Gray
     4        1(d)        Clock                       256x256        Gray
     5        1(e)        Moon surface                256x256        Gray
     6        1(f)        Cameraman                   256x256        Gray
     7        1(g)        Lena                        512x512        Gray
     8        1(h)        Mandrill                    512x512        Gray
     9        1(i)        Peppers                     512x512        Gray
     10       1(j)        Man                         1024x1024      Gray
     11       1(k)        Airplane2                   1024x1024      Gray
     12       1(l)        Airport                     1024x1024      Gray
     13       1(m)        Flowers                     2048x2048      Gray
     14       1(n)        Flowers1                    2048x2048      Gray
     15       1(0)        City                        2048x2048      Gray
     16       2(a)        Couple                      128x128        Color
     17       2(b)        House                       128x128        Color
     18       2(c)        Jennybeans1                 128x128        Color
     19       2(d)        Girl1                       256x256        Color
     20       2(e)        Jennybeans                  256x256        Color
     21       2(f)        Tree                        256x256        Color
     22       2(g)        Girl2                       512x512        Color
     23       2(h)        Sailboat                    512x512        Color
     24       2(i)        Splash                      512x512        Color
     25       2(j)        Oakland                     1024x1024      Color
     26       2(k)        Richmond                    1024x1024      Color
     27       2(l)        Shreport                    1024x1024      Color
     28       2(m)        Flowers                     2048x2048      Color
     29       2(n)        Flowers1                    2048x2048      Color
     30       2(0)        City                        2048x2048      Color

                              Table 1: Details of images used in our study




 All the above images are taken                     from     the   USC-SIPI       image     database
 “http://sipi.usc.edu/database” [6]


                                            103
International Journal of Electronics and Communication Engineering & Technology (IJECET), ISSN 0976 –
6464(Print), ISSN 0976 – 6472(Online) Volume 3, Issue 1, January- June (2012), © IAEME




Experiments are carried out on MS Windows XP version 2002, SP3 edition and Fedora 10,
Kernel Linux 2.6.27.5-117. fc 10.i 686. The system is equipped with Intel core 2 Duo 2.60
GHz with 1 GB RAM. Under Windows XP, programs are written in C language under
Micro Soft Visual Studio 2005 version 8.0. Under Linux, we have used GNU g++ 4.32.
MATLAB is a popular numerical computing environment and fourth generation
programming language developed by Mathworks. The dct2() function in the image
processing tool box computes the two dimensional discrete cosine transforms (DCT) of an
image. The idct2() function in the image processing tool box computes the two dimensional
inverse discrete cosine transform (IDCT). We have used these functions to compare our
algorithms performance. In Windows environment the CPU time for DCT and IDCT is
calculated by using the function GetSystemTime(). In UNIX environment the CPU time for
DCT and IDCT is calculated by using the function gettimeofday(). In MATLAB the CPU
time for DCT and IDCT is calculated by using the function cputime().

                                                                  Speed Up of        Speed Up of
    S.                             Conventional         Wino      Winograd’s     Winograd’s compared
           Fig No     MAT LAB
    No                              Approach            grad’s    compared to      to Conventional
                                                                   MATLAB             Approach

   1      1(a)       0.0313        0.0167          0.0035        8.942           4.771
   2      1(b)       0.0313        0.0168          0.0035        8.942           4.8
   3      1(c)       0.0312        0.0167          0.0035        8.914           4.771
   4      1(d)       0.1250        0.0686          0.0140        8.928           4.9
   5      1(e)       0.1248        0.0685          0.0141        8.851           4.858
   6      1(f)       0.1250        0.0689          0.0141        8.865           4.886
   7      1(g)       0.4688        0.2715          0.0550        8.523           4.936
   8      1(h)       0.4683        0.2714          0.0530        8.835           5.120
   9      1(i)       0.4688        0.2716          0.0550        8.523           4.938
   10     1(j)       1.8288        1.0949          0.2250        8.128           4.866
   11     1(k)       1.8290        1.0949          0.2250        8.128           4.866
   12     1(l)       1.8281        1.0948          0.2240        8.161           4.8875
   13     1(m)       7.1242        4.4053          0.9030        7.889           4.878
   14     1(n)       7.1240        4.4051          0.9030        7.889           4.878
   15     1(0)       7.1250        4.4055          0.9040        7.881           4.873

         Table 2: CPU time in Secs for DCT Calculation (Windows Environment)-gray level images




                                                  104
International Journal of Electronics and Communication Engineering & Technology (IJECET), ISSN 0976 –
6464(Print), ISSN 0976 – 6472(Online) Volume 3, Issue 1, January- June (2012), © IAEME




                                                                   Speed Up of       Speed Up of
                                   Conventional          Wino      Winograd’s    Winograd’s compared
 S. No     Fig No     MAT LAB
                                    Approach             grad’s    compared to     to Conventional
                                                                    MATLAB            Approach

1         2(a)       0.0939        0.051            0.0105        8.942          4.857
2         2(b)       0.0939        0.0512           0.0105        8.942          4.876
3         2(c)       0.0939        0.0512           0.0105        8.942          4.876
4         2(d)       0.3273        0.2035           0.0406        8.061          5.012
5         2(e)       0.3280        0.2049           0.0407        8.058          5.034
6         2(f)       0.3282        0.205            0.042         7.814          4.880
7         2(g)       1.3124        0.8124           0.1672        7.849          4.858
8         2(h)       1.3125        0.8124           0.1673        7.845          4.855
9         2(i)       1.3125        0.8126           0.1673        7.845          4.857
10        2(j)       5.2521        3.3              0.68          7.723          4.852
11        2(k)       5.2560        3.301            0.68          7.729          4.854
12        2(l)       5.2500        3.2846           0.672         7.8125         4.887
13        2(m)       21.842        12.3595          2.7037        8.078          4.571
14        2(n)       21.6093       12.3592          2.7036        7.992          4.571
15        2(0)       21.8439       12.3633          2.7037        8.079          4.572

           Table 3: CPU time in Secs for DCT Calculation (Windows Environment)-color images

                                                                 Speed Up of          Speed Up of
                                    Conventional                  Winograd’s     Winograd’s compared
 S. No     Fig No     MAT LAB                       Wino grad’s
                                     Approach                    compared to        to Conventional
                                                                  MAT LAB              Approach
1         1(a)       0.0313        0.014            0.0029      10.793           4.827
2         1(b)       0.0313        0.014            0.0029      10.793           4.827
3         1(c)       0.0312        0.014            0.0029      10.793           4.827
4         1(d)       0.125         0.0573           0.0117      10.683           4.897
5         1(e)       0.1248        0.0568           0.0116      10.758           4.896
6         1(f)       0.1250        0.0575           0.0117      10.683           4.914
7         1(g)       0.4688        0.2267           0.0466      10.060           4.864
8         1(h)       0.4683        0.2262           0.0465      10.070           4.864
9         1(i)       0.4688        0.2268           0.0468      10.017           4.846
10        1(j)       1.8288        0.9142           0.1871      9.774            4.886
11        1(k)       1.8290        0.9153           0.1873      9.765            4.886
12        1(l)       1.8281        0.9139           0.1870      9.775            4.887
13        1(m)       7.1242        3.6676           0.7500      9.498            4.890
14        1(n)       7.1240        3.6515           0.7479      9.525            4.882
15        1(0)       7.1250        3.6774           0.7546      9.442            4.873

