1
Composite
Function
2
Composite Function
Combining the operations of two
functions sequentially will produce
a new function. This combination
is called function composition and
the result is called a composition
function.
3
x  A is mapping f to y  B
write as f : x → y or y = f(x)
y  B is mapping by g to z  C
Write as g : y → z or z = g(y)
or z = g(f(x))
A
x
C
z
B
y
f g
4
then the function that mapping x 
A to z  C
is a composition of functions f and
g
Write as (g o f)(x) = g(f(x))
A B C
x z
y
f g
g o f
5
Example 1
f : A → B and g: B → C
defined as in the picture
determine (g o f)(a) and (g o f)(b)
A B C
a
b
p
q
1
2
3
f g
6
Ans:
A B C
a
b
p
q
1
2
3
f g
f(a) = 1 and g(1) = q
so (g o f)(a) = g(f(a)) = g(1) q
(g o f)(a) = ?
7
A B C
a
b
p
q
1
2
3
f g
f(b) = 3 and g(3) = p
So, (g o f) = g(f(b)) = g(3) = p
(g o f)(b) = ?
8
Peoperties Composite
Function
1.Not commutative :
f o g ≠ g o f
2. Associative :
f o (g o h) = (f o g) o h = f o g o h
3. Has an identity function : I(x) = x
f o I = I o f = f
9
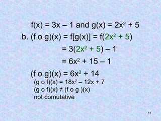
Example 1
f : R → R dan g : R → R
f(x) = 3x – 1 dan g(x) = 2x2
+ 5
Tentukan: a. (g o f)(x)
b. (f o g)(x)
10
Answer:
f(x) = 3x – 1 and g(x) = 2x2
+ 5
a. (g o f)(x) = g[f(x)] = g(3x – 1)
= 2(3x – 1)2
+ 5
= 2(9x2
– 6x + 1) + 5
= 18x2
– 12x + 2 + 5
= 18x2
– 12x + 7
11
f(x) = 3x – 1 and g(x) = 2x2
+ 5
b. (f o g)(x) = f[g(x)] = f(2x2
+ 5)
= 3(2x2
+ 5) – 1
= 6x2
+ 15 – 1
(f o g)(x) = 6x2
+ 14
(g o f)(x) = 18x2
– 12x + 7
(g o f)(x) ≠ (f o g )(x)
not comutative
12
13
Answer:
f(x) = x – 1, g(x) = x2
– 1
and h(x) = 1/x
((f o g) o h)(x) = (f o g)(h(x))
(f o g)(x) = (x2
– 1) – 1
= x2
– 2
(f o g(h(x))) = (f o g)(1/x)
= (1/x)2
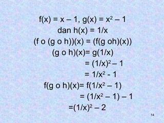
– 2
14
f(x) = x – 1, g(x) = x2
– 1
dan h(x) = 1/x
(f o (g o h))(x) = (f(g oh)(x))
(g o h)(x)= g(1/x)
= (1/x)2
– 1
= 1/x2
- 1
f(g o h)(x)= f(1/x2
– 1)
= (1/x2
– 1) – 1
=(1/x)2
– 2
15
Example 3
I(x) = x, f(x) = x2
and g(x) = x + 1
Determine:
a.(f o I)(x) and (g o I)
b.(I o f) and (I o g)
16
Answer:
I(x) = x, f(x) = x2
and g(x) = x + 1
(f o I)(x) = x2
(g o I)(x) = x + 1
(I o f)(x) = x2
(I o g)(x) = x + 1
(I o f)(x) = (f o I) = f
17
Determining a Function If
the Composition Function
and Other Functions Are
Known
18
Example 1
given f(x) = 3x – 1
and (f o g)(x) = x2
+ 5
find g(x).
19
answer
f(x) = 3x – 1dan (f o g)(x) = x2
+ 5
fg(x)] = x2
+ 5
3.g(x) – 1 = x2
+ 5
3.g(x) = x2
+ 5 + 1 = x2
+ 6
Jadi g(x) = ⅓(x2
+ 6)
20
example 2
given g(x) = x + 9 and
(f o g)(x) = ⅓x2
– 6
so f(x) = … .
