Dynamic Programming
It is typically applied to optimization problems
Optimization problems – the solutions are plenty with each
solution there is an associated value-it can be cost or profit
The solution that maximizes profit or minimizes cost is known
as optimal solution
Solving Optimization problem is to get optimal solution
A greedy approach may not always give an optimal solution
for example 0/1 knapsack problem
A brute force approach is generating all solutions and then
finding amongst them the one having lowest cost or
highest profit.
This will require lot of effort
Effort can be reduced in two ways
• In obtaining solutions a strategy similar to divide and
conquer strategy can be used
Divide problem into subproblems, find the solution of
subproblems and combine to get a solution of main problem
Since the process is carried out to get all possible solutions,
there is possiblity of overlapping subproblems, same
subproblem a part of two or more subproblems
The solving of same subproblem repetatively can be avoided
by storing its value once it is computed and using all over
again
• Avoid solving those subproblems which are no way
anywhere near optimal solution by attaching value with each
subproblem
Solve only those subproblems which contain subproblems
having best value
Matrix-Chain Multiplication problem
Given a sequence(chain) (A1,A2,……An) of n matrices ,
the product A1A2A3…An is to be computed.
There is already an algorithm to compute the product of
two matrices which is to be repeatedly applied
The matrix multiplication algorithm for two matrices of
order nxm by mxl involves nxmxl multiplications
which is the cost of multiplying two matrices
The cost of multiplying n matrices will depend on how
the chain is parenthesised
Ex. N=3 (A1,A2,A3) A1=10x100 A2=100x10 A3=10x100
1 [ [A1 A2] A3]
The product [A1,A2] involves 10x100x10=10000
multiplications giving a matrix which is 10x10
The product of this 10x10 matrix with A3 involves
10x10x100 multiplications
Total multiplications= 10000+10000=20000
2 [ A1[ A2 A3] ]
The product [A2,A3] involves 100x10x100=100000
multiplications giving a matrix which is 100x100
The product of A1 with this 100x100 matrix involves
10x100x100 multiplications
Total multiplications= 100000+100000=200000
Thus the way the chain is parenthesized decides the cost of
evaluating the product
The optimal solution to Matrix chain multiplication problem is
that parenthesization that gives minimum cost (minimum
number of multiplications)
Given a set of n matrices there can be many ways of
parenthesizing it
1 [[A1 ………………………..A7][A8……………..A16]]
[[[A1……. A4][A5 ….. A7][[A8…A10][A11….A16]]
2 [[A1 …A2][A3…. …………….. ……………..A16]]
[[A1…A2][A3..[[A5 A7][[A8…A10][A11….A16]]
Dynamic Programming can be applied to those problems
which exhibit optimal substructure property
A problem exhibits optimal substructure property if an optimal
solution to the problem contains within it optimal solution to
sub problems
Development of Dynamic programming algorithm can be
broken into four steps
1. Characterize the optimal solution in terms of optimal
solution of sub problems
Let us denote By Aij the matrix obtained from evaluating the
product AiAi+1….Aj in an optimal fashion
Thus Aij denotes optimal solution of a sub problem and the
optimal solution we are interested in is A1n
A1n is decomposed into two sub problems A1k and Ak+1n
Unless A1k and Ak+1n is optimal , A1n will not be optimal
Thus the optimal solution is characterized in terms of optimal
solution of sub problems
2. Recursively define the value of an optimal solution
The value should be such that it can be used as an
optimization criteria to discard sub problems
Let mij denote the minimum number of multiplications required
to compute matrix chain multiplication Aij
We define mij recursively
mij =0 if i=j
m11 is the number of multiplications for A11 [A1] =0
Since Aij can be expressed as [Aij]=[[Aik][Ak+1j]]
There are several ways we can choose k , i ≤ k < j
Total multiplications for Aik are Mik and similarly for Ak+1j are Mk+1j
Let A1 be p0xp1 A2 be p1xp2 ………….An be pn-1xpn
The total multiplication will be
mik+mk+1j + pi-1xpkxpj
mij= 0 if i=j
min i≤ k < j( mik+mk+1j + pi-1* pk * pj) if i≠ j
3. Compute the values in bottom up fashion and storing them
so that they can be reused
We will use a nxn table to store the calculated costs mij
Ex n=5 A1 = 5x10 A2 10x10 A3 = 10x5 A4 = 5x20 A5=20x5
(po,p1,p2,p3,p4,p5)=(5,10,10,5,20,5)
We are interested in calculating m1n which is minimum number
of multiplications required to calculate A1n
We go in bottom up manner first calculating m11
mij=0 if i=j
for i= 1 to n do m[i][i]=0
m12 = min 1≤ k < 2( mik+mk+1j + pi-1 x pk x pj)
= m11+m22+poxp1xp2=0+0+5x10x10=500
m23=m22+m33+p1xp2xp3=0+0+10x10x5=500
m34=m33+m44+p2xp3xp4=0+0+10x5x20=1000
m45=m44+m55+p3xp4xp5=0+0+5x20x5=500
mij 1 2 3 4 5
1 0 500
2 0 500
3 0 1000
4 0 500
5 0
m13=min 1≤ k < 3( mik+mk+1j + pi-1xpkxpj)
m11+m23 +poxp1xp3=0+500+5x10x5
=min
m12+m33+p0xp2xp3=500+0+5x10x5
= min(750,750)=750
(po,p1,p2,p3,p4,p5)
=(5,10,10,5, 20, 5)
750
m24=min 2≤ k < 4( mik+mk+1j + pi-1xpkxpj)
m22+m34 +p1xp2xp4=0+1000+10x10x20
=min
m23+m44+p1xp3xp4=500+0+10x5x20
= min(3000,1500)=1500
1500
mij 1 2 3 4 5
1 0 500 750
2 0 500 1500
3 0 1000
4 0 500
5 0
m35=min 3≤ k < 5( mik+mk+1j + pi-1xpkxpj)
m33+m45 +p2xp3xp5=0+500+10x5x5
=min
m34+m55+p2xp4xp5=1000+0+10x20x5
= min(750,2000)=750
(po,p1,p2,p3,p4,p5)
=(5,10,10,5,20,5)
750
m14=min 1≤ k < 4( mik+mk+1j + pi-1xpkxpj)
m11+m24 +p0xp1xp4=0+1500+5x10x20
=min m12+m34 +p0xp2xp4=500+1000+5x10x20
m13+m44+p0xp3xp4=750+0+5x5x20
= min(2500,2500,1250)=1250
1250
mij 1 2 3 4 5
1 0 500 750 1250
2 0 500 1500
3 0 1000 750
4 0 500
5 0
(po,p1,p2,p3,p4,p5)
=(5,10,10,5,20,5)
m25=min 2≤ k < 5( mik+mk+1j + pi-1xpkxpj)
m22+m35 +p1xp2xp5=0+750+10x10x5
=min m23+m45 +p1xp3xp5=500+500+10x5x5
m24+m55+p1xp4xp5=1500+0+10x20x5
= min(1250,1250,2500)=1250
1250
m15=min 1≤ k < 5( mik+mk+1j + pi-1xpkxpj)
m11+m25 +p0xp1xp5=0+1250+5x10x5
=min m12+m35 +p0xp2xp5=500+750+5x10x5
m13+m45+p0xp3xp5=750+500+5x5x5
m14+m55 + p0xp4xp5=1250+0+5x20x5
= min(1500,1500,1375,1750)=1375
1375
Algorithm MatrixChain(P,M,n)
{ for i= 1 to n do M[i][i]=0//multiplications of size 1
for l=2 to n //multiplications of size l
{ for i = 1 to n -l +1 // number of
multiplications
{ j=i+l-1
M[i][j]=∞
for k= i to j-1
{q=M[i][k]+M[k+1][j]+p[i-1]xp[k]xp[j]
if q<M[i][j] then M[i][j]=q }}}
return m}
mij 1 2 3 4 5
1 0 500 750 1250 1375
2 0 500 1500 1250
3 0 1000 750
4 0 500
5 0
The running time of the algorithm is O(n3
)
Space complexity θ(n2
) space to store the values
4. Construct an optimal solution from computed
information
apart from value of m we must also store the value of k
mij 1 2 3 4 5
1 0 500
1
750
1
1250
3
1375
3
2 0 500
2
1500
3
1250
2
3 0 1000
3
750
3
4 0 500
4
5 0
[A1….A5]
3
[[A1…A3][A4…A5]]
1 4
[[[A1][A2A3]][A4A5]]
Print optimal parents
• print_optimal_parents(S, i, j)
{ if i = j
then print “Ai”
else
print “ [ ”
print_optimal_parents(S, i , S[ i , j ])
print_optimal_parents(S,S[ i , j ] + 1 , j )
print “ ] ”
• }
Algorithm MatrixChain(P,M,S,n)
{ for i= 1 to n do
{ S[i][j]=0 M[i][i]=0 }
for l=2 to n //multiplications of size l
{ for i = 1 to n -l +1 // number of
multiplications
{ j=i+l-1
M[i][j]=∞
for k= i to j-1
{q=M[i][k]+M[k+1][j]+p[i-1]xp[k]xp[j]
if q<M[i][j] then
{M[i][j]=q
S[i][j]=k
}
} }
}
return m} Additional space of θ(n2
) for S
Once Sij are calculated the optimal solution can be
calculated using following recursive procedure
Algorithm MatrixChainMultiply(A,S,i,j)
If i < j then
{ x=MatrixChainMultiply(A,S,i,s[i][j])
y=MatrixChainMultiply(A,S, s[i][j]+1,j)
return MatrixMultiply[x,y] // return” [“+X,Y+”]”
}
else return Ai // [Ai]
}
MCM (A,S,1,5)
MCM (A,S,1,3) MCM (A,S,4,5)
MM (A,S,1,1)
[A1]
MCM (A,S,2,3) MCM (A,S,4,4) MCM (A,S,5,5)
MCM (A,S,2,2) MCM (A,S,3,3)
[A2] [A3]
[[A2][A3]]
[[A1][[A2][A3]]]
[A4] [A5]
[[A4][A5]]
[[[A1][[A2][A3]]] [[A4][A5]]]
Shortest Path
• In a shortest path problems we are given a weighted,
directed graph G=(V, E),with weight function w:E to
R mapping edges to real valued weights. The weight
of path p=<v0,v1,…,vk> is the sum of the weights of
its constituent edges.
