Embed presentation
Downloaded 20,552 times

























































































































































































































































































































































































































































































































































































































































































































































































































































































































































































































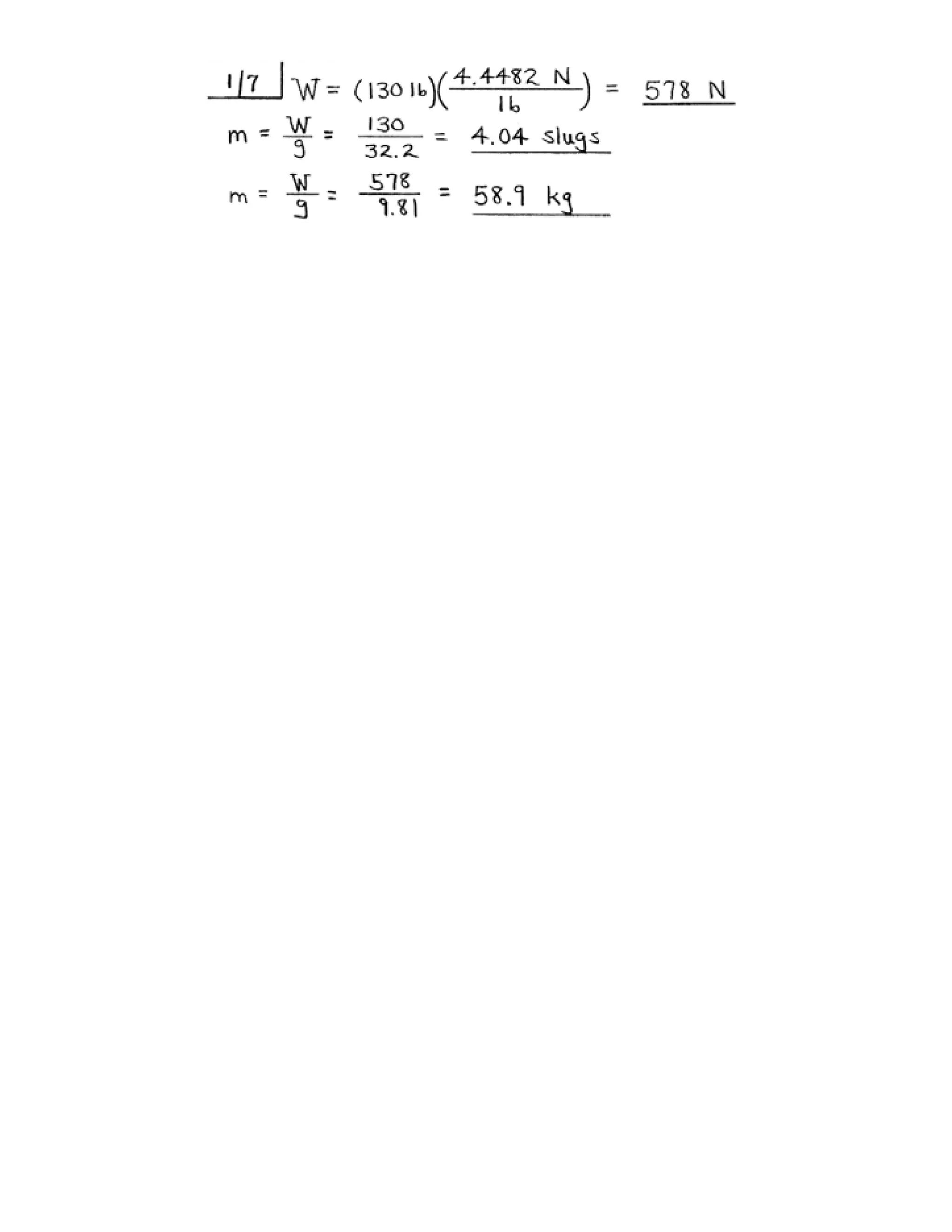
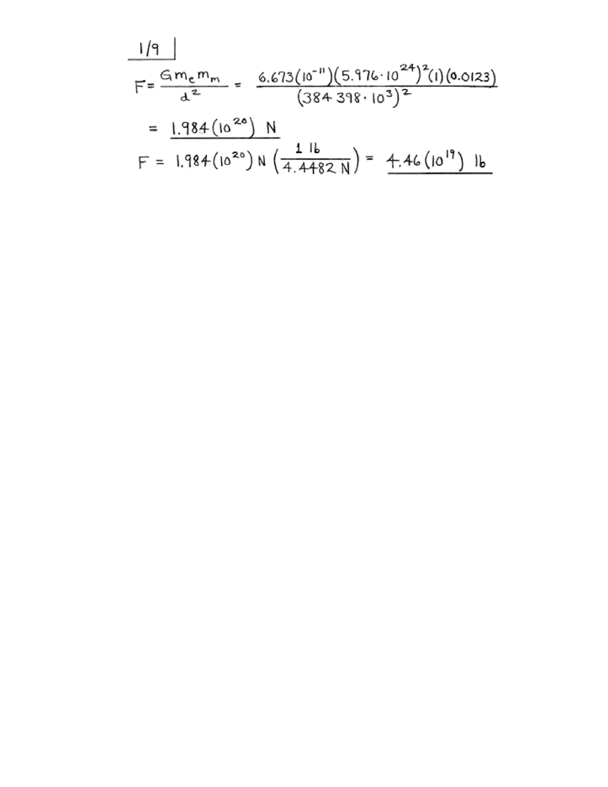
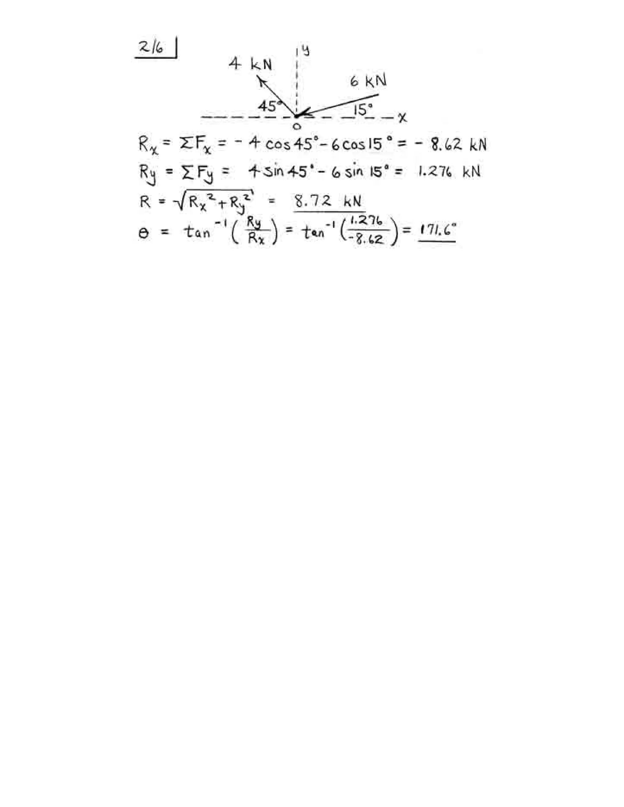
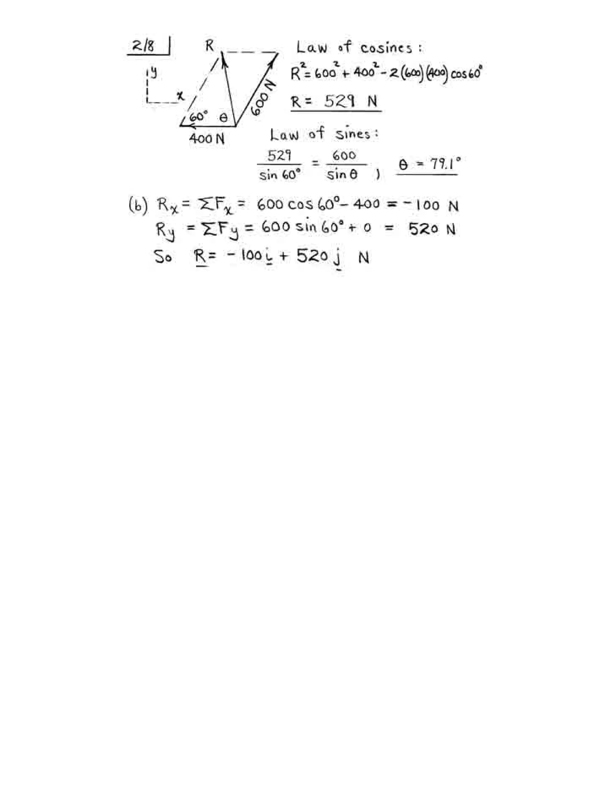
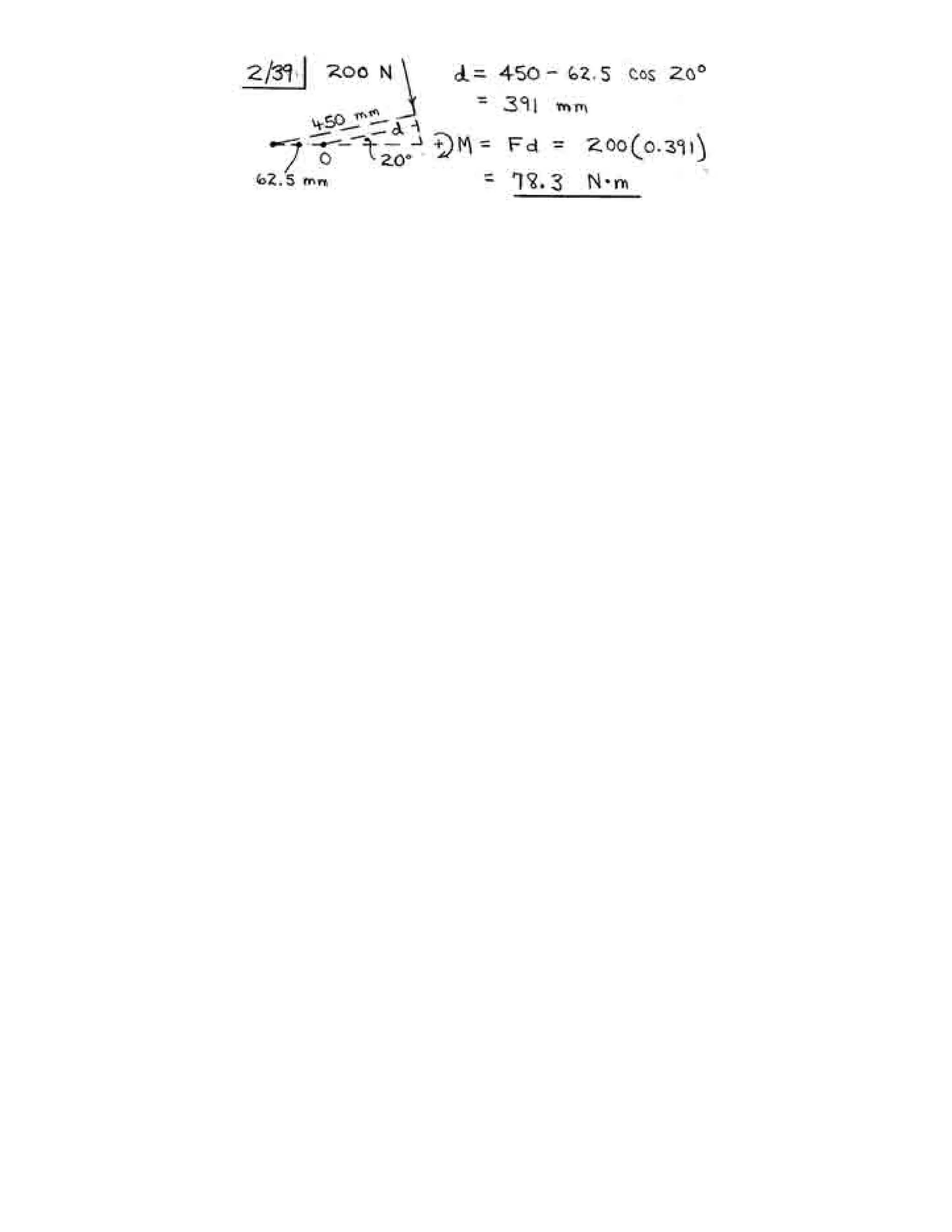
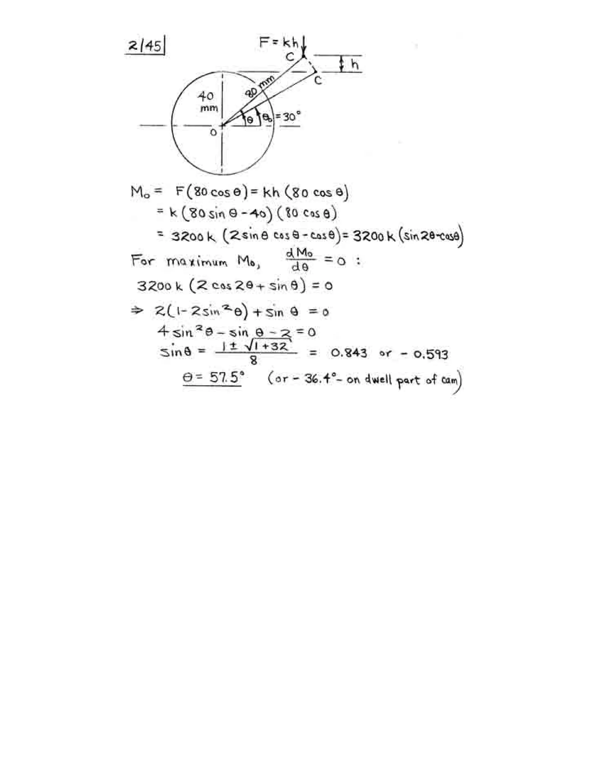
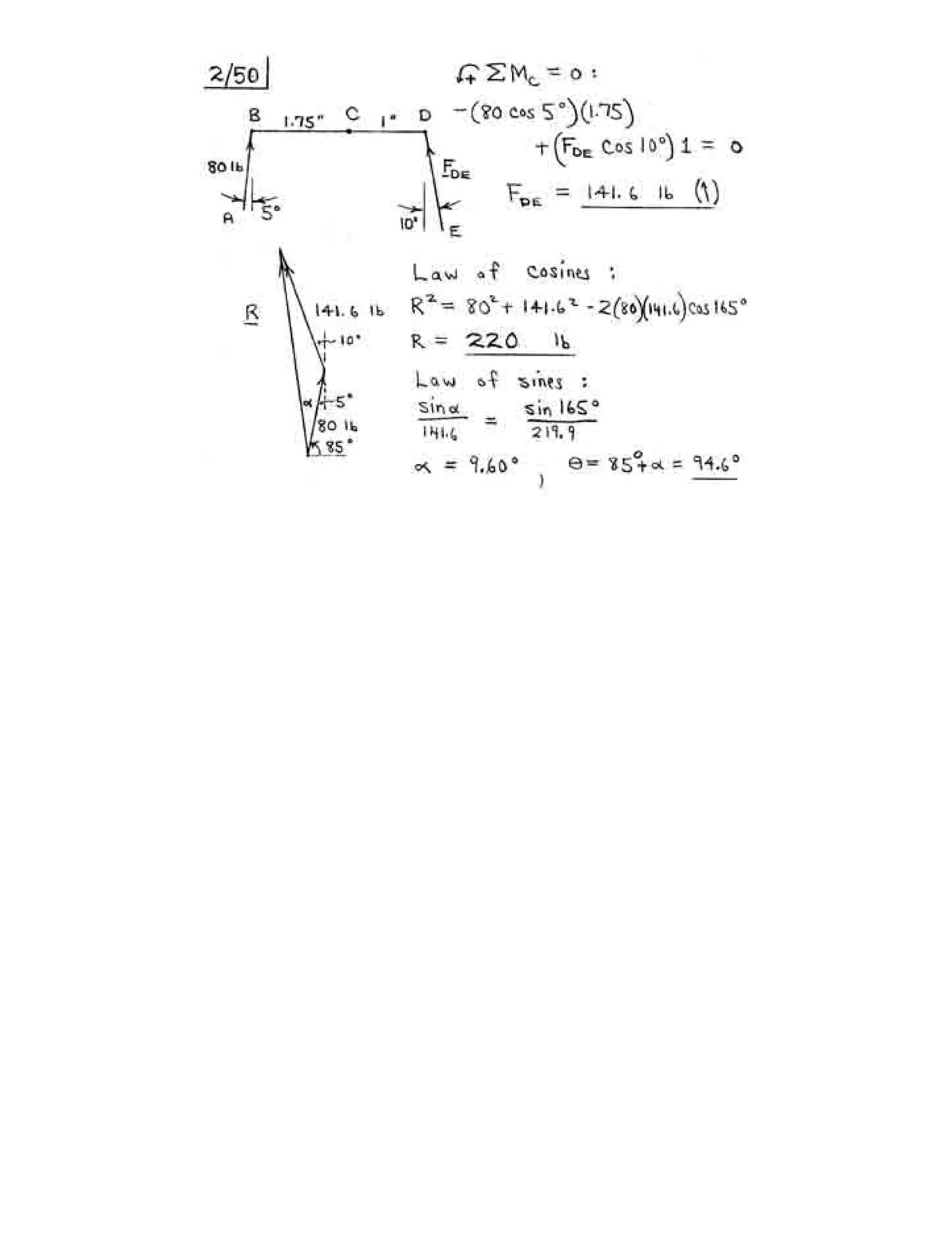
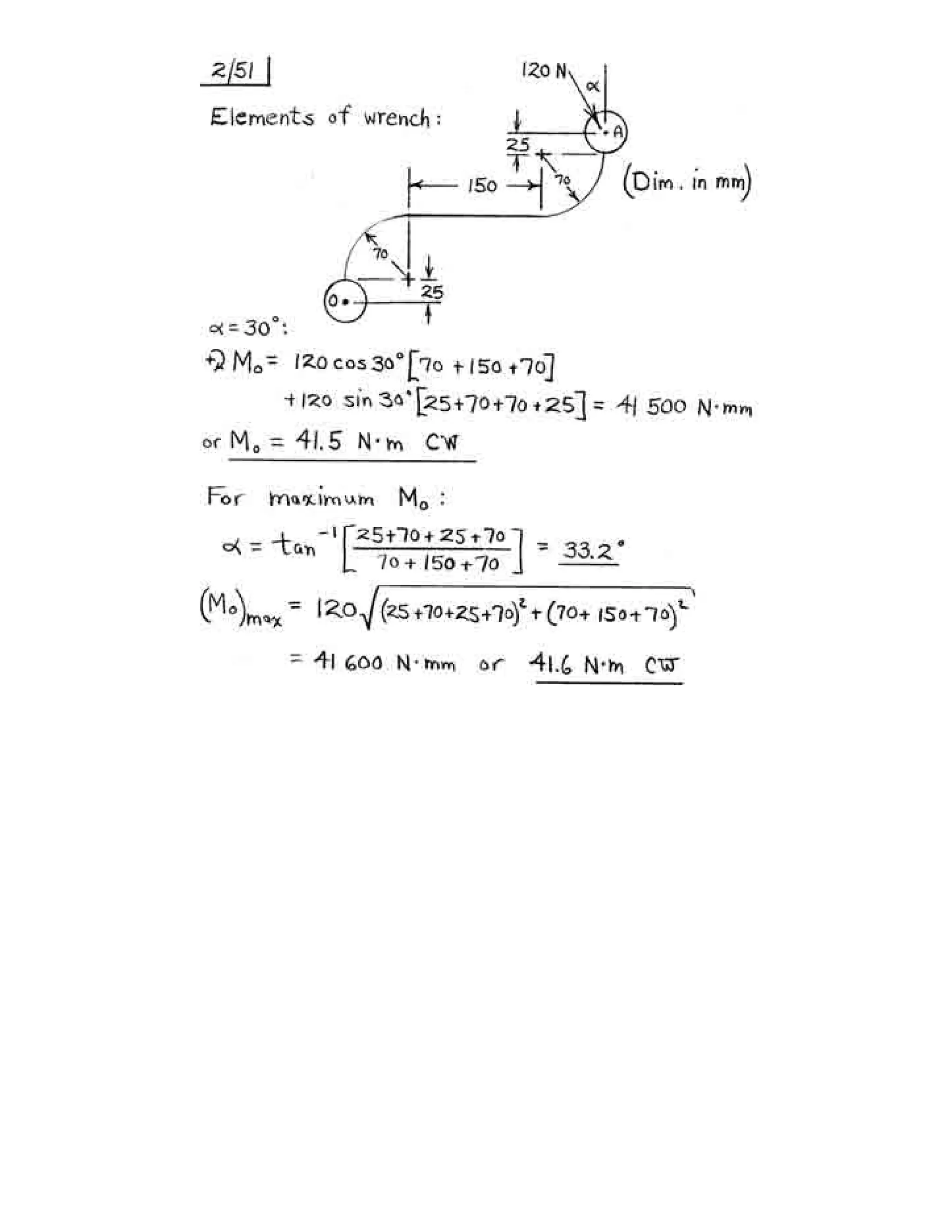
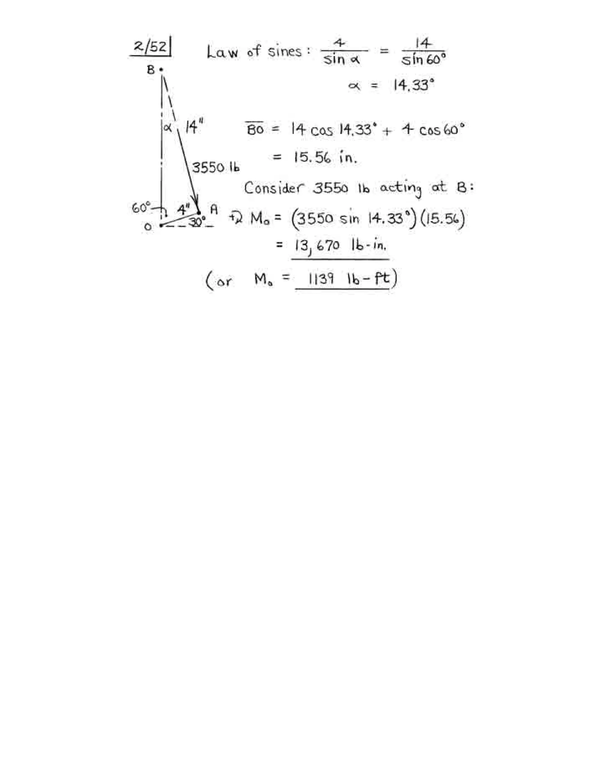
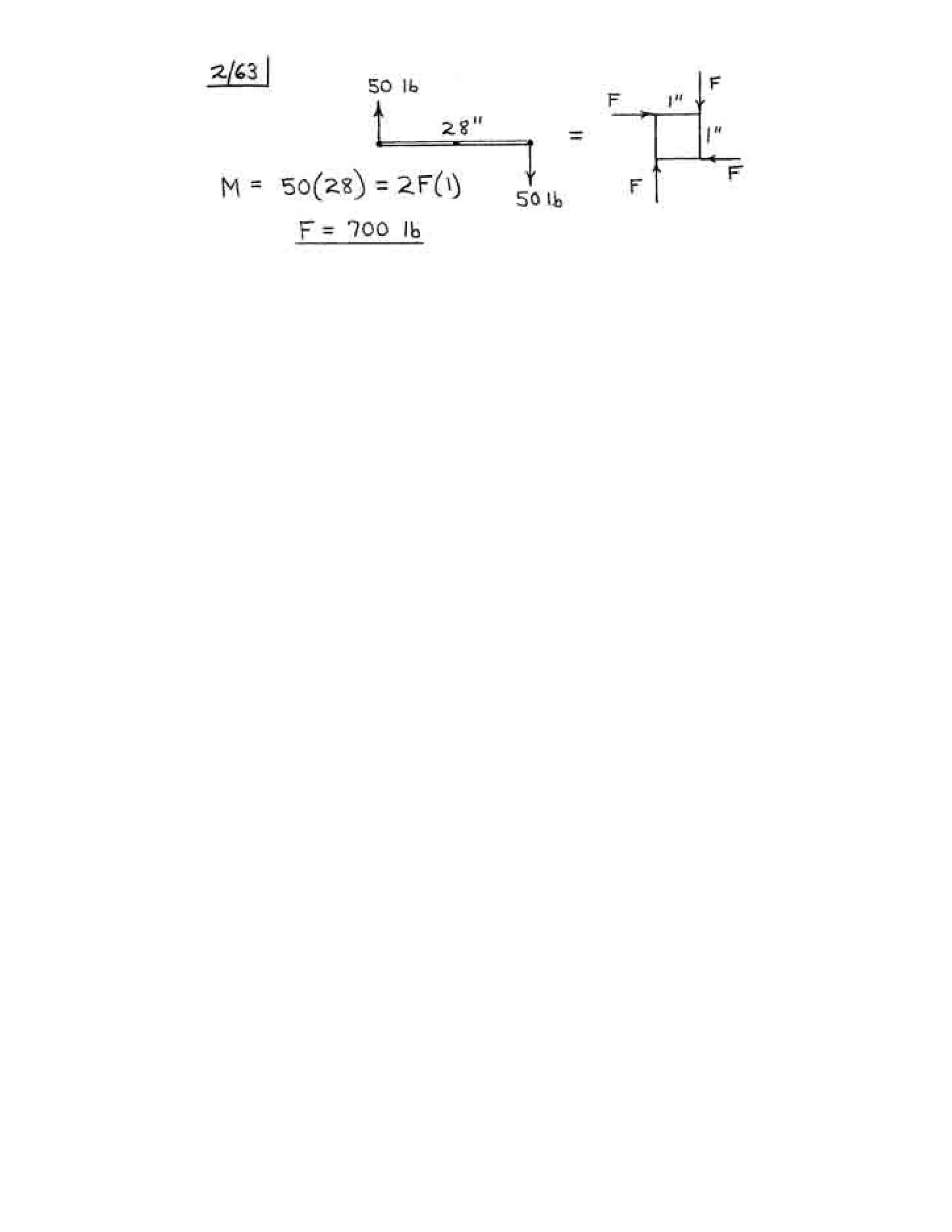
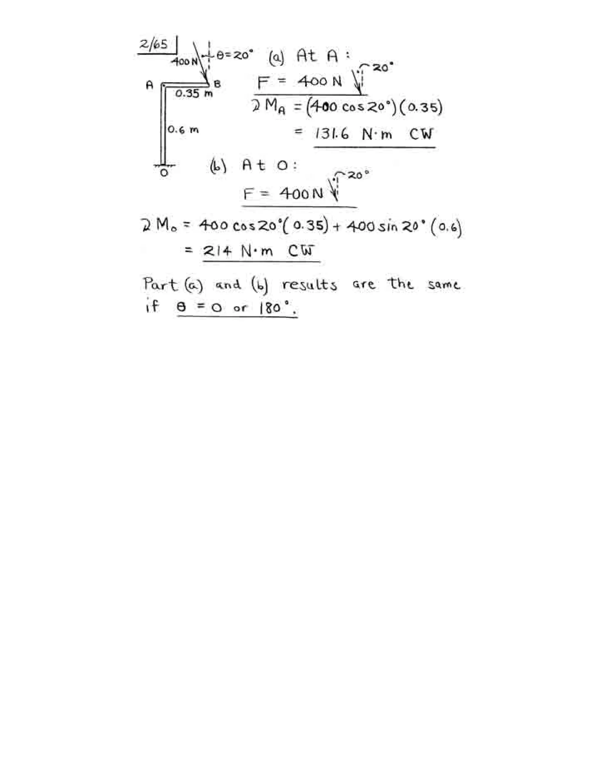
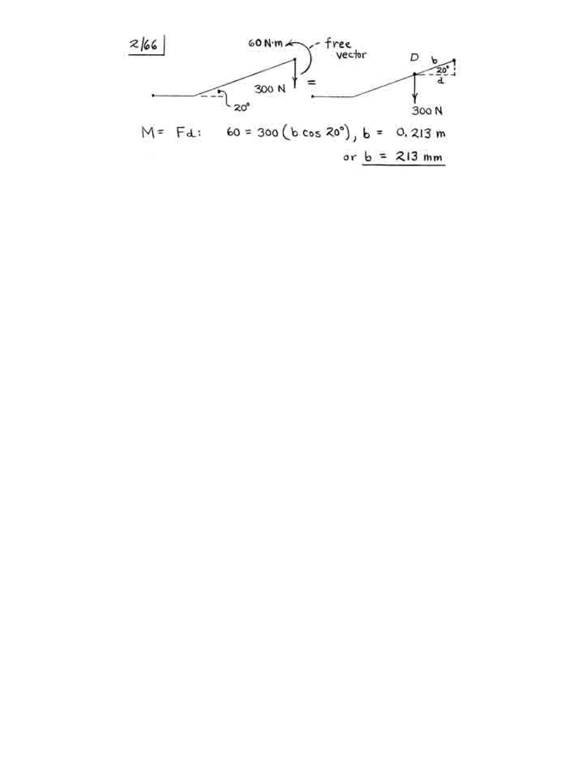
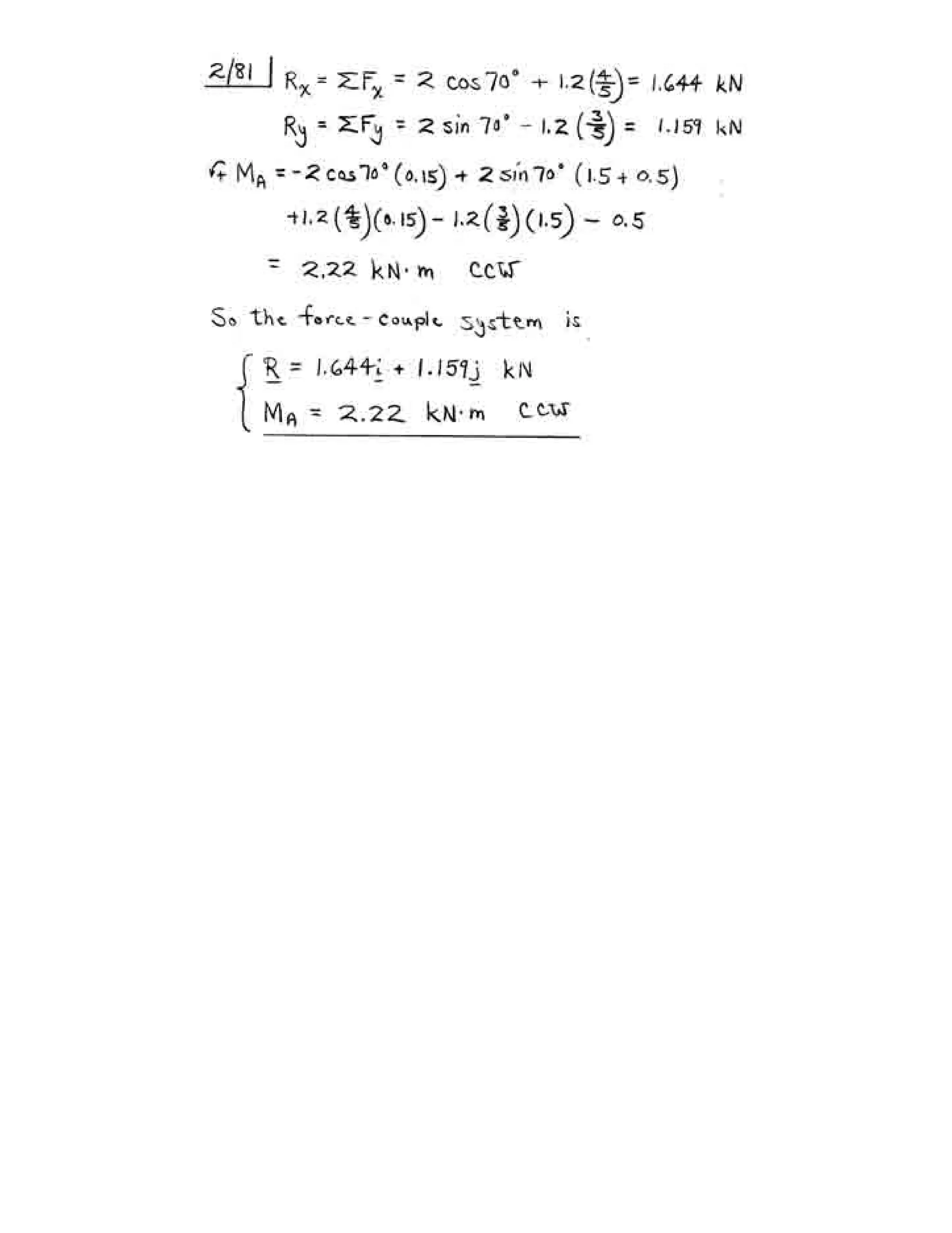
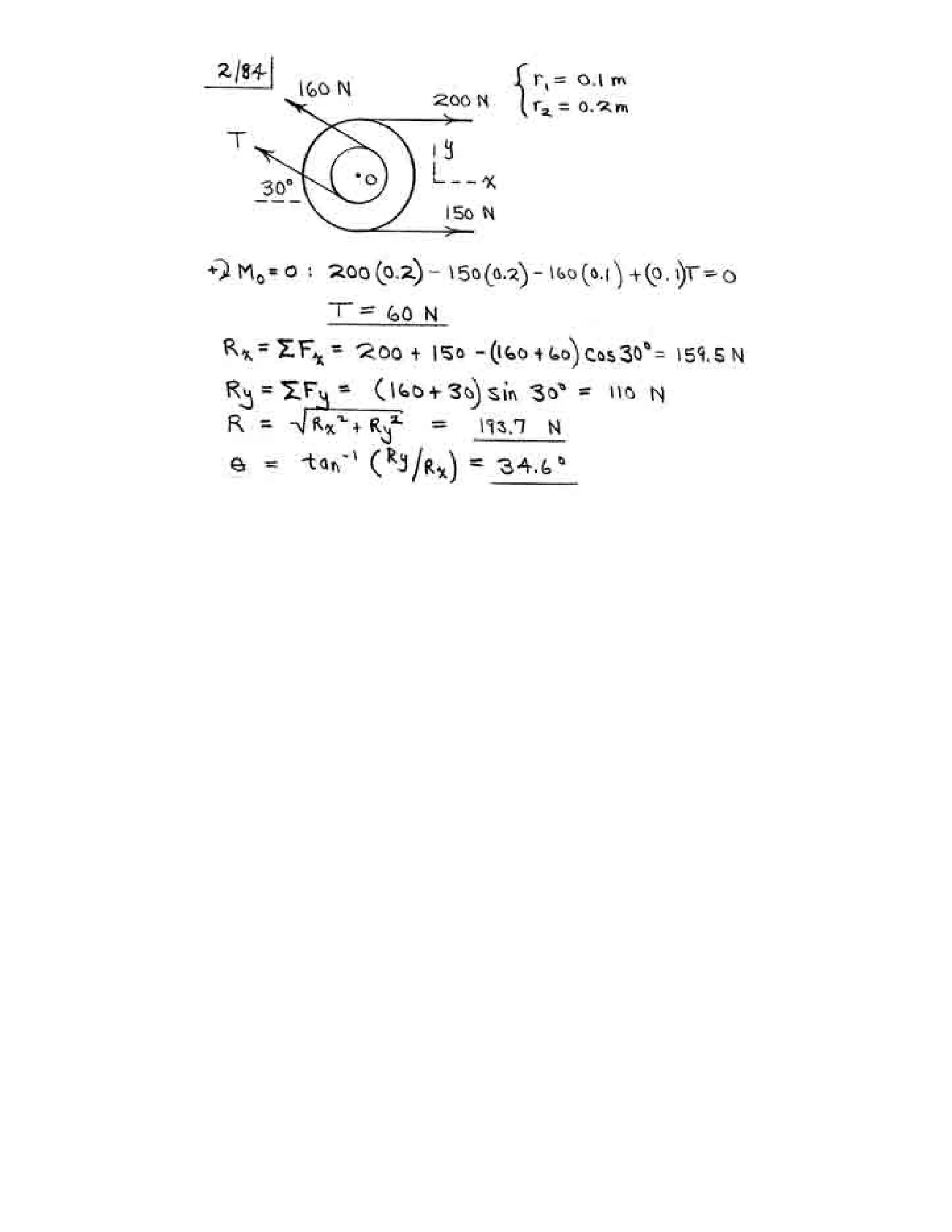