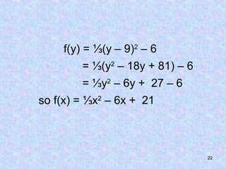
21
Answer:
g(x) = x + 9
(f o g)(x) = f(g(x)) = ⅓x2
– 6
f(x + 9) = ⅓x2
– 6
let : x + 9 = y  x = y – 9
f(y) = ⅓(y – 9)2
– 6
22
f(y) = ⅓(y – 9)2
– 6
= ⅓(y2
– 18y + 81) – 6
= ⅓y2
– 6y + 27 – 6
so f(x) = ⅓x2
– 6x + 21
23
Example 3
given f(x) = x – 3 and
(g of)(x) = x2
+ 6x + 9
So, g(x – 1) = … .
24
Answer:
f(x) = x – 3;
(g o f)(x) = g (f(x)) = x2
+ 6x + 9
g(x – 3) = x2
+ 6x + 9
Let: x – 3 = y  x = y + 3
g(y) = (y + 3)2
+ 6(y + 3) + 9
= y2
+ 6y + 9 + 6y + 18 + 9
25
g(y) = y2
+ 6y + 9 + 6y + 18 + 9
= y2
+ 12y + 36
g(x – 1) = (x – 1)2
+ 12(x – 1) + 36
= x2
– 2x + 1 + 12x – 12 + 36
= x2
+ 10x + 25
So, g(x – 1) = x2
+ 10x + 25
26
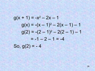
Example 4
Given f(x) = 2x + 1
and (f o g)(x + 1)= -2x2
– 4x + 1
Find g(-2) =….
27
Answer:
f(g(x + 1))= -2x2
– 4x + 1
f(x) = 2x + 1 → f(g(x))= 2g(x) + 1
f(g(x + 1)) = 2g (x + 1) + 1
2g(x + 1) + 1 = -2x2
– 4x – 1
2g(x + 1) = -2x2
– 4x – 2
g(x + 1) = -x2
– 2x – 1
28
g(x + 1) = -x2
– 2x – 1
g(x) = -(x – 1)2
– 2(x – 1) – 1
g(2) = -(2 – 1)2
– 2(2 – 1) – 1
= -1 – 2 – 1 = -4
So, g(2) = - 4

Composite Function Mathematics for grade 11

  • 1.
  • 2.
    2 Composite Function Combining theoperations of two functions sequentially will produce a new function. This combination is called function composition and the result is called a composition function.
  • 3.
    3 x  Ais mapping f to y  B write as f : x → y or y = f(x) y  B is mapping by g to z  C Write as g : y → z or z = g(y) or z = g(f(x)) A x C z B y f g
  • 4.
    4 then the functionthat mapping x  A to z  C is a composition of functions f and g Write as (g o f)(x) = g(f(x)) A B C x z y f g g o f
  • 5.
    5 Example 1 f :A → B and g: B → C defined as in the picture determine (g o f)(a) and (g o f)(b) A B C a b p q 1 2 3 f g
  • 6.
    6 Ans: A B C a b p q 1 2 3 fg f(a) = 1 and g(1) = q so (g o f)(a) = g(f(a)) = g(1) q (g o f)(a) = ?
  • 7.
    7 A B C a b p q 1 2 3 fg f(b) = 3 and g(3) = p So, (g o f) = g(f(b)) = g(3) = p (g o f)(b) = ?
  • 8.
    8 Peoperties Composite Function 1.Not commutative: f o g ≠ g o f 2. Associative : f o (g o h) = (f o g) o h = f o g o h 3. Has an identity function : I(x) = x f o I = I o f = f
  • 9.
    9 Example 1 f :R → R dan g : R → R f(x) = 3x – 1 dan g(x) = 2x2 + 5 Tentukan: a. (g o f)(x) b. (f o g)(x)
  • 10.
    10 Answer: f(x) = 3x– 1 and g(x) = 2x2 + 5 a. (g o f)(x) = g[f(x)] = g(3x – 1) = 2(3x – 1)2 + 5 = 2(9x2 – 6x + 1) + 5 = 18x2 – 12x + 2 + 5 = 18x2 – 12x + 7
  • 11.
