DROWNING
Drowning is submersion in a liquid
medium resulting in respiratory difficulty
or arrest.
• Worldwide, drowning
accounts for >370,000
deaths annually
• Leading cause of injury
death among children < 15
years
• Drowning incidence peaks in three age groups:
1. < 5years old (Highest)
2. 15-24 years old .
3. Elderly
• Toddlers drown primarily after falling into
swimming pools or open water, but they also
drown in bathtubs and buckets in the home
Physicians need to evaluate for intentional
drowning (child abuse)
In teenagers and adults
1.suicide,
2. Homicide
3. Domestic violence
4. Alcohol or drugs are involved
5. Increased risk of bathtub drowning
6.comorbid medical conditions or
medications
• The terms “wet drowning ”, “dry drowning”, “active or passive
drowning” , “near -drowning ”, “secondary drowning” , and
drowning may be noted in historical references , yet they have
abandoned in favor of the general term “drowning”.
• In drowning liquid of air interface is present at the entrance to
the victim’s airway , which prevents the individual from
breathing oxygen .
• It can be fatal or non fatal
• At least one third of survivors sustain moderate to severe
neurologic sequelae
Duration of submersion
Risk of death or poor outcome
0- 5 min 10%
6-10 min 56%
11-25 min 88%
> 25 min nearly 100 %
Drowning may be a primary event or may be
secondary to
• Seizures
• Head or spine trauma
• Cardiac arrythmias
• Hypothermia
• syncope
• Apnea
• Hyperventilation
• Hypoglycemia
Prognostic factors are the duration and severity of the
hypoxia
• Submersion voluntary breath holding aspiration
coughing /larngospasm aspiration continues hypoxia
death .
• Aspiration destroys surfactant which alveolar collapse ,
atelectasis , non - cardiogenic pulmonary edema and v-q
mismatch .
Hypoxia
• Hypoxia is the major problem in drowning , affects the brain
, heart and other tissues ;respiratory arrest followed by
cardiac arrest can occur .
• Brain hypoxia will lead to cerebral edema and occasionally
permanent hypoxic damage .
• Generalized tissue hypoxia lead to metabolic acidosis .
• Aspiration can produce to pneumonitis , sometimes with
anaerobic , fungal lung infections and pulmonary edema .
Involuntary gasp
(Aspiration of water in to the
hypopharynx )
Laryngospasm
(parasympathetically medicated )
Dry (10-15%) Wet (85 %)
Cerebral hypoxia /Acidosis / cardiac arrest
Brain injury /Brain death
Dry refers to drowning secondary to airway
Wet refers to drowning secondary to aspiration
as well as passive collection of fluid into the airway
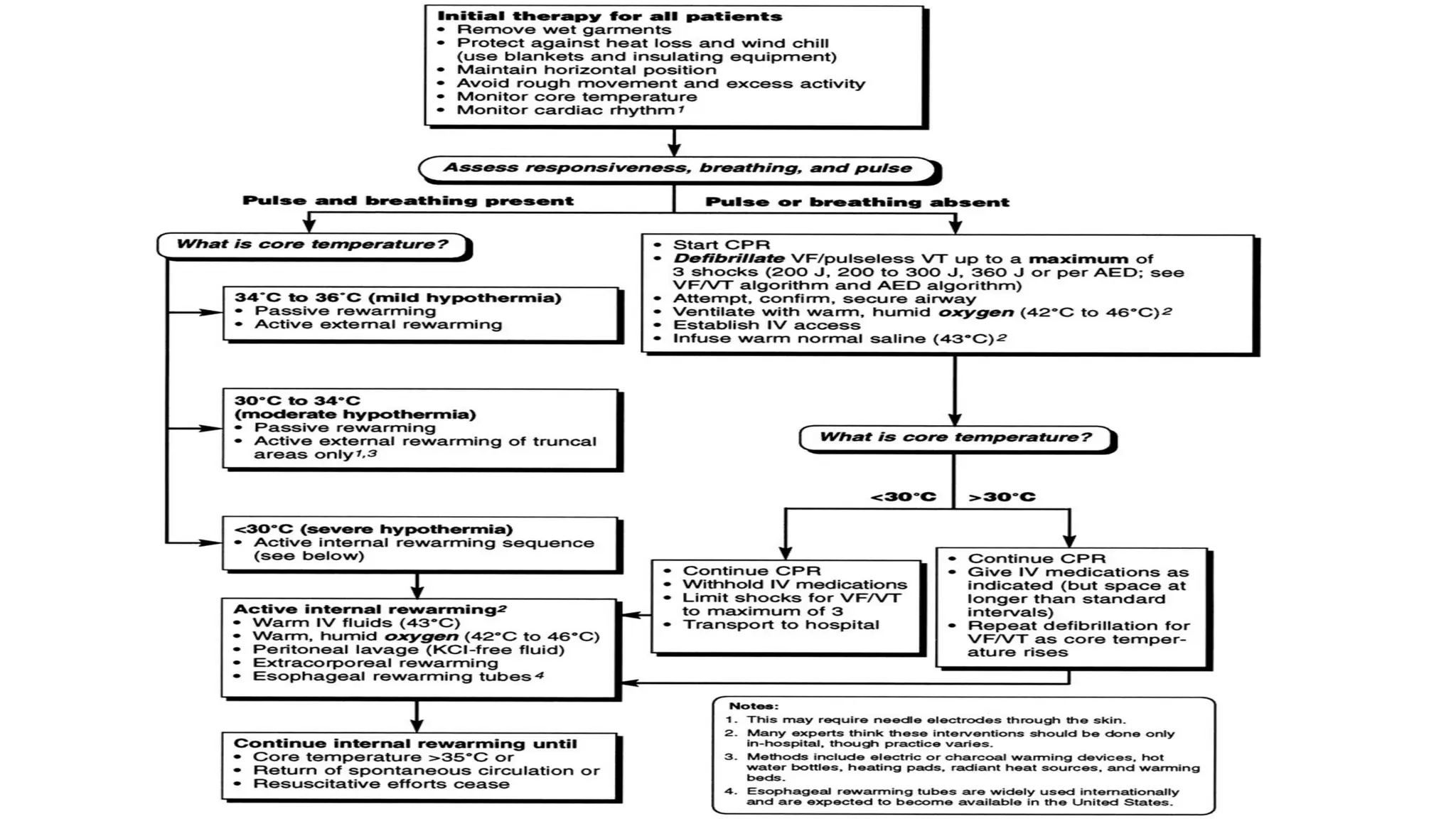
Systemic hypothermia
• Exposure to cold water induces systemic hypothermia , which can be a
significant problem .
• Hypothermia occurs commomnly in drowning and is usually secondary to
conductive heat loss during submersion , not synonymous with cold -
