Control Systems
A control system consisting of interconnected components is designed to
achieve a desired purpose. To understand the purpose of a control system, it
is useful to examine examples of control systems through the course of
history. These early systems incorporated many of the same ideas of feedback
that are in use today.
Modern control engineering practice includes the use of control design
strategies for improving manufacturing processes, the efficiency of energy
use, advanced automobile control, including rapid transit, among others.
We also discuss the notion of a design gap. The gap exists between the
complex physical system under investigation and the model used in the
control system synthesis.
The iterative nature of design allows us to handle the design gap effectively
while accomplishing necessary tradeoffs in complexity, performance, and cost
in order to meet the design specifications.
Introduction
System – An interconnection of elements and devices for a desired purpose.
Control System – An interconnection of components forming a system configuration
that will provide a desired response.
Process – The device, plant, or system
under control. The input and output
relationship represents the cause-and-
effect relationship of the process.
Introduction
Multivariable Control System
Open-Loop Control Systems
utilize a controller or control
actuator to obtain the desired
response.
Closed-Loop Control Systems
utilizes feedback to compare
the actual output to the
desired output response.
History
Watt’s Flyball Governor
(18th century)
Greece (BC) – Float regulator mechanism
Holland (16th Century)– Temperature regulator
History
Water-level float regulator
History
History
18th Century James Watt’s centrifugal governor for the speed control of a steam
engine.
1920s Minorsky worked on automatic controllers for steering ships.
1930s Nyquist developed a method for analyzing the stability of controlled
systems
1940s Frequency response methods made it possible to design linear closed-loop
control systems
1950s Root-locus method due to Evans was fully developed
1960s State space methods, optimal control, adaptive control and
1980s Learning controls are begun to investigated and developed.
Present and on-going research fields. Recent application of modern control theory
includes such non-engineering systems such as biological, biomedical, economic and
socio-economic systems
???????????????????????????????????
(a)Automo
bile steering
control
system.
(b)The driver
uses the
difference
between the
actual and the
desired direction
of travel
to generate a
controlled
adjustment of the
steering wheel.
(c)Typical
direction- of-travel
response.
Examples of Modern Control Systems
Examples of Modern Control Systems
Examples of Modern Control Systems
Examples of Modern Control Systems
Examples of Modern Control Systems
Examples of Modern Control Systems
Examples of Modern Control Systems
Examples of Modern Control Systems
Examples of Modern Control Systems
The Future of Control Systems
The Future of Control Systems
Control System Design
Design Example
ELECTRIC SHIP CONCEPT
Ship
Service
Power
Main
Power
Distribution
Propulsion
Moto
r
Motor
Driv
e
Generator
Prime
Move
r
Power
Conversion
Module
 Electric Drive
 Reduce # of Prime
Movers
 Fuel savings
 Reduced
maintenance
 Technology
Insertion
 Warfighting
Capabilities
Vision
Integrated
Power
System
All
Electric
Ship
Electrically
Reconfigurable
Ship
 Reduced
manning
 Automation
 Eliminate
auxiliary
systems (steam,
hydraulics,
compressed air)
Increasing Affordability and Military
Capability
Design Example
CVN(X) FUTURE AIRCRAFT CARRIER
Design Example
Design Example
Design Example
Design Example
Design Example
Design Example
Design Example
Sequential Design Example
Sequential Design Example
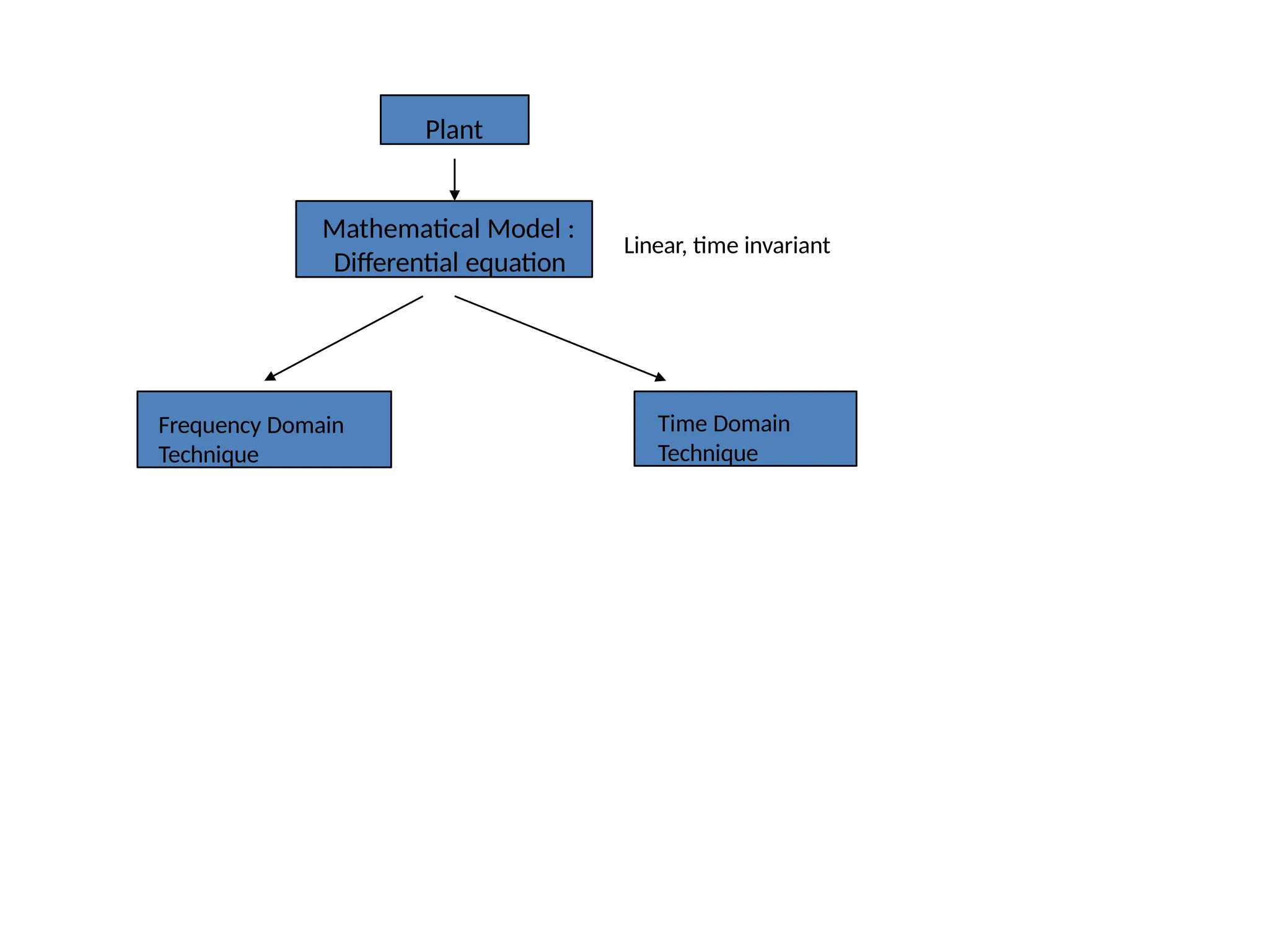
We use quantitative mathematical models of physical systems to design
and analyze control systems. The dynamic behavior is generally described
by ordinary differential equations. We will consider a wide range of
systems, including mechanical, hydraulic, and electrical. Since most
physical systems are nonlinear, we will discuss linearization
approximations, which allow us to use Laplace transform methods.
We will then proceed to obtain the input–output relationship for
components and subsystems in the form of transfer functions. The transfer
function blocks can be organized into block diagrams or signal-flow graphs
to graphically depict the interconnections. Block diagrams (and signal-flow
graphs) are very convenient and natural tools for designing and analyzing
complicated control systems
Mathematical Models of Systems Objectives
Introduction
Six Step Approach to Dynamic System Problems
Define the system and its components
Formulate the mathematical model and list the necessary
assumptions
Write the differential equations describing the model
Solve the equations for the desired output variables
Examine the solutions and the assumptions
If necessary, reanalyze or redesign the system
Differential Equation of Physical Systems
Ta(t)  Ts(t)
0
Ta(t) Ts(t)
(t
)
s(t)  a(t)
Ta(t) = through - variable
angular rate difference = across-variable
Differential Equation of Physical Systems
v21 dt
Describing Equation
Ld
i E
1
L
i
2
2
v21
1 d
k dt
 F E
2 k
2
1

F
21
1 d
k dt
 T 1 T
2
E 
2
k
P21 Id
Q
dt
2
2
E
1
IQ
Electrical Inductance
Translational Spring
Rotational Spring
Fluid Inertia
Energy or Power
Differential Equation of Physical Systems
Electrical Capacitance
Translational Mass
Rotational Mass
Fluid Capacitance
Thermal Capacitance
21 21
2
i Cd v E
1
Mv
dt 2
2
F
M
d
v
dt
E
1
2
2
2
M
v
2
T Jd

dt
E
1
2
2
2
J


21
f
dt
Q C d
P
2
f 21
2
E
1
C
P
dt
q Ctd
T2
E
CtT2
Differential Equation of Physical Systems
Electrical Resistance
Translational Damper
Rotational Damper
Fluid Resistance
Thermal Resistance
F
bv21
P bv2
21
21 21
2
i
1
v P
1
v
R
R
T
b21
21
2
P
b
Rf
21
Q
1
P
Rf
21
2
P
1
P
Rt
21
q
1
T
Rt
21
P
1
T
Differential Equation of Physical Systems
dt
2 dt
M d2
y(t)  bd
y(t) 
ky(t)
r(t)
Differential Equation of Physical Systems
v(t)
R
d
 C v(t) 
dt
1 
t
0
L


v(t) dt
r(t)
  1t
y(t) K 1e sin
1t   1
Differential Equation of Physical Systems
Differential Equation of Physical Systems
K2  1 2  .5 2 
10
  2t
y(t)  K2e sin2t
  2
 2 
2
  2t
y1(t)  K2e
  2t
y2(t)  K2e
1
0 1 2 3 4 5 6 7
0
1
y(t)
y1(t)
y2(t)
t
Linear Approximations
Linear Approximations
Linear Systems - Necessary condition
Principle of Superposition
Property of Homogeneity
Taylor Series
http://www.maths.abdn.ac.uk/%7Eigc/tch/ma2001/notes/node46.ht
ml
Linear Approximations – Example 2.1
M  200gm
T0 
MgLsin 0
g  9.8
m
s
2 L 
100cm
0
 
0rad 16
  
15


T1  MgLsin 
T2  MgLcos  0   0  T0
4 3 2 1 1 2 3 4
10
5
0
5
T1 ()
10
0

T2 ()
Stude nts are encourag ed to investigate l i n e a r ap prox i mat i on accuracy for different
The Laplace Transform
Historical Perspective - Heaviside’s Operators
Origin of Operational Calculus (1887)
p
d
dt
1
p 0
t

 1
du
i
v
Z(p)
Z(p) R 
Lp
i
1
R 
Lp
H(
t)
1
R

Lp


Lp
1 
H(
t)
 R

2
 L

1
p
2

1 
R 1
R  L
p
 R

3
 L

1


  


p
3


 .....
H(t)
1
p
n
H(
t)
t
n
n
2 2
2  L

3 3
  R 

t
3


L 


 ..




R 
L
i
1
 R
t  
R  
t
i
1
R
e
  R
t
 L
 



 1


Expanded in a power series
v = H(t)
Historical Perspective - Heaviside’s Operators
Origin of Operational Calculus (1887)
(*) Oliver Heaviside: Sage in Solitude, Paul J. Nahin, IEEE Press 1987.
The Laplace Transform
Definition


L(f(t))
0

st
f(t)e dt


= F(s)
Here the complex frequency
is
s   j
w
0
dt  

st
f(t)
e
The Laplace Transform exists
when



 this means that the integral
converg
The Laplace Transform
Determine the Lap lace transform for the
functions
a) f1(t) 
1
for t 
0
0


dt

st

F1(s)  
e
=
1 
(st)


e s
1
s
b) f2(t)


e
 (at)
F2(s)
0
dt
e

(at)

(st)

e

 =
1
s  1
 e
 [(sa)t] 2
F (s)
1
s  a
note that the initial condition is included in the
transform
= sF(s) - f(0+)
d
t

L d
f(t) 
0


dt

(st)

s
f(t)e
= -f(0+) +
0
 
(st)



f(t)se 
dt



(st)
f(t)
e
=
0



 u dv
du se

(st)
dt
we obtain
v f(t)
and
and, from
which

uv  
v du

dv df(t)
u e
 (st)
where
=

 u dv

by the use
of
L d
f(t)
dt


 0


dt

(st)
d
f(t)e
dt



Evaluate the laplace transform of the derivative of a
function
The Laplace Transform
The Laplace Transform
Practical Example - Consider the circuit.
The KVL equation is
4i(t)  2d
i(t) 0 assum e i(0+) = 5 A
dt
Applying the Laplace Transform , we
have
0


dt


 4i(t)  2d
i(t)
 e
 ( st)
dt



0
0


0


dt

 
4 i(t)e
 ( st)
dt  2d
i(t)e
 ( st)
dt
0
4I(s)  2(sI(s)  i(0)) 0 4I(s)  2sI(s)  100
I(s)

5
s  2
0
0 2
4
1
t
transform ing back to the time domain, with our present
knowledge of Laplace transform , we may say that
t  (0 0.01 2)
6
i( t)
2
i(t)  5e

( 2t)
The Partial-Fraction Expansion (or Heaviside expansion
theorem)
Suppose that
The partial fraction expansion indicates that F(s) consists
of
a sum of terms, each of which is a factor of the
denominator. The values of K1 and K2 are determined by
combining the individual fractions by means of the
lowest common denominator and comparing the
resultant numerator coefficients with those of the
coefficients of the numerator before separation in
different terms.
F ( s ) s  z1
( s p1 ) ( s
p2 )
  
o
r
F ( s )
K1
s  p1
K2
s p2


Evaluation of Ki in the manner just described requires the simultaneous solution of n
equations. An alternative method is to multiply both sides of the equation by (s + pi) then
setting s= - pi, the right-hand side is zero except for Ki so that
Ki
 
( s pi )  ( s
z1 )
( s p1 ) ( s
p2 )
  
s = - pi
The Laplace Transform
The Laplace Transform
s -> 0
t ->
infinite
s ->
infinite
Lim(sF(s)
)
t -> 0
7. Final-value Theorem
Lim(f(t))
Lim(sF(s
))
6. Initial-value Theorem Lim(f(t)) f(0)
0



 F(s) ds
f(t)
t
5. Frequency Integratio
n
F(s  a)
f(t)e

(at)
4. Frequency shiftin
g
d
F(s)
ds
differentiation
tf(t)
3. Frequency
f(at )
2. Time scaling
1
F
s 
a  a

f(t  T)u(t  T)
1. Time delay
Frequency Doma
e
 ( sT)
F(s)
Property Time
Domain
Useful Transform Pairs
The Laplace Transform
The Laplace Transform
y(s)  M 
 s 
b 
yo
k

M

n
s 
2

 
s
2
 2n 
n
2

2
 1
s
2
  b 
s 
  M

s1 n  n
n
k
M

b
2
kM
n
2
s2  
 n      1
Roots
Real
Real repeated
Imaginary (conjug
ates) Complex
1  
2
s1  
 n 
jn
2
s2  
 n  jn 1 
Consider the mass-spring-damper system
Y(s)
(Ms 
b)yo
Ms
2
 bs  k
equation
2.2
The Laplace Transform
The Transfer Function of Linear Systems
1
V ( s ) 
R
1
C s




 I ( s )
1
Z ( s ) R
2
Z ( s )
1
C s
V 2 ( s )
1


 C s

 I (
s )
V 2 ( s )
V 1 ( s )
1
C s
R 
1
C s
Z 2 ( s )
Z 1 ( s )  Z 2 ( s )
The Transfer Function of Linear Systems
Example 2.2
dt2 d
t
d2
y(t)  4d
y(t) 
3y(t)
2
r(t)
Initial Conditions:
Y(0)
1
d
d
t
y(0)
0
r(t)
1
The Laplace transform
yields:
s2
Y(s)  sy(0)  4(sY(s)  y(0))  3
Y(s)
Since R(s)=1/s and y(0)=1, we obtain:
2R
(s)
Y(s
)
(s  4)
2
s2
 4s  3 ss2
 4s  3

The partial fra ction expansion
yields:
Y(s
)
3
2
 1
2




1
1
3






 

2
3
 (s  1) (s  3)   (s  1) (s  3) 
s
 

Therefore the transient
response is:
 2
2
 

3
3
y(t)  3
e t

1
e 3t  1e t

1
e
3t 
2
The steady-state response
is:
lim
y(t)
t
2
3
The Transfer Function of Linear Systems
The Transfer Function of Linear Systems
The Transfer Function of Linear Systems
The Transfer Function of Linear Systems
 Kfif
T m K1 Kf if (t)ia (t)
fi e l d c o n t r o l e d m o t o r - L a p a l c e
Transf o
Tm (s) K1KfIa If(s)
Vf (s) Rf  Lf sIf (s)
Tm (s) TL (s)  Td (s)
TL (s) J s
2
  (s) 
b  s   ( s )
re a r ra n g i n g
e q u a t i o n s
TL (s) Tm (s)  Td (s)
Tm (s)
Km If (s)
If (s)
Vf(s)
Rf  Lfs
The Transfer Function of Linear Systems
Td(s) 0
(s
)
f
V (s)
Km
s(Js  b)Lfs 
The Transfer Function of Linear Systems
The Transfer Function of Linear Systems
The Transfer Function of Linear Systems
The Transfer Function of Linear Systems
The Transfer Function of Linear Systems
V 2(s)
V 1(s) RCs
1
V 2(s)
RCs
V 1(s)
The Transfer Function of Linear Systems
V 2(s)
V 1(s)
R 2R 1Cs 
1
R 1
V2(s)
V1(s)
R 1C 1s  1 R 2C 2s  1
R 1C
2s
The Transfer Function of Linear Systems
(s
)
Vf(s)
K m
s(Js  b) L fs  R
f
(s
)
Va(s)
K m
s R a  L as (Js  b)  K bK
m
The Transfer Function of Linear Systems
Vo(s)
Vc(s)
K



RcRq

sc  1sq  1

c
Lc
Rc

q
Lq
Rq
For the unloaded case:
id 0 c q
0.05s  c  0.5s
V12 V34
Vq
Vd
(s
)
Vc(s)
Km
ss  1

J
(b  m)
m = slope of
linearized torque-
speed curve (normally
negative)
The Transfer Function of Linear Systems
Y(s)
X(s) s(Ms  B)
K
K
A
kx
kp
d g
A
2



kp

kx
dx
kp
B b 

d g
dP
g g(x P) flow
A = area of piston
Gear Ratio = n = N1/N
N2L N1m
L nm
L nm
The Transfer Function of Linear Systems
V2(s) R2
V1(s)
R R2
R
R2
R1  R2

ma
x
ks
V2(s) ks 1(s)   2(s)
V2(s) kserro(rs)
Vba ttery

ma x
The Transfer Function of Linear Systems
V2(s) Kt(s)
Kts(s)
Kt constant
V2(s)
V1(s)
ka
s 
1
Ro = output resistance
Co = output
capacitanc
 RoCo   1s
and is often
negligibl for
controller amplifie
The Transfer Function of Linear Systems
T(s)
q(s)
1
t
 R

C s  QS 
1

T To  Te = temperature difference due to thermal proc
= thermal capacitance
= fluid flow rate = constant
= specific heat of water
= thermal resistance of
insulation
Ct
Q
S
Rt
q(s) = rate of heat flow of heating element
xo(t) y(t)  xin(t)
Xo(s)
Xin(s)
s2
 M

s2
  b 
s 
k
M
For low frequency oscillations, where  n
Xo
j
Xin
j

2
k
M
The Transfer Function of Linear Systems
x r
converts radial motion to linear
mo
Block Diagram Models
Block Diagram Models
Block Diagram Models
Original Diagram Equivalent Diagram
Original Diagram Equivalent Diagram
Block Diagram Models
Original Diagram Equivalent Diagram
Original Diagram Equivalent Diagram
Block Diagram Models
Original Diagram Equivalent Diagram
Original Diagram Equivalent Diagram
Block Diagram Models
Block Diagram Models
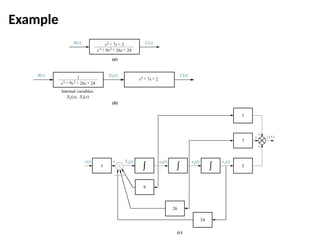
Example 2.7
Block Diagram Models Example 2.7
Signal-Flow Graph Models
For complex systems, the block diagram method can become
difficult to complete. By using the signal-flow graph model, the
reduction procedure (used in the block diagram method) is not
necessary to determine the relationship between system
variables.
Signal-Flow Graph Models
Y1(s) G11(s)R1(s) 
G12(s)R2(s)
Y2(s) G21(s)R1(s) 
G22(s)R2(s)
Signal-Flow Graph Models
a11x1  a12x2  r1
x1
a21x1  a22x2  r2
x2
Signal-Flow Graph Models
Example 2.8
Y(s)
R(s)
G1G2G3G 41  L 3  L 4  G 5G
6G7G81  L 1  L 2
1  L 1  L 2  L 3  L 4  L 1L 3  L 1L 4  L 2L 3  L 2L 4
Signal-Flow Graph Models
Example 2.10
Y(s)
R(s) 1  G 2G 3H 2  G 3G 4H 1  G 1G 2G
3G4H 3
G 1G 2G
3G4
Signal-Flow Graph Models
Y(s)
R(s)
P1  P22  P3

P1 G1G2G3G4G5G6 P2 G1G2G7G6 P3
G1G2G3G4G8
 1  L1  L2  L3  L4  L5  L6  L7  L8  L5L7  L5L4  L3L4
 1  3 1  2 1  L5 1  G4H4
Design Examples
Speed control of an electric traction
motor.
Design Examples
Design Examples
Design Examples
Design Examples
Design Examples
BLOCK DIAGRAM REDUCTION
OF MULTIPLE SYSTEMS
Components of a block diagram for a linear, time-invariant system
a. Cascaded subsystems;
b. equivalent transfer function
a. Parallel subsystems;
b. equivalent transfer function
a. Feedback control system;
b. simplified model;
c. equivalent transfer function
Block diagram algebra for summing
junctions
equivalent forms for moving a block
a. to the left past a summing junction;
b. to the right past a summing junction
Block diagram algebra for pickoff points
equivalent forms for moving a block
a. to the left past a pickoff point;
b. to the right past a pickoff point
Block diagram reduction via familiar forms for Example
Problem: Reduce the block diagram shown in figure to a single
transfer function
Steps in solving Example
a. collapse summing junctions;
form equivalent cascaded
system in the forward path
form equivalent parallel
system in the feedback
path;
b.
c.
d. form equivalent feedback system and
multiply by cascadedG1(s)
Block diagram reduction via familiar forms for Example Cont.
Problem: Reduce the block diagram shown in figure to a single transfer function
Block diagram reduction by moving blocks Example
Steps in the block diagram reduction for Example
a) Move G2(s) to the left past of
pickoff point to create parallel
subsystems, and reduce the
feedback system of G3(s) and H3(s)
b) Reduce parallel pair of
1/G2(s) and unity, and push
G1(s) to the right past summing
junction
c) Collapse the summing
junctions, add the 2 feedback
elements, and combine the last 2
cascade blocks
d) Reduce the feedback system
to the left
e)finally, Multiple the 2
cascade blocks and obtain final
result.
Second-order feedback control system
The closed loop transfer function is
Note K is the amplifier gain, As K varies, the poles move
through the three ranges of operations OD, CD, and UD
0<K<a2/4 system is over damped
K = a2/4
K > a2/4
system is critically damped
system is under damped
s 2  as  K
T (s )

K
Finding transient response Example
Problem: For the system shown, find peak time, percent overshot, and settling time.
Solution: The closed loop transfer function is T (s )  25
s 2  5s  25
And
1   2
X 10 0  16 .3 0
3
 e  
/
n
  2 5 
5
2n  5 so  =
0 .5
p
n 1  
2
T    0 .7 2 6 sec
% O
S
s
T  4
 1 .6 sec
n

using values for  and
n
and equation in chapter 4 we find
Gain design for transient response Example
Problem: Design the value of gain K, so that the system will respond with a
10%
overshot.
Solution: The closed loop transfer function is
For 10% OS we
find
We substitute this value in previous equation to find K = 17.9
 5s  K
T (s )  K
s 2
 =
5
 K an
d
 5 thu
s
 2
 2 K
n n
 =
0 .59 1
Signal-flow graph components:
a. system;
b. signal;
c. interconnection of systems and signals
a. cascaded system
nodes
cascaded system
signal-flow
graph;
b.
d.
c. parallel system nodes
parallel system
signal-flow graph;
e. feedback system nodes
f. feedback system signal-flow
graph
Building signal-flow graphs
Problem: Convert the block diagram to a signal-flow graph.
Converting a block diagram to a signal-flow graph
Signal-flow graph development:
a. signal nodes;
b. signal-flow graph;
c. simplified signal-flow graph
Converting a block diagram to a signal-flow graph
Mason’s ƌule - Definitions
Loop gain: The product of branch gains found by traversing a path that starts at a node and ends at the
same node, following the direction of the signal flow, without passing through any other node more
than once. G2(s)H2(s), G4(s)H2(s), G4(s)G5(s)H3(s), G4(s)G6(s)H3(s)
Forward-path gain: The product of gains found by traversing a path from input node to output node in
the direction of signal flow. G1(s)G2(s)G3(s)G4(s)G5(s)G7(s), G1(s)G2(s)G3(s)G4(s)G5(s)G7(s)
Nontouching loops: loops that do not have any nodes in common. G2(s)H1(s) does not touch G4(s)H2(s),
G4(s)G5(s)H3(s), and G4(s)G6(s)H3(s)
Nontouching-loop gain: The product of loop gains from nontouching loops taken 2, 3,4, or more at a
time.
[G2(s)H1(s)][G4(s)H2(s)], [G2(s)H1(s)][G4(s)G5(s)H3(s)], [G2(s)H1(s)][G4(s)G6(s)H3(s)]
Mason’s Rule
The Transfer function. C(s)/ R(s), of a system represented by a signal-flow graph is
Where
K = number of forward paths
Tk = the kth forward-path gain
nontouching-loop
gains taken 3 at a time +
= 1 -

loop gains +

nontouching-loop gains taken 2 at a time -

nontouching-loop gains taken 4 at a time - …….
that touch the kth forward path. In other words,
= - loop gain
terms in
k is f
o
rm
e
d by eliminating from
 
k
those loop gains that touch the kth forward path.

