Directorate of Education
Govt. of NCT of Delhi
Value based support Material for the
session 2012-13

Subject – Mathematics
Class – IX

Under the guidance of
Dr. Sunita S. Kaushik
Addl. DE (School/Exam)

Coordination by :
Shakuntla Mahajan
(Principal)
GGSS School, Sri Niwaspuri, New Delhi 110065

PREPARED BY :
1. Mrs. Savita Vij (Govt. Co-Ed S.S. School No. 1, Lajpat Nagar)
2. Mrs. Alka Gupta (GGSS School, Sri Niwaspuri)
3. Mrs. Suman Sharma (GGSS School, Sri Niwaspuri)
4. Mrs. Shradha Sharma (Govt. Co-Ed Sec. School, Jangpura)
5. Mrs. Babita Khanna (Govt. Co-Ed Sec. School, Jangpura)
[1]
LINEAR EQUATION
1.

In a village primary school enrolment of girls has doubled this year
as compared to last year. Considering this year’s enrolment as ‘y’ and
previous year’s enrollment as x :
(a) Form a linear equation for this information.
(b) If previous year’s enrolement was 35 find this year’s enrollment.
(c) What is the value depicted here ?

2.

On her birthday Sonia distributed chocolates in an orphanage. She
gave 5 chocolates to each child and 20 chocolates to adults. Taking
number of children as x and total chocolates distributed as y.
(a) Form a linear equation.
(b) If she distributed 145 chocolates how many children are there in
the orphanage ?
(c) Explain the value depicted here by Sonia.

3.

In a housing society people decided to do Rainwater harvesting.
Rainwater is collected in the underground tank at the rate of 30 cm³/
sec. Taking volume of water collected in x sec as y cm³.
(a) Form a linear equation.
(b) Write it in standard form as ax+by+c=0.
(c) Which value is promoted by the members of this society ?

4.

A man hires an auto rickshaw to cover a certain distance. The fare is
Rs. 10 for first km and Rs. 7 for subsequent kilometers. Taking total
distance covered as x km and total fare as y :
(a) Write a linear equation for this.
(b) The man covers a distance of 16 km and gave Rs. 120 to the auto
driver. Auto driver said ‘‘It is not the correct amount’’and returned
him the balance. Find the correct amount paid back by the
autodriver.
(c) Which value is depicted here by the autodriver ?
[2]
5.

In a ‘‘Cleanliness drive’’ residents of certain locality joined together
to clean neighbourhood area. Participation of children was 20 more
than that by adults. Taking x as number of adults and y as number of
children.
(a) Form a linear equation.
(b) What values are depicted here ?

6.

Rehman and Prakash together contributed Rs. 500 towards Prime
Minister Relief fund.
(a) Write the linear equation for this.
(b) Write the values involved in it.

7.

Draw the graph of the linear equation 2(x+1)=3(y–1)–4 and check
whether point (–3, +1) lies on the line ?
Which value is depicted here ?

8.

In a class, teacher asked about the equ. of line passing through the
origin with options as :
y+x=1, x+3y=2, x+y=0
Rehana answered it correctly as x+y=0.
Choose the correct value :
(a) Honesty

(b) Equality

(c) Truthfulness

(d) Sincerity

9.
Y
3
x=a

x=b

2
1

–3 –2 –1 0 1 2 3 4

X

–3 –2 –1 0

1 2
–1
–2
Y

Fig. (i)

Fig. (ii)

[3]

3 4

X
(a) In the above fig. (i) & (ii) find the values of a & b.
(b) Is a=b ? Justify your answer.
(c) What is the value depicted here ?
10. (a) Every six months price of petrol increases at the rate of Rs. 4 per
litre. Taking price of petrol in Dec. 2011 as ‘x’ and present price
of petrol as ‘y’ form a linear equation showing amount spent on
petrol in Dec. 2012.
(b) Due to continuous rise in the petrol price people are shifting
towards CNG in place of petrol whose price increases at a rate of
Rs. 3 per litre in a year. Form a linear equation taking price of
CNG in Dec. 2011 as ‘a’ and in Dec. 2012, as ‘b’.
(c) Which fuel will you prefer and why ?
(d) Which value is depicted by using CNG over petrol ?

ANSWERS
1.

(a) y=2x
(b) y=2×35=70
(c) Freedom, Gender equality.

2.

(a) y=5x+20
(b) 145=5x+20
125=5x
x=25
(c) Happiness, Helpfulness

3.

(a) y=30x
(b) 30x–y+0=0
(c) Environmental protection, Co-operation.

[4]
4.

(a) y=10+7(x–1)
=10+7x–7
y=7x+3
(b) y=7×16+3
=112+3=115 Rs. Amt. Paid back = 120–115 = 5 Rs.
(c) Honesty, Truthfulness.

5.

