EE503.29 1
Name : A. Vidya Sagar
Designation : Lecturer
Branch : Electrical & Electronics Engg.
Institute : Government Polytechnic, Visakhapatnam
Year/Semester : V th Semester
Subject : A.C. Machines –II
Subject Code : EE- 503
Topic : Three Phase Induction Motors
Duration : 50 Mins.
Sub Topic : Problems on torque equation
Teaching Aids : Photos, diagrams, animations
DEPARTMENT OF TECHNICAL EDUCATION
ANDHRA PRADESH
EE503.29 2
Recap
In the previous period, we have discussed
• Condition for torque under running conditions
of Induction motor.
• Torque-speed curve.
2
EE503.29
EE503.29 3
Objectives
On the completion of this period, you would be
able to know
• Solve problem on torque equation.
3
EE503.29 4
1) A 6pole, 50 hz, 3phase induction motor has rotor
resistance and stand still rotor reactance of 0.03
and0.1 per phase respectively. Calculate the
value of the external resistance to be connected in
the rotor circuit to obtain 80% of the maximum torque
at starting.




Solution:
Given data:
no of poles p=6
frequency, f=50 Hz
rotor resistance, R2 =0.03 /phase
stand still rotor reactance, X2=0.1 /phase
PROBLEMS
EE503.29 5
Tst =80% of Tmax
The ratio of starting to maximum torque is
Tst
0.8
Tmax

2
0.8
1 2
a
a

 2
2
max 1 2
Tst a
T a

 2
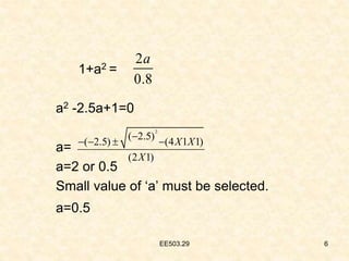
EE503.29 6
1+a2 =
a2 -2.5a+1=0
a=
a=2 or 0.5
Small value of ‘a’ must be selected.
a=0.5
2
0.8
a
2
( 2.5)
( 2.5) (4 1 1)
(2 1)
X X
X

   
EE503.29 7
Let ‘r’ be the external resistance then (R2 +r) will
be the total resistance
Ratio of rotor circuit stand still resistance.
a= =0.5
=0.5
r=(0.5x0.1)-0.03=0.02
2
2
( )
r
R
x

(0.03 )
0.1
r


EE503.29 8
Problem:2
A 4 pole 50 Hz,7.46 KW motor has at rated voltage and
frequency, a starting torque of 160 percent and a maximum
torque of 200percent of full load torque. Determine
(i) F.L speed
(ii) Speed at maximum torque.
Solution:
given data:
no of poles, P=4
frequency, f=50hz.
Tst =160% of F.L torque.
EE503.29 9
T max =200% of F.L torque
and
1.6
FL
Tst
T
 
max
2
FL
T
T
 
1.6
0.8
max 2
Tst
T
 
EE503.29 10
a=0.04
2
2
0.8
max 1
Tst a
T a
 

2
0.8 2 0.8 0
a a
  
2 2
2 1
max 2
fl f
f
T aS
T a S
 

2 2
2 0.04 1
(0.04) 2
f
f
S
S

 

0.01
f
S 
EE503.29 11
synchronous speed ;Ns=
F.L speed, N=Ns(1-Sf)=1500(1-0.01)
=1485rpm.
Slip at maximum torque;
speed at maximum torque, N=Ns(1-Sm)
1500(1-0.04)=1440rpm
 120 120 50
1500
4
f
rpm
p