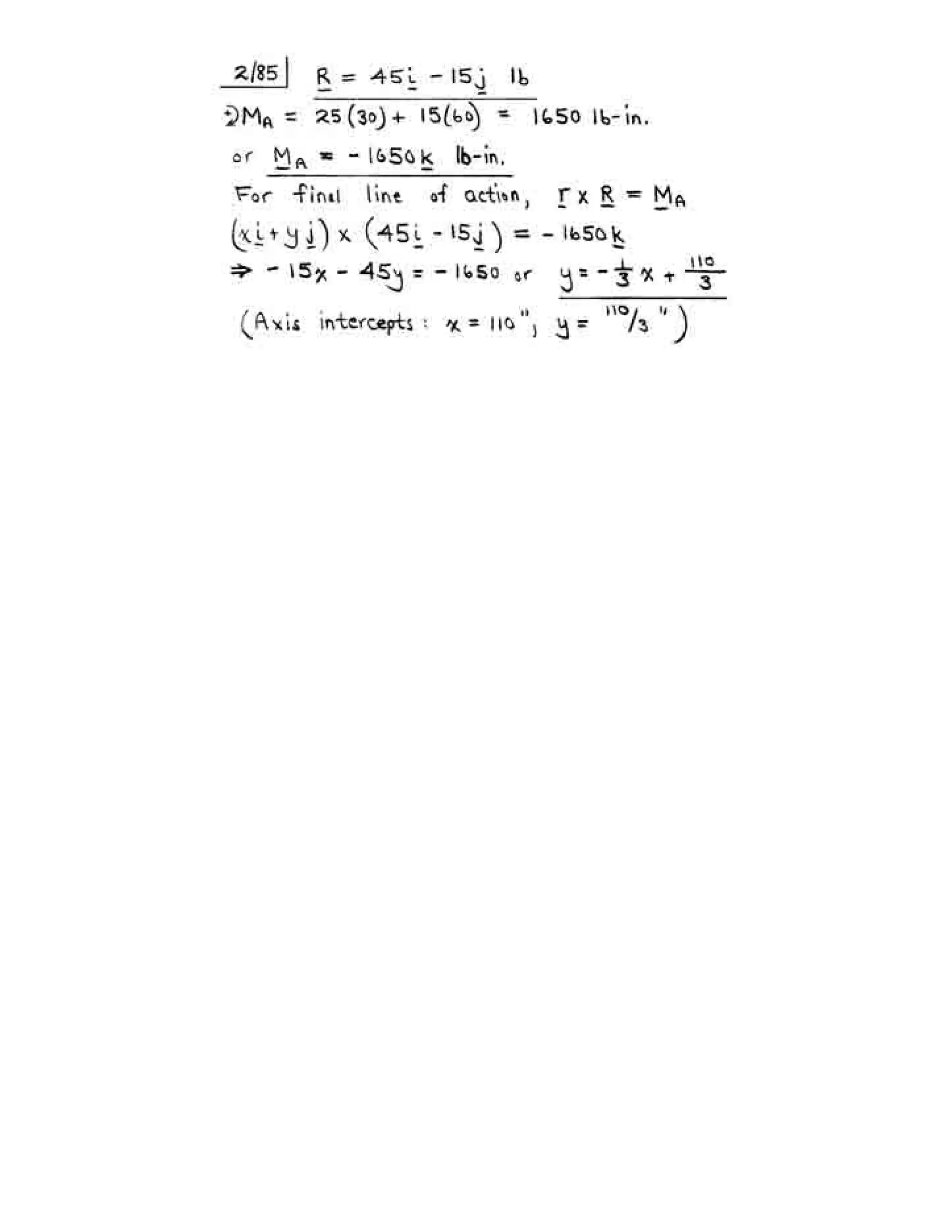
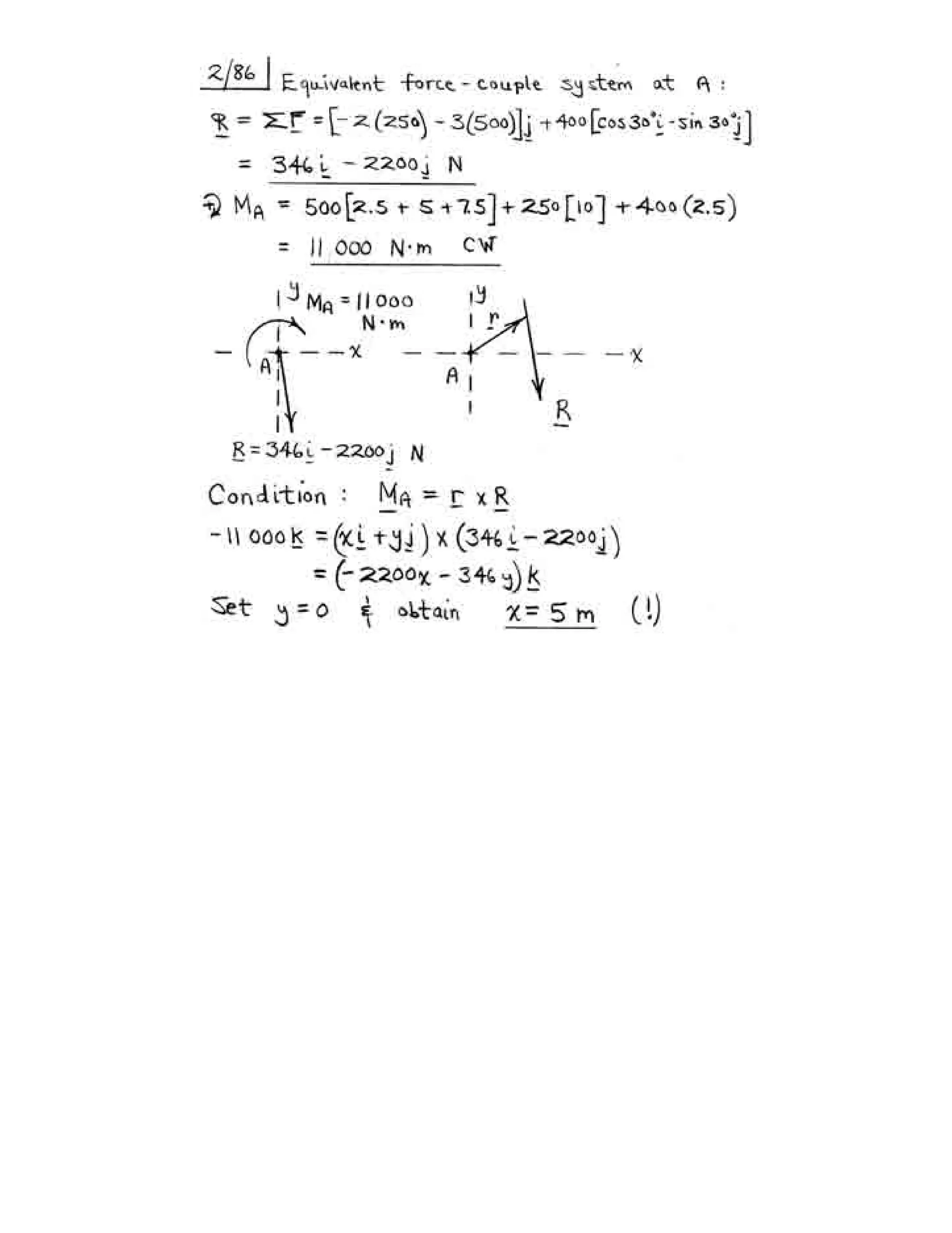
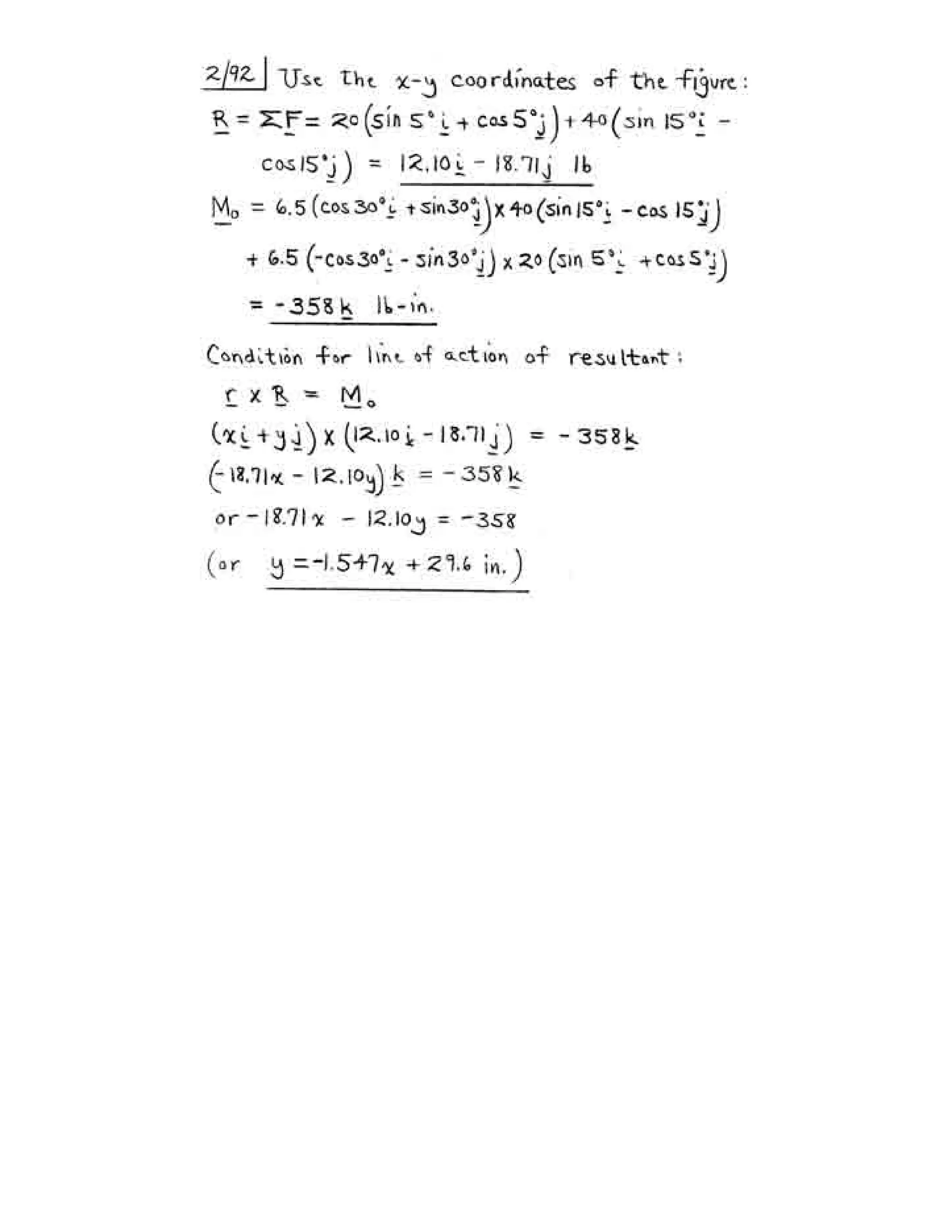
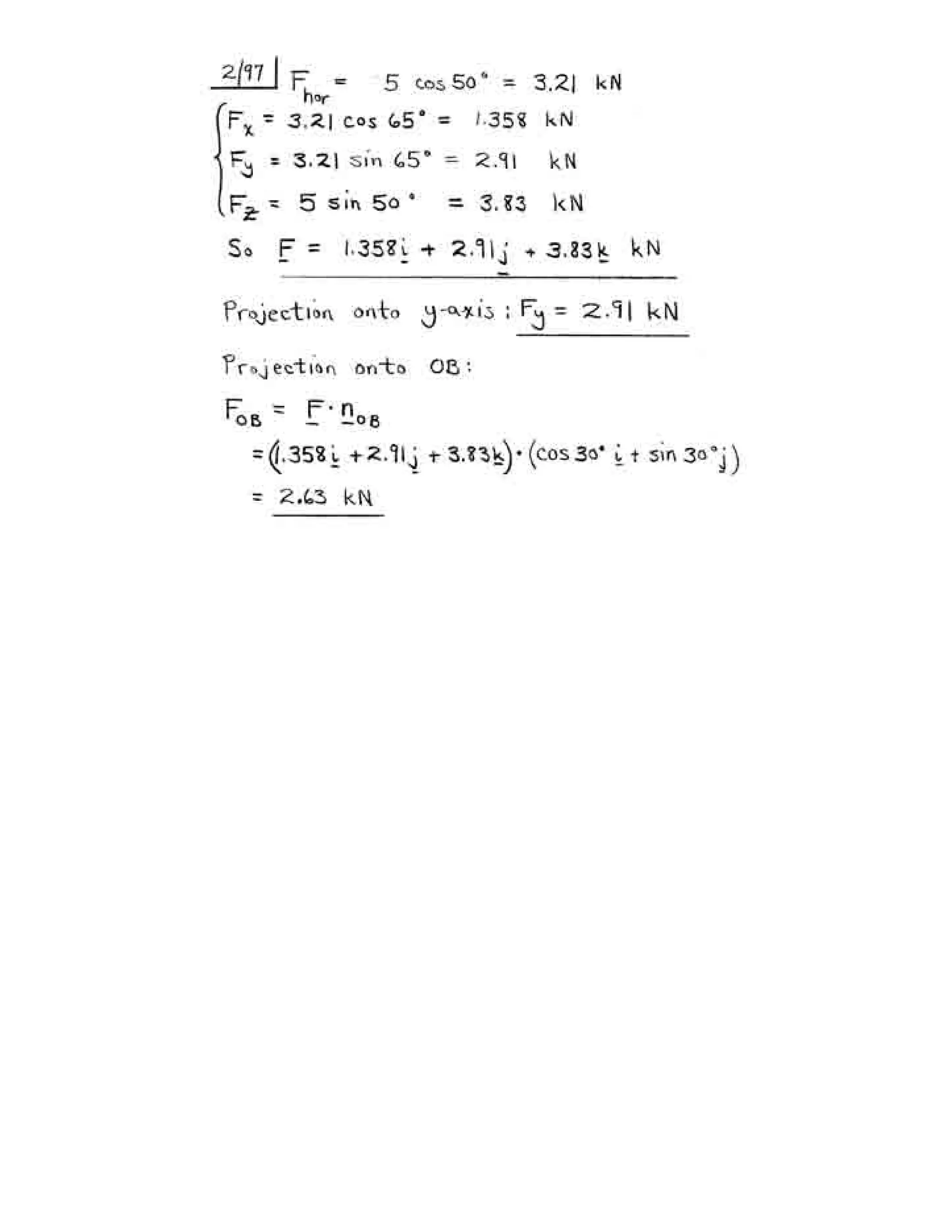
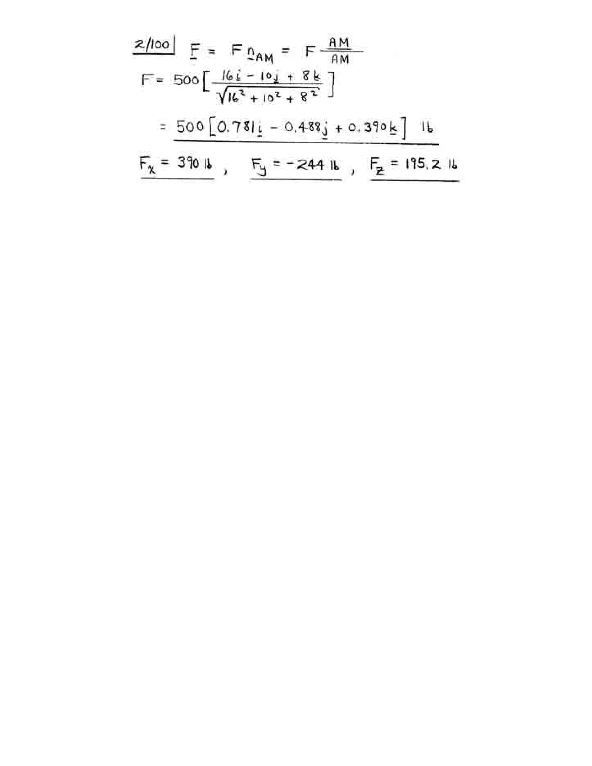
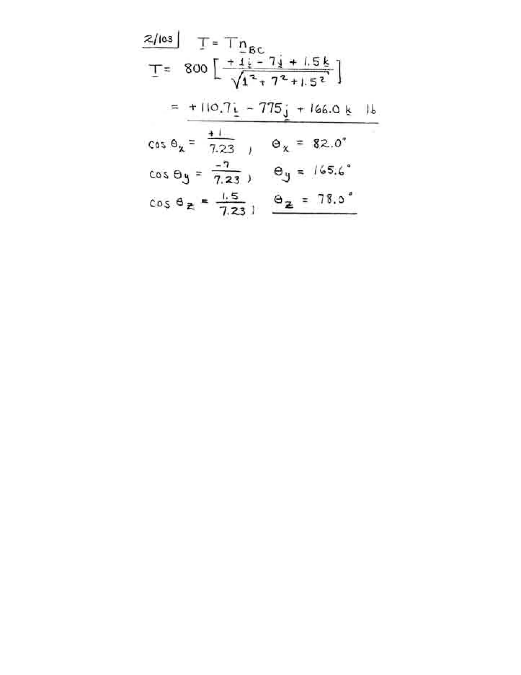
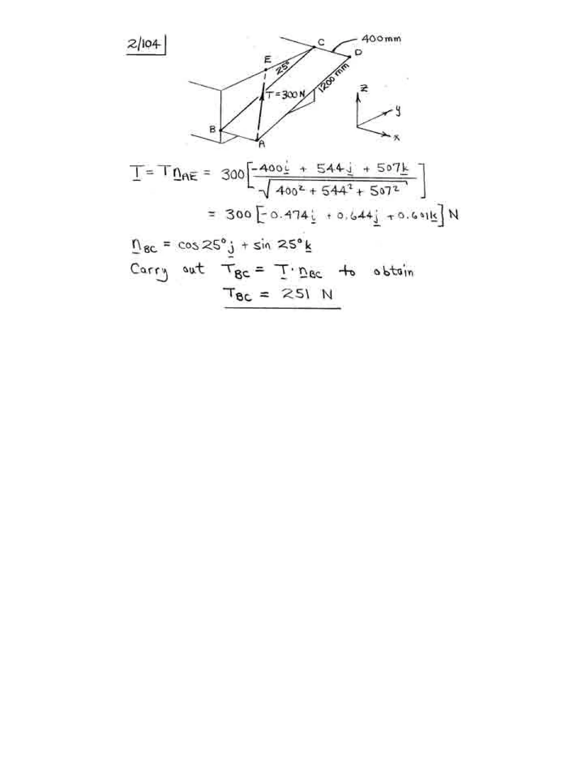
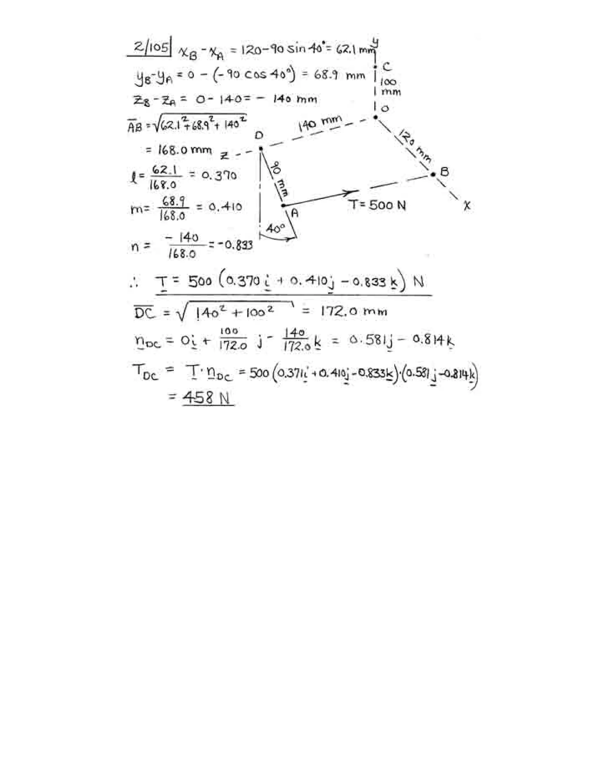
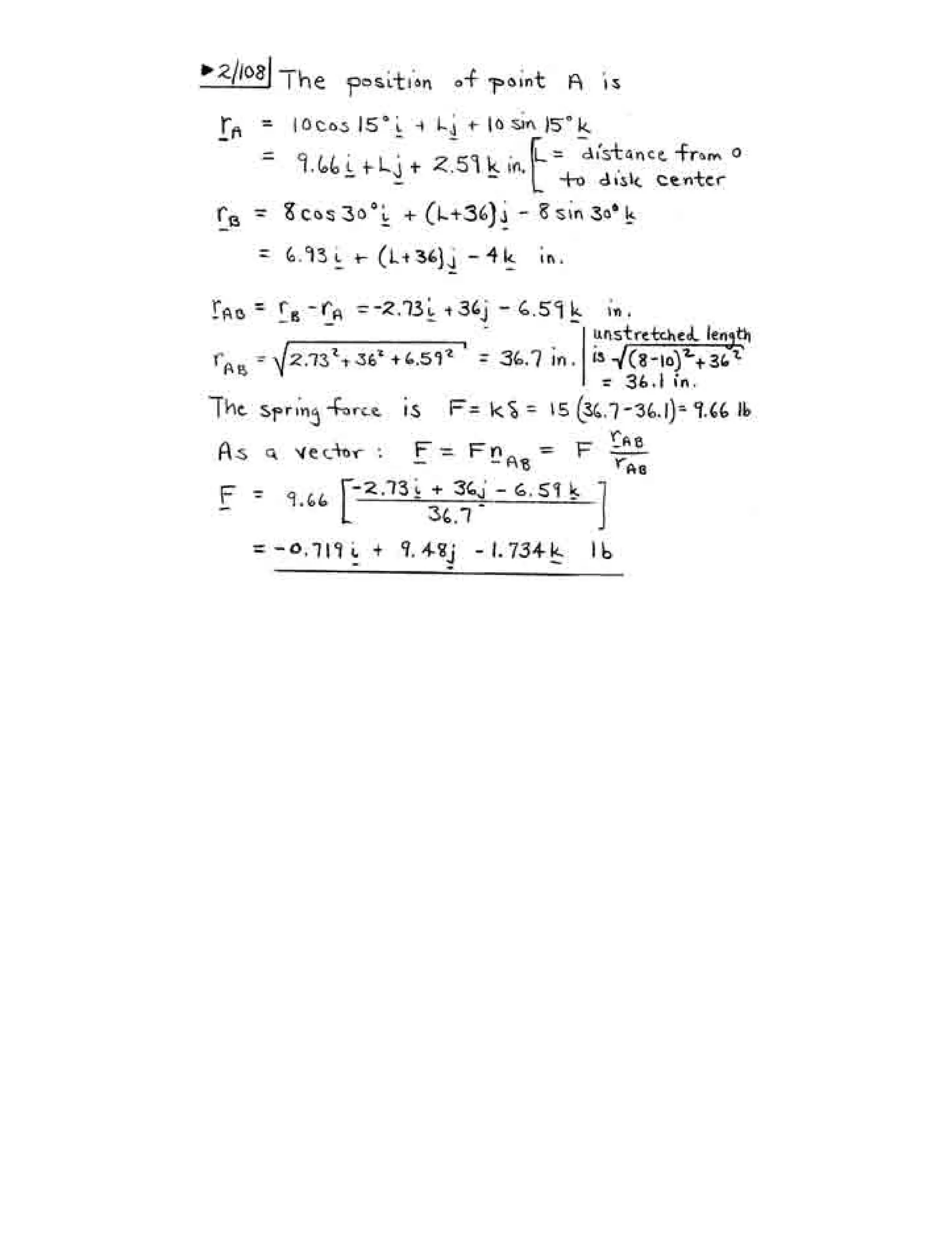
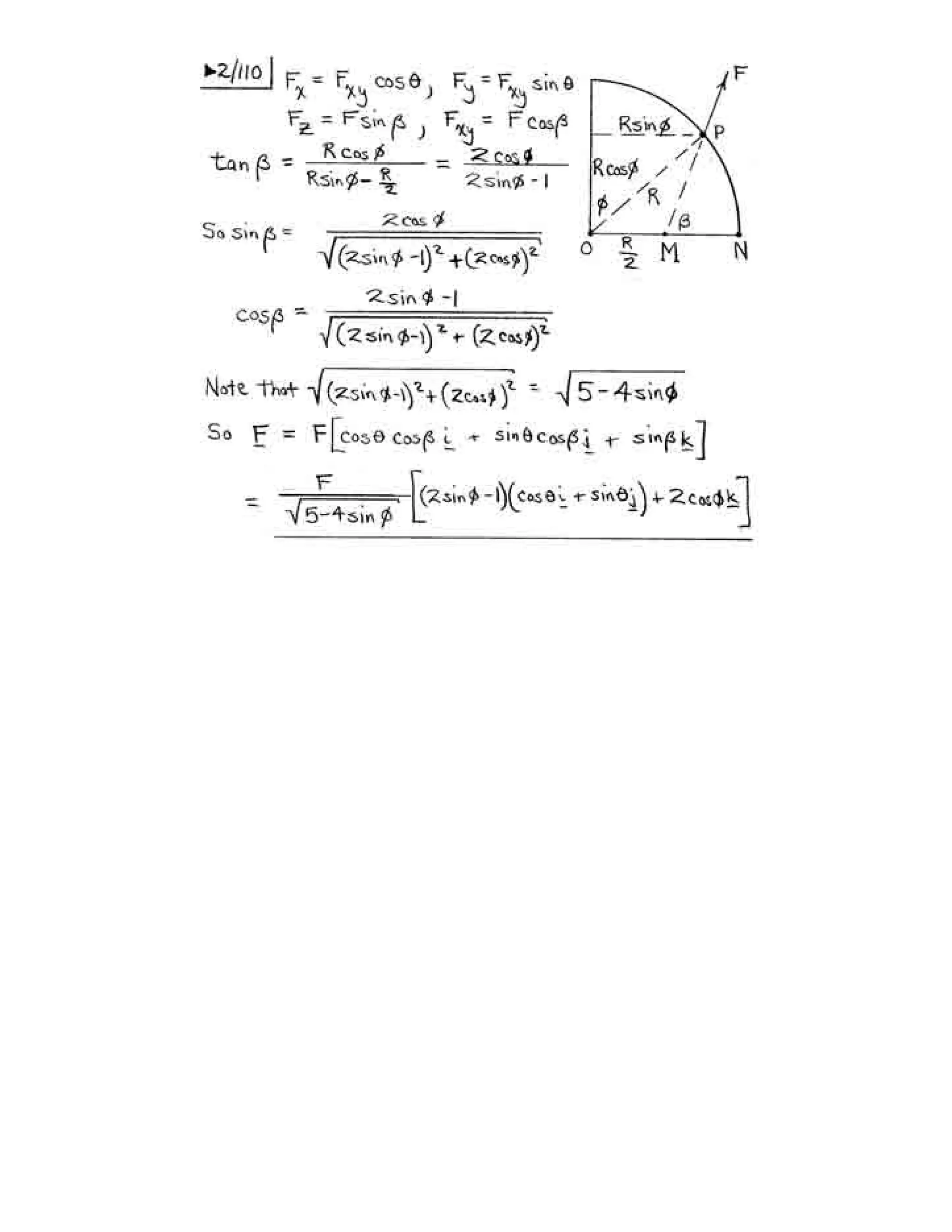
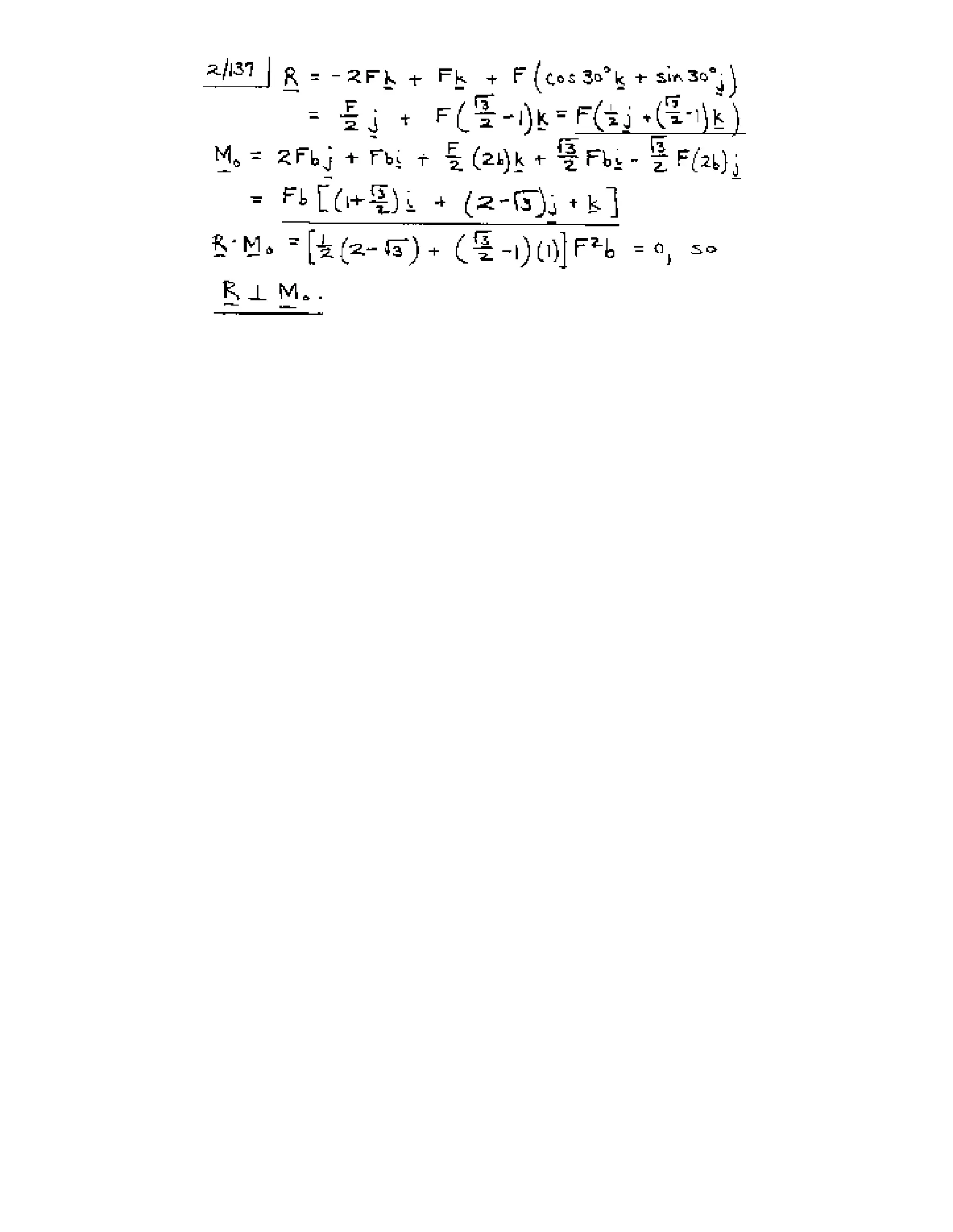
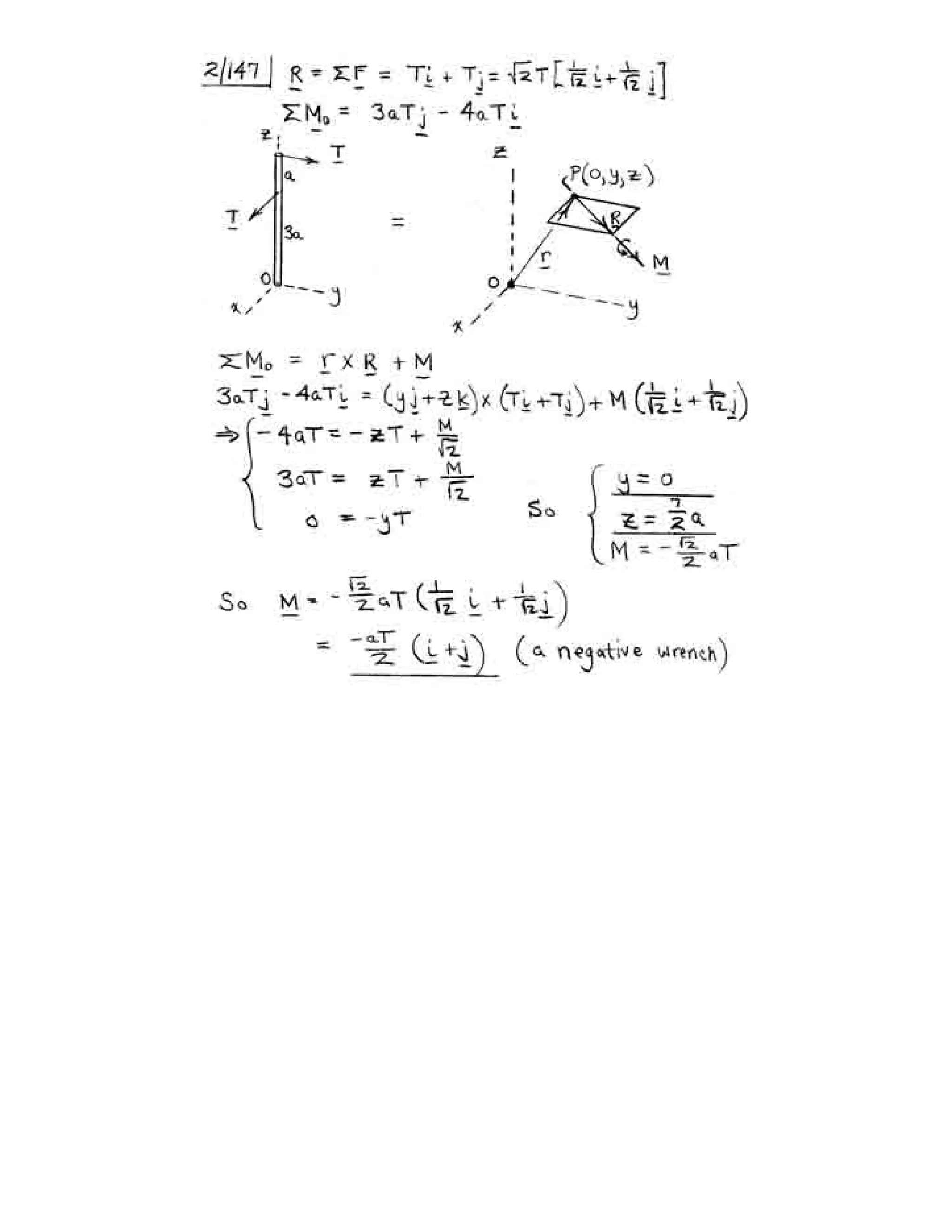
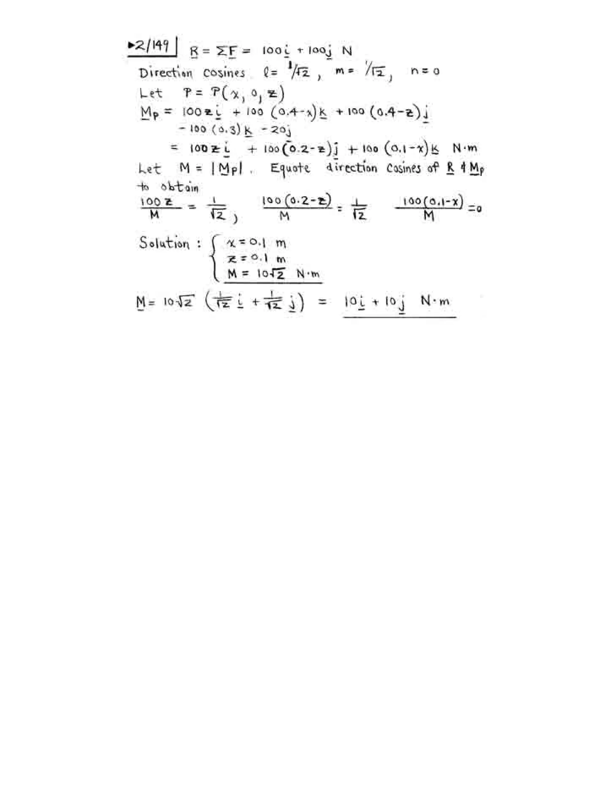
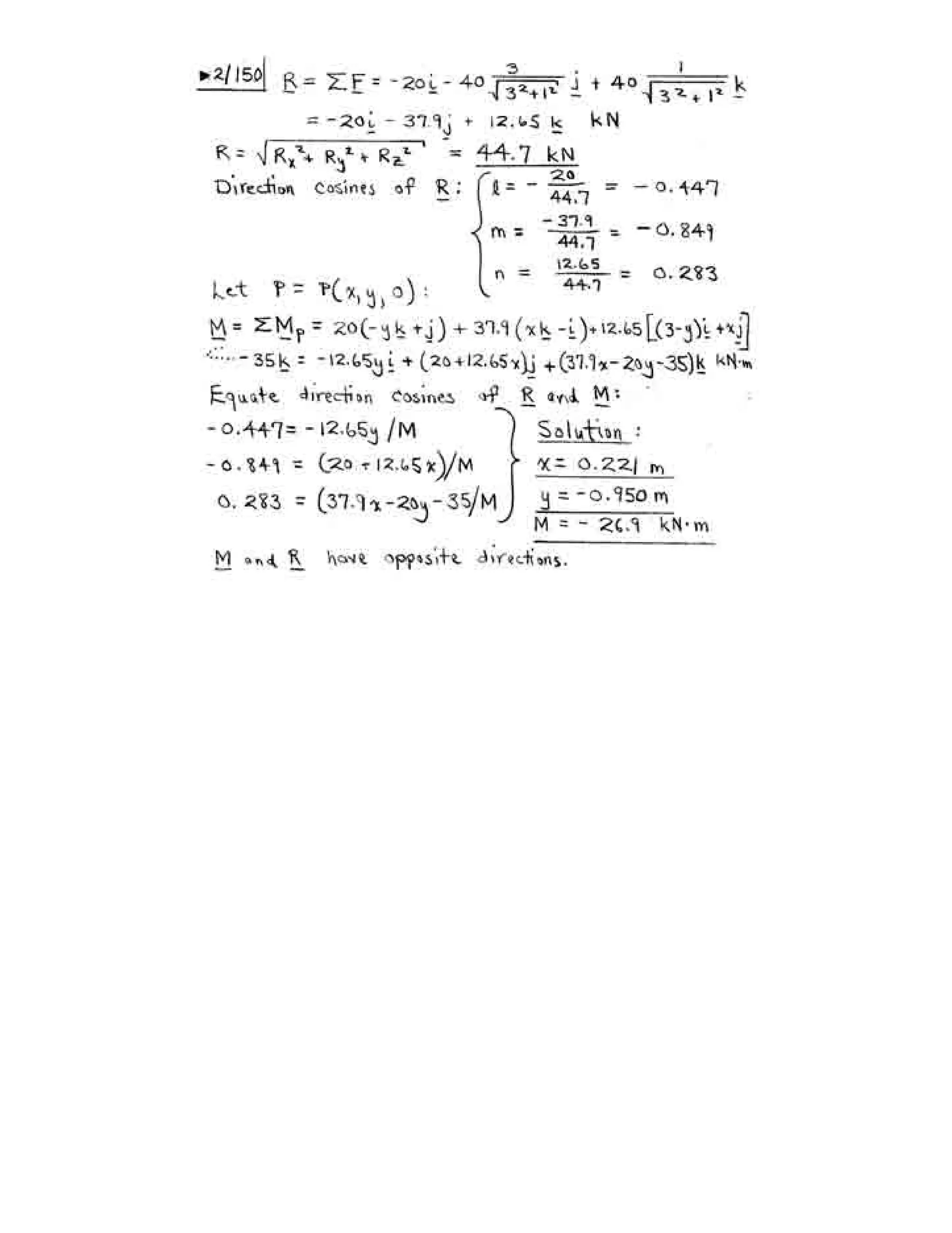
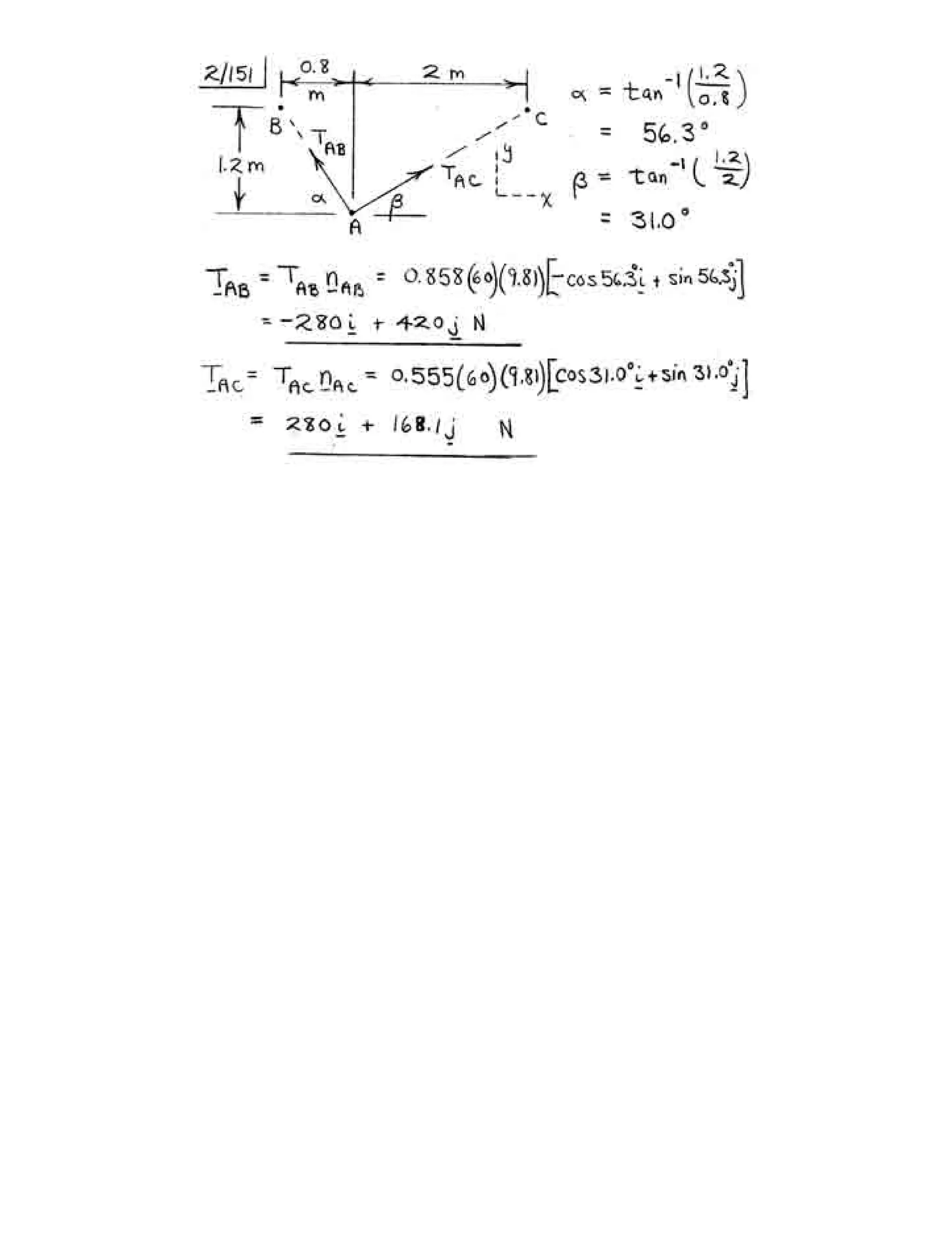
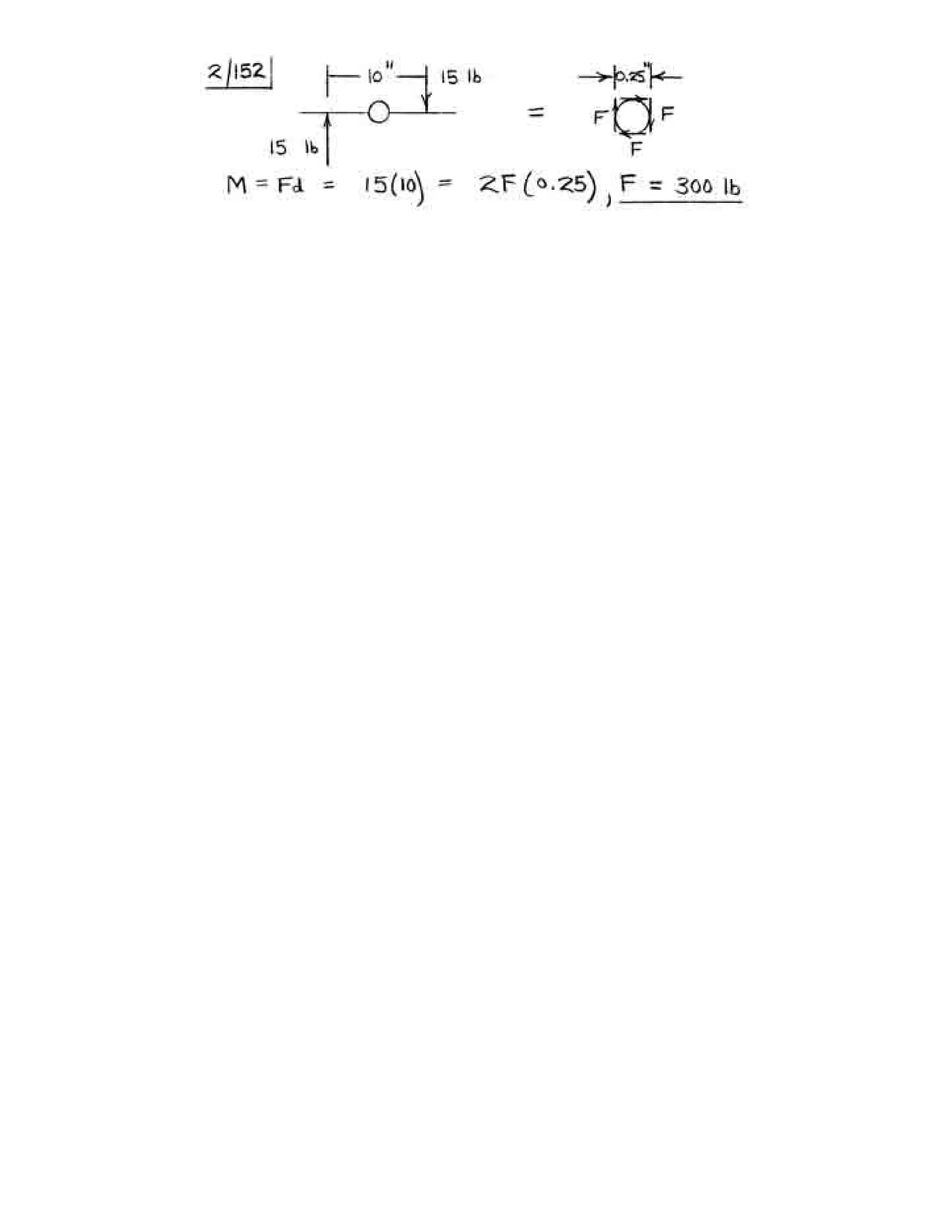
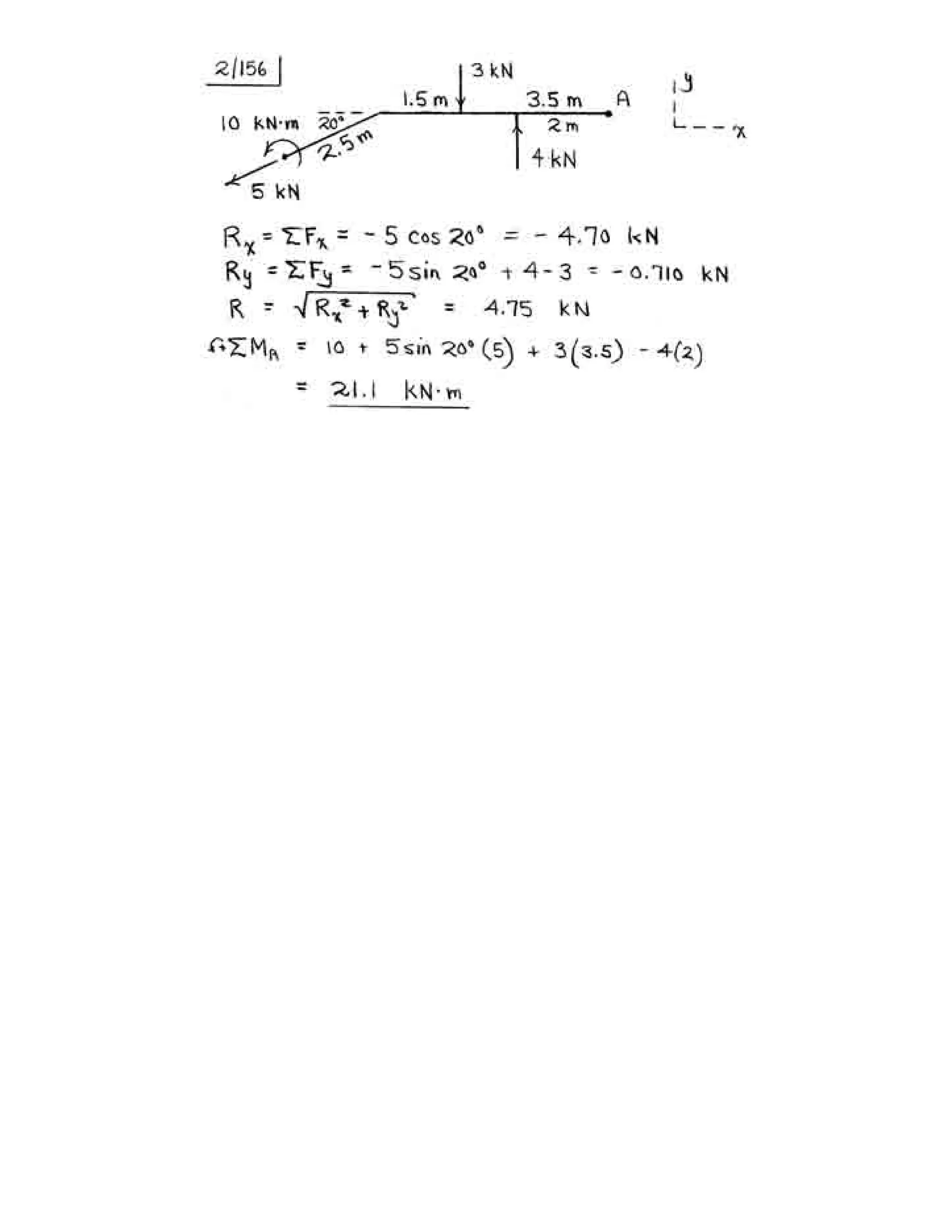
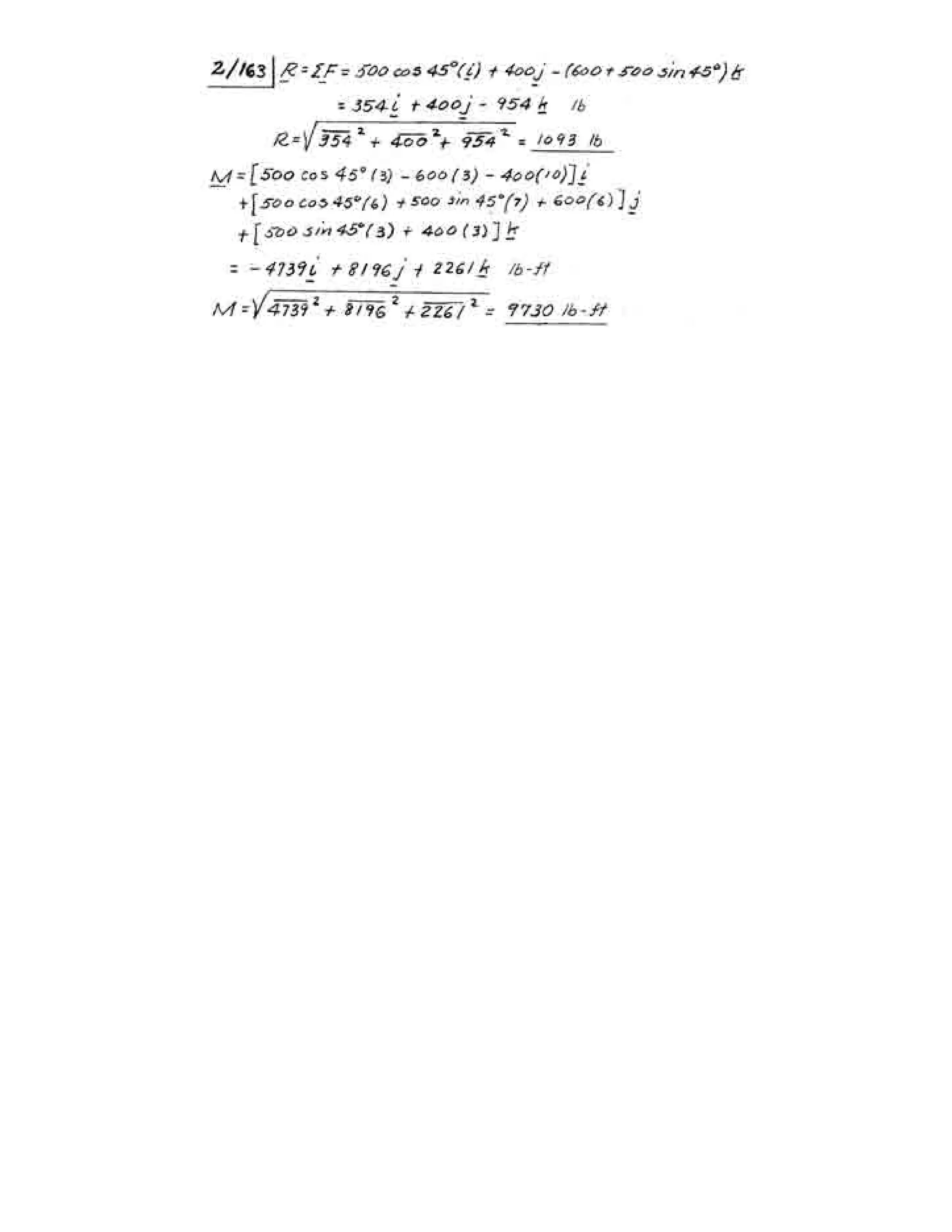
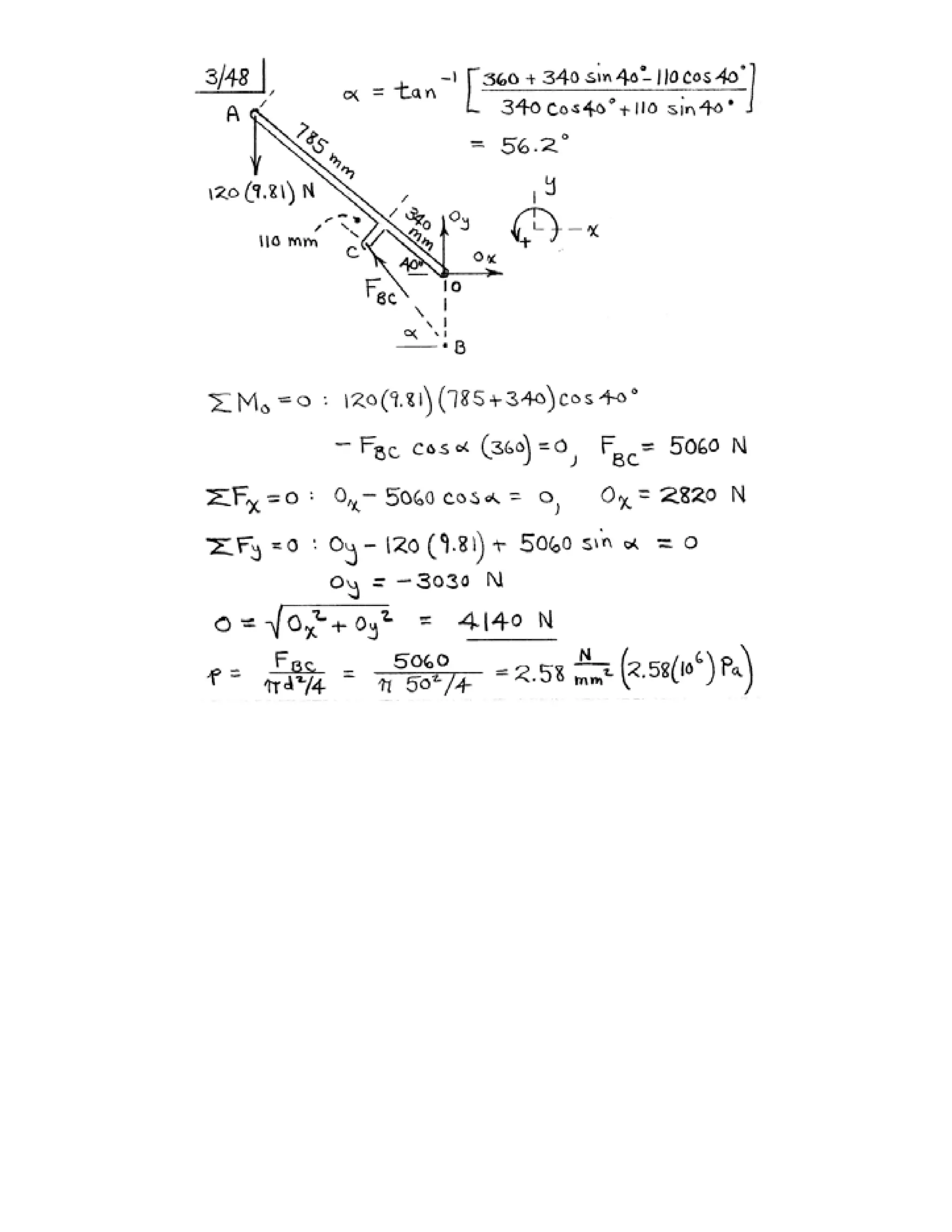
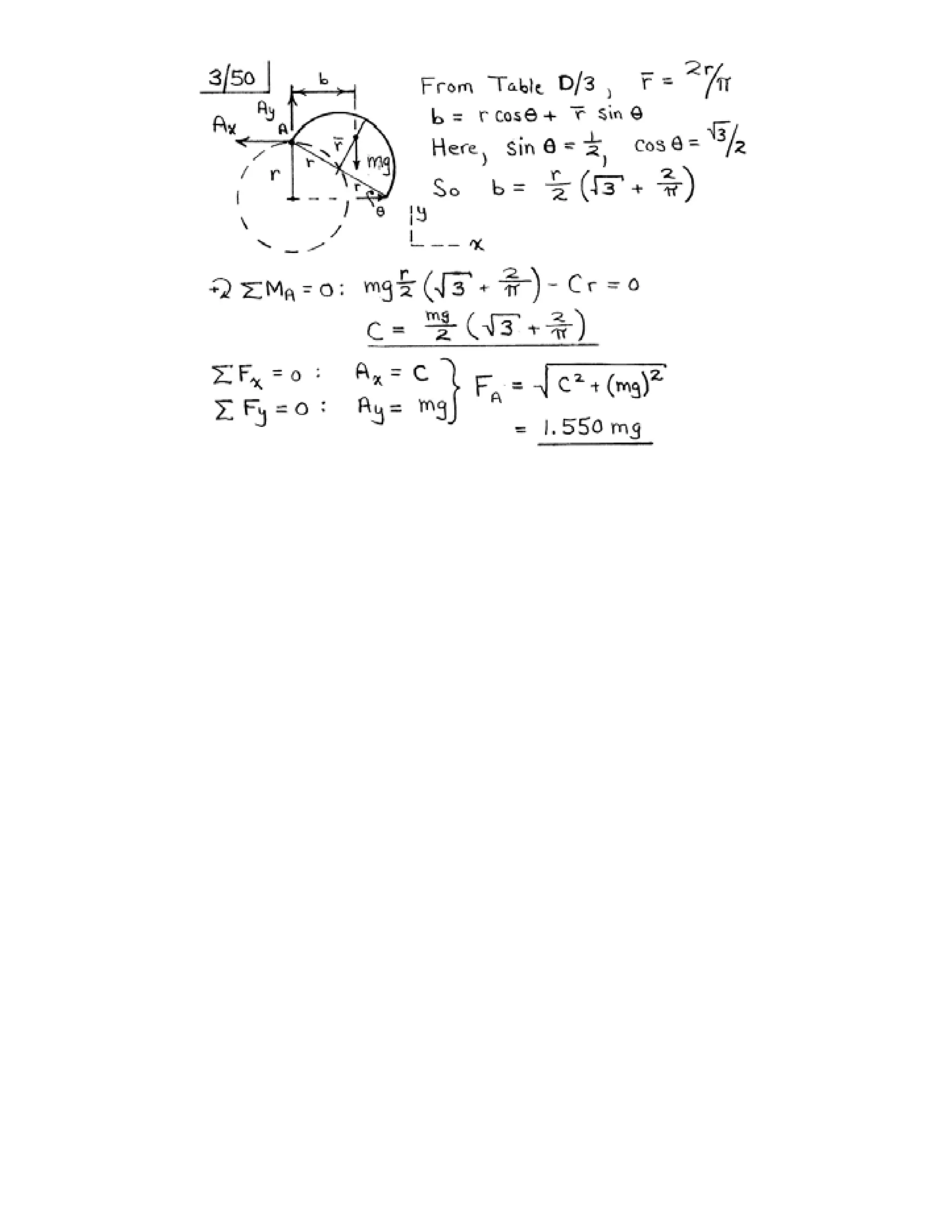