          Table 4: CPU time in Secs for DCT Calculation (UNIX Environment)-gray level images




                                                   105
International Journal of Electronics and Communication Engineering & Technology (IJECET), ISSN 0976 –
6464(Print), ISSN 0976 – 6472(Online) Volume 3, Issue 1, January- June (2012), © IAEME



                                                                      Speed Up of       Speed Up of
                                      Conventional          Wino      Winograd’s    Winograd’s compared
 S. No        Fig No     MAT LAB
                                       Approach             grad’s    compared to     to Conventional
                                                                       MATLAB            Approach
1            2(a)        0.0939       0.0426           0.0087        10.793         4.896
2            2(b)        0.0939       0.0424           0.0087        10.793         4.873
3            2(c)        0.0939       0.0423           0.0086        10.918         4.918
4            2(d)        0.3273       0.1699           0.0339        9.654          5.011
5            2(e)        0.3280       0.1707           0.0349        9.398          4.891
6            2(f)        0.3282       0.1708           0.0350        9.377          4.88
7            2(g)        1.3124       0.6782           0.1382        9.496          4.907
8            2(h)        1.3125       0.6798           0.1396        9.401          4.869
9            2(i)        1.3125       0.6803           0.1412        9.295          4.817
10           2(j)        5.2521       2.7466           0.5618        9.348          4.888
11           2(k)        5.2560       2.7561           0.5620        9.352          4.904
12           2(l)        5.2500       2.7418           0.5610        9.358          4.887
13           2(m)        21.842       11.00            2.2393        9.753          4.912
14           2(n)        21.6093      10.9607          2.1900        9.867          5.004
15           2(0)        21.8439      11.0320          2.2569        9.678          4.888

               Table 5: CPU time in Secs for DCT Calculation (UNIX Environment)-color images


                                                                      Speed Up of       Speed Up of
                                       Conventional         Wino      Winograd’s    Winograd’s compared
 S. No        Fig No     MAT LAB
                                        Approach            grad’s    compared to     to Conventional
                                                                       MAT LAB           Approach
     1          1(a)       0.0313        0.0203             0.0031       10.09              6.54
     2          1(b)       0.0313        0.0202             0.0032        9.78              6.31
     3          1(c)       0.0313        0.0204             0.0032        9.78              6.37
     4          1(d)       0.1406        0.0837             0.0129       10.89              6.48
     5          1(e)       0.1407        0.0838             0.0129       10.90              6.48
     6          1(f)       0.1406        0.0837             0.0128       10.98              6.53
     7          1(g)       0.5314        0.3278             0.049        10.84              6.82
     8          1(h)       0.5469        0.3279             0.050        10.93              6.55
     9          1(i)       0.5313        0.3276             0.049        10.84              6.68
     10         1(j)       2.1716        1.3184             0.2076       10.46              6.35
     11         1(k)       2.1710        1.3183             0.2076       10.45              6.35
     12         1(l)       2.1719        1.3185             0.2078       10.45              6.34
     13         1(m)       8.6406          5.24             0.8292       10.42              6.31
     14         1(n)       8.6094         5.241             0.8292       10.38              6.32
     15         1(0)         8.5          5.239             0.8291       10.25              6.31


          Table 6: CPU time in Seconds for IDCT Calculation (Windows Environment)-gray level images




                                                      106
International Journal of Electronics and Communication Engineering & Technology (IJECET), ISSN 0976 –
6464(Print), ISSN 0976 – 6472(Online) Volume 3, Issue 1, January- June (2012), © IAEME



                                                                                  Speed Up of        Speed Up of
                                                Conventional                      Winograd’s     Winograd’s compared
 S. No        Fig No        MAT LAB                                Wino grad’s
                                                  Approach                        compared to      to Conventional
                                                                                   MAT LAB            Approach

1            2(a)          0.0938               0.0608             0.0092        10.19           6.60
2            2(b)          0.0938               0.0609             0.0091        10.30           6.69
3            2(c)          0.0938               0.0608             0.0092        10.19           6.60
4            2(d)          0.4218               0.2511             0.0388        10.87           6.47
5            2(e)          0.4216               0.251              0.0387        10.89           6.48
6            2(f)          0.424                0.253              0.0388        10.92           6.52
7            2(g)          1.5942               0.9833             0.147         10.84           6.68
8            2(h)          1.5944               0.9835             0.148         10.77           6.64
9            2(i)          1.5939               0.9857             0.148         10.76           6.66
10           2(j)          6.6578               3.9552             0.6227        10.69           6.35
11           2(k)          6.6589               3.9573             0.6229        10.69           6.35
12           2(l)          6.6564               3.9570             0.6226        10.69           6.35
13           2(m)          25.926               15.720             2.4876        10.42           6.31
14           2(n)          25.7641              15.692             2.4869        10.35           6.30
15           2(0)          25.7814              15.696             2.4871        10.36           6.31

             Table 7: CPU time in Secs for IDCT Calculation (Windows Environment)-color images


                                                          Speed Up of
                                              Speed Up of
                                                          Winograd’s
S.     Fig      MAT     Conventional   Wino Winograd’s
                                                          compared to
No     No       LAB       Approach     grad’s compared to
                                                          Conventional
                                               MAT LAB
                                                           Approach

1     1(a)    0.0313     0.0177        0.0028   11.17     6.32
2     1(b)    0.0313     0.0180        0.0028   11.17     6.42
3     1(c)    0.0313     0.0179        0.0028   11.17     6.35
4     1(d)    0.1406     0.0735        0.0114   12.33     6.44
5     1(e)    0.1407     0.0736        0.0115   12.23     6.40
6     1(f)    0.1406     0.0735        0.0115   12.22     6.39
7     1(g)    0.5314     0.2852        0.041    12.96     6.95
8     1(h)    0.5469     0.2856        0.044    12.42     6.94
9     1(i)    0.5313     0.2851        0.041    12.95     6.95
10    1(j)    2.1716     1.1466        0.1807   12.02     6.34
11    1(k)    2.1710     1.1462        0.1806   12.02     6.34
12    1(l)    2.1719     1.1467        0.1809   12.00     6.33
13    1(m)    8.6406     4.5770        0.7211   11.98     6.34
14    1(n)    8.6094     4.5640        0.7210   11.94     6.33
                                                                         Figure 4: CPU time in Secs for DCT Calculation
15    1(0)    8.5        4.5636        0.7210   11.78     6.32               (Windows Environment)-color images.


