保险研究 2014 年第 10 期 INSURANCE STUDIES No. 10 2014
产险资金运用效率与影响因素研究
———基于 DEA 模型与面板固定效应模型
李心愉 赵景涛
( 北京大学经济学院,北京 100871)
[摘 要] 本文利用 2008 ~ 2011 年产险资金的数据,基于 BCC 和 CCR 模型得到样本产险公司保
险资金运用的 SE( 规模效率) 和 PTE( 纯技术效率) 。实证显示,总体样本的 SE 效率值不高,且外资
SE 效率值明显高于中资 SE 效率值,但在 PTE 方面中资企业较高。实证说明,从资源配置结构方面
看,中外资差距较大,皆具有提高空间。从投资管理能力和投资技术水平方面看,中资较先进。本文
利用面板固定效应模型对 SE 进一步分析,得出影响 SE 的内部因素。实证表明,截至 2011 年我国
的产险资金运用效率处在规模效率递增的阶段,且与定期存款相比,长期投资对产险资金运用效率
的影响更加稳定; 还发现影响保险资金运用效率的其他重要因素。
[关键词] 产险资金运用; 规模效率; 纯技术效率
[中图分类号] F840. 32 [文献标识码] A [文章编号]1004 - 3306( 2014) 10 - 0052 - 12
DOI: 10. 13497 /j. cnki. is. 2014. 10. 005
[作者简介] 李心愉,北京大学经济学院风险管理与保险学系博士生导师,研究方向: 保险投资管理理论与实务; 赵景
涛,北京大学经济学院风险管理与保险学系博士生,研究方向: 公司金融。
一、引 言
DEA 模型作为一种有效的非参数前沿效率分析方法已被广泛用于研究保险企业的经营效率,如: Gard-
ner 和 Grace( 1993) 、Cummins 和 Zi( 1998) 、Fecher、Kessler、Perelman 和 Pestieau ( 1993) 等采用 DEA 模型对
保险企业的经营效率进行研究; 吕秀萍( 2007) 、黄薇( 2012) 利用 DEA 方法研究中国保险业整体经营效率;
梁芹、陆静( 2011) 应用三阶段 DEA 模型研究环境因素对寿险业经营效率的影响。但在保险资金运用方面,
目前国内的研究主要集中在以下几个领域: ( 1) 投资渠道拓宽方面,早期由于投资渠道狭窄,学者更多对拓
宽投资渠道的可行性进行研究; ( 2) 投资政策及风险方面,如张健( 2009) 、李心愉和沈冲( 2010) 等; ( 3) 投资
比例方面,如秦振球和俞自由( 2003) 、荣喜民等( 2001) 、安实、张炀和陈剑平( 2003) 、崔斌( 2006) 、李心愉和
付丽莎( 2013) 等。而能够将 DEA 模型运用于保险资金运用效率的研究较少。我们通过文献整理发现,Wu、
Yang 和 Vela( 2007) 用两阶段 DEA 模型分析了加拿大人身和健康保险公司的保险效率和投资效率; 黄薇
( 2009) 把保险资金运用分为筹集资金阶段和资金运用阶段,分别对这两个阶段应用 DEA 模型分析,发现保
险企业的筹资过程和投资过程的效率均不高; 刘晓庆和刘玮( 2013) 通过 DEA 模型得到寿险公司保险投资
效率,在此基础上进一步利用回归模型找出影响投资效率的因素。
上述为数不多的针对保险资金运用效率的研究均存在两个较大的缺陷: 一是没有区分产险资金与寿险
资金。产险与寿险投资资金主要来源之一是保险准备金,各具有不同的特点,主要体现在资金可使用的时间
及周转速度不同方面,从而导致在期限匹配的原则下,产险与寿险资金投资具有不同的特点。因此,若将这
—25—
两类具有异质性的资金混合在一起研究其运用效率,必然会影响结论的准确性和可靠性。寿险资金运用效
率的研究结论也就不适合产险资金的运用效率。二是投入产出指标选取不当。投入产出指标的选取直接与
研究所得到的效率值相关,投入产出指标选取不当必然影响研究结论。针对上述不足,本文拟运用 DEA 方
法,通过选取合适的投入产出指标对产险资金的运用效率进行研究,得出其效率值,并在此基础上,进一步分
析影响产险保险资金产险资金运用效率的因素。
本文分为两个部分,第一部分利用 DEA 模型描述 2008 ~ 2011 年的产险保险资金运用的效率,第二部
分,利用面板固定效应模型分析影响产险保险资金运用效率的因素。
二、产险保险资金运用效率分析
( 一) 模型说明与指标确定
本文利用 Matlab 软件实现 CCR、BCC 模型以得到保险资金运用效率,面板回归部分使用 stata11 软件。
原始数据来源于 2008 ~ 2011 年的中国保险统计年鉴,包括 36 家样本公司,其中中资 23 家,外资 13 家,连续
观察 4 年。
1. 模型选择
本文采用 CCR( 规模报酬不变的数据包络法) 和 BCC( 规模报酬可变的数据包络法) 模型对财险公司资
金运用的技术效率( TE) 、规模效率( SE) 以及纯技术效率( PTE) 进行测度。CCR 模型与 BCC 模型的主要区
别在于,两者的前提假设不同,CCR 假设决策单元的规模不会变化,而 BCC 假设决策单元的规模会改变。
CCR 模型得到 TE 的值,BCC 模型得到 SE 的值。
TE、SE 及 PTE 值之间的关系满足下式:
TE( 技术效率) = PTE( 纯技术效率) × SE( 规模效率) 。
假设 n 个决策单元( Decision Making Units,简称 DMU,这里指保险企业) 对应的输入数据和输出数据分
别为:
xj = ( x1j ,x2j ,…xmj ) T
,j = 1,2,…,n
yj = ( y1j ,y2j ,…ysj ) T
,j = 1,2,…,n
其中,xj ∈Em
,yj ∈Es
,xj > 0,yj > 0。
BCC 模型为:
max( μ
T
yj0 + μ0 ) = Vp
ω
T
xj - μ
T
yj - μ0 ≥0
s. t. ωTxj = 1
ω≥0,μ≥0
j = 1,2,…,







n
上述模型的对偶规划为:
minθ
∑
n
j = 1
xj λj + s -
= θxj0
s. t. ∑
n
j = 1
yj λj - s +
= yj0
∑
n
j = 1
λj = 1
s -
≥0,s +
≥0,λj ≥











0
其中 θ 为所求的效率。
而 CCR 模式为:
—35—
max( μ
T
yj0 + μ0 ) = Vp
ω
T
xj - μ
T
yj - μ0 ≥0
s. t.
ω≥0,μ≥0
j = 1,2,…,







n
上述模型的对偶规划为:
minθ
∑
n
j = 1
xj λj + s -
= θxj0
s. t. ∑
n
j = 1
yj λj - s +
= yj0
s -
≥0,s +
≥0,λj ≥







0
其中 θ 为所求的效率。
2. 指标确定
保险资金运用体现了保险公司的投资能力,同时需考虑保险资金运用的主体。通常在研究金融机构的
投资效率时,确定投入产出指标的方法包括: ( 1) 金融中介法,该方法的投入指标通常为存款数量,产出指标
为贷款数量,尤其适合评价银行的整体效率; ( 2) 生产法,该方法的投入指标一般为人力和物力,产出指标为
保费收入,适合评价保险企业的承保业务效率; ( 3) 价值增值法,该方法的投入指标一般为资金量,产出指标
为投资收益率,适合评价金融机构的资产增值效率。由于保险公司是特殊的金融企业,包含承保业务和资金
运用业务,并且二者之间有着紧密的联系,上述三种方法要么只考虑承保业务( 生产法) ,要么只考虑保险资
金运用业务( 金融中介法和价值增值法) ,对研究保险公司的投资效率都具有局限性。
本文将综合利用上述三种方法来确定投入产出指标。
首先是产出指标的确定。直观上,产险公司将保险资金存入银行或者购买债券以获得投资收益,该过程
可被看作向资金需求方“借出”资产而获得投资收益,因此,本文采用金融中介法的投资收益作为产出指标,
即将“投资收益”作为产出量。该数据来源于产险企业的损益表。
其次是投入指标的确定。为了更好地理解保险资金运用的过程中的投入,我们可以将保险资金运用类
比于“产品生产”过程。保险资金好比原材料投入,没有保险资金投入就没有保险企业的投资活动。在选择
保险资金投入指标时,显然不应该按照保险企业投资资产的口径,因为投资资产是“生产”的结果而非“原
料”。此外,人力资本投入和营业费用投入则是该投资过程得以顺利进行的两个必备条件。鉴于上述考虑,
我们选择的投入指标具体包括:
( 1) 保险资金的投入。该指标包括权益资本和各种准备金,本文将权益资本和各种准备金合并,称为金
融资本。金融资本等于资产负债表中的实收资本、资本公积及各种准备金( 未到期责任准备金、长期责任准
备金等) 之和。
( 2) 人力资本投入。已有研究发现高管与投资决策之间具有显著关系,如 William 和 Surya( 1996) 、罗富
碧等( 2008) 。与公司所有员工相比,高管对保险资金运用效率的贡献要大得多。因此,本文将高管人数作
为 DEA 模型中人力资本的投入指标。此项的数据来源于样本公司的人员结构统计表。
( 3) 营业费用投入。该指标数据来源于样本公司的损益表,等于营业税金及附加、手续费及佣金支出、
业务及管理费和其他费用支出之和。
3. DEA 模型实证结果分析
表 1 显示的是产险资金运用效率的 CRR 和 BCC 模型的实证结果。为方便统计,将保险企业归类为中
资、外资两种,由中方发起设立的保险企业为中资,由外资单独发起设立或中外双方共同发起的为外资。中
资产险公司与外资产险公司的效率值按照时间顺序在表 1 中分别列示。
—45—
SE 效率值是由 BCC 模型得到,反映规模效率,其经济含义是投入资源配置的结构( 包括人力数量投入
和财力数量投入) 对产出的影响。若某企业的 SE 值为 1 则说明该企业相对于其他企业而言,投入资源配置
结构处于最优阶段。TE 效率值是由模型 CCR 得到,称为综合技术效率,既包含有规模效率又包含有纯技术
效率,如前述,TE = SE × PTE。通过分离该公式得到 PTE 效率。PTE 效率是纯技术效率,其含义是指受管理
和技术等因素影响的生产效率。PTE 的值为 1,则说明该企业相对于其他企业而言,在管理和生产技术上是
高效的。
DEA 模型实证结果
表 1
中资
2008 年 2009 年
TE SE PTE TE SE PTE
人保财险 0. 385 1 1. 000 0 0. 385 1 0. 111 8 1. 000 0 0. 111 8
国寿财险 0. 137 7 0. 142 3 0. 968 1 0. 547 0 0. 551 7 0. 991 6
太保产险 0. 659 2 1. 000 0 0. 659 2 1. 000 0 1. 000 0 1. 000 0
大地保险 0. 000 0 0. 020 5 0. 000 0 0. 040 3 0. 052 4 0. 768 6
中国信保 1. 000 0 1. 000 0 1. 000 0 1. 016 2 1. 000 0 1. 016 2
阳光产险 1. 000 0 1. 000 0 1. 000 0 0. 210 5 0. 233 7 0. 900 5
华泰财产 0. 544 4 0. 551 4 0. 987 4 0. 670 4 0. 674 1 0. 994 4
天安产险 0. 127 9 0. 131 7 0. 970 6 0. 061 9 0. 076 4 0. 810 1
大众产险 0. 000 0 0. 500 0 0. 000 0 0. 310 4 0. 323 9 0. 958 2