 
2
2
0.04
m
R
S a
X
  


EE503.29 12
REVISION
EE503.29 12
EE503.29 13
ADVANTAGES OF 3-Ø I.M
• Very simple, extremely rugged and almost unbreakable
construction especially squirrel cage type
• Low cost and highly reliable
• Has sufficiently high efficiency
EE503.29 13
EE503.29 14
CONSTRUCTION OF 3-Ø I.M
An induction motor consists of essentially two parts
• A stationary part called Stator
• A rotating part called Rotor
EE503.29 14
EE503.29 15
• In a Rotating Magnetic Field.
• The Resultant Flux is of Constant Magnitude Equal to
1.5 times the maximum value of the flux due to any
phase in a three phase supply.
• The Resultant Flux Rotates around the stator at
synchronous speed given by Ns = 120f/P.
15
EE503.29
EE503.29 16
• It is understood that
a) For working of three phase induction motors, a three
phase revolving flux of constant magnitude and
synchronous speed is required.
b) This can be obtained by means of a three phase
supply given to stator conductors.
c) Further a rotor torque is setup by using Faradays laws
of electromagnetism, Flemings law and Lenz's law.
16
EE503.29
EE503.29 17
FORMULAE
• Tst = k2 (R2
2+X2
2) = k2 R2/Z2
2 where k2 is some
other constant..
• Tst = k2R2/(R2
2+X2
2)
 dTst/dR2 = [k2[1/ R2
2+X2
2 – R2(2R2/ (R2
2+X2
2 )2]
= 0
Or R2
2+X2
2 = 2R2
2  R2 = X2 , For
Maximum
Starting Torque.
17
EE503.29
EE503.29 18
• T = k1 S E2
2R2/R2
2 + (sX2)2
k1 = 3/2ΠNs
• T max = k1 (R2/X2).E2
2.R2 / R2
2+(R2/X2)2.X2
2 = k1
E2
2/2X2
k1 = 3/2ΠNs, T max =3/2ΠNs . E2
2/2X2 N-m
• T = Tb [ 2 / (sb/s)+(sb/s)]
18
EE503.29
EE503.29 19
• Tg = P2/2ΠNs = 3/2ΠNs x sE2
2R2 / R2
2 +(sX2)2 - in
terms of E2
Or = 3/2ΠNs x sK2E1
2R2 / R2
2 +(sX2)2
• Torque in synchronous watt
= rotor input = rotor Cu loss / s = gross output
power, Pm / (1-s)
19
EE503.29
EE503.29 20
• It is seen that although maximum torque does not
depend on R2,
yet the exact location of Tmax is dependent on it. Greater
the R2,
greater is the value of slip at which the maximum torque
occurs.
• T ∞ sV2
• In general, operating torque at any slip s / maximum
torque = 2 a s / a2 + s2
• Tst / Tmax = 2R2X2 / R2
2 +X2
2 = 2R2/X2 / 1 + (R2/X2)2 =
2a / 1+a2
20
EE503.29
EE503.29 21
Fig .1
T-slip curves 21
EE503.29
EE503.29 22
• rotor gross output Pm = (1-s) rotor input P2
Or rotor gross output, Pm / rotor input, P2 = 1-s
=N/Ns;
.
22
EE503.29
EE503.29 23
TORQUE / SPEED CHARACTERISTIC UNDER LOAD
As stated earlier, stable operation of an induction motor
lies over the linear portion of its torque/speed curve.
The slope of this straight line depends mainly on the rotor
resistance.
Higher the resistance, sharper the slope. This linear relationship
between torque and speed Fig 1. enables us to establish a very
simple equation between different parameters of an induction
motor.
23
EE503.29
EE503.29 24
Fig. 1.
24
EE503.29
EE503.29 25
Fig. 2.
25
EE503.29
EE503.29 26
SYNCHRONOUS WATT
It is clear from the above relations that torque is
proportional to rotor input. By defining a new unit
of torque instead of the force-at-radius unit), we
can say that the rotor torque equals rotor input
. The new unit is synchronous watt.
26
EE503.29
EE503.29 27
SUMMARY
We have discussed about
• Calculation of speed at max torque.
• Starting torque.
• Full load torque.
EE503.29 28
QUIZ
1). The efficiency and p.f. of a SCIM increase in
proportion to its
(a) Speed
(b) Mechanical load
(C) Voltage
(d) Rotor Torque
EE503.29 29
Frequently Asked Questions
1). Define Synchronous watt.
2). Explain Torque versus speed characteristic of
induction motor under load.
29
EE503.29
EE503.29 30
ASSIGNMENTS
a) A 3-phase, 400/200-V, Y-Y connected wound-rotor
induction motor has 0-06 Ω rotor resistance and 0.3 Ω
standstill reactance per phase. Find the additional
resistance required in the rotor circuit to make the staring
torque equal to the maximum torque of the motor.
b) A 746-kW, 3-phase, 50-Hz, 16-pole induction motor has a
rotor impedance of (0-02+j0.15) Ω at standstill. Full-load
torque is obtained at 360 rpm. Calculate (i) the ratio of
full-load torque (ii) the speed of maximum torque and (iii)
the rotor resistance to be added to get maximum starting
torque.
30
EE503.29