    11 f(x) = 3x– 1 and g(x) = 2x2 + 5 b. (f o g)(x) = f[g(x)] = f(2x2 + 5) = 3(2x2 + 5) – 1 = 6x2 + 15 – 1 (f o g)(x) = 6x2 + 14 (g o f)(x) = 18x2 – 12x + 7 (g o f)(x) ≠ (f o g )(x) not comutative
  • 12.
  • 13.
    13 Answer: f(x) = x– 1, g(x) = x2 – 1 and h(x) = 1/x ((f o g) o h)(x) = (f o g)(h(x)) (f o g)(x) = (x2 – 1) – 1 = x2 – 2 (f o g(h(x))) = (f o g)(1/x) = (1/x)2 – 2
  • 14.
    14 f(x) = x– 1, g(x) = x2 – 1 dan h(x) = 1/x (f o (g o h))(x) = (f(g oh)(x)) (g o h)(x)= g(1/x) = (1/x)2 – 1 = 1/x2 - 1 f(g o h)(x)= f(1/x2 – 1) = (1/x2 – 1) – 1 =(1/x)2 – 2
  • 15.
    15 Example 3 I(x) =x, f(x) = x2 and g(x) = x + 1 Determine: a.(f o I)(x) and (g o I) b.(I o f) and (I o g)
  • 16.
    16 Answer: I(x) = x,f(x) = x2 and g(x) = x + 1 (f o I)(x) = x2 (g o I)(x) = x + 1 (I o f)(x) = x2 (I o g)(x) = x + 1 (I o f)(x) = (f o I) = f
  • 17.
    17 Determining a FunctionIf the Composition Function and Other Functions Are Known
  • 18.
    18 Example 1 given f(x)= 3x – 1 and (f o g)(x) = x2 + 5 find g(x).
  • 19.
    19 answer f(x) = 3x– 1dan (f o g)(x) = x2 + 5 fg(x)] = x2 + 5 3.g(x) – 1 = x2 + 5 3.g(x) = x2 + 5 + 1 = x2 + 6 Jadi g(x) = ⅓(x2 + 6)
  • 20.
    20 example 2 given g(x)= x + 9 and (f o g)(x) = ⅓x2 – 6 so f(x) = … .
  • 21.
    21 Answer: g(x) = x+ 9 (f o g)(x) = f(g(x)) = ⅓x2 – 6 f(x + 9) = ⅓x2 – 6 let : x + 9 = y  x = y – 9 f(y) = ⅓(y – 9)2 – 6
  • 22.
    22 f(y) = ⅓(y– 9)2 – 6 = ⅓(y2 – 18y + 81) – 6 = ⅓y2 – 6y + 27 – 6 so f(x) = ⅓x2 – 6x + 21
  • 23.
    23 Example 3 given f(x)= x – 3 and (g of)(x) = x2 + 6x + 9 So, g(x – 1) = … .
  • 24.
    24 Answer: f(x) = x– 3; (g o f)(x) = g (f(x)) = x2 + 6x + 9 g(x – 3) = x2 + 6x + 9 Let: x – 3 = y  x = y + 3 g(y) = (y + 3)2 + 6(y + 3) + 9 = y2 + 6y + 9 + 6y + 18 + 9
  • 25.
    25 g(y) = y2 +6y + 9 + 6y + 18 + 9 = y2 + 12y + 36 g(x – 1) = (x – 1)2 + 12(x – 1) + 36 = x2 – 2x + 1 + 12x – 12 + 36 = x2 + 10x + 25 So, g(x – 1) = x2 + 10x + 25
  • 26.
    26 Example 4 Given f(x)= 2x + 1 and (f o g)(x + 1)= -2x2 – 4x + 1 Find g(-2) =….
  • 27.
    27 Answer: f(g(x + 1))=-2x2 – 4x + 1 f(x) = 2x + 1 → f(g(x))= 2g(x) + 1 f(g(x + 1)) = 2g (x + 1) + 1 2g(x + 1) + 1 = -2x2 – 4x – 1 2g(x + 1) = -2x2 – 4x – 2 g(x + 1) = -x2 – 2x – 1
  • 28.
    28 g(x + 1)= -x2 – 2x – 1 g(x) = -(x – 1)2 – 2(x – 1) – 1 g(2) = -(2 – 1)2 – 2(2 – 1) – 1 = -1 – 2 – 1 = -4 So, g(2) = - 4