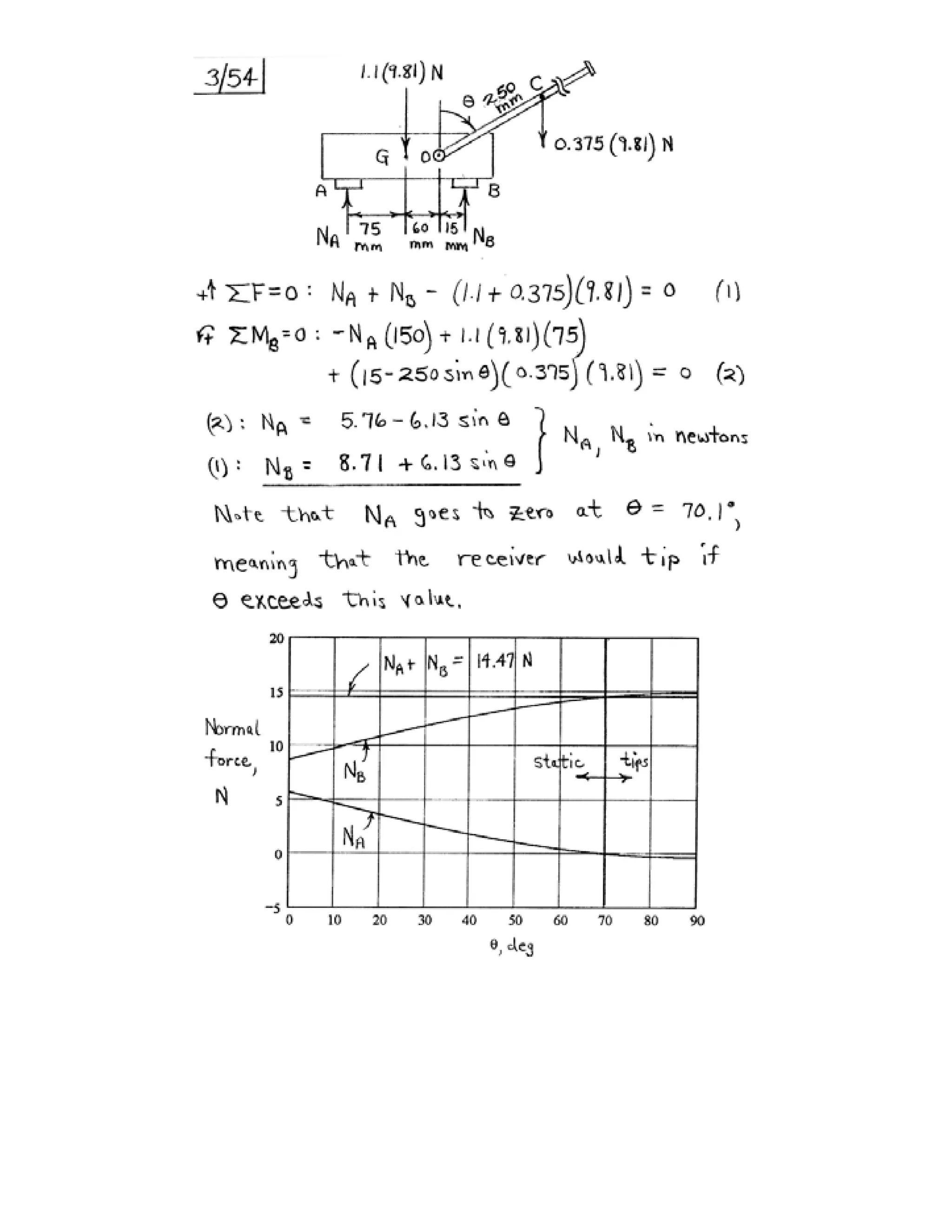
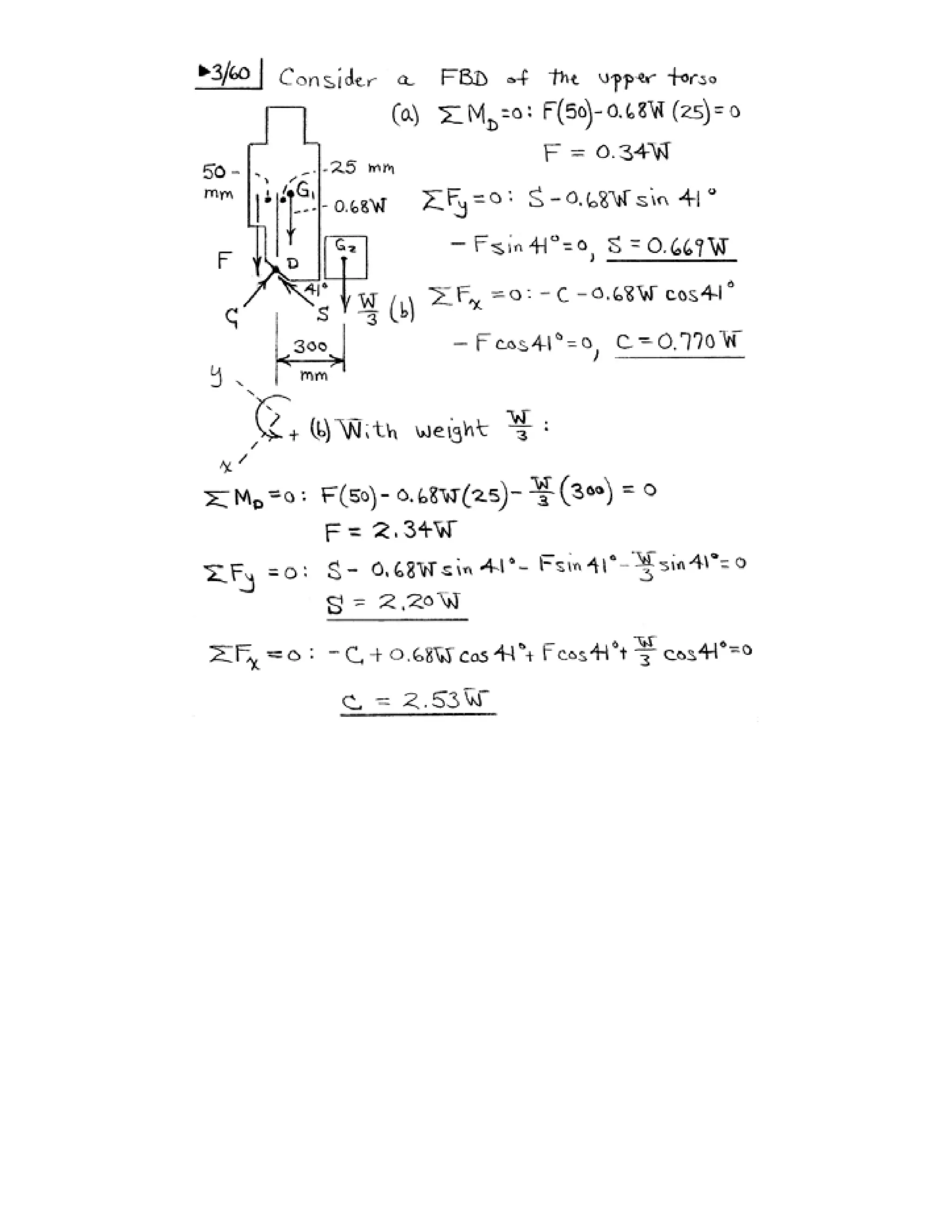
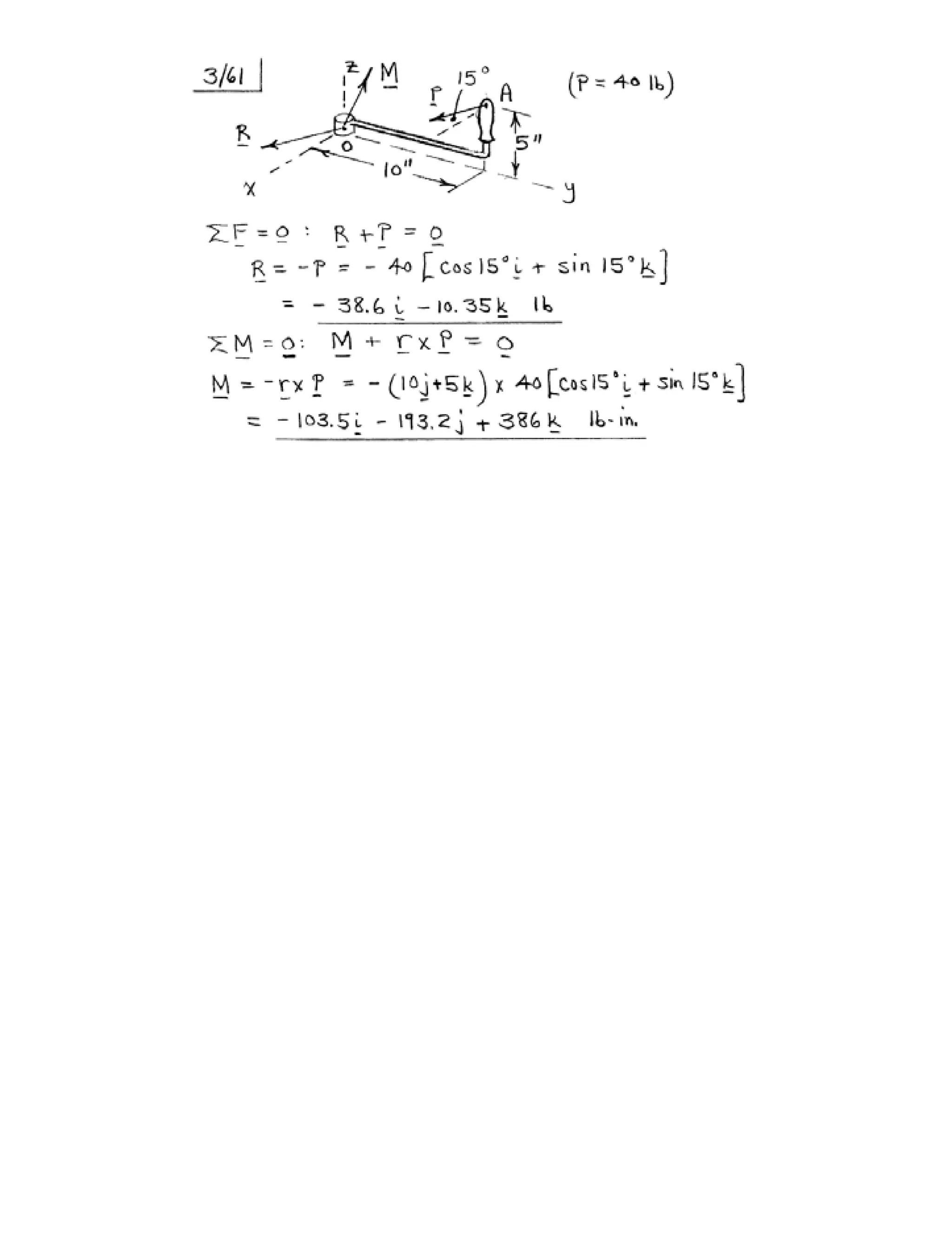
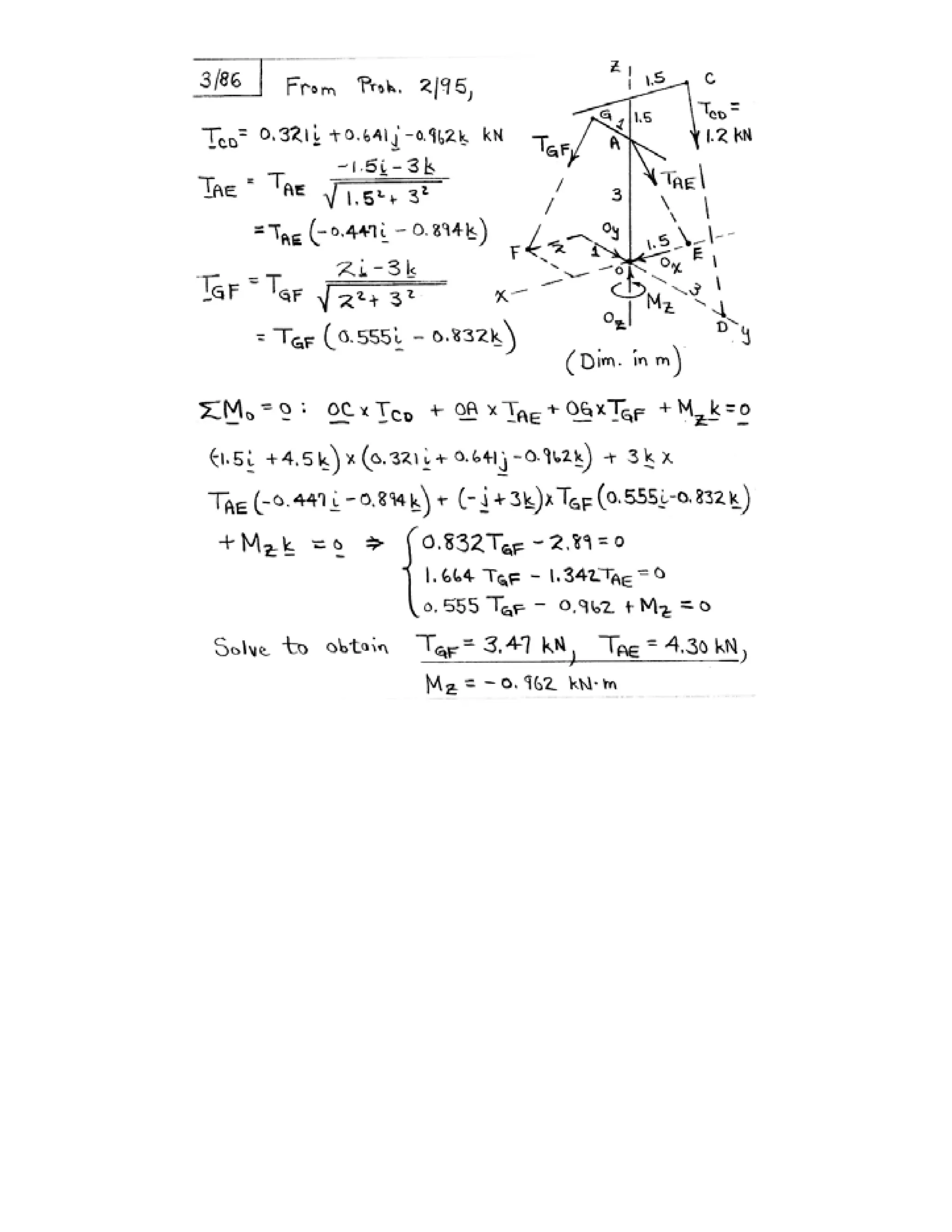
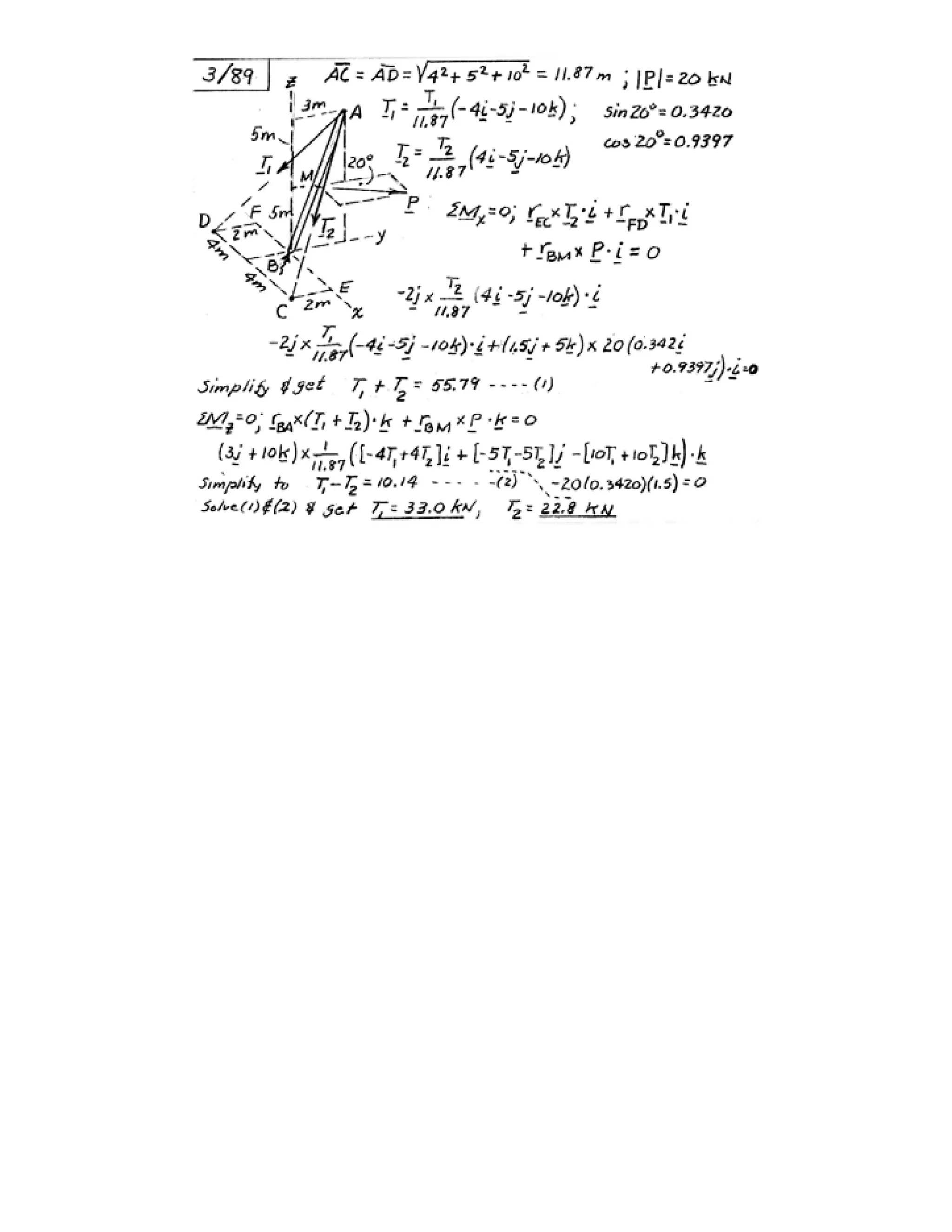
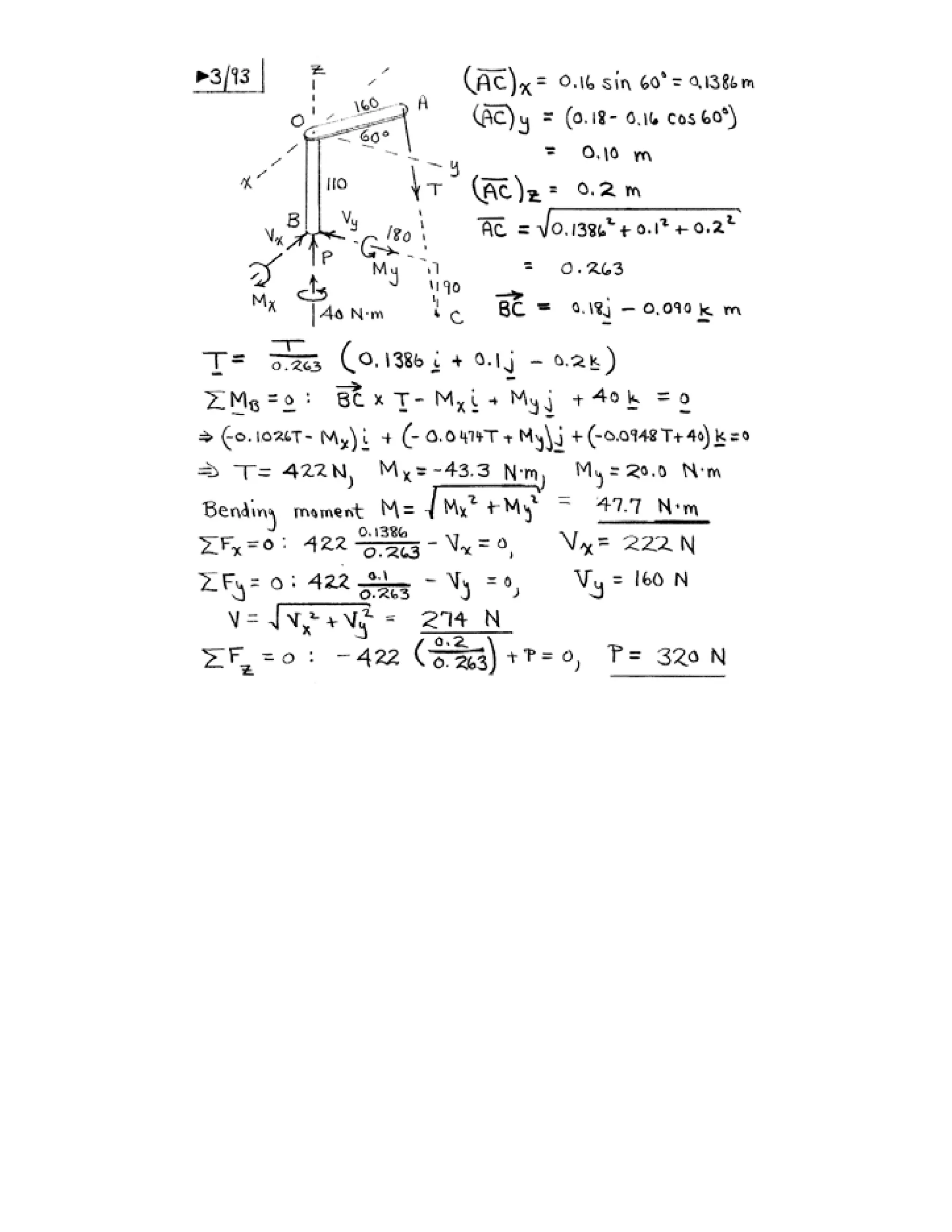
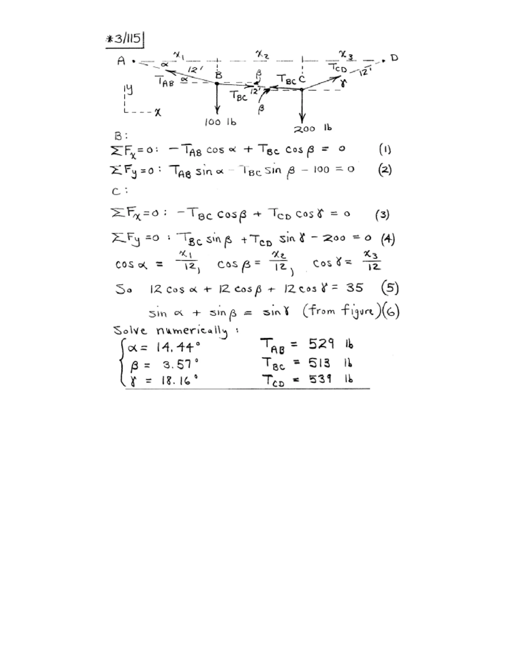
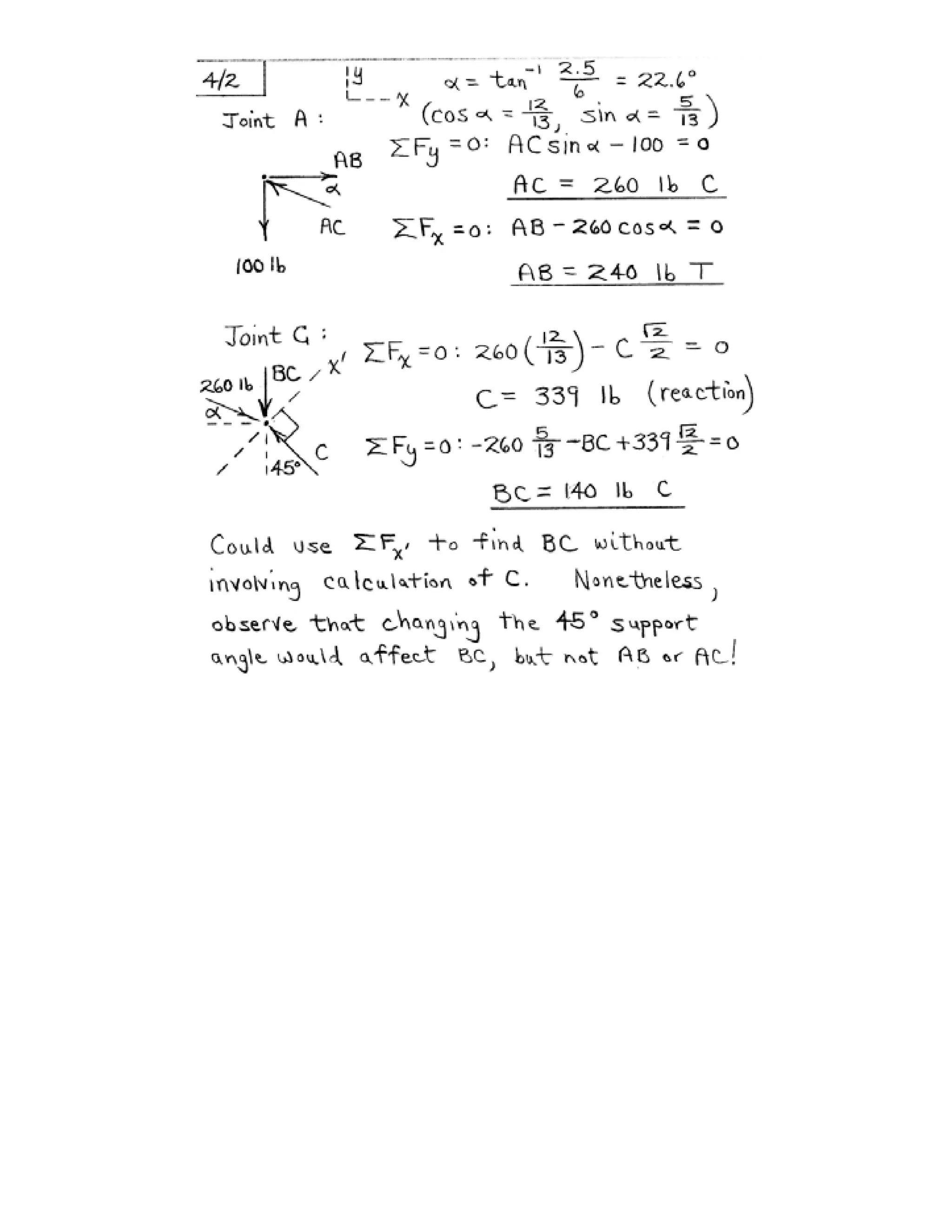
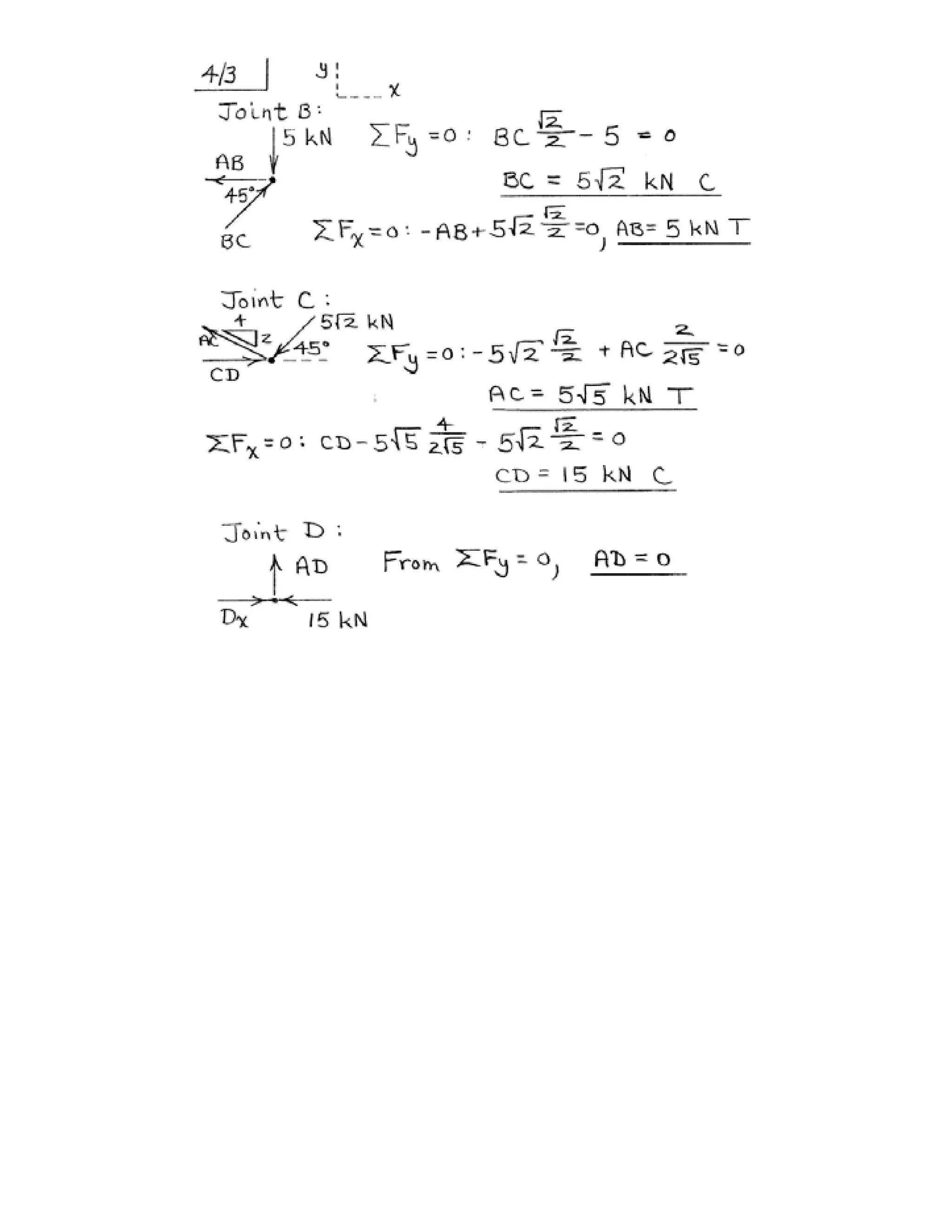
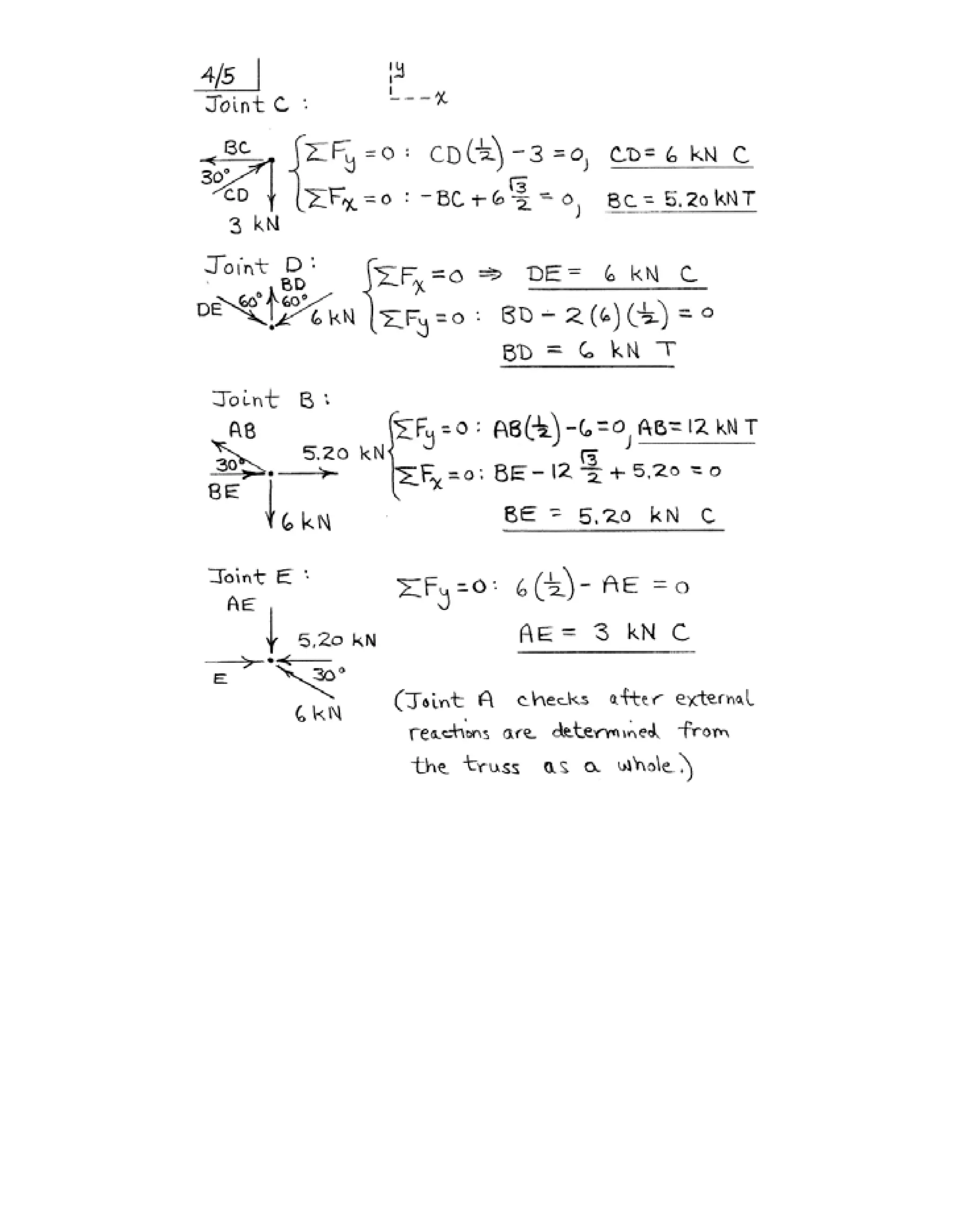
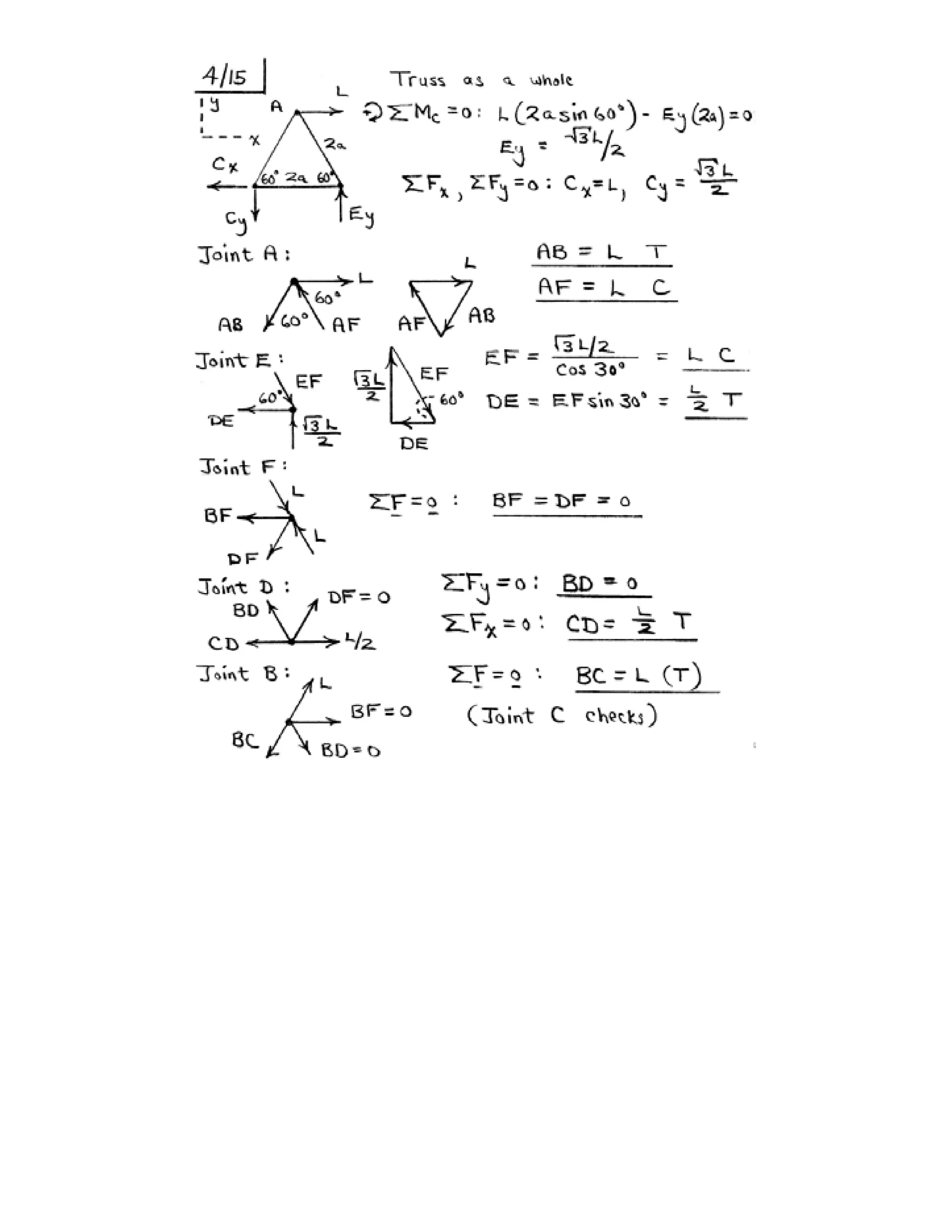
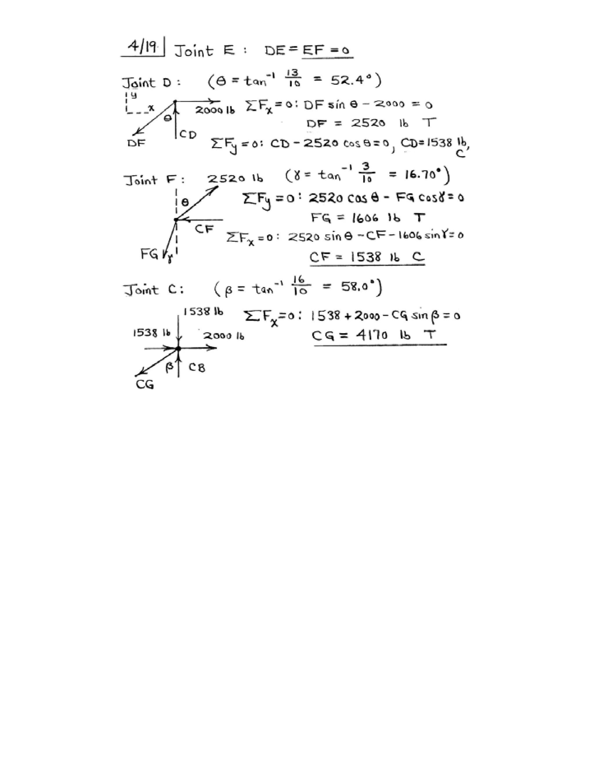
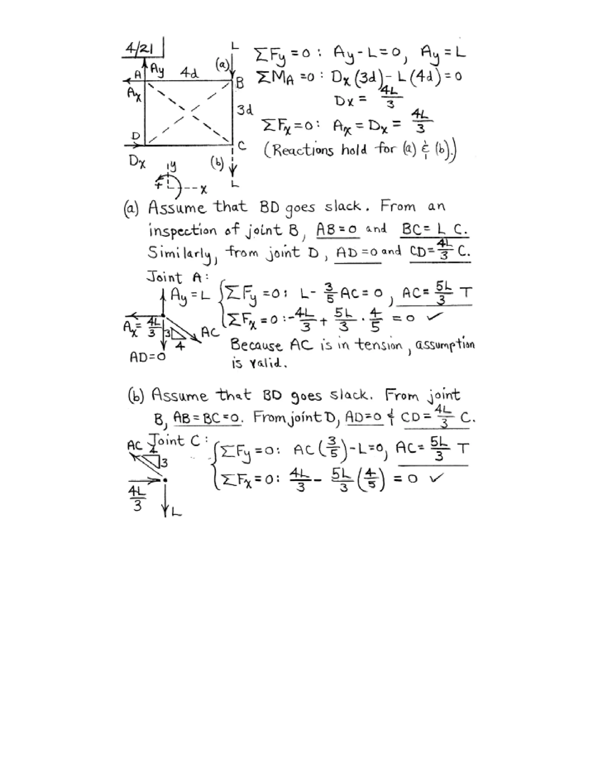
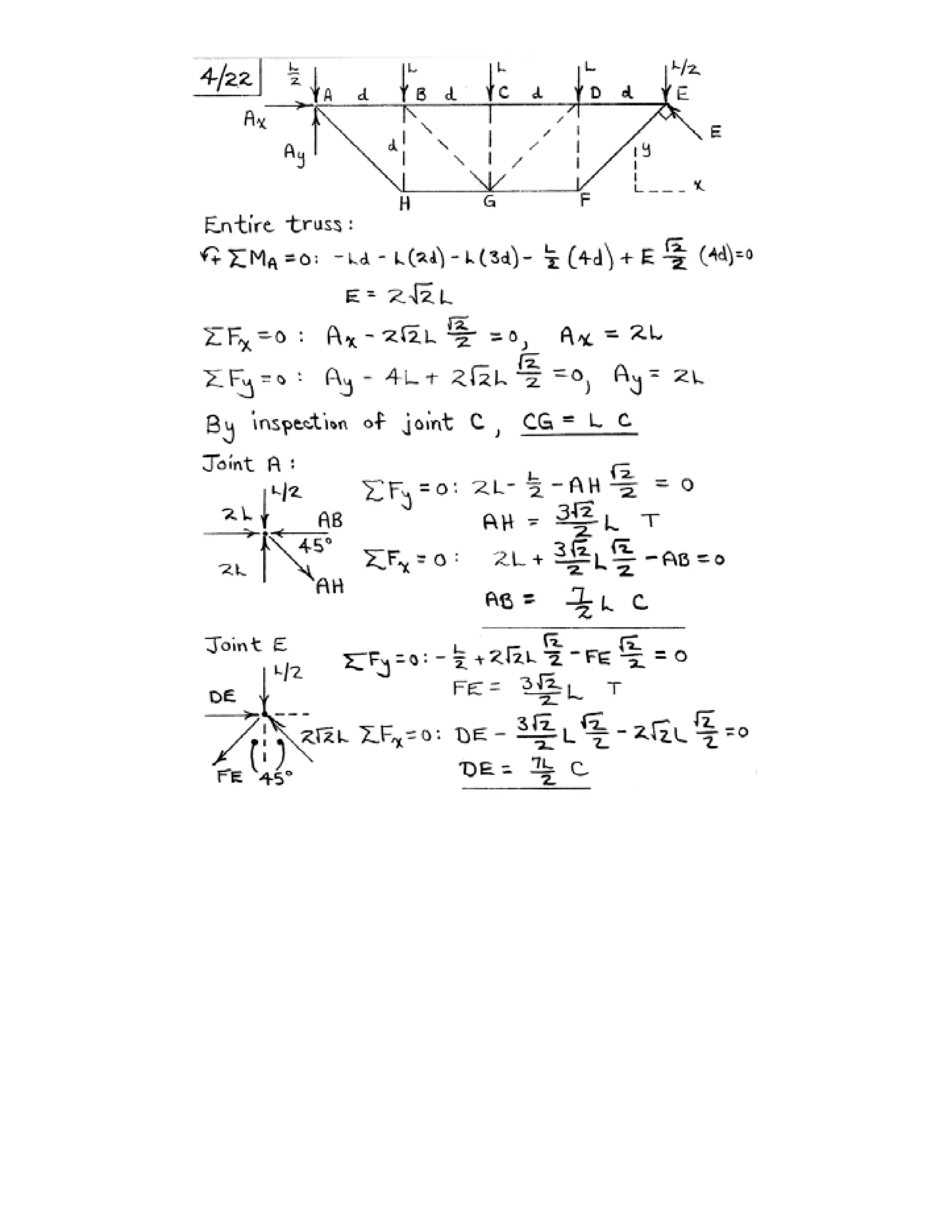
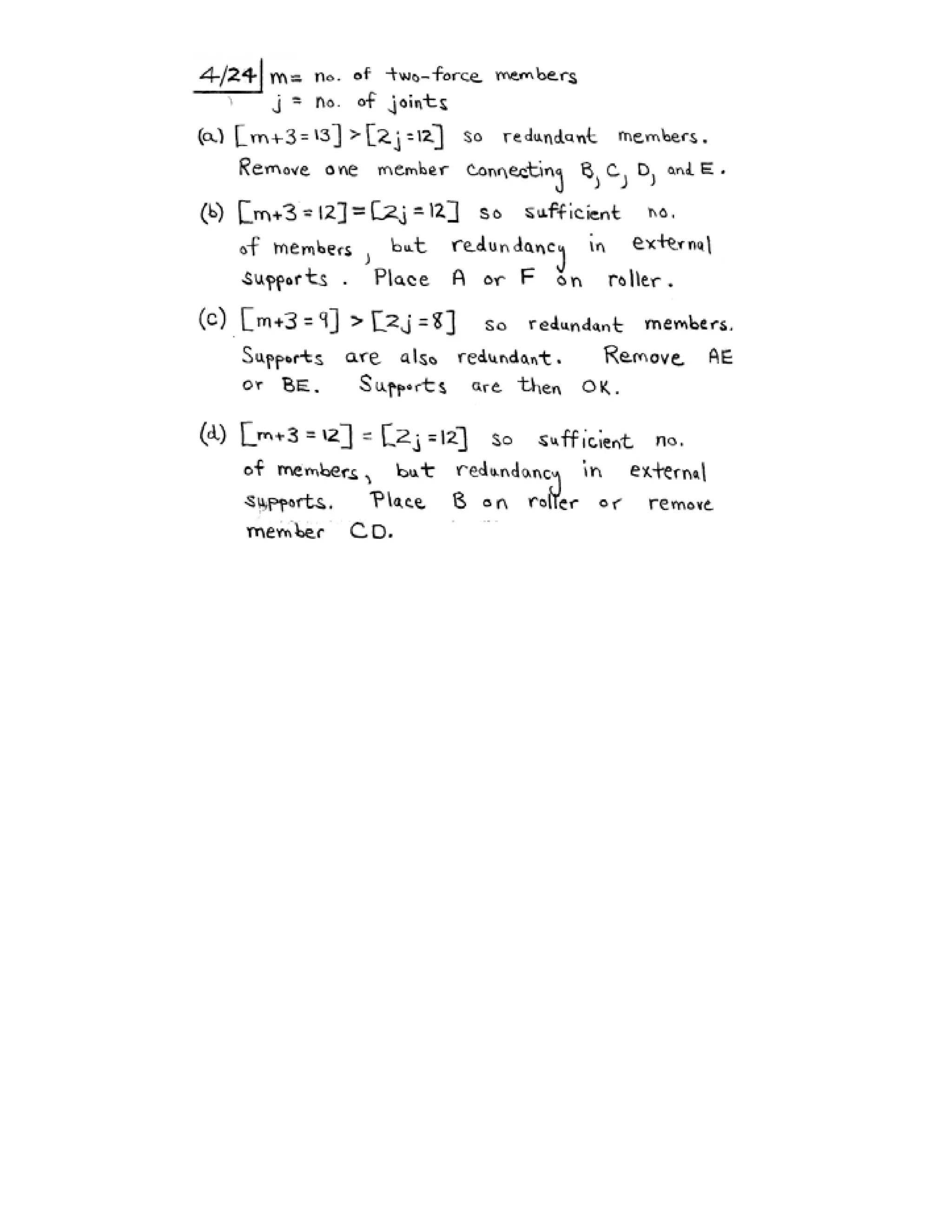
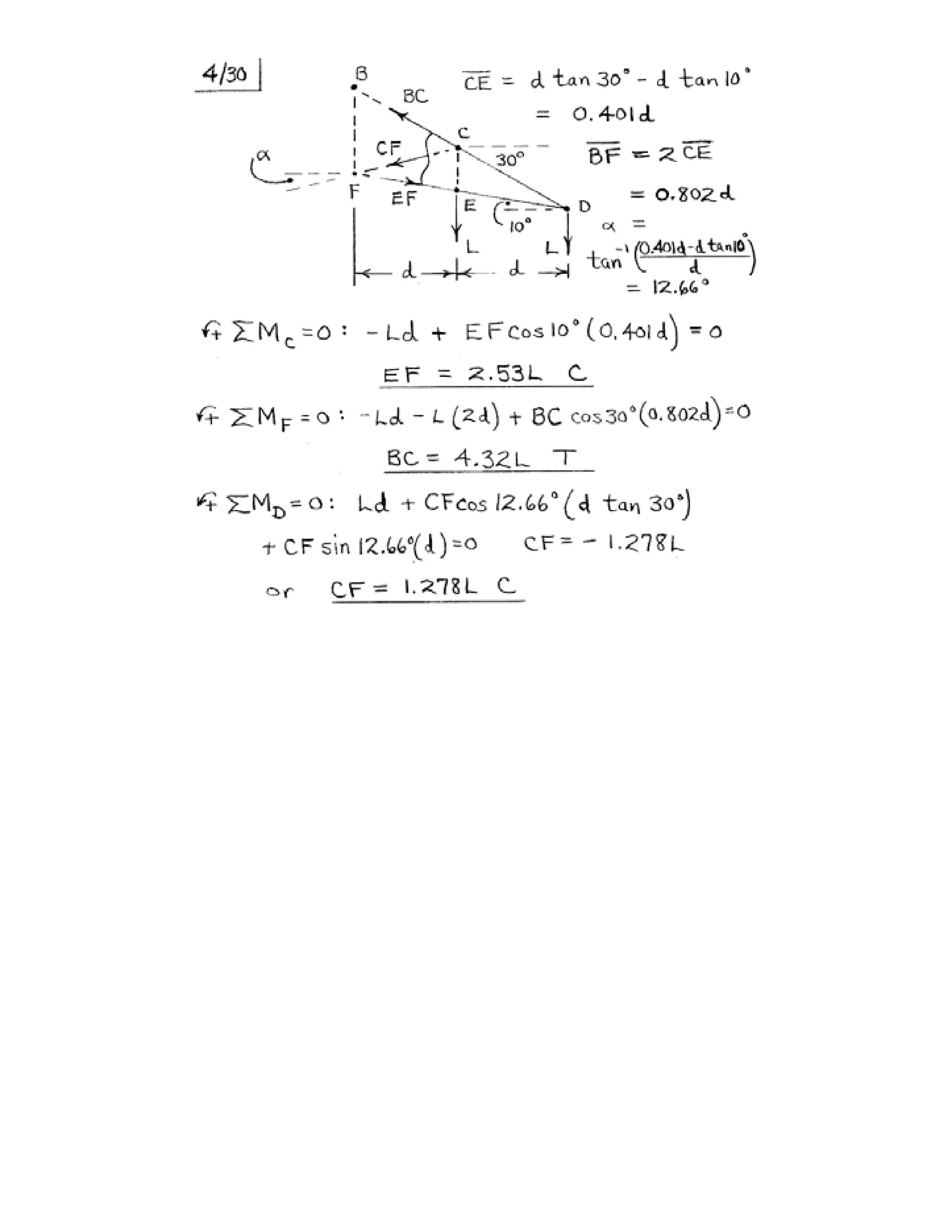
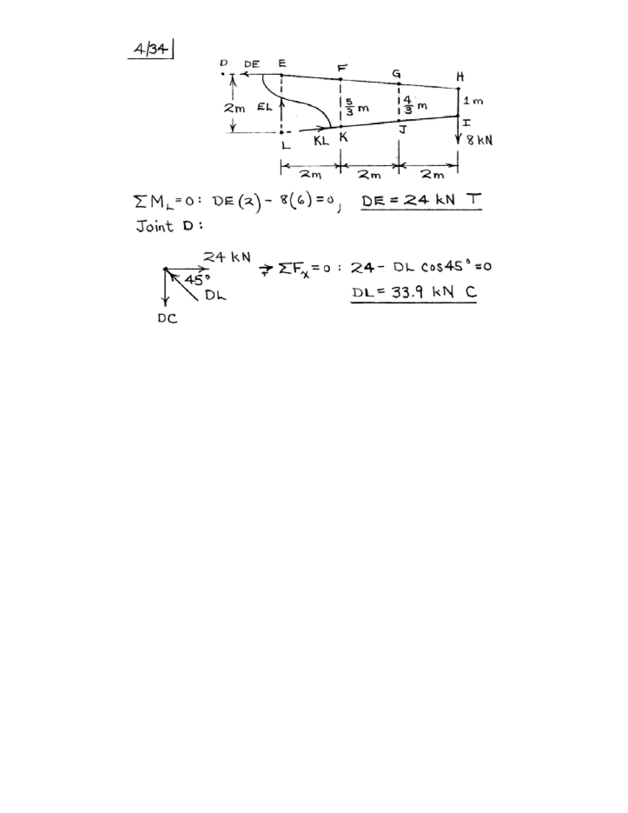
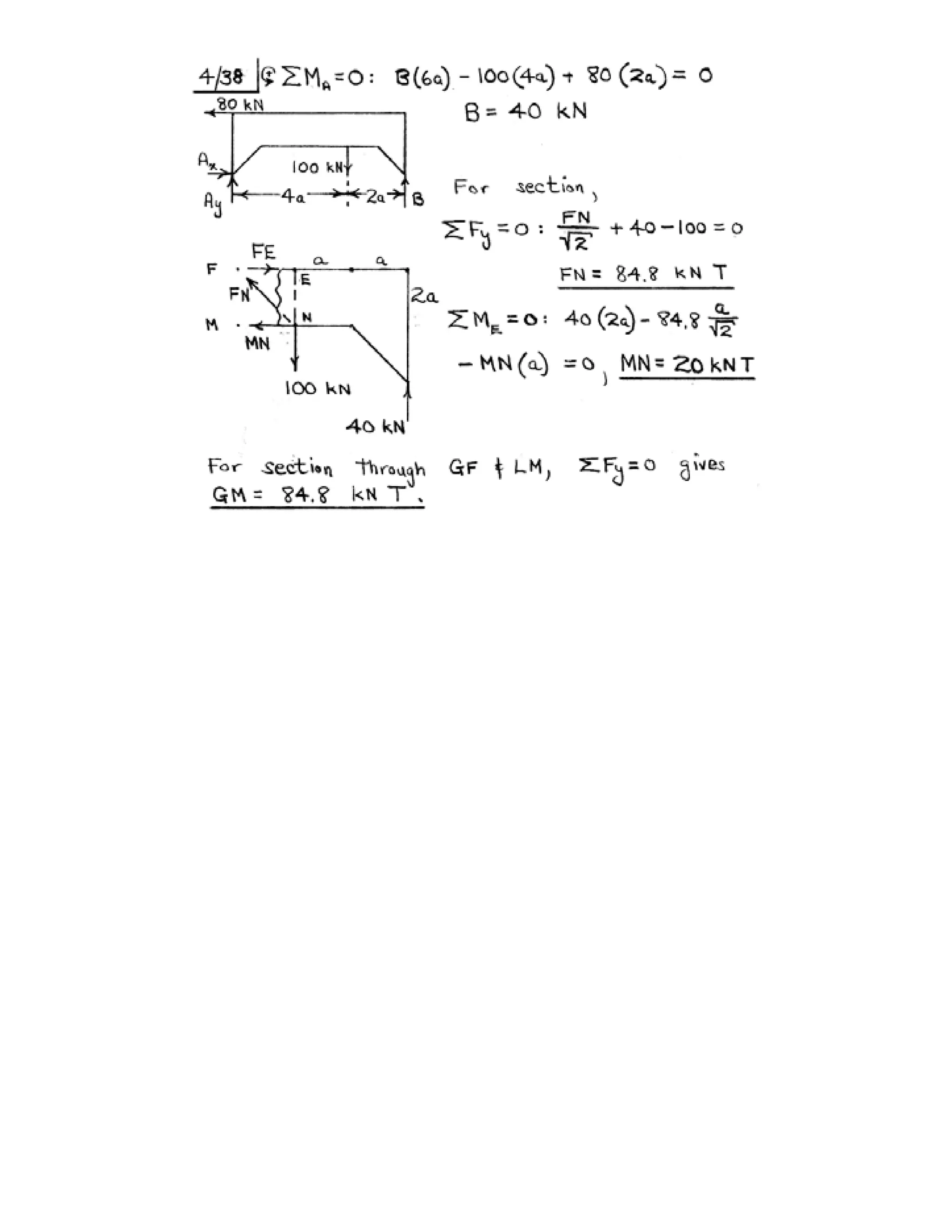
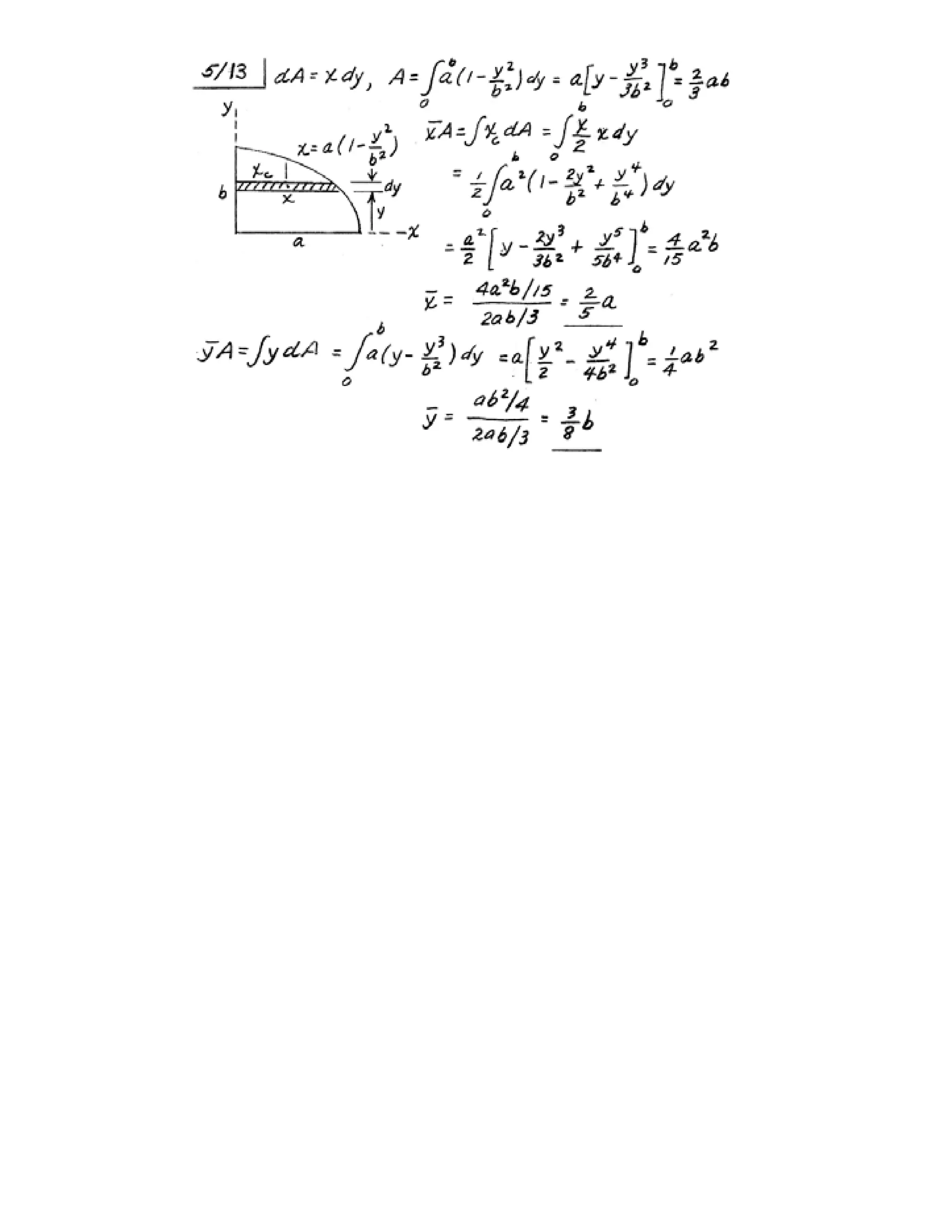
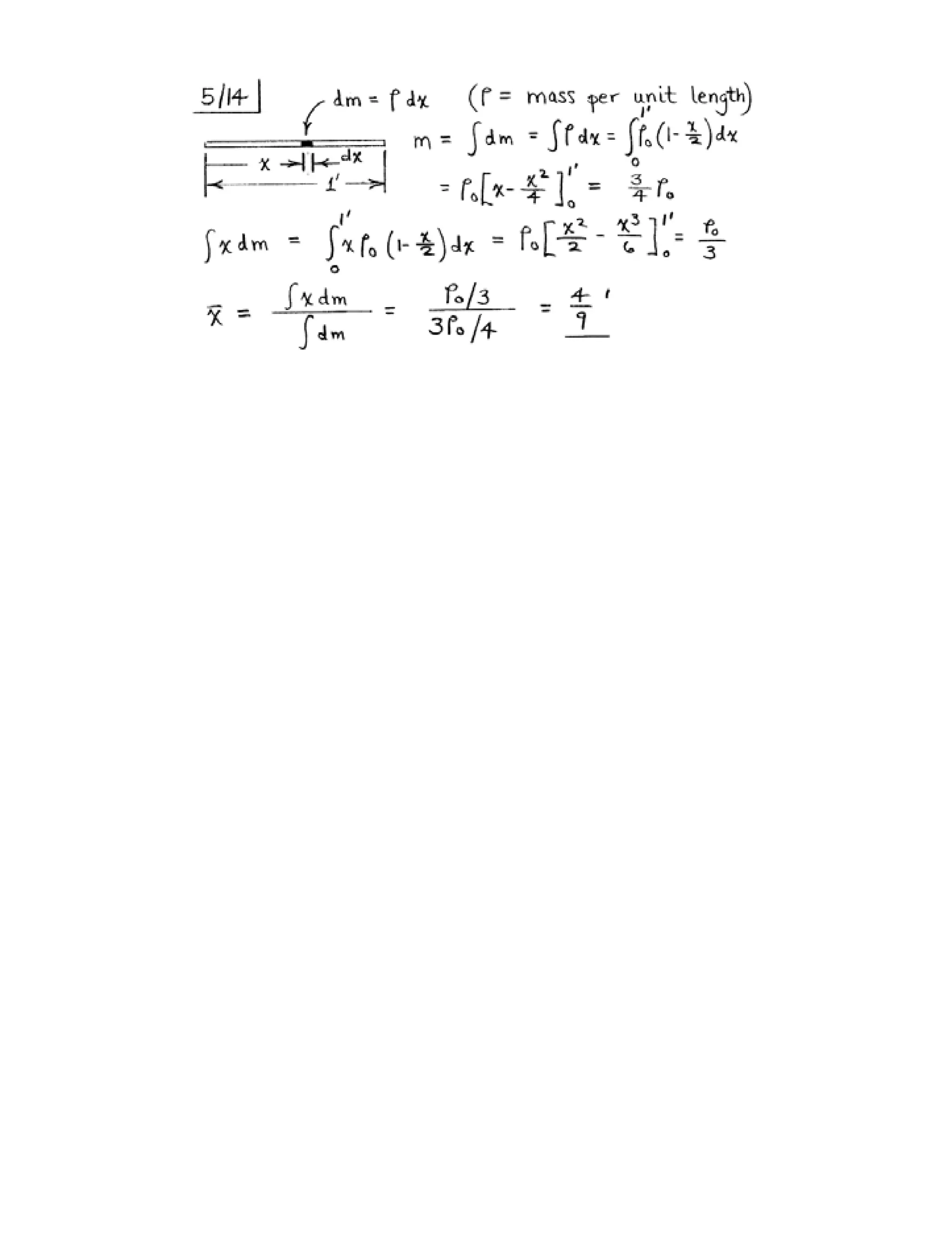