G (s )  C (s )  T k
k
R
(s )
k



Transfer function via Mason’s rule
Now
Problem: Find the transfer function for the signal flow graph
Solution:
forward path
G1(s)G2(s)G3(s)G4(s)G5(s)
Loop gains
G2(s)H1(s), G4(s)H2(s), G7(s)H4(s),
G2(s)G3(s)G4(s)G5(s)G6(s)G7(s)G8(s)
Nontouching loops
2at a time
G2(s)H1(s)G4(s)H2(s)
G2(s)H1(s)G7(s)H4(s)
G4(s)H2(s)G7(s)H4(s)
3at a time
G2(s)H1(s)G4(s)H2(s)
G7(s)H4(s)
 = 1-
[G2(s)H1(s)
+G4(s)H2(s)
+G7(s)H4(s)+
[G1(s)G2(s)G3(s)G4(s)G5(s)][1-G7(s)H4(s)]

G (s ) 
T11 
Signal-Flow Graphs of State Equations
x 2   6 x 1  2 x 2  2 x 3  5 r
x 3  x 1  3x 2  4 x 3  7 r
y   4 x 1  6 x 2  9 x 3
a. place nodes;
b. interconnect state
variables and
derivatives;
c. form dx1/dt ;
d. form dx2/dt
x P

ro
2
b
x
lem

:
5
dr
x
aw

sig
3
n
x
al-f

l
o
w
2 r
graph
for:
1 1 2 3
(continued)
e. form dx3 /dt;
f. form output
Signal-Flow Graphs of State Equations
Alternate Representation: Cascade Form
C (s )  24
R (s ) (s  2)(s  3)(s  4)
Alternate Representation: Cascade Form
1
x   4 x 1  x 2
x 2   3x 2
3
x

y  c (t )  x 1
 x 3
 2x 3  24 r
y  1 0

4



2
4
1 0

0

X  0 3 1  X
0 
 0
 r
 

Alternat2e4Representation1: P2arallel
F2o4rm
C (s )
R (s ) (s  2)(s  3)(s  4) (s  2) (s  3)
12
(s  4)
   
x 1   2 x 1
x 2   3x 2
x 3 
y  c (t )  x 1  x 2
 12r
 24 r
 4x 3  12r
 x 3
1
1X
0  X  24 r

2 0 0 
12

3

 0 0 4
y  1
X  0


1
2


Alternate Representation: Parallel Form Repeated roots
(s  1)2
(s  2) (s  1)2
C (s )  (s  3)  2
1
1
(s  1)
(s  2)
R
(s )
x 1   x 1  x 2
x 2  x 2
x 3 
y  c (t )  x
1
 2 x 3  r
 1 / 2 x 2  x 3
+
2r
X 

1

1
1
0
0 
0 
X

2


0
 2
r

0




1


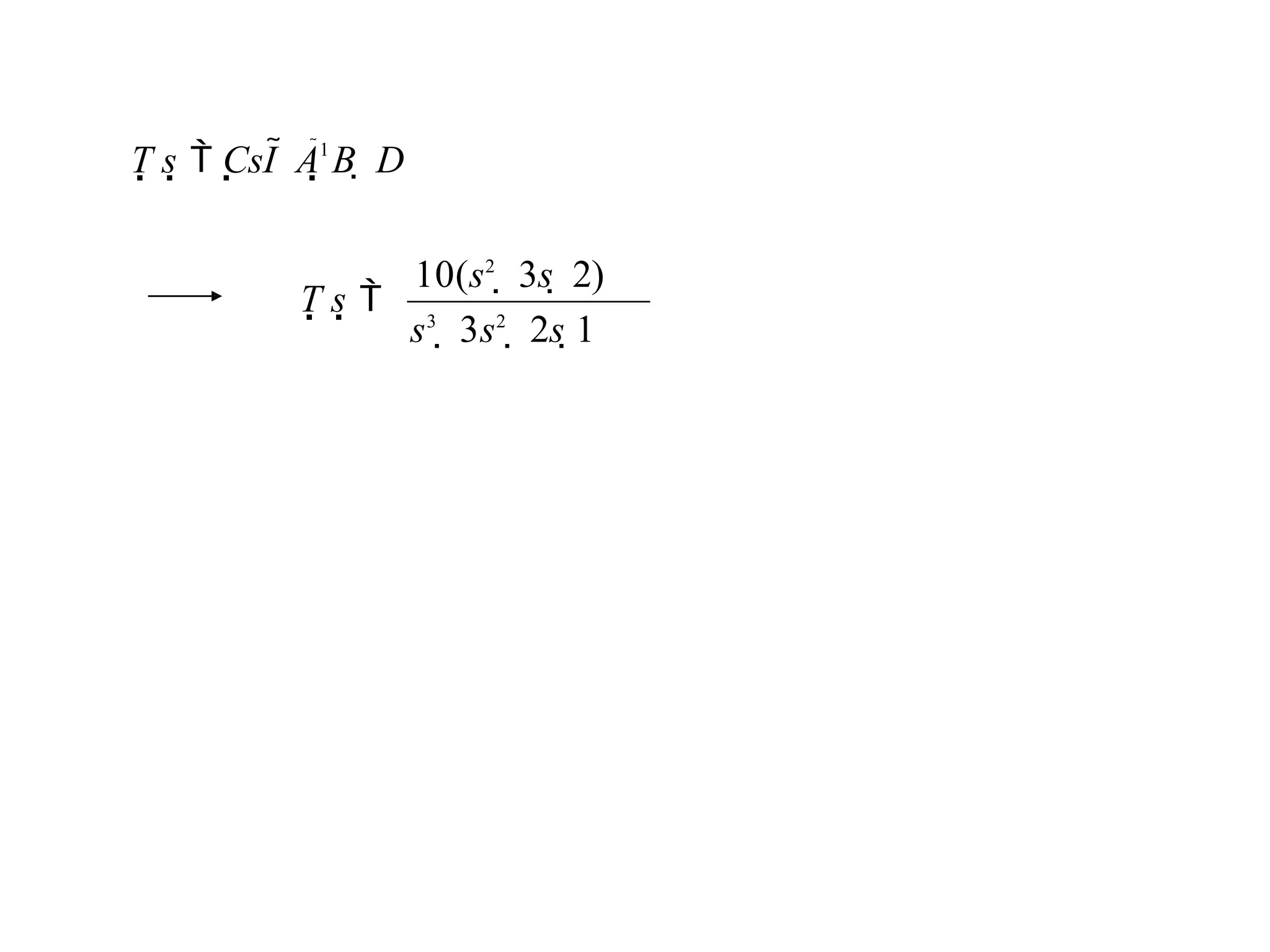
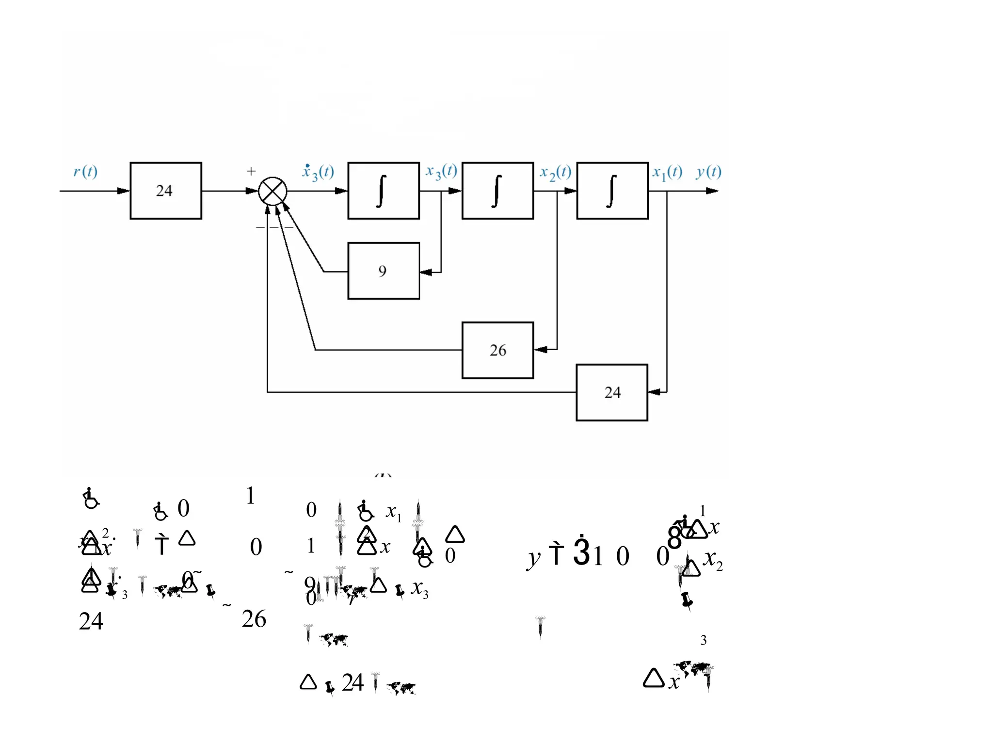
G(s) = C(s)/R(s) = (s2 + 7s + 2)/(s3 + 9s2 + 26s + 24)
This form is obtained from the phase-variable form simply by ordering
the phase variable in reverse order
Alternate Representation: controller canonical form
y  7
2 1x
3


x 1


2



2

1
 x
 
0
 r
 
9 x 3

1 
 3

 0 1 0   x 1 
0
0
26


24
x 1



x

x

 
0



 y  7 2x 2
2



x
2

  

0
 x
 
0
 r
0  x 3

0
24  x 1 
1

 3


x 1



x
9
26

  1 0

 0
1
x 1






Alternate Representation: controller canonical form
System matrices that contain the coefficients of the characteristic polynomial are
called companion matrices to the characteristic polynomial.
Phase-variable form result in lower companion matrix
Controller canonical form results in upper companion matrix
Alternate Representation: observer canonical form
Observer canonical form so named for its use in the design of observers
G(s) = C(s)/R(s) = (s2 + 7s + 2)/(s3 + 9s2 + 26s + 24)
= (1/s+7/s2 +2/s3 )/(1+9/s+26/s2 +24/s3 )
Cross multiplying
(1/s+7/s2 +2/s3 )R(s) = (1+9/s+26/s2 +24/s3 ) C(s)
And C(s) = 1/s[R(s)-9C(s)] +1/s2[7R(s)-26C(s)]+1/s3[2R(s)-24C(s)]
= 1/s{ [R(s)-9C(s)] + 1/s {[7R(s)-26C(s)]+1/s [2R(s)-24C(s)]}}
Alternate Representation: observer canonical form
x 1  9x 1  x 2  r
x 2  26x 1  x 3 +7r
x 3  24x 1  2r y 
c (t )  x 1
1 X  7
r
9 1 0
1 
X  

26
 0
24 0



0
2
y  1 0 0X
Note that the observer form has A matrix that is transpose of the
controller canonical form, B vector is the transpose of the controller
C vector, and C vector is the transpose of the controller B vector. The 2
forms are called duals.
Feedback control system for Example
Problem Represent the feedback control system
shown in state space. Model the forward transfer
function in cascade form.
Solution first we model the forward transfer
function as in (a), Second we add the feedback
and input paths as shown in (b) complete
system. Write state equations
x 1   3x 1
x 2 
 x 2
- 2 x 2  100 (r - c )
but c  5 x 1  ( x 2  3x 1 )  2 x 1  x 2
Feedback control system for Example
x 1   3x 1  x 2
x 2   200 x 1  102 x 2  100 r
y  c (t )  2 x 1  x 2

y  2
1X
3 1

X 
 200 102

10
0
 0

X


r

State-space forms for
C(s)/R(s) =(s+ 3)/[(s+ 4)(s+ 6)].
Note: y = c(t)
UNIT-II
TIME RESPONSE
ANALYSIS
In this chapter we extend the ideas of modeling to include control system
characteristics, such as sensitivity to model uncertainties, steady-state
errors, transient response characteristics to input test signals, and
disturbance rejection. We investigate the important role of the system
error signal which we generally try to minimize.
We will also develop the concept of the sensitivity of a system to a
parameter change, since it is desirable to minimize the effects of
unwanted parameter variation. We then describe
the transient performance of a feedback system and show how this
performance can be readily improved. We will also
investigate a design that reduces the impact of disturbance signals.
Feedback Control System Characteristics
Objectives
Open-And Closed-Loop Control Systems
An open-loop (direct) system
operates without feedback
and directly generates the
output in response to an
input signal.
A closed-loop system uses a
measurement of the output
signal and a comparison with
the desired output to
generate an error signal that
is applied to the actuator.
Open-And Closed-Loop Control Systems
H ( s ) 1
Y ( s )
G ( s )
1  G ( s )
 R (
s )
E ( s )
1  G ( s )
1
 R ( s )
T h u s , t o r e d u c e t h e e r r o r, t h e m a g n i t u d e
o f
1  G ( s )   1
H ( s )  1
Y ( s )
G ( s )
1  H ( s ) G ( s )
 R (
s )
E ( s )
1
1  H [ ( s )  G ( s ) ]
 R (
s )
T h u s , t o r e d u c e t h e e r r o r, t h e m a g n i t u d e
o f
1  G ( s ) H ( s )   1
Error Signal
Sensitivity of Control Systems To Parameter Variations
GH(s)  1
1
Y (s)
R (s)
H(s)
Output affected only by
H(s)
G(s)  G(s)
Open Loop Y
(s)
G(s)R
(s)
Closed
Loop
Y (s)  Y (s)
1  G(s)  G(s)H(s)
G(s)  G(s) R
(s)
Y
(s)
G(s
)

1  GH(s)  GH(s)(1  GH(s))
R
(s)
GH(s)  GH(s)
The change in the output of the closed
system
is reduced by a factor of 1+GH(s)
Y
(s)
G(s)
R
(s)

(1 GH(s))
2
For the closed-loop case if
Sensitivity of Control Systems To Parameter Variations
T ( s )
Y ( s )
R (
s )
S
 T ( s
) T ( s )
 G ( s )
G ( s )
S
d
T d
T
T
d
G

d
G




G



d




T
d T  
G
G
d




G
d

T
T ( s )
1
1  H [ ( s )  G
( s ) ]
S G
T

 d
 
T
G

 d
 
G
d

d T  
G
T

 d
 
T
G

 d
 
G
d

d T  
G
T
( 1  GH )
2
G
( 1  GH )
1 
G
S G
T 1
( 1  GH
)
T  GH
( 1 
Sensitivity of the closed-loop to G variations
reduced
Sensitivity of the closed-loop to H variations
When GH is large sensitivity approaches 1
Changes in H directly affects the output
response
S H
Example 4.1
Open loop
vo Kavin
Closed
loop

R2
R1

K
a
Rp R1  R2
T ka
T
1  K

SKa
T
a a
1
1  K

T
SKa 1
If Ka is large, the sensitivity is
low.
4
Ka  10
  0.1 S
T
Ka 
1
3
1  10
 4
 9.99 10
Control of the Transient Response of Control Systems
(s
)
Va(s)
G(s)
K1
1s 
1
where,
K1
Km
Rab 
KbKm

1
Ra
J
Rab 
KbKm
Control of the Transient Response of Control Systems
(s
)
K
aG(s)
R(s) 1  K a K
tG(s)
K a K
1
 1 s  1  K a K
t K 1

1
K 1
K a

1
1  K a K t K
1


s  

Control of the Transient Response of Control Systems
Disturbance Signals In a Feedback Control Systems
R(s)
Disturbance Signals In a Feedback Control Systems
G1(s) Ka
Km
Ra
G2(s)
1
(Js 
b)
H(s) Kt 
Kb
Ka
E(s)
(s)
G(s)
Td(
s)
1 
G1(s)G2(s)H(s)
G1G2H(s)  1
E(s)
1
G1(s)H(
s)
Td(
s)
If G1(s)H(s) very large the effect of the
disturba can be minimized
G1(s) H(s)
Ra
KaKm Kt 
Kb 
Ka


approximatel
y
KaKm
Kt
Ra
since Ka >> Kb
Strive to maintain Ka large and Ra < 2
ohms
Disturbance Signals In a Feedback Control Systems
Steady-State Error
Eo(s) R(s)  Y(s) (1  G(s))R(s)
Ec(s)
1
R(
s)
1  G(s)
Steady State Error
H(s) 1
lim
e(t)
t  0
lim
sE(s)
s  0
For a step unit
input
eo(infinite) s
lim s(1 
G(s))
1
s  0
lim (1  G(0))
s  0
ec(infinite)
 1  G(s) 
s
1 

1
lim
s
s  0
1


lim
s  0  1  G(0)
The Cost of Feedback
Increased Number of components and Complexity
Loss of Gain
Instability
Design Example: English Channel Boring Machines
Y(s) T(s)R(s) 
Td(s)D(s)
Y(s)
K 
11s
s
2
 12s  K
R(s)

1
s
2
 12s  K
D(
s)
Design Example: English Channel Boring Machines
Study system for different
Values of gain K
Steady state error for R(s)=1/s and D(s)=0
e(t)
lim
t  infinite
1
s
2
 s







1
lim
s
s  0
 1 
K
G
 11s
 s
0
Steady state error for R(s)=0
D(s)=1/s
y(t)
lim
t  infinite
1
2
s  12 s 
K


lim
s
s  0


s
 
1 1
K
T
Transient vs Steady-State
The output of any differential equation can be broken up into two parts,
•a transient part (which decays to zero as t goes to infinity) and
•a steady-state part (which does not decay to zero as t goes to infinity).
t0
y(t)  ytr (t)  yss (t)
lim ytr (t)  0
Either part might be zero in any particular case.
Prototype systems
1st Order system
2nd order system
Agenda:
transfer function
response to test signals
impulse
step ramp
parabolic
sinusoidal
c(t)  c(t)  kr(t)
1

c(t)  2 2
 c(t)  
c(t)

kr(t)
n n
1st order system
Impulse response
Step response
Ramp response
Relationship
between
impulse, step and
ramp
Relationship
between
impulse, step
and ramp
responses
G(s) 
C(s)

1 T
R(s)
s 1 T
c (t)  1 et T
1(t)
T

r(t)   (t), R(s) 
1,
r(t)  1(t), R(s)  1 ,
s
r(t)  t1(t), R(s) 
1 ,
step
c (t)  
1 et T
1(t)
s2
c (t)  t  T  Tet T
1(t)
ramp
1st Order system
Prototype parameter: Time constant
Relate problem specific parameter to prototype parameter.
Parameters: problem specific constants. Numbers that do not change with
time, but do change from problem to problem.
We learn that the time constant defines a problem specific time scale that is
more convenient than the arbitrary time scale of seconds, minutes, hours, days,
etc, or fractions thereof.
Transient vs Steady state
Consider the impulse, step, ramp responses computed earlier. Identify the steady
state and the transient parts.
1st order
system
Impulse response
Step response
Ramp response
Relationship between impulse, step and ramp
Relationship between impulse, step and ramp responses
G(s)  C(s)  1
T
, T  0
R(s) s 1 T
c (t)  1 et T
1(t)
T

r(t)   (t), R(s) 
1,
r(t)  1(t), R(s)  1 ,
s
r(t)  t1(t), R(s) 
step
c (t)  
1 et T

1(t)
s2


c (t)  t  T  Tet T
1(t)
ramp
Consider the impulse, step, ramp responses computed
earlier. Identify the steady state and the transient
parts.
Compare steady-state part to input function, transient part to TF.
2nd order system
Over damped
• (two real distinct roots = two 1st order systems with real poles)
Critically damped
• (a single pole of multiplicity two, highly unlikely, requires exact matching)
Underdamped
• (complex conjugate pair of poles, oscillatory behavior, most common)
step response
2
G(s)  C(s)
 n
s2
 2 s 
2
n n
R(s)
K

1
 1  2


 
1 
2

(t)  K
1
c


sin

t  tan


1(t)


en
t
step d

e sin

1(t)
n

t

n
d


c (t)  K


t

2nd Order System
Prototype parameters:
undamped natural frequency,
damping ratio
Relating problem specific parameters to prototype parameters
Transient vs Steady state
Consider the step, responses computed earlier. Identify the steady state and the
transient parts.
2nd order system
Over damped
• (two real distinct roots = two 1st order systems with real poles)
Critically damped
• (a single pole of multiplicity two, highly unlikely, requires exact matching)
Underdamped
• (complex conjugate pair of poles, oscillatory behavior, most common)
step response
2
G(s)  C(s)
 n
s2
 2 s 
2
n n
R(s)
K

1
 1  2


 
1 
2

(t)  K
1
c


sin

t  tan


1(t)


en
t
step d

e sin

1(t)
n

t

n
d


c (t)  K


t

Use of Prototypes
Too many examples to cover them all
We cover important prototypes
We develop intuition on the prototypes
We cover how to convert specific examples to prototypes
We transfer our insight, based on the study of the prototypes to the specific
situations.
Transient-Response Spedifications
1. Delay time, td: The time required for the response to reach half the final value the
very first time.
2. Rise time, tr: the time required for the response to rise from
10% to 90% (common for overdamped and 1st order systems);
5% to 95%;
or 0% to 100% (common for underdamped systems);
of its final value
3. Peak time, tp:
4. Maximum (percent) overshoot, Mp:
5. Settling time, ts
Order Systems
r
t 
 


d
tp

d


100%
p
M 
e


1 2
t  4T  4

4
2%
s
n


t  3T  3

3
5%
s
n


Derived relations for
2
n
d

1 2
d n
 
n
  tan
1 
d
 




See book for details. (Pg. 232)
Allowable Mp determines damping ratio.
Settling time then determines undamped natural frequency.
Theory is used to derive relationships between design specifications and
prototype parameters.
Which are related to problem parameters.
Higher order system
PFEs have linear denominators.
• each term with a real pole has a time constant
•each complex conjugate pair of poles has a damping ratio and an undamped
natural frequency.
Proportional control of plant w
integrator
G(s) 
1
GC (s)  Kp ,
s(Js  b)
Integral control of Plant w
disturbance
1
G (s)  K
, G(s)
 s(Js  b)
C
s
Proportional Control of plant
w/o integrator
G(s) 
1
G (s) 
K , Ts 1
C
Integral control of plant w/o integrator
1
G (s)  K , G(s)
 Ts 1
C
s
UNIT-III
STABILITY ANALYSIS IN S-
DOMAIN
The issue of ensuring the stability of a closed-loop feedback system is central to
control system design. Knowing that an unstable closed-loop system is generally
of no practical value, we seek methods to help us analyze and design stable
systems. A stable system should exhibit a bounded output if the corresponding
input is bounded. This is known as bounded-input, bounded-output stability
and is one of the main topics of this chapter.
The stability of a feedback system is directly related to the location of the roots
of the characteristic equation of the system transfer function. The Routh–
Hurwitz method is introduced as a useful tool for assessing system stability. The
technique allows us to compute the number of roots of the characteristic
equation in the right half-plane without actually computing the values of the
roots. Thus we can determine stability without the added computational
burden of determining characteristic root locations. This gives us a design
method for determining values of certain system parameters that will lead to
closed-loop stability. For stable systems we will introduce the notion of relative
stability, which allows us to characterize the degree of stability.
Chapter 6 – The Stability of Linear Feedback Systems
The Concept of Stability
A stable system is a dynamic system with a bounded
response to a bounded input.
Absolute stability is a stable/not stable characterization for a
closed-loop feedback system. Given that a system is stable
we can further characterize the degree of stability, or the
relative stability.
The Concept of Stability
The concept of stability can be
illustrated by a cone placed on
a plane horizontal surface.
A necessary and
sufficient condition for a
feedback system to be
stable is that all the
poles of the system
transfer function have
negative real parts.
A system is considered marginally stable if only certain bounded
inputs will result in a bounded output.
The Routh-Hurwitz Stability Criterion
It was discovered that all coefficients of the characteristic polynomial must
have the same sign and non-zero if all the roots are in the left-hand plane.
These requirements are necessary but not sufficient. If the above
requirements are not met, it is known that the system is unstable. But, if the
requirements are met, we still must investigate the system further to
determine the stability of the system.
The Routh-Hurwitz criterion is a necessary and sufficient criterion for the
stability of linear systems.
The Routh-Hurwitz Stability Criterion
n1
n3
n1
n1
sn
sn1
sn2
sn3
n2
n1

1
n1
1
n3
n1
n1
n3
n1
n1
n1
b

  

  

  

s0
an
n sn1
 a
a sn
 a sn2
 a s  a 
0
1
0
b b
an1 an3
n1
b
c
a a a
an2
a a a
a
an2 an4

an1 an2  an an3  
1
b
h
b
b
b
an an2
an4 an1
an3
an5
n1 n3
n5
cn1 cn3 cn5
Characteristic equation, q(s)
Routh array
The Routh-Hurwitz criterion
states that the number of
roots of q(s) with positive real
parts is equal to the number
of changes in sign of the first
column of the Routh array.
The Routh-Hurwitz Stability Criterion
Case One: No element in the first column is zero.
Example 6.1 Second-order system
The Characteristic polynomial of a second-order system
is:
q(s)
a2s2
 a1s  a0
The Routh array is written
as:
w
here:
b1
a1a0 
(0)a2
a1
a0
Theref ore the requirement for a stable second-order
system is simply that a l coeff icients be positive or all the
coefficients be negative.
1
s2
s1
s0
1
a2 a0
a 0
b 0
The Routh-Hurwitz Stability Criterion
Case Two: Zeros in the first column while some elements of the row containing a
zero in the first column are nonzero.
If only one element in the array is zero, it may be replaced w ith a sma l
positiv e number  that is allow ed to approach zero after completing the
array.
q(s) s5
 2s4
 2s3
 4s2
 11s  10
The Routh array is then:
w here:
22 
14
4  26 12 6c1 
10
b1 0  c1 d1 6
2   c1
There are t w o sign changes in the first column due to the large negative
number calculated for c1. Thus, the system is unstable because t w o roots
lie in the right half of the plane.
s5
s4
s3
s2
s1
s0
1
1
1 2
11
2 4
10
b 6 0
c 10 0
d1 0 0
10 0 0
The Routh-Hurwitz Stability Criterion
Case Three: Zeros in the first column, and the other elements of the row containing
the zero are also zero.
This case occurs when the polynomial q(s) has zeros located sy metrically
about the origin of the s-plane, such as (s+)(s -) or (s+j)(s-j). This case
is solved using the auxiliary polynomial, U(s), w hich is located in the row above
the row containing the zero entry in the Routh array.
q(s) s3
 2s2
 4s  K
Routh
array:
For a stable system we require that 0  s  8
For the marginally stable case, K=8, the s^1 row of the Routh array contains all zeros.
The auxiliary plynomial comes f rom the s^2 row.
U(s) 2s2
 Ks0
2s2
 8 2s2
 4 2(s  j2)(s  j2)
It can be proven that U(s) is a factor of the characteristic polynomial:
q(s) s  2
U(s) 2 Thus, w hen K=8, the factors of the characteristic polynomial
are:
q(s) (s  2)(s  j2)(s  j2)
s3
s2
s1
s0
1
4
2
K
8 K 0
2
K
0
The Routh-Hurwitz Stability Criterion
Case Four: Repeated roots of the characteristic equation on the jw-axis.
With simple roots on the jw-axis, the system will
have a marginally stable behavior. This is not
the case if the roots are repeated. Repeated
roots on the jw-axis will cause the system to be
unstable. Unfortunately, the routh-array will fail
to reveal this instability.
Example 6.4
Example 6.5 Welding control
Using block diagram reduction we find that:
The Routh array is then:
Ka
s4
s3
s2
s1
s0
c
11
(K  6)
Ka
b
Ka
3
3
1
6
For the system to be stable bothb3 and c3 must be positive.
Using these equations a relationship can be determined for
K a
where: b3
60  K
6
and c3
b3(K  6)  6Ka
b3
The Relative Stability of Feedback Control Systems
It is often necessary to know the
relative damping of each root to
the characteristic equation.
Relative system stability can be
measured by observing the
relative real part of each root. In
this diagram r2 is relatively more
stable than the pair of roots
labeled r1.
One method of determining the relative stability of
each root is to use an axis shift in the s-domain and
then use the Routh array as shown in Example 6.6
of the text.
Problem statement: Design the turning control for a tracked vehicle. Select K
and a so that the system is stable. The system is modeled below.
Design Example: Tracked Vehicle Turning Control
The characteristic equation of this system
is:
1  GcG(s) 0
or K(s  a)
1  0
s(s  1)(s  2)(s  5)
Thus,
s(s  1)(s  2)(s  5)  K(s  a)
0
or
s4
 8s3
 17s2
 (K  10)s  Ka
0
To determine a stable region for the system , we establish the Routh
arra
where
b3
126  K
8
and c3
b3(K  10)  8Ka
b3
Ka
s4
s3
s2
s1
s0
c
b
Ka
0
3
3
1
8
17
(K 10)
Ka
Design Example: Tracked Vehicle Turning Control
Ka
s4
s3
s2
s1
s0
c
17
(K 10)
Ka
b
Ka
0
3
3
1
8
Design Example: Tracked Vehicle Turning Control
where
b3
126  K
8
and c3
b3(K  10)  8Ka
b3
Therefore,
K  126
Ka 
0 (K  10)(126  K)  64Ka  0
The Root Locus Method
In the preceding chapters we discussed how the performance of a feedback system can be
described in terms of the location of the roots of the characteristic equation in the s-plane. We
know that the response of a closed-loop feedback system can be adjusted to achieve the
desired performance by judicious selection of one or more system parameters. It is very useful
to determine how the roots of the characteristic equation move around the s-plane as we
change one parameter.
The locus of roots in the s-plane can be determined by a graphical method. A graph of the
locus of roots as one system parameter varies is known as a root locus plot. The root locus is a
powerful tool for designing and analyzing feedback control systems and is the main topic of this
chapter. We will discuss practical techniques for obtaining a sketch of a root locus plot by hand.
We also consider computer-generated root locus plots and illustrate their effectiveness in the
design process. The popular PID controller is introduced as a practical controller structure.
We will show that it is possible to use root locus methods for design when two or three
parameters vary. This provides us with the opportunity to design feedback systems with two or
three adjustable parameters. For example the PID controller has three adjustable parameters.
We will also define a measure of sensitivity of a specified root to a small incremental change in
a system parameter.
The
Root
Locus
Method
The root locus is a graphical procedure for determining the poles of a closed-loop
system given the poles and zeros of a forward-loop system. Graphically, the locus is
the set of paths in the complex plane traced by the closed-loop poles as the root locus
gain is varied from zero to infinity.
In mathematical terms, given a forward-loop transfer function, KG(s)
where K is the root locus gain, and the corresponding closed-loop transfer function
the root locus is the set of paths traced by the roots
of
as K varies from zero to infinity. As K changes, the solution to this equation changes.
This equation is called the characteristic equation. This equation defines where the
poles will be located for any value of the root locus gain, K. In other words, it defines
the characteristics of the system behavior for various values of controller gain.
The Root Locus
Method
The
Root
Locus
Method
The
Root
Locus
Method
The
Root
Locus
Method
The
Root
Locus
Method
No matter what we pick K to be, the closed-loop system must always have n poles, where
n is the number of poles of G(s).
The root locus must have n branches, each branch starts at a pole of G(s) and goes to a
zero of G(s).
If G(s) has more poles than zeros (as is often the case), m < n and we say that G(s) has
zeros at infinity. In this case, the limit of G(s) as s -> infinity is zero.
The number of zeros at infinity is n-m, the number of poles minus the number of zeros,
and is the number of branches of the root locus that go to infinity (asymptotes).
Since the root locus is actually the locations of all possible closed loop poles, from the
root locus we can select a gain such that our closed-loop system will perform the way we
want. If any of the selected poles are on the right half plane, the closed-loop system will
be unstable. The poles that are closest to the imaginary axis have the greatest influence on
the closed-loop response, so even though the system has three or four poles, it may still
act like a second or even first order system depending on the location(s) of the dominant
pole(s).
The
Root
Locus
Method
Example
MATLAB Example - Plotting the root locus of a transfer function
Consider an open loop system which has a transfer function of
G(s) = (s+7)/s(s+5)(s+15)(s+20)
How do we design a feedback controller for the system by
using the root locus method?
Enter the transfer function, and the command to plot the root
locus:
num=[1 7];
den=conv(conv([1 0],[1 5]),conv([1 15],
[1 20]));
rlocus(num,den)
axis([-22 3 -15 15])
Example
Graphical
Method
Graphical
Method
Root Locus Design GUI (rltool)
The Root Locus Design GUI is an interactive
graphical tool to design compensators using
the root locus method. This GUI plots the
locus of the closed-loop poles as a function of
the compensator gains. You can use this GUI t
o add compensator poles and zeros and
analyze how their location affects the root lo
cus and various time and frequency domain r
esponses. Click on the various controls on the
GUI to see what they do.
UNIT-IV FREQUENCY
RESPONSE ANALYSIS
Frequency Response Methods
and Stability
In previous chapters we examined the use of test signals such as a step and a ramp
signal. In this chapter we consider the steady-state response of a system to a sinusoidal
input test signal. We will see that the response of a linear constant coefficient system
to a sinusoidal input signal is an output sinusoidal signal at the same frequency as the
input. However, the magnitude and phase of the output signal differ from those of the
input sinusoidal signal, and the amount of difference is a function of the input
frequency. Thus we will be investigating the steady-state response of the system to a
sinusoidal input as the frequency varies.
We will examine the transfer function G(s) when s =jw and develop methods for
graphically displaying the complex number G(j)as w varies. The Bode plot is one of the
most powerful graphical tools for analyzing and designing control systems, and we will
cover that subject in this chapter. We will also consider polar plots and log magnitude
and phase diagrams. We will develop several time-domain performance measures in
terms of the frequency response of the system as well as introduce the concept of
system bandwidth.
Introduction
The frequency response of a system is defined as the steady-state response of the
system to a sinusoidal input signal. The sinusoid is a unique input signal, and the
resulting output signal for a linear system, as well as signals throughout the system, is
sinusoidal in the steady-state; it differs form the input waveform only in amplitude and
phase.
Frequency Response Plots
Polar Plots
Frequency Response Plots
Polar Plots
 0
  1000 999 1000 j  1 R 
1
C 
0.01
1

1
R
C
G 
1
 1

 j

  1
Negative

1
0.5
0
0
0.5
Im(G()
)
0.5
Re(G()
)


 0
 
 1
Positive
Frequency Response Plots
Polar Plots
20 0
Im(G1())
500
0
 997.5061000
60
 7
 410
40
Re(G1()
)
 4
 210
 49.875
  0 .1 1000  
0.5
K 
100
G1 
K

 

j
j 
1 
Frequency Response Plots
Polar Plots
Frequency Response Plots
Bode Plots – Real Poles
Frequency Response Plots
Bode Plots – Real Poles
 