永安财险 0. 467 1 0. 471 8 0. 990 0 0. 123 2 0. 132 9 0. 926 6
永诚财险 0. 229 7 0. 257 2 0. 893 0 0. 481 7 0. 489 5 0. 983 9
安邦财险 0. 120 5 0. 125 2 0. 962 2 0. 502 2 0. 509 7 0. 985 2
安华农业 0. 000 0 0. 256 6 0. 000 0 0. 008 0 0. 236 4 0. 033 7
天平汽车 0. 000 0 0. 178 3 0. 000 0 0. 000 0 0. 168 8 0. 000 0
渤海产险 0. 698 9 0. 710 8 0. 983 3 0. 401 0 0. 436 7 0. 918 4
华农财产 0. 000 0 0. 725 0 0. 000 0 0. 681 8 0. 835 6 0. 815 9
民安财产 0. 195 0 0. 260 9 0. 747 6 0. 170 7 0. 199 0 0. 857 9
安诚财产 0. 118 5 0. 332 6 0. 356 4 0. 622 1 0. 662 0 0. 939 6
中银产险 1. 000 0 1. 000 0 1. 000 0 0. 077 8 0. 113 9 0. 683 3
长安责任 0. 000 0 0. 383 9 0. 000 0 0. 005 0 0. 220 2 0. 022 6
中资
2010 年 2011 年
TE SE PTE TE SE PTE
人保财险 0. 226 8 1. 000 0 0. 226 8 0. 836 5 1. 000 0 0. 836 5
国寿财险 1. 000 0 1. 000 0 1. 000 0 1. 000 0 1. 000 0 1. 000 0
太保产险 0. 729 9 1. 000 0 0. 729 9 1. 000 0 1. 000 0 1. 000 0
大地保险 0. 160 5 0. 163 6 0. 980 9 0. 282 4 0. 287 1 0. 983 7
阳光产险 1. 000 0 1. 000 0 1. 000 0 1. 000 0 1. 000 0 1. 000 0
华泰财产 0. 225 0 0. 228 4 0. 985 0 1. 000 0 1. 000 0 1. 000 0
天安产险 1. 000 0 1. 000 0 1. 000 0 0. 343 4 0. 367 1 0. 935 4
—55—
( 续表)
中资
2010 年 2011 年
TE SE PTE TE SE PTE
大众产险 0. 168 4 0. 173 9 0. 968 5 0. 534 4 0. 538 6 0. 992 1
华安财险 0. 055 8 0. 126 7 0. 440 4 0. 448 4 0. 489 4 0. 916 2
永安财险 0. 148 5 0. 197 3 0. 752 7 0. 508 2 0. 508 2 1. 000 0
永诚财险 0. 224 1 0. 234 8 0. 954 5 0. 587 5 0. 609 5 0. 964 0
安华农业 0. 068 0 0. 106 4 0. 638 9 0. 000 0 1. 000 0 0. 000 0
天平汽车 0. 012 4 0. 237 3 0. 052 1 0. 178 2 0. 274 6 0. 648 9
渤海产险 0. 622 7 0. 684 1 0. 910 3 0. 438 8 0. 478 6 0. 916 8
华农财产 0. 744 0 0. 826 9 0. 899 7 0. 798 3 0. 836 2 0. 954 7
民安财产 0. 786 8 1. 000 0 0. 786 8 0. 113 5 0. 441 1 0. 257 4
安诚财产 0. 174 2 0. 245 6 0. 709 4 0. 129 0 0. 199 3 0. 647 4
中银产险 0. 502 5 0. 604 7 0. 831 0 0. 642 3 0. 671 8 0. 956 1
长安责任 0. 162 4 0. 196 3 0. 827 3 0. 788 5 0. 811 2 0. 972 0
外资
2008 年 2009 年
TE SE PTE TE SE PTE
美亚产险 0. 142 5 0. 225 4 0. 632 4 0. 121 4 0. 207 0 0. 586 5
东京海上 0. 111 3 0. 331 3 0. 335 9 0. 075 1 0. 396 5 0. 189 4
丰泰 0. 380 9 0. 820 8 0. 464 1 0. 331 6 0. 936 3 0. 354 2
太阳联合 0. 238 3 0. 420 7 0. 566 5 0. 072 0 0. 399 4 0. 180 3
丘博 0. 267 0 0. 656 5 0. 406 7 1. 000 0 1. 000 0 1. 000 0
三井住友 0. 338 3 0. 535 4 0. 631 8 0. 252 6 0. 406 2 0. 621 9
三星财产 0. 696 9 1. 000 0 0. 696 9 0. 274 6 0. 783 3 0. 350 5
安联财产 0. 326 7 0. 568 1 0. 575 1 0. 395 1 0. 821 1 0. 481 1
日本财产 0. 301 8 0. 465 1 0. 648 8 0. 240 6 0. 406 9 0. 591 2
利宝 0. 123 0 0. 579 9 0. 212 1 0. 094 7 0. 409 7 0. 231 2
安盟 0. 565 3 1. 000 0 0. 565 3 0. 283 2 1. 000 0 0. 283 2
苏黎世 0. 131 1 0. 794 8 0. 164 9 0. 053 9 0. 803 0 0. 067 2
爱和谊 0. 408 6 1. 000 0 0. 408 6 0. 159 0 1. 000 0 0. 159 0
外资
2010 年 2011 年
TE SE PTE TE SE PTE
美亚产险 0. 091 2 0. 226 4 0. 403 0 0. 517 1 0. 618 3 0. 836 3
东京海上 0. 080 5 0. 433 7 0. 185 6 0. 533 1 0. 744 4 0. 716 1
丰泰 0. 152 0 0. 648 0 0. 234 6 0. 301 8 1. 000 0 0. 301 8
太阳联合 0. 213 3 0. 515 5 0. 413 7 0. 615 9 0. 840 1 0. 733 2
丘博 1. 000 0 1. 000 0 1. 000 0 0. 292 6 1. 000 0 0. 292 6
三井住友 0. 178 2 0. 404 0 0. 441 1 0. 699 2 0. 865 3 0. 808 1
三星财产 0. 454 1 0. 770 0 0. 589 7 0. 801 0 1. 000 0 0. 801 0
—65—
( 续表)
外资
2010 年 2011 年
TE SE PTE TE SE PTE
安联财产 0. 186 6 0. 586 8 0. 317 9 0. 121 2 0. 695 1 0. 174 4
日本财产 0. 220 0 0. 448 8 0. 490 1 0. 502 7 0. 676 2 0. 743 4
利宝 0. 113 6 0. 399 4 0. 284 5 0. 330 3 0. 491 7 0. 671 8
安盟 0. 191 0 1. 000 0 0. 191 0 0. 234 6 0. 909 8 0. 257 8
苏黎世 0. 087 1 0. 723 7 0. 120 3 0. 392 8 1. 000 0 0. 392 8
爱和谊 0. 237 3 1. 000 0 0. 237 3 0. 524 3 1. 000 0 0. 524 3
从表 1 可以看到,2008 年到 2011 年我国产险公司资金运用的效率普遍较低。在 2008 年处于规模效率
前沿( SE = 1) 的中资公司有 5 家,占表 1 所列中资公司的 25% ,而外资公司 3 家,占外资公司的 23% ; 2009
年处于规模效率前沿的,中资公司只有 3 家,占中资的 15% ,外资公司情况没有变化,占外资的 23% ; 2010 年
处于规模效率前沿的,中资公司 6 家,占中资的 30% ,外资公司仍然维持不变; 2011 年处于规模效率前沿的,
中资 6 家,占中资 30% ,而外资 5 家,占外资的 38% 。
2008 年,中资 SE 的最低值为 0. 02 ( 大地保险) ,外资 SE 的最低值为 0. 2254 ( 美亚财险) ; 2009 年中资
SE 的最低值为 0. 05( 大地保险) ,外资 SE 的最低值为 0. 21( 美亚财险) ; 2010 年,中资 SE 的最低值为 0. 11
( 安华农业) ,外资 SE 的最低值为 0. 22( 美亚财险) ; 2011 年,中资 SE 的最低值为 0. 2( 安诚财产) ,外资 SE
的最低值为 0. 62 ( 美亚财险) 。
表 2 展示了样本公司排名前十的情况。在十家公司中,外资企业有 6 个,占外资比例 46% ,中资只有 4
个,占中资比例 20% 。从这些统计结果中可以得出,中资 SE 的值的波动区间要大于外资的波动区间,即中
资的 SE 的最低值均小于外资的 SE 最低值; 并且中资的规模效率出现两极分化现象,外资公司比较集中。
样本公司 SE 前十排名
表 2
公司名称 企业性质 2008 年 2009 年 2010 年 2011 年
中国信保 中 1. 000 0 1. 000 0 1. 000 0 1. 000 0
人保财险 中 1. 000 0 1. 000 0 1. 000 0 1. 000 0
太保产险 中 1. 000 0 1. 000 0 1. 000 0 1. 000 0
爱和谊 外 1. 000 0 1. 000 0 1. 000 0 1. 000 0
安盟 外 1. 000 0 1. 000 0 1. 000 0 0. 909 8
丘博 外 0. 656 5 1. 000 0 1. 000 0 1. 000 0
三星财产 外 1. 000 0 0. 783 3 0. 770 0 1. 000 0
丰泰 外 0. 820 8 0. 936 3 0. 648 0 1. 000 0
苏黎世 外 0. 794 8 0. 803 0 0. 723 7 1. 000 0
华农财产 中 0. 725 0 0. 835 6 1. 000 0 0. 441 1
表 3 和表 4 分别给出中资、外资以及总体的 SE 和 PTE 情况。结合表 3 和图 1 可以看出,虽然产险资金
规模效率整体趋势是递增的,但效率值偏低,说明整体而言,我国产险公司资源配置效率低,尚有很大的调整
空间。其中,中资的 SE 效率在 50% 左右,小于样本总体平均值,更小于外资的 SE 效率( 大约 70% ) 。图 1
显示,外资 SE 曲线最高,中资 SE 曲线最低,而总体 SE 曲线居中。从 2009 到 2011 年,中资 SE 的值有追赶
外资 SE 值的趋势。2010 年到 2011 年,外资 SE 值的递增速度大于中资 SE 的值。
—75—
样本公司 SE( 规模效率) 均值统计