water drowning .
• ventricular dysrhythmias ( vt or vf ) , bradycardia , and asystole may occur
as a result of acidosis and hypoxemia .
• Hypothermia profoundly decreases the cerebral metabolic rate , but
neuroprotective effects seem to occur only if the hypothermia occurs at
the time of submersion and only if very rapid cooling occurs in water with
a temp of less than 5℃ .
PATHOPHYSIOLOGY
Submersion
The degree of hypoxic insult to the CNS
Parasympathetic activation of the diving reflex (i.e., bradycardia, apnea, peripheral
vasoconstriction, and central shunting of blood flow)
Transient protection during submersion.
The diving reflex is overwhelmed by the stimulation of the sympathetic nervous system.
•
Cerebral protection in cold water submersions most likely results from rapid CNS cooling before significant
hypoxic damage occurs
Disorders and Injuries Associated With Drowning
Disorders Associated With Drowning
1. Alcohol or other intoxicants
2. Syncope(e.g.,due to hyperventilation
prior to under water diving)
3. Seizures
4. Cardiac conditions (e.g.,dysarrythmias
including prolonged QT syndromes
Brugada’s syndrome ischemic heart
disease)
5. Dementia
6. Intentional (suicide, homicide, childabuse
or neglect in youngchildren)
Injuries Associated With Drowning
• Spinal cord injuries due to diving into shallow
water, significant falls from heights, or
boating/personal watercraft mishaps
• Hypothermia
• Aspiration
• Respiratory failure, insufficiency,or distress
PREHOSPITAL CARE
1.Quickly restoring ventilation and oxygenation-
optimizes outcome.
2. CPR should be initiated as quickly as possible.
3.Cervical spine precautions to be take care.
4. Administer high-flow oxygen by facemask -
patient is breathing
or
positive-pressure bag-valve-mask ventilation -
patient is not breathing
PRIMARY ED TREATMENT
1.Assess and secure the airway.
2. Provide oxygen
3. Determine core temperature
4. Assist ventilation .
5. Hypothermic patient - administer warmed
isotonic IV fluids and apply warming adjuncts.
Glasgow Coma Scale score less than 13
Maintained on supplemental oxygen and ventilatory support as needed.
High-flow oxygen cannot maintain an adequate partial pressure of arterial oxygen
Intubate the patient and provide positive-pressure ventilation
Chest radiography and laboratory studies should be done
Continuous cardiac monitoring, pulse oximetry, temperature
monitoring, and frequent reassessments should be performed
If the patient is normothermic on arrival in the ED and in cardiopulmonary arrest or asystole, serious
thought should be given to discontinuing resuscitation efforts because recovery without profound
neurologic complications is rare.
Glasgow Coma Scale score - more than 13
Oxygen saturation of ≥95% low risk for complications
Observed for 4 to 6 hours.