• w(p) = ∑w(vi-1,vi) i from 1 to k
• We define the shortest path weight from u to v by….
p
• δ (u, v) = min(w(p): u->v) if there is path from u
to v
∞ otherwise
The shortest path from vertex u to vertex v is then
defined as any path p with weight w(p) = δ (u, v)
Single Source Shortest paths
Algorithm relax
Bellman-Ford algorithm
Dijkstra’s algorithm
All pairs Shortest path
• Suppose we wish to find the shortest path distance
between every pair of vertices in a directed graph G with
n vertices and m edges.
• If G has no negative weight edges, then we could run
Dijkstra’s algorithm from each vertex in G. In worst case,
this approach would take O(n^3 log n) time.
• If G contains no negative weight cycles, then we can run
Bellman- Ford algorithm starting from each vertex in G,
which would run in O(n^4) time in worst case.
• Here we will study an Floyd Warshall algorithm to find
shortest path between all pairs of vertices which runs in
time O(n^3).
Floyd Warshall
• Let dij(k)
be the weight of a shortest path from vertex i to j
with intermediate vertices {1,2,…,k}.
• When k=0, there are no intermediate vertices and
dij(0)
= wij. A recursive definition is given by
dij(k) = wij if k=0
min (dij(k-1)
, dik
(k-1)
+dkj
(k-1)
)if k>=1
Because for any path, all intermediate vertices are in the set
{1,2, ….,n}, the matrix D(n) = dij(n) gives the final answer:
dij(n) = δ (i, j) for all i,j in V.
• Input to Floyd warshall algorithm is an n X n matrix W
defined as in above equation. The procedure returns the
matrix D(n) of shortest path weights.
Algorithm: Floyd Warshall
• Floyd_Warshall(W)
{n  rows[W]
D(0)
 W
for k  1 to n
do for i1 to n
do for j1 to n
do dij
(k)
min (dij
(k-1)
,dik
(k-1)
+dkj
(k-1)
)
return D(n)
}
0/1 knapsack
• A solution to knapsack problem can be obtained by making a
sequence of decisions on the variables x1, x2, …xn.
• xi=0, if xi is not selected and xi=1, if xi is selected.
• Let us assume that decisions on xi are made in order xn,xn-1,
…,x1
• Let fi(y) be the value of an optimal solution to KNAP(1,j,y)
where y is capacity remaining and j is index of object
considered.
• Following decision on xn, one of the two possibilities can occur.
• 1) the capacity remaining knapsack is m and no profit has been
earned.
• 2)Capacity remaining = m-wn and profit earned is Pn.
• Remaining decisions xn-1,…,x1must be optimal with respect to
resulting problem state.
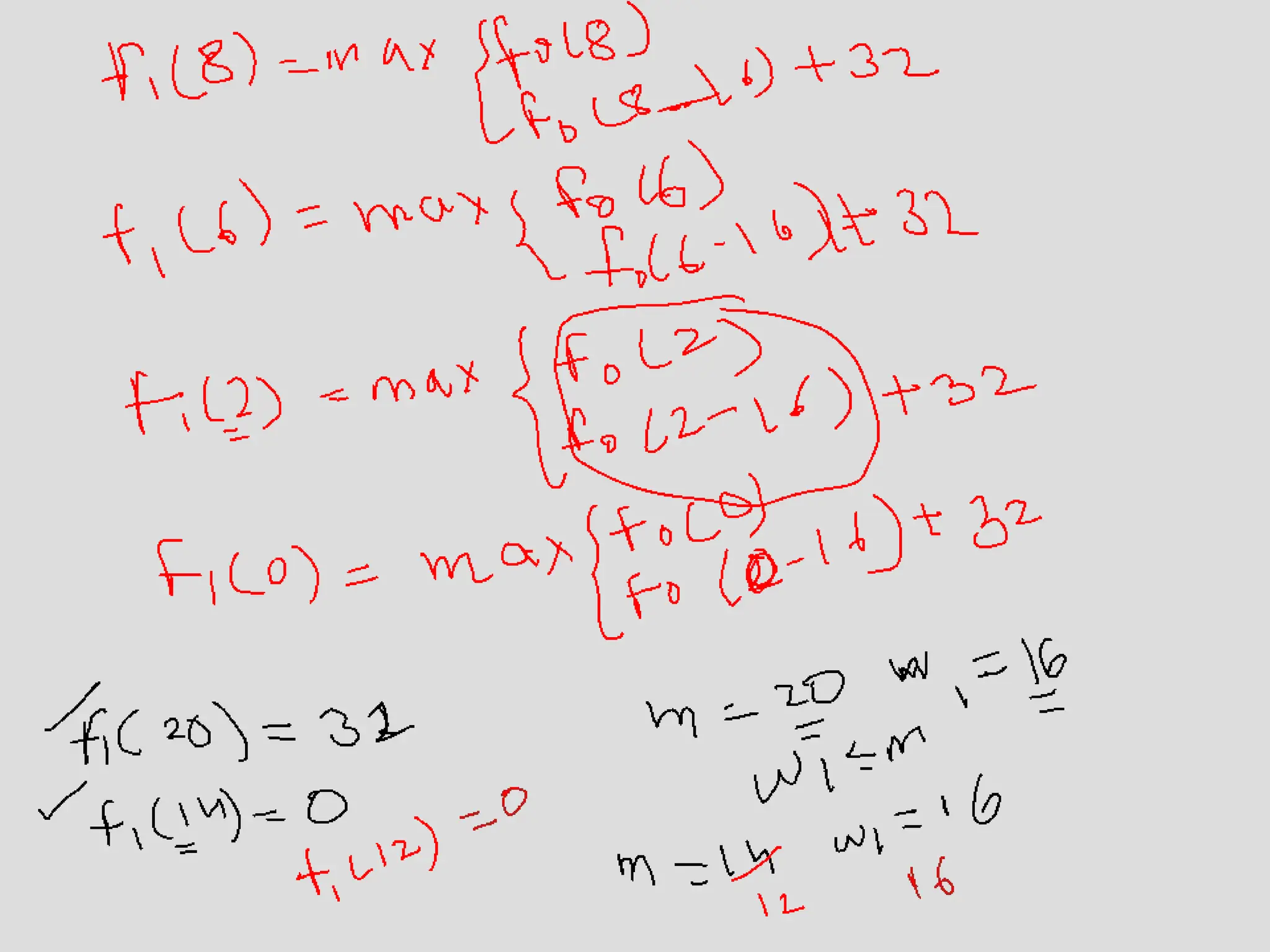
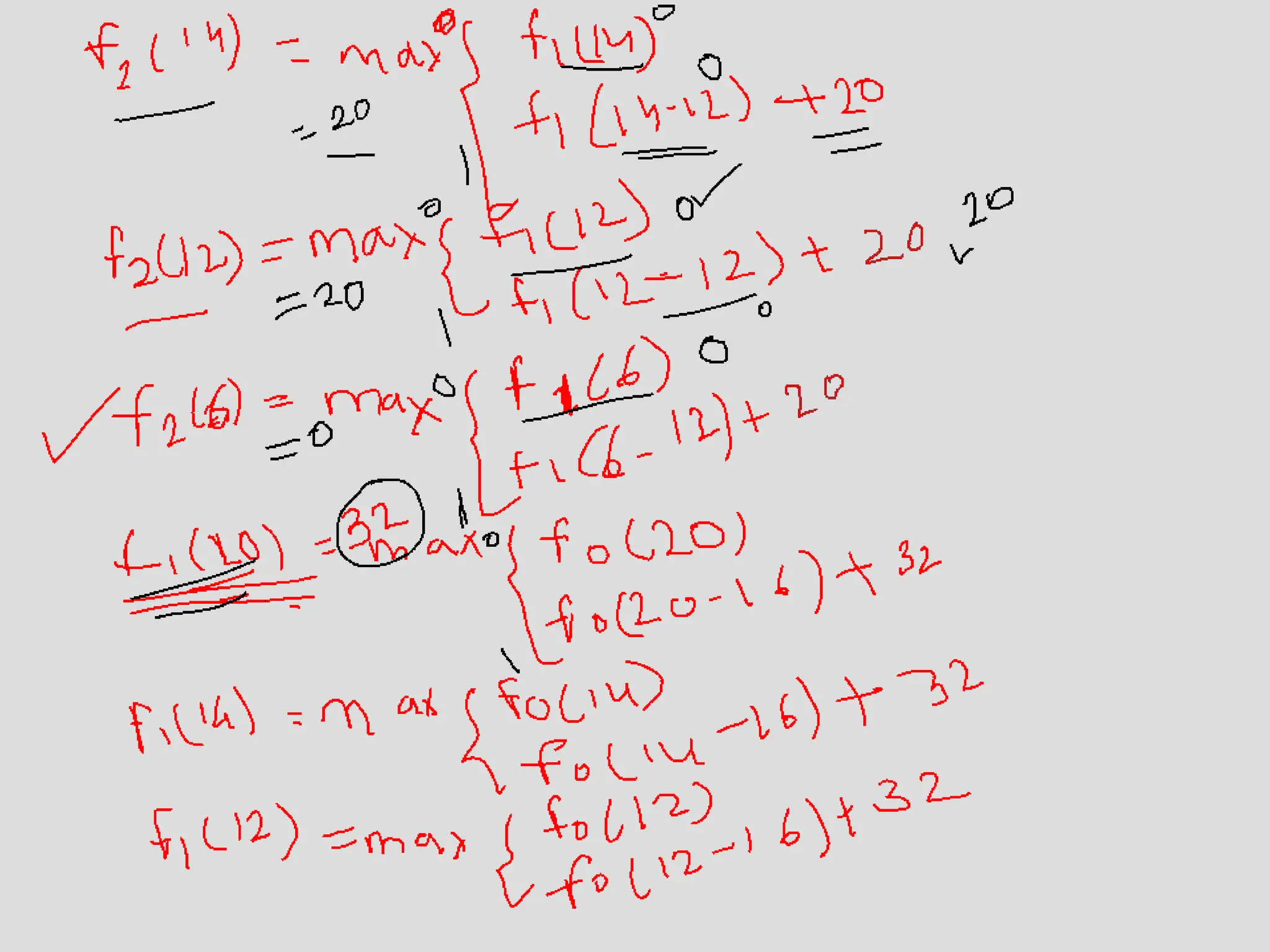
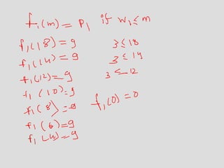
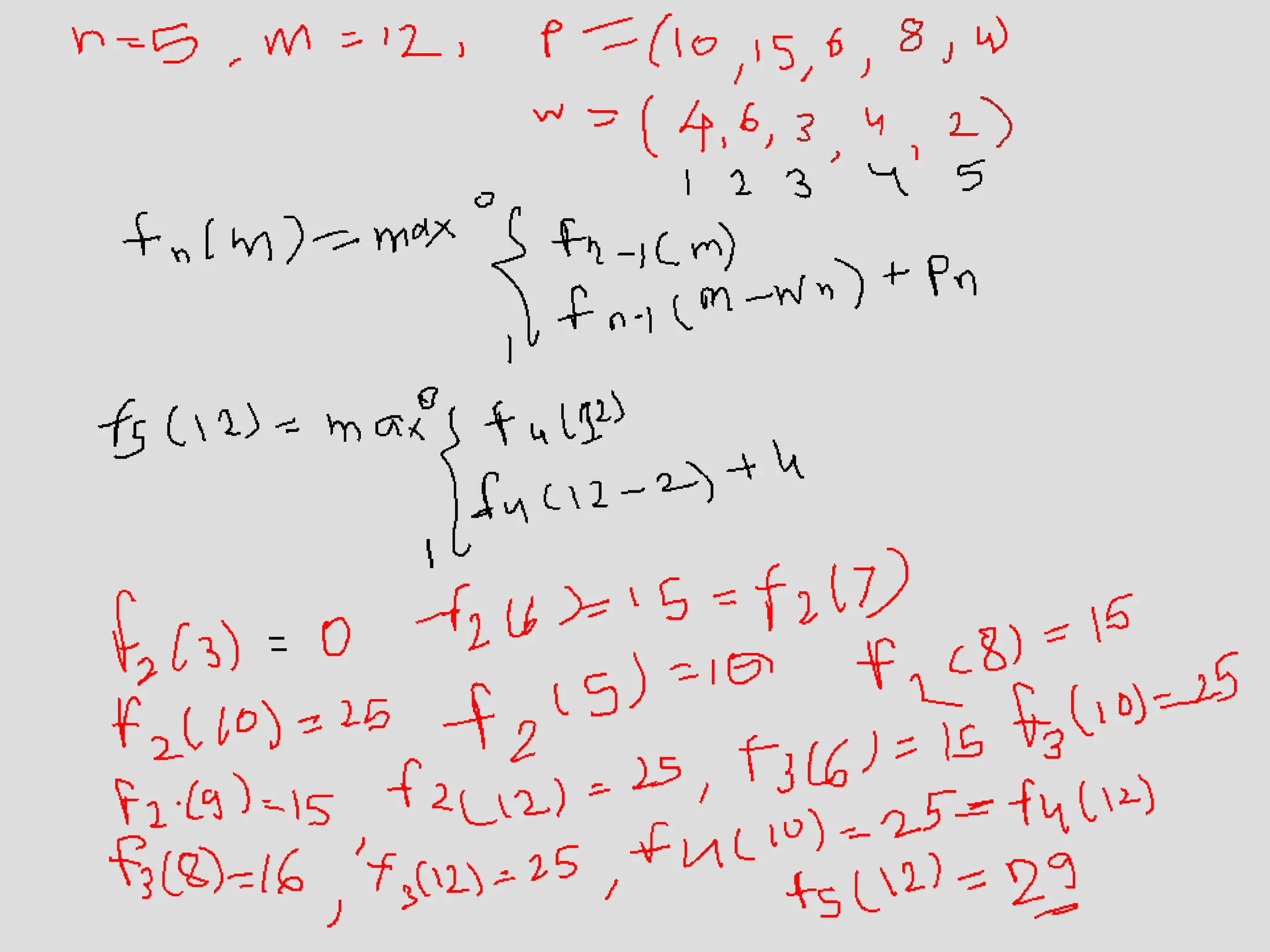
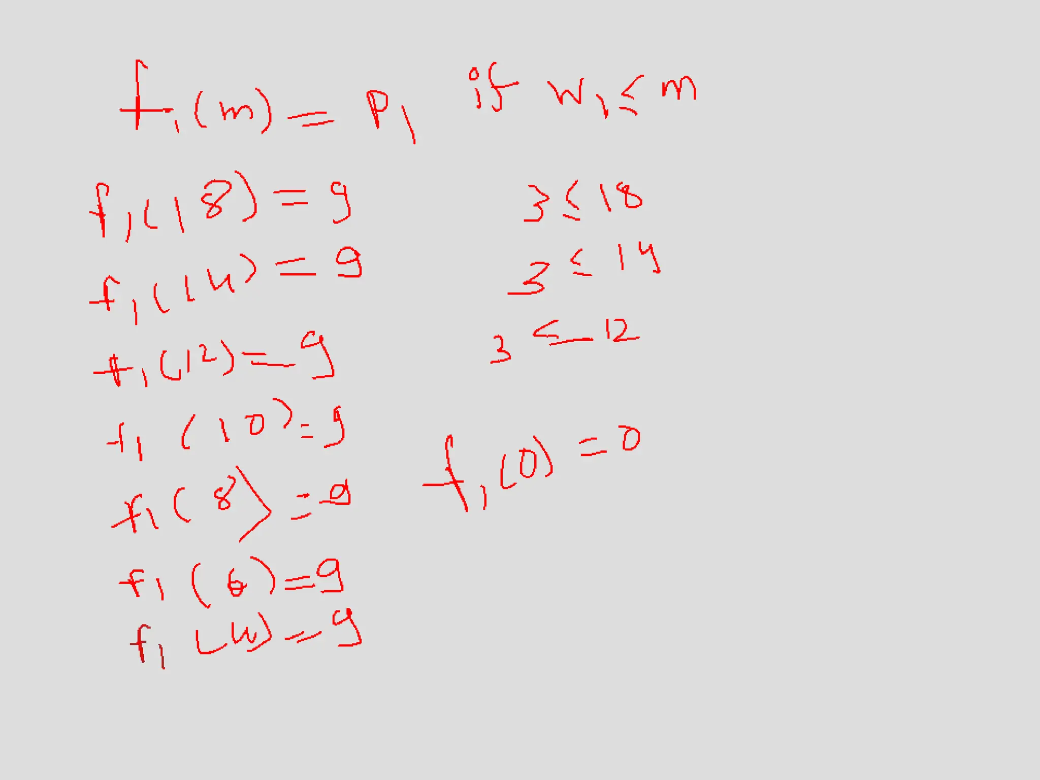
• Fn(m) = max { fn-1(m),fn-1(m-wn)+pn}
• In general , for i>0
• Fi(y)= max{ fi-1(y),fi-1(y-wi)+pi}
• Note that f0(m) = 0
• F1(m)=P1 if w1<=m
=0 if w1>m
F(-m) = -∞
0/1 Knapsack Problem
The solution is a set of values x1,x2,….xn such that
∑pixi is maximized and ∑wixi ≤ m
1. Let Knap(i, j, y) denote the knapsack problem with
solution xi,…..xj with ∑ pixi is maximized and ∑wixi ≤ y
The Knapsack problem is represented by Knap(1,n,m)
If y1y2….yn is optimal solution of Knap(1,n,m) and
If y1=0 then y2…yn must be optimal solution of knap(2,n,m)
and
If y1=1 then y2..yn must be optimal solution of knap(2,n,m-w1)
Generalizing
If yiyi+1….yn is optimal solution of Knap(i, n, m) and
If yi=0 then yi+1…yn must be optimal solution of knap(i+1,n,m)
and If yi=1 then yi+1..yn must be optimal solution of
knap(i+1,n,m-wi)
Thus the optimal solution of problem can be expressed in
terms of optimal solution to subproblem
Alternatively
If y1y2….yj is optimal solution of Knap(1,j,m) and
If yj=0 then y1…yj-1 must be optimal solution of knap (1,j-1,m)
and If yj=1 then y1..yj-1 must be optimal solution of