表 3
SE 规模效率 2008 年 2009 年 2010 年 2011 年
均值 0. 543 5 0. 531 3 0. 570 2 0. 708 4
中资均值 0. 480 1 0. 455 7 0. 534 7 0. 634 2
外资均值 0. 646 0 0. 659 2 0. 627 4 0. 833 9
图 1 规模效率对比图
就 PTE( 纯技术效率) 而言,从表 4 可以看到,中资的 PTE 值高于外资的 PTE 值,与图 1 形成巨大的差
距。PTE 效率是从投资管理能力和投资技术水平方面来说明企业的效率,中资的 PTE 高,则说明中资产险
公司的管理能力及投资技术均比较先进。这一结果与前文 SE 效率分析结果存在着不同。那么,相对于外
资而言,既然中资企业管理能力和投资技术( PTE) 均较为先进,为何资金运用的规模效率( SE) 却较为落后
呢? 为了说明这个问题,需要进一步分析究竟是哪些因素影响了我国产险资金运用的规模效率( SE) 。
PTE( 纯技术效率) 统计
表 4
PTE 纯技术效率 2008 年 2009 年 2010 年 2011 年
均值 0. 563 0 0. 615 4 0. 611 5 0. 745 2
中资均值 0. 611 0 0. 747 4 0. 756 3 0. 855 8
外资均值 0. 485 3 0. 392 0 0. 377 6 0. 558 0
三、规模效率( SE) 的影响因素分析
上文利用 DEA 模型获得了样本公司连续四年的 SE 效率,初步分析表明在资源配置方面产险公司普遍
效率不高。由于本文实证分析所得的效率值 SE 只有连续四年的值,且样本公司数较少,面板随机效应模型
不能很好的说明经济含义,因此需要选择面板固定效应模型。在实证过程中,为了防止结果有偏,去掉了 SE
为 1 的样本。需要强调的是,保险资金的运用效率受到来自企业内部因素与外部因素的影响,由于对于所有
企业来讲外部因素都是相同的,因此本文假定外部因素是外生变量。
( 一) 模型及影响因素说明
考虑到本文研究缺乏长时段的观测数据,本文拟采用静态面板固定效应模型,公式如下:
Yit = X'it β + εit ,εit ~ ( 0,1)
1. 模型指标选择
本文选取了六个因素,通过面板固定效应模型来分析研究他们对保险资金运用效率的影响,分别为:
( 1) 资产规模( Asset-size) 。资产规模是企业开展业务的承载能力。根据规模经济理论,在规模报酬递
—85—
增阶段,资产规模扩大则公司生产效率增加; 而在规模报酬递减阶段,资产规模扩大则公司生产效率减小。
本文将采用公司总资产的自然对数来表示资产规模。
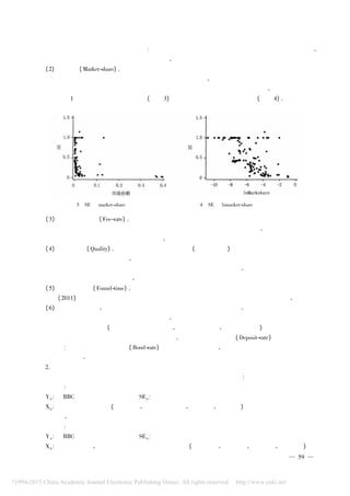
( 2) 市场份额( Market-share) 。由于保险投资资金主要来源之一是承保业务得到的保险准备金,因此,承保
业务将从投资资金规模和赔付额两个方面对保险资金运用产生影响。本文以保费市场份额占比来代表承保业
务规模,通过计算某一产险公司保费收入占产险业总收入的比例来得到某公司的市场份额。考虑到市场份额
占比均为小于 1 的数会造成数据点过于集中( 见图 3) ,因而采用市场份额的对数来替代( 见图 4) 。
图 3 SE 与 market-share 的散点图 图 4 SE 与 lnmarket-share 的散点图
( 3) 综合营业费用率( Fee-rate) 。综合营业费用率是反映公司的综合经营管理水平的重要指标,营业费
用率越高,表明公司综合经营管理水平越低,反之,则表明公司综合经营管理水平越高。本文采用营业费用
与保费收入之比来表示企业的综合营业费用状况。
( 4) 劳动者素质( Quality) 。相对于保险企业的其他部门( 如销售部门) ,投资部门具有投资技术高和风
险控制难的特点,对人才的要求较高。现实中我们也可以看到,近年来越来越多的保险企业的投资部门在招
聘时更偏向招收具有高学历的毕业生,在保险投资机构中研究生比例逐年扩大。本文将选取研究生以上学
历占比来说明投资部门的劳动者素质。
( 5) 公司成立年限( Found-time) 。有研究表明,我国产险公司的成立年限会对企业开展业务产生影响,
如张春海( 2011) ,因此本文引入成立年限考察成立年限是否会对产险公司资金运用效率产生影响。
( 6) 投资品种的影响。在保险年鉴中,产险公司的投资品种包括定期存款、长期债券以及地产,而在我
们的样本公司中只有少部分公司有地产方面的投资。因此本文在考察投资品种影响时,将投资种类分为定
期存款和其他长期证券投资( 包括可供出售金融资产、持有至到期投资、长期股权投资) ,考察定期存款比例
与其他长期债券投资比例对保险资金运用效率的影响。其中,定期存款比例( Deposit-rate) 指定期存款与总
资产的比例; 其他长期证券投资比例( Bond-rate) 指可供出售金融资产、持有至到期投资及长期股权投资之
和与总资产的比例。
2. 指标分组
鉴于样本公司个数较少,而选取的指标较多,因此在分析时将指标分为两组:
第一组:
Yit : 为 BBC 模型中所得的效率结果 SEit ;
Xit : 资产规模及控制变量( 市场份额、综合营业费用率、成立年限、劳动素质) ,企业性质通过固定效应模
型进行控制。
第二组:
Yit : 为 BBC 模型中所得的效率结果 SEit ;
Xit : 定期存款比例、其他长期债券投资比例及控制变量( 资产规模、市场份额、成立年限、劳动素质) ,企
—95—
业性质通过固定效应模型进行控制。
( 二) SE 与影响因素的面板实证结果及分析
1. 面板实证结果
利用 stata11 软件对样本数据进行分析得到的结果如表 5 和表 6 所示,这两张表给出了两组的分析结
果。第一组结果由三列组成,第二组结果由五列组成。第二列、第三列的结果是引入控制变量后得到的,以
观察目标因素(“资产规模”) 的稳定性。同样地,第五列、第六列、第七列和第八列是引入控制变量后,以考
察目标因素( 投资种类) 的稳定性。
规模效率( SE) 第一组实证结果
表 5
第一组
第一列 第二列 第三列
控
制
变
量
Asset-size 0. 161 207 6***
( 0. 055 494 5) 0. 152 735 7***
( 0. 056 928 5) 0. 109 469 3*
( 0. 061 859)
Market-share - 0. 089 200 4( 0. 072 945 7) - 0. 109 851 1*
( 0. 078 601 7) - 0. 087 459 7( 0. 079 197 8)
Fee-rate - 0. 371 881( 0. 514 376 9) - 0. 100 418 6( 0. 580 896 9)
Found-time 0. 043 355*
( 0. 025 301 5)
Quality - 0. 088 239 8( 1. 687 991)
企业性质 控制 控制 控制
cons - 1. 339 839**
( 0. 661 501 8) - 1. 238 332*
( 0. 678 743 1) - 1. 202 439*
( 0. 677 668 9)
注: “***”表示 1% 水平显著性,“**”表示 5% 水平显著,“* ”表示 10% 水平显著
规模效率( SE) 第二组实证结果
表 6
第二组
第四列 第五列 第六列 第七列 第八列
Deposit-rate
0. 499 007 5**
( 0. 249 190 1)
0. 446 470 5*
( 0. 255 788 4)
0. 433 144 2
( 0. 261 705 1)
0. 445 798 6*
( 0. 258 075 5)
0. 433 027
( 0. 263 963 1)
Bond-rate
0. 529 770 3**
( 0. 207 184 3)
0. 412 604 7*
( 0. 231 169 8)
0. 401 628 6*
( 0. 235 916 4)
0. 410 358 5*
( 0. 234 858 5)
0. 400 630 5*
( 0. 239 171 7)
控
制
变
量
Asset-size
0. 110 603 4*
( 0. 059 456 4)
0. 108 532 3*
( 0. 060 326 1)
0. 110 293 2*
( 0. 060 085 1)
0. 108 404 4*
( 0. 060 922 3)
Market-share
- 0. 068 629 5
( 0. 074 298 2)
- 0. 077 550 1
( 0. 080 773 4)
- 0. 068 654 3
( 0. 074 922)
- 0. 077 402 2
( 0. 081 544 9)
Fee-rate
- 0. 151 809 2
( 0. 515 838 5)
- 0. 149 068
( 0. 524 507 9)
Quality
0. 129 524 4
( 1. 650 227)
0. 068 987
( 1. 676 818)
企业性质 控制 控制 控制 控制 控制
cons
0. 217 139 6***
( 0. 076 392 1)
- 1. 003 141
( 0. 686 214 1)
- 0. 970 372 1
( 0. 700 405)
- 1. 009 22
( 0. 696 290 6)
- 0. 974 201 8
( 0. 712 513 8)
注: “***”表示 1% 水平显著性,“**”表示 5% 水平显著,“* ”表示 10% 水平显著。
—06—
从表 5 和表 6 可以看出,“资产规模”( Asset-size) 和“其他长期债券投资比例”( Bond-rate) 的回归结果都
比较稳定,而“定期存款比例”( Deposit-rate ) 的回归结果不稳定。
2. SE( 规模效率) 的实证结果分析
( 1) 第一组的 SE 实证结果分析
表 5 所展示的第一组的实证结果如下。
第一,“资产规模”与“规模效率”显著正相关,随着资产规模( Asset - size) 的增加,规模效率( SE) 增加,
当资产规模每增加单位 1 时,规模效率增加 11% ( 第三列) 。这意味着,当前我国产险企业资金运用的规模
效率处在规模递增的阶段。在规模效率递增阶段,可以通过扩大资产规模,来提升险资运用的规模效率。
第二,市场份额因素的显著性不高,甚至随着控制变量的增多而消失,这可能是样本量较小的缘故。但
是,该指标的符号一直为负,即随着市场份额的扩大,保险资金运用的规模效率降低。这表明,由于承保业务
与投资业务相辅相成,若过分追求承保业务而忽视投资业务,虽然增加了保险资金的来源,但同时也会带来
更多的佣金支出和赔付负担,实质上是增加了企业的负担,从负向影响了保险资金的运用效率。该实证结果
提示了我国产险企业不能单纯追求市场份额扩大,也需要注重资金的投资管理。
第三,模型中“资产规模”与“市场份额”从正负两个方向对资金运用的规模效率产生作用。当“资产规
模”增加 1 单位,SE 值大约增加 11% ; 当“市场份额”增加 1 单位,SE 值大约减少 9% ; 两者共同作用的结果
是,当“资产规模”与“市场份额”同时增加单位 1 时,SE 值大约增加 2% 。可见产险企业可以通过扩大资产
规模来缓解由“市场份额”增加带来的负作用。因此,本文对资产规模较小的产险公司的建议是,在积极拓
展保险业务的同时,要积极通过融资等手段扩大资产规模,进而提升保险资金运用的效率,形成投资与承保