Table 8: CPU time in Secs for IDCT Calculation (UNIX Environment)-gray level images




                                                                 107
International Journal of Electronics and Communication Engineering & Technology (IJECET), ISSN 0976 –
6464(Print), ISSN 0976 – 6472(Online) Volume 3, Issue 1, January- June (2012), © IAEME

                                                           Speed Up
                                               Speed Up       of
                                                  of      Winograd’s
S.     Fig    MAT       Conventional   Wino
                                              Winograd’s compared to
No     No     LAB        Approach      grad’s                             8
                                              compared to Conventiona
                                               MAT LAB l Approach
                                                                          6                                                               Matlab

1      2(a)   0.0938    0.5320         0.0084   11.16      6.33           4                                                               Conventional
2      2(b)   0.0938    0.5310         0.0083   11.30      6.39
                                                                                                                                          Winograd
3      2(c)   0.0938    0.5310         0.0083   11.30      6.39           2
4      2(d)   0.4218    0.2206         0.0343   12.29      6.43
5      2(e)   0.4216    0.2205         0.0342   12.32      6.44
                                                                          0




                                                                                128x128



                                                                                              256x256



                                                                                                        512x512



                                                                                                                  1024x1024



                                                                                                                              2048x2048
6      2(f)   0.424     0.2205         0.0342   12.39      6.44
7      2(g)   1.5942    0.8557         0.124    12.85      6.90
8      2(h)   1.5944    0.8558         0.124    12.45      6.90
9      2(i)   1.5939    0.8560         0.132    12.95      6.95
10     2(j)   6.6578    3.4397         0.5422   12.27      6.34
11     2(k)   6.6589    3.4399         0.5421   12.28      6.34
12     2(l)   6.6564    3.4392         0.5320   12.59      6.46
13     2(m)   25.926    13.692         2.163    11.98      6.33
                                                                          Figure 5: CPU time in Secs for DCT Calculation (UNIX
14     2(n)   25.7641   13.679         2.162    11.91      6.32                      Environment)-gray level images
15     2(0)   25.7814   13.679         2.163    11.91      6.32

                            Table 9: CPU time in Secs for IDCT Calculation (UNIX Environment)-color images




                                                                                          Figure 6: CPU time in Secs for DCT Calculation (UNIX
                                                                                                       environment)-color images




     Figure 3: CPU time in Secs for DCT Calculation (Windows
                  Environment)-gray level images




              Figure 7: CPU time in Secs for IDCT Calculation (Windows Environment)-gray level images




                                                                    108
International Journal of Electronics and Communication Engineering & Technology (IJECET), ISSN 0976 –
6464(Print), ISSN 0976 – 6472(Online) Volume 3, Issue 1, January- June (2012), © IAEME




                 Figure 8: CPU time in Secs for IDCT Calculation (Windows Environment)-Color images




                 Figure 9: CPU time in Secs for IDCT Calculation (UNIX Environment)-gray level images




                   Figure 10: CPU time in Secs for IDCT Calculation (UNIX Environment)-color images


Our Winograd’s based DCT algorithm is consistently taking less CPU time than
conventional algorithm and MATLAB function. Also, the CPU time for our IDCT
algorithm is very less compared to MATLAB function and conventional approach.
Table 2 & 3 displays CPU time for DCT in windows XP with gray and color images.
Our algorithm is consistently giving better results than MATLAB routines and
conventional algorithm. We are getting a speed up of more than 8 when compared to
MATLAB and more than 4 when compared to conventional algorithm.

Table 4 & 5 displays CPU time for DCT in UNIX with gray and color images. Our
algorithm is consistently giving better results than MATLAB routings and
conventional algorithm. We are getting a speed up of more than 9 when compared to
MATLAB and more than 4 when compared to conventional algorithm.

Table 6 & 7 displays CPU time for DCT in windows XP with gray and color images.
Our algorithm is consistently giving better results than MATLAB routings and

                                                        109
International Journal of Electronics and Communication Engineering & Technology (IJECET), ISSN 0976 –
6464(Print), ISSN 0976 – 6472(Online) Volume 3, Issue 1, January- June (2012), © IAEME


conventional algorithm. We are getting a speed up of more than 10 when compared
to MATLAB and more than 6 when compared to conventional algorithm.

Table 8 & 9 displays CPU time for DCT in windows XP with gray and color images.
Our algorithm is consistently giving better results than MATLAB routings and
conventional algorithm. We are getting a speed up of more than 11 when compared
to MATLAB and more than 6 when compared to conventional algorithm.

The CPU time for DCT and IDCT calculations for the color images is around 3 times
for the corresponding size gray level image.

The Speedup of CPU time for DCT and IDCT calculations in UNIX environment as
compared to CPU time for DCT and IDCT calculations in Windows environment is
around 15%.
V. CONCLUSIONS
In this paper, Winograd based fast DCT and IDCT algorithms were proposed. We
have compared our DCT and IDCT algorithms with conventional, MATLAB
counterparts. From our experiments it is evident that our Winograd’s based DCT and
IDCT algorithms is the most preferred algorithms as they consume very less CPU
time compared to conventional implementation and MATLAB. Our approach can be
employed to compress video sequences also.
REFERENCES
[1]N.BVenkateswarlu and P.S.V.S.K.Raju “Winograd’s method:A perspective for some
pattern recognition problems” 105-109,Vol 15 ,No2,1994 Pattern Recognition
Letters.
[2]N.BVenkateswarlu and P.S.V.S.K.Raju “Winograd’s Inequality:A perspective for
some PR problems”, Pattern Recognition Letters 1991.
[3]R.C.Gonzalez and R.E.Woods “Digital Image Processing”,2nd Edition Addison
Wesley,USA ISBN:0-201-60078,1993
[4]The USC–SIPI image database (http://sipi.usc.edu/database).Signal and image
processing institute Ming Hgieh Department of Electrical Engineering..
[5]Rudra Pratap “Getting started with Matlab”:A Quick Introduction for Scientist and
Engineer” version 6 Oxford university press 2003.
[6]Andrew B.Watson “Image Compression using the discrete cosine transform”
Mathematica Journal 4(1),1994, p-81-88
 [7]D.L.Lee and M.A.Aboelaze “Linear speedup of Winograd’s matrix multiplication
algorithm using an array processor”. Distributed memory computing conference,1991
proceedings of IEEE,pages(427-430).
[8]R.P.Bent “Algorithms for matrix multiplication”,Technical report TR-CS-70-
157,DCS,Stanford University (March 1970).
[9]Boyko Kakaradov “Ultra-fast Matrix Multiplication:An Empirical Analysis of
Highly optimized vector Algorithms“, Stanford under graduate Research journal
2004
[10]Ken cabeen and peter gent,”Image compression and the discrete cosine
transform”,Math 45 college of redwoods

