1
2 
Objetivos: 
FFaaccttoorriizzaarr ppoolliinnoommiiooss mmeeddiiaannttee llaass 
ttééccnniiccaass ddee ffaaccttoorriizzaacciióónn.. 
FFaaccttoorr CCoommúúnn 
DDiiffeerreenncciiaa ddee CCuuaaddrraaddooss 
DDiiffeerreenncciiaa oo AAddiicciióónn ddee CCuubbooss 
TTaanntteeoo 
AAggrruuppaacciióónn
Aclaración: La factorización es el 
proceso que se utiliza para expresar 
un polinomio como una multiplicación. 
3 
Ejemplo: 
x2 -9 = ( x + 3)( x -3) 
x3 +8 = ( x + 2)(x2 - 2x + 4) 
Factores del polinomio
Factores Comunes 
Un factor se dice que es factor común si es 
un factor de todos los términos de un 
polinómio. Esta técnica consiste en 
encontrar los factores comunes entre todos 
los términos del polinomio. 
4 
Factorice cada polinomio : 
4x3 y2 -10x2 y +18xy3 = 
= 2xy ( 2x2 y - 5x + 9y2) 
Ejemplos 
: 
1.
5 
4x ( 1 - 9y) 
2x ( x2 - 3 ) 
4x - 36xy = 
2x3 - 6x = 
3x( x + 2) - 4( x + 2) = 
( x + 2) (3x - 4) 
2. 
3. 
4.
EEjjeemmpplloo:: 
SSiimmpplliiffiiqquuee mmeeddiiaannttee ffaaccttoorriizzaacciióónn:: 
7( 3x - 5) 4 ( x + 3) 2 + 5( 3x - 5)5 ( x + 3) = 
( ) ( ) 4 = 3x - 5 x + 3 éë7( x + 3) + 5( 3x -5) ùû 
( ) ( ) 4 = 3x - 5 x + 3 [ 7x + 21+15x - 25] 
( ) ( ) 4 = 3x - 5 x + 3 ( 22x -4) 
6
EEjjeemmpplloo:: 
SSiimmpplliiffiiqquuee mmeeddiiaannttee ffaaccttoorriizzaacciióónn:: 
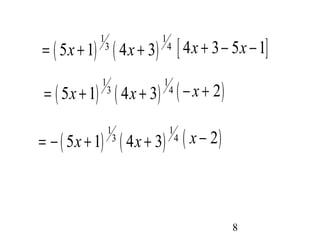
( ) ( ) ( ) ( ) 1 5 4 1 
5x +1 3 4x + 3 4 - 5x +1 3 4x + 3 4 = 
( ) ( ) 1 1 
é 4x + 3 4 - 5x +1 3 ù êë úû 
= 5x +1 3 4x + 3 4 ( ) ( ) 4 3 
= 5x +1 3 4x + 3 4 éë( 4x + 3) - ( 5x +1) ùû 
( ) ( ) 1 1 
7 
( ) ( ) 1 1 
= 5x +1 3 4x + 3 4 [ 4x + 3-5x -1]
= 5x + 1 3 4x + 3 4 [ 4x + 3- 5x - 1] 
( ) ( ) 1 1 
8 
( ) ( ) 1 1 
= 5x + 1 3 4x + 3 4 ( - x + 2) 
( ) ( ) 1 1 
= - 5x + 1 3 4x + 3 4 ( x - 2)
Una diferencia de cuadrados es un binomio de 
la forma a 2 – b 2. 
La factorización de una diferencia de 
cuadrados es a 2 – b 2 =(a + b)(a –b). 
Esta técnica se aplica a polinomios que 
cumplan con los siguientes requisitos: 
Que el polinomio sea un binomio. 
La operación es resta. 
Los términos se pueden escribir como 
cuadrados. 
