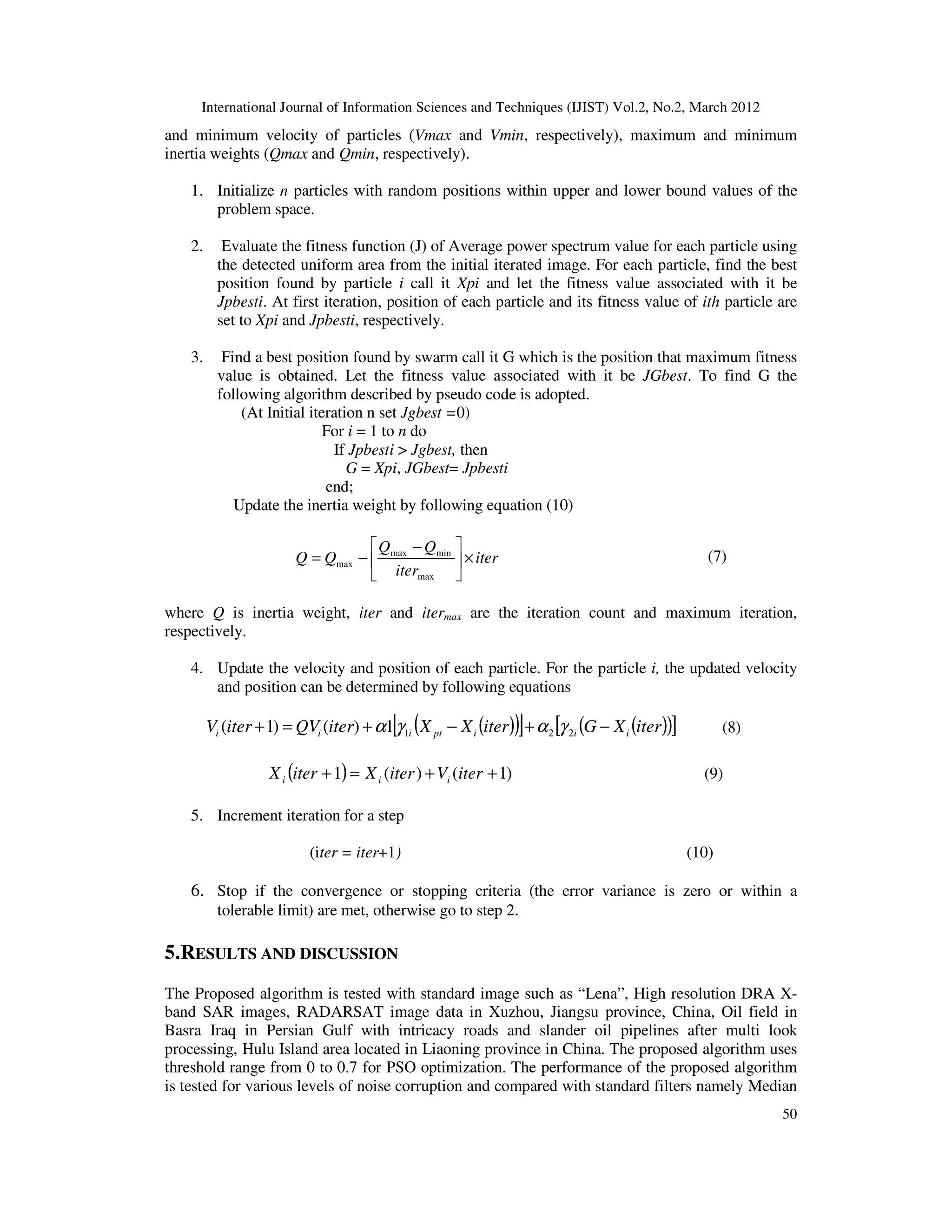
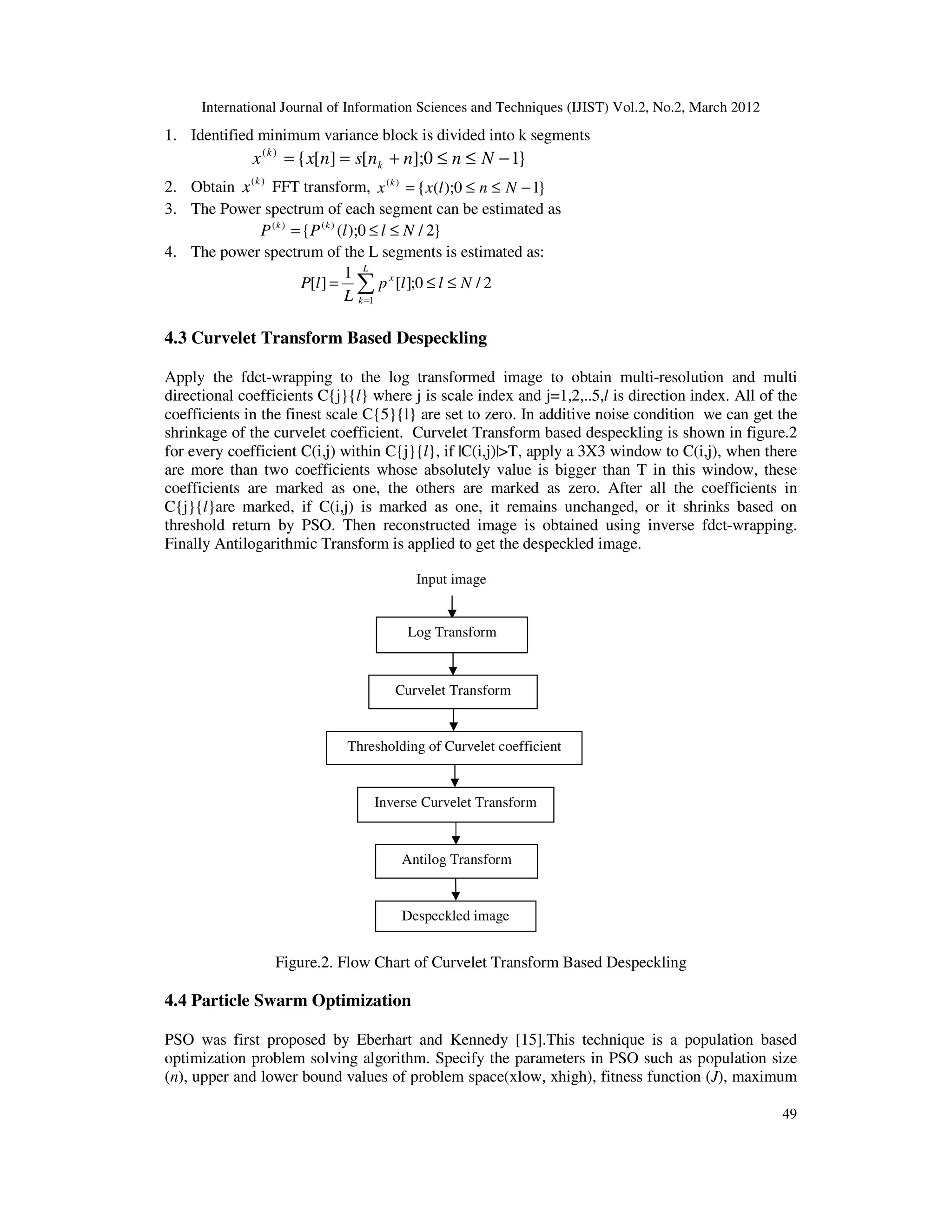
The document describes a novel algorithm for despeckling synthetic aperture radar (SAR) images using particle swarm optimization (PSO) in the curvelet domain. The algorithm first identifies homogeneous regions in the speckled image using variance calculations. It then uses PSO to optimize the thresholding of curvelet coefficients, with the objective of minimizing the average power spectral value. This provides an optimized threshold to apply curvelet-based despeckling. The proposed method is tested on standard images and shown to outperform conventional filters like median and Lee filters in reducing speckle noise.