业务的良性互动。
第四,实证结果显示,公司成立年限越久,其规模效率越高,该结果与张春海( 2011) 得到的结果相同。
这是因为,公司成立越久,投资经验越丰富,更容易达到规模效率的前沿。因此,年轻的公司可以通过学习老
牌公司的经验或者吸引经验丰富的投资人才来提高投资效率。
第五,“综合营业费用率”和“劳动者素质”在模型中不显著,但是二者的符号都比较稳定,其中“劳动者
素质”从正方向影响规模效率,而“综合营业费用率”从负方向影响规模效率。实证结果说明,企业通过吸引
高素质人才可能会促进保险资金的运用效率,并且要提高企业的综合管理水平,减小管理费用的支出。
( 2) 第二组的 SE 实证结果分析
实证结果( 表 6) 显示,随着控制变量逐渐引入模型,“定期存款比例”的显著性不稳定,但“其他长期类
证券投资比例”的显著性是稳定的。这说明本文涉及的两类投资中,其他长期类证券投资对提高规模效率
的贡献显著。
表 6 第八列显示,“其他长期类证券投资比例”每增加单位 1,规模效率大约增加 40% 。从实证结果来
看,2008 年到 2011 年间我国产险公司资金运用的规模效率提高主要依靠长期证券类产品的投资增加而非
定期存款。因此,对于产险企业来讲,大量持有定期存款不是好的选择,而应该将资金投资于债券市场。但
是大量持有定期存款的现象在样本产险企业中普遍存在,如表 7 所示,该现象值得进一步研究,限于篇幅所
限本文暂不对此进行讨论。从理论上来讲,资本市场应是提高保险资金运用效率的最佳渠道。
四、结 论
本文基于 2008 ~ 2011 年我国产险公司资金运用的数据,利用 Matlab 软件模拟出 DEA 模型中的 BCC 模
型和 CCR 模型,分别获得了样本公司资金运用的 SE( 规模效率) 和 PTE( 纯技术效率) 。在上述研究的基础
上,本文利用 Stata11 软件的面板固定效应模型,对影响资金运用效率的原因作进一步的分析,得到影响规模
效率( SE) 的企业内部因素。
—16—
定期存款比例统计
表 7
平均值 最大值 中位数
2008 0. 221 224 0. 643 548 0. 184 841
2009 0. 222 703 0. 679 201 0. 168 764
2010 0. 221 885 0. 646 89 0. 204 97
2011 0. 264 381 0. 6532 22 0. 253 557
我们的研究表明,从 2008 年到 2011 年,我国产险公司资金运用效率整体不高,外资与中资相比,外资产
险资金运用的规模效率明显高于中资产险公司。在对影响规模效率的内部因素分析中,我们得出如下结论。
第一,随着资产规模的增加,产险资金的运用效率会增加。该结果可以说明,在 2008 ~ 2011 年间,我国
产险公司资金运用效率处在规模报酬递增的阶段。在规模报酬递增阶段,可以通过扩大资产规模来提高保
险资金的运用效率。市场份额对资金运用效率的影响虽然不显著,但是其符号为负且未随着控制变量的加
入而改变,这个结果至少可以说明市场份额扩大会从负向影响保险资金运用的规模效率。我们认为市场份
额之所以会产生负向影响的原因是,虽然市场份额的扩大增加了保险资金的来源,但同时也会带来更多的佣
金支出和赔付负担,增加了企业的支出,进而影响了资金运用的规模和效率。
第二,市场份额与资产规模从正负两个方向对规模效率产生作用,由于市场份额的增加会降低保险资金
运用效率,因此企业可以通过扩大资产规模来缓解市场份额的负作用。扩大资产规模的方法包括股权融资、
债券融资或者其他的融资方式。
第三,企业成立时间对保险资金运用效率有显著的正向影响。实证的结果表明成立时间越久的公司其
投资效率越高,这是由于老公司的投资经验丰富,可以更有效地运用资金。
第四,与定期存款比例的显著性相比,其他长期证券类投资比例在模型中的显著性更加稳定,并且二者
均对保险资金运用的规模效率产生正向的影响。从实证结果来看,2008 年到 2011 年,其他长期证券类投资
对产险资金运用的规模效率增加有显著贡献,其他长期证券类投资比例越大则规模效率越高。因此,适当增
加长期证券类投资是低效率产险企业提高资金运用效率的途径之一。
需要指出的是,本文采用 DEA 模型分析的结果( 图 1) 直观地显示出,与外资的规模效率相比,中资的规
模效率较低,且低于总体平均水平。该结果与姚树杰等( 2005) 的研究认为企业性质与效率没有显著性关系
不同,这个问题值得进一步研究。
[参考文献]
[1] 安 实,张 炀,陈剑平 . 基于差异系数 σ /μ 的人寿保险公司最优投资组合方法[J]. 管理工程学报,
2003,( 3) : 9 - 101.
[2] 崔 斌 . 保险资金战术性资产配置策略[J]. 保险研究,2006,( 3) .
[3] 黄 薇 . 环境风险与企业技术效率: 基于改进型三阶段 DEA 模型[J]. 系统工程理论与实践,2012,32
( 1) : 1 - 10.
[4] 黄 薇 . 中国保险机构资金运用效率研究: 基于资源型两阶段 DEA 模型[J]. 经济研究,2009,( 8) :
37 - 49.
[5] 李心愉,沈 冲 . 保险投资中的政策因子研究: 保险、金融与经济周期,北京大学经济学院,2010[C].
北京大学经济学院风险管理与保险学系 .
[6] 李心愉,付丽莎 . 基于 Black-Litterman 模型的保险资金动态资产配置模型研究[J]. 保险研究,2013,
( 3) : 24 - 38.
—26—
[7] 刘晓庆,刘 玮 . 寿险公司资金运用效率研究[J]. 现代管理科学,2013,( 4) : 15 - 17.
[8] 罗富碧,冉茂盛,杜家廷 . 高管人员股权激励与投资决策关系的实证研究[J]. 会计研究,2008,( 8) :
69 - 95.
[9] 秦振球,俞自由 . 保险公司投资比例问题研究[J]. 财经研究,2003,29,( 2) : 41 - 47.
[10] 荣喜民,吴孟铎,刘泊炀 . 保险基金投资的单位风险收益最优化模型研究[J]. 管理工程研究,2001,
( 2) : 40 - 43.
[11] 吕秀萍 . 1999 - 2004 年中国保险业效率实证研究: 基于 DEA 方法[J]. 统计研究,2007,24 ( 1) :
35 - 39.
[12] 梁 芹,陆 静 . 基于三阶段 DEA 模型的中国寿险市场效率研究[J]. 经济管理,2011,33 ( 7) :
149 - 155.
[13] 姚树杰,冯根福,韩钟伟 . 中国保险业效率的实证研究[J]. 经济研究,2005,( 7) : 56 - 65.
[14] 张 健 . 保险资金运用全面风险管理———基于机制建设的角度[J]. 保险研究,2009,( 3) : 71 - 76.
[15] Cummins J D,Weiss M A,Xie X,et al. Economies of scope in financial services: A DEA efficiency analysis of
the US insurance industry[J]. Journal of Banking & Finance,2010,34: 1525 - 1539.
[16] Cummins J D,Zi H. Comparison of frontier efficiency methods: an application to the US life insurance indus-
try[J]. Journal of Productivity Analysis,1998,10( 2) : 131 - 152.
[17] Fecher F,Kessler D,Perelman S,et al. Productive performance of the French insurance industry[J]. Journal
of Productivity Analysis,1993,4( 12) : 77 - 93.
[18] Wu D,Yang Z,Vela S,et al. Simultaneous analysis of production and investment performance of Canadian
life and health insurance companies using data envelopment analysis[J]. Computers & Operations Research,
2007,34( 1) : 180 - 198.
Analysis on the Efficiency of the Usage of Property Insurance
Funds Based on the DEA Model and the Panel Fixed-Effect Model
LI Xinyu,ZHAO Jingtao
( The School of Economy,Peking University,Beijing 100871)
Abstract: This article used the fund investment’s data from 2008 to 2011 of property insurance companies to get
SE ( scale efficiency) & PTE ( pure technical efficiency) of insurance fund utilization based on the BCC and CCR
models. The empirical study showed that the whole samples’SE value was not high,and the foreign samples’SE
value was better than the domestic ones’. But domestic companies were better on PTE values. This indicated that in
the respect of resources’allocation structure,there was a big gap between domestic and foreign insurers and there
was room for improvement for both,and in the respect of investment,the domestic companies had better skills and
management. Next,by using the panel fixed-effect model to analyze some internal factors affecting the SE value,the
paper proved that,up until 2011,the SE of Chinese property insurance companies had been increasing. In contrast to
term deposits,long-term investment had more stable effects to the fund investment efficiency. The paper also un-
veiled some other important factors impacting the efficiency of insurance fund utilization.