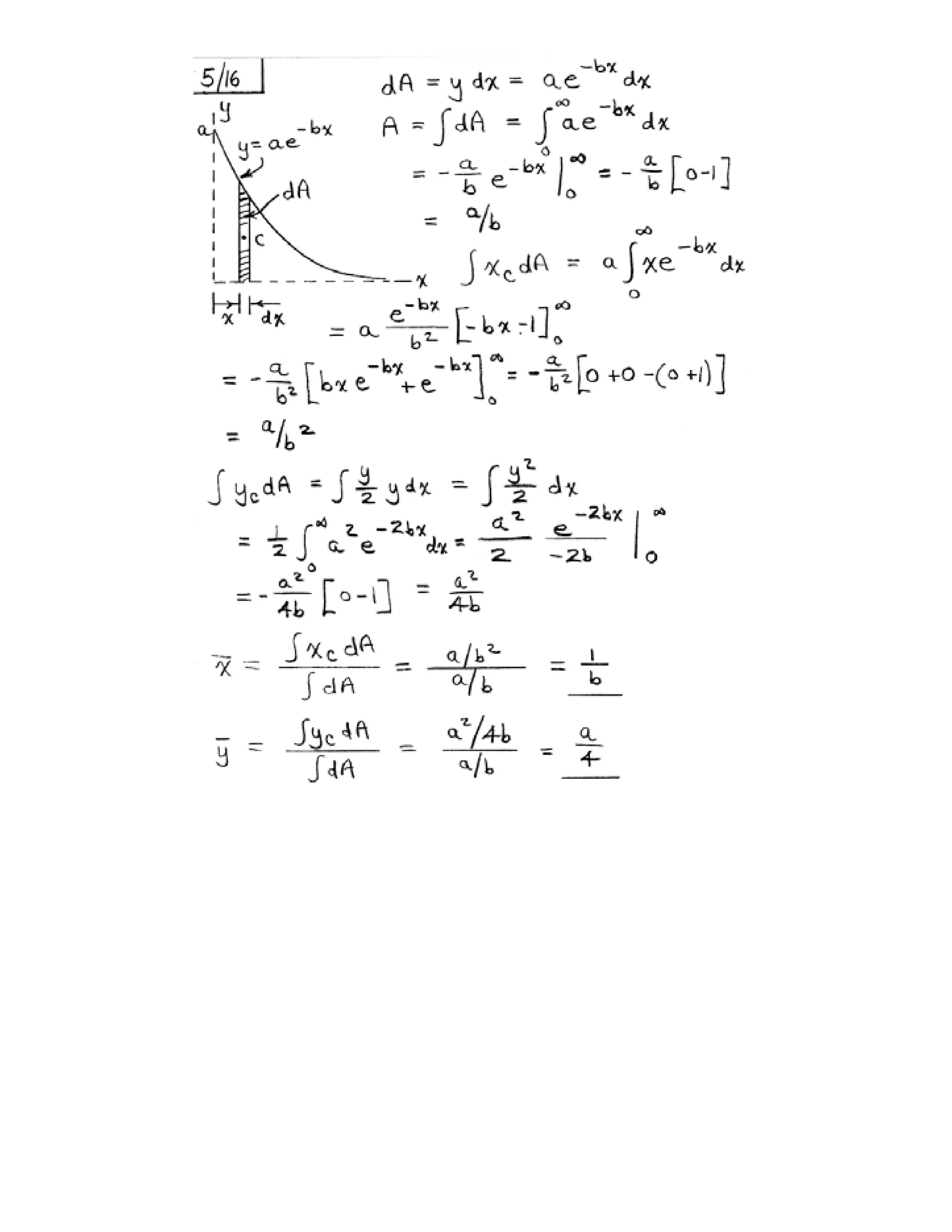
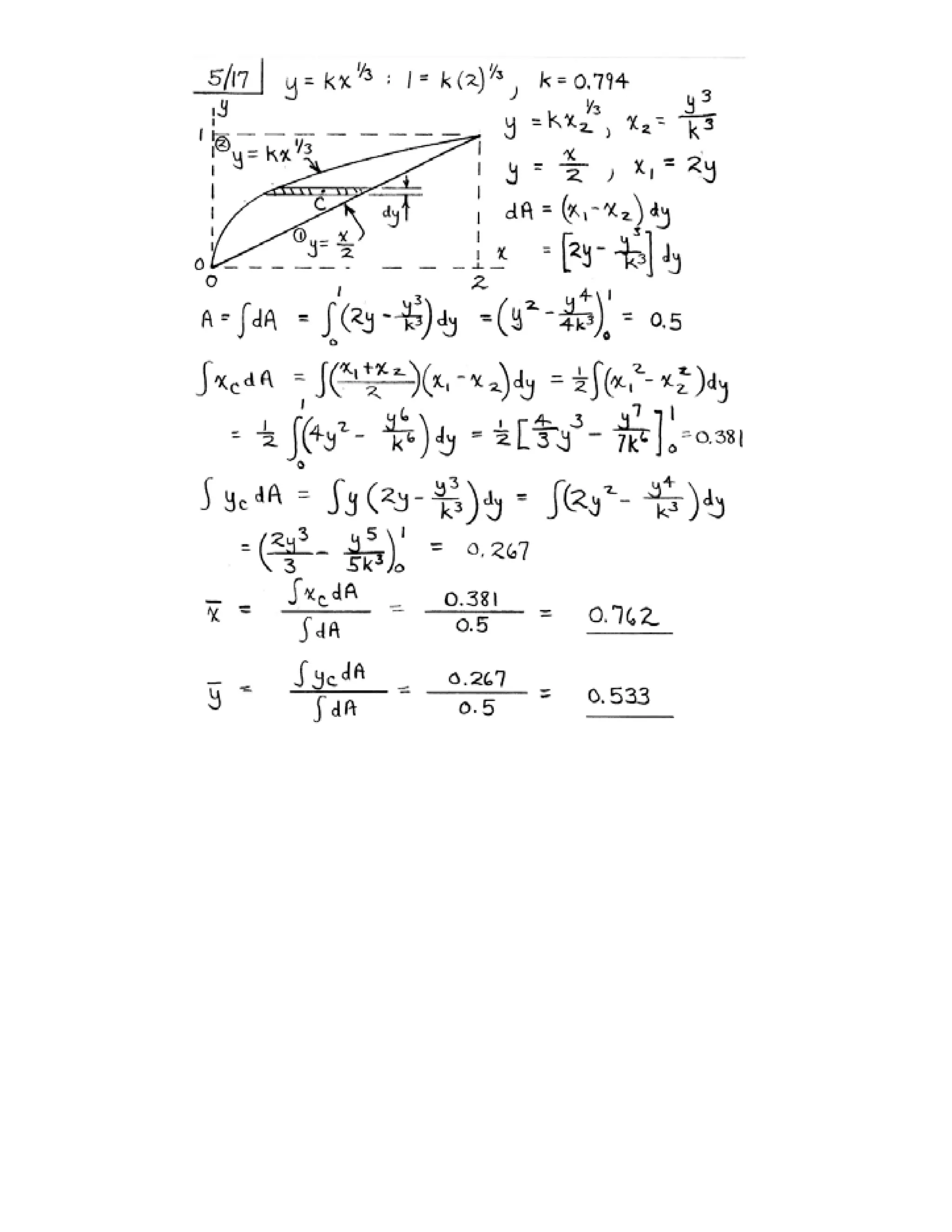
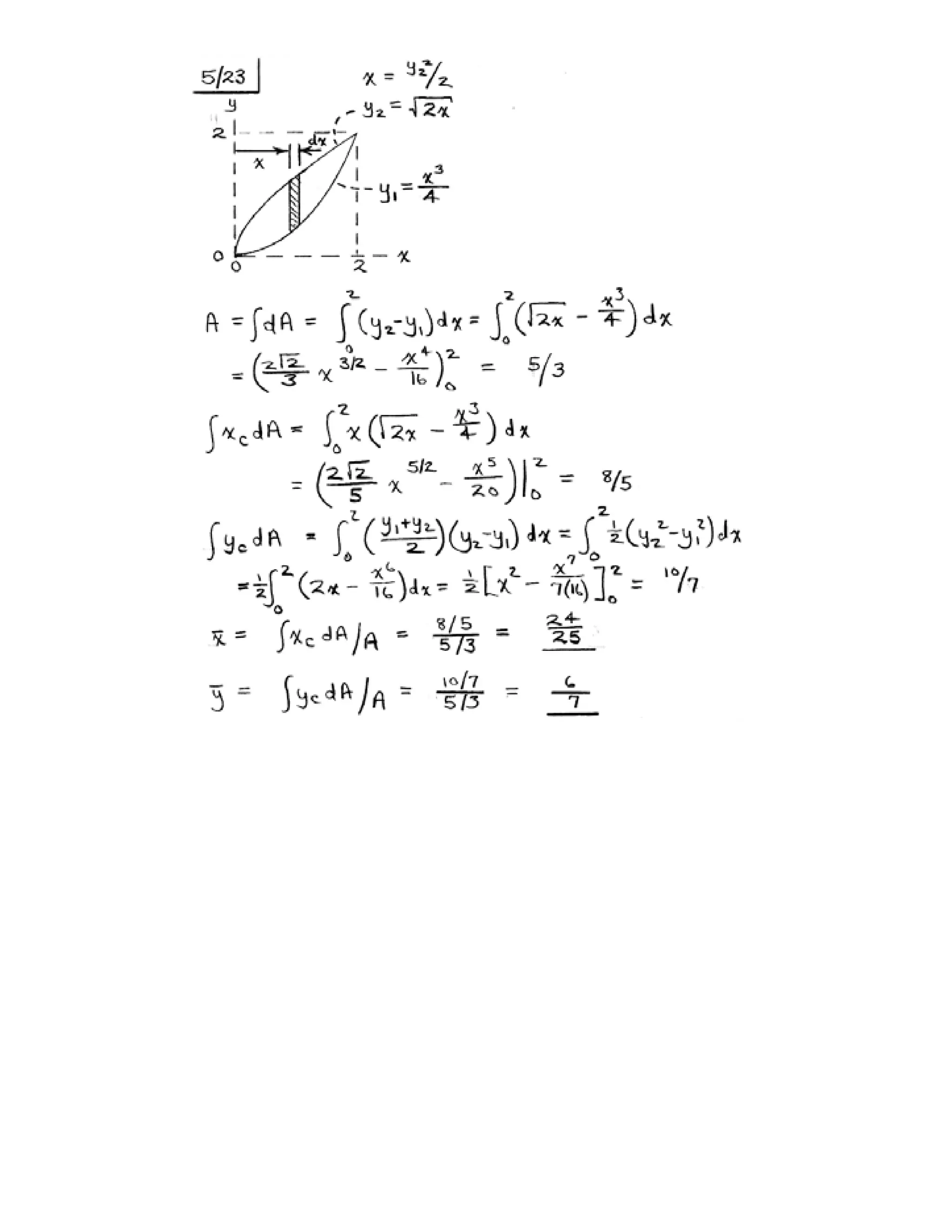
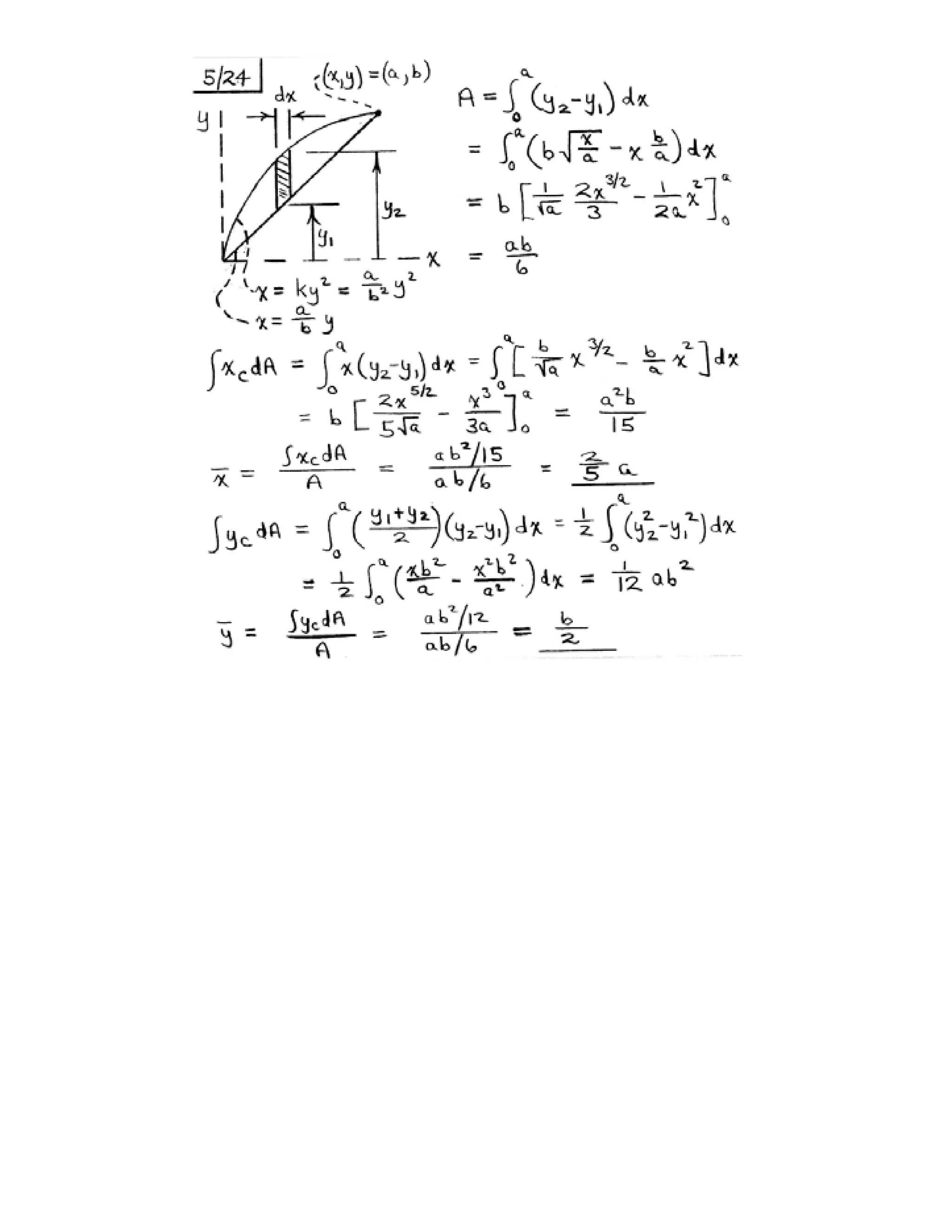
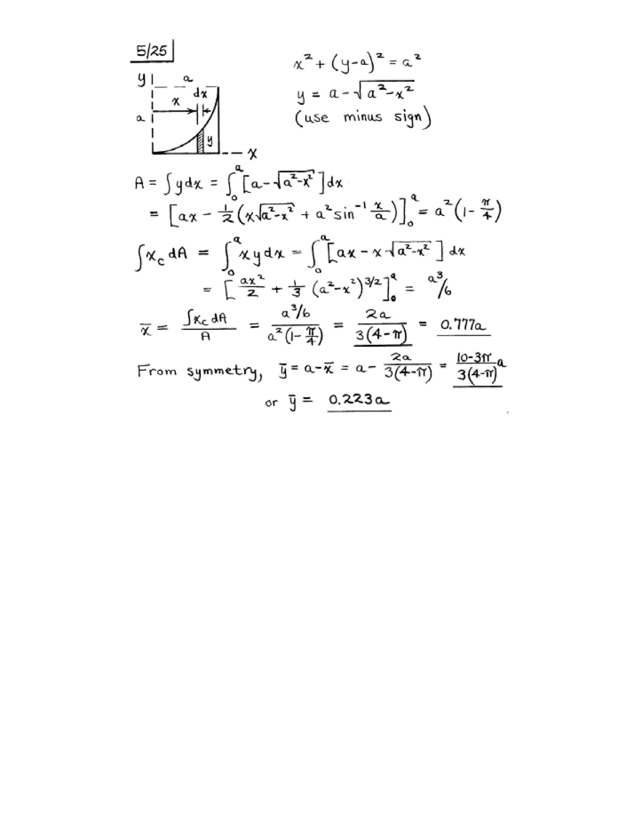
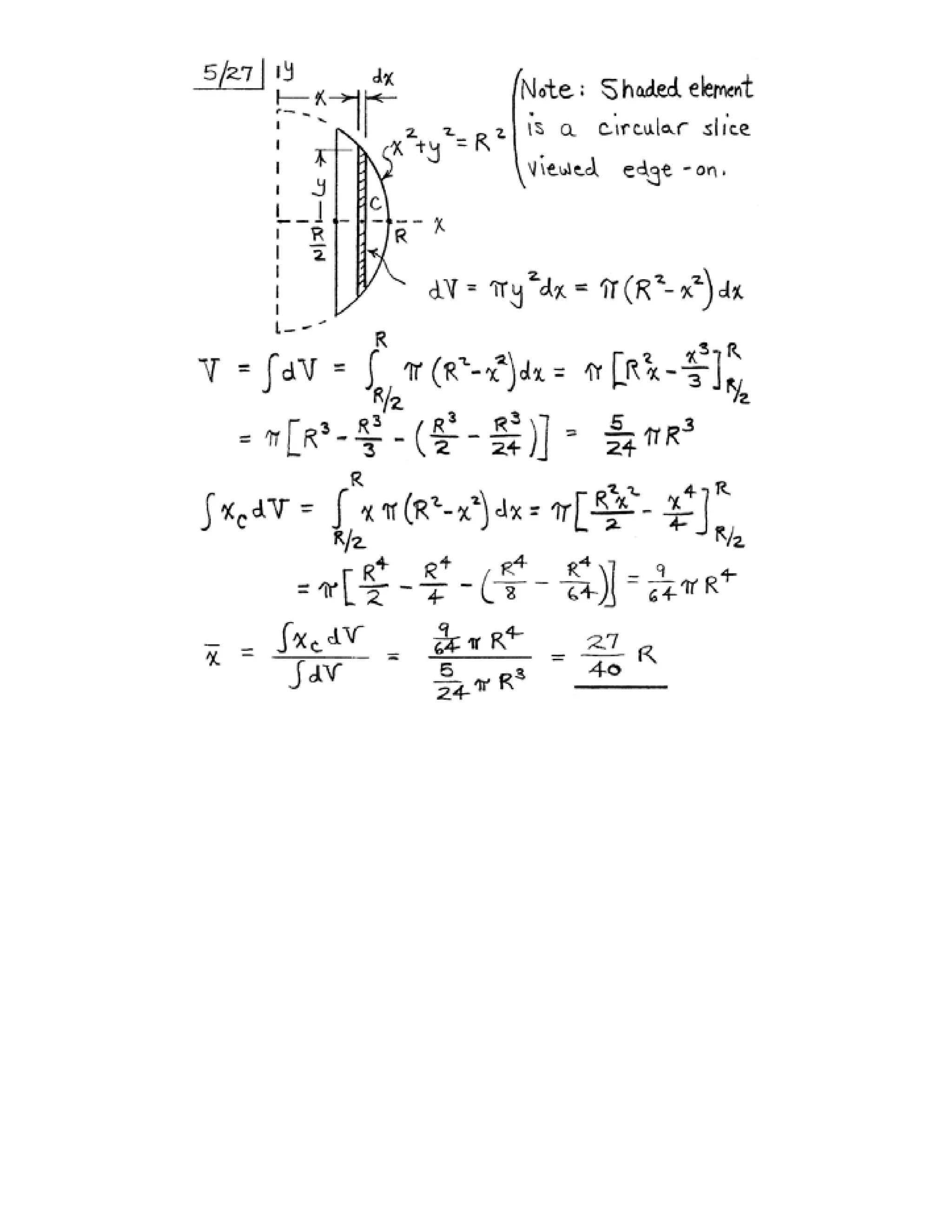
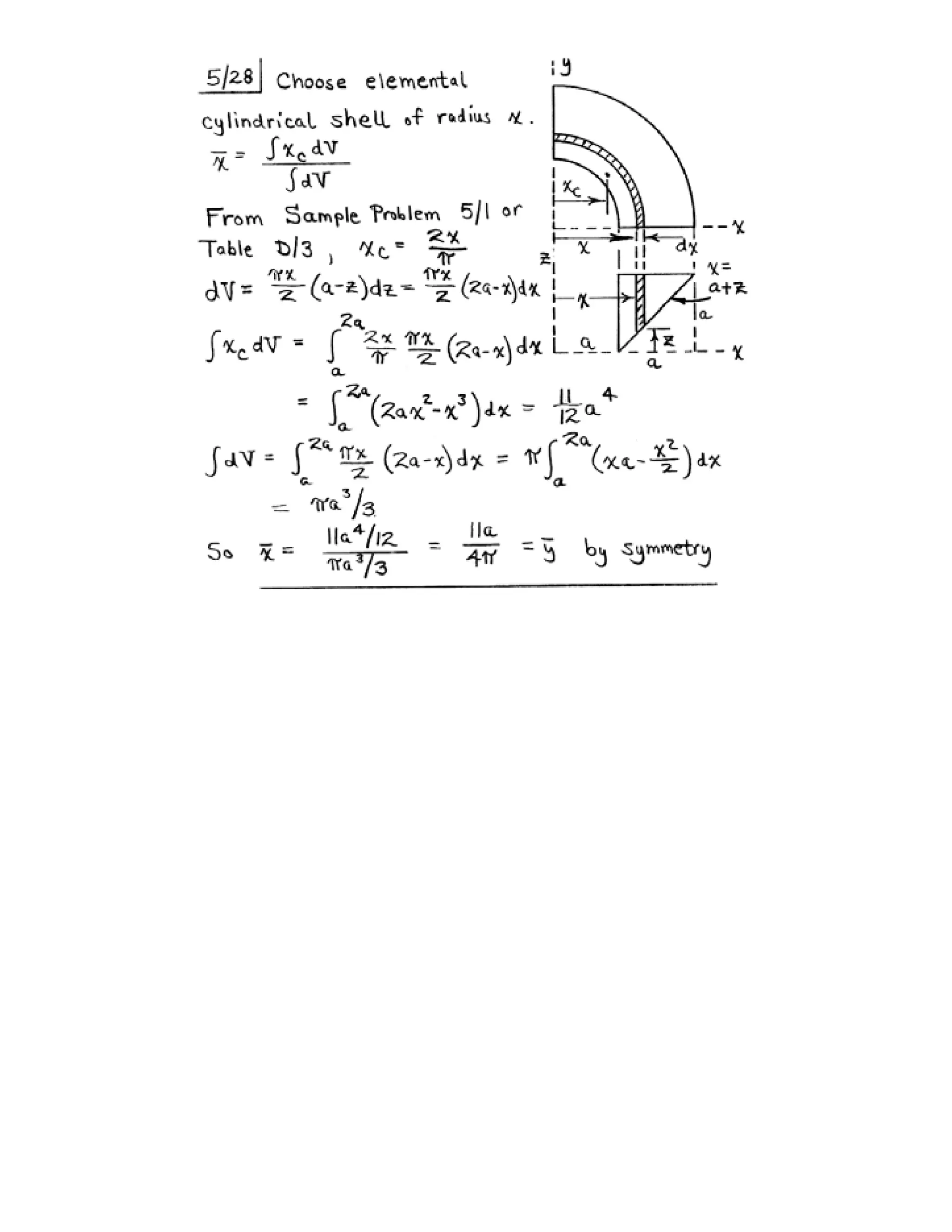
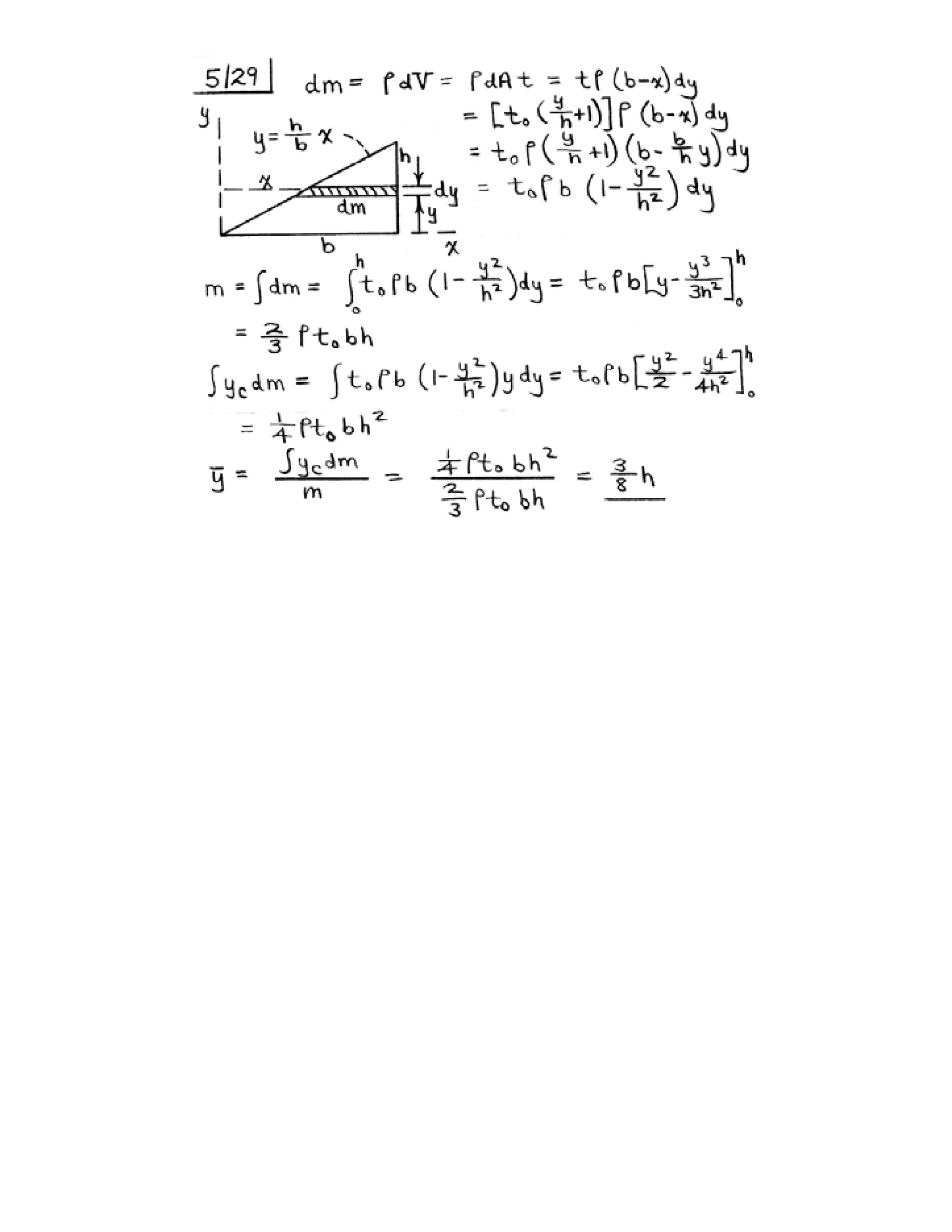
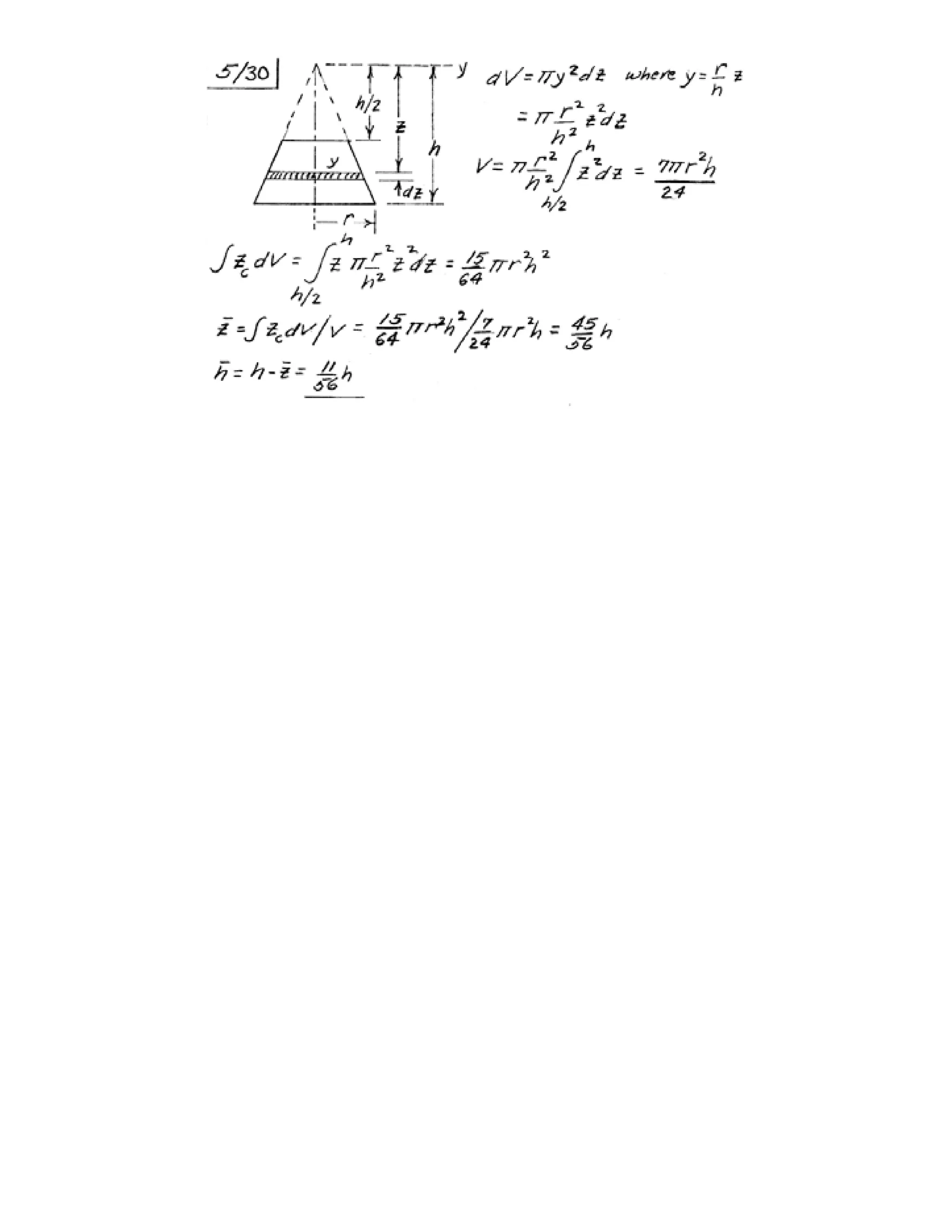
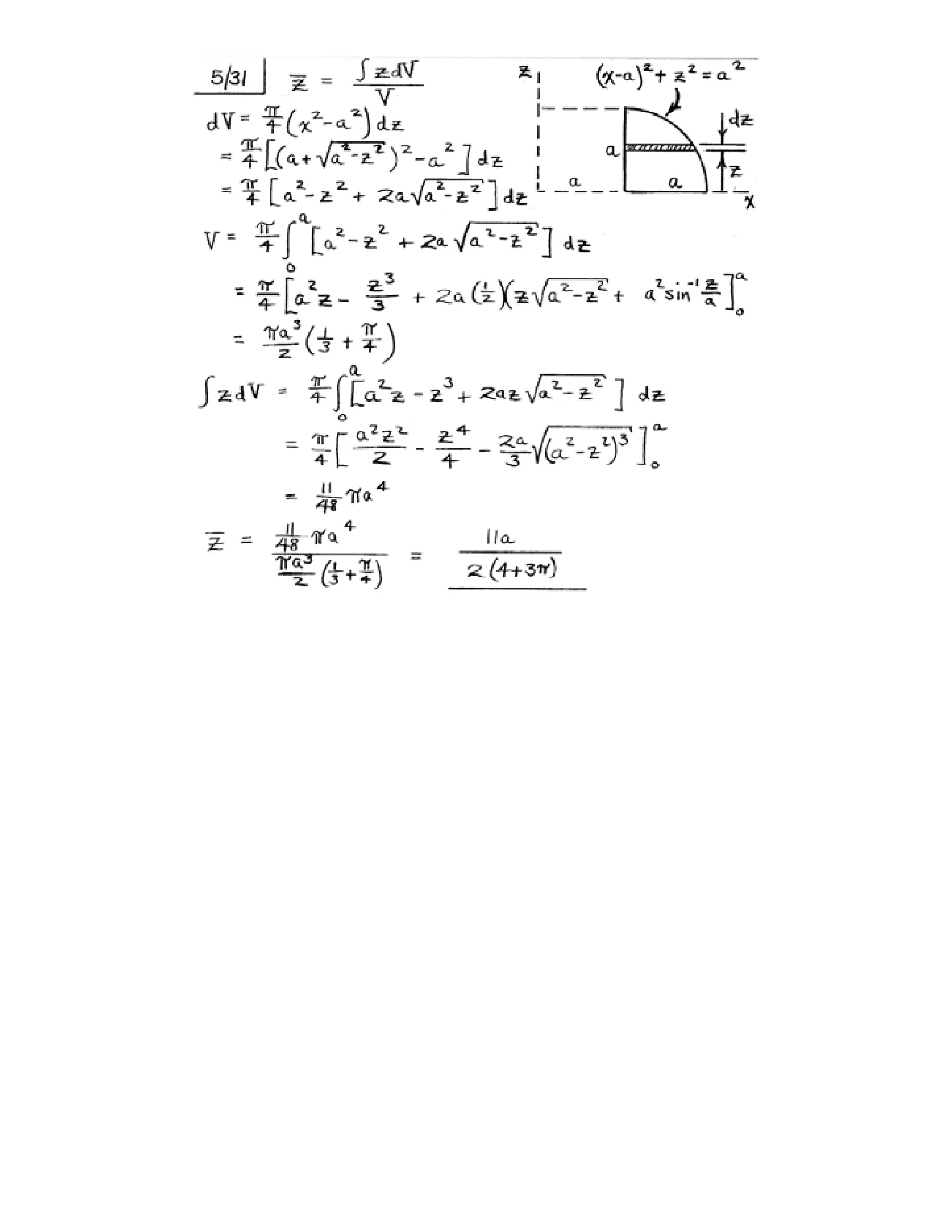
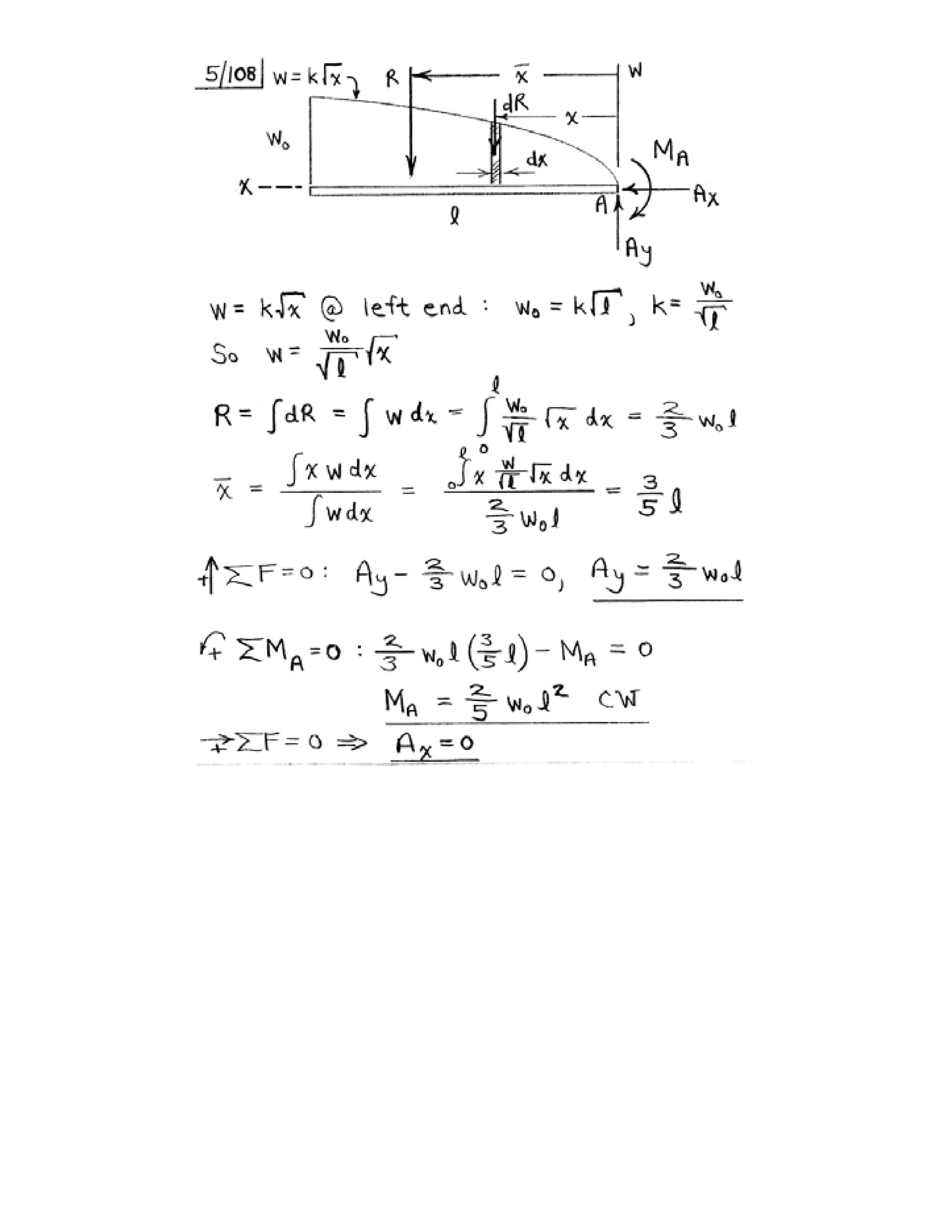
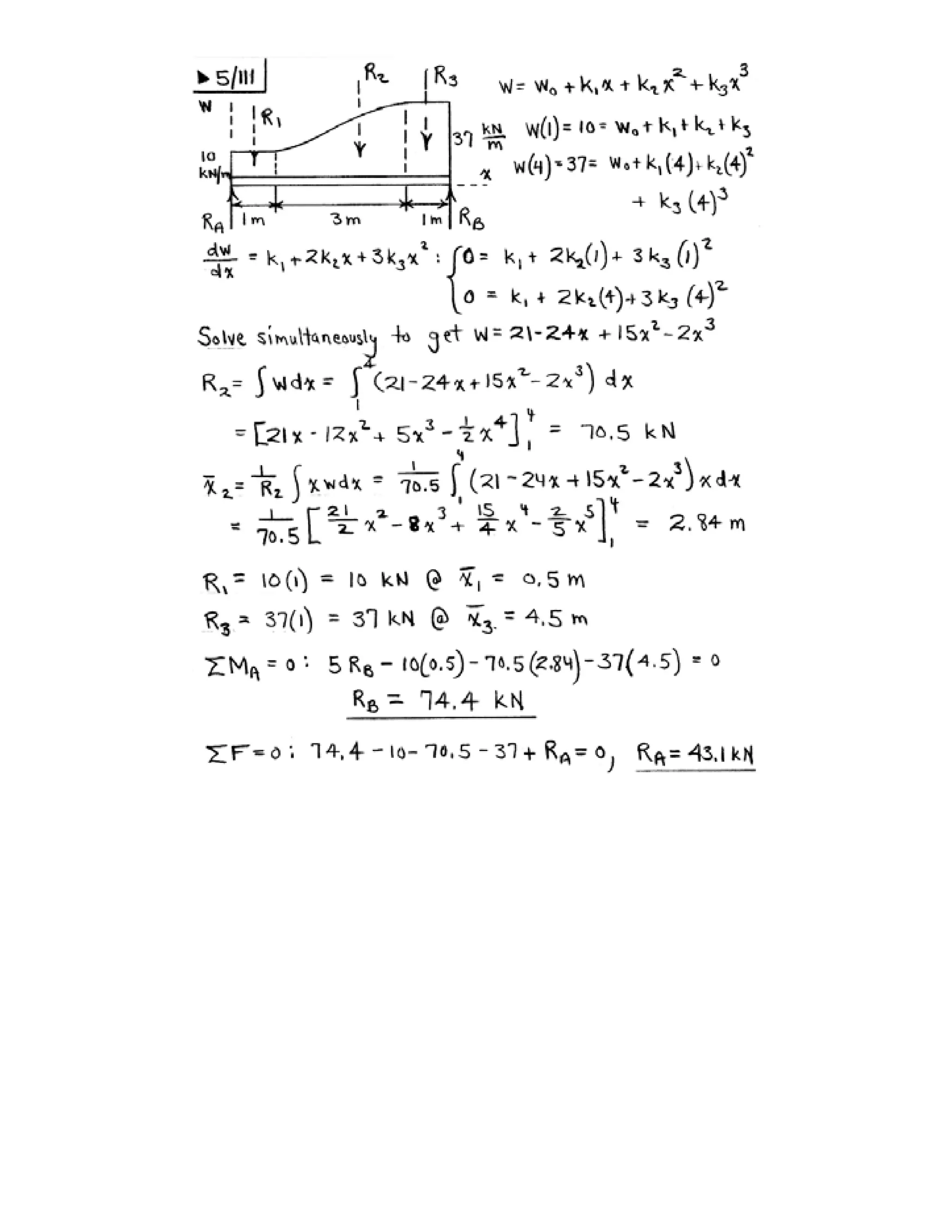
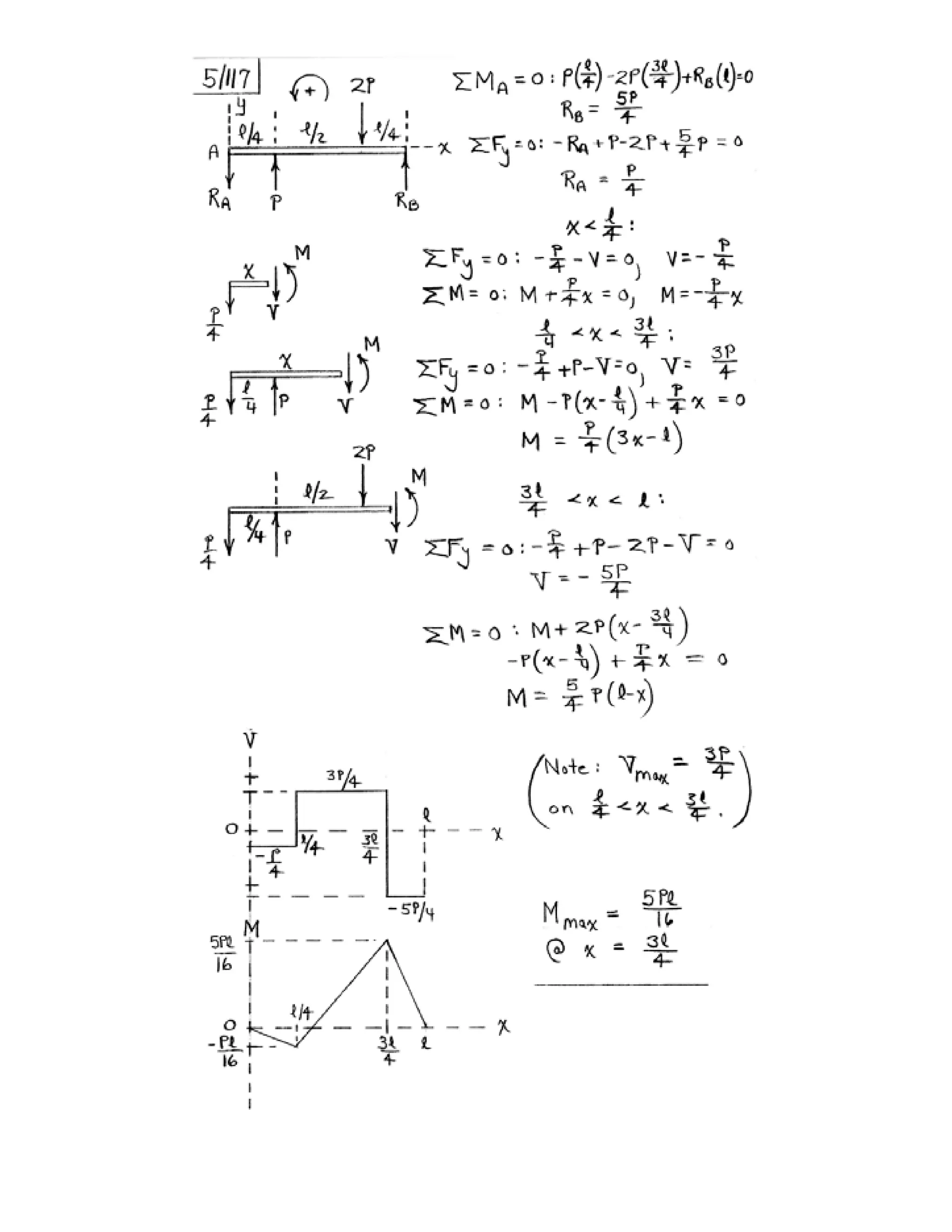
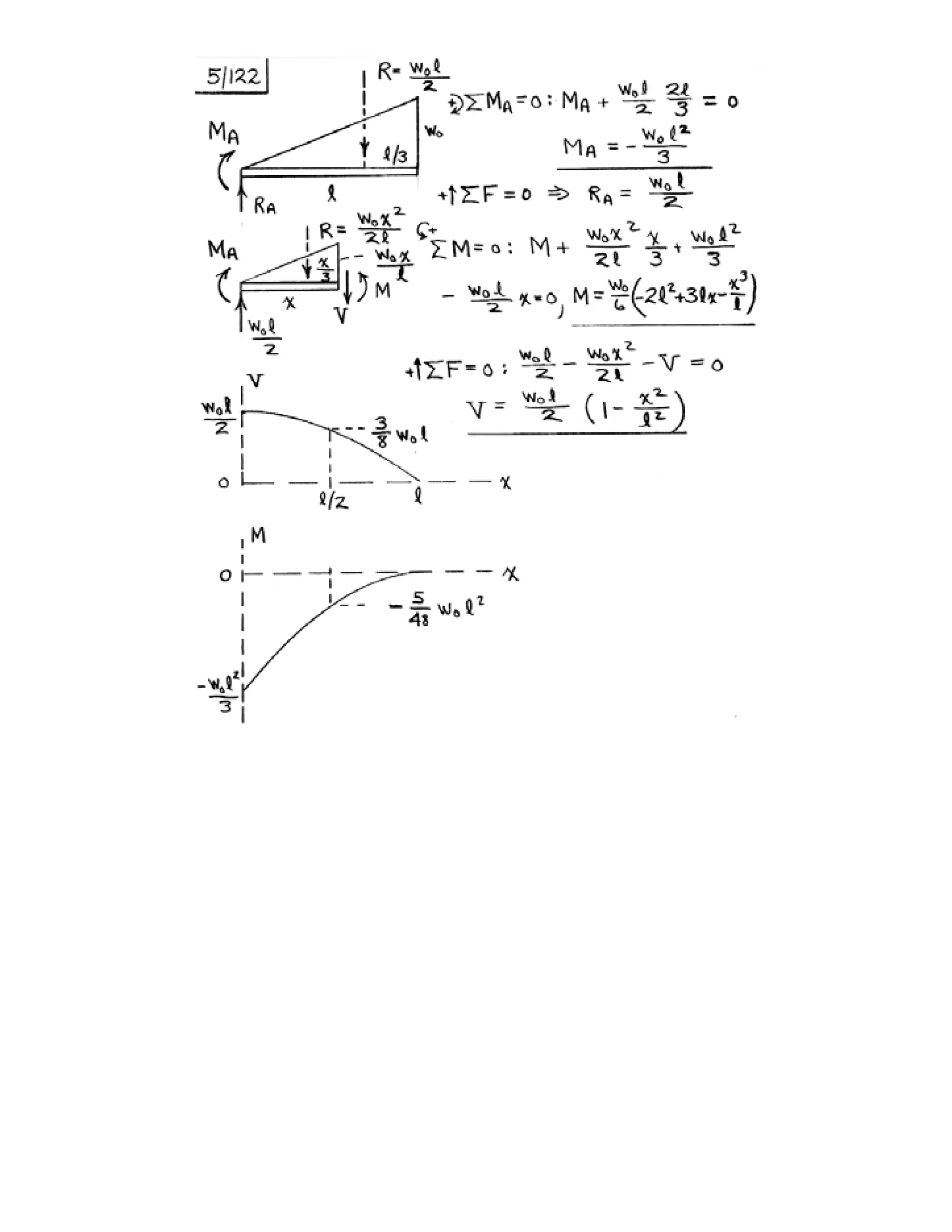
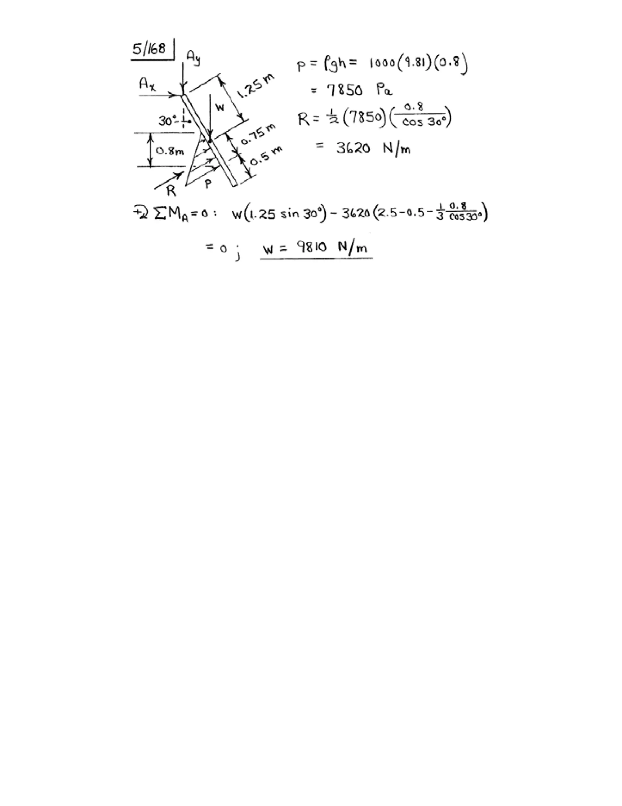
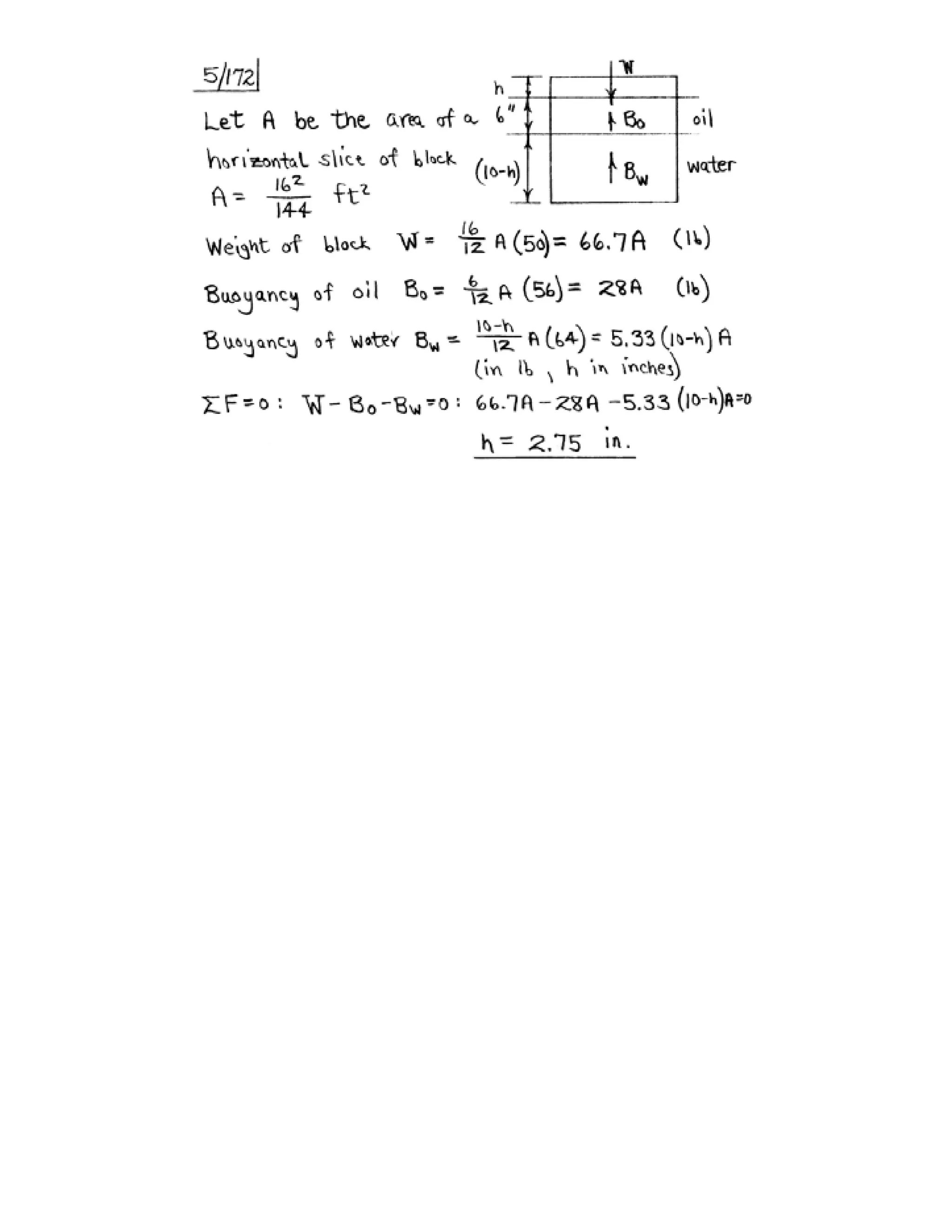
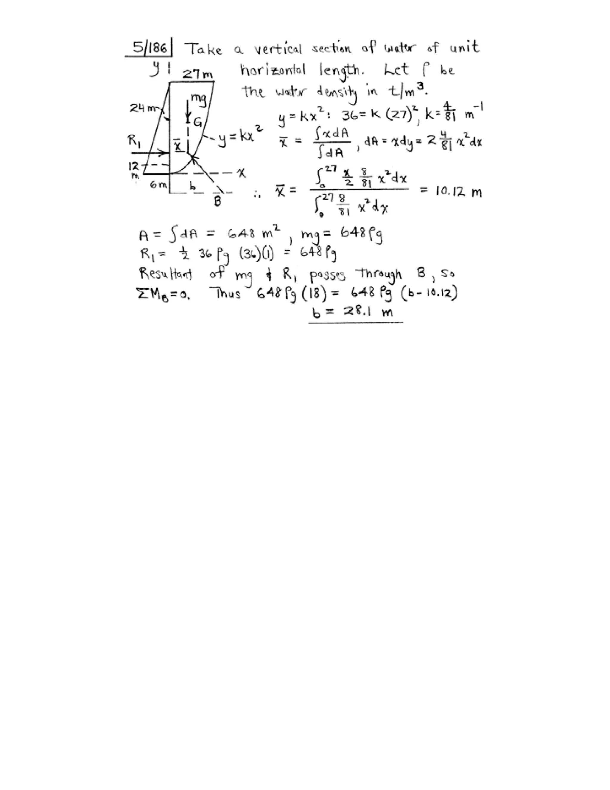
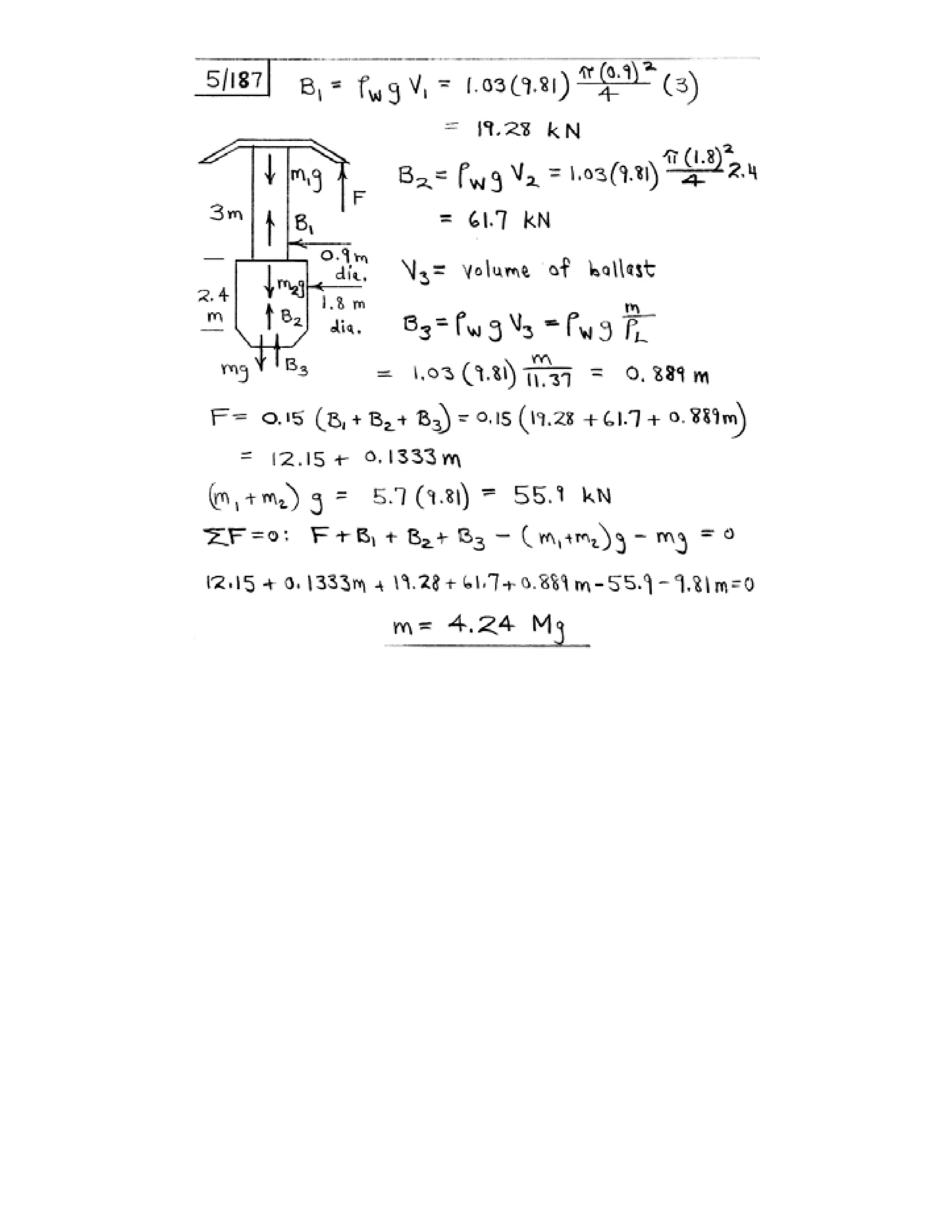
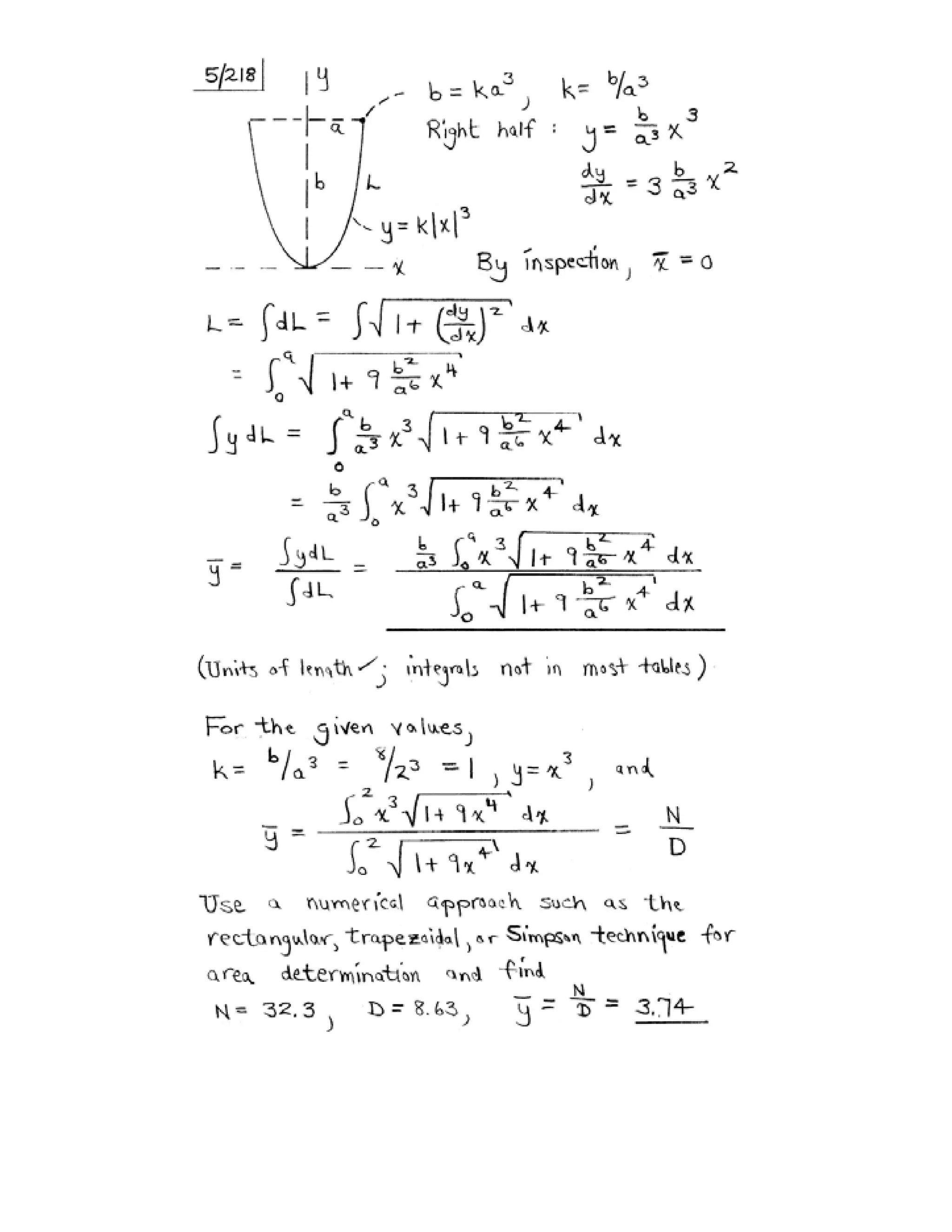