knap(1,j-1,m-wj)
2. Let gj(y) be the value of the optimal solution to the
knapsack problem knap(j+1,n,y) which is the profit earned
g0(m) is the value of optimal solution to knap(1,n,m)
gn(m) is the value of optimal solution to knap(n+1,n,m)
gn(y) = 0
To avoid knapsack capacity to be considered as negative
gn(y)= -∞ if y <0 and gn(y)= 0 if y ≥ 0
gi(y)= max { gi+1(y) , gi+1(y-wi)+pi}
Alternatively let fj(y) be the value of optimal solution to the
knapsack problem knap(1,j,y)
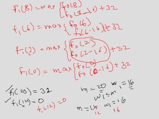
f0(y)=0 y≥0 f0(y) = -∞ y<0 fj(y)= max{ fi-1(y), fi-1(y-wi)+pi}
3. Computing the values in bottom up manner
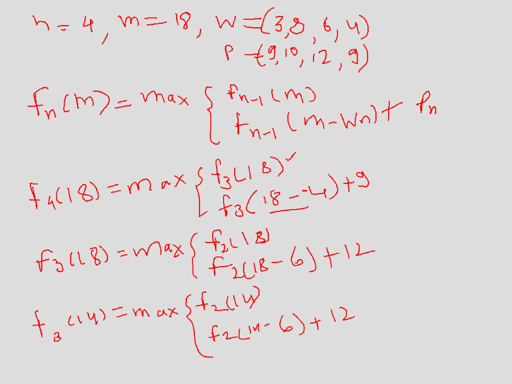
Consider the knapsack instance n=4 , m=20
(w1,w2,w3,w4)=(16,12,8,6) and
(p1,p2,p3,p4)=(32,20,14,9)
f0(y) = 0 y ≥ 0
-∞ y <0
f1(y) = max( f0(y), f0(y-16)+32}
f1(y) = -∞ y<0
0 0 ≤ y < 16
32 y ≥ 16
f2(y) = max( f1(y), f1(y-12)+20}
f2(y) = -∞ y<0
0 0 ≤ y < 12
20 12 ≤ y < 16
32 16 ≤ y <28
52 y ≥ 28
f3(y) = max( f2(y), f2(y-8)+14}
f3(y) = -∞ y<0
0 0 ≤ y < 8
14 8≤ y < 12
20 12 ≤ y < 16
32 16 ≤ y < 20
34 20 ≤ y < 24
46 24 ≤ y < 28
52 28 ≤ y < 36
66 y ≥ 36
f4(y) = max( f3(y), f3(y-6)+9}
f4(y) = -∞ y<0
0 0 ≤ y < 6
9 6 ≤ y < 8
14 8 ≤ y < 12
20 12 ≤ y < 14
23 14 ≤ y < 16
32 16 ≤ y < 20
34 20 ≤ y < 22
41 22 ≤ y < 24
46 24 ≤ y < 28
52 28 ≤ y < 30
55 30 ≤ y < 34
61 34 ≤ y < 36
66 36 ≤ y < 42
75 y ≥ 42
0 5 10 15 20 25 30
f0(y) = 0 y ≥ 0
-∞ y <0
f1(y) = -∞ y<0
0 0 ≤ y < 16
32 y ≥ 16
f2(y) = -∞ y<0
0 0 ≤ y < 12
20 12 ≤ y < 16
32 16 ≤ y <28
52 y ≥ 28
0 5 10 15 20 25 30
0 5 10 15 20 25 30
0 5 10 15 20 25 30
Each fi(y) calculated need to be stored
Each fj(y) is a step function and step function can be
stored by storing only the points at which the value
changes
For example
f0(y)=0 y ≥ 0
f0(y)= {(0,0)}
f1(y) = 0 0 ≤ y < 16
32 y ≥ 16
f1(y)={(0,0),(16,32)} or {(0,0),(32,16)}
f2(y) = 0 0 ≤ y < 12
20 12 ≤ y < 16
32 16 ≤ y <28
52 y ≥ 28
f2(y) ={(0,0),(20,12),(32,16),(52,28)}
We denote by Si
=the set of points (f(yj),yj) 1≤ j ≤ k
It is clear that S0
={(0,0)
We define a simple method of computing Si
’s recursively
We can compute Si+1
from Si
by first computing S1
i
S1
i
={(p,w}/(p-pi,w-wi) ε Si
}
S1
i
can be computed by adding pi, wi to each pair in Si
S1
1
={(32,16)}
Si+1
can be computed by merging the pairs in Si
and S1i
.
During merging unwanted pairs are to be purged
If Si+1
contains two pairs (pj, wj) and (pk, wk) with pj< pk and
wj > wk then pj,wj is discarded
Consider the knapsack instance n=4 , m=20
(w1,w2,w3,w4)=(16,12,8,6) and (p1,p2,p3,p4)=(32,20,14,9)
S0
= { (0,0)} S1
0
= {(32,16)}
S1
={(0,0),(32,16)} S1
1
={(20,12),(52,28)}
S2
={(0,0),(20,12),(32,16),52,28)}
S1
2
={(14,8),(34,20),(46,24),(66,36)}
S3
={(0,0),(14,8),(20,12),(32,16),(34,20),(46,24),(52,28),
(66,36)}
S1
3
=((9,6),(23,14),(29,18),(41,22),(43,26),(55,30),(61,34),
(75,42)}
S4
={(0,0),(9,6),(14,8),(20,12),(23,14),(32,16),(34,20),
(41,22),(46,24),(52,28),(55,30),(61,34),(66,36),(75,42)}
The values (29,18) and (43,26) are purged
Algorithm DKnap(P,W,n,m)
{ S0
={(0,0)}
for i=1 to n-1 do
{ S1
i-1
={(p+pi,w+wi)/(p,w) ε Si-1
}
Si
=MergePurge(Si-1
,s1
i-1
)
}
Each computed value is stored , the running time is the
same as the total computed values
If |Si
| be the number of pairs in Si
. Since each Si
is
obtained by merging Si-1
and S1
i-1
, |Si
| ≤ 2|Si-1
|
In worst case |Si
| ≤ 2i
and
∑ |Si
| = ∑ 2i
= 2n
-1
0≤ i≤ n-1 0≤ i≤ n-1
Thus the time needed to compute all Si
’s is O(2n
)
In any Si
, the pairs have distinct P values and W values
Also the value does not exceed m. Hence
|Si
| ≤1+∑pj and |Si
| 1+min{ ∑wj , m}
Thus time and space complexity is O(min(2n
,n∑pj, nm))
Traveling Salesperson Problem
The traveling Salesperson problem is to find a tour of