Pulmonary examination
Absence of Rales, Rhonchi,
wheezing, or retractions
And arterial oxygen saturation
on room air remains ≥95%,
patient can be safely discharged
Presence of Rales, Rhonchi,
wheezing, or retractions
reassessment and
admission
TREATMENT
SECONDARY TREATMENT
1.Drowning victims who require ED resuscitation should be admit to an intensive care unit
.
2. Continuous cardiopulmonary and frequent neurologic monitoring .
3.Supernormal levels of positive end-expiratory pressure may be used to recruit fluid-
filled lung units and aid oxygenation
4.Significant aspiration pattern or cardiovascular collapse are predisposed to develop
acute respiratory distress syndrome.
5. Care should be taken to avoid lung overdistention and ventilator-associated barotrauma
Cardiac arrest-continuous infusion of dopamine or epinephrine in the ED or ICU
Warm water drowning -degree of cerebral edema is largely determined by the duration of the anoxic or ischaemic insult at
the time of submersion.
PROGNOSIS, DISPOSITION, AND FOLLOW-UP
1.ASYMPTOMATIC DROWNING-
Pulmonary examination and oxygen saturation on
room air remain normal, patients can be discharged
home.
2.SYMPTOMATIC DROWNING-
Extent of required resuscitation is often the most objective
measure of the degree of anoxic or ischemic insult
3.Factors Associated With Poor Resuscitation Prognosis in Near-Drowning
A)Need for bystander CPR at scene -a guarded prognosis, pediatric victims, about 20% later die in the hospital,
and about 5% are left with severe hypoxic-ischaemic encephalopathy.
B)CPR in the ED - Poor prognosis. Prolonged (more than 30 minutes) CPR in drowning victims indicates
significant anoxic or ischemic insult to the heart, brain, and other vital organs.
C)Asystole at scene -short submersion durations and short transport times who receive CPR en route, a
vigorous resuscitation attempt is reasonable.
CPR should be abandoned if no response is noted.
Thank you

DROWNING wet and dry presentation 12345

  • 1.
  • 2.
    Drowning is submersionin a liquid medium resulting in respiratory difficulty or arrest. • Worldwide, drowning accounts for >370,000 deaths annually • Leading cause of injury death among children < 15 years • Drowning incidence peaks in three age groups: 1. < 5years old (Highest) 2. 15-24 years old . 3. Elderly • Toddlers drown primarily after falling into swimming pools or open water, but they also drown in bathtubs and buckets in the home Physicians need to evaluate for intentional drowning (child abuse) In teenagers and adults 1.suicide, 2. Homicide 3. Domestic violence 4. Alcohol or drugs are involved 5. Increased risk of bathtub drowning 6.comorbid medical conditions or medications
  • 3.
    • The terms“wet drowning ”, “dry drowning”, “active or passive drowning” , “near -drowning ”, “secondary drowning” , and drowning may be noted in historical references , yet they have abandoned in favor of the general term “drowning”. • In drowning liquid of air interface is present at the entrance to the victim’s airway , which prevents the individual from breathing oxygen . • It can be fatal or non fatal • At least one third of survivors sustain moderate to severe neurologic sequelae Duration of submersion Risk of death or poor outcome 0- 5 min 10% 6-10 min 56% 11-25 min 88% > 25 min nearly 100 %
  • 4.
    Drowning may bea primary event or may be secondary to • Seizures • Head or spine trauma • Cardiac arrythmias • Hypothermia • syncope • Apnea • Hyperventilation • Hypoglycemia
  • 5.
    Prognostic factors arethe duration and severity of the hypoxia • Submersion voluntary breath holding aspiration coughing /larngospasm aspiration continues hypoxia death . • Aspiration destroys surfactant which alveolar collapse , atelectasis , non - cardiogenic pulmonary edema and v-q mismatch .
  • 6.
    Hypoxia • Hypoxia isthe major problem in drowning , affects the brain , heart and other tissues ;respiratory arrest followed by cardiac arrest can occur . • Brain hypoxia will lead to cerebral edema and occasionally permanent hypoxic damage . • Generalized tissue hypoxia lead to metabolic acidosis . • Aspiration can produce to pneumonitis , sometimes with anaerobic , fungal lung infections and pulmonary edema .
  • 7.
    Involuntary gasp (Aspiration ofwater in to the hypopharynx ) Laryngospasm (parasympathetically medicated ) Dry (10-15%) Wet (85 %) Cerebral hypoxia /Acidosis / cardiac arrest Brain injury /Brain death Dry refers to drowning secondary to airway Wet refers to drowning secondary to aspiration as well as passive collection of fluid into the airway
  • 8.