(a) y=x+20
(b) Co-operation, Happiness, Sincerity, Environmental protection.

6.

(a) x+y=500
(b) Co-operation, Helpfulness

7.

(a) Equation
2(x+1)=3(y–1)–4
2x+2=3y–3–4
2x–3y+9=0
Point (–3, +1) lies on it as
2×(–3)–3(+1)+9 = –6 – 3+9
= –9 + 9 = 0 = RHS.
(b) Curiosity, Truthfulness, Scientific temper.

8.

(c) Truthfulness

9.

(a) a=3, b=3
(b) Yes
(c) Scientific temper, Truthfulness, Knowledge.

10. (a) y=x+8
(b) b=a+3
(c) CNG, because CNG is cheaper than petrol.
(d) Environmental protection.
[5]
QUADRILATERALS
A

25c
m

26

1.

R

cm

Q
P
28cm

B

C

There is a visit in a school by Directorate of Education. Girls are
asked to prepare Rangoli in triangular shape. Dimensions of ABC
are 26 cm, 28 cm, 25 cm. Garland is to be placed along the side of
PQR which is formed by joining midpoints of sides of ABC.
(a) Find the length of garland.
(b) What values are depicted here ?
2.

A class teacher gave students coloured papers in the shape of
quadrilateral. She asked them to make parallelogram from it using
paper folding.
(a) How can a parallelogram be formed by using paper folding ?
(b) Prove that it is a parallelogram.
(c) What values are depicted here ?

3.

ABCD is a rhombus where ADC=120°. There are two fire stations
at C and D and fire is reported at O.
D

C

120°

O

A

B

[6]
(a) Which fire station team can reach early and why ?
(b) Which value is depicted here ?
4.

Sohan wants to show gratitude towards his teacher by giving her a
card made by him. He has three pieces of trapezium pasted one above
the other as shown in the fig. These pieces are arranged in a way that
AB || HC || GD || FE. Also BC=CD=DE and GF=6 cm. He wants to
decorate the card by putting up a coloured tape on non parallel sides
of trapezium.
A

B

H

C

G

D

F

E

(a) Find the total length of coloured tape required if DE = 4cm.
(b) Which value is depicted by the student ?
5.

A farmer has a field in the form of a parallelogram ABCD. One of his
cow is suffering from some disease. To take good care of her, he tied
the cow at one corner of the field. The corner angle of the field is 65°.
B

C

65°
A

D

(a) Find all the other three angles of the field.
(b) Explain the values depicted here.
[7]
6.

A chocolate is in the form of a quadrilateral with sides 6 cm, 10 cm, 5
cm, 5 cm is cut into two parts along one of its diagonals by a lady.
Part I is given to her maid and part II is equally divided among her
driver and maali.
6 cm

A

B
5 cm

II
10

I

C

cm

5 cm
D

(a) Is this distribution fair ? Justify it.
(b) What value is depicted here ?
7.

While analysing properties of quadrilateral a child says that all angles
of a quadrilateral can not be obtuse.
(a) Justify his answer.
(b) What value is depicted in this activity ?

8.

During Maths Lab Activity each student was given four broom sticks
of lengths 8 cm, 8 cm, 5 cm, 5 cm to make different types of
quadrilaterals.
(a) How many quadrilaterals can be formed using these sticks.
(b) Name the types of quadrilaterals formed.
(c) While doing this activity which value is depicted ?

9-

In a trapezium ABCD DC || AB and
A=B=45°. teacher asked the student to
find D.Naresh

D

C

answered it as 135°
(a) Is the answer correct ? Justify it.
(b) Which value is depicted here ?
[8]

A

B
10- While discussing the properties of a parallelogram teacher asked about
the relation between two angles x and y of a parallelogram as shown
in the fig. Teacher gave them three options as :
D

C

x
y

A

B

(i) x > y

(ii) x < y

Beena gave the answer as x < y
(a) Is this the correct answer ?
(b) Justify the answer with suitable logic.
(c) What is the value depicted in this ?

QUADRILATERALS
ANSWERS
1.

(a) RQ | | BC and RQ =

1
BC
2

(Mid pt. theorem)
RQ = 14 cm
QP = 12.5 cm
PR = 13 cm
Perimetre = 14+12.5+13
= 39.5 cm
(b) Beauty, happiness, co-operation

[9]

(iii) x = y
A

P
B

Q
S

2.
C

R

D

(a) By joining mid pts. of sides of a quadrilateral.
(b) In ABD
P & Q are mid point of AB and AD
∴ PQ || BD & PQ =

1
BD ......................(i) (Mid point theorem)
2

similarly, RS || BD & RS =

1
BD .......(ii)
2

from (i) & (ii) PQRS is a parallelogram
(c) Curiosity, Happiness, Scientific Temper
3.