9 
DDiiffeerreenncciiaass ddee ccuuaaddrraaddooss
( x + 6 ) (x - 6 ) 
( 4 y + 3 ) (4 y - 3 ) 
(5 x + ) (5 x - ) 3 
3. 25 2 1 1 
10 
EEjjeemmppllooss:: 
FFaaccttoorriiccee ccoommpplleettaammeennttee:: 
1. x2 - 36 = 
2. 16y2 - 9 = 
1 
3 
x - = 
9
( y )( ) 
5 
+ 8 7 - 8 
(4 + ( z + 5 ))(4 - ( z + 5 )) 
11 
7 y 
5 
= (4 + z + 5)(4 - z - 5 ) 
= ( z + 9 )( - z - 1) 
= -( z + 9 ) ( z + 1 ) 
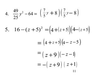
4. 49 2 64 
25 
y - = 
5. 16 -(z +5)2 =
La suma y la diferencia de cubos 
Una diferencia ddee ccuubbooss eess uunn bbiinnoommiioo ddee llaa 
ffoorrmmaa aa33 –– bb33 .. 
LLaa ffaaccttoorriizzaacciióónn ddee uunnaa ddiiffeerreenncciiaa ddee ccuubbooss eess;; 
aa33 –– bb33 ==((aa –– bb))((aa22 ++aabb ++ bb22)) 
UUnnaa ssuummaa ddee ccuubbooss eess uunn bbiinnoommiioo ddee llaa ffoorrmmaa 
aa33 ++ bb33 .. 
LLaa ffaaccttoorriizzaacciióónn ddee uunnaa ssuummaa ddee ccuubbooss eess;; 
aa33 ++ bb33 ==((aa ++ bb))((aa22 -- aabb ++ bb22)) 
PPaarraa aapplliiccaarr eessttaa ttééccnniiccaa eell ppoolliinnoommiioo ddeebbee: 
SSeerr uunn bbiinnoommiioo ccoonn ttéérrmmiinnooss ccúúbbiiccooss 
LLaa ooppeerraacciióónn ppuueeddee sseerr ssuummaa oo rreessttaa 
12
13 
Ejemplos: 
FFaaccttoorriiccee ccoommpplleettaammeennttee 
1. x3 + 8 = ( x + 2 ) ( x 2 - 2 x + 4 ) 
2. y3 - 27 = ( y - 3 ) ( ) y2 + 3y + 9
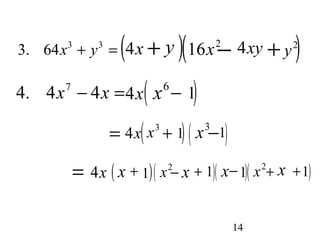
3. 64x3 + y3 = (4 x + y )(1 6 x 2- 4 x y + y 2) 
4. 4x7 - 4x =4x( x 6 - 1) 
14 
= 4x 
( x3 + 1 ) ( x3-1 
) = 4x 
( x + 1 )( x2- x + 1 )( x-1 )( x2+ x +1 
)
El método de Tanteo para trinomios 
cuadráticos 
Para poder aplicar eessttaa ttééccnniiccaa eell ppoolliinnoommiioo ddeebbee;; 
11.. SSeerr uunn ttrriinnoommiioo ddee ffoorrmmaa ccuuaaddrrááttiiccaa yy eessttaarr eenn 
ffoorrmmaa ddeesscceennddeennttee oo aasscceennddeennttee ddee aaccuueerrddoo 
aa llooss eexxppoonneenntteess.. 
22.. NNoo sseerr uunn ppoolliinnoommiioo pprriimmoo.. 
LLaa ttééccnniiccaa ccoonnssiissttee eenn eennccoonnttrraarr ffaaccttoorreess ddeell 
pprriimmeerr ttéérrmmiinnoo yy eell úúllttiimmoo ttéérrmmiinnoo qquuee 
ccoommbbiinnaaddooss bbaajjoo ssuummaa oo rreessttaa pprroodduuzzccaann eell 
ttéérrmmiinnoo ddeell mmeeddiioo.. 