0.1

0.11
 1000
 
j  1 R 
1
C 
0.01
 
RC
1
1 

1 
100
G 
1
j
  1
0.1 1 100 
1 10
3
30
10

(break frequency or corner frequency)
0
-3dB
10
20log G() 
20
(break frequency or corner frequency)
Frequency Response Plots
Bode Plots – Real Poles
1.5
0.1 1 100 1 103
 
atan
0
0.5
()
1
10

(break frequency or corner frequency)
Frequency Response Plots
Bode Plots – Real Poles (Graphical Construction)
Frequency Response Plots
Bode Plots – Real Poles
Frequency Response Plots
Bode Plots – Real Poles
si  j
i
i  end
10ir
range
variable:
i  0 
N
range for plot:
 start
 1
 end 
N
r  log

step size:
start  .01 N 
50
end  100
lowest frequency (in Hz): number of p
oints:
highest frequency (in Hz):
Next , choose a frequency rangefor the plots (use powers of 10 for convenient
plotting):
G(s)

K
 3

s(1  s)  1 
s 
K 
2
Assume

psG   
180
argGj  360ifargG j  0  1  0
Magnit ude:
dbG    20log Gj 
Phase shift:
Frequency Response Plots
Bode Plots – Real Poles
range for plot: i  0  N range variable: i 
end10ir
si  j
i
0.01 0.1 10 100
200
100
0
100
1

i
20log Gsi 
0
0.01 0.1 10 100
psG  i
 180
1

i
Frequency Response Plots
Bode Plots – Real Poles
Frequency Response Plots
Bode Plots – Complex Poles
Frequency Response Plots
Bode Plots – Complex Poles
Frequency Response Plots
Bode Plots – Complex Poles
2
r n 1 
2
 
0.707
Mp

Gr
1


2

2

1  

 
0.70
Frequency Response Plots
Bode Plots – Complex Poles
2
r n
1  2
 
0.707
Mp Gr
1
 2

 21 
 
 
0.707
Frequency Response Plots
Bode Plots – Complex Poles
Frequency Response Plots
Bode Plots – Complex Poles
Performance Specification In the Frequency Domain
  .1 .11 2 K 
2
j  1
G 
K
j j  1
j  2
  G 
   
B o d e 1  
20log
2 0
0 0 .5 1 .5 2
B o d e 1 (  ) 0
2 0
1

O p e n L o o p B o d e
D i a g r a m
T 
  G

1  G Bode2    20log T  
0 .5 1 1 .5 2
2 0
1 0
1 0
0
B o d e 2 (  )

C l o s e d - L o o p B o d e
D i a g r a m
Performance Specification In the Frequency Domain
Performance Specification In the Frequency Domain
w 
4
Finding the Resonance
Frequency
Given
20log T( w) 
wr  Find( w)
5.282
wr  0.813
Mpw 
1
Given
20log(Mpw) 5.282
Mpw  Find(Mpw)
Finding Maximum value of the frequency
resp
Mpw  1.837
0.5 1 1.5 2
20
10
0
Bode2()
10

Closed-Loop Bode
Diagram
Performance Specification In the Frequency Domain
Assume that the system has dominant second-order roo

 .1
Given
Mpw



2

2


1  

 1
 
Find
wn  .1
 
0.284
Given
wr wn1 
2
2
wn 
wn  0.888
0.5 1 1.5 2
20
Finding the natural
frequency
Finding the damping
factor
10
10
0
Bode2(
)

Closed-Loop Bode
Diagram
Performance Specification In the Frequency Domain
Performance Specification
In the Frequency Domain
GH1
5
6


j0.5 j  1
j

 1
Performance Specification In the Frequency Domain
Example
Performance Specification In the Frequency Domain
Example
Performance Specification In the Frequency Domain
Example
Performance Specification In the Frequency Domain
Example
Frequency Response Methods Using MATLAB
Frequency Response Methods Using MATLAB
Frequency Response Methods Using MATLAB
Frequency Response Methods Using MATLAB
Frequency Response Methods Using MATLAB
Frequency Response
Methods Using
MATLAB
Frequency Response
Methods Using
MATLAB
Bode Plots
Bode plot is the representation of the magnitude and phase of G(j*w) (where
the frequency vector w contains only positive frequencies).
To see the Bode plot of a transfer function, you can use the MATLAB
bode
command.
For example,
bode(50,[1 9 30 40])
displays the Bode plots for the
transfer function:
50 / (s^3 + 9 s^2 + 30 s + 40)
Gain and Phase Margin
Let's say that we have the following system:
where K is a variable (constant) gain and G(s) is the plant under consideration.
The gain margin is defined as the change in open loop gain required to make the
system unstable. Systems with greater gain margins can withstand greater changes
in system parameters before becoming unstable in closed loop. Keep in mind that
unity gain in magnitude is equal to a gain of zero in dB.
The phase margin is defined as the change in open loop phase shift required to
make a closed loop system unstable.
The phase margin is the difference in phase between the phase curve and -180 deg
at the point corresponding to the frequency that gives us a gain of 0dB (the gain
cross over frequency, Wgc).
Likewise, the gain margin is the difference between the magnitude curve and 0dB
at the point corresponding to the frequency that gives us a phase of -180 deg
(the phase cross over frequency, Wpc).
Gain and Phase Margin
-180
We can find the gain and phase margins for a system directly, by using MATLAB.
Just enter the margin command.
e
This command returns the gain
and phase margins, the gain and
phase cross over frequencies, and
a graphical representation of thes
on the Bode plot.
margin(50,[1 9 30 40])
Gain and Phase Margin
si  j
i
i  end
10ir
range
variable:
i  0 
N
range for plot:
 start
 1
 end 
N
r  log

step size:
start  .01 N 
50
end  100
lowest frequency (in Hz): number of p
oints:
highest frequency (in Hz):
Next , choose a frequency rangefor the plots (use powers of 10 for convenient
plotting):
G(s)

K
 3

s(1  s)  1 
s 
K 
2
Assume

Phase shift:
psG   
180
argGj  360ifargG j  0  1  0
dbG    20log Gj 
Magnit
ude:
Gain and Phase Margin
gm  6.021
gm  dbG  gm
Now using the p hase angle plot, estimate the frequency at which the phase shift crosses 180 degr
g m  1.8
Solve for  at the phase shift point of 180 degrees:
 g m  rootpsG  gm  180  gm
g m  1.732
Calculate thegain
margin:
degrees
pm  18.265
c 
1.193
Guess forcrossover frequency:
Solve for the gain crossover frequency:
 c  rootdbG  c  c
Calculate thephase margin:
p m  psG  c  180
Gain Margin
c 
1
Gain and Phase Margin
The Nyquist Stability Criterion
The Nyquist plot allows us also to predict the stability and performance of a closed-loop system by
observing its open-loop behavior. The Nyquist criterion can be used for design purposes regardless of open-
loop stability (Bode design methods assume that the system is stable in open loop). Therefore, we use this
criterion to determine closed-loop stability when the Bode plots display confusing information.
The Nyquist diagram is basically a plot of G(j* w) where G(s) is the open-loop transfer function and w is a
vector of frequencies which encloses the entire right-half plane. In drawing the Nyquist diagram, both
positive and negative frequencies (from zero to infinity) are taken into account. In the illustration below we
represent positive frequencies in red and negative frequencies in green. The frequency vector used in
plotting the Nyquist diagram usually looks like this (if you can imagine the plot stretching out to infinity):
However, if we have open-loop poles or zeros on the jw axis, G(s) will not be defined at those points, and
we must loop around them when we are plotting the contour. Such a contour would look as follows:
The Cauchy criterion
The Cauchy criterion (from complex analysis) states that when taking a closed contour in
the complex plane, and mapping it through a complex function G(s), the number of
times that the plot of G(s) encircles the origin is equal to the number of zeros of G(s)
enclosed by the frequency contour minus the number of poles of G(s) enclosed by the
frequency contour. Encirclements of the origin are counted as positive if they are in the
same direction as the original closed contour or negative if they are in the opposite
direction.
When studying feedback controls, we are not as interested in G(s) as in the closed-loop
transfer function:
G(s)
1 + G(s)
If 1+ G(s) encircles the origin, then G(s) will enclose the point -1.
Since we are interested in the closed-loop stability, we want to know if there are any
closed-loop poles (zeros of 1 + G(s)) in the right-half plane.
Therefore, the behavior of the Nyquist diagram around the -1 point in the real axis is
very important; however, the axis on the standard nyquist diagram might make it
hard to see what's happening around this point
Gain and Phase Margin
Gain Margin is defined as the change in open-loop gain expressed in decibels (dB), required at 180
degrees of phase shift to make the system unstable. First of all, let's say that we have a system that
is stable if there are no Nyquist encirclements of -1, such as :
50
s^3 + 9 s^2 + 30 s + 40
Looking at the roots, we find that we have no open loop poles in the right half plane and therefore no
closed-loop poles in the right half plane if there are no Nyquist encirclements of -1. Now, how much
can we vary the gain before this system becomes unstable in closed loop?
The open-loop system represented by this plot will become unstable in closed loop if the gain is
increased past a certain boundary.
and that the Nyquist diagram can be viewed by typing:
nyquist (50, [1 9 30 40 ])
The Nyquist Stability Criterion
Phase margin as the change in open-loop phase shift required at unity gain to make a
closed-loop system unstable.
From our previous example we know that this particular system will be unstable in closed
loop if the Nyquist diagram encircles the -1 point. However, we must also realize that if the
diagram is shifted by theta degrees, it will then touch the -1 point at the negative real axis,
making the system marginally stable in closed loop. Therefore, the angle required to make
this system marginally stable in closed loop is called the phase margin (measured in
degrees). In order to find the point we measure this angle from, we draw a circle with
radius of 1, find the point in the Nyquist diagram with a magnitude of 1 (gain of zero dB),
and measure the phase shift needed for this point to be at an angle of 180 deg.
Gain and Phase Margin
w  100 99.9 100 j  1 s( w) 
j w
f( w)  1
G( w)

504
.6
s( w)
3
 9s( w)
2
 30s( w)  40
5
2 1 0 1 3 4 5 6
5
0
2
Re(G(w))
Im(G(w))
0
The Nyquist Stability Criterion
Consider the Negative Feedback System
Remember from the Cauchy criterion that the number N of times that the plot of G(s)H(s) encircles -1 is
equal to the number Z of zeros of 1 + G(s)H(s) enclosed by the frequency contour minus the number P
of poles of 1 + G(s)H(s) enclosed by the frequency contour (N = Z - P).
Keeping careful track of open- and closed-loop transfer functions, as well as numerators and
denominators, you should convince yourself that:
 the zeros of 1 + G(s)H(s) are the poles of the closed-loop transfer function
the poles of 1 + G(s)H(s) are the poles of the open-loop transfer
function. The Nyquist criterion then states that:
 P = the number of open-loop (unstable) poles of G(s)H(s)
 N = the number of times the Nyquist diagram encircles -1
 clockwise encirclements of -1 count as positive encirclements
 counter-clockwise (or anti-clockwise) encirclements of -1 count as
negative encirclements
Z = the number of right half-plane (positive, real) poles of the closed-loop
system The important equation which relates these three quantities is:
Z = P + N
Knowing the number of right-half plane (unstable) poles in open loop (P), and the
number of encirclements of -1 made by the Nyquist diagram (N), we can determine
the closed-loop stability of the system.
If Z = P + N is a positive, nonzero number, the closed-loop system is unstable.
We can also use the Nyquist diagram to find the range of gains for a closed-loop
unity feedback system to be stable. The system we will test looks like this:
where G(s) is :
s^2 + 10 s + 24
s^2 - 8 s + 15
The Nyquist Stability Criterion - Application
This system has a gain K which can be varied in order to modify the response of the closed-loop
system. However, we will see that we can only vary this gain within certain limits, since we have to
make sure that our closed-loop system will be stable. This is what we will be looking for: the range
of gains that will make this system stable in the closed loop.
The first thing we need to do is find the number of positive real poles in our open-loop transfer
function:
roots([1 -8 15])
ans =
5
3
The poles of the open-loop transfer function are both positive. Therefore, we need two anti-
clockwise (N = -2) encirclements of the Nyquist diagram in order to have a stable closed-loop
system (Z = P + N). If the number of encirclements is less than two or the encirclements are not
anti-clockwise, our system will be unstable.
Let's look at our Nyquist diagram for a gain of 1:
nyquist([ 1 10 24], [ 1 -8 15])
There are two anti-clockwise encirclements of -1.
Therefore, the system is stable for a gain of 1.
The Nyquist Stability Criterion
MathCAD Implementation
w  100 99.9 100 j  1 s( w) 
j w
G( w)

s( w)
2
 10s( w)  24
2
s( w)  8s( w)  15
2 1 0
Re(G(w))
1 2
2
0
2
Im(G(w))
0
The Nyquist Stability Criterion
There are two anti-
clockwise encirclements of -
1.
Therefore, the system is
stable for a gain of 1.
The Nyquist Stability Criterion
Time-Domain Performance Criteria Specified
In The Frequency Domain
Open and closed-loop frequency resp onses are relat ed
by :
T j
G j 1
 G j
Mpw
1
2  1 

2
 
0.707
G u  jv M M
M 
  G j 1
 G j
u  jv
1  u  jv
u2
 v2
(1  u)2
 v2
Squaring and rearrenging
which is the equation of a
circle on u-v planwe with a
M
2
1  M2


 u 




2  v2
M
2
1  M






2
u
M
cent er at
2
1  M2
v 0
Time-Domain Performance Criteria Specified
In The Frequency Domain
The Nichols Stability Method
Polar S tability Plot - Nichol sMathcad Implementati on
This examp le makes a polar plot of a transfer function and draws one contour of const ant
closed-loop magnitude. To draw the plot, enter a definition for the transfer funGct(ios)n:
G(s)

45000
s(s  2) (s 
30)
The frequency range defined by the next two equations provides a logarithmic frequency scal
running from 1 to 100. You can change this range by editing the definitionsmfoarnd m :
m  0  100  m 
10
.02m
Now enter a value forM to define the closed-loop magnitude contour t hat will be plotted.
M  1.1
Calculate the points on the M-circle:
2
M2
M
2
 


exp 2 j
.01m




 M  1 M  1
M Cm 


The first plot showGs , the contour of constant closed-loop magnit
udMe,
The Nichols Stability Method
The first plot showGs , the contour of constant closed-loop magnit udMe, ,
and the Nyquist of the open loop system
ImGjm
ImMCm
0
ReGjm  ReMCm   1
The Nichols Stability Method
The Nichols Stability Method
1

j  j  1
0.2j  1
G 
Mp w  2.5 dB r  0.8
The closed-loop phase angle
at r is equal to -72 degrees andb =
1.33 The closed-loop phase angle atb is
equal t
-142 degrees
Mpw
-72 deg wr=0.8
-3dB
-142 deg
The Nichols Stability Method
G 
0.64
j  j2

j  1
Phase Margin = 30 degrees
On the basis of the p hase we estimate  0.30
Mpw  9 dB Mpw  2.8 r 
0.88 From equation
Mpw
1
2
  1  
2
We are confront ed with comflectings
The app arent conflict is caused by the nature of
G(j) which slopes rap idally toward 180 degrees
 
0.18
line from the 0-dB axis. The designer must use
the frequency-domain-t ime-domain
correlation with caution
PM
GM
The Nichols Stability Method
PM
GM
Examples – Bode and Nyquist
Examples - Bode
Examples - Bode
Examples – Bode and Nyquist
Examples - Nichols
Examples - Nichols
The Design of Feedback Control Systems
PID
Compensation Networks
Different Types of Feedback Control
On-Off Control
This is the simplest form of control.
Proportional Control
A proportional controller attempts to perform better than the On-off type by
applying power in proportion to the difference in temperature between the
measured and the set-point. As the gain is increased the system responds faster
to changes in set-point but becomes progressively underdamped and eventually
unstable. The final temperature lies below the set-point for this system because
some difference is required to keep the heater supplying power.
Proportional, Derivative Control
The stability and overshoot problems that arise when a proportional
controller is used at high gain can be mitigated by adding a term
proportional to the time-derivative of the error signal. The value of the
damping can be adjusted to achieve a critically damped response.
Proportional+Integral+Derivative Control
Although PD control deals neatly with the overshoot and ringing
problems associated with proportional control it does not cure the
problem with the steady-state error. Fortunately it is possible to
eliminate this while using relatively low gain by adding an integral term
to the control function which becomes
The Characteristics of P, I, and D controllers
A proportional controller (Kp) will have the effect of reducing the rise time and will
reduce, but never eliminate, the steady-state error.
An integral control (Ki) will have the effect of eliminating the steady-state error, but it
may make the transient response worse.
A derivative control (Kd) will have the effect of increasing the stability of the system,
reducing the overshoot, and improving the transient response.
Proportional Control
By only employing proportional control, a steady state error occurs.
Proportional and Integral Control
The response becomes more oscillatory and needs longer to settle, the error
disappears.
Proportional, Integral and Derivative Control
All design specifications can be reached.
CL RESPONSE RISE TIME OVERSHOOT SETTLING TIME S-S ERROR
Kp Decrease Increase Small Change Decrease
Ki Decrease Increase Increase Eliminate
Kd Small Change Decrease Decrease Small Change
The Characteristics of P, I, and D controllers
Tips for Designing a PID Controller
1. Obtain an open-loop response and determine what needs to be
improved
2. Add a proportional control to improve the rise time
3. Add a derivative control to improve the overshoot
4. Add an integral control to eliminate the steady-state error
5. Adjust each of Kp, Ki, and Kd until you obtain a desired overall
response.
Lastly, please keep in mind that you do not need to implement all three controllers
(proportional, derivative, and integral) into a single system, if not necessary. For
example, if a PI controller gives a good enough response (like the above
example), then you don't need to implement derivative controller to the system.
Keep the controller as simple as possible.
num=1;
den=[1 10
20];
step
(num,den)
Open-Loop Control - Example
G(s)
1
s
2
 10s  20
Proportional Control - Example
The proportional controller (Kp) reduces the rise time, increases the overshoot, and
reduces the steady-state error.
MATLAB Example
Kp=300;
num=[Kp];
den=[1 10 20+Kp];
t=0:0.01:2;
step(num,den,t)
Amplitud
e
Step Response
From: U(1)
0 0.2 0.4 0.6 0.8 1
Time (sec.)
1.2 1.4 1.6 1.8 2
0
0.2
0.4
0.6
0.8
1
1.2
1.4
To:
Y(1)
T(s)
Kp
s
2
 10s  (20  Kp)
Amplitude
0 0.2 0.4 0.6 0.8 1
1.2
Time (sec.)
1.4 1.6 1.8 2
0
0.1
0.2
0.3
0.4
0.5
0.6
0.7
0.8
0.9
1
Step
Response
From: U(1)
To:
Y(1)
K=300 K=100
Amplitud
e
Step Response
From: U(1)
0 0.2 0.4 0.6 0.8 1
Time (sec.)
1.2 1.4 1.6 1.8 2
0
0.2
0.4
0.6
0.8
1
1.2
1.4
To:
Y(1)
Kp=300;
Kd=10;
num=[Kd Kp];
den=[1 10+Kd 20+Kp];
t=0:0.01:2;
step(num,den,t)
Proportional - Derivative - Example
The derivative controller (Kd) reduces both the overshoot and the settling time.
MATLAB Example
T(s)
Kds 
Kp
s
2
 (10  Kd)s  (20  Kp)
Amplitud
e
0 0.2 0.4 0.6 0.8 1 1.2
Time (sec.)
1.4 1.6 1.8 2
0
0.1
0.2
0.3
0.4
0.5
0.6
0.7
0.8
0.9
1
Step Response
From: U(1)
To:
Y(1)
Kd=10
Kd=20
Proportional - Integral - Example
The integral controller (Ki) decreases the rise time, increases both the overshoot and the
settling time, and eliminates the steady-state error
MATLAB Example
Amplitud
e
Step Response
From: U(1)
0 0.2 0.4 0.6 0.8 1
Time (sec.)
1.2 1.4 1.6 1.8 2
0
0.4
0.6
0.8
1
1.2
1.4
To:
Y(1)
Kp=30;
Ki=70;
num=[Kp Ki];
den=[1 10 20+Kp Ki]; 0.2
t=0:0.01:2;
step(num,den,t)
T(s)
Kps 
Ki
s3
 10s2
 (20  Kp)s  Ki
Amplitud
e
0.2 0.4 0.6 0.8 1 1.2
Time (sec.)
1.4 1.6 1.8 2
0
0
0.2
0.4
0.6
0.8
1
1.2
1.4
Step Response
From: U(1)
To:
Y(1)
Ki=70
Ki=100
Syntax
rltool
rltool(sys)
rltool(sys,
comp)
RLTOOL
RLTOOL
RLTOOL
RLTOOL
RLTOOL
Consider the following configuration:
Example - Practice
The design a system for the following specifications:
·
·
·
·
Zero steady state error
Settling time within 5 seconds
Rise time within 2 seconds
Only some overshoot
permitted
Example - Practice
Lead or Phase-Lead Compensator Using Root Locus
A first-order lead compensator can be designed using the root locus. A lead compensator
in root locus form is given by
A phase-lead compensator
tends to shift the root locus toward the left half plane. This results in an improvement in
the system's stability and an increase in the response speed.
When a lead compensator is added to a system, the value of this intersection will be a
larger negative number than it was before. The net number of zeros and poles will be the
same (one zero and one pole are added), but the added pole is a larger negative number
than the added zero. Thus, the result of a lead compensator is that the asymptotes'
intersection is moved further into the left half plane, and the entire root locus will be
shifted to the left. This can increase the region of stability as well as the response speed.
Gc(s)
where the magnitude of z is less than the magnitude
of p.
(s  z)
(s  p)
In Matlab a phase lead compensator in root locus form is implemented by using the
transfer function in the form
numlead=kc*[1 z];
denlead=[1 p];
and using the conv() function to implement it with the numerator
and denominator of the plant
newnum=conv(num,numlead);
newden=conv(den,denlead);
Lead or Phase-Lead Compensator Using Root Locus
Lead or Phase-Lead Compensator Using Frequency Response
A first-order phase-lead compensator can be designed using the frequency response. A
lead compensator in frequency response form is given by
In frequency response design, the phase-lead compensator adds positive phase to the
system over the frequency range. A bode plot of a phase-lead compensator looks like the
following
Gc(s)
1 
s
1  s
p
1

z
1


m
zp
sinm
  1
  1
Lead or Phase-Lead Compensator Using Frequency Response
Additional positive phase increases the phase margin and thus increases the stability of
the system. This type of compensator is designed by determining alfa from the amount
of phase needed to satisfy the phase margin requirements, and determining tal to place
the added phase at the new gain-crossover frequency.
Another effect of the lead compensator can be seen in the magnitude plot. The lead
compensator increases the gain of the system at high frequencies (the amount of this
gain is equal to alfa. This can increase the crossover frequency, which will help to
decrease the rise time and settling time of the system.
In Matlab, a phase lead compensator in frequency response form is
implemented by using the transfer function in the form
numlead=[aT 1];
denlead=[T 1];
and using the conv() function to multiply it by the numerator
and denominator of the plant
newnum=conv(num,numlead);
newden=conv(den,denlead);
Lead or Phase-Lead Compensator Using Frequency Response
Lag or Phase-Lag Compensator Using Root Locus
A first-order lag compensator can be designed using the root locus. A lag compensator in root
locus form is given by
When a lag compensator is added to a system, the value of this intersection will be a smaller
negative number than it was before. The net number of zeros and poles will be the same (one
zero and one pole are added), but the added pole is a smaller negative number than the
added zero. Thus, the result of a lag compensator is that the asymptotes' intersection is
moved closer to the right half plane, and the entire root locus will be shifted to the right.
Gc(s) (s  p)
where the magnitude of z is greater than the magnitude of p. A phase-lag compensator tends
to shift the root locus to the right, which is undesirable. For this reason, the pole and zero of a
lag compensator must be placed close together (usually near the origin) so they do not
appreciably change the transient response or stability characteristics of the system.
(s  z)
It was previously stated that that lag controller should only minimally change the
transient response because of its negative effect. If the phase-lag compensator is
not supposed to change the transient response noticeably, what is it good for?
The answer is that a phase-lag compensator can improve the system's steady-state
response. It works in the following manner. At high frequencies, the lag controller
will have unity gain. At low frequencies, the gain will be z0/p0 which is greater
than 1. This factor z/p will multiply the position, velocity, or acceleration constant
(Kp, Kv, or Ka), and the steady-state error will thus decrease by the factor z0/p0.
In Matlab, a phase lead compensator in root locus form is implemented by using
the transfer function in the form
numlag=[1 z];
denlag=[1 p];
and using the conv() function to implement it with the numerator
and denominator of the plant
newnum=conv(num,numlag);
newden=conv(den,denlag);
Lag or Phase-Lag Compensator Using Root Locus
Lag or Phase-Lag Compensator using Frequency Response
A first-order phase-lag compensator can be designed using the frequency response. A
lag compensator in frequency response form is given by
The phase-lag compensator looks similar to a phase-lead compensator, except that a is
now less than 1. The main difference is that the lag compensator adds negative phase
to the system over the specified frequency range, while a lead compensator adds
positive phase over the specified frequency. A bode plot of a phase-lag compensator
looks like the following
Gc(s)
1 
s
1  s
In Matlab, a phase-lag compensator in frequency response form is
implemented by using the transfer function in the form
numlead=[a*T 1];
denlead=a*[T 1];
and using the conv() function to implement it with the numerator and
denominator of the plant
newnum=conv(num,numlead);
newden=conv(den,denlead);
Lag or Phase-Lag Compensator using Frequency Response
Lead-lag Compensator using either Root Locus or Frequency Response
A lead-lag compensator combines the effects of a lead compensator with those of a lag
compensator. The result is a system with improved transient response, stability and
steady-state error. To implement a lead-lag compensator, first design the lead
compensator to achieve the desired transient response and stability, and then add on a
lag compensator to improve the steady-state response
Exercise - Dominant Pole-Zero Approximations and Compensations
The influence of a particular pole (or pair of complex poles) on the response is mainly
determin by two factors: the real part of the pole and the relative magnitude of the residue
at the pole. T real part determines the rate at which the transient term due to the pole
decays; the larger the r part, the faster the decay. The relative magnitude of the residue
determines the percentage of total response due to a particular pole.
Investigate (using Simulink) the impact of a closed-loop negative real pole on the
overshoot of system having complex poles.
T(s)
pr
n
2
(s  pr)s
2
 2ns  n
2
Make pr to vary (2, 3, 5) times the real part of the complex pole for different
value(0s.3o,f 0.5, 0.7).
Investigate (using Simulink) the impact of a closed-loop negative real zero on the
overshoot of system having complex poles.
T(s)
(s  zr)
s
2
 2ns  n
2
Make zr to vary (2, 3, 5) times the real part of the complex pole for different valu e(0s.o3f,
0.5, 0.7).
Exercise - Lead and Lag Compensation
Investigate (using Matlab and Simulink) the effect of lead and lag compensations on
the systems indicated below. Summarize your observations. Plot the root-locus, bode
diagra and output for a step input before and after the compensations.
Remember
lead compensation: z<p (place zero below the desired root location or to the left of
the fi real poles)
lag compensation: z>p (locate the pole and zero near the origin of the s-plane)
Lead Compensation (use z=1.33, p=20 and K =15).
Lag Compensation (use z=0.09 , and p=0.015,
K=1/6 )
Summarize your
findings
Problem 10.36
Determine a compensator so that the percent overshoot is less than 20% and Kv
(velocity constant) is greater than 8.
Poles and Zeros and Transfer Functions
Transfer Function: A transfer function is defined as the ratio of the Laplace
transform of the output to the input with all initial
conditions equal to zero. Transfer functions are defined
only for linear time invariant systems.
Considerations: Transfer functions can usually be expressed as the ratio
of two polynomials in the complex variable, s.
Factorization: A transfer function can be factored into the following form.
G(s) 
K (s  z1
)(s  z2
)...(s  zm
)
(s  p )(s  p ) ... (s  p )
1
2
n
The roots of the numerator polynomial are called zeros.
The roots of the denominator polynomial are called poles.
wlg
Poles, Zeros and the S-Plane
An Example: You are given the following transfer function. Show the
poles and zeros in the s-plane.
G(s) 
(s  8)(s  14)
s(s  4)(s  10)
S - plane
x
x
o x o
0
-4
-8
-10
-14
origin

axis
j

axis
wlg
Poles, Zeros and Bode Plots
Characterization: Considering the transfer function of the
previous slide. We note that we have 4 different
types of terms in the previous general form:
These are:
, (s / z  1)
s (s / p  1)
1
K ,
1
,
B
Expressing in dB: Given the tranfer function:
G( jw) 
KB
( jw / z 1)
( jw)( jw / p 1)
20log | G( jw | 20log K  20log | ( jw/ z 1) | 20log | jw | 20log | jw/ p 1|
B
wlg
Poles, Zeros and Bode Plots
Mechanics: We have 4 distinct terms to consider:
20logKB
20log|(jw/z +1)|
-20log|jw|
-20log|(jw/p + 1)|
wlg

dB Mag
Phase
(deg)
1 1 1 1 1 1
wlg
This is a sheet of 5 cycle, semi-log paper.
This is the type of paper usually used for
preparing Bode plots.
Poles, Zeros and Bode Plots
Mechanics: The gain term, 20logKB, is just so many
dB and this is a straight line on Bode paper,
independent of omega (radian frequency).
The term, - 20log|jw| = - 20logw, when plotted
on semi-log paper is a straight line sloping at
-20dB/decade. It has a magnitude of 0 at w =
1.
20
0
-20
=
1
-20db/dec
wlg
Poles, Zeros and Bode Plots
Mechanics: The term, - 20log|(jw/p + 1), is drawn with the
following approximation: If w < p we use the
approximation that –20log|(jw/p + 1 )| = 0 dB,
a flat line on the Bode. If w > p we use the
approximation of –20log(w/p), which slopes at
-20dB/dec starting at w = p. Illustrated below.
It is easy to show that the plot has an error of
-3dB at w = p and – 1 dB at w = p/2 and w = 2p.
One can easily make these corrections if it is
appropriate.
2
0
0
-20
-40
 =
p
-20db/dec
wlg
Poles, Zeros and Bode Plots
0
-20
-40
20
 =
z
+20db/dec
Mechanics: When we have a term of 20log|(jw/z + 1)| we
approximate it be a straight line of slop 0 dB/dec
when w < z. We approximate it as 20log(w/z)
when w > z, which is a straight line on Bode paper
with a slope of + 20dB/dec. Illustrated below.
wlg
Example 1:
Given:
G( jw) 
50, 000( jw 10)
( jw 1)( jw  500)
First: Always, always, always get the poles and zeros in a form such that
the constants are associated with the jw terms. In the above example
we do this by factoring out the 10 in the numerator and the 500 in the
denominator.
G( jw) 
50, 000x10( jw /10 1) 100( jw /10 1)

