ĐỊNH LUẬT OHM ĐỐI VỚI TOÀN MẠCH Georg Simon Ohm (1789-1854)
 
Đồ thị hàm số y = ax + b   BÀI CŨ
Nhắc lại nội dung định luật Ohm đối với đoạn mạch chỉ chứa điện trở R Mối liên hệ giữa cường độ dòng điện I và hiệu điện thế U? I~ U BÀI CŨ
Điều này có mâu thuẫn với định luật Ohm đối với đoạn mạch đã học không? ?????
ĐỊNH LUẬT OHM ĐỐI VỚI TOÀN MẠCH Georg Simon Ohm (1789-1854)
*  Toàn mạch *  Nguồn điện: *  Điện trở tương đương mạch ngoài:  R N   *  Điện trở toàn phần: R N + r 
I. THÍ NGHIỆM
I. THÍ NGHIỆM
 
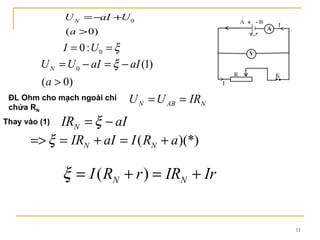
ĐL Ohm cho mạch ngoài chỉ chứa R N Thay vào (1)
II. Định luật Ohm đối với toàn mạch: IR N : Độ giảm điện thế mạch ngoài Ir: Độ giảm điện thế mạch trong    Suất điện động của nguồn điện có giá trị bằng tổng các độ giảm điện thế ở mạch ngoài và mạch trong.   Tích của cường độ dòng điện và điện trở được gọi là  độ giảm điện thế
 II. Định luật Ohm đối với toàn mạch: (3) (2) ĐL:   Cường độ dòng điện chạy trong mạch điện kín tỉ lệ thuận với suất điện động của mạch điện và tỉ lệ nghịch với điện trở toàn phần của mạch đó. (3) Là hệ thức của ĐL Ohm đối với toàn mạch
1)   Hiện tượng đoản mạch xảy ra khi nào ? 2) Khi đó, cường độ dòng điện phụ thuộc vào những yếu tố nào ? 3) Tại sao sẽ rất có hại cho ắc-quy nếu xảy ra hiện tượng đoản mạch? LÀM VIỆC THEO NHÓM
Hiện tượng đoản mạch xảy ra khi nào? Khi điện trở mạch ngoài không đáng kể:  R N  = 0
Khi điện trở mạch ngoài không đáng kể:  R N  = 0
III. NHẬN XÉT  1) Hiện tượng đoản mạch Khi điện trở mạch ngoài không đáng kể: R N  = 0 thì: => Nguồn điện bị đoản mạch
Hãy cho biết vì sao sẽ rất nguy hiểm nếu hiện tượng đoản mạch xảy ra ở mạng điện gia đình? Biện pháp nào được sử dụng để tránh không xảy ra hiện tượng này? ????
 
 
Hãy chứng tỏ rằng ĐL Ohm đối với toàn mạch hoàn toàn phù hợp với ĐL bảo toàn và chuyển hoá năng lượng. ???
Công của nguồn điện: Nhiệt lượng toả ra ở mạch ngoài & mạch trong: Vì A=Q nên có:   2) ĐL Ohm đối với toàn mạch và ĐL bảo toàn và chuyển hoá năng lượng: => ĐL Ohm đối với toàn mạch hoàn toàn phù hợp với ĐL bảo toàn và chuyển hoá năng lượng.
 3) Hiệu suất của nguồn điện: U N : Hiệu điện thế mạch ngoài : Suất điện động của nguồn
* ĐL Ohm đối với toàn mạch: * Mối liên hệ giữa suất điện động và độ giảm điện thế: * Hiện tượng đoản mạch: TÓM TẮT KIẾN THỨC
 