                                                110

Fast dct algorithm using winograd’s method

  • 1.
    International Journal ofElectronics and Communication Engineering & Technology (IJECET), ISSN INTERNATIONAL JOURNAL OF ELECTRONICS AND 0976 – 6464(Print), ISSN 0976 – 6472(Online) Volume 3, Issue 1, January- June (2012), © IAEME COMMUNICATION ENGINEERING & TECHNOLOGY (IJECET) ISSN 0976 – 6464(Print) ISSN 0976 – 6472(Online) Volume 3, Issue 1, January- June (2012), pp. 98-110 IJECET © IAEME: www.iaeme.com/ijecet.html Journal Impact Factor (2011): 0.8500 (Calculated by GISI) ©IAEME www.jifactor.com FAST DCT ALGORITHM USING WINOGRAD’S METHOD Ch. Ramesh1, Dr.N.B. Venkateswarlu2, Dr. J.V.R. Murthy3 1 Professor, Dept .of CSE, AITAM, Tekkali, A.P, India chappa_ramesh01@yahoo.co.in 2 Professor, Dept .of CSE, AITAM, Tekkali, A.P, India venkat_ritch@yahoo.com 3 Professor, Dept .of CSE, College of Engineering, JNTUK, A.P, India mjonnalagedda@yahoo.com ABSTRACT Applications of Digital Image Communication have increased exponentially in the recent years. Evidently, discrete cosine transform (DCT) based algorithms are in wide use for reducing communication cost. Forward DCT and inverse DCT computation are reported to be taking very long time which may often impede real time responses in some applications. In this paper, we present Winograd’s matrix multiplication approach for forward DCT and inverse DCT computation to reduce their CPU time. Experiments are made with standard images and synthetic images. Key Words: DCT, IDCT, Winograd’s, JPEG, MATLAB I. INTRODUCTION Discrete cosine transform (DCT) based algorithms such as JPEG, JPEG2000, MP3, are the most widely used in the audio, image, and video data compression. DCT is originally developed by Ahmed, Natarajan, and Rao (1974). Its application to image compression was pioneered by Chen and Pratt (1984). DCT is a technique for converting a signal into elementary frequency components. DCT represents an image as a sum of sinusoids of varying magnitudes and frequencies. The DCT has the property that, for a typical image, most of the visually significant information about the image is concentrated in just a few coefficients of the DCT, for this reason the DCT is often used in image compression applications [3]. The cosines transform converts each block of spatial information into an efficient frequency space representation that is better suited for compression. Specifically, the transform produces an array of coefficients for real-valued basis functions that represent each block of data in frequency space. The magnitude of the DCT coefficients exhibits a distinct pattern within the array, where transform coefficients corresponding to the 98
  • 2.
    International Journal ofElectronics and Communication Engineering & Technology (IJECET), ISSN 0976 – 6464(Print), ISSN 0976 – 6472(Online) Volume 3, Issue 1, January- June (2012), © IAEME lowest frequency basis functions usually have the highest magnitude and are the most perceptually significant. Similarly, discrete cosine transform coefficients corresponding to the highest frequency basis functions usually have the lowest magnitude and are the least perceptually significant. In DCT based compression methods, only important DCT coefficients are retained. Thus, we achieve compression of data. The 2D-DCT equation (Eq-1) computes the u, v th entry of the DCT of an image [5]  ( 2 x + 1)uπ  N −1 N −1  (2 y + 1)vπ  for u, v = 0, 1, 2 …….N-1 (1) C (u, v ) = α (u )α (v)∑∑ f ( x, y ) cos  cos  x =0 y =0  2N   2N   1/ N for u = 0 α (u ) =  (2)  2/ N for u > 0  1/ N for u = 0 α (v ) =  (3)  2/ N for u > 0 f (x, y) is the x, yth element of the image represented by the matrix f. N is the size of the block that the DCT is done on. The equation calculates one entry (u, vth) of the transformed image from the pixel values of the original image matrix. The first coefficient C00 is termed the “DC coefficient” and the remaining coefficients are called the “AC coefficients”. After performing DCT, the remaining operations at the sender side are quantization, zigzag and encoding. The reverse operations at the receiving side are decoding, inverse zigzag, de-quantization and IDCT. As these concepts are widely reported elsewhere, we skip discussion about them for the reasons of terseness. The IDCT is a transform that converts a set of frequency coefficients to a signal for an image, this transform is performed on a 2 dimensional array of coefficients resulting in a 2 dimensional array of samples. The 2D-IDCT equation (Eq-4) computes the x, yth entry of an image. [5] N −1 N −1  (2 x + 1)uπ   (2 y + 1)vπ  (4) f ( x, y ) = ∑∑α (u )α (v)C (u, v) cos  cos 2 N  u =0 v =0  2N    for x, y = 0, 1, 2 …….N-1 C (u, v) is u, vth DCT coefficient of the image represented by the matrix C. N is the size of the block that the IDCT is done on. The equation calculates one entry (x, yth) of the image from the transformed coefficients of the IDCT matrix. This paper is organized as follows. In section II, we have given a brief overview of DCT and IDCT algorithms by conventional approach . The proposed Winograd’s based DCT and IDCT algorithms are described in section III. Experimental results are presented in IV. Finally, concluding remarks are given in section V. II. Computational Complexity of Conventional DCT/IDCT 99
  • 3.