    Systemic hypothermia • Exposureto cold water induces systemic hypothermia , which can be a significant problem . • Hypothermia occurs commomnly in drowning and is usually secondary to conductive heat loss during submersion , not synonymous with cold - water drowning . • ventricular dysrhythmias ( vt or vf ) , bradycardia , and asystole may occur as a result of acidosis and hypoxemia . • Hypothermia profoundly decreases the cerebral metabolic rate , but neuroprotective effects seem to occur only if the hypothermia occurs at the time of submersion and only if very rapid cooling occurs in water with a temp of less than 5℃ .
  • 10.
    PATHOPHYSIOLOGY Submersion The degree ofhypoxic insult to the CNS Parasympathetic activation of the diving reflex (i.e., bradycardia, apnea, peripheral vasoconstriction, and central shunting of blood flow) Transient protection during submersion. The diving reflex is overwhelmed by the stimulation of the sympathetic nervous system. • Cerebral protection in cold water submersions most likely results from rapid CNS cooling before significant hypoxic damage occurs
  • 11.
    Disorders and InjuriesAssociated With Drowning Disorders Associated With Drowning 1. Alcohol or other intoxicants 2. Syncope(e.g.,due to hyperventilation prior to under water diving) 3. Seizures 4. Cardiac conditions (e.g.,dysarrythmias including prolonged QT syndromes Brugada’s syndrome ischemic heart disease) 5. Dementia 6. Intentional (suicide, homicide, childabuse or neglect in youngchildren) Injuries Associated With Drowning • Spinal cord injuries due to diving into shallow water, significant falls from heights, or boating/personal watercraft mishaps • Hypothermia • Aspiration • Respiratory failure, insufficiency,or distress
  • 12.
    PREHOSPITAL CARE 1.Quickly restoringventilation and oxygenation- optimizes outcome. 2. CPR should be initiated as quickly as possible. 3.Cervical spine precautions to be take care. 4. Administer high-flow oxygen by facemask - patient is breathing or positive-pressure bag-valve-mask ventilation - patient is not breathing PRIMARY ED TREATMENT 1.Assess and secure the airway. 2. Provide oxygen 3. Determine core temperature 4. Assist ventilation . 5. Hypothermic patient - administer warmed isotonic IV fluids and apply warming adjuncts.
  • 13.
    Glasgow Coma Scalescore less than 13 Maintained on supplemental oxygen and ventilatory support as needed. High-flow oxygen cannot maintain an adequate partial pressure of arterial oxygen Intubate the patient and provide positive-pressure ventilation Chest radiography and laboratory studies should be done Continuous cardiac monitoring, pulse oximetry, temperature monitoring, and frequent reassessments should be performed If the patient is normothermic on arrival in the ED and in cardiopulmonary arrest or asystole, serious thought should be given to discontinuing resuscitation efforts because recovery without profound neurologic complications is rare.
  • 14.
    Glasgow Coma Scalescore - more than 13 Oxygen saturation of ≥95% low risk for complications Observed for 4 to 6 hours. Pulmonary examination Absence of Rales, Rhonchi, wheezing, or retractions And arterial oxygen saturation on room air remains ≥95%, patient can be safely discharged Presence of Rales, Rhonchi, wheezing, or retractions reassessment and admission
  • 15.
  • 16.
    SECONDARY TREATMENT 1.Drowning victimswho require ED resuscitation should be admit to an intensive care unit . 2. Continuous cardiopulmonary and frequent neurologic monitoring . 3.Supernormal levels of positive end-expiratory pressure may be used to recruit fluid- filled lung units and aid oxygenation 4.Significant aspiration pattern or cardiovascular collapse are predisposed to develop acute respiratory distress syndrome. 5. Care should be taken to avoid lung overdistention and ventilator-associated barotrauma Cardiac arrest-continuous infusion of dopamine or epinephrine in the ED or ICU Warm water drowning -degree of cerebral edema is largely determined by the duration of the anoxic or ischaemic insult at the time of submersion.
  • 17.
    PROGNOSIS, DISPOSITION, ANDFOLLOW-UP 1.ASYMPTOMATIC DROWNING- Pulmonary examination and oxygen saturation on room air remain normal, patients can be discharged home. 2.SYMPTOMATIC DROWNING- Extent of required resuscitation is often the most objective measure of the degree of anoxic or ischemic insult 3.Factors Associated With Poor Resuscitation Prognosis in Near-Drowning A)Need for bystander CPR at scene -a guarded prognosis, pediatric victims, about 20% later die in the hospital, and about 5% are left with severe hypoxic-ischaemic encephalopathy. B)CPR in the ED - Poor prognosis. Prolonged (more than 30 minutes) CPR in drowning victims indicates significant anoxic or ischemic insult to the heart, brain, and other vital organs. C)Asystole at scene -short submersion durations and short transport times who receive CPR en route, a vigorous resuscitation attempt is reasonable. CPR should be abandoned if no response is noted.
  • 20.