SSii eell pprriimmeerr yy eell úúllttiimmoo ttéérrmmiinnoo ttiieenneenn ssiiggnnooss 
iigguuaalleess llaa ccoommbbiinnaacciióónn ddee llooss ffaaccttoorreess ssee ssuummaa,, 
ssii ssoonn ddiiffeerreenntteess ssee rreessttaa.. 
15
16 
Ejemplo: 
FFaaccttoorriiccee ccoommpplleettaammeennttee 
1. x2 + 3x + 2 = 
2. x2 - x -12 = 
( x + 2 ) ( x + 1 ) 
( x - 4 ) ( x + 3 )
( 3 x - 1)(2 x - 1 ) 
17 
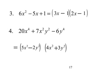
3. 6x2 - 5x +1 = 
4. 20x4 + 7x2 y2 - 6y4 
= (5 x 2 - 2 y 2) (4 x 2 + 3 y 2)
Generalmente eessttaa ttééccnniiccaa ssee aapplliiccaa ccuuaannddoo eell 
ppoolliinnoommiioo ttiieennee ccuuaattrroo ttéérrmmiinnooss oo mmááss.. 
SSee uuttiilliizzaa eenn ccoommbbiinnaacciióónn ccoonn llaass oottrraass 
ttééccnniiccaass eessppeecciiaallmmeennttee ccoonn llaa ddee ffaaccttoorreess 
ccoommuunneess.. 
18 
El método de agrupación
Ejemplo: 
FFaaccttoorriiccee ccoommpplleettaammeennttee 
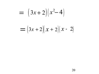
1. 3x3 + 2x2 -12x - 8 = 
=( 3 x 3 + 2 x 2) + (- 1 2 x - 8 ) 
= x2 ( 3 x + 2 ) - 4 ( 3 x + 2 ) 
= ( 3 x + 2 )( ) x2 - 4 
19
= ( 3 x + 2 )( ) x2- 4 
= (3 x + 2 )( x + 2 )( x - 2 ) 
20
2. 12x2 z + 8y2 z -15x2w -10y2w 
= (12x2z+8y2z) +(-15x2w -10y2w ) 
=4 z (3x2+2y2 ) - 5w(3x2+ 2y2) 
= (3x2 + 2y2 ) (4z - 5w ) 
21
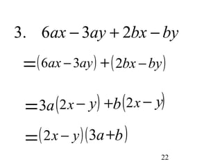
3. 6ax - 3ay + 2bx - by 
=(6ax - 3ay) +(2bx - by) 
=3a(2x - y) +b(2x - y) 
=(2x - y)(3a+b) 
22

Factorización de polinomios-EMDH

  • 1.
  • 2.
    2 Objetivos: FFaaccttoorriizzaarrppoolliinnoommiiooss mmeeddiiaannttee llaass ttééccnniiccaass ddee ffaaccttoorriizzaacciióónn.. FFaaccttoorr CCoommúúnn DDiiffeerreenncciiaa ddee CCuuaaddrraaddooss DDiiffeerreenncciiaa oo AAddiicciióónn ddee CCuubbooss TTaanntteeoo AAggrruuppaacciióónn
  • 3.
    Aclaración: La factorizaciónes el proceso que se utiliza para expresar un polinomio como una multiplicación. 3 Ejemplo: x2 -9 = ( x + 3)( x -3) x3 +8 = ( x + 2)(x2 - 2x + 4) Factores del polinomio
  • 4.
    Factores Comunes Unfactor se dice que es factor común si es un factor de todos los términos de un polinómio. Esta técnica consiste en encontrar los factores comunes entre todos los términos del polinomio. 4 Factorice cada polinomio : 4x3 y2 -10x2 y +18xy3 = = 2xy ( 2x2 y - 5x + 9y2) Ejemplos : 1.
  • 5.
    5 4x (1 - 9y) 2x ( x2 - 3 ) 4x - 36xy = 2x3 - 6x = 3x( x + 2) - 4( x + 2) = ( x + 2) (3x - 4) 2. 3. 4.
  • 6.