Key words: the property insurance fund investment; the scale efficiency; the pure technical efficiency
[编辑: 李凯飞]
—36—

产险资金运用效率与影响因素研究_基于DEA模型与面板固定效应模型

  • 1.
    保险研究 2014 年第10 期 INSURANCE STUDIES No. 10 2014 产险资金运用效率与影响因素研究 ———基于 DEA 模型与面板固定效应模型 李心愉 赵景涛 ( 北京大学经济学院,北京 100871) [摘 要] 本文利用 2008 ~ 2011 年产险资金的数据,基于 BCC 和 CCR 模型得到样本产险公司保 险资金运用的 SE( 规模效率) 和 PTE( 纯技术效率) 。实证显示,总体样本的 SE 效率值不高,且外资 SE 效率值明显高于中资 SE 效率值,但在 PTE 方面中资企业较高。实证说明,从资源配置结构方面 看,中外资差距较大,皆具有提高空间。从投资管理能力和投资技术水平方面看,中资较先进。本文 利用面板固定效应模型对 SE 进一步分析,得出影响 SE 的内部因素。实证表明,截至 2011 年我国 的产险资金运用效率处在规模效率递增的阶段,且与定期存款相比,长期投资对产险资金运用效率 的影响更加稳定; 还发现影响保险资金运用效率的其他重要因素。 [关键词] 产险资金运用; 规模效率; 纯技术效率 [中图分类号] F840. 32 [文献标识码] A [文章编号]1004 - 3306( 2014) 10 - 0052 - 12 DOI: 10. 13497 /j. cnki. is. 2014. 10. 005 [作者简介] 李心愉,北京大学经济学院风险管理与保险学系博士生导师,研究方向: 保险投资管理理论与实务; 赵景 涛,北京大学经济学院风险管理与保险学系博士生,研究方向: 公司金融。 一、引 言 DEA 模型作为一种有效的非参数前沿效率分析方法已被广泛用于研究保险企业的经营效率,如: Gard- ner 和 Grace( 1993) 、Cummins 和 Zi( 1998) 、Fecher、Kessler、Perelman 和 Pestieau ( 1993) 等采用 DEA 模型对 保险企业的经营效率进行研究; 吕秀萍( 2007) 、黄薇( 2012) 利用 DEA 方法研究中国保险业整体经营效率; 梁芹、陆静( 2011) 应用三阶段 DEA 模型研究环境因素对寿险业经营效率的影响。但在保险资金运用方面, 目前国内的研究主要集中在以下几个领域: ( 1) 投资渠道拓宽方面,早期由于投资渠道狭窄,学者更多对拓 宽投资渠道的可行性进行研究; ( 2) 投资政策及风险方面,如张健( 2009) 、李心愉和沈冲( 2010) 等; ( 3) 投资 比例方面,如秦振球和俞自由( 2003) 、荣喜民等( 2001) 、安实、张炀和陈剑平( 2003) 、崔斌( 2006) 、李心愉和 付丽莎( 2013) 等。而能够将 DEA 模型运用于保险资金运用效率的研究较少。我们通过文献整理发现,Wu、 Yang 和 Vela( 2007) 用两阶段 DEA 模型分析了加拿大人身和健康保险公司的保险效率和投资效率; 黄薇 ( 2009) 把保险资金运用分为筹集资金阶段和资金运用阶段,分别对这两个阶段应用 DEA 模型分析,发现保 险企业的筹资过程和投资过程的效率均不高; 刘晓庆和刘玮( 2013) 通过 DEA 模型得到寿险公司保险投资 效率,在此基础上进一步利用回归模型找出影响投资效率的因素。 上述为数不多的针对保险资金运用效率的研究均存在两个较大的缺陷: 一是没有区分产险资金与寿险 资金。产险与寿险投资资金主要来源之一是保险准备金,各具有不同的特点,主要体现在资金可使用的时间 及周转速度不同方面,从而导致在期限匹配的原则下,产险与寿险资金投资具有不同的特点。因此,若将这 —25—
  • 2.
    两类具有异质性的资金混合在一起研究其运用效率,必然会影响结论的准确性和可靠性。寿险资金运用效 率的研究结论也就不适合产险资金的运用效率。二是投入产出指标选取不当。投入产出指标的选取直接与 研究所得到的效率值相关,投入产出指标选取不当必然影响研究结论。针对上述不足,本文拟运用 DEA 方 法,通过选取合适的投入产出指标对产险资金的运用效率进行研究,得出其效率值,并在此基础上,进一步分 析影响产险保险资金产险资金运用效率的因素。 本文分为两个部分,第一部分利用DEA 模型描述 2008 ~ 2011 年的产险保险资金运用的效率,第二部 分,利用面板固定效应模型分析影响产险保险资金运用效率的因素。 二、产险保险资金运用效率分析 ( 一) 模型说明与指标确定 本文利用 Matlab 软件实现 CCR、BCC 模型以得到保险资金运用效率,面板回归部分使用 stata11 软件。 原始数据来源于 2008 ~ 2011 年的中国保险统计年鉴,包括 36 家样本公司,其中中资 23 家,外资 13 家,连续 观察 4 年。 1. 模型选择 本文采用 CCR( 规模报酬不变的数据包络法) 和 BCC( 规模报酬可变的数据包络法) 模型对财险公司资 金运用的技术效率( TE) 、规模效率( SE) 以及纯技术效率( PTE) 进行测度。CCR 模型与 BCC 模型的主要区 别在于,两者的前提假设不同,CCR 假设决策单元的规模不会变化,而 BCC 假设决策单元的规模会改变。 CCR 模型得到 TE 的值,BCC 模型得到 SE 的值。 TE、SE 及 PTE 值之间的关系满足下式: TE( 技术效率) = PTE( 纯技术效率) × SE( 规模效率) 。 假设 n 个决策单元( Decision Making Units,简称 DMU,这里指保险企业) 对应的输入数据和输出数据分 别为: xj = ( x1j ,x2j ,…xmj ) T ,j = 1,2,…,n yj = ( y1j ,y2j ,…ysj ) T ,j = 1,2,…,n 其中,xj ∈Em ,yj ∈Es ,xj > 0,yj > 0。 BCC 模型为: max( μ T yj0 + μ0 ) = Vp ω T xj - μ T yj - μ0 ≥0 s. t. ωTxj = 1 ω≥0,μ≥0 j = 1,2,…,        n 上述模型的对偶规划为: minθ ∑ n j = 1 xj λj + s - = θxj0 s. t. ∑ n j = 1 yj λj - s + = yj0 ∑ n j = 1 λj = 1 s - ≥0,s + ≥0,λj ≥            0 其中 θ 为所求的效率。 而 CCR 模式为: —35—
  • 3.
    max( μ T yj0 +μ0 ) = Vp ω T xj - μ T yj - μ0 ≥0 s. t. ω≥0,μ≥0 j = 1,2,…,        n 上述模型的对偶规划为: minθ ∑ n j = 1 xj λj + s - = θxj0 s. t. ∑ n j = 1 yj λj - s + = yj0 s - ≥0,s + ≥0,λj ≥        0 其中 θ 为所求的效率。 2. 指标确定 保险资金运用体现了保险公司的投资能力,同时需考虑保险资金运用的主体。通常在研究金融机构的 投资效率时,确定投入产出指标的方法包括: ( 1) 金融中介法,该方法的投入指标通常为存款数量,产出指标 为贷款数量,尤其适合评价银行的整体效率; ( 2) 生产法,该方法的投入指标一般为人力和物力,产出指标为 保费收入,适合评价保险企业的承保业务效率; ( 3) 价值增值法,该方法的投入指标一般为资金量,产出指标 为投资收益率,适合评价金融机构的资产增值效率。由于保险公司是特殊的金融企业,包含承保业务和资金 运用业务,并且二者之间有着紧密的联系,上述三种方法要么只考虑承保业务( 生产法) ,要么只考虑保险资 金运用业务( 金融中介法和价值增值法) ,对研究保险公司的投资效率都具有局限性。 本文将综合利用上述三种方法来确定投入产出指标。 首先是产出指标的确定。直观上,产险公司将保险资金存入银行或者购买债券以获得投资收益,该过程 可被看作向资金需求方“借出”资产而获得投资收益,因此,本文采用金融中介法的投资收益作为产出指标, 即将“投资收益”作为产出量。该数据来源于产险企业的损益表。 其次是投入指标的确定。为了更好地理解保险资金运用的过程中的投入,我们可以将保险资金运用类 比于“产品生产”过程。保险资金好比原材料投入,没有保险资金投入就没有保险企业的投资活动。在选择 保险资金投入指标时,显然不应该按照保险企业投资资产的口径,因为投资资产是“生产”的结果而非“原 料”。此外,人力资本投入和营业费用投入则是该投资过程得以顺利进行的两个必备条件。鉴于上述考虑, 我们选择的投入指标具体包括: ( 1) 保险资金的投入。该指标包括权益资本和各种准备金,本文将权益资本和各种准备金合并,称为金 融资本。金融资本等于资产负债表中的实收资本、资本公积及各种准备金( 未到期责任准备金、长期责任准 备金等) 之和。 ( 2) 人力资本投入。已有研究发现高管与投资决策之间具有显著关系,如 William 和 Surya( 1996) 、罗富 碧等( 2008) 。与公司所有员工相比,高管对保险资金运用效率的贡献要大得多。因此,本文将高管人数作 为 DEA 模型中人力资本的投入指标。此项的数据来源于样本公司的人员结构统计表。 ( 3) 营业费用投入。该指标数据来源于样本公司的损益表,等于营业税金及附加、手续费及佣金支出、 业务及管理费和其他费用支出之和。 3. DEA 模型实证结果分析 表 1 显示的是产险资金运用效率的 CRR 和 BCC 模型的实证结果。为方便统计,将保险企业归类为中 资、外资两种,由中方发起设立的保险企业为中资,由外资单独发起设立或中外双方共同发起的为外资。中 资产险公司与外资产险公司的效率值按照时间顺序在表 1 中分别列示。 —45—
  • 4.