500( jw 1)( jw / 500 1) ( jw 1)( jw / 500 1)
Second: When you have neither poles nor zeros at 0, start the Bode
at 20log10K = 20log10100 = 40 dB in this case.
wlg
Example 1: (continued)
Third: Observe the order in which the poles and zeros occur.
This is the secret of being able to quickly sketch the Bode.
In this example we first have a pole occurring at 1 which
causes the Bode to break at 1 and slope – 20 dB/dec.
Next, we see a zero occurs at 10 and this causes a
slope of +20 dB/dec which cancels out the – 20 dB/dec,
resulting in a flat line ( 0 db/dec). Finally, we have a
pole that occurs at w = 500 which causes the Bode
to slope down at – 20 dB/dec.
We are now ready to draw the Bode.
Before we draw the Bode we should observe the range
over which the transfer function has active poles and zeros.
This determines the scale we pick for the w (rad/sec)
at the bottom of the Bode.
The dB scale depends on the magnitude of the plot and
experience is the best teacher here. wlg
1 1 1 1 1 1
dB Mag
Phase (deg)
 (rad/sec)
1 1 1 1 1 1

(rad/sec)
dB Mag Phase (deg)
Bode Plot Magnitude for 100(1 + jw/10)/(1 + jw/1)(1 + jw/500)
0
20
40
-20
60
-60
-60
0.1 1 10 100 1000 10000
wlg
Using Matlab For Frequency Response
Instruction: We can use Matlab to run the frequency response for
the previous example. We place the transfer function
in the form:
5000(s 10) 
[5000s  50000]
(s 1)(s  500) [ s2
 501s  500]
The Matlab Program
num = [5000 50000];
den = [1 501 500];
Bode (num,den)
In the following slide, the resulting magnitude and phase plots (exact)
are shown in light color (blue). The approximate plot for the magnitude
(Bode) is shown in heavy lines (red). We see the 3 dB errors at the
corner frequencies.
wlg
101
102
Frequency (rad/sec)
Phase
(deg);
Magnitude
(dB)
To:
Y(1)
Bode
Diagrams
From: U(1)
40
30
20
10
0
-10
10
-1 100
103
104
-100
-80
0
-20
-40
-60
1 10 100 500
(1  jw)(1  jw / 500)
G( jw) 
100(1  jw /10)
Bode for:
wlg
Phase for Bode Plots
Comment: Generally, the phase for a Bode plot is not as easy to draw
or approximate as the magnitude. In this course we will use
an analytical method for determining the phase if we want to
make a sketch of the phase.
Illustration: Consider the transfer function of the previous example.
We express the angle as follows:
G( jw) tan1
(w/10) tan1
(w/1) tan1
(w/ 500)
We are essentially taking the angle of each pole and zero.
Each of these are expressed as the tan-1(j part/real part)
Usually, about 10 to 15 calculations are sufficient to determine
a good idea of what is happening to the phase.
wlg
Bode Plots
Example 2: Given the transfer function. Plot the Bode magnitude.
G(s) 
100(1  s /10)
s(1  s /100)2
Consider first only the two terms of
100
jw
Which, when expressed in dB, are; 20log100 – 20 logw.
This is plotted below.
1
0
20
40
-20
The is
a tentative line we use
until we encounter the
first pole(s) or zero(s)
not at the origin.
-20db/dec
wlg
dB

1 1 1 1 1
s(1  s /100)2
G(s) 
100(1  s /10)
dB Mag Phase (deg)
0
40
20
60
-20
-40
-60
1 10

100 1000
0.1
Bode Plots
Example 2: (continued)
-20db/dec
-40 db/dec
s(1  s /100)2
1
G(s) 
100(1  s /10)
wlg
The completed plot is shown below.
1 1 1
1

dB Mag
Bode Plots
Example 3:
Given:
80(1  jw)3
G(s)
 ( jw)3
(1  jw / 20)2
1 1
1
0.1 10 100
40
20
0
60
-20 .
20log80 = 38 dB
-60 dB/dec
-40 dB/dec
wlg
1 1 1
dB Mag Phase (deg)
0
20
40
60
-20
-40
-60
1 10

100 1000
0.1
Bode Plots
-40 dB/dec
+ 20 dB/dec
Given:
Sort of a low
pass filter
Example 4:
2
G( jw) 
10(1  jw / 2)
(1  j0.025w)(1  jw / 500)2
1 1
1
wlg
1 1 1 1 1 1
10

dB Mag Phase (deg)
0
40
20
60
-20
-40
-60
1 100 1000
0.1
Bode Plots
(1 jw / 2)2
(1 jw /1700)2
(1  jw / 30)2
(1 jw /100)2
G( jw)

-40 dB/dec
+ 40 dB/dec
Given:
Sort of a low
pass filter
Example 5
wlg
Bode Plots
Given: problem 11.15 text
( jw)2
(0.1 jw  1)
64( jw  1)(0.01 jw  1)
( jw)2
( jw  10)
640( jw  1)(0.01 jw  1)
H ( jw)


0.01 0.1 1 10 100 1000
0
20
40
-20
-40
dB mag
.
.
.
.
.
-40dB/dec
-20db/dec
-40dB/dec
-20dB/dec
Example 6
wlg
Bode Plots
Design Problem: Design a G(s) that has the following Bode plot.
dB mag

0
20
40
0.1 1 10 100
900
1000
30
30 dB
+40 dB/dec
-40dB/dec
? ?
Example 7
wlg
Bode Plots
Procedure: The two break frequencies need to be found.
Recall:
#dec = log10[w2/w1]
Then we have:
(#dec)( 40dB/dec) = 30 dB
log10[w1/30] = 0.75 w1 = 5.33 rad/sec
Also:
log10[w2/900] (-40dB/dec) = - 30dB
This gives w2 = 5060 rad/sec
wlg
Bode Plots
Procedure:
(1  s / 5.3)2
(1  s / 5060)2
G(s) 
(1  s / 30)2
(1  s / 900)2
Clearing:
(s  5.3)2
(s  5060)2
G(s) 
(s  30)2
(s  900)2
Use Matlab and conv:
N 2 (s2
 10120s  2.56xe7
)
N2 = [1 10120 2.56e+7]
7.222e+8
s4
N1(s2
 10.6s  28.1)
N1 = [1 10.6 28.1]
N = conv(N1,N2)
1 1.86e+3 2.58e+7 2.73e+8
s3 s2
s1
s0
wlg
Bode Plots
Procedure: The final G(s) is given by;
Testing: We now want to test the filter. We will check it at  = 5.3
rad/sec And  = 164. At  = 5.3 the filter has a gain of 6 dB or
about 2.
At  = 164 the filter has a gain of 30 dB or about 31.6.
We will check this out using MATLAB and particularly, Simulink.
(s4
 1860s3
 9.189e2
s2
 5.022e7
s  7.29e8
)
(s4
 10130.6s3
 2.571e8
s2
 2.716e8
s  7.194e8
)
G(s)

wlg
Matlab (Simulink) Model:
wlg
Filter Output at  = 5.3 rad/sec
Produced from Matlab Simulink
wlg
Filter Output at  = 70 rad/sec
Produced from Matlab Simulink
wlg
Reverse Bode Plot
Required:
From the partial Bode diagram, determine the transfer function
(Assume a minimum phase system)

20
db/dec
dB
20 db/dec
-20 db/dec
30
1 110 850
68
Not to scale
wlg
Example 8
Reverse Bode Plot
Not to scale
w (rad/sec)
50 dB
0.5
100 dB
-40 dB/dec
-20 dB/dec
40
10 dB
300
-20 dB/dec
-40 dB/dec
Required:
From the partial Bode diagram, determine the transfer function
(Assume a minimum phase system)
wlg
Example 9
Polar Plot
Introduction
The polar plot of sinusoidal transfer function G(jω) is a plot of the
magnitude of G(jω) verses the phase angle of G(jω) on polar coordinates
as ω is varied from zero to infinity.
as ω is varied from zero to infinity.
Therefore it is the locus of
As
So it is the plot of vector as ω is varied from zero to infinity
G( j)
G( j)
G( j) G( j) 
Me j ()
Me j
()
Introduction conti…
In the polar plot the magnitude of G(jω) is plotted as the distance from the
origin while phase angle is measured from positive real axis.
+ angle is taken for anticlockwise direction.
Polar plot is also known as Nyquist Plot.
Steps to draw Polar Plot
the real and imaginary parts
Step 6: Put Re [G(jω) ]=0, determine the frequency at which plot intersects the Im axis
and
)
Step 1: Determine the T.F G(s)
Step 2: Put s=jω in the G(s)
Step 3: At ω=0 & ω=∞ find by &
Step 4: At ω=0 & ω=∞ find by
Step 5: Rationalize the function G(jω) and
sep
&
Ga
r(a
t
je
G( j
)
lim G( j)
0 lim G( j)

lim
G( j)
calculate intersection value by putting the above calculated freque0ncy in
G(jω)
lim
G( j)

Steps to draw Polar Plot conti…
Step 7: Put Im [G(jω) ]=0, determine the frequency at which plot intersects
the real axis and calculate intersection value by putting the above calculated
frequency in G(jω)
Step 8: Sketch the Polar Plot with the help of above information
Polar Plot for Type 0 System
Let
Step 1: Put s=jω
(1 sT1 )(1 sT2 )
G(s) 
K
2
1
2 2
1 2
1 2
T
1 1
  tan T  tan

K
K
Step 2: Taking t(h1elijmTit)
(f1or mjaTg)nitude
of G(jω)
G( j)


1 T  1  T 

Type 0 system conti…
2
2
2
1
2
2
1 2
K

1 T  1 j T 
Stepli3m: T
aGki(njgt)helimit of the Phase Angle
of G0(jω)


1 T  1 j T 
lim G( j) 
K
 K
0
2
1
1
1
T  180
T  tan

G( j)    tan

2
1
1
1
T 
0
T  tan

G( j)    tan

li
m
li
m

0
Type 0 system conti…
Step 4: Separate the real and Im part of G(jω)
2 1 2
2 2 4
1
2 2
2 1 2
1
2 2 2 2 4
1 2
2
1  T   T   TT
K(T  T )
 j 1 2
1  T   T   TT
K (1 
TT )
Step 5:GPu(tjRe)
[G(jω)]=0
 G( j)  0 1800
  900
T1  T2
T1T2
T1T2
1 2
1 2
2
2 2 4
2 2
1 2
 0  
 1
So
When
&  

 G( j) 
K
1
&  

1
1   T   T   T T
K (1   2
T
T )


T T
Type 0 system conti…
Step 6: Put Im [G(jω)]=0
2 1 2
2 2 2 2 4
  0  G( j) 
K00
    G( j) 
01800
1
So
When
K(T1  T2 )
 0    0 &
 
1  T   T   TT
Type 0 system conti…
Polar Plot for Type 1 System
Let
Step 1: Put s=jω
s(1  sT1 )(1  sT2 )
G(s) 
K
2
1
0 1
T  tan 1
T
2
2
2
1
j(1 jT )(1 jT )
1
2
  90  tan

G( j)


T
 1 T  1 j 
K
K

Type 1 system conti…
Step 2: Taking the limit for magnitude of G(jω)
2
2
2
1
2
2
1 2
 
T  1  j T 
 1  
Ste
lp
im3: TGak(ijng)the limit of the PKhase
Angle of G (0jω)

 1  T  1  j T 
lim G( j) 
K
 
0
1 2
1
T  tan1
T  2700
G( j)   
900
G( j)   
900
1 2
1
T  tan1
T  900
 tan

 tan

li
m
li
m

0
Type 1 system conti…
Step 4: Separate the real and Im part of G(jω)
1 2
2 2 2
1 2
3 2
1 2
2
1
3 2 2 2 2
1 2
   (T  T 2
  T T )
j(K 2
T T  K )
 j 1 2
   (T  T 2
  T T )
 K (T  T )
Step 5: P
u
tGR(ej[
G)(j
ω
)
]
=
0
1 2
2
1
3 2 2 2 2
So at
    G( j)  0 
2700
   (T  T 2
  T T )
 K (T1  T2 )
 0   

Type 1 system conti…
Step 6: Put Im [G(jω)]=0
G( j) 
00
00
T1  T2
T1T2
1 2
1 2
2
1 2
 0  
 1
So When
   3
(T 2
 T 2
  2
T 2
T 2
)
j(K 2
T T  K )
 G( j)  
K
T1T2
1
&  

1
  



T T
Type 1 system conti…
Polar Plot for Type 2 System
Let
Similar to above
s 2
(1  sT )(1  sT )
1
2
G(s) 
K
Type 2 system conti…
Note: Introduction of additional pole in denominator contributes a constant
- 1800 to the angle of G(jω) for all frequencies. See the figure 1, 2 & 3
Figure 1+(-1800 Rotation)=figure 2
Figure 2+(-1800 Rotation)=figure 3
Ex: Sketch the polar plot for G(s)=20/s(s+1)(s+2)
Solution:
Step 1: Put s=jω
  900
 tan1
  tan1
 / 2
  2
 1  2

4
20
20
j( j  1)( j 
2)
G( j)


Step 2: Taking the limit for magnitude of G(jω)
  2
 1  2

4
  2
 1  2

4
0
lim G( j) 
20
 

lim G( j) 
20
 0

0
lim G( j)    900
 tan1
  tan1
 / 2  2700
Step 3: Taking the limit of the Phase Angle of G(jω)
lim G( j)    900
 tan1
  tan1
 / 2  900
Step 4: Separate the real and Im part of G(jω)
j20(3
 2)
(4
 2
)(4 
2
)
 602
(4
 2
)(4  2
)
G( j)

 j
 60 2
( 4
  2
)(4  
2
)
So at
    G( j)  0 
2700
 0   

Step 6: Put Im [G(jω)]=0
3
G( j) 
000
  2  G( j)  
10
00
2 &  

 0   

( 4
  2
)(4   2
)
So for positivevalueof

j20( 3

2)
  

Gain Margin, Phase Margin &
Stability
Phase Crossover Frequency (ωp) : The frequency where a polar plot intersects
the –ve real axis is called phase crossover frequency
Gain Crossover Frequency (ωg) : The frequency where a polar plot intersects
the unit circle is called gain crossover frequency
So at ωg
G( j) 
Unity
Phase Margin (PM):
Phase margin is that amount of additional phase lag at the gain crossover frequency
required to bring the system to the verge of instability (marginally stabile)
Φm=1800+Φ
Where
Φ=∠G(jωg)
i
f
i
f
Φm>0 => +PM
Φm<0 => -PM
(Stable System)
(Unstable System)
Gain Margin (GM):
which the phase angle is -1800.
In terms of dB
The gain margin is the reciprocal of magnitudeG( j)at the frequency
at
1

1
| G( jwc) | x
GM 
1
10
|
G( jwc) |
GM in dB  20
log
10
| G( jwc) | 20 log (x)
10
 20 log
Stability
Stable: If critical point (-1+j0) is within the plot as shown, Both GM & PM are
+ve
GM=20log10(1
/x) dB
Unstable: If critical point (-1+j0) is outside the plot as shown, Both GM & PM
are -ve
GM=20log10(1
/x) dB
Marginally Stable System: If critical point (-1+j0) is on the plot as shown, Both
GM & PM are ZERO
GM=20log10(1
/1)=0 dB
MATLAB Margin
Inverse Polar Plot
The inverse polar plot of G(jω) is a graph of 1/G(jω) as a function of ω.
Ex: if G(jω) =1/jω then 1/G(jω)=jω
 

0
lim G( j)1
 
lim G( j)1
 0
Knowledge Before
Studying Nyquist Criterion
1 G(s)H (s)
G(s)
T (s)

DG (s)
G(s) 
NG (s)
DH (s)
H (s) 
NH (s)
unstable if there is any pole on RHP (right half plane)
NG (s)DH (s)
G(s)
T (s)


1 G(s)H (s) DG (s)DH (s)  NG (s)NH (s)
DG (s) DH (s)
G(s)H (s) 
NG (s) NH (s)
DG DH

DG DH  NG NH
DG DH
1 G(s)H (s)  1
NG NH
poles of G(s)H(s) and 1+G(s)H(s) are the same
Closed-loop system:
zero of 1+G(s)H(s) is pole of
T(s)
Characteristic equation:
Open-loop system:
(s  5)(s  6)(s  7)(s  8)
G(s)H (s) 
(s 1)(s  2)(s  3)(s  4)
1 G(s)H (s)
G(s)
G(s)H
(s)
1 G(s)H (s)
Zero – 1,2,3,4
Poles – 5,6,7,8
Zero – a,b,c,d
Poles – 5,6,7,8
Zero – ?,?,?,?
Poles – a,b,c,d
To know stability, we have to know a,b,c,d
Stability from Nyquist plot
From a Nyquist plot, we can tell a number of closed-loop poles on
the right half plane.
If there is any closed-loop pole on the right half plane, the system goes
unstable.
If there is no closed-loop pole on the right half plane, the system is
stable.
Nyquist Criterion
Nyquist plot is a plot used to verify stability
of the system.
function
(s  p1 )(s  p2 )
(s  z1 )(s  z2 )
F (s)

mapping all points (contour) from one plane to another
by function F(s).
mapping contour
(s  p1 )(s  p2 )
F (s) 
(s  z1 )(s  z2 )
Pole/zero inside the
contour has 360 deg.
angular change.
Pole/zero outside contour
has 0 deg. angular change.
Move clockwise around
contour, zero inside yields
rotation in clockwise, pole
inside yields rotation in
counterclockwise
Characteristic equation
N = P-Z
N = # of counterclockwise direction about the origin
P = # of poles of characteristic equation inside contour
= # of poles of open-loop system
z = # of zeros of characteristic equation inside
contour
= # of poles of closed-loop system
Z = P-N
F(s)  1 G(s)H (s)
Characteristic equation
Increase size of the contour to cover the right half plane
More convenient to consider the open-loop system (with known pole/zero)
Nyquist diagram of
‘Open-loop system’
Mapping from characteristic equ. to open-loop
system by shifting to the left one step
Z = P-N
Z = # of closed-loop poles inside the right half plane
P = # of open-loop poles inside the right half plane
N = # of counterclockwise revolutions around -1
G(s)H
(s)
Properties of Nyquist plot
If there is a gain, K, in front of open-loop transfer function, the Nyquist plot
will expand by a factor of K.
Nyquist plot example
1
G(s) 
Closed-loop system hassp2ole at 1
Open loop system has pole at 2
If we multiply the open-loop with a
gain, K, then wGe(sc) anmo1ve the
closed- loop pole’s 1posGit(iSo)n
to(sthe1)left-half plane
Nyquist plot example (cont.)
New look of open-loop system:
Corresponding closed-loop system:
s  2
G(s) 
K

Evaluate value of K fo1rsGt(asb) ilitsy (K 
2)
G(s) K
K  2
Adjusting an open-loop gain to guarantee stability
Step I: sketch a Nyquist Diagram
Step II: find a range of K that makes the system stable!
How to make a Nyquist plot?
Easy way by Matlab
Nyquist: ‘nyquist’
Bode: ‘bode’
Step I: make a Nyquist plot
Find
Starts from an open-loop transfer function (set K=1)
Set and find frequency response
At dc,s  j
0 s
0
at

w

hich

the

imaginary part equals
zero

(8   2
)2
 62

2
Need the imaginary term = 0,

(15   2
)  8 j 
(8   2
)  6 j
(8   2
)  6 j (8   2
)  6 j

(15   2
)(8   2
)  48 2
 j(154
143
)
(15   2
)  8
j
(8   2
)  6 j
  2
 8 j 15
  2
 6 j  8
s2
G( j)H ( j)

 6s  8
s2
 8s 15
(s  2)(s  4)
(s  3)(s  5)
G(s)H (s)



  0, 11
(15 11)(8 11)  48(11)

 540
 1.31
(8 11)2
 62
(11) 412
Substitute
And get b
ac
k in1t1o the transfer
function
G(s)  1.33
At dc, s=0,
At imaginary part=0
Step II: satisfying stability condition
P = 2, N has to be 2 to guarantee stability
Marginally stable if the plot intersects -1
For stability, 1.33K has to be greater than 1
K > 1/1.33
or
K > 0.75
Example
Evaluate a range of K that makes the system stable
(s2
 2s  2)(s  2)
G(s) 
K
4(1  2
)  j(6   2
)
16(1  2
)2
  2
(6  
2
)2
K
(( j)2
 2 j  2)( j  2)
G( j)


At   0, 6 the imaginary part = 0
Plug
and get G = -0.05
Step I: find frequency at which imaginary part = 0
s 
j
Set
 bac6k in the transfer
function
Step II: consider stability condition
P = 0, N has to be 0 to guarantee stability
Marginally stable if the plot intersects -1
For stability, 0.05K has to be less than 1
K < 1/0.05
or K < 20
Gain Margin and Phase Margin
Gain margin is the change in open-loop gain (in dB),
required at 180 of phase shift to make the closed-loop
system unstable.
Phase margin is the change in open-loop phase shift,
required at unity gain to make the closed-loop
system unstable.
GM/PM tells how much system can tolerate
before going unstable!!!
GM and PM via Nyquist plot
GM and PM via Bode Plot
G
M
M
• The frequency at which the
magnitude equals 1 is called
the gain crossover frequency

• The frequency at which the
phase equals 180 degrees is
called the phase crossover
frequency
M

G
gain crossover frequency phase crossover frequency
Example
Find Bode Plot and evaluate a value of K
that makes the system stable
The system has a unity feedback
with an open-loop transfer function
(s  2)(s  4)(s  5)
G(s) 
K
First, let’s find Bode Plot of G(s) by assuming
that K=40 (the value at which magnitude plot
starts from 0 dB)
At phase = -180, ω = 7 rad/sec, magnitude = -20 dB
GM>0, system is stable!!!
Can increase gain up 20 dB without causing instability (20dB = 10)
Start from K = 40
with K < 400, system is stable
Closed-loop transient and closed-loop frequency
responses
‘2nd system’
2
R(s)
C(s)
n
n
s2

2
 2 s 

 T (s)  n
Magnitude Plot of closed-loop system
Damping ratio and closed-loop frequency response
1
2 1  2
p
M 
p  n1 2
2

(1 2 2
)  4 4
 4 2

2

(1 2 2
)  4 4
 4 2

2
BW
s
BW
 n (1 2 2
)  4 4

4 2
 2 4
B
W



Tp 1
 2
T

B
W= frequency at which magnitude is 3dB
down
from value at dc (0 rad/sec), or .
Response speed and closed-loop frequency response
2
1
M 
Find from
Open-loop Frequency Response
B
W
Nichols Charts
From open-loop frequency response, we can find
BW
at the open-loop frequency that the magnitude
lies between -6dB to -7.5dB (phase between -135 to -225)
Relationship between
damping ratio and phase margin
of open-loop frequency response
  tan1 2
 2 2

1 4 4
M
Phase margin of open-loop frequency response
Can be written in terms of damping ratio as following
Open-loop system with a unity feedback has a bode plot
below, approximate settling time and peak time
B
W
=
3.7
PM=35

 0.32
 2 2
 1 4
4
  tan1 2
M
Solve for PM = 35

1.43
4 4
 4 2

2
(1 2 2
) 
 1 
2

5.5
4 4
 4 2

2
(1 2 2
) 
4




BW
p
BW
s
T

T
UNIT-5
STATE SPACE REPRESENTATION
Objectives
How to find mathematical model, called a state-space representation, for a
linear, time-invariant system
How to convert between transfer function and state space models
How to find the solution of state equations for homogeneous &non
homogeneous systems
Plant
Mathematical Model :
Differential equation
Linear, time invariant
Frequency Domain
Technique
Time Domain
Technique
Two approaches for analysis and design of control system
1. Classical Technique or Frequency Domain Technique
2. Modern Technique or Time Domain Technique
Some definitions
system
•System variable : any variable that responds to an input or initial conditions in a
•State variables : the smallest set of linearly independent system variables such that
the values of the members of the set at time t0 along with known forcing functions
completely determine the value of all system variables for all t ≥ t0
•State vector : a vector whose elements are the state variables
•State space : the n-dimensional space whose axes are the state variables
•State equations : a set of first-order differential equations with b variables, where
the n variables to be solved are the state variables
•Output equation : the algebraic equation that expresses the output variables of a
system as linear combination of the state variables and the inputs.
•For nth-order, write n simultaneous, first-order differential equations in terms of
the state variables (state equations).
•If we know the initial condition of all of the state variables at as well as the
system input for , we can solve the equations
Graphic
representation of
state space and a
state vector
For a dynamic system, the state of a system is described in terms of a set of state
variables
[x1 (t) x2 (t) … xn (t)]
The state variables are those variables that determine the future behavior of a
system when the present state of the system and the excitation signals are known.
Consider the system shown in Figure 1, where y1(t) and y2(t) are the output signals
and u1(t) and u2(t) are the input signals. A set of state variables [x1 x2 ... xn] for the
system shown in the figure is a set such that knowledge of the initial values of the
state variables [x1(t0) x2(t0) ... xn(t0)] at the initial time t0, and of the input signals
u1(t) and u2(t) for t˃=t0, suffices to determine the future values of the outputs and
state variables.
System
Input Signals
u1(t)
u2(t)
Output Signals
y1(t)
y2(t) System
u(t)
Input
x(0) Initial conditions
y(t)
Output
Figure 1. Dynamic system.
In an actual system, there are several choices of a set of state variables that specify
the energy stored in a system and therefore adequately describe the dynamics of
the system.
The state variables of a system characterize the dynamic behavior of a system. The
engineer’s interest is primarily in physical, where the variables are voltages,
currents, velocities, positions, pressures, temperatures, and similar physical
variables.
The State Differential Equation:
The state of a system is described by the set of first-order differential equations
written in terms of the state variables [x1 x2 ... xn]. These first-order differential
equations can be written in general form as
x˙ 1  a11x1  a1 2 x2 … a 1 n xn  b11u1 b1 m um
x˙ 2  a 21x1  a 2 2 x2  … a 2n xn  b21u1 b2 m um
⁝  an1 x1  an 2 x2 …a n n xn  bn1u1 bn m um
x˙
n
Thus, this set of simultaneous differential equations can be written in matrix form as
follows:
 


1
11
2n   2  

21 22
n   n1 n 2 nn
  n 
2  

 
u

bn m 
um


bn1

x

a1n 
x1 
a11 a12
x1

d
x
a
  ⁝

 b  b1m
⁝  ⁝

⁝  
⁝ 

x

 ⁝
x

a

a 
a
 
a 
a
dt  ⁝

n
2

x

n: number of state variables, m: number of inputs.
The column matrix consisting of the state variables is called the state vector and is
written as
x1 
x 

 ⁝

x
The vector of input signals is defined as u. Then the system can be represented by the
compact notation of the state differential equation as
x˙  A x  Bu
This differential equation is also commonly called the state equation. The matrix A is
an nxn square matrix, and B is an nxm matrix. The state differential equation relates
the rate of change of the state of the system to the state of the system and the input
signals. In general, the outputs of a linear system can be related to the state variables
and the input signals by the output equation
y  C x  D u
Where y is the set of output signals expressed in column vector form. The state-space
representation (or state-variable representation) is comprised of the state variable
differential equation and the output equation.
General State Representation
D
= derivative of the state vector with respect to time
= output vector
= input or control vector
x˙  Ax  Bu
y  Cx  Du
x = state vector
x˙
y
u
A = system matrix
B
C
= input matrix
= output matrix
= feedforward matrix
State equation
output
equation
AN EXAMPLE OF THE STATE VARİABLE CHARACTERİZATİON OF A SYSTEM
u(t)
Current
source
L
C
R
Vc
Vo
iL
ic
• The state of the system can be described in terms of a set of variables [x1 x2],
where x1 is the capacitor voltage vc(t) and x2 is equal to the inductor current iL(t).
This choice of state variables is intuitively satisfactory because the stored energy
of the network can be described in terms of these variables.
Therefore x1(t0) and x2(t0) represent the total initial energy of the network and thus the
state of the system at t=t0.
Utilizing Kirchhoff’s current low at the junction, we obtain a first order differential
equation by describing the rate of change of capacitor voltage
L
 C
dvc
c  u(t) i
dt
i
Kirchhoff’s voltage low for the right-hand loop provides the equation describing the
rate of change of inducator current as
 R iL  vc
L
diL
dt
The output of the system is represented by the linear algebraic equation
v0  R iL (t)
We can write the equations as a set of two first order differential equations in terms
of the state variables x1 [vC(t)] and x2 [iL(t)] as follows:
2
1
dt
dx2
dx1 1
1
  x2 
u(t) C
C

1
x 
R
x dt L
L
L
C
dvc  u(t)  i
dt
diL
L  R iL 
vc dt
The output signal is then y1 (t)  v0 (t)  R x2
Utilizing the first-order differential equations and the initial conditions of the
network represented by [x1(t0) x2(t0)], we can determine the system’s future and its
output.
The state variables that describe a system are not a unique set, and several
alternative sets of state variables can be chosen. For the RLC circuit, we might
choose the set of state variables as the two voltages, vC(t) and vL(t).
C

 0

 1

C 
x   
u(t)
 1 R

 

L L


1 

0
x˙ 

We can write the state variable differential equation for the RLC circuit as
and the output as
y  0
Rx
RLC network
it  qt 
1. State variables
2.
L
di
 Ri 
1
idt  vt 
dt C
Using it  dq dt
L R
q  vt  dt 2
dt
C
d 2
q

dq

1
dq
 i
dt
di
 
1
q 
R
i 
1
vt  dt
LC
L L
3. qt  it Can be solved using Laplace
Transform
4. Other network variables can be
obtained
(1)
C
L
v t   
1
qt  Rit  vt  (2)
5. (1),(2) : state-space representation
Other variables vR t  vC t 
L L
dvR
C
R
 
R
v 
R
v 
R
vt  L
R
dt
RC
dt
dvC 1
v

Each variables : linearly independent
In vector-matrix form
x˙  Ax  Bu
where

dq
dt

x˙   di dt


 R / L


A  1/ LC
 1
0


 i

x 
q


1
L
B 
 0

u  vt
(1)
(2)
where
y  vL t
y  Cx  Du
C  1 C  R D 
1
State space representation using phase variable form
dy
dt n1
d n1
y
 a1
dt
 a0 y  b0u
dt n
d n
y
 an1
x 
y
1
dy
x2 
dt
choose
d 2
y
x3 
dt 2 xn 
dt n1
d n1
y
diferensiasikan
dt
1
x˙ 
dy
d 2
y
x˙2 
dt
2
d 3
y
x˙3 
dt3
d n
y
⁝
x˙n 
dt
n
2 3
⁝
x˙n1  xn
x˙ 
x
2
1
x˙ x
x  b u
0 1 1 2 n1 n 0
 a x  a x  a
n
x
˙

x˙1



  