    International Journal ofElectronics and Communication Engineering & Technology (IJECET), ISSN 0976 – 6464(Print), ISSN 0976 – 6472(Online) Volume 3, Issue 1, January- June (2012), © IAEME  (2 x + 1)uπ  In the 2D-DCT (Eq-1) the cosine functions cos   and  2N   (2 y + 1)vπ   (2 y + 1)vπ  cos   are computationally very expensive. cos   is the transpose  2N   2N   (2 x + 1)uπ   (2 x + 1)uπ  of cos   . Calculation of cos   requires 4 multiplications, 1  2N   2N  addition, and 1 division. For calculation of each element in DCT matrix the loop in  (2 x + 1)uπ  Eq-1 iterates 64 times. Therefore cos   requires 256 multiplications, 64  2N  additions and 64 divisions. For calculation of all elements in DCT matrix, it requires 16384 multiplications 4096 additions and 4096 divisions. Therefore both the cos functions require 32768 multiplications 8192 additions and 8192 divisions. Therefore the way to improve the performance is to pre compute the coefficients and read them during DCT algorithms. In this way for the calculation of each element in DCT matrix, the Eq-1 requires 130 multiplications, 63 additions and 2 divisions. Similarly for the calculation of all the elements in 8x8 DCT matrix The Eq-1 requires 8320 multiplications,4023 additions and 2 divisions. For the calculation of each element in IDCT matrix, the Eq-4 requires 256 multiplications, 63 additions and 2 divisions. Similarly for the calculation of all the elements in 8x8 IDCT matrix The Eq-4 requires 16384 multiplications, 4023 additions and 2 divisions. The IDCT requires more number of arithmetic operations compared to DCT. III. Winograd’s Approach Consider calculation of scalar or dot product of two vectors, X and Y X = [x1, x2, …..xN] (5) Y = [y1, y2,…...yN] (6) T X Y= x1y1 +x2y2+ …+xNyN (7) This calculation usually requires N multiplications and N additions. Winograd’s algorithm [2, 5] is used in the literature to reduce these computations in applications such as classification, etc. According to [2], XTY= [(x1+y2)(x2+y1)+(x3+y4)(x4+y3) + …. + (xN+yN-1)(xN-1+yN) ] – [ x1x2+x3x4+ … xN-1xN] – [ y1y2 + y3y4 + …. + yN-1yN] (8) This can be also represented as below assuming k=N/2. 2k k (9) k k X T Y = ∑xi yi = ∑( x2u −1 + y2u )(x2u + y2u −1 ) − ∑x2u x2u −1 − ∑y2u y2u −1 i =1 u =1 u =1 u =1 By representing in the above form, if last two terms are assumed to be pre-calculated, we can get dot product with N/2 multiplications itself. In some applications, last two terms can be re-used. Thus, we may get computational benefit. This theme we propose to use in our DCT/IDCT algorithm’s by extending this to matrix multiplication. Of course, here we have assumed N is even number, thus N/2 pairs are available. If N is not even, we can simply convert X and Y into even by adding one 0 at the end. Though Winograd’s algorithm [2, 5] reduces actual computations involved, its asymptotic computational complexity is same as the naïve matrix multiplication 100
  • 4.
    International Journal ofElectronics and Communication Engineering & Technology (IJECET), ISSN 0976 – 6464(Print), ISSN 0976 – 6472(Online) Volume 3, Issue 1, January- June (2012), © IAEME algorithm. In our DCT algorithm, we are required to carry a series of matrix multiplications. We propose to reduce CPU time requirements by meticulously using Winograd’s method. For the multiplication of two N x N square matrices A and B Winogard’s algorithm is defined as shown in equations (11), (12) and (13) below. Ci,j=Product of Ai and Bj (10) n/2 Ci , j = ∑ ( ai , 2 K −1 + b2 K , j )(ai , 2 K + b2 K −1, j ) − Ai − B j (11) K =1 n/2 Ai = ∑ ai , 2 K −1 .a i , 2 K (12) K =1 n/2 B j = ∑ b2 K −1, j .b2 K , j (13) K =1 Ai → Sum of pairwise multiplication of couples in ith row. B j → Sum of pairwise multiplication of couples in jth column. Ci , j → ith row, jth column element of matrix C. Since Ai and Bj are pre-computed once for each row of A and column of B. They require only N2 multiplications. That is, to calculate pair-wise product of any row or column of N x N matrix, we need N/2 multiplications. For N rows or columns, we need NxN/2 multiplications. Thus, in total to calculate pair-wise product of rows of A and columns of B, we need N2 multiplications. The total number of multiplications 1 3 needed to calculate matrix product becomes: N + N 2 . However, the number of 2 3 additions and subtractions has been increased to ( ) N 3 + 2 N 2 − 2 N .Winograd’s 2 algorithm is theoretically faster than the naïve matrix multiplication algorithm, because additions takes very less CPU time compared to multiplications. In DCT or IDCT computations matrices are of size 8 x 8. For an 8x8 matrix, each Ai calculation requires 4 multiplications, 3 additions. Each B j calculation requires 4 multiplications, 3 additions. Each Ci , j calculation requires 4 multiplications, 3 additions and 2 subtractions. For multiplication of two 8x8 matrices 320 multiplications, 752 additions and 128 subtractions are required. Now let us discuss how Winograd’s matrix multiplication method can be used with DCT. The Eq-1 in matrix notation can be represented as [12] T C (u, v ) = α (u )α (v) * (c1 * f ( x, y) * c1 ) (14) f (x, y) → 8 x 8 image block c1 → 8 x 8 matrix belongs to the 1st cos function in Eq-1 – c1 is 101
  • 5.
    International Journal ofElectronics and Communication Engineering & Technology (IJECET), ISSN 0976 – 6464(Print), ISSN 0976 – 6472(Online) Volume 3, Issue 1, January- June (2012), © IAEME Constant for all the blocks. C1T → 8 x 8 matrix belongs to the 2nd cos function in Eq-1 – C1T is Constant for all the blocks. C1T is the transpose of c1 We propose the following steps to calculate C (u , v ) . 