minimum cost
Let G=(V,E) be a directed graph with |V|=n > 0 and edge
costs cij where cij >0 for i and j and cij = -∞ if (i,j) not in E.
A tour of G is a directed simple cycle that includes
every vertex in V.
The cost of tour is sum of the cost of edges on the tour
Without loss of generality , assume tour starts and ends
at vertex 1.
Every tour consists of an edge (1,k) for some k in V-{1}
and a path from vertex k to 1 going through each
vertex in V-{1,k} exactly once
1
k
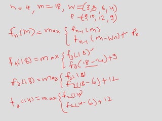
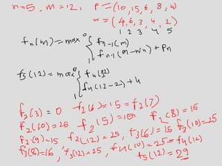
1 Let us denote by T(i ,s ) the problem of starting at
vertex i and traveling through all vertices in set S and
then reaching back to 1 as the tour should always end
at 1 .
The optimal solution to T(i ,S) will involve going from i to
some vertex k and then travelling through alll vertices
in S-{k} in an optimal manner which is the optimal
solution to the problem T(k,S-{k})
Thus the problem satisfies optimal substructure property
i
k
1
S
S-{k}
2 let g(i, S) denote the cost of the optimal tour starting
from i, visiting all vertices in s and ending at 1.
The TSP problem is to get g(1,S)
If S is empty ,g( i,φ ) will be the cost of the tour starting at
i visiting no vertices as S is empty and reaching 1.
Thus the cost is of directly moving from i to 1 i.e. ci1
g(i, φ)= ci1 1 ≤ i ≤ n
If S is not empty . The cost of moving from i to some k is
cik and then g(k, S-{k} ) is the optimal cost of reaching
1 after travelling through remaining vertices.
We can choose that k in S which gives the minimum cost
g(i, S)= min { cik +g (k, S-{k})
k ε S
3 . Compute the values in bottom up manner
Consider a TSP instance given by following graph and
cost matrix
1 2
4 3
0 10 15 20
5 0 9 10
6 13 0 12
8 8 9 0
g(2, φ)= c21=5
g(3, φ)= c31=6
g(4, φ) = c41 =8
Next consider singleton sets {2} {3} and {4}
g(i,S)= min k ε S { cik +g (k, S-{k})
g(2, {3})= min k ε{3} (c2k + g(k, {3}-{3})= c23+g(3, φ)
= 9+6=15
g(2, {4})= min k ε{4} (c24 + g(k, {4}-{4})= c24+g(4, φ)
= 10+8=18
g(3, {2})= min k ε{2} (c3k + g(k, {2}-{2})= c32+g(2, φ)
= 13+5=18
g(3, {4})= min k ε{4} (c3k + g(k, {4}-{4})= c34+g(4, φ)
= 12+8=20
g(4, {2})= min k ε{2} (c4k + g(k, {2}-{2})= c42+g(2, φ)
= 8+5=13
g(4, {3})= min k ε{3} (c4k + g(k, {3}-{3})= c43+g(3, φ)
= 9+6=15
Next , Compute g( i,S) with S containing 2 elements
g(2,{3,4])=min( c23+g(3,{4}), c24+g(4,{3}))
=min( 9+20, 10+15)=min(29,25)= 25
g(3,{2,4])=min( c32+g(2,{4}), c34+g(4,{2}))
=min( 13+18, 12+13)=min(31,25)= 25
g(4,{2,3])=min( c42+g(2,{3}), c43+g(3,{2}))
=min( 8+15, 9+18)=min(23,27)= 23
Finally
g(1, {2,3,4})
=min( c12+g(2,{3,4}),c13+g(3,{2,4}), c14+g(4,{2,3}))
= min (10+25, 15+25 ,20+23)=min(35,40,43}=35
4. The tour can be constructed if we also store with each
g(i,S), the value j that minimizes the right hand side say
J(i,S)
J(1,{2,3,4})=2 The tour starts from 1 and goes to 2
J(2,{3,4})=4 from 2 go to 4 , from 4 to 3 and back to 1
Let N be the number of g(i,s)’s to be computed and
stored
For each value of S there are n-1 choices of i. The
number of sets S of size k not including 1 and I is n-2
Ck
n-2 n-2
N= ∑ n-1 (n-2
Ck) = n-1 ∑ (n-2
Ck) = (n-1) 2 n-2
k=0 k=0
The space complexity of the algorithm is O(n2n
) as all the
computed values need to be stored
Since for finding minimum, comparisons are required
time complexity is O(n2
2n
)
It is better than enumerating all n! permutations to chose
the best one but space complexity is very high
Longest common subsequence(LCS)
• Given a sequence X=<x1,x2,…,xm>,another sequence
z=<z1,z2,…zk> is a subsequence of X if there exist a
strictly increasing sequence <i1,i2,…ik> of indices of X
such that for all j=1,2,…k we have xij=Zj.