    SE 效率值是由 BCC模型得到,反映规模效率,其经济含义是投入资源配置的结构( 包括人力数量投入 和财力数量投入) 对产出的影响。若某企业的 SE 值为 1 则说明该企业相对于其他企业而言,投入资源配置 结构处于最优阶段。TE 效率值是由模型 CCR 得到,称为综合技术效率,既包含有规模效率又包含有纯技术 效率,如前述,TE = SE × PTE。通过分离该公式得到 PTE 效率。PTE 效率是纯技术效率,其含义是指受管理 和技术等因素影响的生产效率。PTE 的值为 1,则说明该企业相对于其他企业而言,在管理和生产技术上是 高效的。 DEA 模型实证结果 表 1 中资 2008 年 2009 年 TE SE PTE TE SE PTE 人保财险 0. 385 1 1. 000 0 0. 385 1 0. 111 8 1. 000 0 0. 111 8 国寿财险 0. 137 7 0. 142 3 0. 968 1 0. 547 0 0. 551 7 0. 991 6 太保产险 0. 659 2 1. 000 0 0. 659 2 1. 000 0 1. 000 0 1. 000 0 大地保险 0. 000 0 0. 020 5 0. 000 0 0. 040 3 0. 052 4 0. 768 6 中国信保 1. 000 0 1. 000 0 1. 000 0 1. 016 2 1. 000 0 1. 016 2 阳光产险 1. 000 0 1. 000 0 1. 000 0 0. 210 5 0. 233 7 0. 900 5 华泰财产 0. 544 4 0. 551 4 0. 987 4 0. 670 4 0. 674 1 0. 994 4 天安产险 0. 127 9 0. 131 7 0. 970 6 0. 061 9 0. 076 4 0. 810 1 大众产险 0. 000 0 0. 500 0 0. 000 0 0. 310 4 0. 323 9 0. 958 2 永安财险 0. 467 1 0. 471 8 0. 990 0 0. 123 2 0. 132 9 0. 926 6 永诚财险 0. 229 7 0. 257 2 0. 893 0 0. 481 7 0. 489 5 0. 983 9 安邦财险 0. 120 5 0. 125 2 0. 962 2 0. 502 2 0. 509 7 0. 985 2 安华农业 0. 000 0 0. 256 6 0. 000 0 0. 008 0 0. 236 4 0. 033 7 天平汽车 0. 000 0 0. 178 3 0. 000 0 0. 000 0 0. 168 8 0. 000 0 渤海产险 0. 698 9 0. 710 8 0. 983 3 0. 401 0 0. 436 7 0. 918 4 华农财产 0. 000 0 0. 725 0 0. 000 0 0. 681 8 0. 835 6 0. 815 9 民安财产 0. 195 0 0. 260 9 0. 747 6 0. 170 7 0. 199 0 0. 857 9 安诚财产 0. 118 5 0. 332 6 0. 356 4 0. 622 1 0. 662 0 0. 939 6 中银产险 1. 000 0 1. 000 0 1. 000 0 0. 077 8 0. 113 9 0. 683 3 长安责任 0. 000 0 0. 383 9 0. 000 0 0. 005 0 0. 220 2 0. 022 6 中资 2010 年 2011 年 TE SE PTE TE SE PTE 人保财险 0. 226 8 1. 000 0 0. 226 8 0. 836 5 1. 000 0 0. 836 5 国寿财险 1. 000 0 1. 000 0 1. 000 0 1. 000 0 1. 000 0 1. 000 0 太保产险 0. 729 9 1. 000 0 0. 729 9 1. 000 0 1. 000 0 1. 000 0 大地保险 0. 160 5 0. 163 6 0. 980 9 0. 282 4 0. 287 1 0. 983 7 阳光产险 1. 000 0 1. 000 0 1. 000 0 1. 000 0 1. 000 0 1. 000 0 华泰财产 0. 225 0 0. 228 4 0. 985 0 1. 000 0 1. 000 0 1. 000 0 天安产险 1. 000 0 1. 000 0 1. 000 0 0. 343 4 0. 367 1 0. 935 4 —55—
  • 5.
    ( 续表) 中资 2010 年2011 年 TE SE PTE TE SE PTE 大众产险 0. 168 4 0. 173 9 0. 968 5 0. 534 4 0. 538 6 0. 992 1 华安财险 0. 055 8 0. 126 7 0. 440 4 0. 448 4 0. 489 4 0. 916 2 永安财险 0. 148 5 0. 197 3 0. 752 7 0. 508 2 0. 508 2 1. 000 0 永诚财险 0. 224 1 0. 234 8 0. 954 5 0. 587 5 0. 609 5 0. 964 0 安华农业 0. 068 0 0. 106 4 0. 638 9 0. 000 0 1. 000 0 0. 000 0 天平汽车 0. 012 4 0. 237 3 0. 052 1 0. 178 2 0. 274 6 0. 648 9 渤海产险 0. 622 7 0. 684 1 0. 910 3 0. 438 8 0. 478 6 0. 916 8 华农财产 0. 744 0 0. 826 9 0. 899 7 0. 798 3 0. 836 2 0. 954 7 民安财产 0. 786 8 1. 000 0 0. 786 8 0. 113 5 0. 441 1 0. 257 4 安诚财产 0. 174 2 0. 245 6 0. 709 4 0. 129 0 0. 199 3 0. 647 4 中银产险 0. 502 5 0. 604 7 0. 831 0 0. 642 3 0. 671 8 0. 956 1 长安责任 0. 162 4 0. 196 3 0. 827 3 0. 788 5 0. 811 2 0. 972 0 外资 2008 年 2009 年 TE SE PTE TE SE PTE 美亚产险 0. 142 5 0. 225 4 0. 632 4 0. 121 4 0. 207 0 0. 586 5 东京海上 0. 111 3 0. 331 3 0. 335 9 0. 075 1 0. 396 5 0. 189 4 丰泰 0. 380 9 0. 820 8 0. 464 1 0. 331 6 0. 936 3 0. 354 2 太阳联合 0. 238 3 0. 420 7 0. 566 5 0. 072 0 0. 399 4 0. 180 3 丘博 0. 267 0 0. 656 5 0. 406 7 1. 000 0 1. 000 0 1. 000 0 三井住友 0. 338 3 0. 535 4 0. 631 8 0. 252 6 0. 406 2 0. 621 9 三星财产 0. 696 9 1. 000 0 0. 696 9 0. 274 6 0. 783 3 0. 350 5 安联财产 0. 326 7 0. 568 1 0. 575 1 0. 395 1 0. 821 1 0. 481 1 日本财产 0. 301 8 0. 465 1 0. 648 8 0. 240 6 0. 406 9 0. 591 2 利宝 0. 123 0 0. 579 9 0. 212 1 0. 094 7 0. 409 7 0. 231 2 安盟 0. 565 3 1. 000 0 0. 565 3 0. 283 2 1. 000 0 0. 283 2 苏黎世 0. 131 1 0. 794 8 0. 164 9 0. 053 9 0. 803 0 0. 067 2 爱和谊 0. 408 6 1. 000 0 0. 408 6 0. 159 0 1. 000 0 0. 159 0 外资 2010 年 2011 年 TE SE PTE TE SE PTE 美亚产险 0. 091 2 0. 226 4 0. 403 0 0. 517 1 0. 618 3 0. 836 3 东京海上 0. 080 5 0. 433 7 0. 185 6 0. 533 1 0. 744 4 0. 716 1 丰泰 0. 152 0 0. 648 0 0. 234 6 0. 301 8 1. 000 0 0. 301 8 太阳联合 0. 213 3 0. 515 5 0. 413 7 0. 615 9 0. 840 1 0. 733 2 丘博 1. 000 0 1. 000 0 1. 000 0 0. 292 6 1. 000 0 0. 292 6 三井住友 0. 178 2 0. 404 0 0. 441 1 0. 699 2 0. 865 3 0. 808 1 三星财产 0. 454 1 0. 770 0 0. 589 7 0. 801 0 1. 000 0 0. 801 0 —65—
  • 6.
    ( 续表) 外资 2010 年2011 年 TE SE PTE TE SE PTE 安联财产 0. 186 6 0. 586 8 0. 317 9 0. 121 2 0. 695 1 0. 174 4 日本财产 0. 220 0 0. 448 8 0. 490 1 0. 502 7 0. 676 2 0. 743 4 利宝 0. 113 6 0. 399 4 0. 284 5 0. 330 3 0. 491 7 0. 671 8 安盟 0. 191 0 1. 000 0 0. 191 0 0. 234 6 0. 909 8 0. 257 8 苏黎世 0. 087 1 0. 723 7 0. 120 3 0. 392 8 1. 000 0 0. 392 8 爱和谊 0. 237 3 1. 000 0 0. 237 3 0. 524 3 1. 000 0 0. 524 3 从表 1 可以看到,2008 年到 2011 年我国产险公司资金运用的效率普遍较低。在 2008 年处于规模效率 前沿( SE = 1) 的中资公司有 5 家,占表 1 所列中资公司的 25% ,而外资公司 3 家,占外资公司的 23% ; 2009 年处于规模效率前沿的,中资公司只有 3 家,占中资的 15% ,外资公司情况没有变化,占外资的 23% ; 2010 年 处于规模效率前沿的,中资公司 6 家,占中资的 30% ,外资公司仍然维持不变; 2011 年处于规模效率前沿的, 中资 6 家,占中资 30% ,而外资 5 家,占外资的 38% 。 2008 年,中资 SE 的最低值为 0. 02 ( 大地保险) ,外资 SE 的最低值为 0. 2254 ( 美亚财险) ; 2009 年中资 SE 的最低值为 0. 05( 大地保险) ,外资 SE 的最低值为 0. 21( 美亚财险) ; 2010 年,中资 SE 的最低值为 0. 11 ( 安华农业) ,外资 SE 的最低值为 0. 22( 美亚财险) ; 2011 年,中资 SE 的最低值为 0. 2( 安诚财产) ,外资 SE 的最低值为 0. 62 ( 美亚财险) 。 表 2 展示了样本公司排名前十的情况。在十家公司中,外资企业有 6 个,占外资比例 46% ,中资只有 4 个,占中资比例 20% 。从这些统计结果中可以得出,中资 SE 的值的波动区间要大于外资的波动区间,即中 资的 SE 的最低值均小于外资的 SE 最低值; 并且中资的规模效率出现两极分化现象,外资公司比较集中。 样本公司 SE 前十排名 表 2 公司名称 企业性质 2008 年 2009 年 2010 年 2011 年 中国信保 中 1. 000 0 1. 000 0 1. 000 0 1. 000 0 人保财险 中 1. 000 0 1. 000 0 1. 000 0 1. 000 0 太保产险 中 1. 000 0 1. 000 0 1. 000 0 1. 000 0 爱和谊 外 1. 000 0 1. 000 0 1. 000 0 1. 000 0 安盟 外 1. 000 0 1. 000 0 1. 000 0 0. 909 8 丘博 外 0. 656 5 1. 000 0 1. 000 0 1. 000 0 三星财产 外 1. 000 0 0. 783 3 0. 770 0 1. 000 0 丰泰 外 0. 820 8 0. 936 3 0. 648 0 1. 000 0 苏黎世 外 0. 794 8 0. 803 0 0. 723 7 1. 000 0 华农财产 中 0. 725 0 0. 835 6 1. 000 0 0. 441 1 表 3 和表 4 分别给出中资、外资以及总体的 SE 和 PTE 情况。结合表 3 和图 1 可以看出,虽然产险资金 规模效率整体趋势是递增的,但效率值偏低,说明整体而言,我国产险公司资源配置效率低,尚有很大的调整 空间。其中,中资的 SE 效率在 50% 左右,小于样本总体平均值,更小于外资的 SE 效率( 大约 70% ) 。图 1 显示,外资 SE 曲线最高,中资 SE 曲线最低,而总体 SE 曲线居中。从 2009 到 2011 年,中资 SE 的值有追赶 外资 SE 值的趋势。2010 年到 2011 年,外资 SE 值的递增速度大于中资 SE 的值。 —75—
  • 7.
