DYNAMICS OF MACHINES
• To know the purpose for which the m/c is
needed.
• To develop concept design.
• To analyze the motion involved
- Kinematics
• To calculate & analyze the forces and torques
required for producing the motion
- Kinetics
• To give physical shape to the components.
- Machine Design
STATIC FORCE ANALYSIS IN
MACHINES
• To evaluate the forces acting on the machine
members at a particular configuration.
• Each configuration is considered as system of
rigid bodies in static equilibrium
under the action of external forces.
• Helps in finding load carried by each part of the
machine during cycle of its operation
TYPES OF FORCES
• Applied forces :
Gas, hydraulic & pneumatic forces etc..
Electrical, magnetic & gravity forces
• Constraint forces :
Reaction forces.
• Friction forces.
• Inertia forces.
Due to mass of accelerating parts
Condition for static equilibrium
• ∑ F i = 0
• ∑ Mi = 0
F1
F4
F2
F3
F5
CG
M/c part
Fi = 0
M i = 0
EQUATIONS FOR STATIC
EQUILIBRIUM
EQUILIBRIUM OF TWO FORCE
AND THREE FORCE MEMBERS
Two force member in equilibrium
F1
F2
THREE FORCE MEMBER IN
EQUILIBRIUM
F1
F2
F3
O
F1
F2
F3
O
P O2
A
B
P
3 2
4
1
F14
F34
A
B
3
F32
F12
2
4
STATIC FORCE ANALYSIS IN SLIDER-CRANK MACHANISM
C12
F43
F23
P
F14
F34
FBDof
Link 4
FBDof
Link 3
FBDof
Link 2
A
B
P
2
4
O4
O2
3
P
F34
F14
O
P F14
F34
F23
F43
F32
F12
C12
STATIC FORCE ANALYSIS IN 4-BAR MECHANISM
3
4
h
C12 = F32 X h
O2
C
O2
B
4
2
O2
O4
5
C
6
A
3
P
C
6
P
5
F16
F56
P
F16
F56
1
C
5
F45
F65
4
F54
O
F54
F34
F14
F43
F23
3
2
O2
A
F32
F12
3
C12
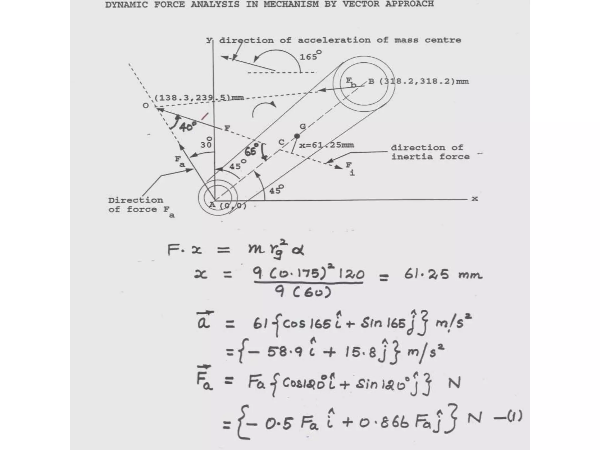
Inertia force - m a
-Inertia torque - I α
D’ Alemberts principle
In order to find the effect of inertia of
the actual link on the forces
transmitted to the adjacent links of a
mechanism, the actual link may be
replaced by a rigid mass-less link to
which inertia force F i = -ma is applied.
The mass-less link is then under
equilibrium under systems of forces
along with inertia force.
dynamics-machines2.ppt
dynamics-machines2.ppt
dynamics-machines2.ppt
dynamics-machines2.ppt
dynamics-machines2.ppt

dynamics-machines2.ppt