  

  


b0



x3







 

 

 
 



a0
2

x1
 an1

xn
xn1

0



0

u
x  0

 0


⁝
⁝


0 0 0 0 0
 1
 a1  a2  a3  a4  a5 
2
0
 0 1 0 0 0 0  0

x˙n
x˙n1


⁝
x
˙3

x˙
0 0 1 0 0 0  0
0 0 0 1 0 0  0
⁝








xn1

2

x1

 x




 ⁝

y  1 0 0  0
x3
Example : TF to State Space
Inverse Laplace
˙c˙
˙ 9c˙˙ 26c˙  24c  24r
1.
x3 
c˙˙
2. Select state variables
x1  c x2
 c˙
x˙1  x2
x˙2  x3
 24x1  26x2 3
 9x  24r
3
x
˙y  c  x1
N s
Gs 
Ds
N s numerator
Ds denominator
 

1 x   
0 r
 9x3

24
2

0  x1 
 0



 0
2


x˙3 

24
1
x˙    0
0
 26

x˙1


3

1


 x

y  1 0 0 x2

x 
Decomposing a transfer function
2
2
Y s  Cs  b s  b s  b X s
1
0
1
dt 2
d 2
x
b2
1
yt  
dt
dx
b1
1  b0 x1

yt  b0 x1  b1x2  b2 x3
Example
yt  2x1  7x2  x3
y 
2

2


x3


7
1x 

x1 
State Space to TF
x˙  Ax  Bu
y  Cx  Du
Laplace Transform
sX s  AX s BU s
Y s  CX s DUs
X s  sI  A1
BU s
Y s  CsI  A1
B  DU s
U s
T s 
Y s  CsI  A1
B  D



 3
 0 
x˙  
0
0
0x
 0 1 0 
10
 0 1  x  
0 u
1  2
y  1




1
s
1
0
sI  A  0 s 1 

2
s  3
sI  A1

adj(sI  A)
det(sI  A)
s3
 3s2
 2s 1
(s2
 3s  2) s  3

 1 s(s  3)

  s  (2s 1)
1


s2


s


T s  CsI  A1
B  D
T s 
s3
 3s2
 2s 1
10(s2
 3s  2)
Solution of homogeneous state equation
differential equation is
 The solution of the state differential equation can be obtained in a manner similar to the approach
we utilize for solving a first order differential equation. Consider the first-order differential
equation
x˙  a x ; x ( 0 )  0
d x  a x d t
Where x(t) and u(t) are scalar functions of time. We expect an exponential solution of the form
eat. Taking the Laplace transform of both sides, we have
x˙
on integrating above equation
logx=at+c
X= eat. ec
x=x(0)= ec
on substituting the intial
condition ,the solution of
homogeneous state equation of first
order
x˙  e
at
x(0)
x˙  AX (t), x(o)  0  
k !
A k
t k
2 !
 I  A t    
A 2
t
2
e A t
Solution of homogeneous state equation
2 ! k !
e  I  A t      
 The solution of the state differential equation can be obtained in a manner similar to the approach
we utilize for solving a first order differential equation. Consider the first-order differential
equation
x˙  a x  b u ; x ( 0 )  0
Where x(t) and u(t) are scalar functions of time. By taking laplace transform
s X (s)  x0  a X (s)  bU (s)
The inverse Laplace transform of X(s) results in the solution
t
x ( t )  e a t
x ( 0 )   e a ( t   )
b u (  ) d 
0
We expect the solution of the state differential equation to be similar to x(t) and to be
of differential form. The matrix exponential function is defined as
A 2
t 2
A k
t k
A t
which converges for all finite t and any A. Then the solution of the state
differential equation is found to be
t
x(t)  eAt
x(0)  eA ( t)
Bu() d
0
X(s)  sI  A1
x(0)  sI  A1
BU(s)
where we note that [sI-A]-1=ϕ(s), which is the Laplace transform of ϕ(t)=eAt. The
matrix exponential function ϕ(t) describes the unforced response of the system
and is called the fundamental or state transition matrix.
t
x(t)  (t) x(0)  (t  ) Bu() d
0
THE TRANSFER FUNCTION FROM THE STATE EQUATION
The transfer function of a single input-single output (SISO) system can be obtained
from the state variable equations.
x˙  A x  Bu
y  C x
where y is the single output and u is the single input. The Laplace transform of the
equations
sX(s)  AX(s)  BU(s)
Y(s)  CX(s)
where B is an nx1 matrix, since u is a single input. We do not include initial
conditions, since we seek the transfer function. Reordering the equation
[sI  A]X(s)  BU(s)
X(s)  sI  A1
BU(s) 
(s)BU(s) Y(s)  C(s)BU(s)
Therefore, the transfer function G(s)=Y(s)/U(s) is
G(s) 
C(s)B
Example:
Determine the transfer function G(s)=Y(s)/U(s) for the RLC circuit as described by the
state differential function
, y  0
Rx

u
C

 0

 1

C 
x 

 1 R

 

L L

1 

0
x˙ 




R

 s 

 L L

 s
1
C
sI  A 

1
1
R
L
LC
s 
(s)  s2

s



R 1


1

L
(s)


sI  A
(s) 

1

1 s 
L

C
Then the transfer function is
G(s) 
0
L LC
1

R
s 
s2
R / LC
(
s)
G(s) 
R / LC

s  
0 
 
1 
1
1


 

(
s)
C(s) 
C 


 L


L(s)
R
(s)

s 
R

CONSIDER THE SYSTEM
2 4
s 3
y  c  x1
s3
 9 s 2
 2 6 s  24C( s)  2 4 R ( s )
R ( s )  9 s 2
 2 6 s  2 4
C ( s )

x˙ 1  x2
x˙ 2  x3
x˙ 3  - 2 4 x 1 - 2 6 x 2  9 x 3  2 4 r
˙c˙˙ 9c˙˙ 26c˙  2 4 c  2 4 r x1
 c
x2  c˙
x3  c˙˙
State variables
Output equation
System
equations
y 
1

2
4


9
 x3

 0 1

0
 24 
26
x˙2  x3
x˙2  - 24x1 - 26x2  9x3  24r
y  c  x1

x3

2

2


x˙2


2

x˙1  x2

0 0
x 
x1

 