• Given two sequences X and Y we say that Z is common
subsequence of X and Y if Z is a subsequence of both X
and Y.
• If X=<A,B,C,B,D,A,B> AND Y=<B,D,C,A,B,A> then
Z=<B,C,A,B> is common sequence of both X and Y
• Given two sequences X and Y, a maximum length
common subsequence of X and Y is called Longest
common subsequence(LCS) of X and Y.
Longest common subsequence problem
• Given two sequences X=<x1,x2,…,xm>, and y=<y1,y2,…
yn>, to find a maximum length common subsequence of X
and Y.
• Let c[i, j] = length of an LCS of Xi and Yj.
• Let c[0,0] = 0
Hence,
c[i, j] =0 if i=0 or j=0
=c[i-1,j-1]+1 if i,j>0 and xi=yj
=max{c[i,j-1],c[i-1,j]} if i,j>0 and xi≠yj
i.e. if xi = yj then c[i, j] = 1+ diagonal
else c[i, j] = max {up , left}
• Algorithm LCS(X,Y)
{ m= length(X);
n=length(Y);
for(i= 0 to m)
c[i,0] = 0;
for(j= 0 to n)
c[0, j] = 0;
for(i= 1 to m)
{ for(j =1 to n)
{ if (xi = yj)
then
{ c[i,j] = c[i-1, j-1] + 1; b[i, j] = ‘ ’}
↖
else{ if(c[i-1,j]>=c[i,j-1])
then
{ c[i, j] =c[i-1,j];
b[i,j] =‘↑’;
}
else
{c[i, j] =c[i,j -1];
b[i,j] =‘←’;}
}}}
Algorithm LCS runs in O(mn) time.
String Editing
• Given two strings X=x1,x2,…,xn Y=y1,y2,..,ym
where xi’s and yj’s are elements of finite set of
symbols called Alphabet.
• We want to transform X into Y using a
sequence of edit operations on X.
• These edit operations are insert, delete and
change (symbol of X into another).
• There is cost associated with each operation.
• The cost of sequence of operations is sum of
the costs of individual operations in the
sequence.
• The problem of string editing is to find a minimum
cost sequence of edit operations that will
transform X into Y.
• Let D(xi) = the cost of deleting xi from X
• I(yj) = the cost of inserting yj into X
• C(xi,yj)=the cost of changing xi of X into yj.
• Define cost(i,j) = minimum cost of edit sequence
for transforming x1,x2,…, xi to y1,y2,…yj
where ,0≤ i≤ n and 0≤ j≤ m.
• Cost(i,j) = 0 if i=j=0
• To find cost(m,n) = minimum cost of transforming
X into Y
• If j=0 i>0 transform X to Y by sequence of
delete operations
cost(i,0) = cost (i-1,0)+D(xi)
• If i=0 j>0 transform X to Y by sequence of
insert operations
cost(0,j) = cost (0,j-1)+I(yj)
• If i≠0 j≠0 one of the three ways can be used
i. Transform x1,x2,…,xi-1 into y1,y2,…,yj using a
minimum cost edit sequence and then delete
xi. cost(i, j) = cost(i-1,j)+D(xi)
ii.Transform x1,x2,…,xi-1 into y1,y2,…,yj-1 using
a minimum cost edit sequence and then
change xi to yj. cost(i,j) = cost(i-1,j-1)+C(xi,yj)
iii.Transform x1,x2,…,xi into y1,y2,…,yj-1 using a
minimum cost edit sequence and then insert yj.
cost(i,j) = cost(i,j-1)+I(yj)
• Cost(i,j) = 0 if i=j=0
=cost(i-1,0)+D(xi) if j=0,i>0
=cost(0,j-1)+I(yj) if i=0,j>0
If xi = yj , 0+ c(x i-1 , y j-1) else
=min{cost(i-1,j)+D(xi), if i>0, j>0
cost(i-1,j-1)+c(xi, y j),
cost(i,j-1)+I(y j)}
Method to find cost(m, n)
1.Compute 1st
row of table with i=0
2. Compute 1st
column of table with j=0
3.for(i=1 to n)
{for(j=1 to m)compute cost(i, j);}
• Given sequences X=a, a, b, a, b and
Y=b, a, b, b. Find all edit sequence of
minimum cost which transforms X into Y.
Cost of each insertion and deletion is 1 and
cost of changing any symbol to any other
symbol is 2.
• Solution : X=a, a, b, a, b
Y=b, a, b, b
n= 5 and m= 4
I(yj) = 1 and D(xi) = 1 and C(xi, yj) = 2
Cost(0,0) = 0
When i=0 to find cost(0,1)
Cost(0,1) = cost(0,1-1) + I(y1) = 0+1 = 1
Cost(0,2) = cost(0,2-1) + I(y2) = 1+1 = 2
Cost(0,3) = cost(0,3-1) + I(y3) = 2+1 = 3
Cost(0,4) = cost(0,4-1) + I(y4) = 3+1 = 4
When j=0
Cost(i,0) = cost(i-1,0)+D(xi)
Hence, Cost(1,0)=cost(1-1,0)+D(x1) = 0+1
Cost(2,0)=cost(2-1,0)+D(x2) = 1+1 = 2
Cost(3,0)=cost(3-1,0)+D(x3) = 2+1 = 3
Cost(4,0)=cost(4-1,0)+D(x4) = 3+1 = 4
Cost(5,0)=cost(5-1,0)+D(x1) = 4+1 = 5
• The remaining entries are found out using
relation
• Cost(i,j) = min{cost(i-1,j) + D(xi),
cost(i-1,j-1) + C(xi,yj),
cost(I,j-1)+I(yj)}
i.e.min{diagonal + cost, left+1, up+1}
• X= a, a, b, a, b and Y= b, a, b, b
X = a b c d e f
Y = a z c e d
i / j y0 y1 y2 y3 y4
X0 0 1 2 3 4
X1 1 2 1 2 3
X2 2 3 2 3 4
X3 3 2 3 2 3
X4 4 3 2 3 4
X5 5 4 3 2 3
Q : X = a b c d e f
Y = a z c e d
Q: X= a a b a a b a b a a
Y= b a b a a b a

Design anf analysis of algorithms DYNAMIC PROGRAMMING.ppt

  • 1.
    Dynamic Programming It istypically applied to optimization problems Optimization problems – the solutions are plenty with each solution there is an associated value-it can be cost or profit The solution that maximizes profit or minimizes cost is known as optimal solution Solving Optimization problem is to get optimal solution A greedy approach may not always give an optimal solution for example 0/1 knapsack problem A brute force approach is generating all solutions and then finding amongst them the one having lowest cost or highest profit. This will require lot of effort Effort can be reduced in two ways
  • 2.
    • In obtainingsolutions a strategy similar to divide and conquer strategy can be used Divide problem into subproblems, find the solution of subproblems and combine to get a solution of main problem Since the process is carried out to get all possible solutions, there is possiblity of overlapping subproblems, same subproblem a part of two or more subproblems The solving of same subproblem repetatively can be avoided by storing its value once it is computed and using all over again • Avoid solving those subproblems which are no way anywhere near optimal solution by attaching value with each subproblem Solve only those subproblems which contain subproblems having best value
  • 3.
    Matrix-Chain Multiplication problem Givena sequence(chain) (A1,A2,……An) of n matrices , the product A1A2A3…An is to be computed. There is already an algorithm to compute the product of two matrices which is to be repeatedly applied The matrix multiplication algorithm for two matrices of order nxm by mxl involves nxmxl multiplications which is the cost of multiplying two matrices The cost of multiplying n matrices will depend on how the chain is parenthesised Ex. N=3 (A1,A2,A3) A1=10x100 A2=100x10 A3=10x100 1 [ [A1 A2] A3] The product [A1,A2] involves 10x100x10=10000 multiplications giving a matrix which is 10x10 The product of this 10x10 matrix with A3 involves 10x10x100 multiplications Total multiplications= 10000+10000=20000
  • 4.
    2 [ A1[A2 A3] ] The product [A2,A3] involves 100x10x100=100000 multiplications giving a matrix which is 100x100 The product of A1 with this 100x100 matrix involves 10x100x100 multiplications Total multiplications= 100000+100000=200000 Thus the way the chain is parenthesized decides the cost of evaluating the product The optimal solution to Matrix chain multiplication problem is that parenthesization that gives minimum cost (minimum number of multiplications) Given a set of n matrices there can be many ways of parenthesizing it 1 [[A1 ………………………..A7][A8……………..A16]] [[[A1……. A4][A5 ….. A7][[A8…A10][A11….A16]] 2 [[A1 …A2][A3…. …………….. ……………..A16]] [[A1…A2][A3..[[A5 A7][[A8…A10][A11….A16]]
  • 5.