(a) D will send the team early ODC = 60° & OCD = 30°
 OC > OD (side opp. to larger angle is longer)
(b) Serving the people with honesty

4.

(a) AB || HC || GD || FE and BC = CD = DE
AH = HG = GF
(given three parallel lines making equal intercepts on any
transversal then they will make equal intercepts on other
transversal also)
AF+FE = 18+12 = 30 cm
(b) Happiness, beauty, knowledge
[10]
5.

(a) A =C = 65°
B = 180° – 65°
=115° = D
(b) Helpfulness, caring for every one

6.

(a) Distribution is fair
(b) BD  AD²  AB2  100  36  64
BD = 8 cm
1
ar (ABD)  × 6 × 8
2

= 24 cm2
ar (BCD)
S=

a + b+c 5+5+8
=
= 9 cm
2
2

area = 9 × (9 − 5) × (9 − 5) × (9 − 8)
= 9 × 4 × 4 ×1

= 12 cm2
(c) Helpfulness, Caring
7.

(a) If A=91°, B=91°, C=91° then D < 90°
as A+B+C+D = 360°
(b) Scientific temper, knowledge

8.

(a) Three type of quadrilaterals can be formed
(b) Rectangle, parallelogram, kite
(c) Scientific temper, curiosity
[11]
9.

(a) DC | | AB
A +D = 180°
D = 180° – 45° = 135°
(b) Scientific temper, truth value

10. (a) Yes
(b) ADB = DBC = y (alternate int. angles)
since BC < CD (angle opp. to smaller side is smaller)
 x<y
(c) Truth value

[12]
AREAS OF PARALLELOGRAMS AND TRIANGLES
1.

A craft mela is organised by Welfare Association to promote the art
and culture of tribal people. The pandal is to be decorated by using
string of bulbs all around the field. There are two options either to
arrange it in a rectangular field ABEF or parallelogram ABCD with
equal area.
D

F

E

A

C

B

(a) What shape of the field should be chosen to minimise the expense
of bulb and why ?
(b) Which values are depicted here ?
2.

A plot is in the form of a parallelogram ABCD. Owner of this plot
wants to build OLD AGE HOME, DISPENSARY, PARK and
HEALTH CENTRE for elderly people as shown in the fig. P is a
point on the diagonal BD.
A

B
Park

Old
Age
Home

Health
P centre

Dispensary
D

C

(a) Prove that area alloted to old age home and dispensary is same.
(b) Which values are depicted here ?
[13]
3.

There was a deserted land near a colony where people used to throw
garbage. Colony people united to develop a pond in triangular shape
as shown in the fig. The land is in the shape of | |gm ABCD. In rest of
the portion medicinal plants were grown. If area of parallelogram
ABCD is 200 m2.
B

C
Pond

A

D

P

(a) Calculate the area where medicinal plants were grown.
(b) Which value is depicted here ?
4.

For ‘Sarva Shiksha Abhiyan’ a rally was organised by a school.
Students were given triangular cardboard pieces to write slogans. They
divided the triangular shape into three equal parts by drawing medians
as shown in fig.
A

F

E
G

B

D

C

(a) Prove that area (AGC) = area (AGB)
= area (BGC)
=

1
area (ABC)
3

(b) Which values are inculcated through this activity ?
[14]
5.

Afarmer has a square plot of land where he wants to grow five different
crops at a time. On half of the area in the middle he wants to grow
wheat but in rest four equal triangular parts he wants to grow different crops.
(a) Explain by diagram how he can divide the area to fulfill his
purpose.
(b) By using this crop pattern which values are depicted by the
farmer?

6.

There is a plot in a village in the shape of a quadrilateral ABCD.
Sarpanch wants to get floor cemented so as to use it for social
gatherings and panchayat meetings. Later due to construction of park
in the neighbourhood for children they decided to change the shape
to triangle ABP.
If AC | | DP
D

A

B

C

P

(a) Prove that ar (quad. ABCD) = ar (ABP)
(b) What are the values depicted in this activity ?
7.

On National Integration day a poster is to be made by class IX students
of a school. This poster is in the shape of a parallelogram. All religions
should be given equal triangular space to display their teachings.
(a) How will they divide a parallelogram into four triangles equal in
area ? Justify it.
(b) What are the values depicted here ?

8.

In a class, teacher gave two identical carboard pieces which are in the
shape of a parallelogram to two groups. First group was asked to find
[15]
area of parallelogram usingAB as base. Then another group was asked
to find height (h) of the parallelogram with AD as base.

(a) How will they find value of h ?
(b) What are the values involved here ?
9.

In a class, teacher asks the students to cut a figure from a given
parallelogram which has area equal to half the area of parallelogram
X
ABCD.
D
C

Sunita joins the mid points of
opposite sides of parallelogram as
shown in the fig.