1  x
   0 r
0 x1 
 0 

x˙
   0

x˙1

THANK YOU

control system, open and closed loop engineering

  • 1.
  • 2.
    A control systemconsisting of interconnected components is designed to achieve a desired purpose. To understand the purpose of a control system, it is useful to examine examples of control systems through the course of history. These early systems incorporated many of the same ideas of feedback that are in use today. Modern control engineering practice includes the use of control design strategies for improving manufacturing processes, the efficiency of energy use, advanced automobile control, including rapid transit, among others. We also discuss the notion of a design gap. The gap exists between the complex physical system under investigation and the model used in the control system synthesis. The iterative nature of design allows us to handle the design gap effectively while accomplishing necessary tradeoffs in complexity, performance, and cost in order to meet the design specifications.
  • 3.
    Introduction System – Aninterconnection of elements and devices for a desired purpose. Control System – An interconnection of components forming a system configuration that will provide a desired response. Process – The device, plant, or system under control. The input and output relationship represents the cause-and- effect relationship of the process.
  • 4.
    Introduction Multivariable Control System Open-LoopControl Systems utilize a controller or control actuator to obtain the desired response. Closed-Loop Control Systems utilizes feedback to compare the actual output to the desired output response.
  • 5.
    History Watt’s Flyball Governor (18thcentury) Greece (BC) – Float regulator mechanism Holland (16th Century)– Temperature regulator
  • 6.
  • 7.
  • 8.
    History 18th Century JamesWatt’s centrifugal governor for the speed control of a steam engine. 1920s Minorsky worked on automatic controllers for steering ships. 1930s Nyquist developed a method for analyzing the stability of controlled systems 1940s Frequency response methods made it possible to design linear closed-loop control systems 1950s Root-locus method due to Evans was fully developed 1960s State space methods, optimal control, adaptive control and 1980s Learning controls are begun to investigated and developed. Present and on-going research fields. Recent application of modern control theory includes such non-engineering systems such as biological, biomedical, economic and socio-economic systems ???????????????????????????????????
  • 9.
    (a)Automo bile steering control system. (b)The driver usesthe difference between the actual and the desired direction of travel to generate a controlled adjustment of the steering wheel. (c)Typical direction- of-travel response. Examples of Modern Control Systems
  • 10.
    Examples of ModernControl Systems
  • 11.
    Examples of ModernControl Systems
  • 12.
    Examples of ModernControl Systems
  • 13.
    Examples of ModernControl Systems
  • 14.
    Examples of ModernControl Systems
  • 15.
    Examples of ModernControl Systems
  • 16.
    Examples of ModernControl Systems
  • 17.
    Examples of ModernControl Systems
  • 18.
    The Future ofControl Systems
  • 19.
    The Future ofControl Systems
  • 20.
  • 22.
  • 23.
    ELECTRIC SHIP CONCEPT Ship Service Power Main Power Distribution Propulsion Moto r Motor Driv e Generator Prime Move r Power Conversion Module Electric Drive  Reduce # of Prime Movers  Fuel savings  Reduced maintenance  Technology Insertion  Warfighting Capabilities Vision Integrated Power System All Electric Ship Electrically Reconfigurable Ship  Reduced manning  Automation  Eliminate auxiliary systems (steam, hydraulics, compressed air) Increasing Affordability and Military Capability Design Example
  • 24.
    CVN(X) FUTURE AIRCRAFTCARRIER Design Example
  • 25.
  • 26.
  • 27.
  • 28.
  • 31.
  • 32.
  • 33.
  • 35.
  • 36.
    We use quantitativemathematical models of physical systems to design and analyze control systems. The dynamic behavior is generally described by ordinary differential equations. We will consider a wide range of systems, including mechanical, hydraulic, and electrical. Since most physical systems are nonlinear, we will discuss linearization approximations, which allow us to use Laplace transform methods. We will then proceed to obtain the input–output relationship for components and subsystems in the form of transfer functions. The transfer function blocks can be organized into block diagrams or signal-flow graphs to graphically depict the interconnections. Block diagrams (and signal-flow graphs) are very convenient and natural tools for designing and analyzing complicated control systems Mathematical Models of Systems Objectives
  • 37.
    Introduction Six Step Approachto Dynamic System Problems Define the system and its components Formulate the mathematical model and list the necessary assumptions Write the differential equations describing the model Solve the equations for the desired output variables Examine the solutions and the assumptions If necessary, reanalyze or redesign the system
  • 38.
    Differential Equation ofPhysical Systems Ta(t)  Ts(t) 0 Ta(t) Ts(t) (t ) s(t)  a(t) Ta(t) = through - variable angular rate difference = across-variable
  • 39.
    Differential Equation ofPhysical Systems v21 dt Describing Equation Ld i E 1 L i 2 2 v21 1 d k dt  F E 2 k 2 1  F 21 1 d k dt  T 1 T 2 E  2 k P21 Id Q dt 2 2 E 1 IQ Electrical Inductance Translational Spring Rotational Spring Fluid Inertia Energy or Power
  • 40.
    Differential Equation ofPhysical Systems Electrical Capacitance Translational Mass Rotational Mass Fluid Capacitance Thermal Capacitance 21 21 2 i Cd v E 1 Mv dt 2 2 F M d v dt E 1 2 2 2 M v 2 T Jd  dt E 1 2 2 2 J   21 f dt Q C d P 2 f 21 2 E 1 C P dt q Ctd T2 E CtT2
  • 41.
    Differential Equation ofPhysical Systems Electrical Resistance Translational Damper Rotational Damper Fluid Resistance Thermal Resistance F bv21 P bv2 21 21 21 2 i 1 v P 1 v R R T b21 21 2 P b Rf 21 Q 1 P Rf 21 2 P 1 P Rt 21 q 1 T Rt 21 P 1 T
  • 42.
    Differential Equation ofPhysical Systems dt 2 dt M d2 y(t)  bd y(t)  ky(t) r(t)
  • 43.
    Differential Equation ofPhysical Systems v(t) R d  C v(t)  dt 1  t 0 L   v(t) dt r(t)   1t y(t) K 1e sin 1t   1
  • 44.
    Differential Equation ofPhysical Systems
  • 45.
    Differential Equation ofPhysical Systems K2  1 2  .5 2  10   2t y(t)  K2e sin2t   2  2  2   2t y1(t)  K2e   2t y2(t)  K2e 1 0 1 2 3 4 5 6 7 0 1 y(t) y1(t) y2(t) t
  • 46.
  • 47.
    Linear Approximations Linear Systems- Necessary condition Principle of Superposition Property of Homogeneity Taylor Series http://www.maths.abdn.ac.uk/%7Eigc/tch/ma2001/notes/node46.ht ml
  • 48.
    Linear Approximations –Example 2.1 M  200gm T0  MgLsin 0 g  9.8 m s 2 L  100cm 0   0rad 16    15   T1  MgLsin  T2  MgLcos  0   0  T0 4 3 2 1 1 2 3 4 10 5 0 5 T1 () 10 0  T2 () Stude nts are encourag ed to investigate l i n e a r ap prox i mat i on accuracy for different
  • 49.
    The Laplace Transform HistoricalPerspective - Heaviside’s Operators Origin of Operational Calculus (1887)
  • 50.
    p d dt 1 p 0 t   1 du i v Z(p) Z(p)R  Lp i 1 R  Lp H( t) 1 R  Lp   Lp 1  H( t)  R  2  L  1 p 2  1  R 1 R  L p  R  3  L  1        p 3    ..... H(t) 1 p n H( t) t n n 2 2 2  L  3 3   R   t 3   L     ..     R  L i 1  R t   R   t i 1 R e   R t  L       1   Expanded in a power series v = H(t) Historical Perspective - Heaviside’s Operators Origin of Operational Calculus (1887) (*) Oliver Heaviside: Sage in Solitude, Paul J. Nahin, IEEE Press 1987.
  • 51.
    The Laplace Transform Definition   L(f(t)) 0  st f(t)edt   = F(s) Here the complex frequency is s   j w 0 dt    st f(t) e The Laplace Transform exists when     this means that the integral converg
  • 52.
    The Laplace Transform Determinethe Lap lace transform for the functions a) f1(t)  1 for t  0 0   dt  st  F1(s)   e = 1  (st)   e s 1 s b) f2(t)   e  (at) F2(s) 0 dt e  (at)  (st)  e   = 1 s  1  e  [(sa)t] 2 F (s) 1 s  a
  • 53.
    note that theinitial condition is included in the transform = sF(s) - f(0+) d t  L d f(t)  0   dt  (st)  s f(t)e = -f(0+) + 0   (st)    f(t)se  dt    (st) f(t) e = 0     u dv du se  (st) dt we obtain v f(t) and and, from which  uv   v du  dv df(t) u e  (st) where =   u dv  by the use of L d f(t) dt    0   dt  (st) d f(t)e dt    Evaluate the laplace transform of the derivative of a function The Laplace Transform
  • 54.
    The Laplace Transform PracticalExample - Consider the circuit. The KVL equation is 4i(t)  2d i(t) 0 assum e i(0+) = 5 A dt Applying the Laplace Transform , we have 0   dt    4i(t)  2d i(t)  e  ( st) dt    0 0   0   dt    4 i(t)e  ( st) dt  2d i(t)e  ( st) dt 0 4I(s)  2(sI(s)  i(0)) 0 4I(s)  2sI(s)  100 I(s)  5 s  2 0 0 2 4 1 t transform ing back to the time domain, with our present knowledge of Laplace transform , we may say that t  (0 0.01 2) 6 i( t) 2 i(t)  5e  ( 2t)
  • 55.
    The Partial-Fraction Expansion(or Heaviside expansion theorem) Suppose that The partial fraction expansion indicates that F(s) consists of a sum of terms, each of which is a factor of the denominator. The values of K1 and K2 are determined by combining the individual fractions by means of the lowest common denominator and comparing the resultant numerator coefficients with those of the coefficients of the numerator before separation in different terms. F ( s ) s  z1 ( s p1 ) ( s p2 )    o r F ( s ) K1 s  p1 K2 s p2   Evaluation of Ki in the manner just described requires the simultaneous solution of n equations. An alternative method is to multiply both sides of the equation by (s + pi) then setting s= - pi, the right-hand side is zero except for Ki so that Ki   ( s pi )  ( s z1 ) ( s p1 ) ( s p2 )    s = - pi The Laplace Transform
  • 56.
    The Laplace Transform s-> 0 t -> infinite s -> infinite Lim(sF(s) ) t -> 0 7. Final-value Theorem Lim(f(t)) Lim(sF(s )) 6. Initial-value Theorem Lim(f(t)) f(0) 0     F(s) ds f(t) t 5. Frequency Integratio n F(s  a) f(t)e  (at) 4. Frequency shiftin g d F(s) ds differentiation tf(t) 3. Frequency f(at ) 2. Time scaling 1 F s  a  a  f(t  T)u(t  T) 1. Time delay Frequency Doma e  ( sT) F(s) Property Time Domain
  • 57.
    Useful Transform Pairs TheLaplace Transform
  • 58.
    The Laplace Transform y(s) M   s  b  yo k  M  n s  2    s 2  2n  n 2  2  1 s 2   b  s    M  s1 n  n n k M  b 2 kM n 2 s2    n      1 Roots Real Real repeated Imaginary (conjug ates) Complex 1   2 s1    n  jn 2 s2    n  jn 1  Consider the mass-spring-damper system Y(s) (Ms  b)yo Ms 2  bs  k equation 2.2
  • 59.
  • 60.
    The Transfer Functionof Linear Systems 1 V ( s )  R 1 C s      I ( s ) 1 Z ( s ) R 2 Z ( s ) 1 C s V 2 ( s ) 1    C s   I ( s ) V 2 ( s ) V 1 ( s ) 1 C s R  1 C s Z 2 ( s ) Z 1 ( s )  Z 2 ( s )
  • 61.
    The Transfer Functionof Linear Systems Example 2.2 dt2 d t d2 y(t)  4d y(t)  3y(t) 2 r(t) Initial Conditions: Y(0) 1 d d t y(0) 0 r(t) 1 The Laplace transform yields: s2 Y(s)  sy(0)  4(sY(s)  y(0))  3 Y(s) Since R(s)=1/s and y(0)=1, we obtain: 2R (s) Y(s ) (s  4) 2 s2  4s  3 ss2  4s  3  The partial fra ction expansion yields: Y(s ) 3 2  1 2     1 1 3          2 3  (s  1) (s  3)   (s  1) (s  3)  s    Therefore the transient response is:  2 2    3 3 y(t)  3 e t  1 e 3t  1e t  1 e 3t  2 The steady-state response is: lim y(t) t 2 3
  • 62.
    The Transfer Functionof Linear Systems
  • 63.
    The Transfer Functionof Linear Systems
  • 64.
    The Transfer Functionof Linear Systems
  • 65.
    The Transfer Functionof Linear Systems
  • 66.
     Kfif T mK1 Kf if (t)ia (t) fi e l d c o n t r o l e d m o t o r - L a p a l c e Transf o Tm (s) K1KfIa If(s) Vf (s) Rf  Lf sIf (s) Tm (s) TL (s)  Td (s) TL (s) J s 2   (s)  b  s   ( s ) re a r ra n g i n g e q u a t i o n s TL (s) Tm (s)  Td (s) Tm (s) Km If (s) If (s) Vf(s) Rf  Lfs The Transfer Function of Linear Systems Td(s) 0 (s ) f V (s) Km s(Js  b)Lfs 
  • 67.
    The Transfer Functionof Linear Systems
  • 68.
    The Transfer Functionof Linear Systems
  • 69.
    The Transfer Functionof Linear Systems
  • 70.
    The Transfer Functionof Linear Systems
  • 71.
    The Transfer Functionof Linear Systems V 2(s) V 1(s) RCs 1 V 2(s) RCs V 1(s)
  • 72.
    The Transfer Functionof Linear Systems V 2(s) V 1(s) R 2R 1Cs  1 R 1 V2(s) V1(s) R 1C 1s  1 R 2C 2s  1 R 1C 2s
  • 73.
    The Transfer Functionof Linear Systems (s ) Vf(s) K m s(Js  b) L fs  R f (s ) Va(s) K m s R a  L as (Js  b)  K bK m
  • 74.
    The Transfer Functionof Linear Systems Vo(s) Vc(s) K    RcRq  sc  1sq  1  c Lc Rc  q Lq Rq For the unloaded case: id 0 c q 0.05s  c  0.5s V12 V34 Vq Vd (s ) Vc(s) Km ss  1  J (b  m) m = slope of linearized torque- speed curve (normally negative)
  • 75.
    The Transfer Functionof Linear Systems Y(s) X(s) s(Ms  B) K K A kx kp d g A 2    kp  kx dx kp B b   d g dP g g(x P) flow A = area of piston Gear Ratio = n = N1/N N2L N1m L nm L nm
  • 76.
    The Transfer Functionof Linear Systems V2(s) R2 V1(s) R R2 R R2 R1  R2  ma x ks V2(s) ks 1(s)   2(s) V2(s) kserro(rs) Vba ttery  ma x
  • 77.
    The Transfer Functionof Linear Systems V2(s) Kt(s) Kts(s) Kt constant V2(s) V1(s) ka s  1 Ro = output resistance Co = output capacitanc  RoCo   1s and is often negligibl for controller amplifie
  • 78.
    The Transfer Functionof Linear Systems T(s) q(s) 1 t  R  C s  QS  1  T To  Te = temperature difference due to thermal proc = thermal capacitance = fluid flow rate = constant = specific heat of water = thermal resistance of insulation Ct Q S Rt q(s) = rate of heat flow of heating element xo(t) y(t)  xin(t) Xo(s) Xin(s) s2  M  s2   b  s  k M For low frequency oscillations, where  n Xo j Xin j  2 k M
  • 79.
    The Transfer Functionof Linear Systems x r converts radial motion to linear mo
  • 80.
  • 81.
  • 82.
    Block Diagram Models OriginalDiagram Equivalent Diagram Original Diagram Equivalent Diagram
  • 83.
    Block Diagram Models OriginalDiagram Equivalent Diagram Original Diagram Equivalent Diagram
  • 84.
    Block Diagram Models OriginalDiagram Equivalent Diagram Original Diagram Equivalent Diagram
  • 85.
  • 86.
  • 87.
  • 88.
    Signal-Flow Graph Models Forcomplex systems, the block diagram method can become difficult to complete. By using the signal-flow graph model, the reduction procedure (used in the block diagram method) is not necessary to determine the relationship between system variables.
  • 89.
    Signal-Flow Graph Models Y1(s)G11(s)R1(s)  G12(s)R2(s) Y2(s) G21(s)R1(s)  G22(s)R2(s)
  • 90.
    Signal-Flow Graph Models a11x1 a12x2  r1 x1 a21x1  a22x2  r2 x2
  • 91.
    Signal-Flow Graph Models Example2.8 Y(s) R(s) G1G2G3G 41  L 3  L 4  G 5G 6G7G81  L 1  L 2 1  L 1  L 2  L 3  L 4  L 1L 3  L 1L 4  L 2L 3  L 2L 4
  • 92.
    Signal-Flow Graph Models Example2.10 Y(s) R(s) 1  G 2G 3H 2  G 3G 4H 1  G 1G 2G 3G4H 3 G 1G 2G 3G4
  • 93.
    Signal-Flow Graph Models Y(s) R(s) P1 P22  P3  P1 G1G2G3G4G5G6 P2 G1G2G7G6 P3 G1G2G3G4G8  1  L1  L2  L3  L4  L5  L6  L7  L8  L5L7  L5L4  L3L4  1  3 1  2 1  L5 1  G4H4
  • 94.
  • 95.
    Speed control ofan electric traction motor. Design Examples
  • 96.
  • 97.
  • 98.
  • 99.
  • 100.
  • 101.
    Components of ablock diagram for a linear, time-invariant system
  • 102.
    a. Cascaded subsystems; b.equivalent transfer function
  • 103.
    a. Parallel subsystems; b.equivalent transfer function
  • 104.
    a. Feedback controlsystem; b. simplified model; c. equivalent transfer function
  • 105.
    Block diagram algebrafor summing junctions equivalent forms for moving a block a. to the left past a summing junction; b. to the right past a summing junction
  • 106.
    Block diagram algebrafor pickoff points equivalent forms for moving a block a. to the left past a pickoff point; b. to the right past a pickoff point
  • 107.
    Block diagram reductionvia familiar forms for Example Problem: Reduce the block diagram shown in figure to a single transfer function
  • 108.
    Steps in solvingExample a. collapse summing junctions; form equivalent cascaded system in the forward path form equivalent parallel system in the feedback path; b. c. d. form equivalent feedback system and multiply by cascadedG1(s) Block diagram reduction via familiar forms for Example Cont.
  • 109.
    Problem: Reduce theblock diagram shown in figure to a single transfer function Block diagram reduction by moving blocks Example
  • 110.
    Steps in theblock diagram reduction for Example a) Move G2(s) to the left past of pickoff point to create parallel subsystems, and reduce the feedback system of G3(s) and H3(s) b) Reduce parallel pair of 1/G2(s) and unity, and push G1(s) to the right past summing junction c) Collapse the summing junctions, add the 2 feedback elements, and combine the last 2 cascade blocks d) Reduce the feedback system to the left e)finally, Multiple the 2 cascade blocks and obtain final result.
  • 111.
    Second-order feedback controlsystem The closed loop transfer function is Note K is the amplifier gain, As K varies, the poles move through the three ranges of operations OD, CD, and UD 0<K<a2/4 system is over damped K = a2/4 K > a2/4 system is critically damped system is under damped s 2  as  K T (s )  K
  • 112.
    Finding transient responseExample Problem: For the system shown, find peak time, percent overshot, and settling time. Solution: The closed loop transfer function is T (s )  25 s 2  5s  25 And 1   2 X 10 0  16 .3 0 3  e   / n   2 5  5 2n  5 so  = 0 .5 p n 1   2 T    0 .7 2 6 sec % O S s T  4  1 .6 sec n  using values for  and n and equation in chapter 4 we find
  • 113.
    Gain design fortransient response Example Problem: Design the value of gain K, so that the system will respond with a 10% overshot. Solution: The closed loop transfer function is For 10% OS we find We substitute this value in previous equation to find K = 17.9  5s  K T (s )  K s 2  = 5  K an d  5 thu s  2  2 K n n  = 0 .59 1
  • 114.
    Signal-flow graph components: a.system; b. signal; c. interconnection of systems and signals
  • 115.
    a. cascaded system nodes cascadedsystem signal-flow graph; b. d. c. parallel system nodes parallel system signal-flow graph; e. feedback system nodes f. feedback system signal-flow graph Building signal-flow graphs
  • 116.
    Problem: Convert theblock diagram to a signal-flow graph. Converting a block diagram to a signal-flow graph
  • 117.
    Signal-flow graph development: a.signal nodes; b. signal-flow graph; c. simplified signal-flow graph Converting a block diagram to a signal-flow graph
  • 118.
    Mason’s ƌule -Definitions Loop gain: The product of branch gains found by traversing a path that starts at a node and ends at the same node, following the direction of the signal flow, without passing through any other node more than once. G2(s)H2(s), G4(s)H2(s), G4(s)G5(s)H3(s), G4(s)G6(s)H3(s) Forward-path gain: The product of gains found by traversing a path from input node to output node in the direction of signal flow. G1(s)G2(s)G3(s)G4(s)G5(s)G7(s), G1(s)G2(s)G3(s)G4(s)G5(s)G7(s) Nontouching loops: loops that do not have any nodes in common. G2(s)H1(s) does not touch G4(s)H2(s), G4(s)G5(s)H3(s), and G4(s)G6(s)H3(s) Nontouching-loop gain: The product of loop gains from nontouching loops taken 2, 3,4, or more at a time. [G2(s)H1(s)][G4(s)H2(s)], [G2(s)H1(s)][G4(s)G5(s)H3(s)], [G2(s)H1(s)][G4(s)G6(s)H3(s)]
  • 119.
    Mason’s Rule The Transferfunction. C(s)/ R(s), of a system represented by a signal-flow graph is Where K = number of forward paths Tk = the kth forward-path gain nontouching-loop gains taken 3 at a time + = 1 -  loop gains +  nontouching-loop gains taken 2 at a time -  nontouching-loop gains taken 4 at a time - ……. that touch the kth forward path. In other words, = - loop gain terms in k is f o rm e d by eliminating from   k those loop gains that touch the kth forward path.  G (s )  C (s )  T k k R (s ) k   
  • 120.
    Transfer function viaMason’s rule Now Problem: Find the transfer function for the signal flow graph Solution: forward path G1(s)G2(s)G3(s)G4(s)G5(s) Loop gains G2(s)H1(s), G4(s)H2(s), G7(s)H4(s), G2(s)G3(s)G4(s)G5(s)G6(s)G7(s)G8(s) Nontouching loops 2at a time G2(s)H1(s)G4(s)H2(s) G2(s)H1(s)G7(s)H4(s) G4(s)H2(s)G7(s)H4(s) 3at a time G2(s)H1(s)G4(s)H2(s) G7(s)H4(s)  = 1- [G2(s)H1(s) +G4(s)H2(s) +G7(s)H4(s)+ [G1(s)G2(s)G3(s)G4(s)G5(s)][1-G7(s)H4(s)]  G (s )  T11 
  • 121.
    Signal-Flow Graphs ofState Equations x 2   6 x 1  2 x 2  2 x 3  5 r x 3  x 1  3x 2  4 x 3  7 r y   4 x 1  6 x 2  9 x 3 a. place nodes; b. interconnect state variables and derivatives; c. form dx1/dt ; d. form dx2/dt x P  ro 2 b x lem  : 5 dr x aw  sig 3 n x al-f  l o w 2 r graph for: 1 1 2 3
  • 122.
    (continued) e. form dx3/dt; f. form output Signal-Flow Graphs of State Equations
  • 123.
    Alternate Representation: CascadeForm C (s )  24 R (s ) (s  2)(s  3)(s  4)
  • 124.
    Alternate Representation: CascadeForm 1 x   4 x 1  x 2 x 2   3x 2 3 x  y  c (t )  x 1  x 3  2x 3  24 r y  1 0  4    2 4 1 0  0  X  0 3 1  X 0   0  r   
  • 125.
    Alternat2e4Representation1: P2arallel F2o4rm C (s) R (s ) (s  2)(s  3)(s  4) (s  2) (s  3) 12 (s  4)     x 1   2 x 1 x 2   3x 2 x 3  y  c (t )  x 1  x 2  12r  24 r  4x 3  12r  x 3 1 1X 0  X  24 r  2 0 0  12  3   0 0 4 y  1 X  0   1 2  
  • 126.
    Alternate Representation: ParallelForm Repeated roots (s  1)2 (s  2) (s  1)2 C (s )  (s  3)  2 1 1 (s  1) (s  2) R (s ) x 1   x 1  x 2 x 2  x 2 x 3  y  c (t )  x 1  2 x 3  r  1 / 2 x 2  x 3 + 2r X   1  1 1 0 0  0  X  2   0  2 r  0     1  
  • 127.
    G(s) = C(s)/R(s)= (s2 + 7s + 2)/(s3 + 9s2 + 26s + 24) This form is obtained from the phase-variable form simply by ordering the phase variable in reverse order Alternate Representation: controller canonical form y  7 2 1x 3   x 1   2    2  1  x   0  r   9 x 3  1   3   0 1 0   x 1  0 0 26   24 x 1    x  x    0     y  7 2x 2 2    x 2      0  x   0  r 0  x 3  0 24  x 1  1   3   x 1    x 9 26    1 0   0 1 x 1      
  • 128.
    Alternate Representation: controllercanonical form System matrices that contain the coefficients of the characteristic polynomial are called companion matrices to the characteristic polynomial. Phase-variable form result in lower companion matrix Controller canonical form results in upper companion matrix
  • 129.
    Alternate Representation: observercanonical form Observer canonical form so named for its use in the design of observers G(s) = C(s)/R(s) = (s2 + 7s + 2)/(s3 + 9s2 + 26s + 24) = (1/s+7/s2 +2/s3 )/(1+9/s+26/s2 +24/s3 ) Cross multiplying (1/s+7/s2 +2/s3 )R(s) = (1+9/s+26/s2 +24/s3 ) C(s) And C(s) = 1/s[R(s)-9C(s)] +1/s2[7R(s)-26C(s)]+1/s3[2R(s)-24C(s)] = 1/s{ [R(s)-9C(s)] + 1/s {[7R(s)-26C(s)]+1/s [2R(s)-24C(s)]}}
  • 130.
    Alternate Representation: observercanonical form x 1  9x 1  x 2  r x 2  26x 1  x 3 +7r x 3  24x 1  2r y  c (t )  x 1 1 X  7 r 9 1 0 1  X    26  0 24 0    0 2 y  1 0 0X Note that the observer form has A matrix that is transpose of the controller canonical form, B vector is the transpose of the controller C vector, and C vector is the transpose of the controller B vector. The 2 forms are called duals.
  • 131.
    Feedback control systemfor Example Problem Represent the feedback control system shown in state space. Model the forward transfer function in cascade form. Solution first we model the forward transfer function as in (a), Second we add the feedback and input paths as shown in (b) complete system. Write state equations x 1   3x 1 x 2   x 2 - 2 x 2  100 (r - c ) but c  5 x 1  ( x 2  3x 1 )  2 x 1  x 2
  • 132.
    Feedback control systemfor Example x 1   3x 1  x 2 x 2   200 x 1  102 x 2  100 r y  c (t )  2 x 1  x 2  y  2 1X 3 1  X   200 102  10 0  0  X   r 
  • 133.
    State-space forms for C(s)/R(s)=(s+ 3)/[(s+ 4)(s+ 6)]. Note: y = c(t)
  • 134.
  • 135.
    In this chapterwe extend the ideas of modeling to include control system characteristics, such as sensitivity to model uncertainties, steady-state errors, transient response characteristics to input test signals, and disturbance rejection. We investigate the important role of the system error signal which we generally try to minimize. We will also develop the concept of the sensitivity of a system to a parameter change, since it is desirable to minimize the effects of unwanted parameter variation. We then describe the transient performance of a feedback system and show how this performance can be readily improved. We will also investigate a design that reduces the impact of disturbance signals. Feedback Control System Characteristics Objectives
  • 136.
    Open-And Closed-Loop ControlSystems An open-loop (direct) system operates without feedback and directly generates the output in response to an input signal. A closed-loop system uses a measurement of the output signal and a comparison with the desired output to generate an error signal that is applied to the actuator.
  • 137.
    Open-And Closed-Loop ControlSystems H ( s ) 1 Y ( s ) G ( s ) 1  G ( s )  R ( s ) E ( s ) 1  G ( s ) 1  R ( s ) T h u s , t o r e d u c e t h e e r r o r, t h e m a g n i t u d e o f 1  G ( s )   1 H ( s )  1 Y ( s ) G ( s ) 1  H ( s ) G ( s )  R ( s ) E ( s ) 1 1  H [ ( s )  G ( s ) ]  R ( s ) T h u s , t o r e d u c e t h e e r r o r, t h e m a g n i t u d e o f 1  G ( s ) H ( s )   1 Error Signal
  • 138.
    Sensitivity of ControlSystems To Parameter Variations GH(s)  1 1 Y (s) R (s) H(s) Output affected only by H(s) G(s)  G(s) Open Loop Y (s) G(s)R (s) Closed Loop Y (s)  Y (s) 1  G(s)  G(s)H(s) G(s)  G(s) R (s) Y (s) G(s )  1  GH(s)  GH(s)(1  GH(s)) R (s) GH(s)  GH(s) The change in the output of the closed system is reduced by a factor of 1+GH(s) Y (s) G(s) R (s)  (1 GH(s)) 2 For the closed-loop case if
  • 139.
    Sensitivity of ControlSystems To Parameter Variations T ( s ) Y ( s ) R ( s ) S  T ( s ) T ( s )  G ( s ) G ( s ) S d T d T T d G  d G     G    d     T d T   G G d     G d  T T ( s ) 1 1  H [ ( s )  G ( s ) ] S G T   d   T G   d   G d  d T   G T   d   T G   d   G d  d T   G T ( 1  GH ) 2 G ( 1  GH ) 1  G S G T 1 ( 1  GH ) T  GH ( 1  Sensitivity of the closed-loop to G variations reduced Sensitivity of the closed-loop to H variations When GH is large sensitivity approaches 1 Changes in H directly affects the output response S H
  • 140.
    Example 4.1 Open loop voKavin Closed loop  R2 R1  K a Rp R1  R2 T ka T 1  K  SKa T a a 1 1  K  T SKa 1 If Ka is large, the sensitivity is low. 4 Ka  10   0.1 S T Ka  1 3 1  10  4  9.99 10
  • 141.
    Control of theTransient Response of Control Systems (s ) Va(s) G(s) K1 1s  1 where, K1 Km Rab  KbKm  1 Ra J Rab  KbKm
  • 142.
    Control of theTransient Response of Control Systems (s ) K aG(s) R(s) 1  K a K tG(s) K a K 1  1 s  1  K a K t K 1  1 K 1 K a  1 1  K a K t K 1   s   
  • 143.
    Control of theTransient Response of Control Systems
  • 144.
    Disturbance Signals Ina Feedback Control Systems R(s)
  • 145.
    Disturbance Signals Ina Feedback Control Systems
  • 146.
    G1(s) Ka Km Ra G2(s) 1 (Js  b) H(s)Kt  Kb Ka E(s) (s) G(s) Td( s) 1  G1(s)G2(s)H(s) G1G2H(s)  1 E(s) 1 G1(s)H( s) Td( s) If G1(s)H(s) very large the effect of the disturba can be minimized G1(s) H(s) Ra KaKm Kt  Kb  Ka   approximatel y KaKm Kt Ra since Ka >> Kb Strive to maintain Ka large and Ra < 2 ohms Disturbance Signals In a Feedback Control Systems
  • 147.
    Steady-State Error Eo(s) R(s) Y(s) (1  G(s))R(s) Ec(s) 1 R( s) 1  G(s) Steady State Error H(s) 1 lim e(t) t  0 lim sE(s) s  0 For a step unit input eo(infinite) s lim s(1  G(s)) 1 s  0 lim (1  G(0)) s  0 ec(infinite)  1  G(s)  s 1   1 lim s s  0 1   lim s  0  1  G(0)
  • 148.
    The Cost ofFeedback Increased Number of components and Complexity Loss of Gain Instability
  • 149.
    Design Example: EnglishChannel Boring Machines Y(s) T(s)R(s)  Td(s)D(s) Y(s) K  11s s 2  12s  K R(s)  1 s 2  12s  K D( s)
  • 150.
    Design Example: EnglishChannel Boring Machines Study system for different Values of gain K Steady state error for R(s)=1/s and D(s)=0 e(t) lim t  infinite 1 s 2  s        1 lim s s  0  1  K G  11s  s 0 Steady state error for R(s)=0 D(s)=1/s y(t) lim t  infinite 1 2 s  12 s  K   lim s s  0   s   1 1 K T
  • 151.
    Transient vs Steady-State Theoutput of any differential equation can be broken up into two parts, •a transient part (which decays to zero as t goes to infinity) and •a steady-state part (which does not decay to zero as t goes to infinity). t0 y(t)  ytr (t)  yss (t) lim ytr (t)  0 Either part might be zero in any particular case.
  • 152.
    Prototype systems 1st Ordersystem 2nd order system Agenda: transfer function response to test signals impulse step ramp parabolic sinusoidal c(t)  c(t)  kr(t) 1  c(t)  2 2  c(t)   c(t)  kr(t) n n
  • 153.
    1st order system Impulseresponse Step response Ramp response Relationship between impulse, step and ramp Relationship between impulse, step and ramp responses G(s)  C(s)  1 T R(s) s 1 T c (t)  1 et T 1(t) T  r(t)   (t), R(s)  1, r(t)  1(t), R(s)  1 , s r(t)  t1(t), R(s)  1 , step c (t)   1 et T 1(t) s2 c (t)  t  T  Tet T 1(t) ramp
  • 154.
    1st Order system Prototypeparameter: Time constant Relate problem specific parameter to prototype parameter. Parameters: problem specific constants. Numbers that do not change with time, but do change from problem to problem. We learn that the time constant defines a problem specific time scale that is more convenient than the arbitrary time scale of seconds, minutes, hours, days, etc, or fractions thereof.
  • 155.
    Transient vs Steadystate Consider the impulse, step, ramp responses computed earlier. Identify the steady state and the transient parts.
  • 156.
    1st order system Impulse response Stepresponse Ramp response Relationship between impulse, step and ramp Relationship between impulse, step and ramp responses G(s)  C(s)  1 T , T  0 R(s) s 1 T c (t)  1 et T 1(t) T  r(t)   (t), R(s)  1, r(t)  1(t), R(s)  1 , s r(t)  t1(t), R(s)  step c (t)   1 et T  1(t) s2   c (t)  t  T  Tet T 1(t) ramp Consider the impulse, step, ramp responses computed earlier. Identify the steady state and the transient parts. Compare steady-state part to input function, transient part to TF.
  • 157.
    2nd order system Overdamped • (two real distinct roots = two 1st order systems with real poles) Critically damped • (a single pole of multiplicity two, highly unlikely, requires exact matching) Underdamped • (complex conjugate pair of poles, oscillatory behavior, most common) step response 2 G(s)  C(s)  n s2  2 s  2 n n R(s) K  1  1  2     1  2  (t)  K 1 c   sin  t  tan   1(t)   en t step d  e sin  1(t) n  t  n d   c (t)  K   t 
  • 158.
    2nd Order System Prototypeparameters: undamped natural frequency, damping ratio Relating problem specific parameters to prototype parameters
  • 159.
    Transient vs Steadystate Consider the step, responses computed earlier. Identify the steady state and the transient parts.
  • 160.
    2nd order system Overdamped • (two real distinct roots = two 1st order systems with real poles) Critically damped • (a single pole of multiplicity two, highly unlikely, requires exact matching) Underdamped • (complex conjugate pair of poles, oscillatory behavior, most common) step response 2 G(s)  C(s)  n s2  2 s  2 n n R(s) K  1  1  2     1  2  (t)  K 1 c   sin  t  tan   1(t)   en t step d  e sin  1(t) n  t  n d   c (t)  K   t 
  • 161.
    Use of Prototypes Toomany examples to cover them all We cover important prototypes We develop intuition on the prototypes We cover how to convert specific examples to prototypes We transfer our insight, based on the study of the prototypes to the specific situations.
  • 162.
    Transient-Response Spedifications 1. Delaytime, td: The time required for the response to reach half the final value the very first time. 2. Rise time, tr: the time required for the response to rise from 10% to 90% (common for overdamped and 1st order systems); 5% to 95%; or 0% to 100% (common for underdamped systems); of its final value 3. Peak time, tp: 4. Maximum (percent) overshoot, Mp: 5. Settling time, ts
  • 163.
    Order Systems r t     d tp  d   100% p M  e   1 2 t  4T  4  4 2% s n   t  3T  3  3 5% s n   Derived relations for 2 n d  1 2 d n   n   tan 1  d       See book for details. (Pg. 232) Allowable Mp determines damping ratio. Settling time then determines undamped natural frequency. Theory is used to derive relationships between design specifications and prototype parameters. Which are related to problem parameters.
  • 164.
    Higher order system PFEshave linear denominators. • each term with a real pole has a time constant •each complex conjugate pair of poles has a damping ratio and an undamped natural frequency.
  • 165.
    Proportional control ofplant w integrator G(s)  1 GC (s)  Kp , s(Js  b)
  • 166.
    Integral control ofPlant w disturbance 1 G (s)  K , G(s)  s(Js  b) C s
  • 167.
    Proportional Control ofplant w/o integrator G(s)  1 G (s)  K , Ts 1 C
  • 168.
    Integral control ofplant w/o integrator 1 G (s)  K , G(s)  Ts 1 C s
  • 169.
  • 170.
    The issue ofensuring the stability of a closed-loop feedback system is central to control system design. Knowing that an unstable closed-loop system is generally of no practical value, we seek methods to help us analyze and design stable systems. A stable system should exhibit a bounded output if the corresponding input is bounded. This is known as bounded-input, bounded-output stability and is one of the main topics of this chapter. The stability of a feedback system is directly related to the location of the roots of the characteristic equation of the system transfer function. The Routh– Hurwitz method is introduced as a useful tool for assessing system stability. The technique allows us to compute the number of roots of the characteristic equation in the right half-plane without actually computing the values of the roots. Thus we can determine stability without the added computational burden of determining characteristic root locations. This gives us a design method for determining values of certain system parameters that will lead to closed-loop stability. For stable systems we will introduce the notion of relative stability, which allows us to characterize the degree of stability. Chapter 6 – The Stability of Linear Feedback Systems
  • 171.
    The Concept ofStability A stable system is a dynamic system with a bounded response to a bounded input. Absolute stability is a stable/not stable characterization for a closed-loop feedback system. Given that a system is stable we can further characterize the degree of stability, or the relative stability.
  • 172.
    The Concept ofStability The concept of stability can be illustrated by a cone placed on a plane horizontal surface. A necessary and sufficient condition for a feedback system to be stable is that all the poles of the system transfer function have negative real parts. A system is considered marginally stable if only certain bounded inputs will result in a bounded output.
  • 173.
    The Routh-Hurwitz StabilityCriterion It was discovered that all coefficients of the characteristic polynomial must have the same sign and non-zero if all the roots are in the left-hand plane. These requirements are necessary but not sufficient. If the above requirements are not met, it is known that the system is unstable. But, if the requirements are met, we still must investigate the system further to determine the stability of the system. The Routh-Hurwitz criterion is a necessary and sufficient criterion for the stability of linear systems.
  • 174.
    The Routh-Hurwitz StabilityCriterion n1 n3 n1 n1 sn sn1 sn2 sn3 n2 n1  1 n1 1 n3 n1 n1 n3 n1 n1 n1 b              s0 an n sn1  a a sn  a sn2  a s  a  0 1 0 b b an1 an3 n1 b c a a a an2 a a a a an2 an4  an1 an2  an an3   1 b h b b b an an2 an4 an1 an3 an5 n1 n3 n5 cn1 cn3 cn5 Characteristic equation, q(s) Routh array The Routh-Hurwitz criterion states that the number of roots of q(s) with positive real parts is equal to the number of changes in sign of the first column of the Routh array.
  • 175.
    The Routh-Hurwitz StabilityCriterion Case One: No element in the first column is zero. Example 6.1 Second-order system The Characteristic polynomial of a second-order system is: q(s) a2s2  a1s  a0 The Routh array is written as: w here: b1 a1a0  (0)a2 a1 a0 Theref ore the requirement for a stable second-order system is simply that a l coeff icients be positive or all the coefficients be negative. 1 s2 s1 s0 1 a2 a0 a 0 b 0