1. Calculate the Matrix product of c1 and f ( x, y ) 2. Calculate the product of Result at Step 1 and C1T. 3. Multiply the resultant Matrix at Step 2 with scalar α ( u ) α ( v ) For the multiplication of two matrices (c1 and f (x, y)) Ai calculation requires 32 multiplications, 24 additions, Bj calculation requires 32 multiplications, 24 additions and cij calculation requires 256 multiplications, 704 additions,128 subtractions. Therefore totally 320 multiplications, 752 additions, and 128 subtractions are required. For the multiplication of resultant matrix (c1*f (x, y)) with C1T, Ai calculation requires 32 multiplications, 24 additions, Bj is not required any calculations because Bj in c1T is same as Ai in c1, cij calculation requires 256 multiplications, 704 additions, 128 subtractions. Therefore the term c1 * f (x, y)*c1T calculation requires 608 multiplications, 1480 additions and 128 subtractions. Ai for c1 or Bj for C1T is constant irrespective of the image block. For the calculation of all the elements in 8 x 8 DCT matrix, according to Eq-14 requires 736 multiplications 1480 additions, 128 subtractions and 4 divisions. Thus, the no of arithmetic operations required is less compared to conventional approach. Now let us discuss how Winograd’s can be used with IDCT. The Eq-4 in matrix notation is T f ( x, y ) = c1 * (α (u )α (v) * c(u, v)) * c1 ) (15) c1T → 8 x 8 matrix belongs to the 1st cos function in Eq-4 – c1T is Constant for all the blocks. C1 → 8 x 8 matrix belongs to the 2nd cos function in Eq-4 – c1 is Constant for all the blocks. c4 is the transpose of c3 We propose the following steps to calculate f ( x, y ) 1. Multiply the Matrix c(u , v) with scalar α (u )α (v) 2. Calculate the Product of Resultant Matrix at Step 1 with c1 T 3. Calculate the Product of c 1 with the Resultant Matrix at Step 2. α (u )α (v) * c(u, v) calculation requires 4 divisions and 128 multiplications. For the multiplication of two matrices C1T and (α (u )α (v) * c(u, v)) Ai Calculation requires 32 multiplications, 24 additions, Bj calculation requires 32 multiplications, 24 additions and cij requires 256 multiplications, 704 additions,128 subtractions. Therefore totally 320 multiplications, 752 additions, and 128 subtractions are T required. For the multiplication of resultant matrix c1 * (α (u )α (v) * c(u, v)) with C1, Ai calculation requires 32 multiplications, 24 additions, Bj is not required any calculations because Bj in c1 is same as Ai in, c1T ,cij calculation requires 256 102
  • 6.
    International Journal ofElectronics and Communication Engineering & Technology (IJECET), ISSN 0976 – 6464(Print), ISSN 0976 – 6472(Online) Volume 3, Issue 1, January- June (2012), © IAEME multiplications, 704 additions, 128 subtractions. For the calculation of all the elements in 8 x 8 DCT matrix, according to Eq-15 requires 736 multiplications 1480 additions, 128 subtractions and 4 divisions. The total no of arithmetical operations required is less when compared to conventional approach. IV. EXPERIMENTAL WORK In this study a number of images in tiff format are used including the widely used Lena, Mandrill and Pepper images. The Table-1 shows the complete details of images used in our study. S. No Fig No Image Size Type 1 1(a) Chess 128x128 Gray 2 1(b) Helmet 128x128 Gray 3 1(c) X-ray 128x128 Gray 4 1(d) Clock 256x256 Gray 5 1(e) Moon surface 256x256 Gray 6 1(f) Cameraman 256x256 Gray 7 1(g) Lena 512x512 Gray 8 1(h) Mandrill 512x512 Gray 9 1(i) Peppers 512x512 Gray 10 1(j) Man 1024x1024 Gray 11 1(k) Airplane2 1024x1024 Gray 12 1(l) Airport 1024x1024 Gray 13 1(m) Flowers 2048x2048 Gray 14 1(n) Flowers1 2048x2048 Gray 15 1(0) City 2048x2048 Gray 16 2(a) Couple 128x128 Color 17 2(b) House 128x128 Color 18 2(c) Jennybeans1 128x128 Color 19 2(d) Girl1 256x256 Color 20 2(e) Jennybeans 256x256 Color 21 2(f) Tree 256x256 Color 22 2(g) Girl2 512x512 Color 23 2(h) Sailboat 512x512 Color 24 2(i) Splash 512x512 Color 25 2(j) Oakland 1024x1024 Color 26 2(k) Richmond 1024x1024 Color 27 2(l) Shreport 1024x1024 Color 28 2(m) Flowers 2048x2048 Color 29 2(n) Flowers1 2048x2048 Color 30 2(0) City 2048x2048 Color Table 1: Details of images used in our study All the above images are taken from the USC-SIPI image database “http://sipi.usc.edu/database” [6] 103
  • 7.
    International Journal ofElectronics and Communication Engineering & Technology (IJECET), ISSN 0976 – 6464(Print), ISSN 0976 – 6472(Online) Volume 3, Issue 1, January- June (2012), © IAEME Experiments are carried out on MS Windows XP version 2002, SP3 edition and Fedora 10, Kernel Linux 2.6.27.5-117. fc 10.i 686. The system is equipped with Intel core 2 Duo 2.60 GHz with 1 GB RAM. Under Windows XP, programs are written in C language under Micro Soft Visual Studio 2005 version 8.0. Under Linux, we have used GNU g++ 4.32. MATLAB is a popular numerical computing environment and fourth generation programming language developed by Mathworks. The dct2() function in the image processing tool box computes the two dimensional discrete cosine transforms (DCT) of an image. The idct2() function in the image processing tool box computes the two dimensional inverse discrete cosine transform (IDCT). We have used these functions to compare our algorithms performance. In Windows environment the CPU time for DCT and IDCT is calculated by using the function GetSystemTime(). In UNIX environment the CPU time for DCT and IDCT is calculated by using the function gettimeofday(). In MATLAB the CPU time for DCT and IDCT is calculated by using the function cputime(). Speed Up of Speed Up of S. Conventional Wino Winograd’s Winograd’s compared Fig No MAT LAB No Approach grad’s compared to to Conventional MATLAB Approach 1 1(a) 0.0313 0.0167 0.0035 8.942 4.771 2 1(b) 0.0313 0.0168 0.0035 8.942 4.8 3 1(c) 0.0312 0.0167 0.0035 8.914 4.771 4 1(d) 0.1250 0.0686 0.0140 8.928 4.9 5 1(e) 0.1248 0.0685 0.0141 8.851 4.858 6 1(f) 0.1250 0.0689 0.0141 8.865 4.886 7 1(g) 0.4688 0.2715 0.0550 8.523 4.936 8 1(h) 0.4683 0.2714 0.0530 8.835 5.120 9 1(i) 0.4688 0.2716 0.0550 8.523 4.938 10 1(j) 1.8288 1.0949 0.2250 8.128 4.866 11 1(k) 1.8290 1.0949 0.2250 8.128 4.866 12 1(l) 1.8281 1.0948 0.2240 8.161 4.8875 13 1(m) 7.1242 4.4053 0.9030 7.889 4.878 14 1(n) 7.1240 4.4051 0.9030 7.889 4.878 15 1(0) 7.1250 4.4055 0.9040 7.881 4.873 Table 2: CPU time in Secs for DCT Calculation (Windows Environment)-gray level images 104