    EEjjeemmpplloo:: SSiimmpplliiffiiqquuee mmeeddiiaanntteeffaaccttoorriizzaacciióónn:: 7( 3x - 5) 4 ( x + 3) 2 + 5( 3x - 5)5 ( x + 3) = ( ) ( ) 4 = 3x - 5 x + 3 éë7( x + 3) + 5( 3x -5) ùû ( ) ( ) 4 = 3x - 5 x + 3 [ 7x + 21+15x - 25] ( ) ( ) 4 = 3x - 5 x + 3 ( 22x -4) 6
  • 7.
    EEjjeemmpplloo:: SSiimmpplliiffiiqquuee mmeeddiiaanntteeffaaccttoorriizzaacciióónn:: ( ) ( ) ( ) ( ) 1 5 4 1 5x +1 3 4x + 3 4 - 5x +1 3 4x + 3 4 = ( ) ( ) 1 1 é 4x + 3 4 - 5x +1 3 ù êë úû = 5x +1 3 4x + 3 4 ( ) ( ) 4 3 = 5x +1 3 4x + 3 4 éë( 4x + 3) - ( 5x +1) ùû ( ) ( ) 1 1 7 ( ) ( ) 1 1 = 5x +1 3 4x + 3 4 [ 4x + 3-5x -1]
  • 8.
    = 5x +1 3 4x + 3 4 [ 4x + 3- 5x - 1] ( ) ( ) 1 1 8 ( ) ( ) 1 1 = 5x + 1 3 4x + 3 4 ( - x + 2) ( ) ( ) 1 1 = - 5x + 1 3 4x + 3 4 ( x - 2)
  • 9.
    Una diferencia decuadrados es un binomio de la forma a 2 – b 2. La factorización de una diferencia de cuadrados es a 2 – b 2 =(a + b)(a –b). Esta técnica se aplica a polinomios que cumplan con los siguientes requisitos: Que el polinomio sea un binomio. La operación es resta. Los términos se pueden escribir como cuadrados. 9 DDiiffeerreenncciiaass ddee ccuuaaddrraaddooss
  • 10.
    ( x +6 ) (x - 6 ) ( 4 y + 3 ) (4 y - 3 ) (5 x + ) (5 x - ) 3 3. 25 2 1 1 10 EEjjeemmppllooss:: FFaaccttoorriiccee ccoommpplleettaammeennttee:: 1. x2 - 36 = 2. 16y2 - 9 = 1 3 x - = 9
  • 11.
    ( y )() 5 + 8 7 - 8 (4 + ( z + 5 ))(4 - ( z + 5 )) 11 7 y 5 = (4 + z + 5)(4 - z - 5 ) = ( z + 9 )( - z - 1) = -( z + 9 ) ( z + 1 ) 4. 49 2 64 25 y - = 5. 16 -(z +5)2 =
  • 12.
    La suma yla diferencia de cubos Una diferencia ddee ccuubbooss eess uunn bbiinnoommiioo ddee llaa ffoorrmmaa aa33 –– bb33 .. LLaa ffaaccttoorriizzaacciióónn ddee uunnaa ddiiffeerreenncciiaa ddee ccuubbooss eess;; aa33 –– bb33 ==((aa –– bb))((aa22 ++aabb ++ bb22)) UUnnaa ssuummaa ddee ccuubbooss eess uunn bbiinnoommiioo ddee llaa ffoorrmmaa aa33 ++ bb33 .. LLaa ffaaccttoorriizzaacciióónn ddee uunnaa ssuummaa ddee ccuubbooss eess;; aa33 ++ bb33 ==((aa ++ bb))((aa22 -- aabb ++ bb22)) PPaarraa aapplliiccaarr eessttaa ttééccnniiccaa eell ppoolliinnoommiioo ddeebbee: SSeerr uunn bbiinnoommiioo ccoonn ttéérrmmiinnooss ccúúbbiiccooss LLaa ooppeerraacciióónn ppuueeddee sseerr ssuummaa oo rreessttaa 12
  • 13.