    Dynamic Programming canbe applied to those problems which exhibit optimal substructure property A problem exhibits optimal substructure property if an optimal solution to the problem contains within it optimal solution to sub problems Development of Dynamic programming algorithm can be broken into four steps 1. Characterize the optimal solution in terms of optimal solution of sub problems Let us denote By Aij the matrix obtained from evaluating the product AiAi+1….Aj in an optimal fashion Thus Aij denotes optimal solution of a sub problem and the optimal solution we are interested in is A1n A1n is decomposed into two sub problems A1k and Ak+1n Unless A1k and Ak+1n is optimal , A1n will not be optimal Thus the optimal solution is characterized in terms of optimal solution of sub problems
  • 6.
    2. Recursively definethe value of an optimal solution The value should be such that it can be used as an optimization criteria to discard sub problems Let mij denote the minimum number of multiplications required to compute matrix chain multiplication Aij We define mij recursively mij =0 if i=j m11 is the number of multiplications for A11 [A1] =0 Since Aij can be expressed as [Aij]=[[Aik][Ak+1j]] There are several ways we can choose k , i ≤ k < j Total multiplications for Aik are Mik and similarly for Ak+1j are Mk+1j Let A1 be p0xp1 A2 be p1xp2 ………….An be pn-1xpn The total multiplication will be mik+mk+1j + pi-1xpkxpj mij= 0 if i=j min i≤ k < j( mik+mk+1j + pi-1* pk * pj) if i≠ j
  • 7.
    3. Compute thevalues in bottom up fashion and storing them so that they can be reused We will use a nxn table to store the calculated costs mij Ex n=5 A1 = 5x10 A2 10x10 A3 = 10x5 A4 = 5x20 A5=20x5 (po,p1,p2,p3,p4,p5)=(5,10,10,5,20,5) We are interested in calculating m1n which is minimum number of multiplications required to calculate A1n We go in bottom up manner first calculating m11 mij=0 if i=j for i= 1 to n do m[i][i]=0 m12 = min 1≤ k < 2( mik+mk+1j + pi-1 x pk x pj) = m11+m22+poxp1xp2=0+0+5x10x10=500 m23=m22+m33+p1xp2xp3=0+0+10x10x5=500 m34=m33+m44+p2xp3xp4=0+0+10x5x20=1000 m45=m44+m55+p3xp4xp5=0+0+5x20x5=500
  • 8.
    mij 1 23 4 5 1 0 500 2 0 500 3 0 1000 4 0 500 5 0 m13=min 1≤ k < 3( mik+mk+1j + pi-1xpkxpj) m11+m23 +poxp1xp3=0+500+5x10x5 =min m12+m33+p0xp2xp3=500+0+5x10x5 = min(750,750)=750 (po,p1,p2,p3,p4,p5) =(5,10,10,5, 20, 5) 750 m24=min 2≤ k < 4( mik+mk+1j + pi-1xpkxpj) m22+m34 +p1xp2xp4=0+1000+10x10x20 =min m23+m44+p1xp3xp4=500+0+10x5x20 = min(3000,1500)=1500 1500
  • 9.
    mij 1 23 4 5 1 0 500 750 2 0 500 1500 3 0 1000 4 0 500 5 0 m35=min 3≤ k < 5( mik+mk+1j + pi-1xpkxpj) m33+m45 +p2xp3xp5=0+500+10x5x5 =min m34+m55+p2xp4xp5=1000+0+10x20x5 = min(750,2000)=750 (po,p1,p2,p3,p4,p5) =(5,10,10,5,20,5) 750 m14=min 1≤ k < 4( mik+mk+1j + pi-1xpkxpj) m11+m24 +p0xp1xp4=0+1500+5x10x20 =min m12+m34 +p0xp2xp4=500+1000+5x10x20 m13+m44+p0xp3xp4=750+0+5x5x20 = min(2500,2500,1250)=1250 1250
  • 10.
    mij 1 23 4 5 1 0 500 750 1250 2 0 500 1500 3 0 1000 750 4 0 500 5 0 (po,p1,p2,p3,p4,p5) =(5,10,10,5,20,5) m25=min 2≤ k < 5( mik+mk+1j + pi-1xpkxpj) m22+m35 +p1xp2xp5=0+750+10x10x5 =min m23+m45 +p1xp3xp5=500+500+10x5x5 m24+m55+p1xp4xp5=1500+0+10x20x5 = min(1250,1250,2500)=1250 1250 m15=min 1≤ k < 5( mik+mk+1j + pi-1xpkxpj) m11+m25 +p0xp1xp5=0+1250+5x10x5 =min m12+m35 +p0xp2xp5=500+750+5x10x5 m13+m45+p0xp3xp5=750+500+5x5x5 m14+m55 + p0xp4xp5=1250+0+5x20x5 = min(1500,1500,1375,1750)=1375 1375
  • 11.
    Algorithm MatrixChain(P,M,n) { fori= 1 to n do M[i][i]=0//multiplications of size 1 for l=2 to n //multiplications of size l { for i = 1 to n -l +1 // number of multiplications { j=i+l-1 M[i][j]=∞ for k= i to j-1 {q=M[i][k]+M[k+1][j]+p[i-1]xp[k]xp[j] if q<M[i][j] then M[i][j]=q }}} return m} mij 1 2 3 4 5 1 0 500 750 1250 1375 2 0 500 1500 1250 3 0 1000 750 4 0 500 5 0
  • 12.
    The running timeof the algorithm is O(n3 ) Space complexity θ(n2 ) space to store the values 4. Construct an optimal solution from computed information apart from value of m we must also store the value of k mij 1 2 3 4 5 1 0 500 1 750 1 1250 3 1375 3 2 0 500 2 1500 3 1250 2 3 0 1000 3 750 3 4 0 500 4 5 0 [A1….A5] 3 [[A1…A3][A4…A5]] 1 4 [[[A1][A2A3]][A4A5]]
  • 13.
    Print optimal parents •print_optimal_parents(S, i, j) { if i = j then print “Ai” else print “ [ ” print_optimal_parents(S, i , S[ i , j ]) print_optimal_parents(S,S[ i , j ] + 1 , j ) print “ ] ” • }
  • 14.
    Algorithm MatrixChain(P,M,S,n) { fori= 1 to n do { S[i][j]=0 M[i][i]=0 } for l=2 to n //multiplications of size l { for i = 1 to n -l +1 // number of multiplications { j=i+l-1 M[i][j]=∞ for k= i to j-1 {q=M[i][k]+M[k+1][j]+p[i-1]xp[k]xp[j] if q<M[i][j] then {M[i][j]=q S[i][j]=k } } } } return m} Additional space of θ(n2 ) for S
  • 15.
    Once Sij arecalculated the optimal solution can be calculated using following recursive procedure Algorithm MatrixChainMultiply(A,S,i,j) If i < j then { x=MatrixChainMultiply(A,S,i,s[i][j]) y=MatrixChainMultiply(A,S, s[i][j]+1,j) return MatrixMultiply[x,y] // return” [“+X,Y+”]” } else return Ai // [Ai] } MCM (A,S,1,5) MCM (A,S,1,3) MCM (A,S,4,5) MM (A,S,1,1) [A1] MCM (A,S,2,3) MCM (A,S,4,4) MCM (A,S,5,5) MCM (A,S,2,2) MCM (A,S,3,3) [A2] [A3] [[A2][A3]] [[A1][[A2][A3]]] [A4] [A5] [[A4][A5]] [[[A1][[A2][A3]]] [[A4][A5]]]
  • 16.
    Shortest Path • Ina shortest path problems we are given a weighted, directed graph G=(V, E),with weight function w:E to R mapping edges to real valued weights. The weight of path p=<v0,v1,…,vk> is the sum of the weights of its constituent edges. • w(p) = ∑w(vi-1,vi) i from 1 to k • We define the shortest path weight from u to v by…. p • δ (u, v) = min(w(p): u->v) if there is path from u to v ∞ otherwise The shortest path from vertex u to vertex v is then defined as any path p with weight w(p) = δ (u, v)
  • 17.
  • 18.
  • 19.
  • 25.
  • 30.
    All pairs Shortestpath • Suppose we wish to find the shortest path distance between every pair of vertices in a directed graph G with n vertices and m edges. • If G has no negative weight edges, then we could run Dijkstra’s algorithm from each vertex in G. In worst case, this approach would take O(n^3 log n) time. • If G contains no negative weight cycles, then we can run Bellman- Ford algorithm starting from each vertex in G, which would run in O(n^4) time in worst case. • Here we will study an Floyd Warshall algorithm to find shortest path between all pairs of vertices which runs in time O(n^3).
  • 31.
  • 32.
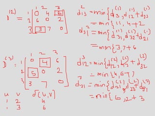
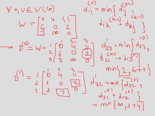
    • Let dij(k) bethe weight of a shortest path from vertex i to j with intermediate vertices {1,2,…,k}. • When k=0, there are no intermediate vertices and dij(0) = wij. A recursive definition is given by dij(k) = wij if k=0 min (dij(k-1) , dik (k-1) +dkj (k-1) )if k>=1 Because for any path, all intermediate vertices are in the set {1,2, ….,n}, the matrix D(n) = dij(n) gives the final answer: dij(n) = δ (i, j) for all i,j in V. • Input to Floyd warshall algorithm is an n X n matrix W defined as in above equation. The procedure returns the matrix D(n) of shortest path weights.
  • 33.
    Algorithm: Floyd Warshall •Floyd_Warshall(W) {n  rows[W] D(0)  W for k  1 to n do for i1 to n do for j1 to n do dij (k) min (dij (k-1) ,dik (k-1) +dkj (k-1) ) return D(n) }
  • 39.