EE503.29.ppt

  • 1.
    EE503.29 1 Name :A. Vidya Sagar Designation : Lecturer Branch : Electrical & Electronics Engg. Institute : Government Polytechnic, Visakhapatnam Year/Semester : V th Semester Subject : A.C. Machines –II Subject Code : EE- 503 Topic : Three Phase Induction Motors Duration : 50 Mins. Sub Topic : Problems on torque equation Teaching Aids : Photos, diagrams, animations DEPARTMENT OF TECHNICAL EDUCATION ANDHRA PRADESH
  • 2.
    EE503.29 2 Recap In theprevious period, we have discussed • Condition for torque under running conditions of Induction motor. • Torque-speed curve. 2 EE503.29
  • 3.
    EE503.29 3 Objectives On thecompletion of this period, you would be able to know • Solve problem on torque equation. 3
  • 4.
    EE503.29 4 1) A6pole, 50 hz, 3phase induction motor has rotor resistance and stand still rotor reactance of 0.03 and0.1 per phase respectively. Calculate the value of the external resistance to be connected in the rotor circuit to obtain 80% of the maximum torque at starting.     Solution: Given data: no of poles p=6 frequency, f=50 Hz rotor resistance, R2 =0.03 /phase stand still rotor reactance, X2=0.1 /phase PROBLEMS
  • 5.
    EE503.29 5 Tst =80%of Tmax The ratio of starting to maximum torque is Tst 0.8 Tmax  2 0.8 1 2 a a   2 2 max 1 2 Tst a T a   2
  • 6.
    EE503.29 6 1+a2 = a2-2.5a+1=0 a= a=2 or 0.5 Small value of ‘a’ must be selected. a=0.5 2 0.8 a 2 ( 2.5) ( 2.5) (4 1 1) (2 1) X X X     
  • 7.
    EE503.29 7 Let ‘r’be the external resistance then (R2 +r) will be the total resistance Ratio of rotor circuit stand still resistance. a= =0.5 =0.5 r=(0.5x0.1)-0.03=0.02 2 2 ( ) r R x  (0.03 ) 0.1 r  
  • 8.
    EE503.29 8 Problem:2 A 4pole 50 Hz,7.46 KW motor has at rated voltage and frequency, a starting torque of 160 percent and a maximum torque of 200percent of full load torque. Determine (i) F.L speed (ii) Speed at maximum torque. Solution: given data: no of poles, P=4 frequency, f=50hz. Tst =160% of F.L torque.
  • 9.
    EE503.29 9 T max=200% of F.L torque and 1.6 FL Tst T   max 2 FL T T   1.6 0.8 max 2 Tst T  
  • 10.
    EE503.29 10 a=0.04 2 2 0.8 max 1 Tsta T a    2 0.8 2 0.8 0 a a    2 2 2 1 max 2 fl f f T aS T a S    2 2 2 0.04 1 (0.04) 2 f f S S     0.01 f S 
  • 11.
    EE503.29 11 synchronous speed;Ns= F.L speed, N=Ns(1-Sf)=1500(1-0.01) =1485rpm. Slip at maximum torque; speed at maximum torque, N=Ns(1-Sm) 1500(1-0.04)=1440rpm  120 120 50 1500 4 f rpm p    2 2 0.04 m R S a X     
  • 12.
  • 13.
    EE503.29 13 ADVANTAGES OF3-Ø I.M • Very simple, extremely rugged and almost unbreakable construction especially squirrel cage type • Low cost and highly reliable • Has sufficiently high efficiency EE503.29 13
  • 14.
    EE503.29 14 CONSTRUCTION OF3-Ø I.M An induction motor consists of essentially two parts • A stationary part called Stator • A rotating part called Rotor EE503.29 14
  • 15.
    EE503.29 15 • Ina Rotating Magnetic Field. • The Resultant Flux is of Constant Magnitude Equal to 1.5 times the maximum value of the flux due to any phase in a three phase supply. • The Resultant Flux Rotates around the stator at synchronous speed given by Ns = 120f/P. 15 EE503.29
  • 16.