Dinh -Luat -Ohm -2009

  • 1.
    ĐỊNH LUẬT OHMĐỐI VỚI TOÀN MẠCH Georg Simon Ohm (1789-1854)
  • 2.
  • 3.
    Đồ thị hàmsố y = ax + b BÀI CŨ
  • 4.
    Nhắc lại nộidung định luật Ohm đối với đoạn mạch chỉ chứa điện trở R Mối liên hệ giữa cường độ dòng điện I và hiệu điện thế U? I~ U BÀI CŨ
  • 5.
    Điều này cómâu thuẫn với định luật Ohm đối với đoạn mạch đã học không? ?????
  • 6.
    ĐỊNH LUẬT OHMĐỐI VỚI TOÀN MẠCH Georg Simon Ohm (1789-1854)
  • 7.
    * Toànmạch * Nguồn điện: * Điện trở tương đương mạch ngoài: R N * Điện trở toàn phần: R N + r 
  • 8.
  • 9.
  • 10.
  • 11.
    ĐL Ohm chomạch ngoài chỉ chứa R N Thay vào (1)
  • 12.
    II. Định luậtOhm đối với toàn mạch: IR N : Độ giảm điện thế mạch ngoài Ir: Độ giảm điện thế mạch trong  Suất điện động của nguồn điện có giá trị bằng tổng các độ giảm điện thế ở mạch ngoài và mạch trong.   Tích của cường độ dòng điện và điện trở được gọi là độ giảm điện thế
  • 13.
     II. Địnhluật Ohm đối với toàn mạch: (3) (2) ĐL: Cường độ dòng điện chạy trong mạch điện kín tỉ lệ thuận với suất điện động của mạch điện và tỉ lệ nghịch với điện trở toàn phần của mạch đó. (3) Là hệ thức của ĐL Ohm đối với toàn mạch
  • 14.
    1) Hiện tượng đoản mạch xảy ra khi nào ? 2) Khi đó, cường độ dòng điện phụ thuộc vào những yếu tố nào ? 3) Tại sao sẽ rất có hại cho ắc-quy nếu xảy ra hiện tượng đoản mạch? LÀM VIỆC THEO NHÓM
  • 15.
    Hiện tượng đoảnmạch xảy ra khi nào? Khi điện trở mạch ngoài không đáng kể: R N = 0
  • 16.
    Khi điện trởmạch ngoài không đáng kể: R N = 0
  • 17.
    III. NHẬN XÉT 1) Hiện tượng đoản mạch Khi điện trở mạch ngoài không đáng kể: R N = 0 thì: => Nguồn điện bị đoản mạch
  • 18.
    Hãy cho biếtvì sao sẽ rất nguy hiểm nếu hiện tượng đoản mạch xảy ra ở mạng điện gia đình? Biện pháp nào được sử dụng để tránh không xảy ra hiện tượng này? ????
  • 19.
  • 20.
  • 21.
    Hãy chứng tỏrằng ĐL Ohm đối với toàn mạch hoàn toàn phù hợp với ĐL bảo toàn và chuyển hoá năng lượng. ???
  • 22.
    Công của nguồnđiện: Nhiệt lượng toả ra ở mạch ngoài & mạch trong: Vì A=Q nên có:  2) ĐL Ohm đối với toàn mạch và ĐL bảo toàn và chuyển hoá năng lượng: => ĐL Ohm đối với toàn mạch hoàn toàn phù hợp với ĐL bảo toàn và chuyển hoá năng lượng.
  • 23.
     3) Hiệusuất của nguồn điện: U N : Hiệu điện thế mạch ngoài : Suất điện động của nguồn
  • 24.
    * ĐL Ohmđối với toàn mạch: * Mối liên hệ giữa suất điện động và độ giảm điện thế: * Hiện tượng đoản mạch: TÓM TẮT KIẾN THỨC
  • 25.

Editor's Notes

  • #5 Sau đó, cho Hs quan sat Tnghiem. Cho thấy khi I tăng, U lại giảm.=> vde mau thuân
  • #8 Giới thiệu kn toàn mạch. => Đl ohm d/v toàn mạch biể thị mối quan hệ giữa cddd chạy trong mạch kín với sdd của nguồn và dtro toàn phân của mạch
  • #9 Gioi thieụ mach dien nhu sgk, Von ké đo hdt mạch ngoài. Ampe kế đo cddd chay qua mạch kín.
  • #10 Không dùng điện trở phụ R 0 , trả lời trong mục sau cua bài