    0/1 knapsack • Asolution to knapsack problem can be obtained by making a sequence of decisions on the variables x1, x2, …xn. • xi=0, if xi is not selected and xi=1, if xi is selected. • Let us assume that decisions on xi are made in order xn,xn-1, …,x1 • Let fi(y) be the value of an optimal solution to KNAP(1,j,y) where y is capacity remaining and j is index of object considered. • Following decision on xn, one of the two possibilities can occur. • 1) the capacity remaining knapsack is m and no profit has been earned. • 2)Capacity remaining = m-wn and profit earned is Pn. • Remaining decisions xn-1,…,x1must be optimal with respect to resulting problem state.
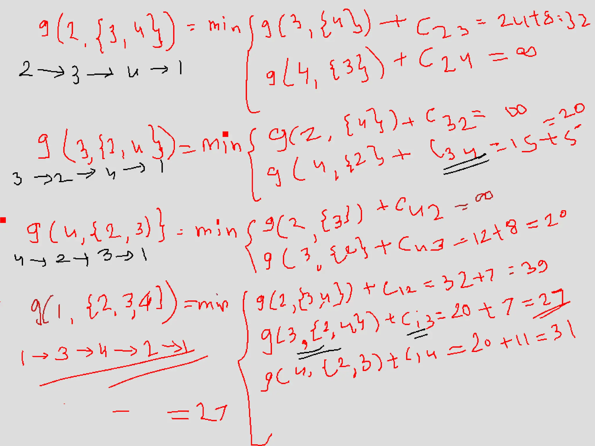
  • 40.
    • Fn(m) =max { fn-1(m),fn-1(m-wn)+pn} • In general , for i>0 • Fi(y)= max{ fi-1(y),fi-1(y-wi)+pi} • Note that f0(m) = 0 • F1(m)=P1 if w1<=m =0 if w1>m F(-m) = -∞
  • 41.
    0/1 Knapsack Problem Thesolution is a set of values x1,x2,….xn such that ∑pixi is maximized and ∑wixi ≤ m 1. Let Knap(i, j, y) denote the knapsack problem with solution xi,…..xj with ∑ pixi is maximized and ∑wixi ≤ y The Knapsack problem is represented by Knap(1,n,m) If y1y2….yn is optimal solution of Knap(1,n,m) and If y1=0 then y2…yn must be optimal solution of knap(2,n,m) and If y1=1 then y2..yn must be optimal solution of knap(2,n,m-w1) Generalizing If yiyi+1….yn is optimal solution of Knap(i, n, m) and If yi=0 then yi+1…yn must be optimal solution of knap(i+1,n,m) and If yi=1 then yi+1..yn must be optimal solution of knap(i+1,n,m-wi) Thus the optimal solution of problem can be expressed in terms of optimal solution to subproblem
  • 42.
    Alternatively If y1y2….yj isoptimal solution of Knap(1,j,m) and If yj=0 then y1…yj-1 must be optimal solution of knap (1,j-1,m) and If yj=1 then y1..yj-1 must be optimal solution of knap(1,j-1,m-wj) 2. Let gj(y) be the value of the optimal solution to the knapsack problem knap(j+1,n,y) which is the profit earned g0(m) is the value of optimal solution to knap(1,n,m) gn(m) is the value of optimal solution to knap(n+1,n,m) gn(y) = 0 To avoid knapsack capacity to be considered as negative gn(y)= -∞ if y <0 and gn(y)= 0 if y ≥ 0 gi(y)= max { gi+1(y) , gi+1(y-wi)+pi} Alternatively let fj(y) be the value of optimal solution to the knapsack problem knap(1,j,y) f0(y)=0 y≥0 f0(y) = -∞ y<0 fj(y)= max{ fi-1(y), fi-1(y-wi)+pi}
  • 43.
    3. Computing thevalues in bottom up manner Consider the knapsack instance n=4 , m=20 (w1,w2,w3,w4)=(16,12,8,6) and (p1,p2,p3,p4)=(32,20,14,9) f0(y) = 0 y ≥ 0 -∞ y <0 f1(y) = max( f0(y), f0(y-16)+32} f1(y) = -∞ y<0 0 0 ≤ y < 16 32 y ≥ 16 f2(y) = max( f1(y), f1(y-12)+20} f2(y) = -∞ y<0 0 0 ≤ y < 12 20 12 ≤ y < 16 32 16 ≤ y <28 52 y ≥ 28
  • 50.
    f3(y) = max(f2(y), f2(y-8)+14} f3(y) = -∞ y<0 0 0 ≤ y < 8 14 8≤ y < 12 20 12 ≤ y < 16 32 16 ≤ y < 20 34 20 ≤ y < 24 46 24 ≤ y < 28 52 28 ≤ y < 36 66 y ≥ 36 f4(y) = max( f3(y), f3(y-6)+9}
  • 51.
    f4(y) = -∞y<0 0 0 ≤ y < 6 9 6 ≤ y < 8 14 8 ≤ y < 12 20 12 ≤ y < 14 23 14 ≤ y < 16 32 16 ≤ y < 20 34 20 ≤ y < 22 41 22 ≤ y < 24 46 24 ≤ y < 28 52 28 ≤ y < 30 55 30 ≤ y < 34 61 34 ≤ y < 36 66 36 ≤ y < 42 75 y ≥ 42 0 5 10 15 20 25 30
  • 52.
    f0(y) = 0y ≥ 0 -∞ y <0 f1(y) = -∞ y<0 0 0 ≤ y < 16 32 y ≥ 16 f2(y) = -∞ y<0 0 0 ≤ y < 12 20 12 ≤ y < 16 32 16 ≤ y <28 52 y ≥ 28 0 5 10 15 20 25 30 0 5 10 15 20 25 30 0 5 10 15 20 25 30
  • 53.
    Each fi(y) calculatedneed to be stored Each fj(y) is a step function and step function can be stored by storing only the points at which the value changes For example f0(y)=0 y ≥ 0 f0(y)= {(0,0)} f1(y) = 0 0 ≤ y < 16 32 y ≥ 16 f1(y)={(0,0),(16,32)} or {(0,0),(32,16)} f2(y) = 0 0 ≤ y < 12 20 12 ≤ y < 16 32 16 ≤ y <28 52 y ≥ 28 f2(y) ={(0,0),(20,12),(32,16),(52,28)} We denote by Si =the set of points (f(yj),yj) 1≤ j ≤ k It is clear that S0 ={(0,0)
  • 54.
    We define asimple method of computing Si ’s recursively We can compute Si+1 from Si by first computing S1 i S1 i ={(p,w}/(p-pi,w-wi) ε Si } S1 i can be computed by adding pi, wi to each pair in Si S1 1 ={(32,16)} Si+1 can be computed by merging the pairs in Si and S1i . During merging unwanted pairs are to be purged If Si+1 contains two pairs (pj, wj) and (pk, wk) with pj< pk and wj > wk then pj,wj is discarded Consider the knapsack instance n=4 , m=20 (w1,w2,w3,w4)=(16,12,8,6) and (p1,p2,p3,p4)=(32,20,14,9) S0 = { (0,0)} S1 0 = {(32,16)} S1 ={(0,0),(32,16)} S1 1 ={(20,12),(52,28)} S2 ={(0,0),(20,12),(32,16),52,28)} S1 2 ={(14,8),(34,20),(46,24),(66,36)}
  • 55.
    S3 ={(0,0),(14,8),(20,12),(32,16),(34,20),(46,24),(52,28), (66,36)} S1 3 =((9,6),(23,14),(29,18),(41,22),(43,26),(55,30),(61,34), (75,42)} S4 ={(0,0),(9,6),(14,8),(20,12),(23,14),(32,16),(34,20), (41,22),(46,24),(52,28),(55,30),(61,34),(66,36),(75,42)} The values (29,18)and (43,26) are purged Algorithm DKnap(P,W,n,m) { S0 ={(0,0)} for i=1 to n-1 do { S1 i-1 ={(p+pi,w+wi)/(p,w) ε Si-1 } Si =MergePurge(Si-1 ,s1 i-1 ) } Each computed value is stored , the running time is the same as the total computed values If |Si | be the number of pairs in Si . Since each Si is obtained by merging Si-1 and S1 i-1 , |Si | ≤ 2|Si-1 |
  • 56.
    In worst case|Si | ≤ 2i and ∑ |Si | = ∑ 2i = 2n -1 0≤ i≤ n-1 0≤ i≤ n-1 Thus the time needed to compute all Si ’s is O(2n ) In any Si , the pairs have distinct P values and W values Also the value does not exceed m. Hence |Si | ≤1+∑pj and |Si | 1+min{ ∑wj , m} Thus time and space complexity is O(min(2n ,n∑pj, nm))
  • 57.
    Traveling Salesperson Problem Thetraveling Salesperson problem is to find a tour of minimum cost Let G=(V,E) be a directed graph with |V|=n > 0 and edge costs cij where cij >0 for i and j and cij = -∞ if (i,j) not in E. A tour of G is a directed simple cycle that includes every vertex in V. The cost of tour is sum of the cost of edges on the tour Without loss of generality , assume tour starts and ends at vertex 1. Every tour consists of an edge (1,k) for some k in V-{1} and a path from vertex k to 1 going through each vertex in V-{1,k} exactly once 1 k
  • 58.
    1 Let usdenote by T(i ,s ) the problem of starting at vertex i and traveling through all vertices in set S and then reaching back to 1 as the tour should always end at 1 . The optimal solution to T(i ,S) will involve going from i to some vertex k and then travelling through alll vertices in S-{k} in an optimal manner which is the optimal solution to the problem T(k,S-{k}) Thus the problem satisfies optimal substructure property i k 1 S S-{k}
  • 59.