    样本公司 SE( 规模效率)均值统计 表 3 SE 规模效率 2008 年 2009 年 2010 年 2011 年 均值 0. 543 5 0. 531 3 0. 570 2 0. 708 4 中资均值 0. 480 1 0. 455 7 0. 534 7 0. 634 2 外资均值 0. 646 0 0. 659 2 0. 627 4 0. 833 9 图 1 规模效率对比图 就 PTE( 纯技术效率) 而言,从表 4 可以看到,中资的 PTE 值高于外资的 PTE 值,与图 1 形成巨大的差 距。PTE 效率是从投资管理能力和投资技术水平方面来说明企业的效率,中资的 PTE 高,则说明中资产险 公司的管理能力及投资技术均比较先进。这一结果与前文 SE 效率分析结果存在着不同。那么,相对于外 资而言,既然中资企业管理能力和投资技术( PTE) 均较为先进,为何资金运用的规模效率( SE) 却较为落后 呢? 为了说明这个问题,需要进一步分析究竟是哪些因素影响了我国产险资金运用的规模效率( SE) 。 PTE( 纯技术效率) 统计 表 4 PTE 纯技术效率 2008 年 2009 年 2010 年 2011 年 均值 0. 563 0 0. 615 4 0. 611 5 0. 745 2 中资均值 0. 611 0 0. 747 4 0. 756 3 0. 855 8 外资均值 0. 485 3 0. 392 0 0. 377 6 0. 558 0 三、规模效率( SE) 的影响因素分析 上文利用 DEA 模型获得了样本公司连续四年的 SE 效率,初步分析表明在资源配置方面产险公司普遍 效率不高。由于本文实证分析所得的效率值 SE 只有连续四年的值,且样本公司数较少,面板随机效应模型 不能很好的说明经济含义,因此需要选择面板固定效应模型。在实证过程中,为了防止结果有偏,去掉了 SE 为 1 的样本。需要强调的是,保险资金的运用效率受到来自企业内部因素与外部因素的影响,由于对于所有 企业来讲外部因素都是相同的,因此本文假定外部因素是外生变量。 ( 一) 模型及影响因素说明 考虑到本文研究缺乏长时段的观测数据,本文拟采用静态面板固定效应模型,公式如下: Yit = X'it β + εit ,εit ~ ( 0,1) 1. 模型指标选择 本文选取了六个因素,通过面板固定效应模型来分析研究他们对保险资金运用效率的影响,分别为: ( 1) 资产规模( Asset-size) 。资产规模是企业开展业务的承载能力。根据规模经济理论,在规模报酬递 —85—
  • 8.
    增阶段,资产规模扩大则公司生产效率增加; 而在规模报酬递减阶段,资产规模扩大则公司生产效率减小。 本文将采用公司总资产的自然对数来表示资产规模。 ( 2)市场份额( Market-share) 。由于保险投资资金主要来源之一是承保业务得到的保险准备金,因此,承保 业务将从投资资金规模和赔付额两个方面对保险资金运用产生影响。本文以保费市场份额占比来代表承保业 务规模,通过计算某一产险公司保费收入占产险业总收入的比例来得到某公司的市场份额。考虑到市场份额 占比均为小于 1 的数会造成数据点过于集中( 见图 3) ,因而采用市场份额的对数来替代( 见图 4) 。 图 3 SE 与 market-share 的散点图 图 4 SE 与 lnmarket-share 的散点图 ( 3) 综合营业费用率( Fee-rate) 。综合营业费用率是反映公司的综合经营管理水平的重要指标,营业费 用率越高,表明公司综合经营管理水平越低,反之,则表明公司综合经营管理水平越高。本文采用营业费用 与保费收入之比来表示企业的综合营业费用状况。 ( 4) 劳动者素质( Quality) 。相对于保险企业的其他部门( 如销售部门) ,投资部门具有投资技术高和风 险控制难的特点,对人才的要求较高。现实中我们也可以看到,近年来越来越多的保险企业的投资部门在招 聘时更偏向招收具有高学历的毕业生,在保险投资机构中研究生比例逐年扩大。本文将选取研究生以上学 历占比来说明投资部门的劳动者素质。 ( 5) 公司成立年限( Found-time) 。有研究表明,我国产险公司的成立年限会对企业开展业务产生影响, 如张春海( 2011) ,因此本文引入成立年限考察成立年限是否会对产险公司资金运用效率产生影响。 ( 6) 投资品种的影响。在保险年鉴中,产险公司的投资品种包括定期存款、长期债券以及地产,而在我 们的样本公司中只有少部分公司有地产方面的投资。因此本文在考察投资品种影响时,将投资种类分为定 期存款和其他长期证券投资( 包括可供出售金融资产、持有至到期投资、长期股权投资) ,考察定期存款比例 与其他长期债券投资比例对保险资金运用效率的影响。其中,定期存款比例( Deposit-rate) 指定期存款与总 资产的比例; 其他长期证券投资比例( Bond-rate) 指可供出售金融资产、持有至到期投资及长期股权投资之 和与总资产的比例。 2. 指标分组 鉴于样本公司个数较少,而选取的指标较多,因此在分析时将指标分为两组: 第一组: Yit : 为 BBC 模型中所得的效率结果 SEit ; Xit : 资产规模及控制变量( 市场份额、综合营业费用率、成立年限、劳动素质) ,企业性质通过固定效应模 型进行控制。 第二组: Yit : 为 BBC 模型中所得的效率结果 SEit ; Xit : 定期存款比例、其他长期债券投资比例及控制变量( 资产规模、市场份额、成立年限、劳动素质) ,企 —95—
  • 9.
    业性质通过固定效应模型进行控制。 ( 二) SE与影响因素的面板实证结果及分析 1. 面板实证结果 利用 stata11 软件对样本数据进行分析得到的结果如表 5 和表 6 所示,这两张表给出了两组的分析结 果。第一组结果由三列组成,第二组结果由五列组成。第二列、第三列的结果是引入控制变量后得到的,以 观察目标因素(“资产规模”) 的稳定性。同样地,第五列、第六列、第七列和第八列是引入控制变量后,以考 察目标因素( 投资种类) 的稳定性。 规模效率( SE) 第一组实证结果 表 5 第一组 第一列 第二列 第三列 控 制 变 量 Asset-size 0. 161 207 6*** ( 0. 055 494 5) 0. 152 735 7*** ( 0. 056 928 5) 0. 109 469 3* ( 0. 061 859) Market-share - 0. 089 200 4( 0. 072 945 7) - 0. 109 851 1* ( 0. 078 601 7) - 0. 087 459 7( 0. 079 197 8) Fee-rate - 0. 371 881( 0. 514 376 9) - 0. 100 418 6( 0. 580 896 9) Found-time 0. 043 355* ( 0. 025 301 5) Quality - 0. 088 239 8( 1. 687 991) 企业性质 控制 控制 控制 cons - 1. 339 839** ( 0. 661 501 8) - 1. 238 332* ( 0. 678 743 1) - 1. 202 439* ( 0. 677 668 9) 注: “***”表示 1% 水平显著性,“**”表示 5% 水平显著,“* ”表示 10% 水平显著 规模效率( SE) 第二组实证结果 表 6 第二组 第四列 第五列 第六列 第七列 第八列 Deposit-rate 0. 499 007 5** ( 0. 249 190 1) 0. 446 470 5* ( 0. 255 788 4) 0. 433 144 2 ( 0. 261 705 1) 0. 445 798 6* ( 0. 258 075 5) 0. 433 027 ( 0. 263 963 1) Bond-rate 0. 529 770 3** ( 0. 207 184 3) 0. 412 604 7* ( 0. 231 169 8) 0. 401 628 6* ( 0. 235 916 4) 0. 410 358 5* ( 0. 234 858 5) 0. 400 630 5* ( 0. 239 171 7) 控 制 变 量 Asset-size 0. 110 603 4* ( 0. 059 456 4) 0. 108 532 3* ( 0. 060 326 1) 0. 110 293 2* ( 0. 060 085 1) 0. 108 404 4* ( 0. 060 922 3) Market-share - 0. 068 629 5 ( 0. 074 298 2) - 0. 077 550 1 ( 0. 080 773 4) - 0. 068 654 3 ( 0. 074 922) - 0. 077 402 2 ( 0. 081 544 9) Fee-rate - 0. 151 809 2 ( 0. 515 838 5) - 0. 149 068 ( 0. 524 507 9) Quality 0. 129 524 4 ( 1. 650 227) 0. 068 987 ( 1. 676 818) 企业性质 控制 控制 控制 控制 控制 cons 0. 217 139 6*** ( 0. 076 392 1) - 1. 003 141 ( 0. 686 214 1) - 0. 970 372 1 ( 0. 700 405) - 1. 009 22 ( 0. 696 290 6) - 0. 974 201 8 ( 0. 712 513 8) 注: “***”表示 1% 水平显著性,“**”表示 5% 水平显著,“* ”表示 10% 水平显著。 —06—
  • 10.