    EE503.29 16 • Itis understood that a) For working of three phase induction motors, a three phase revolving flux of constant magnitude and synchronous speed is required. b) This can be obtained by means of a three phase supply given to stator conductors. c) Further a rotor torque is setup by using Faradays laws of electromagnetism, Flemings law and Lenz's law. 16 EE503.29
  • 17.
    EE503.29 17 FORMULAE • Tst= k2 (R2 2+X2 2) = k2 R2/Z2 2 where k2 is some other constant.. • Tst = k2R2/(R2 2+X2 2)  dTst/dR2 = [k2[1/ R2 2+X2 2 – R2(2R2/ (R2 2+X2 2 )2] = 0 Or R2 2+X2 2 = 2R2 2  R2 = X2 , For Maximum Starting Torque. 17 EE503.29
  • 18.
    EE503.29 18 • T= k1 S E2 2R2/R2 2 + (sX2)2 k1 = 3/2ΠNs • T max = k1 (R2/X2).E2 2.R2 / R2 2+(R2/X2)2.X2 2 = k1 E2 2/2X2 k1 = 3/2ΠNs, T max =3/2ΠNs . E2 2/2X2 N-m • T = Tb [ 2 / (sb/s)+(sb/s)] 18 EE503.29
  • 19.
    EE503.29 19 • Tg= P2/2ΠNs = 3/2ΠNs x sE2 2R2 / R2 2 +(sX2)2 - in terms of E2 Or = 3/2ΠNs x sK2E1 2R2 / R2 2 +(sX2)2 • Torque in synchronous watt = rotor input = rotor Cu loss / s = gross output power, Pm / (1-s) 19 EE503.29
  • 20.
    EE503.29 20 • Itis seen that although maximum torque does not depend on R2, yet the exact location of Tmax is dependent on it. Greater the R2, greater is the value of slip at which the maximum torque occurs. • T ∞ sV2 • In general, operating torque at any slip s / maximum torque = 2 a s / a2 + s2 • Tst / Tmax = 2R2X2 / R2 2 +X2 2 = 2R2/X2 / 1 + (R2/X2)2 = 2a / 1+a2 20 EE503.29
  • 21.
    EE503.29 21 Fig .1 T-slipcurves 21 EE503.29
  • 22.
    EE503.29 22 • rotorgross output Pm = (1-s) rotor input P2 Or rotor gross output, Pm / rotor input, P2 = 1-s =N/Ns; . 22 EE503.29
  • 23.
    EE503.29 23 TORQUE /SPEED CHARACTERISTIC UNDER LOAD As stated earlier, stable operation of an induction motor lies over the linear portion of its torque/speed curve. The slope of this straight line depends mainly on the rotor resistance. Higher the resistance, sharper the slope. This linear relationship between torque and speed Fig 1. enables us to establish a very simple equation between different parameters of an induction motor. 23 EE503.29
  • 24.
  • 25.
  • 26.
    EE503.29 26 SYNCHRONOUS WATT Itis clear from the above relations that torque is proportional to rotor input. By defining a new unit of torque instead of the force-at-radius unit), we can say that the rotor torque equals rotor input . The new unit is synchronous watt. 26 EE503.29
  • 27.
    EE503.29 27 SUMMARY We havediscussed about • Calculation of speed at max torque. • Starting torque. • Full load torque.
  • 28.
    EE503.29 28 QUIZ 1). Theefficiency and p.f. of a SCIM increase in proportion to its (a) Speed (b) Mechanical load (C) Voltage (d) Rotor Torque
  • 29.
    EE503.29 29 Frequently AskedQuestions 1). Define Synchronous watt. 2). Explain Torque versus speed characteristic of induction motor under load. 29 EE503.29
  • 30.
    EE503.29 30 ASSIGNMENTS a) A3-phase, 400/200-V, Y-Y connected wound-rotor induction motor has 0-06 Ω rotor resistance and 0.3 Ω standstill reactance per phase. Find the additional resistance required in the rotor circuit to make the staring torque equal to the maximum torque of the motor. b) A 746-kW, 3-phase, 50-Hz, 16-pole induction motor has a rotor impedance of (0-02+j0.15) Ω at standstill. Full-load torque is obtained at 360 rpm. Calculate (i) the ratio of full-load torque (ii) the speed of maximum torque and (iii) the rotor resistance to be added to get maximum starting torque. 30 EE503.29