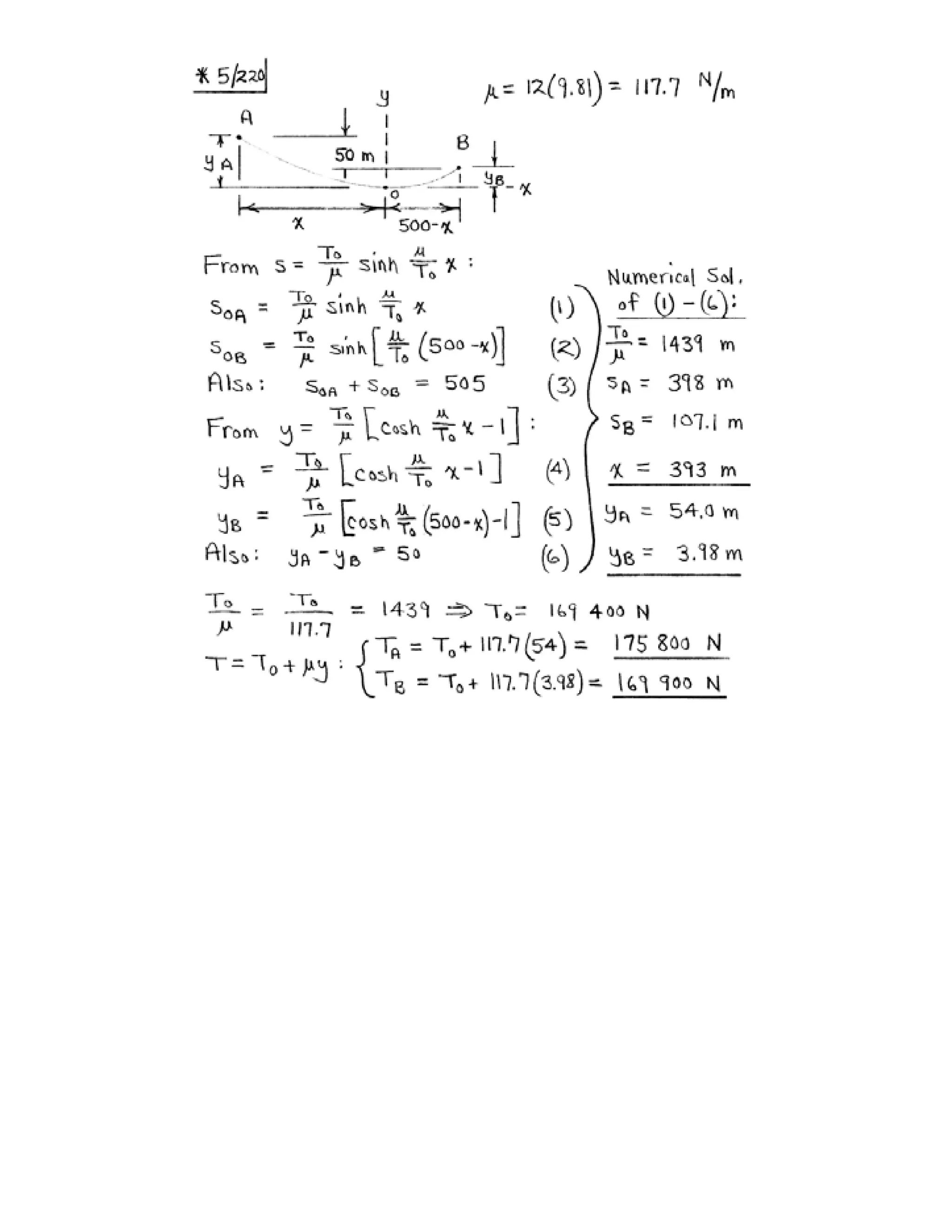
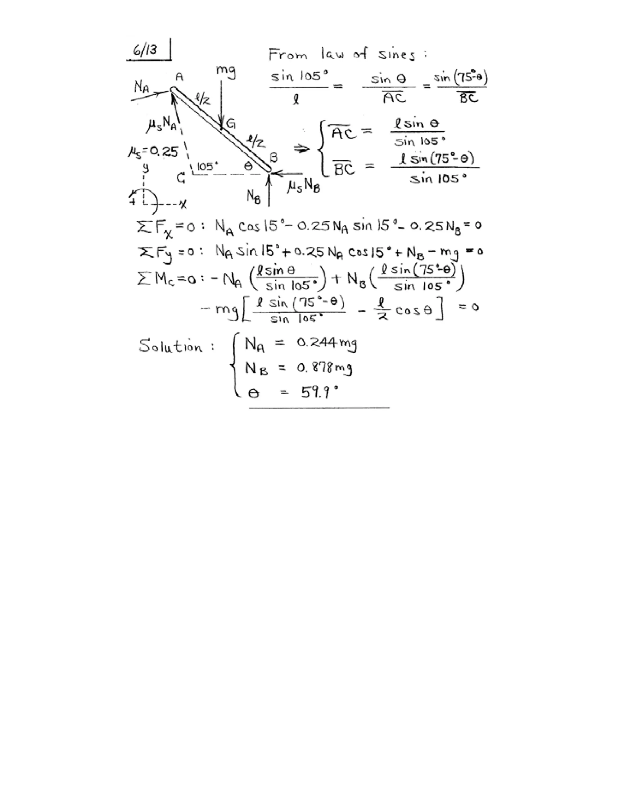
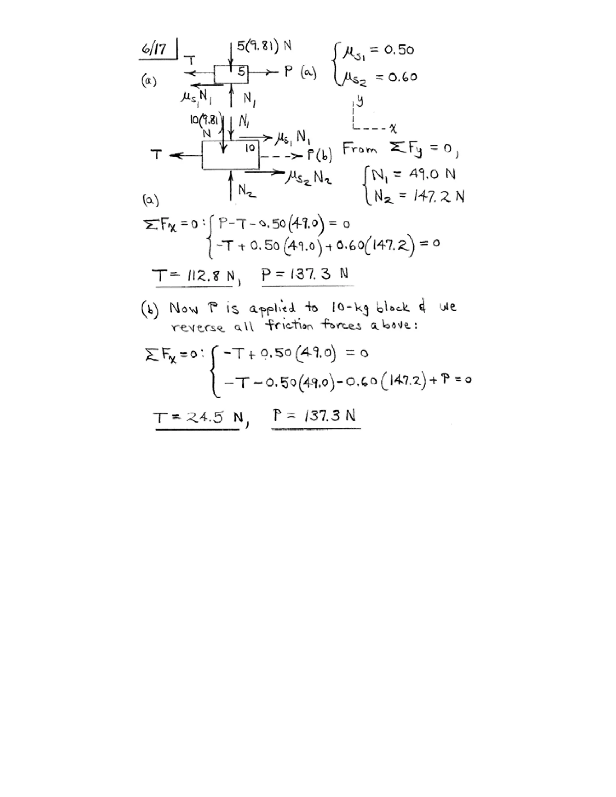
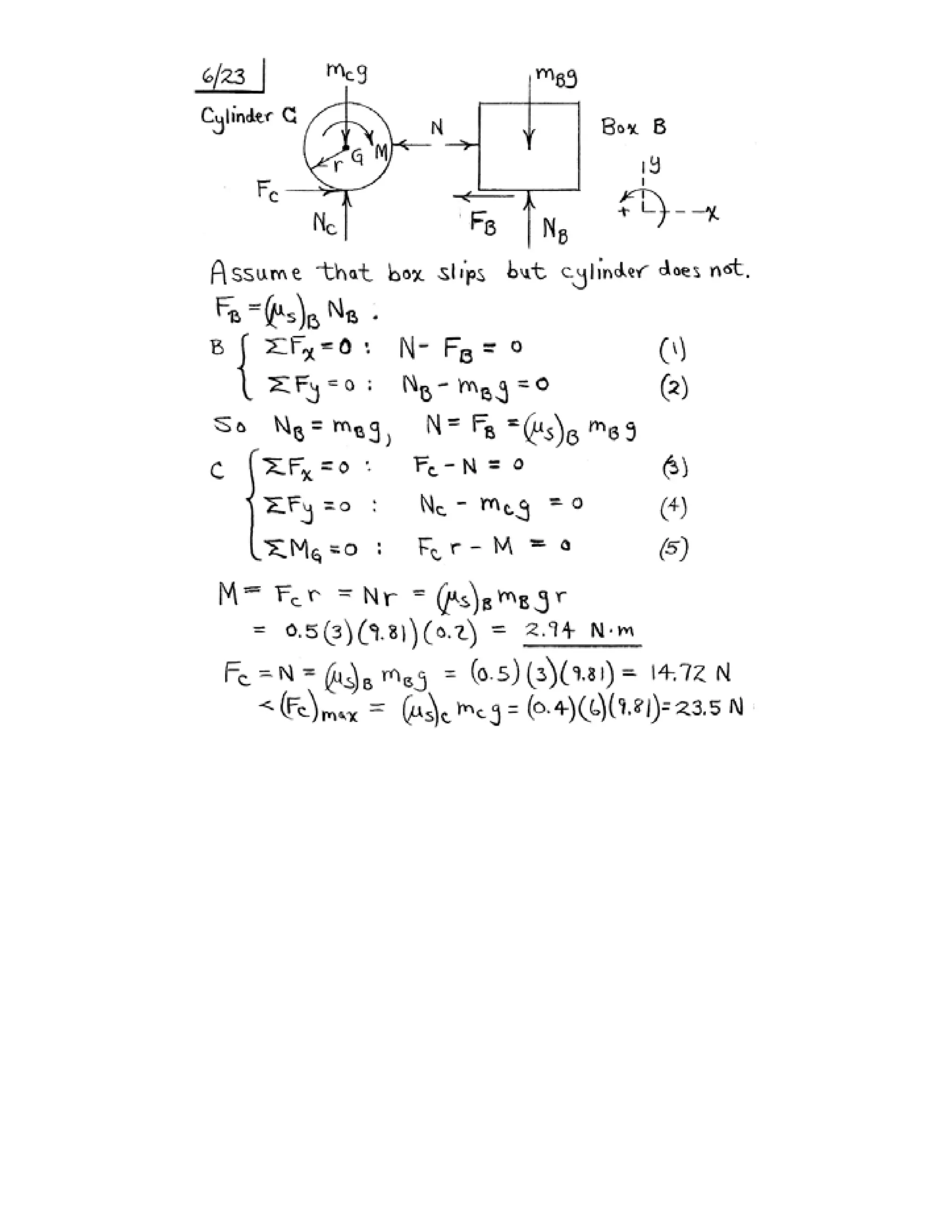
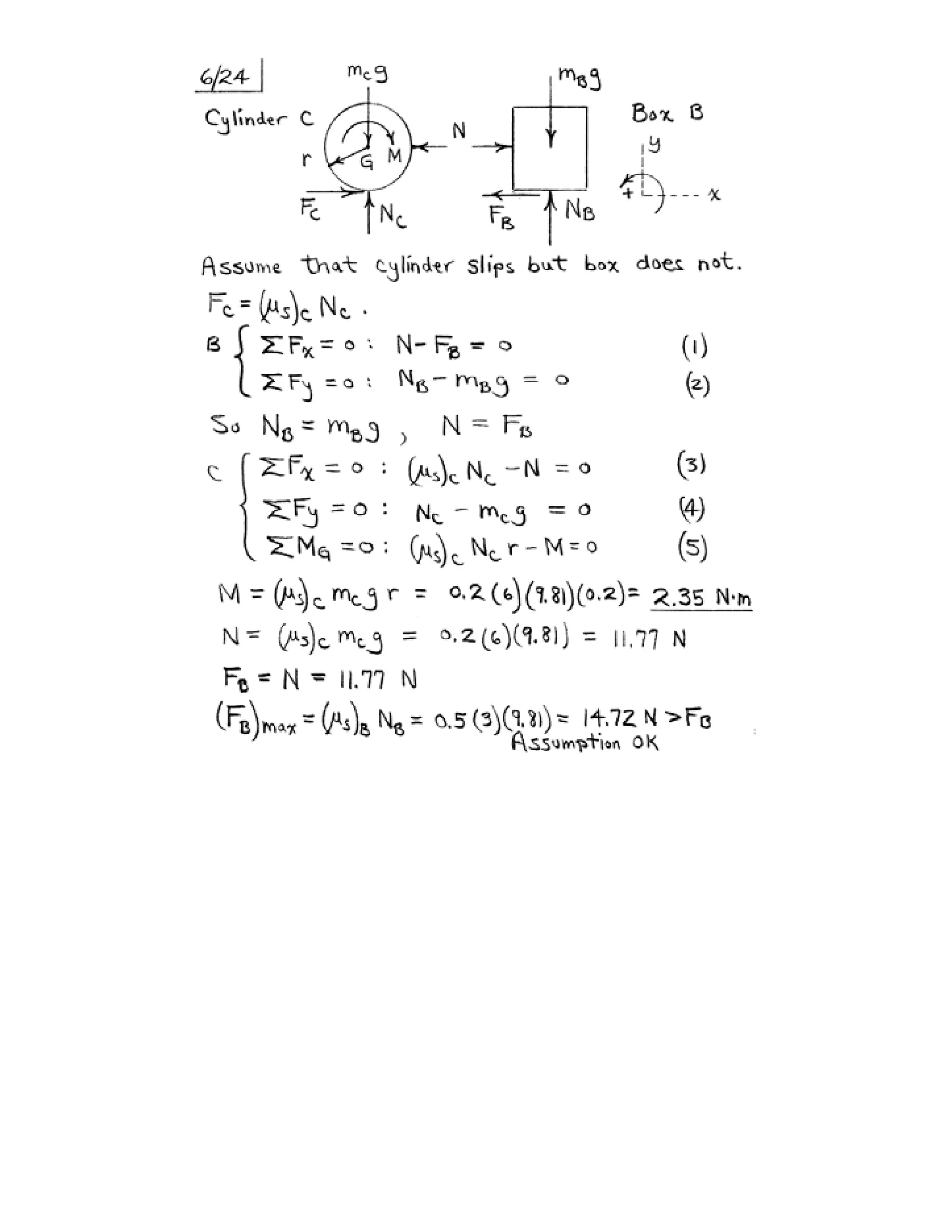
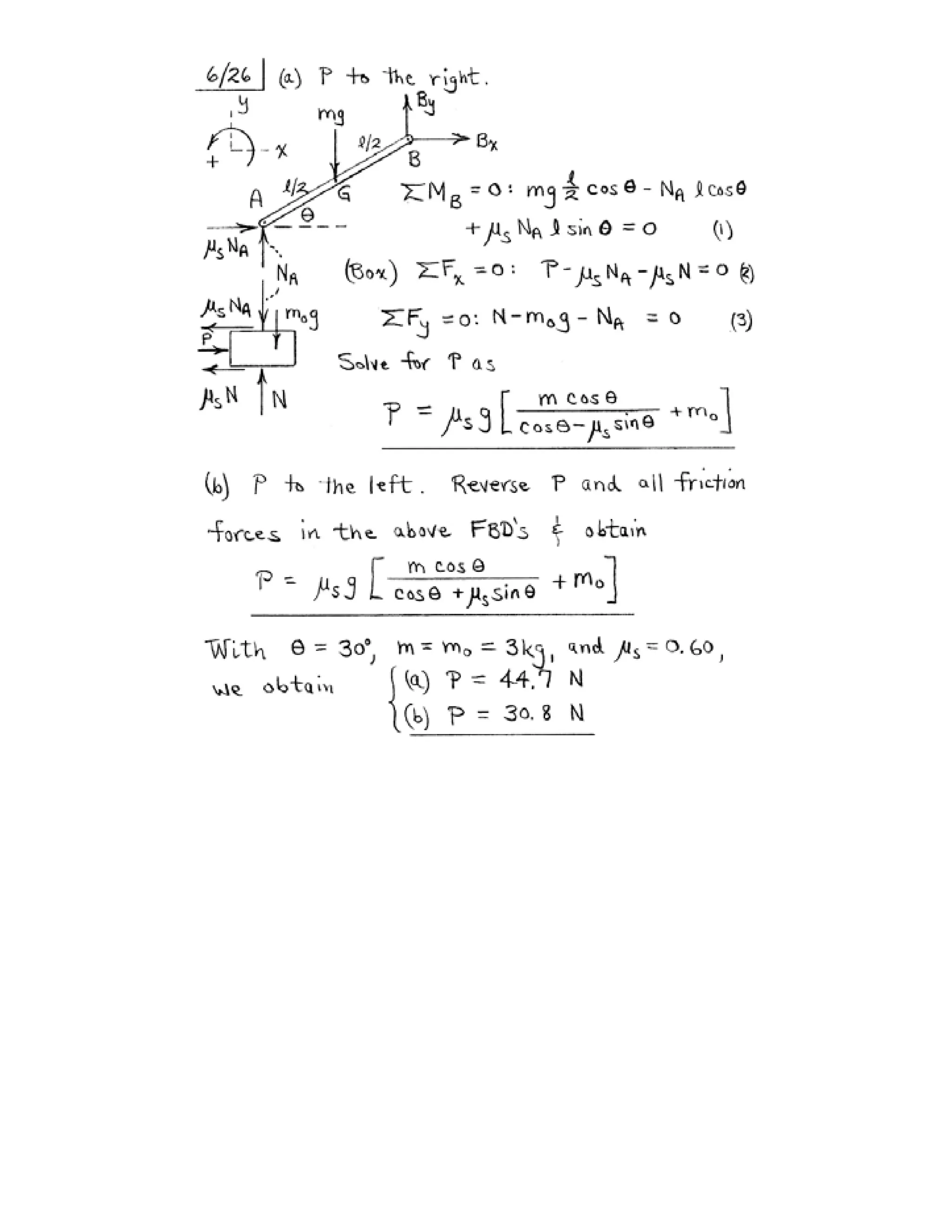
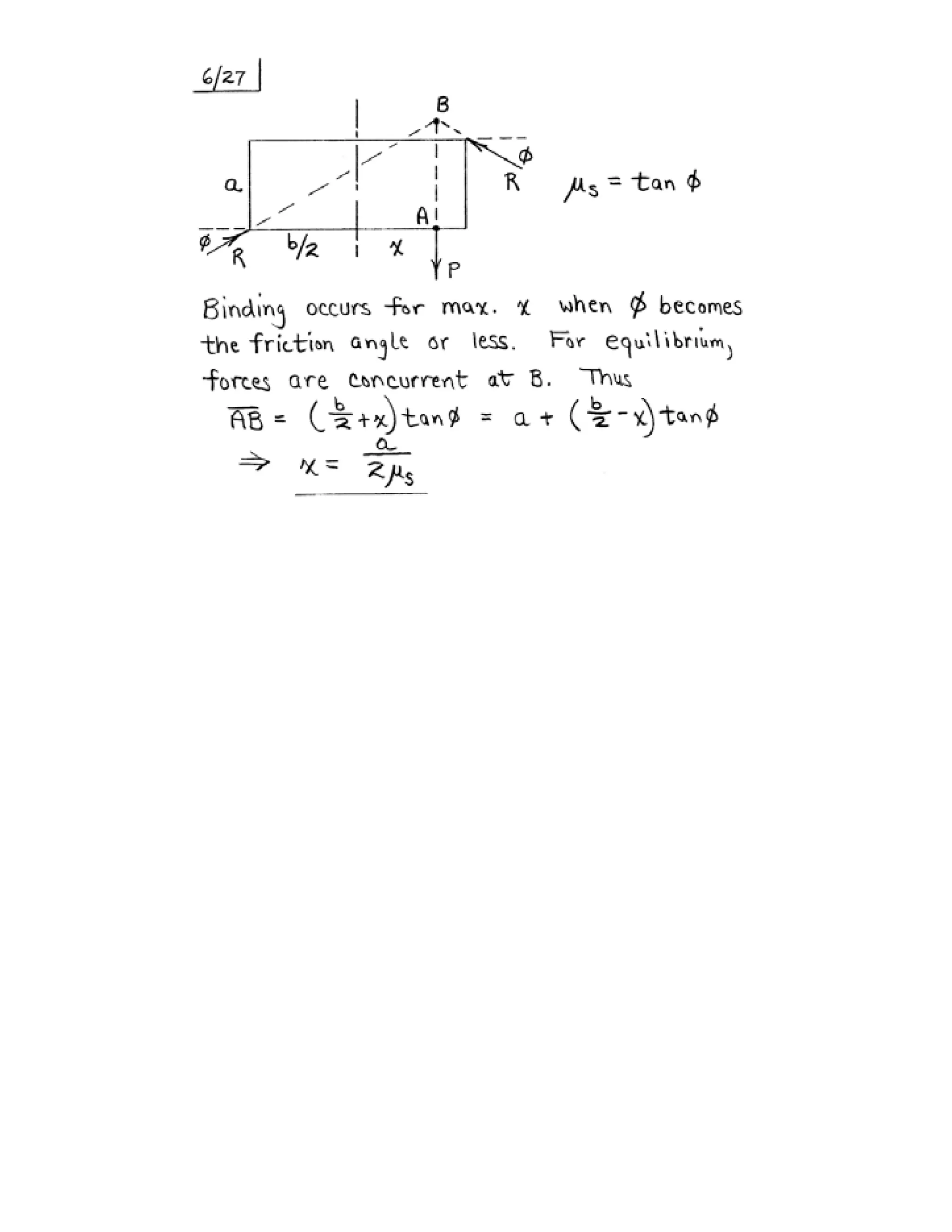
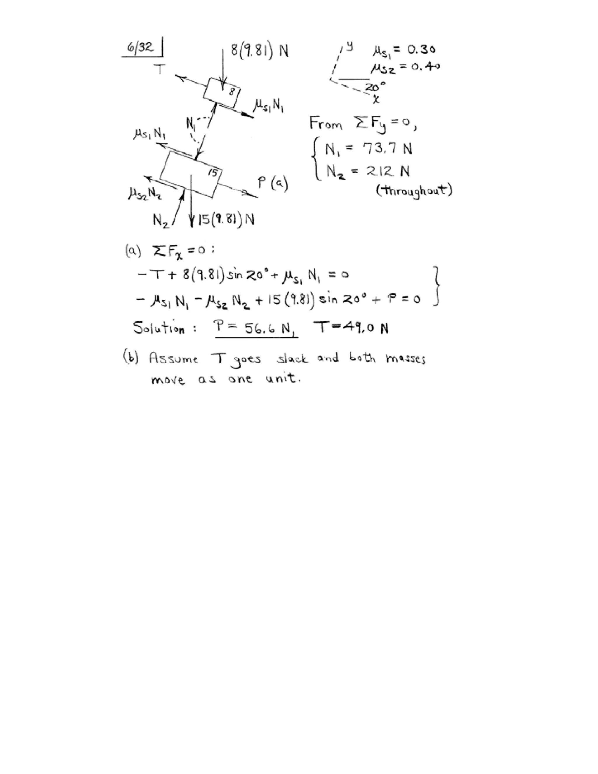
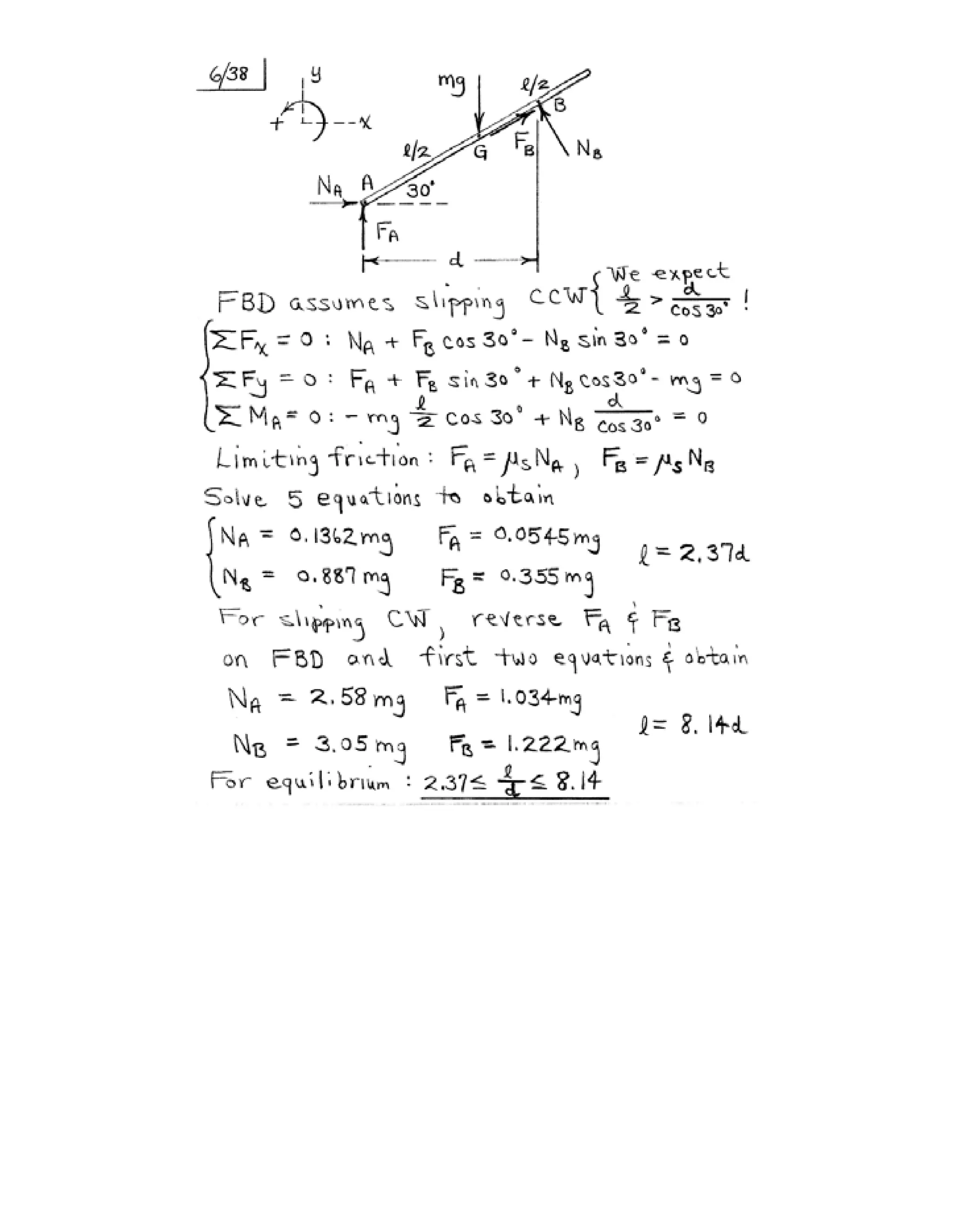
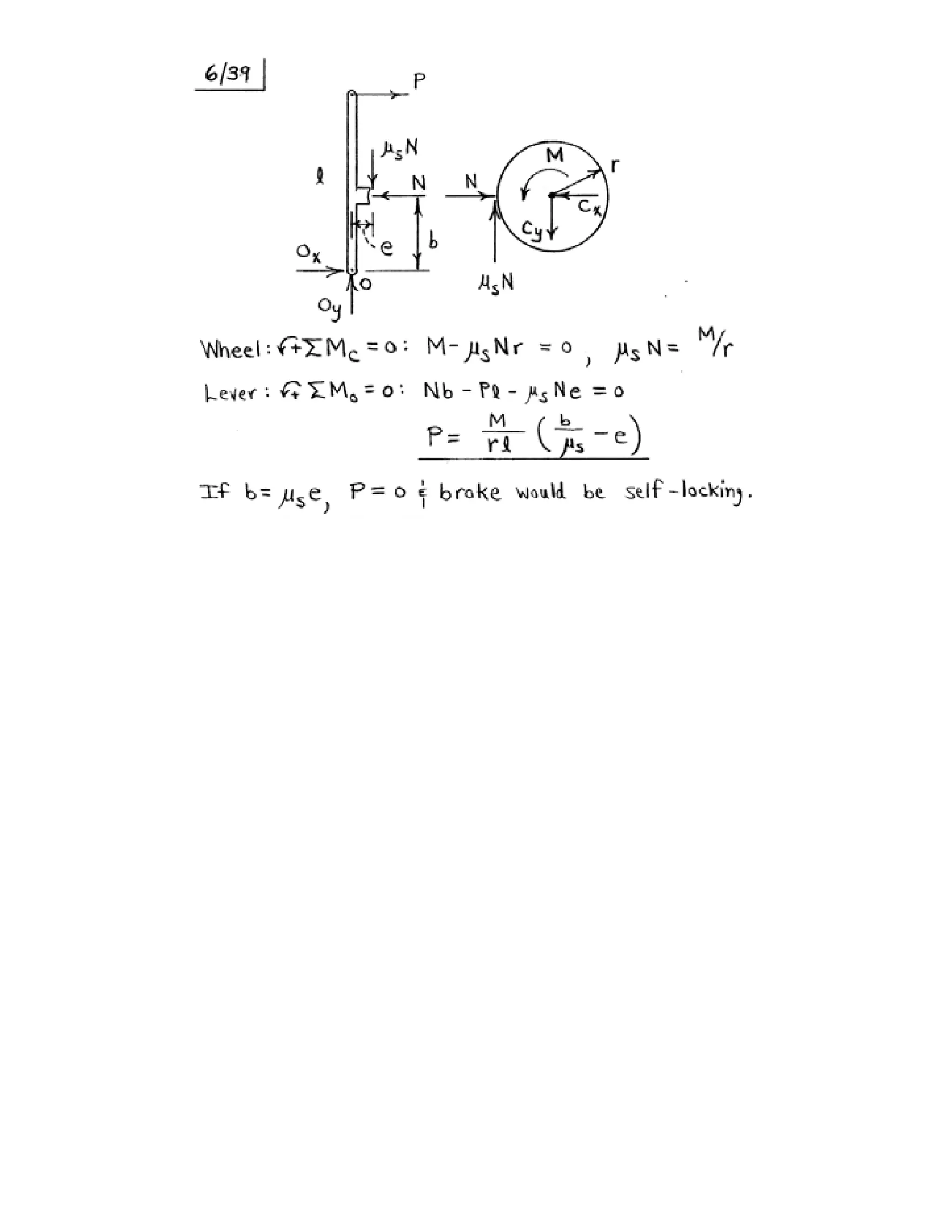
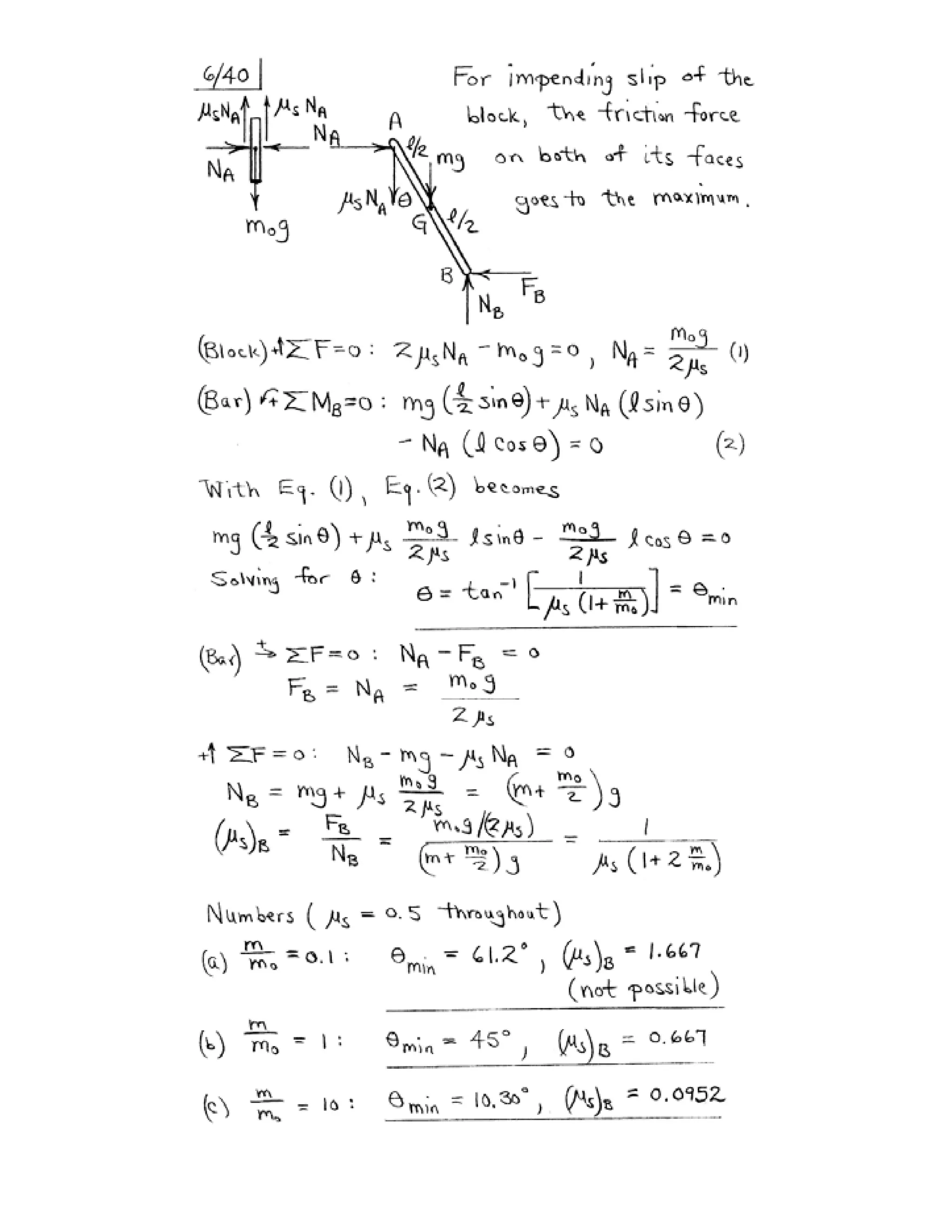
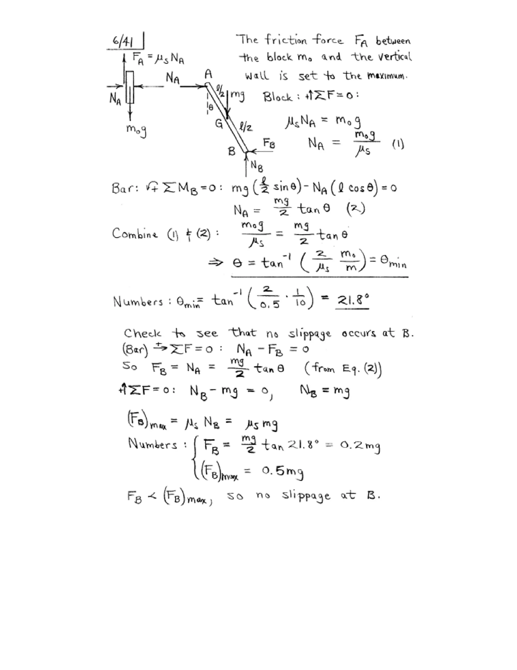
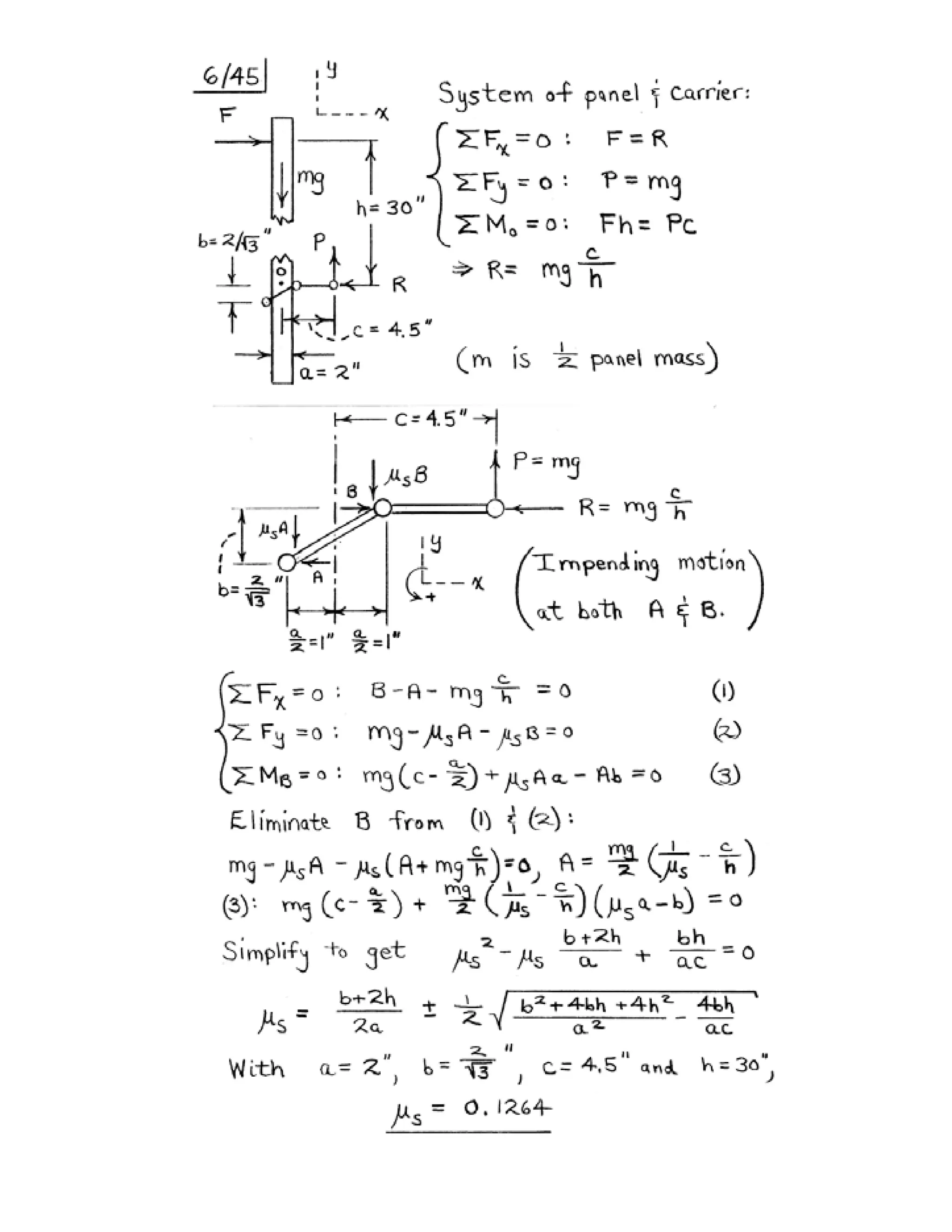
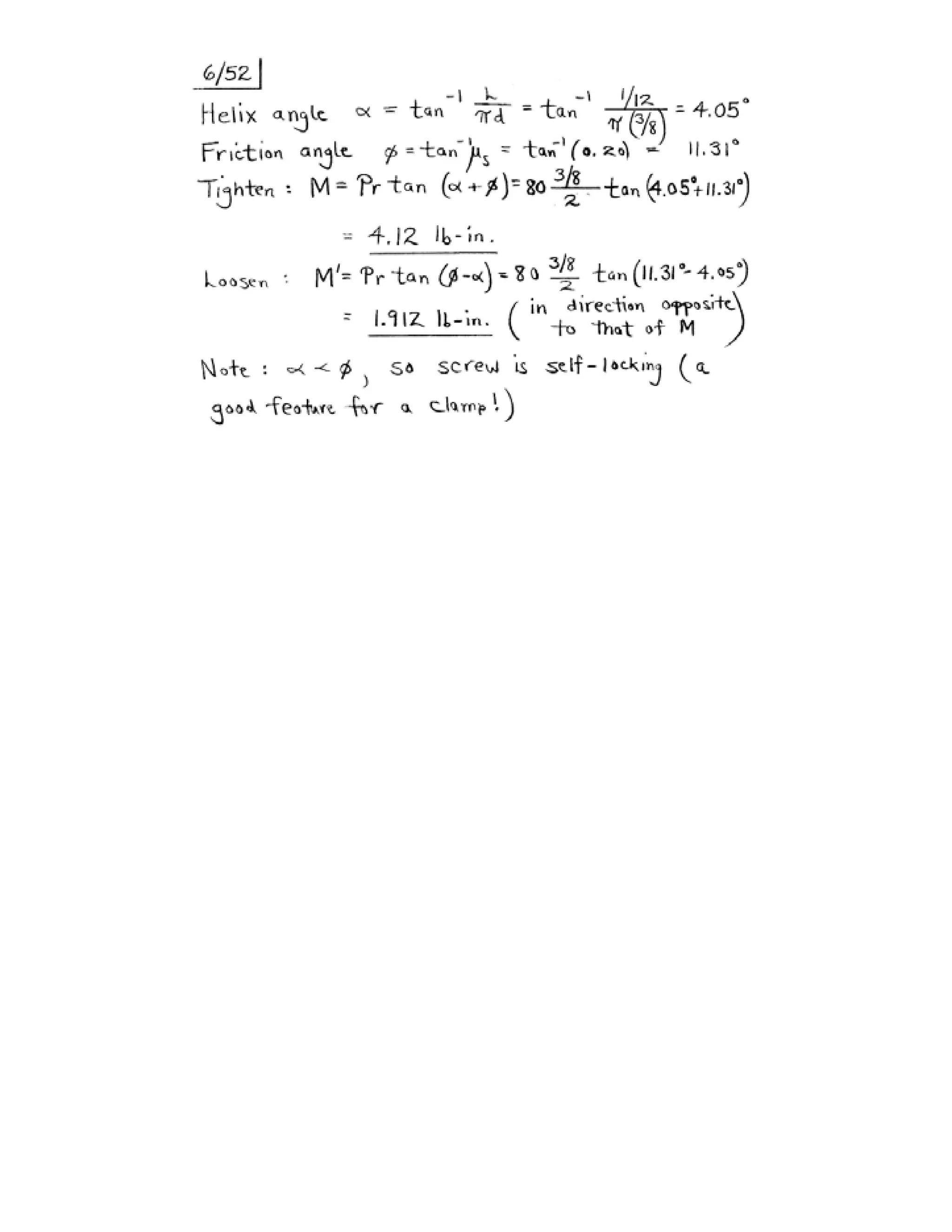
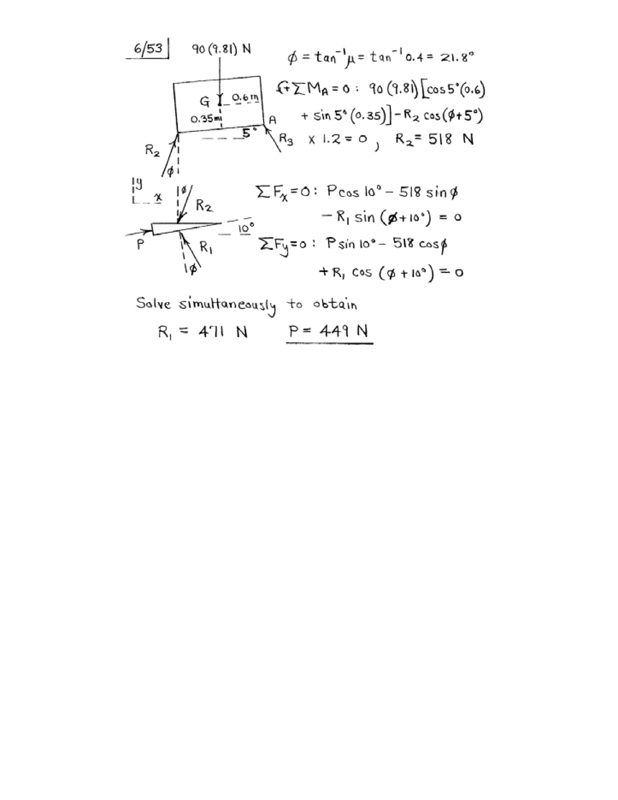
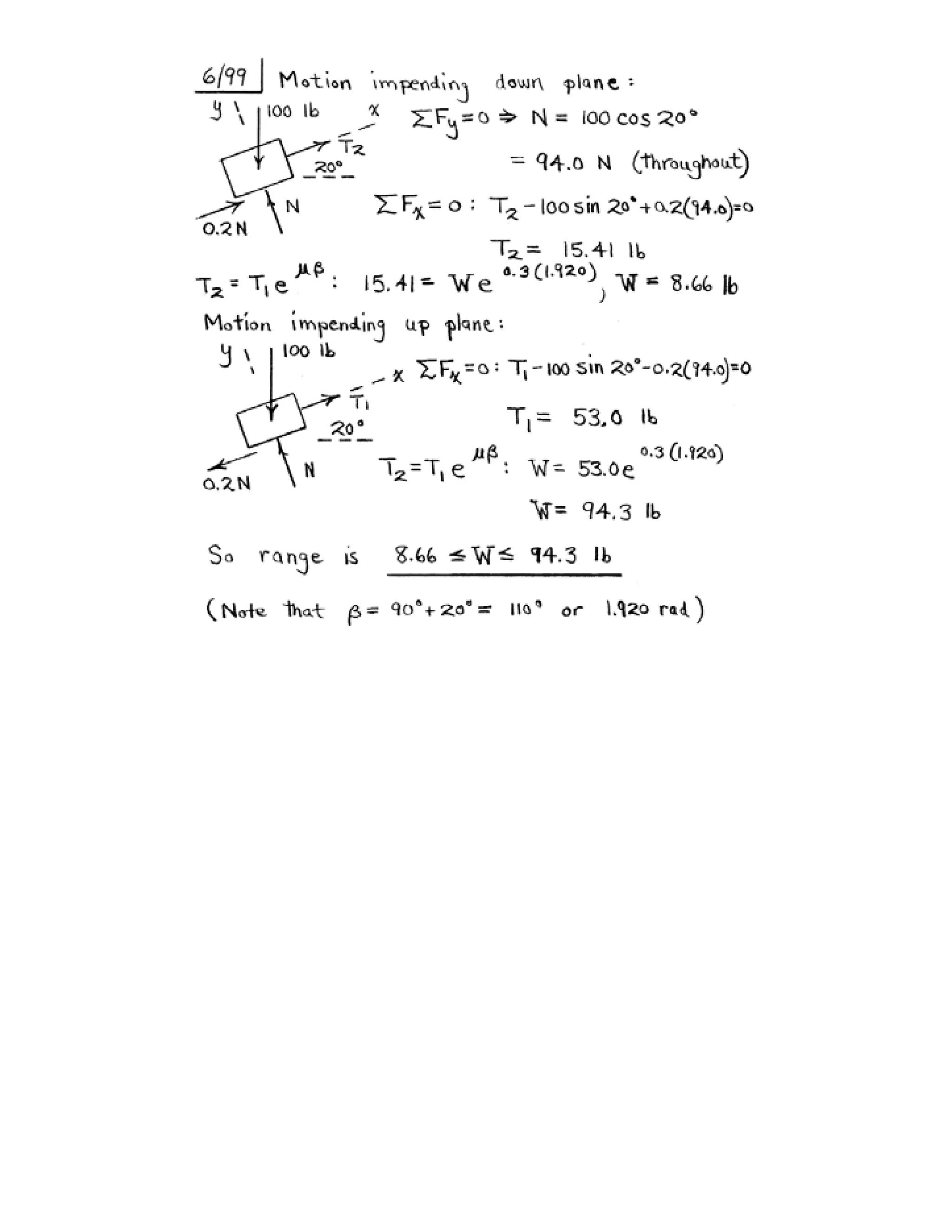
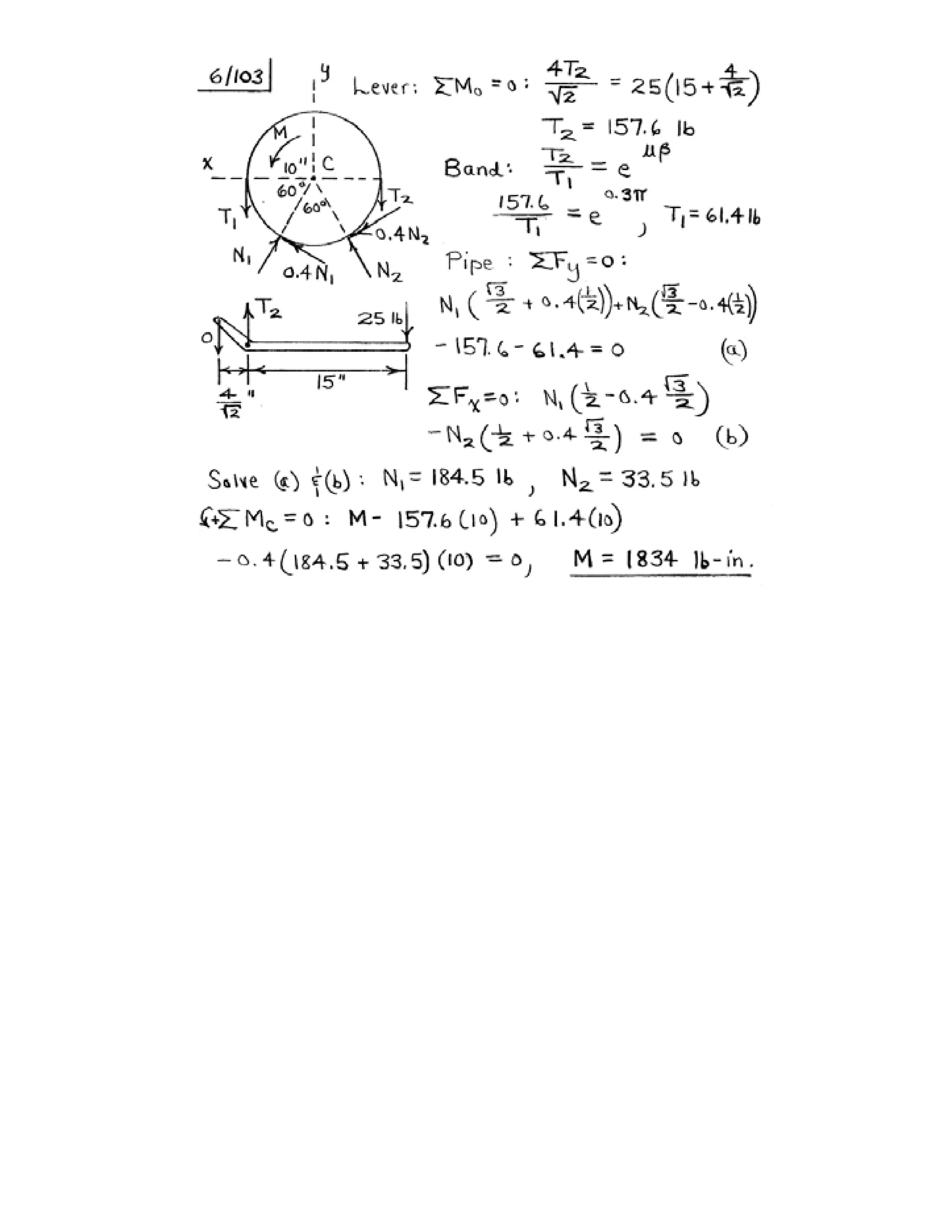
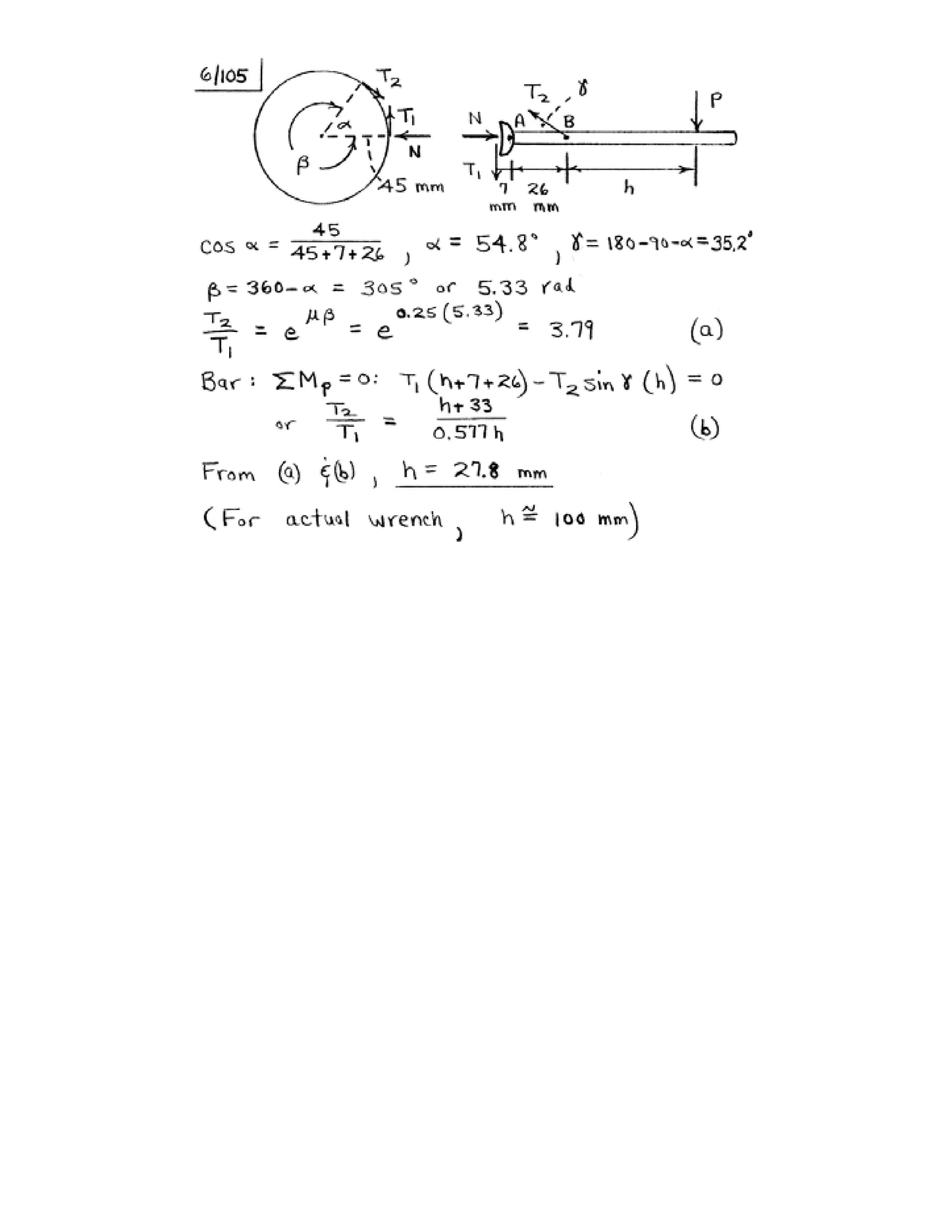
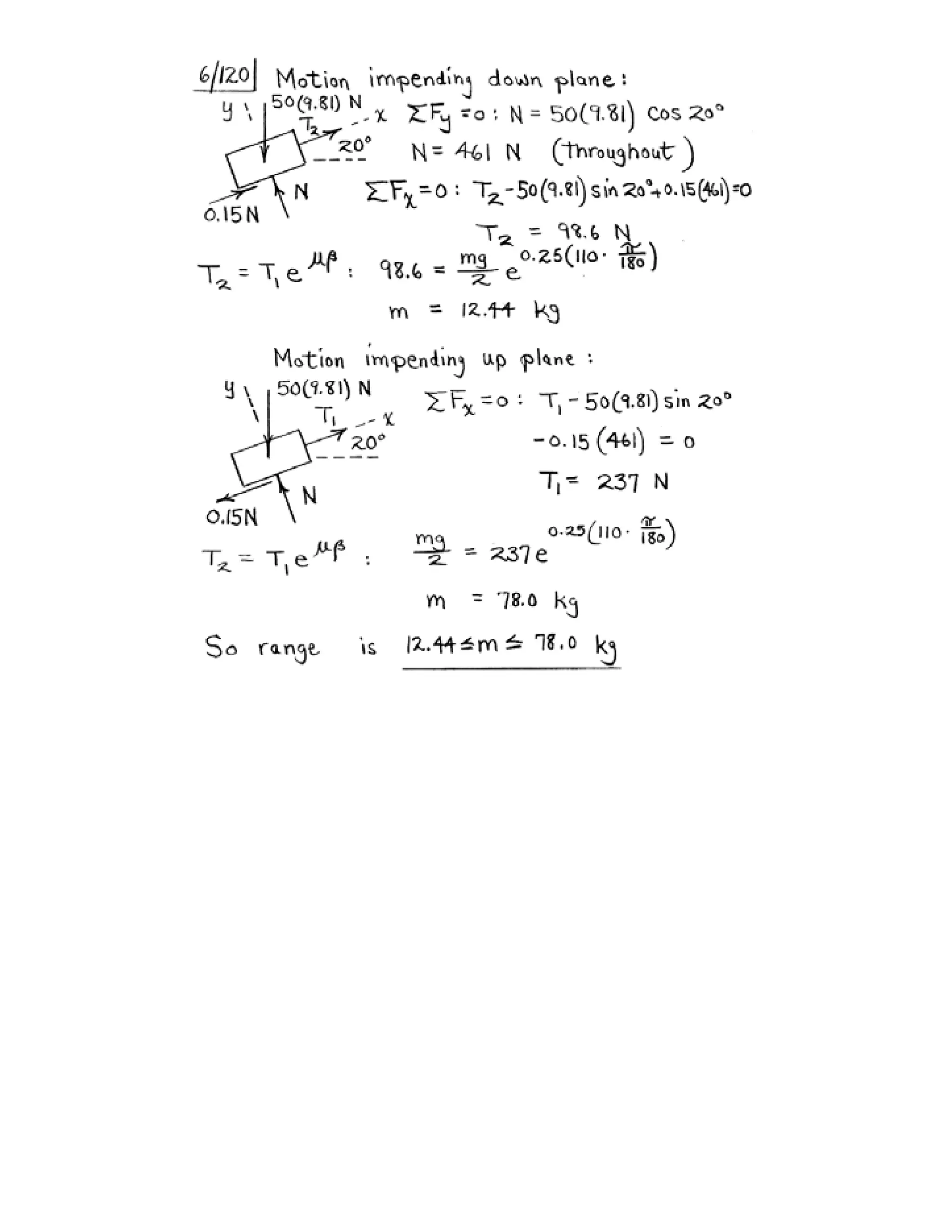
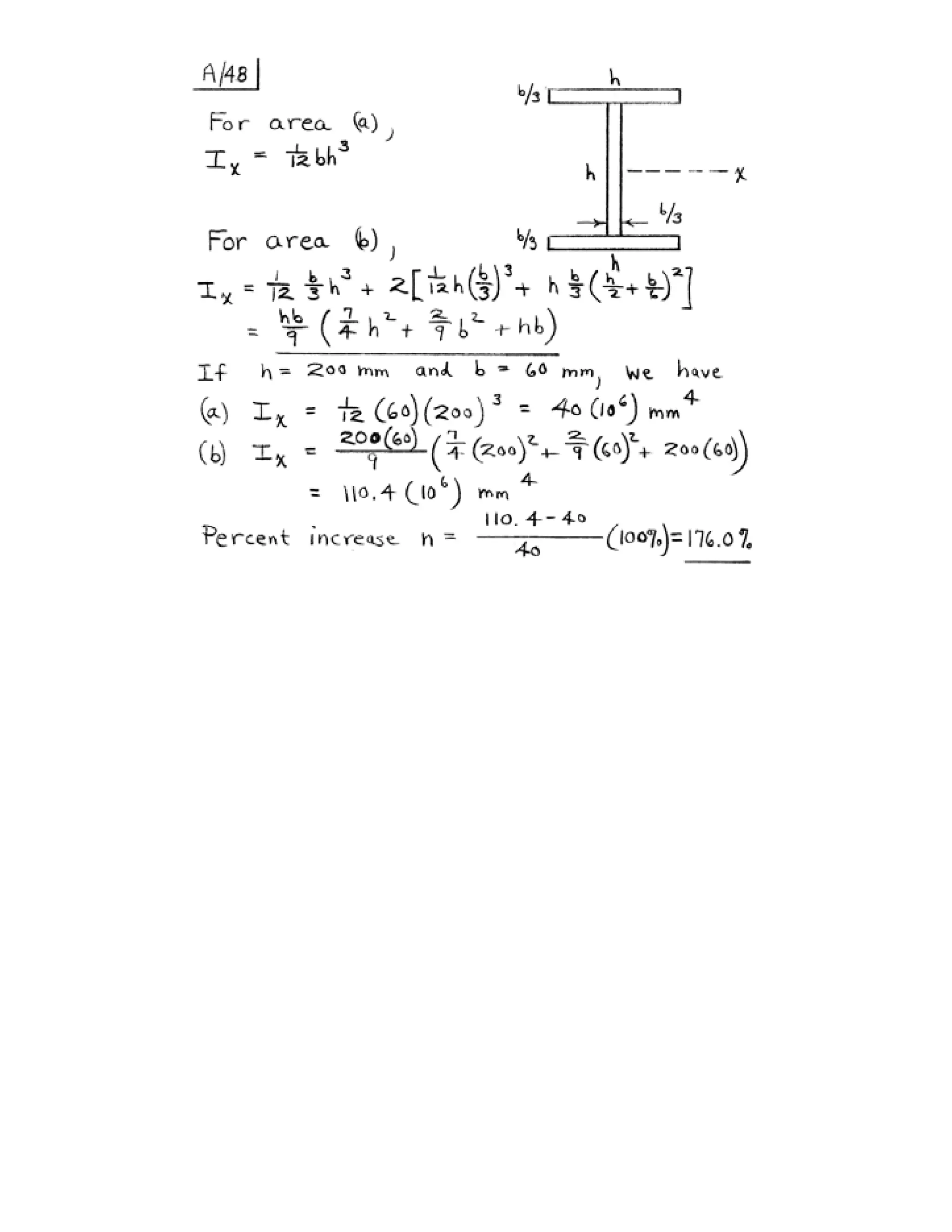