    13 Ejemplos: FFaaccttoorriicceeccoommpplleettaammeennttee 1. x3 + 8 = ( x + 2 ) ( x 2 - 2 x + 4 ) 2. y3 - 27 = ( y - 3 ) ( ) y2 + 3y + 9
  • 14.
    3. 64x3 +y3 = (4 x + y )(1 6 x 2- 4 x y + y 2) 4. 4x7 - 4x =4x( x 6 - 1) 14 = 4x ( x3 + 1 ) ( x3-1 ) = 4x ( x + 1 )( x2- x + 1 )( x-1 )( x2+ x +1 )
  • 15.
    El método deTanteo para trinomios cuadráticos Para poder aplicar eessttaa ttééccnniiccaa eell ppoolliinnoommiioo ddeebbee;; 11.. SSeerr uunn ttrriinnoommiioo ddee ffoorrmmaa ccuuaaddrrááttiiccaa yy eessttaarr eenn ffoorrmmaa ddeesscceennddeennttee oo aasscceennddeennttee ddee aaccuueerrddoo aa llooss eexxppoonneenntteess.. 22.. NNoo sseerr uunn ppoolliinnoommiioo pprriimmoo.. LLaa ttééccnniiccaa ccoonnssiissttee eenn eennccoonnttrraarr ffaaccttoorreess ddeell pprriimmeerr ttéérrmmiinnoo yy eell úúllttiimmoo ttéérrmmiinnoo qquuee ccoommbbiinnaaddooss bbaajjoo ssuummaa oo rreessttaa pprroodduuzzccaann eell ttéérrmmiinnoo ddeell mmeeddiioo.. SSii eell pprriimmeerr yy eell úúllttiimmoo ttéérrmmiinnoo ttiieenneenn ssiiggnnooss iigguuaalleess llaa ccoommbbiinnaacciióónn ddee llooss ffaaccttoorreess ssee ssuummaa,, ssii ssoonn ddiiffeerreenntteess ssee rreessttaa.. 15
  • 16.
    16 Ejemplo: FFaaccttoorriicceeccoommpplleettaammeennttee 1. x2 + 3x + 2 = 2. x2 - x -12 = ( x + 2 ) ( x + 1 ) ( x - 4 ) ( x + 3 )
  • 17.
    ( 3 x- 1)(2 x - 1 ) 17 3. 6x2 - 5x +1 = 4. 20x4 + 7x2 y2 - 6y4 = (5 x 2 - 2 y 2) (4 x 2 + 3 y 2)
  • 18.
    Generalmente eessttaa ttééccnniiccaassee aapplliiccaa ccuuaannddoo eell ppoolliinnoommiioo ttiieennee ccuuaattrroo ttéérrmmiinnooss oo mmááss.. SSee uuttiilliizzaa eenn ccoommbbiinnaacciióónn ccoonn llaass oottrraass ttééccnniiccaass eessppeecciiaallmmeennttee ccoonn llaa ddee ffaaccttoorreess ccoommuunneess.. 18 El método de agrupación
  • 19.
    Ejemplo: FFaaccttoorriiccee ccoommpplleettaammeennttee 1. 3x3 + 2x2 -12x - 8 = =( 3 x 3 + 2 x 2) + (- 1 2 x - 8 ) = x2 ( 3 x + 2 ) - 4 ( 3 x + 2 ) = ( 3 x + 2 )( ) x2 - 4 19
  • 20.
    = ( 3x + 2 )( ) x2- 4 = (3 x + 2 )( x + 2 )( x - 2 ) 20
  • 21.
    2. 12x2 z+ 8y2 z -15x2w -10y2w = (12x2z+8y2z) +(-15x2w -10y2w ) =4 z (3x2+2y2 ) - 5w(3x2+ 2y2) = (3x2 + 2y2 ) (4z - 5w ) 21
  • 22.
    3. 6ax -3ay + 2bx - by =(6ax - 3ay) +(2bx - by) =3a(2x - y) +b(2x - y) =(2x - y)(3a+b) 22