  • 8.
    International Journal ofElectronics and Communication Engineering & Technology (IJECET), ISSN 0976 – 6464(Print), ISSN 0976 – 6472(Online) Volume 3, Issue 1, January- June (2012), © IAEME Speed Up of Speed Up of Conventional Wino Winograd’s Winograd’s compared S. No Fig No MAT LAB Approach grad’s compared to to Conventional MATLAB Approach 1 2(a) 0.0939 0.051 0.0105 8.942 4.857 2 2(b) 0.0939 0.0512 0.0105 8.942 4.876 3 2(c) 0.0939 0.0512 0.0105 8.942 4.876 4 2(d) 0.3273 0.2035 0.0406 8.061 5.012 5 2(e) 0.3280 0.2049 0.0407 8.058 5.034 6 2(f) 0.3282 0.205 0.042 7.814 4.880 7 2(g) 1.3124 0.8124 0.1672 7.849 4.858 8 2(h) 1.3125 0.8124 0.1673 7.845 4.855 9 2(i) 1.3125 0.8126 0.1673 7.845 4.857 10 2(j) 5.2521 3.3 0.68 7.723 4.852 11 2(k) 5.2560 3.301 0.68 7.729 4.854 12 2(l) 5.2500 3.2846 0.672 7.8125 4.887 13 2(m) 21.842 12.3595 2.7037 8.078 4.571 14 2(n) 21.6093 12.3592 2.7036 7.992 4.571 15 2(0) 21.8439 12.3633 2.7037 8.079 4.572 Table 3: CPU time in Secs for DCT Calculation (Windows Environment)-color images Speed Up of Speed Up of Conventional Winograd’s Winograd’s compared S. No Fig No MAT LAB Wino grad’s Approach compared to to Conventional MAT LAB Approach 1 1(a) 0.0313 0.014 0.0029 10.793 4.827 2 1(b) 0.0313 0.014 0.0029 10.793 4.827 3 1(c) 0.0312 0.014 0.0029 10.793 4.827 4 1(d) 0.125 0.0573 0.0117 10.683 4.897 5 1(e) 0.1248 0.0568 0.0116 10.758 4.896 6 1(f) 0.1250 0.0575 0.0117 10.683 4.914 7 1(g) 0.4688 0.2267 0.0466 10.060 4.864 8 1(h) 0.4683 0.2262 0.0465 10.070 4.864 9 1(i) 0.4688 0.2268 0.0468 10.017 4.846 10 1(j) 1.8288 0.9142 0.1871 9.774 4.886 11 1(k) 1.8290 0.9153 0.1873 9.765 4.886 12 1(l) 1.8281 0.9139 0.1870 9.775 4.887 13 1(m) 7.1242 3.6676 0.7500 9.498 4.890 14 1(n) 7.1240 3.6515 0.7479 9.525 4.882 15 1(0) 7.1250 3.6774 0.7546 9.442 4.873 Table 4: CPU time in Secs for DCT Calculation (UNIX Environment)-gray level images 105
  • 9.
    International Journal ofElectronics and Communication Engineering & Technology (IJECET), ISSN 0976 – 6464(Print), ISSN 0976 – 6472(Online) Volume 3, Issue 1, January- June (2012), © IAEME Speed Up of Speed Up of Conventional Wino Winograd’s Winograd’s compared S. No Fig No MAT LAB Approach grad’s compared to to Conventional MATLAB Approach 1 2(a) 0.0939 0.0426 0.0087 10.793 4.896 2 2(b) 0.0939 0.0424 0.0087 10.793 4.873 3 2(c) 0.0939 0.0423 0.0086 10.918 4.918 4 2(d) 0.3273 0.1699 0.0339 9.654 5.011 5 2(e) 0.3280 0.1707 0.0349 9.398 4.891 6 2(f) 0.3282 0.1708 0.0350 9.377 4.88 7 2(g) 1.3124 0.6782 0.1382 9.496 4.907 8 2(h) 1.3125 0.6798 0.1396 9.401 4.869 9 2(i) 1.3125 0.6803 0.1412 9.295 4.817 10 2(j) 5.2521 2.7466 0.5618 9.348 4.888 11 2(k) 5.2560 2.7561 0.5620 9.352 4.904 12 2(l) 5.2500 2.7418 0.5610 9.358 4.887 13 2(m) 21.842 11.00 2.2393 9.753 4.912 14 2(n) 21.6093 10.9607 2.1900 9.867 5.004 15 2(0) 21.8439 11.0320 2.2569 9.678 4.888 Table 5: CPU time in Secs for DCT Calculation (UNIX Environment)-color images Speed Up of Speed Up of Conventional Wino Winograd’s Winograd’s compared S. No Fig No MAT LAB Approach grad’s compared to to Conventional MAT LAB Approach 1 1(a) 0.0313 0.0203 0.0031 10.09 6.54 2 1(b) 0.0313 0.0202 0.0032 9.78 6.31 3 1(c) 0.0313 0.0204 0.0032 9.78 6.37 4 1(d) 0.1406 0.0837 0.0129 10.89 6.48 5 1(e) 0.1407 0.0838 0.0129 10.90 6.48 6 1(f) 0.1406 0.0837 0.0128 10.98 6.53 7 1(g) 0.5314 0.3278 0.049 10.84 6.82 8 1(h) 0.5469 0.3279 0.050 10.93 6.55 9 1(i) 0.5313 0.3276 0.049 10.84 6.68 10 1(j) 2.1716 1.3184 0.2076 10.46 6.35 11 1(k) 2.1710 1.3183 0.2076 10.45 6.35 12 1(l) 2.1719 1.3185 0.2078 10.45 6.34 13 1(m) 8.6406 5.24 0.8292 10.42 6.31 14 1(n) 8.6094 5.241 0.8292 10.38 6.32 15 1(0) 8.5 5.239 0.8291 10.25 6.31 Table 6: CPU time in Seconds for IDCT Calculation (Windows Environment)-gray level images 106
  • 10.
    International Journal ofElectronics and Communication Engineering & Technology (IJECET), ISSN 0976 – 6464(Print), ISSN 0976 – 6472(Online) Volume 3, Issue 1, January- June (2012), © IAEME Speed Up of Speed Up of Conventional Winograd’s Winograd’s compared S. No Fig No MAT LAB Wino grad’s Approach compared to to Conventional MAT LAB Approach 1 2(a) 0.0938 0.0608 0.0092 10.19 6.60 2 2(b) 0.0938 0.0609 0.0091 10.30 6.69 3 2(c) 0.0938 0.0608 0.0092 10.19 6.60 4 2(d) 0.4218 0.2511 0.0388 10.87 6.47 5 2(e) 0.4216 0.251 0.0387 10.89 6.48 6 2(f) 0.424 0.253 0.0388 10.92 6.52 7 2(g) 1.5942 0.9833 0.147 10.84 6.68 8 2(h) 1.5944 0.9835 0.148 10.77 6.64 9 2(i) 1.5939 0.9857 0.148 10.76 6.66 10 2(j) 6.6578 3.9552 0.6227 10.69 6.35 11 2(k) 6.6589 3.9573 0.6229 10.69 6.35 12 2(l) 6.6564 3.9570 0.6226 10.69 6.35 13 2(m) 25.926 15.720 2.4876 10.42 6.31 14 2(n) 25.7641 15.692 2.4869 10.35 6.30 15 2(0) 25.7814 15.696 2.4871 10.36 6.31 Table 7: CPU time in Secs for IDCT Calculation (Windows Environment)-color images Speed Up of Speed Up of Winograd’s S. Fig MAT Conventional Wino Winograd’s compared to No No LAB Approach grad’s compared to Conventional MAT LAB Approach 1 1(a) 0.0313 0.0177 0.0028 11.17 6.32 2 1(b) 0.0313 0.0180 0.0028 11.17 6.42 3 1(c) 0.0313 0.0179 0.0028 11.17 6.35 4 1(d) 0.1406 0.0735 0.0114 12.33 6.44 5 1(e) 0.1407 0.0736 0.0115 12.23 6.40 6 1(f) 0.1406 0.0735 0.0115 12.22 6.39 7 1(g) 0.5314 0.2852 0.041 12.96 6.95 8 1(h) 0.5469 0.2856 0.044 12.42 6.94 9 1(i) 0.5313 0.2851 0.041 12.95 6.95 10 1(j) 2.1716 1.1466 0.1807 12.02 6.34 11 1(k) 2.1710 1.1462 0.1806 12.02 6.34 12 1(l) 2.1719 1.1467 0.1809 12.00 6.33 13 1(m) 8.6406 4.5770 0.7211 11.98 6.34 14 1(n) 8.6094 4.5640 0.7210 11.94 6.33 Figure 4: CPU time in Secs for DCT Calculation 15 1(0) 8.5 4.5636 0.7210 11.78 6.32 (Windows Environment)-color images. Table 8: CPU time in Secs for IDCT Calculation (UNIX Environment)-gray level images 107