  • 176.
    The Routh-Hurwitz StabilityCriterion Case Two: Zeros in the first column while some elements of the row containing a zero in the first column are nonzero. If only one element in the array is zero, it may be replaced w ith a sma l positiv e number  that is allow ed to approach zero after completing the array. q(s) s5  2s4  2s3  4s2  11s  10 The Routh array is then: w here: 22  14 4  26 12 6c1  10 b1 0  c1 d1 6 2   c1 There are t w o sign changes in the first column due to the large negative number calculated for c1. Thus, the system is unstable because t w o roots lie in the right half of the plane. s5 s4 s3 s2 s1 s0 1 1 1 2 11 2 4 10 b 6 0 c 10 0 d1 0 0 10 0 0
  • 177.
    The Routh-Hurwitz StabilityCriterion Case Three: Zeros in the first column, and the other elements of the row containing the zero are also zero. This case occurs when the polynomial q(s) has zeros located sy metrically about the origin of the s-plane, such as (s+)(s -) or (s+j)(s-j). This case is solved using the auxiliary polynomial, U(s), w hich is located in the row above the row containing the zero entry in the Routh array. q(s) s3  2s2  4s  K Routh array: For a stable system we require that 0  s  8 For the marginally stable case, K=8, the s^1 row of the Routh array contains all zeros. The auxiliary plynomial comes f rom the s^2 row. U(s) 2s2  Ks0 2s2  8 2s2  4 2(s  j2)(s  j2) It can be proven that U(s) is a factor of the characteristic polynomial: q(s) s  2 U(s) 2 Thus, w hen K=8, the factors of the characteristic polynomial are: q(s) (s  2)(s  j2)(s  j2) s3 s2 s1 s0 1 4 2 K 8 K 0 2 K 0
  • 178.
    The Routh-Hurwitz StabilityCriterion Case Four: Repeated roots of the characteristic equation on the jw-axis. With simple roots on the jw-axis, the system will have a marginally stable behavior. This is not the case if the roots are repeated. Repeated roots on the jw-axis will cause the system to be unstable. Unfortunately, the routh-array will fail to reveal this instability.
  • 179.
  • 180.
    Example 6.5 Weldingcontrol Using block diagram reduction we find that: The Routh array is then: Ka s4 s3 s2 s1 s0 c 11 (K  6) Ka b Ka 3 3 1 6 For the system to be stable bothb3 and c3 must be positive. Using these equations a relationship can be determined for K a where: b3 60  K 6 and c3 b3(K  6)  6Ka b3
  • 181.
    The Relative Stabilityof Feedback Control Systems It is often necessary to know the relative damping of each root to the characteristic equation. Relative system stability can be measured by observing the relative real part of each root. In this diagram r2 is relatively more stable than the pair of roots labeled r1. One method of determining the relative stability of each root is to use an axis shift in the s-domain and then use the Routh array as shown in Example 6.6 of the text.
  • 182.
    Problem statement: Designthe turning control for a tracked vehicle. Select K and a so that the system is stable. The system is modeled below. Design Example: Tracked Vehicle Turning Control
  • 183.
    The characteristic equationof this system is: 1  GcG(s) 0 or K(s  a) 1  0 s(s  1)(s  2)(s  5) Thus, s(s  1)(s  2)(s  5)  K(s  a) 0 or s4  8s3  17s2  (K  10)s  Ka 0 To determine a stable region for the system , we establish the Routh arra where b3 126  K 8 and c3 b3(K  10)  8Ka b3 Ka s4 s3 s2 s1 s0 c b Ka 0 3 3 1 8 17 (K 10) Ka Design Example: Tracked Vehicle Turning Control
  • 184.
    Ka s4 s3 s2 s1 s0 c 17 (K 10) Ka b Ka 0 3 3 1 8 Design Example:Tracked Vehicle Turning Control where b3 126  K 8 and c3 b3(K  10)  8Ka b3 Therefore, K  126 Ka  0 (K  10)(126  K)  64Ka  0
  • 185.
    The Root LocusMethod In the preceding chapters we discussed how the performance of a feedback system can be described in terms of the location of the roots of the characteristic equation in the s-plane. We know that the response of a closed-loop feedback system can be adjusted to achieve the desired performance by judicious selection of one or more system parameters. It is very useful to determine how the roots of the characteristic equation move around the s-plane as we change one parameter. The locus of roots in the s-plane can be determined by a graphical method. A graph of the locus of roots as one system parameter varies is known as a root locus plot. The root locus is a powerful tool for designing and analyzing feedback control systems and is the main topic of this chapter. We will discuss practical techniques for obtaining a sketch of a root locus plot by hand. We also consider computer-generated root locus plots and illustrate their effectiveness in the design process. The popular PID controller is introduced as a practical controller structure. We will show that it is possible to use root locus methods for design when two or three parameters vary. This provides us with the opportunity to design feedback systems with two or three adjustable parameters. For example the PID controller has three adjustable parameters. We will also define a measure of sensitivity of a specified root to a small incremental change in a system parameter.
  • 186.
  • 187.
    The root locusis a graphical procedure for determining the poles of a closed-loop system given the poles and zeros of a forward-loop system. Graphically, the locus is the set of paths in the complex plane traced by the closed-loop poles as the root locus gain is varied from zero to infinity. In mathematical terms, given a forward-loop transfer function, KG(s) where K is the root locus gain, and the corresponding closed-loop transfer function the root locus is the set of paths traced by the roots of as K varies from zero to infinity. As K changes, the solution to this equation changes. This equation is called the characteristic equation. This equation defines where the poles will be located for any value of the root locus gain, K. In other words, it defines the characteristics of the system behavior for various values of controller gain. The Root Locus Method
  • 188.
  • 189.
  • 190.
  • 191.
  • 192.
    No matter whatwe pick K to be, the closed-loop system must always have n poles, where n is the number of poles of G(s). The root locus must have n branches, each branch starts at a pole of G(s) and goes to a zero of G(s). If G(s) has more poles than zeros (as is often the case), m < n and we say that G(s) has zeros at infinity. In this case, the limit of G(s) as s -> infinity is zero. The number of zeros at infinity is n-m, the number of poles minus the number of zeros, and is the number of branches of the root locus that go to infinity (asymptotes). Since the root locus is actually the locations of all possible closed loop poles, from the root locus we can select a gain such that our closed-loop system will perform the way we want. If any of the selected poles are on the right half plane, the closed-loop system will be unstable. The poles that are closest to the imaginary axis have the greatest influence on the closed-loop response, so even though the system has three or four poles, it may still act like a second or even first order system depending on the location(s) of the dominant pole(s). The Root Locus Method
  • 193.
  • 194.
    MATLAB Example -Plotting the root locus of a transfer function Consider an open loop system which has a transfer function of G(s) = (s+7)/s(s+5)(s+15)(s+20) How do we design a feedback controller for the system by using the root locus method? Enter the transfer function, and the command to plot the root locus: num=[1 7]; den=conv(conv([1 0],[1 5]),conv([1 15], [1 20])); rlocus(num,den) axis([-22 3 -15 15]) Example
  • 195.
  • 196.
  • 197.
    Root Locus DesignGUI (rltool) The Root Locus Design GUI is an interactive graphical tool to design compensators using the root locus method. This GUI plots the locus of the closed-loop poles as a function of the compensator gains. You can use this GUI t o add compensator poles and zeros and analyze how their location affects the root lo cus and various time and frequency domain r esponses. Click on the various controls on the GUI to see what they do.
  • 198.
  • 199.
    Frequency Response Methods andStability In previous chapters we examined the use of test signals such as a step and a ramp signal. In this chapter we consider the steady-state response of a system to a sinusoidal input test signal. We will see that the response of a linear constant coefficient system to a sinusoidal input signal is an output sinusoidal signal at the same frequency as the input. However, the magnitude and phase of the output signal differ from those of the input sinusoidal signal, and the amount of difference is a function of the input frequency. Thus we will be investigating the steady-state response of the system to a sinusoidal input as the frequency varies. We will examine the transfer function G(s) when s =jw and develop methods for graphically displaying the complex number G(j)as w varies. The Bode plot is one of the most powerful graphical tools for analyzing and designing control systems, and we will cover that subject in this chapter. We will also consider polar plots and log magnitude and phase diagrams. We will develop several time-domain performance measures in terms of the frequency response of the system as well as introduce the concept of system bandwidth.
  • 200.
    Introduction The frequency responseof a system is defined as the steady-state response of the system to a sinusoidal input signal. The sinusoid is a unique input signal, and the resulting output signal for a linear system, as well as signals throughout the system, is sinusoidal in the steady-state; it differs form the input waveform only in amplitude and phase.
  • 201.
  • 202.
    Frequency Response Plots PolarPlots  0   1000 999 1000 j  1 R  1 C  0.01 1  1 R C G  1  1   j    1 Negative  1 0.5 0 0 0.5 Im(G() ) 0.5 Re(G() )    0    1 Positive
  • 203.
    Frequency Response Plots PolarPlots 20 0 Im(G1()) 500 0  997.5061000 60  7  410 40 Re(G1() )  4  210  49.875   0 .1 1000   0.5 K  100 G1  K     j j  1 
  • 204.
  • 205.
    Frequency Response Plots BodePlots – Real Poles
  • 206.
    Frequency Response Plots BodePlots – Real Poles   0.1  0.11  1000   j  1 R  1 C  0.01   RC 1 1   1  100 G  1 j   1 0.1 1 100  1 10 3 30 10  (break frequency or corner frequency) 0 -3dB 10 20log G()  20 (break frequency or corner frequency)
  • 207.
    Frequency Response Plots BodePlots – Real Poles 1.5 0.1 1 100 1 103   atan 0 0.5 () 1 10  (break frequency or corner frequency)
  • 208.
    Frequency Response Plots BodePlots – Real Poles (Graphical Construction)
  • 209.
    Frequency Response Plots BodePlots – Real Poles
  • 210.
    Frequency Response Plots BodePlots – Real Poles
  • 211.
    si  j i i end 10ir range variable: i  0  N range for plot:  start  1  end  N r  log  step size: start  .01 N  50 end  100 lowest frequency (in Hz): number of p oints: highest frequency (in Hz): Next , choose a frequency rangefor the plots (use powers of 10 for convenient plotting): G(s)  K  3  s(1  s)  1  s  K  2 Assume  psG    180 argGj  360ifargG j  0  1  0 Magnit ude: dbG    20log Gj  Phase shift: Frequency Response Plots Bode Plots – Real Poles
  • 212.
    range for plot:i  0  N range variable: i  end10ir si  j i 0.01 0.1 10 100 200 100 0 100 1  i 20log Gsi  0 0.01 0.1 10 100 psG  i  180 1  i Frequency Response Plots Bode Plots – Real Poles
  • 213.
    Frequency Response Plots BodePlots – Complex Poles
  • 214.
    Frequency Response Plots BodePlots – Complex Poles
  • 215.
    Frequency Response Plots BodePlots – Complex Poles 2 r n 1  2   0.707 Mp  Gr 1   2  2  1      0.70
  • 216.
    Frequency Response Plots BodePlots – Complex Poles 2 r n 1  2   0.707 Mp Gr 1  2   21      0.707
  • 217.
    Frequency Response Plots BodePlots – Complex Poles
  • 218.
    Frequency Response Plots BodePlots – Complex Poles
  • 219.
    Performance Specification Inthe Frequency Domain
  • 220.
      .1.11 2 K  2 j  1 G  K j j  1 j  2   G      B o d e 1   20log 2 0 0 0 .5 1 .5 2 B o d e 1 (  ) 0 2 0 1  O p e n L o o p B o d e D i a g r a m T    G  1  G Bode2    20log T   0 .5 1 1 .5 2 2 0 1 0 1 0 0 B o d e 2 (  )  C l o s e d - L o o p B o d e D i a g r a m Performance Specification In the Frequency Domain
  • 221.
    Performance Specification Inthe Frequency Domain w  4 Finding the Resonance Frequency Given 20log T( w)  wr  Find( w) 5.282 wr  0.813 Mpw  1 Given 20log(Mpw) 5.282 Mpw  Find(Mpw) Finding Maximum value of the frequency resp Mpw  1.837 0.5 1 1.5 2 20 10 0 Bode2() 10  Closed-Loop Bode Diagram
  • 222.
    Performance Specification Inthe Frequency Domain Assume that the system has dominant second-order roo   .1 Given Mpw    2  2   1     1   Find wn  .1   0.284 Given wr wn1  2 2 wn  wn  0.888 0.5 1 1.5 2 20 Finding the natural frequency Finding the damping factor 10 10 0 Bode2( )  Closed-Loop Bode Diagram
  • 223.
    Performance Specification Inthe Frequency Domain
  • 224.
    Performance Specification In theFrequency Domain GH1 5 6   j0.5 j  1 j   1
  • 225.
    Performance Specification Inthe Frequency Domain Example
  • 226.
    Performance Specification Inthe Frequency Domain Example
  • 227.
    Performance Specification Inthe Frequency Domain Example
  • 228.
    Performance Specification Inthe Frequency Domain Example
  • 229.
  • 230.
  • 231.
  • 232.
  • 233.
  • 234.
  • 235.
  • 236.
    Bode Plots Bode plotis the representation of the magnitude and phase of G(j*w) (where the frequency vector w contains only positive frequencies). To see the Bode plot of a transfer function, you can use the MATLAB bode command. For example, bode(50,[1 9 30 40]) displays the Bode plots for the transfer function: 50 / (s^3 + 9 s^2 + 30 s + 40)
  • 237.
    Gain and PhaseMargin Let's say that we have the following system: where K is a variable (constant) gain and G(s) is the plant under consideration. The gain margin is defined as the change in open loop gain required to make the system unstable. Systems with greater gain margins can withstand greater changes in system parameters before becoming unstable in closed loop. Keep in mind that unity gain in magnitude is equal to a gain of zero in dB. The phase margin is defined as the change in open loop phase shift required to make a closed loop system unstable. The phase margin is the difference in phase between the phase curve and -180 deg at the point corresponding to the frequency that gives us a gain of 0dB (the gain cross over frequency, Wgc). Likewise, the gain margin is the difference between the magnitude curve and 0dB at the point corresponding to the frequency that gives us a phase of -180 deg (the phase cross over frequency, Wpc).
  • 238.
    Gain and PhaseMargin -180
  • 239.
    We can findthe gain and phase margins for a system directly, by using MATLAB. Just enter the margin command. e This command returns the gain and phase margins, the gain and phase cross over frequencies, and a graphical representation of thes on the Bode plot. margin(50,[1 9 30 40]) Gain and Phase Margin
  • 240.
    si  j i i end 10ir range variable: i  0  N range for plot:  start  1  end  N r  log  step size: start  .01 N  50 end  100 lowest frequency (in Hz): number of p oints: highest frequency (in Hz): Next , choose a frequency rangefor the plots (use powers of 10 for convenient plotting): G(s)  K  3  s(1  s)  1  s  K  2 Assume  Phase shift: psG    180 argGj  360ifargG j  0  1  0 dbG    20log Gj  Magnit ude: Gain and Phase Margin
  • 241.
    gm  6.021 gm dbG  gm Now using the p hase angle plot, estimate the frequency at which the phase shift crosses 180 degr g m  1.8 Solve for  at the phase shift point of 180 degrees:  g m  rootpsG  gm  180  gm g m  1.732 Calculate thegain margin: degrees pm  18.265 c  1.193 Guess forcrossover frequency: Solve for the gain crossover frequency:  c  rootdbG  c  c Calculate thephase margin: p m  psG  c  180 Gain Margin c  1 Gain and Phase Margin
  • 242.
    The Nyquist StabilityCriterion The Nyquist plot allows us also to predict the stability and performance of a closed-loop system by observing its open-loop behavior. The Nyquist criterion can be used for design purposes regardless of open- loop stability (Bode design methods assume that the system is stable in open loop). Therefore, we use this criterion to determine closed-loop stability when the Bode plots display confusing information. The Nyquist diagram is basically a plot of G(j* w) where G(s) is the open-loop transfer function and w is a vector of frequencies which encloses the entire right-half plane. In drawing the Nyquist diagram, both positive and negative frequencies (from zero to infinity) are taken into account. In the illustration below we represent positive frequencies in red and negative frequencies in green. The frequency vector used in plotting the Nyquist diagram usually looks like this (if you can imagine the plot stretching out to infinity): However, if we have open-loop poles or zeros on the jw axis, G(s) will not be defined at those points, and we must loop around them when we are plotting the contour. Such a contour would look as follows:
  • 243.
    The Cauchy criterion TheCauchy criterion (from complex analysis) states that when taking a closed contour in the complex plane, and mapping it through a complex function G(s), the number of times that the plot of G(s) encircles the origin is equal to the number of zeros of G(s) enclosed by the frequency contour minus the number of poles of G(s) enclosed by the frequency contour. Encirclements of the origin are counted as positive if they are in the same direction as the original closed contour or negative if they are in the opposite direction. When studying feedback controls, we are not as interested in G(s) as in the closed-loop transfer function: G(s) 1 + G(s) If 1+ G(s) encircles the origin, then G(s) will enclose the point -1. Since we are interested in the closed-loop stability, we want to know if there are any closed-loop poles (zeros of 1 + G(s)) in the right-half plane. Therefore, the behavior of the Nyquist diagram around the -1 point in the real axis is very important; however, the axis on the standard nyquist diagram might make it hard to see what's happening around this point
  • 244.
    Gain and PhaseMargin Gain Margin is defined as the change in open-loop gain expressed in decibels (dB), required at 180 degrees of phase shift to make the system unstable. First of all, let's say that we have a system that is stable if there are no Nyquist encirclements of -1, such as : 50 s^3 + 9 s^2 + 30 s + 40 Looking at the roots, we find that we have no open loop poles in the right half plane and therefore no closed-loop poles in the right half plane if there are no Nyquist encirclements of -1. Now, how much can we vary the gain before this system becomes unstable in closed loop? The open-loop system represented by this plot will become unstable in closed loop if the gain is increased past a certain boundary.
  • 245.
    and that theNyquist diagram can be viewed by typing: nyquist (50, [1 9 30 40 ]) The Nyquist Stability Criterion
  • 246.
    Phase margin asthe change in open-loop phase shift required at unity gain to make a closed-loop system unstable. From our previous example we know that this particular system will be unstable in closed loop if the Nyquist diagram encircles the -1 point. However, we must also realize that if the diagram is shifted by theta degrees, it will then touch the -1 point at the negative real axis, making the system marginally stable in closed loop. Therefore, the angle required to make this system marginally stable in closed loop is called the phase margin (measured in degrees). In order to find the point we measure this angle from, we draw a circle with radius of 1, find the point in the Nyquist diagram with a magnitude of 1 (gain of zero dB), and measure the phase shift needed for this point to be at an angle of 180 deg. Gain and Phase Margin
  • 247.
    w  10099.9 100 j  1 s( w)  j w f( w)  1 G( w)  504 .6 s( w) 3  9s( w) 2  30s( w)  40 5 2 1 0 1 3 4 5 6 5 0 2 Re(G(w)) Im(G(w)) 0 The Nyquist Stability Criterion
  • 248.
    Consider the NegativeFeedback System Remember from the Cauchy criterion that the number N of times that the plot of G(s)H(s) encircles -1 is equal to the number Z of zeros of 1 + G(s)H(s) enclosed by the frequency contour minus the number P of poles of 1 + G(s)H(s) enclosed by the frequency contour (N = Z - P). Keeping careful track of open- and closed-loop transfer functions, as well as numerators and denominators, you should convince yourself that:  the zeros of 1 + G(s)H(s) are the poles of the closed-loop transfer function the poles of 1 + G(s)H(s) are the poles of the open-loop transfer function. The Nyquist criterion then states that:  P = the number of open-loop (unstable) poles of G(s)H(s)  N = the number of times the Nyquist diagram encircles -1  clockwise encirclements of -1 count as positive encirclements  counter-clockwise (or anti-clockwise) encirclements of -1 count as negative encirclements Z = the number of right half-plane (positive, real) poles of the closed-loop system The important equation which relates these three quantities is: Z = P + N
  • 249.
    Knowing the numberof right-half plane (unstable) poles in open loop (P), and the number of encirclements of -1 made by the Nyquist diagram (N), we can determine the closed-loop stability of the system. If Z = P + N is a positive, nonzero number, the closed-loop system is unstable. We can also use the Nyquist diagram to find the range of gains for a closed-loop unity feedback system to be stable. The system we will test looks like this: where G(s) is : s^2 + 10 s + 24 s^2 - 8 s + 15 The Nyquist Stability Criterion - Application
  • 250.
    This system hasa gain K which can be varied in order to modify the response of the closed-loop system. However, we will see that we can only vary this gain within certain limits, since we have to make sure that our closed-loop system will be stable. This is what we will be looking for: the range of gains that will make this system stable in the closed loop. The first thing we need to do is find the number of positive real poles in our open-loop transfer function: roots([1 -8 15]) ans = 5 3 The poles of the open-loop transfer function are both positive. Therefore, we need two anti- clockwise (N = -2) encirclements of the Nyquist diagram in order to have a stable closed-loop system (Z = P + N). If the number of encirclements is less than two or the encirclements are not anti-clockwise, our system will be unstable. Let's look at our Nyquist diagram for a gain of 1: nyquist([ 1 10 24], [ 1 -8 15]) There are two anti-clockwise encirclements of -1. Therefore, the system is stable for a gain of 1. The Nyquist Stability Criterion
  • 251.
    MathCAD Implementation w 100 99.9 100 j  1 s( w)  j w G( w)  s( w) 2  10s( w)  24 2 s( w)  8s( w)  15 2 1 0 Re(G(w)) 1 2 2 0 2 Im(G(w)) 0 The Nyquist Stability Criterion There are two anti- clockwise encirclements of - 1. Therefore, the system is stable for a gain of 1.
  • 252.
  • 253.
    Time-Domain Performance CriteriaSpecified In The Frequency Domain Open and closed-loop frequency resp onses are relat ed by : T j G j 1  G j Mpw 1 2  1   2   0.707 G u  jv M M M    G j 1  G j u  jv 1  u  jv u2  v2 (1  u)2  v2 Squaring and rearrenging which is the equation of a circle on u-v planwe with a M 2 1  M2    u      2  v2 M 2 1  M       2 u M cent er at 2 1  M2 v 0
  • 254.
    Time-Domain Performance CriteriaSpecified In The Frequency Domain
  • 255.
    The Nichols StabilityMethod Polar S tability Plot - Nichol sMathcad Implementati on This examp le makes a polar plot of a transfer function and draws one contour of const ant closed-loop magnitude. To draw the plot, enter a definition for the transfer funGct(ios)n: G(s)  45000 s(s  2) (s  30) The frequency range defined by the next two equations provides a logarithmic frequency scal running from 1 to 100. You can change this range by editing the definitionsmfoarnd m : m  0  100  m  10 .02m Now enter a value forM to define the closed-loop magnitude contour t hat will be plotted. M  1.1 Calculate the points on the M-circle: 2 M2 M 2     exp 2 j .01m      M  1 M  1 M Cm    The first plot showGs , the contour of constant closed-loop magnit udMe,
  • 256.
    The Nichols StabilityMethod The first plot showGs , the contour of constant closed-loop magnit udMe, , and the Nyquist of the open loop system ImGjm ImMCm 0 ReGjm  ReMCm   1
  • 257.
  • 258.
    The Nichols StabilityMethod 1  j  j  1 0.2j  1 G  Mp w  2.5 dB r  0.8 The closed-loop phase angle at r is equal to -72 degrees andb = 1.33 The closed-loop phase angle atb is equal t -142 degrees Mpw -72 deg wr=0.8 -3dB -142 deg
  • 259.
    The Nichols StabilityMethod G  0.64 j  j2  j  1 Phase Margin = 30 degrees On the basis of the p hase we estimate  0.30 Mpw  9 dB Mpw  2.8 r  0.88 From equation Mpw 1 2   1   2 We are confront ed with comflectings The app arent conflict is caused by the nature of G(j) which slopes rap idally toward 180 degrees   0.18 line from the 0-dB axis. The designer must use the frequency-domain-t ime-domain correlation with caution PM GM
  • 260.
  • 261.
    Examples – Bodeand Nyquist
  • 262.
  • 263.
  • 264.
    Examples – Bodeand Nyquist
  • 265.
  • 266.
  • 267.
    The Design ofFeedback Control Systems PID Compensation Networks
  • 268.
    Different Types ofFeedback Control On-Off Control This is the simplest form of control.
  • 269.
    Proportional Control A proportionalcontroller attempts to perform better than the On-off type by applying power in proportion to the difference in temperature between the measured and the set-point. As the gain is increased the system responds faster to changes in set-point but becomes progressively underdamped and eventually unstable. The final temperature lies below the set-point for this system because some difference is required to keep the heater supplying power.
  • 270.
    Proportional, Derivative Control Thestability and overshoot problems that arise when a proportional controller is used at high gain can be mitigated by adding a term proportional to the time-derivative of the error signal. The value of the damping can be adjusted to achieve a critically damped response.
  • 271.
    Proportional+Integral+Derivative Control Although PDcontrol deals neatly with the overshoot and ringing problems associated with proportional control it does not cure the problem with the steady-state error. Fortunately it is possible to eliminate this while using relatively low gain by adding an integral term to the control function which becomes
  • 272.
    The Characteristics ofP, I, and D controllers A proportional controller (Kp) will have the effect of reducing the rise time and will reduce, but never eliminate, the steady-state error. An integral control (Ki) will have the effect of eliminating the steady-state error, but it may make the transient response worse. A derivative control (Kd) will have the effect of increasing the stability of the system, reducing the overshoot, and improving the transient response.
  • 273.
    Proportional Control By onlyemploying proportional control, a steady state error occurs. Proportional and Integral Control The response becomes more oscillatory and needs longer to settle, the error disappears. Proportional, Integral and Derivative Control All design specifications can be reached.
  • 274.
    CL RESPONSE RISETIME OVERSHOOT SETTLING TIME S-S ERROR Kp Decrease Increase Small Change Decrease Ki Decrease Increase Increase Eliminate Kd Small Change Decrease Decrease Small Change The Characteristics of P, I, and D controllers
  • 275.
    Tips for Designinga PID Controller 1. Obtain an open-loop response and determine what needs to be improved 2. Add a proportional control to improve the rise time 3. Add a derivative control to improve the overshoot 4. Add an integral control to eliminate the steady-state error 5. Adjust each of Kp, Ki, and Kd until you obtain a desired overall response. Lastly, please keep in mind that you do not need to implement all three controllers (proportional, derivative, and integral) into a single system, if not necessary. For example, if a PI controller gives a good enough response (like the above example), then you don't need to implement derivative controller to the system. Keep the controller as simple as possible.
  • 276.
    num=1; den=[1 10 20]; step (num,den) Open-Loop Control- Example G(s) 1 s 2  10s  20
  • 277.
    Proportional Control -Example The proportional controller (Kp) reduces the rise time, increases the overshoot, and reduces the steady-state error. MATLAB Example Kp=300; num=[Kp]; den=[1 10 20+Kp]; t=0:0.01:2; step(num,den,t) Amplitud e Step Response From: U(1) 0 0.2 0.4 0.6 0.8 1 Time (sec.) 1.2 1.4 1.6 1.8 2 0 0.2 0.4 0.6 0.8 1 1.2 1.4 To: Y(1) T(s) Kp s 2  10s  (20  Kp) Amplitude 0 0.2 0.4 0.6 0.8 1 1.2 Time (sec.) 1.4 1.6 1.8 2 0 0.1 0.2 0.3 0.4 0.5 0.6 0.7 0.8 0.9 1 Step Response From: U(1) To: Y(1) K=300 K=100
  • 278.
    Amplitud e Step Response From: U(1) 00.2 0.4 0.6 0.8 1 Time (sec.) 1.2 1.4 1.6 1.8 2 0 0.2 0.4 0.6 0.8 1 1.2 1.4 To: Y(1) Kp=300; Kd=10; num=[Kd Kp]; den=[1 10+Kd 20+Kp]; t=0:0.01:2; step(num,den,t) Proportional - Derivative - Example The derivative controller (Kd) reduces both the overshoot and the settling time. MATLAB Example T(s) Kds  Kp s 2  (10  Kd)s  (20  Kp) Amplitud e 0 0.2 0.4 0.6 0.8 1 1.2 Time (sec.) 1.4 1.6 1.8 2 0 0.1 0.2 0.3 0.4 0.5 0.6 0.7 0.8 0.9 1 Step Response From: U(1) To: Y(1) Kd=10 Kd=20
  • 279.
    Proportional - Integral- Example The integral controller (Ki) decreases the rise time, increases both the overshoot and the settling time, and eliminates the steady-state error MATLAB Example Amplitud e Step Response From: U(1) 0 0.2 0.4 0.6 0.8 1 Time (sec.) 1.2 1.4 1.6 1.8 2 0 0.4 0.6 0.8 1 1.2 1.4 To: Y(1) Kp=30; Ki=70; num=[Kp Ki]; den=[1 10 20+Kp Ki]; 0.2 t=0:0.01:2; step(num,den,t) T(s) Kps  Ki s3  10s2  (20  Kp)s  Ki Amplitud e 0.2 0.4 0.6 0.8 1 1.2 Time (sec.) 1.4 1.6 1.8 2 0 0 0.2 0.4 0.6 0.8 1 1.2 1.4 Step Response From: U(1) To: Y(1) Ki=70 Ki=100
  • 280.
  • 281.
  • 282.
  • 283.
  • 284.
  • 285.
    Consider the followingconfiguration: Example - Practice
  • 286.
    The design asystem for the following specifications: · · · · Zero steady state error Settling time within 5 seconds Rise time within 2 seconds Only some overshoot permitted Example - Practice
  • 287.
    Lead or Phase-LeadCompensator Using Root Locus A first-order lead compensator can be designed using the root locus. A lead compensator in root locus form is given by A phase-lead compensator tends to shift the root locus toward the left half plane. This results in an improvement in the system's stability and an increase in the response speed. When a lead compensator is added to a system, the value of this intersection will be a larger negative number than it was before. The net number of zeros and poles will be the same (one zero and one pole are added), but the added pole is a larger negative number than the added zero. Thus, the result of a lead compensator is that the asymptotes' intersection is moved further into the left half plane, and the entire root locus will be shifted to the left. This can increase the region of stability as well as the response speed. Gc(s) where the magnitude of z is less than the magnitude of p. (s  z) (s  p)
  • 288.
    In Matlab aphase lead compensator in root locus form is implemented by using the transfer function in the form numlead=kc*[1 z]; denlead=[1 p]; and using the conv() function to implement it with the numerator and denominator of the plant newnum=conv(num,numlead); newden=conv(den,denlead); Lead or Phase-Lead Compensator Using Root Locus
  • 289.
    Lead or Phase-LeadCompensator Using Frequency Response A first-order phase-lead compensator can be designed using the frequency response. A lead compensator in frequency response form is given by In frequency response design, the phase-lead compensator adds positive phase to the system over the frequency range. A bode plot of a phase-lead compensator looks like the following Gc(s) 1  s 1  s p 1  z 1   m zp sinm   1   1
  • 290.
    Lead or Phase-LeadCompensator Using Frequency Response Additional positive phase increases the phase margin and thus increases the stability of the system. This type of compensator is designed by determining alfa from the amount of phase needed to satisfy the phase margin requirements, and determining tal to place the added phase at the new gain-crossover frequency. Another effect of the lead compensator can be seen in the magnitude plot. The lead compensator increases the gain of the system at high frequencies (the amount of this gain is equal to alfa. This can increase the crossover frequency, which will help to decrease the rise time and settling time of the system.
  • 291.
    In Matlab, aphase lead compensator in frequency response form is implemented by using the transfer function in the form numlead=[aT 1]; denlead=[T 1]; and using the conv() function to multiply it by the numerator and denominator of the plant newnum=conv(num,numlead); newden=conv(den,denlead); Lead or Phase-Lead Compensator Using Frequency Response
  • 292.
    Lag or Phase-LagCompensator Using Root Locus A first-order lag compensator can be designed using the root locus. A lag compensator in root locus form is given by When a lag compensator is added to a system, the value of this intersection will be a smaller negative number than it was before. The net number of zeros and poles will be the same (one zero and one pole are added), but the added pole is a smaller negative number than the added zero. Thus, the result of a lag compensator is that the asymptotes' intersection is moved closer to the right half plane, and the entire root locus will be shifted to the right. Gc(s) (s  p) where the magnitude of z is greater than the magnitude of p. A phase-lag compensator tends to shift the root locus to the right, which is undesirable. For this reason, the pole and zero of a lag compensator must be placed close together (usually near the origin) so they do not appreciably change the transient response or stability characteristics of the system. (s  z)
  • 293.
    It was previouslystated that that lag controller should only minimally change the transient response because of its negative effect. If the phase-lag compensator is not supposed to change the transient response noticeably, what is it good for? The answer is that a phase-lag compensator can improve the system's steady-state response. It works in the following manner. At high frequencies, the lag controller will have unity gain. At low frequencies, the gain will be z0/p0 which is greater than 1. This factor z/p will multiply the position, velocity, or acceleration constant (Kp, Kv, or Ka), and the steady-state error will thus decrease by the factor z0/p0. In Matlab, a phase lead compensator in root locus form is implemented by using the transfer function in the form numlag=[1 z]; denlag=[1 p]; and using the conv() function to implement it with the numerator and denominator of the plant newnum=conv(num,numlag); newden=conv(den,denlag); Lag or Phase-Lag Compensator Using Root Locus
  • 294.
    Lag or Phase-LagCompensator using Frequency Response A first-order phase-lag compensator can be designed using the frequency response. A lag compensator in frequency response form is given by The phase-lag compensator looks similar to a phase-lead compensator, except that a is now less than 1. The main difference is that the lag compensator adds negative phase to the system over the specified frequency range, while a lead compensator adds positive phase over the specified frequency. A bode plot of a phase-lag compensator looks like the following Gc(s) 1  s 1  s
  • 295.
    In Matlab, aphase-lag compensator in frequency response form is implemented by using the transfer function in the form numlead=[a*T 1]; denlead=a*[T 1]; and using the conv() function to implement it with the numerator and denominator of the plant newnum=conv(num,numlead); newden=conv(den,denlead); Lag or Phase-Lag Compensator using Frequency Response