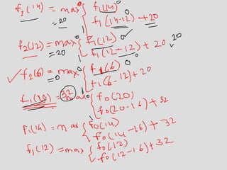
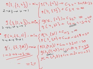
    2 let g(i,S) denote the cost of the optimal tour starting from i, visiting all vertices in s and ending at 1. The TSP problem is to get g(1,S) If S is empty ,g( i,φ ) will be the cost of the tour starting at i visiting no vertices as S is empty and reaching 1. Thus the cost is of directly moving from i to 1 i.e. ci1 g(i, φ)= ci1 1 ≤ i ≤ n If S is not empty . The cost of moving from i to some k is cik and then g(k, S-{k} ) is the optimal cost of reaching 1 after travelling through remaining vertices. We can choose that k in S which gives the minimum cost g(i, S)= min { cik +g (k, S-{k}) k ε S 3 . Compute the values in bottom up manner
  • 60.
    Consider a TSPinstance given by following graph and cost matrix 1 2 4 3 0 10 15 20 5 0 9 10 6 13 0 12 8 8 9 0 g(2, φ)= c21=5 g(3, φ)= c31=6 g(4, φ) = c41 =8 Next consider singleton sets {2} {3} and {4} g(i,S)= min k ε S { cik +g (k, S-{k}) g(2, {3})= min k ε{3} (c2k + g(k, {3}-{3})= c23+g(3, φ) = 9+6=15
  • 61.
    g(2, {4})= mink ε{4} (c24 + g(k, {4}-{4})= c24+g(4, φ) = 10+8=18 g(3, {2})= min k ε{2} (c3k + g(k, {2}-{2})= c32+g(2, φ) = 13+5=18 g(3, {4})= min k ε{4} (c3k + g(k, {4}-{4})= c34+g(4, φ) = 12+8=20 g(4, {2})= min k ε{2} (c4k + g(k, {2}-{2})= c42+g(2, φ) = 8+5=13 g(4, {3})= min k ε{3} (c4k + g(k, {3}-{3})= c43+g(3, φ) = 9+6=15 Next , Compute g( i,S) with S containing 2 elements g(2,{3,4])=min( c23+g(3,{4}), c24+g(4,{3})) =min( 9+20, 10+15)=min(29,25)= 25 g(3,{2,4])=min( c32+g(2,{4}), c34+g(4,{2})) =min( 13+18, 12+13)=min(31,25)= 25 g(4,{2,3])=min( c42+g(2,{3}), c43+g(3,{2})) =min( 8+15, 9+18)=min(23,27)= 23
  • 62.
    Finally g(1, {2,3,4}) =min( c12+g(2,{3,4}),c13+g(3,{2,4}),c14+g(4,{2,3})) = min (10+25, 15+25 ,20+23)=min(35,40,43}=35 4. The tour can be constructed if we also store with each g(i,S), the value j that minimizes the right hand side say J(i,S) J(1,{2,3,4})=2 The tour starts from 1 and goes to 2 J(2,{3,4})=4 from 2 go to 4 , from 4 to 3 and back to 1 Let N be the number of g(i,s)’s to be computed and stored For each value of S there are n-1 choices of i. The number of sets S of size k not including 1 and I is n-2 Ck
  • 63.
    n-2 n-2 N= ∑n-1 (n-2 Ck) = n-1 ∑ (n-2 Ck) = (n-1) 2 n-2 k=0 k=0 The space complexity of the algorithm is O(n2n ) as all the computed values need to be stored Since for finding minimum, comparisons are required time complexity is O(n2 2n ) It is better than enumerating all n! permutations to chose the best one but space complexity is very high
  • 67.
    Longest common subsequence(LCS) •Given a sequence X=<x1,x2,…,xm>,another sequence z=<z1,z2,…zk> is a subsequence of X if there exist a strictly increasing sequence <i1,i2,…ik> of indices of X such that for all j=1,2,…k we have xij=Zj. • Given two sequences X and Y we say that Z is common subsequence of X and Y if Z is a subsequence of both X and Y. • If X=<A,B,C,B,D,A,B> AND Y=<B,D,C,A,B,A> then Z=<B,C,A,B> is common sequence of both X and Y • Given two sequences X and Y, a maximum length common subsequence of X and Y is called Longest common subsequence(LCS) of X and Y.
  • 68.
    Longest common subsequenceproblem • Given two sequences X=<x1,x2,…,xm>, and y=<y1,y2,… yn>, to find a maximum length common subsequence of X and Y. • Let c[i, j] = length of an LCS of Xi and Yj. • Let c[0,0] = 0 Hence, c[i, j] =0 if i=0 or j=0 =c[i-1,j-1]+1 if i,j>0 and xi=yj =max{c[i,j-1],c[i-1,j]} if i,j>0 and xi≠yj i.e. if xi = yj then c[i, j] = 1+ diagonal else c[i, j] = max {up , left}
  • 69.
    • Algorithm LCS(X,Y) {m= length(X); n=length(Y); for(i= 0 to m) c[i,0] = 0; for(j= 0 to n) c[0, j] = 0; for(i= 1 to m) { for(j =1 to n) { if (xi = yj) then { c[i,j] = c[i-1, j-1] + 1; b[i, j] = ‘ ’} ↖
  • 70.
    else{ if(c[i-1,j]>=c[i,j-1]) then { c[i,j] =c[i-1,j]; b[i,j] =‘↑’; } else {c[i, j] =c[i,j -1]; b[i,j] =‘←’;} }}} Algorithm LCS runs in O(mn) time.
  • 74.
    String Editing • Giventwo strings X=x1,x2,…,xn Y=y1,y2,..,ym where xi’s and yj’s are elements of finite set of symbols called Alphabet. • We want to transform X into Y using a sequence of edit operations on X. • These edit operations are insert, delete and change (symbol of X into another). • There is cost associated with each operation. • The cost of sequence of operations is sum of the costs of individual operations in the sequence.
  • 75.
    • The problemof string editing is to find a minimum cost sequence of edit operations that will transform X into Y. • Let D(xi) = the cost of deleting xi from X • I(yj) = the cost of inserting yj into X • C(xi,yj)=the cost of changing xi of X into yj. • Define cost(i,j) = minimum cost of edit sequence for transforming x1,x2,…, xi to y1,y2,…yj where ,0≤ i≤ n and 0≤ j≤ m. • Cost(i,j) = 0 if i=j=0 • To find cost(m,n) = minimum cost of transforming X into Y
  • 76.
    • If j=0i>0 transform X to Y by sequence of delete operations cost(i,0) = cost (i-1,0)+D(xi) • If i=0 j>0 transform X to Y by sequence of insert operations cost(0,j) = cost (0,j-1)+I(yj) • If i≠0 j≠0 one of the three ways can be used i. Transform x1,x2,…,xi-1 into y1,y2,…,yj using a minimum cost edit sequence and then delete xi. cost(i, j) = cost(i-1,j)+D(xi)
  • 77.
    ii.Transform x1,x2,…,xi-1 intoy1,y2,…,yj-1 using a minimum cost edit sequence and then change xi to yj. cost(i,j) = cost(i-1,j-1)+C(xi,yj) iii.Transform x1,x2,…,xi into y1,y2,…,yj-1 using a minimum cost edit sequence and then insert yj. cost(i,j) = cost(i,j-1)+I(yj)
  • 78.
    • Cost(i,j) =0 if i=j=0 =cost(i-1,0)+D(xi) if j=0,i>0 =cost(0,j-1)+I(yj) if i=0,j>0 If xi = yj , 0+ c(x i-1 , y j-1) else =min{cost(i-1,j)+D(xi), if i>0, j>0 cost(i-1,j-1)+c(xi, y j), cost(i,j-1)+I(y j)} Method to find cost(m, n) 1.Compute 1st row of table with i=0 2. Compute 1st column of table with j=0 3.for(i=1 to n) {for(j=1 to m)compute cost(i, j);}
  • 79.
    • Given sequencesX=a, a, b, a, b and Y=b, a, b, b. Find all edit sequence of minimum cost which transforms X into Y. Cost of each insertion and deletion is 1 and cost of changing any symbol to any other symbol is 2. • Solution : X=a, a, b, a, b Y=b, a, b, b n= 5 and m= 4 I(yj) = 1 and D(xi) = 1 and C(xi, yj) = 2 Cost(0,0) = 0 When i=0 to find cost(0,1)
  • 80.
    Cost(0,1) = cost(0,1-1)+ I(y1) = 0+1 = 1 Cost(0,2) = cost(0,2-1) + I(y2) = 1+1 = 2 Cost(0,3) = cost(0,3-1) + I(y3) = 2+1 = 3 Cost(0,4) = cost(0,4-1) + I(y4) = 3+1 = 4 When j=0 Cost(i,0) = cost(i-1,0)+D(xi) Hence, Cost(1,0)=cost(1-1,0)+D(x1) = 0+1 Cost(2,0)=cost(2-1,0)+D(x2) = 1+1 = 2 Cost(3,0)=cost(3-1,0)+D(x3) = 2+1 = 3 Cost(4,0)=cost(4-1,0)+D(x4) = 3+1 = 4 Cost(5,0)=cost(5-1,0)+D(x1) = 4+1 = 5
  • 81.
    • The remainingentries are found out using relation • Cost(i,j) = min{cost(i-1,j) + D(xi), cost(i-1,j-1) + C(xi,yj), cost(I,j-1)+I(yj)} i.e.min{diagonal + cost, left+1, up+1}
  • 83.
    • X= a,a, b, a, b and Y= b, a, b, b
  • 85.
    X = ab c d e f Y = a z c e d
  • 86.
    i / jy0 y1 y2 y3 y4 X0 0 1 2 3 4 X1 1 2 1 2 3 X2 2 3 2 3 4 X3 3 2 3 2 3 X4 4 3 2 3 4 X5 5 4 3 2 3
  • 87.
    Q : X= a b c d e f Y = a z c e d Q: X= a a b a a b a b a a Y= b a b a a b a