    从表 5 和表6 可以看出,“资产规模”( Asset-size) 和“其他长期债券投资比例”( Bond-rate) 的回归结果都 比较稳定,而“定期存款比例”( Deposit-rate ) 的回归结果不稳定。 2. SE( 规模效率) 的实证结果分析 ( 1) 第一组的 SE 实证结果分析 表 5 所展示的第一组的实证结果如下。 第一,“资产规模”与“规模效率”显著正相关,随着资产规模( Asset - size) 的增加,规模效率( SE) 增加, 当资产规模每增加单位 1 时,规模效率增加 11% ( 第三列) 。这意味着,当前我国产险企业资金运用的规模 效率处在规模递增的阶段。在规模效率递增阶段,可以通过扩大资产规模,来提升险资运用的规模效率。 第二,市场份额因素的显著性不高,甚至随着控制变量的增多而消失,这可能是样本量较小的缘故。但 是,该指标的符号一直为负,即随着市场份额的扩大,保险资金运用的规模效率降低。这表明,由于承保业务 与投资业务相辅相成,若过分追求承保业务而忽视投资业务,虽然增加了保险资金的来源,但同时也会带来 更多的佣金支出和赔付负担,实质上是增加了企业的负担,从负向影响了保险资金的运用效率。该实证结果 提示了我国产险企业不能单纯追求市场份额扩大,也需要注重资金的投资管理。 第三,模型中“资产规模”与“市场份额”从正负两个方向对资金运用的规模效率产生作用。当“资产规 模”增加 1 单位,SE 值大约增加 11% ; 当“市场份额”增加 1 单位,SE 值大约减少 9% ; 两者共同作用的结果 是,当“资产规模”与“市场份额”同时增加单位 1 时,SE 值大约增加 2% 。可见产险企业可以通过扩大资产 规模来缓解由“市场份额”增加带来的负作用。因此,本文对资产规模较小的产险公司的建议是,在积极拓 展保险业务的同时,要积极通过融资等手段扩大资产规模,进而提升保险资金运用的效率,形成投资与承保 业务的良性互动。 第四,实证结果显示,公司成立年限越久,其规模效率越高,该结果与张春海( 2011) 得到的结果相同。 这是因为,公司成立越久,投资经验越丰富,更容易达到规模效率的前沿。因此,年轻的公司可以通过学习老 牌公司的经验或者吸引经验丰富的投资人才来提高投资效率。 第五,“综合营业费用率”和“劳动者素质”在模型中不显著,但是二者的符号都比较稳定,其中“劳动者 素质”从正方向影响规模效率,而“综合营业费用率”从负方向影响规模效率。实证结果说明,企业通过吸引 高素质人才可能会促进保险资金的运用效率,并且要提高企业的综合管理水平,减小管理费用的支出。 ( 2) 第二组的 SE 实证结果分析 实证结果( 表 6) 显示,随着控制变量逐渐引入模型,“定期存款比例”的显著性不稳定,但“其他长期类 证券投资比例”的显著性是稳定的。这说明本文涉及的两类投资中,其他长期类证券投资对提高规模效率 的贡献显著。 表 6 第八列显示,“其他长期类证券投资比例”每增加单位 1,规模效率大约增加 40% 。从实证结果来 看,2008 年到 2011 年间我国产险公司资金运用的规模效率提高主要依靠长期证券类产品的投资增加而非 定期存款。因此,对于产险企业来讲,大量持有定期存款不是好的选择,而应该将资金投资于债券市场。但 是大量持有定期存款的现象在样本产险企业中普遍存在,如表 7 所示,该现象值得进一步研究,限于篇幅所 限本文暂不对此进行讨论。从理论上来讲,资本市场应是提高保险资金运用效率的最佳渠道。 四、结 论 本文基于 2008 ~ 2011 年我国产险公司资金运用的数据,利用 Matlab 软件模拟出 DEA 模型中的 BCC 模 型和 CCR 模型,分别获得了样本公司资金运用的 SE( 规模效率) 和 PTE( 纯技术效率) 。在上述研究的基础 上,本文利用 Stata11 软件的面板固定效应模型,对影响资金运用效率的原因作进一步的分析,得到影响规模 效率( SE) 的企业内部因素。 —16—
  • 11.
    定期存款比例统计 表 7 平均值 最大值中位数 2008 0. 221 224 0. 643 548 0. 184 841 2009 0. 222 703 0. 679 201 0. 168 764 2010 0. 221 885 0. 646 89 0. 204 97 2011 0. 264 381 0. 6532 22 0. 253 557 我们的研究表明,从 2008 年到 2011 年,我国产险公司资金运用效率整体不高,外资与中资相比,外资产 险资金运用的规模效率明显高于中资产险公司。在对影响规模效率的内部因素分析中,我们得出如下结论。 第一,随着资产规模的增加,产险资金的运用效率会增加。该结果可以说明,在 2008 ~ 2011 年间,我国 产险公司资金运用效率处在规模报酬递增的阶段。在规模报酬递增阶段,可以通过扩大资产规模来提高保 险资金的运用效率。市场份额对资金运用效率的影响虽然不显著,但是其符号为负且未随着控制变量的加 入而改变,这个结果至少可以说明市场份额扩大会从负向影响保险资金运用的规模效率。我们认为市场份 额之所以会产生负向影响的原因是,虽然市场份额的扩大增加了保险资金的来源,但同时也会带来更多的佣 金支出和赔付负担,增加了企业的支出,进而影响了资金运用的规模和效率。 第二,市场份额与资产规模从正负两个方向对规模效率产生作用,由于市场份额的增加会降低保险资金 运用效率,因此企业可以通过扩大资产规模来缓解市场份额的负作用。扩大资产规模的方法包括股权融资、 债券融资或者其他的融资方式。 第三,企业成立时间对保险资金运用效率有显著的正向影响。实证的结果表明成立时间越久的公司其 投资效率越高,这是由于老公司的投资经验丰富,可以更有效地运用资金。 第四,与定期存款比例的显著性相比,其他长期证券类投资比例在模型中的显著性更加稳定,并且二者 均对保险资金运用的规模效率产生正向的影响。从实证结果来看,2008 年到 2011 年,其他长期证券类投资 对产险资金运用的规模效率增加有显著贡献,其他长期证券类投资比例越大则规模效率越高。因此,适当增 加长期证券类投资是低效率产险企业提高资金运用效率的途径之一。 需要指出的是,本文采用 DEA 模型分析的结果( 图 1) 直观地显示出,与外资的规模效率相比,中资的规 模效率较低,且低于总体平均水平。该结果与姚树杰等( 2005) 的研究认为企业性质与效率没有显著性关系 不同,这个问题值得进一步研究。 [参考文献] [1] 安 实,张 炀,陈剑平 . 基于差异系数 σ /μ 的人寿保险公司最优投资组合方法[J]. 管理工程学报, 2003,( 3) : 9 - 101. [2] 崔 斌 . 保险资金战术性资产配置策略[J]. 保险研究,2006,( 3) . [3] 黄 薇 . 环境风险与企业技术效率: 基于改进型三阶段 DEA 模型[J]. 系统工程理论与实践,2012,32 ( 1) : 1 - 10. [4] 黄 薇 . 中国保险机构资金运用效率研究: 基于资源型两阶段 DEA 模型[J]. 经济研究,2009,( 8) : 37 - 49. [5] 李心愉,沈 冲 . 保险投资中的政策因子研究: 保险、金融与经济周期,北京大学经济学院,2010[C]. 北京大学经济学院风险管理与保险学系 . [6] 李心愉,付丽莎 . 基于 Black-Litterman 模型的保险资金动态资产配置模型研究[J]. 保险研究,2013, ( 3) : 24 - 38. —26—
  • 12.
    [7] 刘晓庆,刘 玮. 寿险公司资金运用效率研究[J]. 现代管理科学,2013,( 4) : 15 - 17. [8] 罗富碧,冉茂盛,杜家廷 . 高管人员股权激励与投资决策关系的实证研究[J]. 会计研究,2008,( 8) : 69 - 95. [9] 秦振球,俞自由 . 保险公司投资比例问题研究[J]. 财经研究,2003,29,( 2) : 41 - 47. [10] 荣喜民,吴孟铎,刘泊炀 . 保险基金投资的单位风险收益最优化模型研究[J]. 管理工程研究,2001, ( 2) : 40 - 43. [11] 吕秀萍 . 1999 - 2004 年中国保险业效率实证研究: 基于 DEA 方法[J]. 统计研究,2007,24 ( 1) : 35 - 39. [12] 梁 芹,陆 静 . 基于三阶段 DEA 模型的中国寿险市场效率研究[J]. 经济管理,2011,33 ( 7) : 149 - 155. [13] 姚树杰,冯根福,韩钟伟 . 中国保险业效率的实证研究[J]. 经济研究,2005,( 7) : 56 - 65. [14] 张 健 . 保险资金运用全面风险管理———基于机制建设的角度[J]. 保险研究,2009,( 3) : 71 - 76. [15] Cummins J D,Weiss M A,Xie X,et al. Economies of scope in financial services: A DEA efficiency analysis of the US insurance industry[J]. Journal of Banking & Finance,2010,34: 1525 - 1539. [16] Cummins J D,Zi H. Comparison of frontier efficiency methods: an application to the US life insurance indus- try[J]. Journal of Productivity Analysis,1998,10( 2) : 131 - 152. [17] Fecher F,Kessler D,Perelman S,et al. Productive performance of the French insurance industry[J]. Journal of Productivity Analysis,1993,4( 12) : 77 - 93. [18] Wu D,Yang Z,Vela S,et al. Simultaneous analysis of production and investment performance of Canadian life and health insurance companies using data envelopment analysis[J]. Computers & Operations Research, 2007,34( 1) : 180 - 198. Analysis on the Efficiency of the Usage of Property Insurance Funds Based on the DEA Model and the Panel Fixed-Effect Model LI Xinyu,ZHAO Jingtao ( The School of Economy,Peking University,Beijing 100871) Abstract: This article used the fund investment’s data from 2008 to 2011 of property insurance companies to get SE ( scale efficiency) & PTE ( pure technical efficiency) of insurance fund utilization based on the BCC and CCR models. The empirical study showed that the whole samples’SE value was not high,and the foreign samples’SE value was better than the domestic ones’. But domestic companies were better on PTE values. This indicated that in the respect of resources’allocation structure,there was a big gap between domestic and foreign insurers and there was room for improvement for both,and in the respect of investment,the domestic companies had better skills and management. Next,by using the panel fixed-effect model to analyze some internal factors affecting the SE value,the paper proved that,up until 2011,the SE of Chinese property insurance companies had been increasing. In contrast to term deposits,long-term investment had more stable effects to the fund investment efficiency. The paper also un- veiled some other important factors impacting the efficiency of insurance fund utilization. Key words: the property insurance fund investment; the scale efficiency; the pure technical efficiency [编辑: 李凯飞] —36—