  • 296.
    Lead-lag Compensator usingeither Root Locus or Frequency Response A lead-lag compensator combines the effects of a lead compensator with those of a lag compensator. The result is a system with improved transient response, stability and steady-state error. To implement a lead-lag compensator, first design the lead compensator to achieve the desired transient response and stability, and then add on a lag compensator to improve the steady-state response
  • 297.
    Exercise - DominantPole-Zero Approximations and Compensations The influence of a particular pole (or pair of complex poles) on the response is mainly determin by two factors: the real part of the pole and the relative magnitude of the residue at the pole. T real part determines the rate at which the transient term due to the pole decays; the larger the r part, the faster the decay. The relative magnitude of the residue determines the percentage of total response due to a particular pole. Investigate (using Simulink) the impact of a closed-loop negative real pole on the overshoot of system having complex poles. T(s) pr n 2 (s  pr)s 2  2ns  n 2 Make pr to vary (2, 3, 5) times the real part of the complex pole for different value(0s.3o,f 0.5, 0.7). Investigate (using Simulink) the impact of a closed-loop negative real zero on the overshoot of system having complex poles. T(s) (s  zr) s 2  2ns  n 2 Make zr to vary (2, 3, 5) times the real part of the complex pole for different valu e(0s.o3f, 0.5, 0.7).
  • 298.
    Exercise - Leadand Lag Compensation Investigate (using Matlab and Simulink) the effect of lead and lag compensations on the systems indicated below. Summarize your observations. Plot the root-locus, bode diagra and output for a step input before and after the compensations. Remember lead compensation: z<p (place zero below the desired root location or to the left of the fi real poles) lag compensation: z>p (locate the pole and zero near the origin of the s-plane) Lead Compensation (use z=1.33, p=20 and K =15).
  • 299.
    Lag Compensation (usez=0.09 , and p=0.015, K=1/6 ) Summarize your findings
  • 300.
    Problem 10.36 Determine acompensator so that the percent overshoot is less than 20% and Kv (velocity constant) is greater than 8.
  • 303.
    Poles and Zerosand Transfer Functions Transfer Function: A transfer function is defined as the ratio of the Laplace transform of the output to the input with all initial conditions equal to zero. Transfer functions are defined only for linear time invariant systems. Considerations: Transfer functions can usually be expressed as the ratio of two polynomials in the complex variable, s. Factorization: A transfer function can be factored into the following form. G(s)  K (s  z1 )(s  z2 )...(s  zm ) (s  p )(s  p ) ... (s  p ) 1 2 n The roots of the numerator polynomial are called zeros. The roots of the denominator polynomial are called poles. wlg
  • 304.
    Poles, Zeros andthe S-Plane An Example: You are given the following transfer function. Show the poles and zeros in the s-plane. G(s)  (s  8)(s  14) s(s  4)(s  10) S - plane x x o x o 0 -4 -8 -10 -14 origin  axis j  axis wlg
  • 305.
    Poles, Zeros andBode Plots Characterization: Considering the transfer function of the previous slide. We note that we have 4 different types of terms in the previous general form: These are: , (s / z  1) s (s / p  1) 1 K , 1 , B Expressing in dB: Given the tranfer function: G( jw)  KB ( jw / z 1) ( jw)( jw / p 1) 20log | G( jw | 20log K  20log | ( jw/ z 1) | 20log | jw | 20log | jw/ p 1| B wlg
  • 306.
    Poles, Zeros andBode Plots Mechanics: We have 4 distinct terms to consider: 20logKB 20log|(jw/z +1)| -20log|jw| -20log|(jw/p + 1)| wlg
  • 307.
     dB Mag Phase (deg) 1 11 1 1 1 wlg This is a sheet of 5 cycle, semi-log paper. This is the type of paper usually used for preparing Bode plots.
  • 308.
    Poles, Zeros andBode Plots Mechanics: The gain term, 20logKB, is just so many dB and this is a straight line on Bode paper, independent of omega (radian frequency). The term, - 20log|jw| = - 20logw, when plotted on semi-log paper is a straight line sloping at -20dB/decade. It has a magnitude of 0 at w = 1. 20 0 -20 = 1 -20db/dec wlg
  • 309.
    Poles, Zeros andBode Plots Mechanics: The term, - 20log|(jw/p + 1), is drawn with the following approximation: If w < p we use the approximation that –20log|(jw/p + 1 )| = 0 dB, a flat line on the Bode. If w > p we use the approximation of –20log(w/p), which slopes at -20dB/dec starting at w = p. Illustrated below. It is easy to show that the plot has an error of -3dB at w = p and – 1 dB at w = p/2 and w = 2p. One can easily make these corrections if it is appropriate. 2 0 0 -20 -40  = p -20db/dec wlg
  • 310.
    Poles, Zeros andBode Plots 0 -20 -40 20  = z +20db/dec Mechanics: When we have a term of 20log|(jw/z + 1)| we approximate it be a straight line of slop 0 dB/dec when w < z. We approximate it as 20log(w/z) when w > z, which is a straight line on Bode paper with a slope of + 20dB/dec. Illustrated below. wlg
  • 311.
    Example 1: Given: G( jw) 50, 000( jw 10) ( jw 1)( jw  500) First: Always, always, always get the poles and zeros in a form such that the constants are associated with the jw terms. In the above example we do this by factoring out the 10 in the numerator and the 500 in the denominator. G( jw)  50, 000x10( jw /10 1) 100( jw /10 1)  500( jw 1)( jw / 500 1) ( jw 1)( jw / 500 1) Second: When you have neither poles nor zeros at 0, start the Bode at 20log10K = 20log10100 = 40 dB in this case. wlg
  • 312.
    Example 1: (continued) Third:Observe the order in which the poles and zeros occur. This is the secret of being able to quickly sketch the Bode. In this example we first have a pole occurring at 1 which causes the Bode to break at 1 and slope – 20 dB/dec. Next, we see a zero occurs at 10 and this causes a slope of +20 dB/dec which cancels out the – 20 dB/dec, resulting in a flat line ( 0 db/dec). Finally, we have a pole that occurs at w = 500 which causes the Bode to slope down at – 20 dB/dec. We are now ready to draw the Bode. Before we draw the Bode we should observe the range over which the transfer function has active poles and zeros. This determines the scale we pick for the w (rad/sec) at the bottom of the Bode. The dB scale depends on the magnitude of the plot and experience is the best teacher here. wlg
  • 313.
    1 1 11 1 1 dB Mag Phase (deg)  (rad/sec) 1 1 1 1 1 1  (rad/sec) dB Mag Phase (deg) Bode Plot Magnitude for 100(1 + jw/10)/(1 + jw/1)(1 + jw/500) 0 20 40 -20 60 -60 -60 0.1 1 10 100 1000 10000 wlg
  • 314.
    Using Matlab ForFrequency Response Instruction: We can use Matlab to run the frequency response for the previous example. We place the transfer function in the form: 5000(s 10)  [5000s  50000] (s 1)(s  500) [ s2  501s  500] The Matlab Program num = [5000 50000]; den = [1 501 500]; Bode (num,den) In the following slide, the resulting magnitude and phase plots (exact) are shown in light color (blue). The approximate plot for the magnitude (Bode) is shown in heavy lines (red). We see the 3 dB errors at the corner frequencies. wlg
  • 315.
    101 102 Frequency (rad/sec) Phase (deg); Magnitude (dB) To: Y(1) Bode Diagrams From: U(1) 40 30 20 10 0 -10 10 -1100 103 104 -100 -80 0 -20 -40 -60 1 10 100 500 (1  jw)(1  jw / 500) G( jw)  100(1  jw /10) Bode for: wlg
  • 316.
    Phase for BodePlots Comment: Generally, the phase for a Bode plot is not as easy to draw or approximate as the magnitude. In this course we will use an analytical method for determining the phase if we want to make a sketch of the phase. Illustration: Consider the transfer function of the previous example. We express the angle as follows: G( jw) tan1 (w/10) tan1 (w/1) tan1 (w/ 500) We are essentially taking the angle of each pole and zero. Each of these are expressed as the tan-1(j part/real part) Usually, about 10 to 15 calculations are sufficient to determine a good idea of what is happening to the phase. wlg
  • 317.
    Bode Plots Example 2:Given the transfer function. Plot the Bode magnitude. G(s)  100(1  s /10) s(1  s /100)2 Consider first only the two terms of 100 jw Which, when expressed in dB, are; 20log100 – 20 logw. This is plotted below. 1 0 20 40 -20 The is a tentative line we use until we encounter the first pole(s) or zero(s) not at the origin. -20db/dec wlg dB 
  • 318.
    1 1 11 1 s(1  s /100)2 G(s)  100(1  s /10) dB Mag Phase (deg) 0 40 20 60 -20 -40 -60 1 10  100 1000 0.1 Bode Plots Example 2: (continued) -20db/dec -40 db/dec s(1  s /100)2 1 G(s)  100(1  s /10) wlg The completed plot is shown below.
  • 319.
    1 1 1 1  dBMag Bode Plots Example 3: Given: 80(1  jw)3 G(s)  ( jw)3 (1  jw / 20)2 1 1 1 0.1 10 100 40 20 0 60 -20 . 20log80 = 38 dB -60 dB/dec -40 dB/dec wlg
  • 320.
    1 1 1 dBMag Phase (deg) 0 20 40 60 -20 -40 -60 1 10  100 1000 0.1 Bode Plots -40 dB/dec + 20 dB/dec Given: Sort of a low pass filter Example 4: 2 G( jw)  10(1  jw / 2) (1  j0.025w)(1  jw / 500)2 1 1 1 wlg
  • 321.
    1 1 11 1 1 10  dB Mag Phase (deg) 0 40 20 60 -20 -40 -60 1 100 1000 0.1 Bode Plots (1 jw / 2)2 (1 jw /1700)2 (1  jw / 30)2 (1 jw /100)2 G( jw)  -40 dB/dec + 40 dB/dec Given: Sort of a low pass filter Example 5 wlg
  • 322.
    Bode Plots Given: problem11.15 text ( jw)2 (0.1 jw  1) 64( jw  1)(0.01 jw  1) ( jw)2 ( jw  10) 640( jw  1)(0.01 jw  1) H ( jw)   0.01 0.1 1 10 100 1000 0 20 40 -20 -40 dB mag . . . . . -40dB/dec -20db/dec -40dB/dec -20dB/dec Example 6 wlg
  • 323.
    Bode Plots Design Problem:Design a G(s) that has the following Bode plot. dB mag  0 20 40 0.1 1 10 100 900 1000 30 30 dB +40 dB/dec -40dB/dec ? ? Example 7 wlg
  • 324.
    Bode Plots Procedure: Thetwo break frequencies need to be found. Recall: #dec = log10[w2/w1] Then we have: (#dec)( 40dB/dec) = 30 dB log10[w1/30] = 0.75 w1 = 5.33 rad/sec Also: log10[w2/900] (-40dB/dec) = - 30dB This gives w2 = 5060 rad/sec wlg
  • 325.
    Bode Plots Procedure: (1 s / 5.3)2 (1  s / 5060)2 G(s)  (1  s / 30)2 (1  s / 900)2 Clearing: (s  5.3)2 (s  5060)2 G(s)  (s  30)2 (s  900)2 Use Matlab and conv: N 2 (s2  10120s  2.56xe7 ) N2 = [1 10120 2.56e+7] 7.222e+8 s4 N1(s2  10.6s  28.1) N1 = [1 10.6 28.1] N = conv(N1,N2) 1 1.86e+3 2.58e+7 2.73e+8 s3 s2 s1 s0 wlg
  • 326.
    Bode Plots Procedure: Thefinal G(s) is given by; Testing: We now want to test the filter. We will check it at  = 5.3 rad/sec And  = 164. At  = 5.3 the filter has a gain of 6 dB or about 2. At  = 164 the filter has a gain of 30 dB or about 31.6. We will check this out using MATLAB and particularly, Simulink. (s4  1860s3  9.189e2 s2  5.022e7 s  7.29e8 ) (s4  10130.6s3  2.571e8 s2  2.716e8 s  7.194e8 ) G(s)  wlg
  • 327.
  • 328.
    Filter Output at = 5.3 rad/sec Produced from Matlab Simulink wlg
  • 329.
    Filter Output at = 70 rad/sec Produced from Matlab Simulink wlg
  • 330.
    Reverse Bode Plot Required: Fromthe partial Bode diagram, determine the transfer function (Assume a minimum phase system)  20 db/dec dB 20 db/dec -20 db/dec 30 1 110 850 68 Not to scale wlg Example 8
  • 331.
    Reverse Bode Plot Notto scale w (rad/sec) 50 dB 0.5 100 dB -40 dB/dec -20 dB/dec 40 10 dB 300 -20 dB/dec -40 dB/dec Required: From the partial Bode diagram, determine the transfer function (Assume a minimum phase system) wlg Example 9
  • 332.
  • 333.
    Introduction The polar plotof sinusoidal transfer function G(jω) is a plot of the magnitude of G(jω) verses the phase angle of G(jω) on polar coordinates as ω is varied from zero to infinity. as ω is varied from zero to infinity. Therefore it is the locus of As So it is the plot of vector as ω is varied from zero to infinity G( j) G( j) G( j) G( j)  Me j () Me j ()
  • 334.
    Introduction conti… In thepolar plot the magnitude of G(jω) is plotted as the distance from the origin while phase angle is measured from positive real axis. + angle is taken for anticlockwise direction. Polar plot is also known as Nyquist Plot.
  • 335.
    Steps to drawPolar Plot the real and imaginary parts Step 6: Put Re [G(jω) ]=0, determine the frequency at which plot intersects the Im axis and ) Step 1: Determine the T.F G(s) Step 2: Put s=jω in the G(s) Step 3: At ω=0 & ω=∞ find by & Step 4: At ω=0 & ω=∞ find by Step 5: Rationalize the function G(jω) and sep & Ga r(a t je G( j ) lim G( j) 0 lim G( j)  lim G( j) calculate intersection value by putting the above calculated freque0ncy in G(jω) lim G( j) 
  • 336.
    Steps to drawPolar Plot conti… Step 7: Put Im [G(jω) ]=0, determine the frequency at which plot intersects the real axis and calculate intersection value by putting the above calculated frequency in G(jω) Step 8: Sketch the Polar Plot with the help of above information
  • 337.
    Polar Plot forType 0 System Let Step 1: Put s=jω (1 sT1 )(1 sT2 ) G(s)  K 2 1 2 2 1 2 1 2 T 1 1   tan T  tan  K K Step 2: Taking t(h1elijmTit) (f1or mjaTg)nitude of G(jω) G( j)   1 T  1  T  
  • 338.
    Type 0 systemconti… 2 2 2 1 2 2 1 2 K  1 T  1 j T  Stepli3m: T aGki(njgt)helimit of the Phase Angle of G0(jω)   1 T  1 j T  lim G( j)  K  K 0 2 1 1 1 T  180 T  tan  G( j)    tan  2 1 1 1 T  0 T  tan  G( j)    tan  li m li m  0
  • 339.
    Type 0 systemconti… Step 4: Separate the real and Im part of G(jω) 2 1 2 2 2 4 1 2 2 2 1 2 1 2 2 2 2 4 1 2 2 1  T   T   TT K(T  T )  j 1 2 1  T   T   TT K (1  TT ) Step 5:GPu(tjRe) [G(jω)]=0  G( j)  0 1800   900 T1  T2 T1T2 T1T2 1 2 1 2 2 2 2 4 2 2 1 2  0    1 So When &     G( j)  K 1 &    1 1   T   T   T T K (1   2 T T )   T T
  • 340.
    Type 0 systemconti… Step 6: Put Im [G(jω)]=0 2 1 2 2 2 2 2 4   0  G( j)  K00     G( j)  01800 1 So When K(T1  T2 )  0    0 &   1  T   T   TT
  • 341.
    Type 0 systemconti…
  • 342.
    Polar Plot forType 1 System Let Step 1: Put s=jω s(1  sT1 )(1  sT2 ) G(s)  K 2 1 0 1 T  tan 1 T 2 2 2 1 j(1 jT )(1 jT ) 1 2   90  tan  G( j)   T  1 T  1 j  K K 
  • 343.
    Type 1 systemconti… Step 2: Taking the limit for magnitude of G(jω) 2 2 2 1 2 2 1 2   T  1  j T   1   Ste lp im3: TGak(ijng)the limit of the PKhase Angle of G (0jω)   1  T  1  j T  lim G( j)  K   0 1 2 1 T  tan1 T  2700 G( j)    900 G( j)    900 1 2 1 T  tan1 T  900  tan   tan  li m li m  0
  • 344.
    Type 1 systemconti… Step 4: Separate the real and Im part of G(jω) 1 2 2 2 2 1 2 3 2 1 2 2 1 3 2 2 2 2 1 2    (T  T 2   T T ) j(K 2 T T  K )  j 1 2    (T  T 2   T T )  K (T  T ) Step 5: P u tGR(ej[ G)(j ω ) ] = 0 1 2 2 1 3 2 2 2 2 So at     G( j)  0  2700    (T  T 2   T T )  K (T1  T2 )  0    
  • 345.
    Type 1 systemconti… Step 6: Put Im [G(jω)]=0 G( j)  00 00 T1  T2 T1T2 1 2 1 2 2 1 2  0    1 So When    3 (T 2  T 2   2 T 2 T 2 ) j(K 2 T T  K )  G( j)   K T1T2 1 &    1       T T
  • 346.
    Type 1 systemconti…
  • 347.
    Polar Plot forType 2 System Let Similar to above s 2 (1  sT )(1  sT ) 1 2 G(s)  K
  • 348.
    Type 2 systemconti…
  • 349.
    Note: Introduction ofadditional pole in denominator contributes a constant - 1800 to the angle of G(jω) for all frequencies. See the figure 1, 2 & 3 Figure 1+(-1800 Rotation)=figure 2 Figure 2+(-1800 Rotation)=figure 3
  • 350.
    Ex: Sketch thepolar plot for G(s)=20/s(s+1)(s+2) Solution: Step 1: Put s=jω   900  tan1   tan1  / 2   2  1  2  4 20 20 j( j  1)( j  2) G( j)  
  • 351.
    Step 2: Takingthe limit for magnitude of G(jω)   2  1  2  4   2  1  2  4 0 lim G( j)  20    lim G( j)  20  0  0 lim G( j)    900  tan1   tan1  / 2  2700 Step 3: Taking the limit of the Phase Angle of G(jω) lim G( j)    900  tan1   tan1  / 2  900
  • 352.
    Step 4: Separatethe real and Im part of G(jω) j20(3  2) (4  2 )(4  2 )  602 (4  2 )(4  2 ) G( j)   j  60 2 ( 4   2 )(4   2 ) So at     G( j)  0  2700  0    
  • 353.
    Step 6: PutIm [G(jω)]=0 3 G( j)  000   2  G( j)   10 00 2 &     0     ( 4   2 )(4   2 ) So for positivevalueof  j20( 3  2)    
  • 355.
    Gain Margin, PhaseMargin & Stability
  • 356.
    Phase Crossover Frequency(ωp) : The frequency where a polar plot intersects the –ve real axis is called phase crossover frequency Gain Crossover Frequency (ωg) : The frequency where a polar plot intersects the unit circle is called gain crossover frequency So at ωg G( j)  Unity
  • 357.
    Phase Margin (PM): Phasemargin is that amount of additional phase lag at the gain crossover frequency required to bring the system to the verge of instability (marginally stabile) Φm=1800+Φ Where Φ=∠G(jωg) i f i f Φm>0 => +PM Φm<0 => -PM (Stable System) (Unstable System)
  • 358.
    Gain Margin (GM): whichthe phase angle is -1800. In terms of dB The gain margin is the reciprocal of magnitudeG( j)at the frequency at 1  1 | G( jwc) | x GM  1 10 | G( jwc) | GM in dB  20 log 10 | G( jwc) | 20 log (x) 10  20 log
  • 359.
    Stability Stable: If criticalpoint (-1+j0) is within the plot as shown, Both GM & PM are +ve GM=20log10(1 /x) dB
  • 360.
    Unstable: If criticalpoint (-1+j0) is outside the plot as shown, Both GM & PM are -ve GM=20log10(1 /x) dB
  • 361.
    Marginally Stable System:If critical point (-1+j0) is on the plot as shown, Both GM & PM are ZERO GM=20log10(1 /1)=0 dB
  • 362.
  • 363.
    Inverse Polar Plot Theinverse polar plot of G(jω) is a graph of 1/G(jω) as a function of ω. Ex: if G(jω) =1/jω then 1/G(jω)=jω    0 lim G( j)1   lim G( j)1  0
  • 364.
    Knowledge Before Studying NyquistCriterion 1 G(s)H (s) G(s) T (s)  DG (s) G(s)  NG (s) DH (s) H (s)  NH (s) unstable if there is any pole on RHP (right half plane)
  • 365.
    NG (s)DH (s) G(s) T(s)   1 G(s)H (s) DG (s)DH (s)  NG (s)NH (s) DG (s) DH (s) G(s)H (s)  NG (s) NH (s) DG DH  DG DH  NG NH DG DH 1 G(s)H (s)  1 NG NH poles of G(s)H(s) and 1+G(s)H(s) are the same Closed-loop system: zero of 1+G(s)H(s) is pole of T(s) Characteristic equation: Open-loop system:
  • 366.
    (s  5)(s 6)(s  7)(s  8) G(s)H (s)  (s 1)(s  2)(s  3)(s  4) 1 G(s)H (s) G(s) G(s)H (s) 1 G(s)H (s) Zero – 1,2,3,4 Poles – 5,6,7,8 Zero – a,b,c,d Poles – 5,6,7,8 Zero – ?,?,?,? Poles – a,b,c,d To know stability, we have to know a,b,c,d
  • 367.
    Stability from Nyquistplot From a Nyquist plot, we can tell a number of closed-loop poles on the right half plane. If there is any closed-loop pole on the right half plane, the system goes unstable. If there is no closed-loop pole on the right half plane, the system is stable.
  • 368.
    Nyquist Criterion Nyquist plotis a plot used to verify stability of the system. function (s  p1 )(s  p2 ) (s  z1 )(s  z2 ) F (s)  mapping all points (contour) from one plane to another by function F(s). mapping contour
  • 369.
    (s  p1)(s  p2 ) F (s)  (s  z1 )(s  z2 )
  • 370.
    Pole/zero inside the contourhas 360 deg. angular change. Pole/zero outside contour has 0 deg. angular change. Move clockwise around contour, zero inside yields rotation in clockwise, pole inside yields rotation in counterclockwise
  • 371.
    Characteristic equation N =P-Z N = # of counterclockwise direction about the origin P = # of poles of characteristic equation inside contour = # of poles of open-loop system z = # of zeros of characteristic equation inside contour = # of poles of closed-loop system Z = P-N F(s)  1 G(s)H (s)
  • 372.
    Characteristic equation Increase sizeof the contour to cover the right half plane More convenient to consider the open-loop system (with known pole/zero)
  • 373.
    Nyquist diagram of ‘Open-loopsystem’ Mapping from characteristic equ. to open-loop system by shifting to the left one step Z = P-N Z = # of closed-loop poles inside the right half plane P = # of open-loop poles inside the right half plane N = # of counterclockwise revolutions around -1 G(s)H (s)
  • 375.
    Properties of Nyquistplot If there is a gain, K, in front of open-loop transfer function, the Nyquist plot will expand by a factor of K.
  • 376.
    Nyquist plot example 1 G(s) Closed-loop system hassp2ole at 1 Open loop system has pole at 2 If we multiply the open-loop with a gain, K, then wGe(sc) anmo1ve the closed- loop pole’s 1posGit(iSo)n to(sthe1)left-half plane
  • 377.
    Nyquist plot example(cont.) New look of open-loop system: Corresponding closed-loop system: s  2 G(s)  K  Evaluate value of K fo1rsGt(asb) ilitsy (K  2) G(s) K K  2
  • 378.
    Adjusting an open-loopgain to guarantee stability Step I: sketch a Nyquist Diagram Step II: find a range of K that makes the system stable!
  • 379.
    How to makea Nyquist plot? Easy way by Matlab Nyquist: ‘nyquist’ Bode: ‘bode’
  • 380.
    Step I: makea Nyquist plot Find Starts from an open-loop transfer function (set K=1) Set and find frequency response At dc,s  j 0 s 0 at  w  hich  the  imaginary part equals zero 
  • 381.
    (8  2 )2  62  2 Need the imaginary term = 0,  (15   2 )  8 j  (8   2 )  6 j (8   2 )  6 j (8   2 )  6 j  (15   2 )(8   2 )  48 2  j(154 143 ) (15   2 )  8 j (8   2 )  6 j   2  8 j 15   2  6 j  8 s2 G( j)H ( j)   6s  8 s2  8s 15 (s  2)(s  4) (s  3)(s  5) G(s)H (s)      0, 11 (15 11)(8 11)  48(11)   540  1.31 (8 11)2  62 (11) 412 Substitute And get b ac k in1t1o the transfer function G(s)  1.33
  • 382.
    At dc, s=0, Atimaginary part=0
  • 383.
    Step II: satisfyingstability condition P = 2, N has to be 2 to guarantee stability Marginally stable if the plot intersects -1 For stability, 1.33K has to be greater than 1 K > 1/1.33 or K > 0.75
  • 384.
    Example Evaluate a rangeof K that makes the system stable (s2  2s  2)(s  2) G(s)  K
  • 385.
    4(1  2 ) j(6   2 ) 16(1  2 )2   2 (6   2 )2 K (( j)2  2 j  2)( j  2) G( j)   At   0, 6 the imaginary part = 0 Plug and get G = -0.05 Step I: find frequency at which imaginary part = 0 s  j Set  bac6k in the transfer function
  • 386.
    Step II: considerstability condition P = 0, N has to be 0 to guarantee stability Marginally stable if the plot intersects -1 For stability, 0.05K has to be less than 1 K < 1/0.05 or K < 20
  • 387.
    Gain Margin andPhase Margin Gain margin is the change in open-loop gain (in dB), required at 180 of phase shift to make the closed-loop system unstable. Phase margin is the change in open-loop phase shift, required at unity gain to make the closed-loop system unstable. GM/PM tells how much system can tolerate before going unstable!!!
  • 388.
    GM and PMvia Nyquist plot
  • 389.
    GM and PMvia Bode Plot G M M • The frequency at which the magnitude equals 1 is called the gain crossover frequency  • The frequency at which the phase equals 180 degrees is called the phase crossover frequency M  G gain crossover frequency phase crossover frequency
  • 390.
    Example Find Bode Plotand evaluate a value of K that makes the system stable The system has a unity feedback with an open-loop transfer function (s  2)(s  4)(s  5) G(s)  K First, let’s find Bode Plot of G(s) by assuming that K=40 (the value at which magnitude plot starts from 0 dB)
  • 391.
    At phase =-180, ω = 7 rad/sec, magnitude = -20 dB
  • 392.
    GM>0, system isstable!!! Can increase gain up 20 dB without causing instability (20dB = 10) Start from K = 40 with K < 400, system is stable
  • 393.
    Closed-loop transient andclosed-loop frequency responses ‘2nd system’ 2 R(s) C(s) n n s2  2  2 s    T (s)  n
  • 394.
    Magnitude Plot ofclosed-loop system Damping ratio and closed-loop frequency response 1 2 1  2 p M  p  n1 2 2
  • 395.
     (1 2 2 ) 4 4  4 2  2  (1 2 2 )  4 4  4 2  2 BW s BW  n (1 2 2 )  4 4  4 2  2 4 B W    Tp 1  2 T  B W= frequency at which magnitude is 3dB down from value at dc (0 rad/sec), or . Response speed and closed-loop frequency response 2 1 M 
  • 396.
    Find from Open-loop FrequencyResponse B W Nichols Charts From open-loop frequency response, we can find BW at the open-loop frequency that the magnitude lies between -6dB to -7.5dB (phase between -135 to -225)
  • 397.
    Relationship between damping ratioand phase margin of open-loop frequency response   tan1 2  2 2  1 4 4 M Phase margin of open-loop frequency response Can be written in terms of damping ratio as following
  • 398.
    Open-loop system witha unity feedback has a bode plot below, approximate settling time and peak time B W = 3.7 PM=35
  • 399.
      0.32  22  1 4 4   tan1 2 M Solve for PM = 35  1.43 4 4  4 2  2 (1 2 2 )   1  2  5.5 4 4  4 2  2 (1 2 2 )  4     BW p BW s T  T
  • 400.
  • 401.
    Objectives How to findmathematical model, called a state-space representation, for a linear, time-invariant system How to convert between transfer function and state space models How to find the solution of state equations for homogeneous &non homogeneous systems
  • 402.
    Plant Mathematical Model : Differentialequation Linear, time invariant Frequency Domain Technique Time Domain Technique
  • 403.
    Two approaches foranalysis and design of control system 1. Classical Technique or Frequency Domain Technique 2. Modern Technique or Time Domain Technique
  • 404.
    Some definitions system •System variable: any variable that responds to an input or initial conditions in a •State variables : the smallest set of linearly independent system variables such that the values of the members of the set at time t0 along with known forcing functions completely determine the value of all system variables for all t ≥ t0 •State vector : a vector whose elements are the state variables •State space : the n-dimensional space whose axes are the state variables •State equations : a set of first-order differential equations with b variables, where the n variables to be solved are the state variables •Output equation : the algebraic equation that expresses the output variables of a system as linear combination of the state variables and the inputs. •For nth-order, write n simultaneous, first-order differential equations in terms of the state variables (state equations). •If we know the initial condition of all of the state variables at as well as the system input for , we can solve the equations
  • 405.
  • 406.
    For a dynamicsystem, the state of a system is described in terms of a set of state variables [x1 (t) x2 (t) … xn (t)] The state variables are those variables that determine the future behavior of a system when the present state of the system and the excitation signals are known. Consider the system shown in Figure 1, where y1(t) and y2(t) are the output signals and u1(t) and u2(t) are the input signals. A set of state variables [x1 x2 ... xn] for the system shown in the figure is a set such that knowledge of the initial values of the state variables [x1(t0) x2(t0) ... xn(t0)] at the initial time t0, and of the input signals u1(t) and u2(t) for t˃=t0, suffices to determine the future values of the outputs and state variables. System Input Signals u1(t) u2(t) Output Signals y1(t) y2(t) System u(t) Input x(0) Initial conditions y(t) Output Figure 1. Dynamic system.
  • 407.
    In an actualsystem, there are several choices of a set of state variables that specify the energy stored in a system and therefore adequately describe the dynamics of the system. The state variables of a system characterize the dynamic behavior of a system. The engineer’s interest is primarily in physical, where the variables are voltages, currents, velocities, positions, pressures, temperatures, and similar physical variables. The State Differential Equation: The state of a system is described by the set of first-order differential equations written in terms of the state variables [x1 x2 ... xn]. These first-order differential equations can be written in general form as x˙ 1  a11x1  a1 2 x2 … a 1 n xn  b11u1 b1 m um x˙ 2  a 21x1  a 2 2 x2  … a 2n xn  b21u1 b2 m um ⁝  an1 x1  an 2 x2 …a n n xn  bn1u1 bn m um x˙ n
  • 408.
    Thus, this setof simultaneous differential equations can be written in matrix form as follows:     1 11 2n   2    21 22 n   n1 n 2 nn   n  2      u  bn m  um   bn1  x  a1n  x1  a11 a12 x1  d x a   ⁝   b  b1m ⁝  ⁝  ⁝   ⁝   x   ⁝ x  a  a  a   a  a dt  ⁝  n 2  x  n: number of state variables, m: number of inputs. The column matrix consisting of the state variables is called the state vector and is written as x1  x    ⁝  x
  • 409.
    The vector ofinput signals is defined as u. Then the system can be represented by the compact notation of the state differential equation as x˙  A x  Bu This differential equation is also commonly called the state equation. The matrix A is an nxn square matrix, and B is an nxm matrix. The state differential equation relates the rate of change of the state of the system to the state of the system and the input signals. In general, the outputs of a linear system can be related to the state variables and the input signals by the output equation y  C x  D u Where y is the set of output signals expressed in column vector form. The state-space representation (or state-variable representation) is comprised of the state variable differential equation and the output equation.
  • 410.
    General State Representation D =derivative of the state vector with respect to time = output vector = input or control vector x˙  Ax  Bu y  Cx  Du x = state vector x˙ y u A = system matrix B C = input matrix = output matrix = feedforward matrix State equation output equation
  • 411.
    AN EXAMPLE OFTHE STATE VARİABLE CHARACTERİZATİON OF A SYSTEM u(t) Current source L C R Vc Vo iL ic • The state of the system can be described in terms of a set of variables [x1 x2], where x1 is the capacitor voltage vc(t) and x2 is equal to the inductor current iL(t). This choice of state variables is intuitively satisfactory because the stored energy of the network can be described in terms of these variables.
  • 412.
    Therefore x1(t0) andx2(t0) represent the total initial energy of the network and thus the state of the system at t=t0. Utilizing Kirchhoff’s current low at the junction, we obtain a first order differential equation by describing the rate of change of capacitor voltage L  C dvc c  u(t) i dt i Kirchhoff’s voltage low for the right-hand loop provides the equation describing the rate of change of inducator current as  R iL  vc L diL dt The output of the system is represented by the linear algebraic equation v0  R iL (t)
  • 413.
    We can writethe equations as a set of two first order differential equations in terms of the state variables x1 [vC(t)] and x2 [iL(t)] as follows: 2 1 dt dx2 dx1 1 1   x2  u(t) C C  1 x  R x dt L L L C dvc  u(t)  i dt diL L  R iL  vc dt The output signal is then y1 (t)  v0 (t)  R x2 Utilizing the first-order differential equations and the initial conditions of the network represented by [x1(t0) x2(t0)], we can determine the system’s future and its output. The state variables that describe a system are not a unique set, and several alternative sets of state variables can be chosen. For the RLC circuit, we might choose the set of state variables as the two voltages, vC(t) and vL(t).
  • 414.
    C   0   1  C x    u(t)  1 R     L L   1   0 x˙   We can write the state variable differential equation for the RLC circuit as and the output as y  0 Rx
  • 415.
    RLC network it qt  1. State variables
  • 416.
    2. L di  Ri  1 idt vt  dt C Using it  dq dt L R q  vt  dt 2 dt C d 2 q  dq  1 dq  i dt di   1 q  R i  1 vt  dt LC L L 3. qt  it Can be solved using Laplace Transform 4. Other network variables can be obtained (1) C L v t    1 qt  Rit  vt  (2) 5. (1),(2) : state-space representation
  • 417.
    Other variables vRt  vC t  L L dvR C R   R v  R v  R vt  L R dt RC dt dvC 1 v  Each variables : linearly independent
  • 418.
    In vector-matrix form x˙ Ax  Bu where  dq dt  x˙   di dt    R / L   A  1/ LC  1 0    i  x  q   1 L B   0  u  vt (1) (2) where y  vL t y  Cx  Du C  1 C  R D  1
  • 419.
    State space representationusing phase variable form dy dt n1 d n1 y  a1 dt  a0 y  b0u dt n d n y  an1 x  y 1 dy x2  dt choose d 2 y x3  dt 2 xn  dt n1 d n1 y diferensiasikan dt 1 x˙  dy d 2 y x˙2  dt 2 d 3 y x˙3  dt3 d n y ⁝ x˙n  dt n 2 3 ⁝ x˙n1  xn x˙  x 2 1 x˙ x x  b u 0 1 1 2 n1 n 0  a x  a x  a n x ˙
  • 420.
     x˙1                b0    x3                     a0 2  x1  an1  xn xn1  0    0  u x  0   0   ⁝ ⁝   0 0 0 0 0  1  a1  a2  a3  a4  a5  2 0  0 1 0 0 0 0  0  x˙n x˙n1   ⁝ x ˙3  x˙ 0 0 1 0 0 0  0 0 0 0 1 0 0  0 ⁝         xn1  2  x1   x      ⁝  y  1 0 0  0 x3
  • 421.
    Example : TFto State Space Inverse Laplace ˙c˙ ˙ 9c˙˙ 26c˙  24c  24r 1. x3  c˙˙ 2. Select state variables x1  c x2  c˙ x˙1  x2 x˙2  x3  24x1  26x2 3  9x  24r 3 x ˙y  c  x1 N s Gs  Ds N s numerator Ds denominator
  • 422.
       1 x   0 r  9x3  24 2  0  x1   0     0 2   x˙3   24 1 x˙    0 0  26  x˙1   3  1    x  y  1 0 0 x2  x 
  • 423.
  • 424.
    2 2 Y s Cs  b s  b s  b X s 1 0 1 dt 2 d 2 x b2 1 yt   dt dx b1 1  b0 x1  yt  b0 x1  b1x2  b2 x3
  • 425.
  • 426.
    yt  2x1 7x2  x3 y  2  2   x3   7 1x   x1 
  • 427.
    State Space toTF x˙  Ax  Bu y  Cx  Du Laplace Transform sX s  AX s BU s Y s  CX s DUs X s  sI  A1 BU s Y s  CsI  A1 B  DU s U s T s  Y s  CsI  A1 B  D
  • 428.
        3  0 x˙   0 0 0x  0 1 0  10  0 1  x   0 u 1  2 y  1     1 s 1 0 sI  A  0 s 1   2 s  3 sI  A1  adj(sI  A) det(sI  A) s3  3s2  2s 1 (s2  3s  2) s  3   1 s(s  3)    s  (2s 1) 1   s2   s  
  • 429.
    T s CsI  A1 B  D T s  s3  3s2  2s 1 10(s2  3s  2)
  • 430.
    Solution of homogeneousstate equation differential equation is  The solution of the state differential equation can be obtained in a manner similar to the approach we utilize for solving a first order differential equation. Consider the first-order differential equation x˙  a x ; x ( 0 )  0 d x  a x d t Where x(t) and u(t) are scalar functions of time. We expect an exponential solution of the form eat. Taking the Laplace transform of both sides, we have x˙ on integrating above equation logx=at+c X= eat. ec x=x(0)= ec on substituting the intial condition ,the solution of homogeneous state equation of first order x˙  e at x(0) x˙  AX (t), x(o)  0   k ! A k t k 2 !  I  A t     A 2 t 2 e A t
  • 431.
    Solution of homogeneousstate equation 2 ! k ! e  I  A t        The solution of the state differential equation can be obtained in a manner similar to the approach we utilize for solving a first order differential equation. Consider the first-order differential equation x˙  a x  b u ; x ( 0 )  0 Where x(t) and u(t) are scalar functions of time. By taking laplace transform s X (s)  x0  a X (s)  bU (s) The inverse Laplace transform of X(s) results in the solution t x ( t )  e a t x ( 0 )   e a ( t   ) b u (  ) d  0 We expect the solution of the state differential equation to be similar to x(t) and to be of differential form. The matrix exponential function is defined as A 2 t 2 A k t k A t
  • 432.
    which converges forall finite t and any A. Then the solution of the state differential equation is found to be t x(t)  eAt x(0)  eA ( t) Bu() d 0 X(s)  sI  A1 x(0)  sI  A1 BU(s) where we note that [sI-A]-1=ϕ(s), which is the Laplace transform of ϕ(t)=eAt. The matrix exponential function ϕ(t) describes the unforced response of the system and is called the fundamental or state transition matrix. t x(t)  (t) x(0)  (t  ) Bu() d 0
  • 433.
    THE TRANSFER FUNCTIONFROM THE STATE EQUATION The transfer function of a single input-single output (SISO) system can be obtained from the state variable equations. x˙  A x  Bu y  C x where y is the single output and u is the single input. The Laplace transform of the equations sX(s)  AX(s)  BU(s) Y(s)  CX(s) where B is an nx1 matrix, since u is a single input. We do not include initial conditions, since we seek the transfer function. Reordering the equation
  • 434.
    [sI  A]X(s) BU(s) X(s)  sI  A1 BU(s)  (s)BU(s) Y(s)  C(s)BU(s) Therefore, the transfer function G(s)=Y(s)/U(s) is G(s)  C(s)B Example: Determine the transfer function G(s)=Y(s)/U(s) for the RLC circuit as described by the state differential function , y  0 Rx  u C   0   1  C  x    1 R     L L  1   0 x˙  
  • 435.
       R   s   L L   s 1 C sI  A   1 1 R L LC s  (s)  s2  s    R 1   1  L (s)   sI  A (s)   1  1 s  L  C Then the transfer function is G(s)  0 L LC 1  R s  s2 R / LC ( s) G(s)  R / LC  s   0    1  1 1      ( s) C(s)  C     L   L(s) R (s)  s  R 
  • 436.
    CONSIDER THE SYSTEM 24 s 3 y  c  x1 s3  9 s 2  2 6 s  24C( s)  2 4 R ( s ) R ( s )  9 s 2  2 6 s  2 4 C ( s )  x˙ 1  x2 x˙ 2  x3 x˙ 3  - 2 4 x 1 - 2 6 x 2  9 x 3  2 4 r ˙c˙˙ 9c˙˙ 26c˙  2 4 c  2 4 r x1  c x2  c˙ x3  c˙˙ State variables Output equation System equations
  • 437.
    y  1  2 4   9  x3  0 1  0  24  26 x˙2  x3 x˙2  - 24x1 - 26x2  9x3  24r y  c  x1  x3  2  2   x˙2   2  x˙1  x2  0 0 x  x1     1  x    0 r 0 x1   0   x˙    0  x˙1 
  • 438.