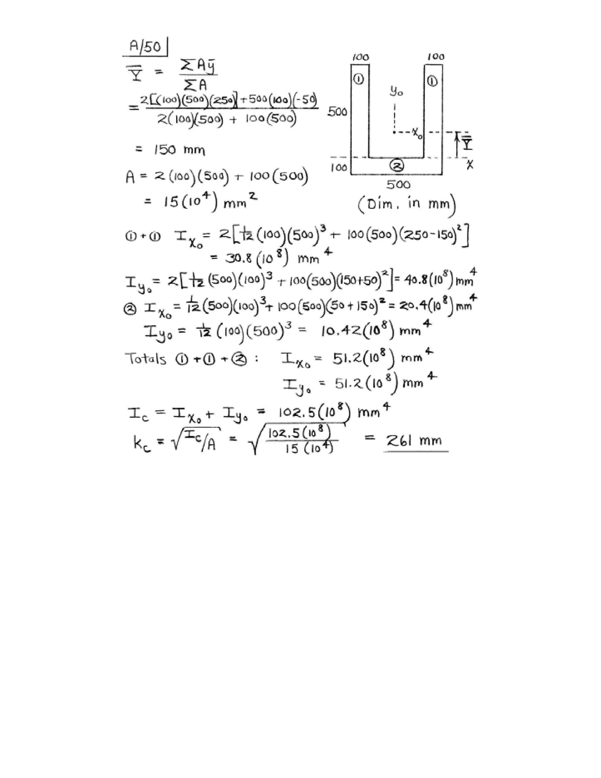
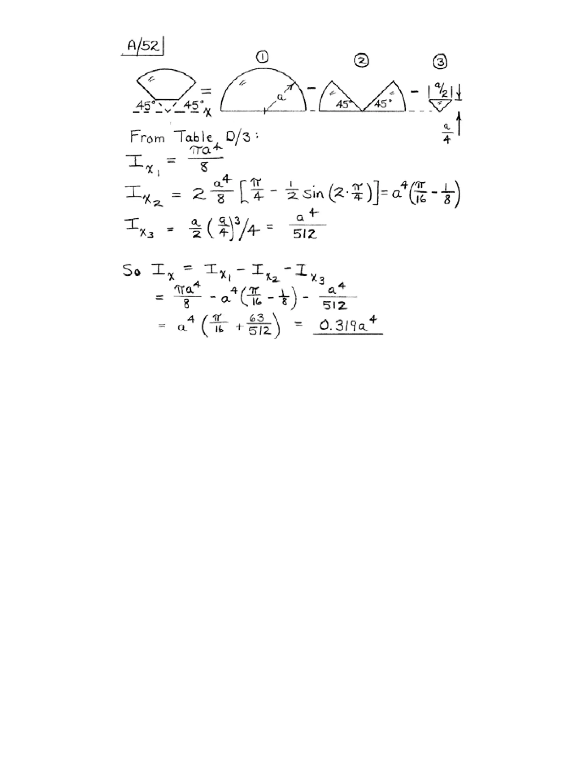
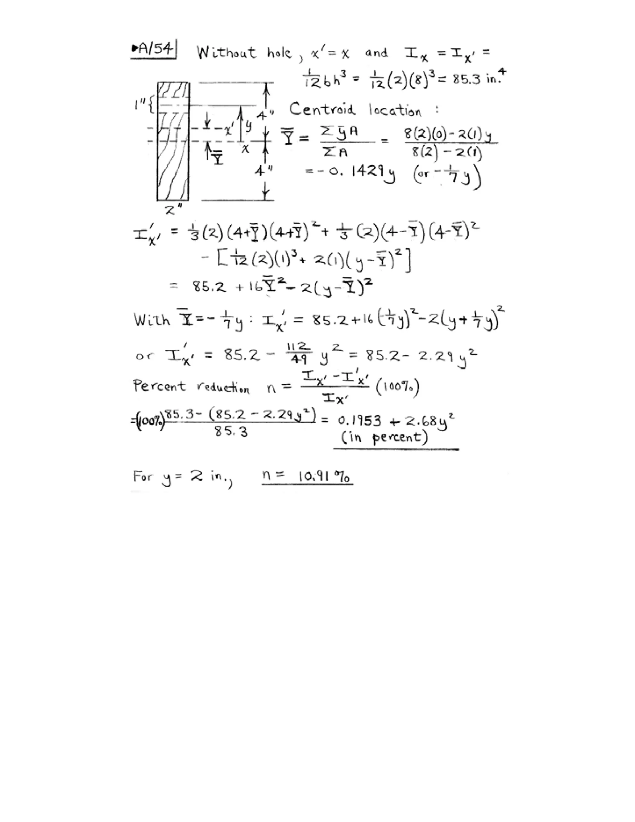
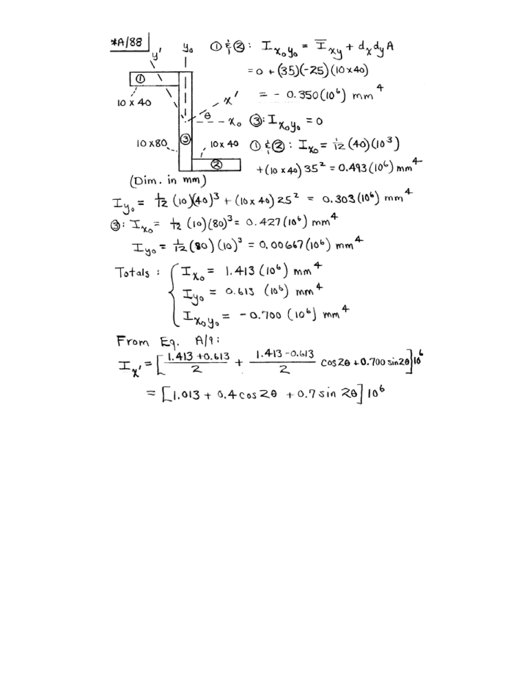
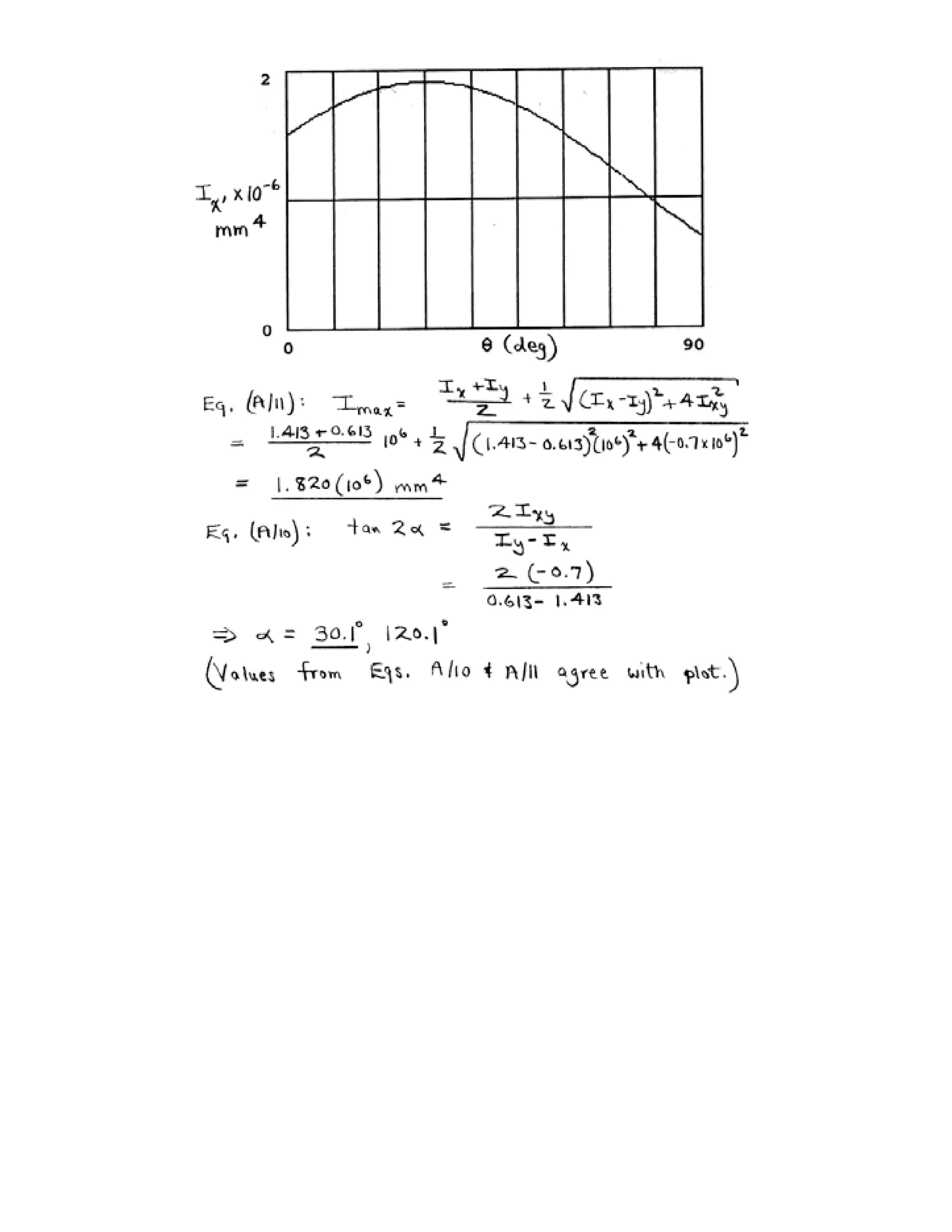
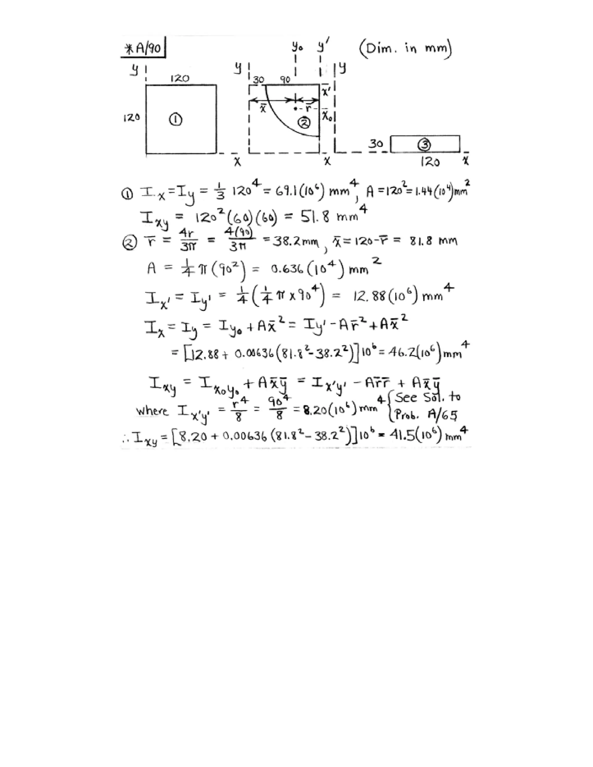
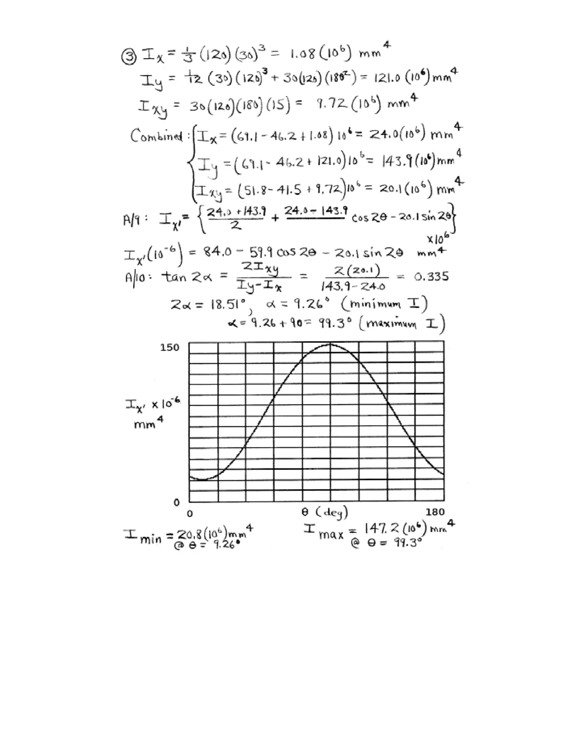
The instructor's manual provides concise solutions to problems to allow instructors to check their work. It requests that the solutions not be used for classroom teaching. Additionally, it contains approximately 40 solved transparency problems that instructors can reproduce for classroom use to illustrate applications of the textbook concepts.























































































































































































































































































































































































































































































































































































































































































































































































































































































































































































