  • 11.
    International Journal ofElectronics and Communication Engineering & Technology (IJECET), ISSN 0976 – 6464(Print), ISSN 0976 – 6472(Online) Volume 3, Issue 1, January- June (2012), © IAEME Speed Up Speed Up of of Winograd’s S. Fig MAT Conventional Wino Winograd’s compared to No No LAB Approach grad’s 8 compared to Conventiona MAT LAB l Approach 6 Matlab 1 2(a) 0.0938 0.5320 0.0084 11.16 6.33 4 Conventional 2 2(b) 0.0938 0.5310 0.0083 11.30 6.39 Winograd 3 2(c) 0.0938 0.5310 0.0083 11.30 6.39 2 4 2(d) 0.4218 0.2206 0.0343 12.29 6.43 5 2(e) 0.4216 0.2205 0.0342 12.32 6.44 0 128x128 256x256 512x512 1024x1024 2048x2048 6 2(f) 0.424 0.2205 0.0342 12.39 6.44 7 2(g) 1.5942 0.8557 0.124 12.85 6.90 8 2(h) 1.5944 0.8558 0.124 12.45 6.90 9 2(i) 1.5939 0.8560 0.132 12.95 6.95 10 2(j) 6.6578 3.4397 0.5422 12.27 6.34 11 2(k) 6.6589 3.4399 0.5421 12.28 6.34 12 2(l) 6.6564 3.4392 0.5320 12.59 6.46 13 2(m) 25.926 13.692 2.163 11.98 6.33 Figure 5: CPU time in Secs for DCT Calculation (UNIX 14 2(n) 25.7641 13.679 2.162 11.91 6.32 Environment)-gray level images 15 2(0) 25.7814 13.679 2.163 11.91 6.32 Table 9: CPU time in Secs for IDCT Calculation (UNIX Environment)-color images Figure 6: CPU time in Secs for DCT Calculation (UNIX environment)-color images Figure 3: CPU time in Secs for DCT Calculation (Windows Environment)-gray level images Figure 7: CPU time in Secs for IDCT Calculation (Windows Environment)-gray level images 108
  • 12.
    International Journal ofElectronics and Communication Engineering & Technology (IJECET), ISSN 0976 – 6464(Print), ISSN 0976 – 6472(Online) Volume 3, Issue 1, January- June (2012), © IAEME Figure 8: CPU time in Secs for IDCT Calculation (Windows Environment)-Color images Figure 9: CPU time in Secs for IDCT Calculation (UNIX Environment)-gray level images Figure 10: CPU time in Secs for IDCT Calculation (UNIX Environment)-color images Our Winograd’s based DCT algorithm is consistently taking less CPU time than conventional algorithm and MATLAB function. Also, the CPU time for our IDCT algorithm is very less compared to MATLAB function and conventional approach. Table 2 & 3 displays CPU time for DCT in windows XP with gray and color images. Our algorithm is consistently giving better results than MATLAB routines and conventional algorithm. We are getting a speed up of more than 8 when compared to MATLAB and more than 4 when compared to conventional algorithm. Table 4 & 5 displays CPU time for DCT in UNIX with gray and color images. Our algorithm is consistently giving better results than MATLAB routings and conventional algorithm. We are getting a speed up of more than 9 when compared to MATLAB and more than 4 when compared to conventional algorithm. Table 6 & 7 displays CPU time for DCT in windows XP with gray and color images. Our algorithm is consistently giving better results than MATLAB routings and 109
  • 13.
    International Journal ofElectronics and Communication Engineering & Technology (IJECET), ISSN 0976 – 6464(Print), ISSN 0976 – 6472(Online) Volume 3, Issue 1, January- June (2012), © IAEME conventional algorithm. We are getting a speed up of more than 10 when compared to MATLAB and more than 6 when compared to conventional algorithm. Table 8 & 9 displays CPU time for DCT in windows XP with gray and color images. Our algorithm is consistently giving better results than MATLAB routings and conventional algorithm. We are getting a speed up of more than 11 when compared to MATLAB and more than 6 when compared to conventional algorithm. The CPU time for DCT and IDCT calculations for the color images is around 3 times for the corresponding size gray level image. The Speedup of CPU time for DCT and IDCT calculations in UNIX environment as compared to CPU time for DCT and IDCT calculations in Windows environment is around 15%. V. CONCLUSIONS In this paper, Winograd based fast DCT and IDCT algorithms were proposed. We have compared our DCT and IDCT algorithms with conventional, MATLAB counterparts. From our experiments it is evident that our Winograd’s based DCT and IDCT algorithms is the most preferred algorithms as they consume very less CPU time compared to conventional implementation and MATLAB. Our approach can be employed to compress video sequences also. REFERENCES [1]N.BVenkateswarlu and P.S.V.S.K.Raju “Winograd’s method:A perspective for some pattern recognition problems” 105-109,Vol 15 ,No2,1994 Pattern Recognition Letters. [2]N.BVenkateswarlu and P.S.V.S.K.Raju “Winograd’s Inequality:A perspective for some PR problems”, Pattern Recognition Letters 1991. [3]R.C.Gonzalez and R.E.Woods “Digital Image Processing”,2nd Edition Addison Wesley,USA ISBN:0-201-60078,1993 [4]The USC–SIPI image database (http://sipi.usc.edu/database).Signal and image processing institute Ming Hgieh Department of Electrical Engineering.. [5]Rudra Pratap “Getting started with Matlab”:A Quick Introduction for Scientist and Engineer” version 6 Oxford university press 2003. [6]Andrew B.Watson “Image Compression using the discrete cosine transform” Mathematica Journal 4(1),1994, p-81-88 [7]D.L.Lee and M.A.Aboelaze “Linear speedup of Winograd’s matrix multiplication algorithm using an array processor”. Distributed memory computing conference,1991 proceedings of IEEE,pages(427-430). [8]R.P.Bent “Algorithms for matrix multiplication”,Technical report TR-CS-70- 157,DCS,Stanford University (March 1970). [9]Boyko Kakaradov “Ultra-fast Matrix Multiplication:An Empirical Analysis of Highly optimized vector Algorithms“, Stanford under graduate Research journal 2004 [10]Ken cabeen and peter gent,”Image compression and the discrete cosine transform”,Math 45 college of redwoods 110