Y

A

B

Where as Rohan draws a triangle on the same base as shown in fig.
D

A

C

P

B

(a) State whether two answers are correct. Justify.
(b) What values are depicted from this activity ?
[16]
10. In a rhombus ABCD, AC = 8 cm, then AO = 4 cm.
D

C

O

A

B

The statement shows
(a) Truth value
(c) Environment value

(b) Social value
(d) Cooperation

Justify your answer.

ANSWER
1.

(a) Rectangle as
Perimeter of rectangle < Perimeter of parallelogram
(b) Co-operation, helpfulness

2.

(a) Join AC
Diagonals AC & BD of a | |gm ABCD bisect at O.
 AO = OC and BO = OD
In APC, PO is median (
triangles equal in area)

Median divides a triangle in two
A

B

 ar (APO) = ar (CPO) ........... (i)
P

In ADC,
DO is median

O

 ar (ADO) = ar(DCO) .......... (ii)
Adding (i) & (ii)

D

ar (APO) + ar (ADO) = ar (CPO) + ar (DCO)
 ar (ADP) = ar (DPC)
(b) Helpfulness, happiness, cooperation
[17]

C
3.

(a) 100 sq. cm.
(b) Environmental protection, cooperation

4.

(a) In ABC, AD is median
ar (ABD) = ar (ADC)

______ (i)

also ar (GBD) = ar (GDC)

______ (ii)

subtracting (ii) from (i)
ar (AGB) = ar (AGC)
similarly
ar (AGB) = ar (AGC) = ar (GBC)
(b) Cooperation, sincerity
P

A
I

5.

Q

(a)

B

D
IV
S

Wheat
II

III

C

R

joining midpoints of sides
(b) Increases fertility of soil, environmental protection, happiness.
6.

(a) Since AC || DP
ar (ADC) = ar (APC) ..............(i)
( triangles on the same base AC and between same parallels
AC & DP are equal in area)
Adding ar (ABC) to both sides of (i)
ar (ADC) + ar (ABC) = ar (APC) + ar (ABC)


ar (ABCD) = ar (ABP)

(b) Environmental protection, respecting others views
[18]
7.

(a) Diagonals of a | | gm divides it into four triangles of equal area.
(b) Unity of nation, co-operation, fraternity

8.

(a) Area of | |gm ABCD
AB×DH = AD×BP
8×3 = 5×h
8× 3
=h
5
24
=h
5

h = 4.8 cm.
(b) Scientific temper, cooperation
9.

(a) Both are giving correct answer.
(b) Scientific temper, curiosity, co-operation.

10. (a) Truth value

[19]
CIRCLES
1.

Three friends ordered 3 pizzas of same size for them. Just then two
more friends joined them. They decided to share 3 pizzas among all 5
of them.
(a) Find the area of the share of pizza each child gets if the radius of
each pizza is 7 cm.
(b) Which values of children are depicted here ?

2.

During ‘Van Mahotsav’ celebration in a school a circular plot in the
corner of the school was chosen. Five groups of students were selected
to plant trees in each part as shown in the fig.
II

I
III

IV

V

(a) Which group gets the maximum area to develop and by how much,
if the two radii are 210 cm & 105 cm respectively.
(b) What values can be inculcated in students through this activity ?
3.

The Indian hockey federation organized a friendly hockey match
between India and Pakistan on a circular ground. The sale proceeds
of this match shall be donated to an orphanage. A rectangular turf is
spread on the ground as shown in the figure.
60m

O

[20]

80m
(a) Find the radius of the stadium.
(b) Which social values is depicted here ?
(c) How does donation to charitable organisations help in the
development of society ?
4.

A school decided to paint its inner boundary wall. They planned to
write quotations and social messages for the children on the circular
areas of radius 40 cm each on the wall along a straight line.

40 cm

40 cm

40 cm

40 cm

200 m

If the boundary wall is 200 m long
(a) How many circles can be drawn ?
(b) What values are inculcated in the students by this activity ?
5.

A group of 66 students went for a picnic. They halted at a park for
their lunch. They made a big circle and each child was 50 cm away
from the other child along the circle.
A

50 c m

B
C

(a) Find the radius of the circle they formed.
(b) What values do these students possess ?
6.

An amusement fair was organised in a circular park for the children
of slum clusters. Free food was supplied to them at 4 stalls situated at
[21]
A, B, C and D as shown in the figure.
A

90°
B

D

30m

C

(a) Find the distance between any two adjacent food stalls if the
radius of the park is 30 m.
(b) Are such activities helpful for society ? What are the other social
issues for which such compaigns are required ?
7.

Children of a colony decided to assist and help
an old couple of the colony in developing their
vacant plot as flower bed as shown here. The
radii of the two circles is 245 cm and 210 cm.

Grass

Flowers

(a) Find the area of the grass cover.
(b) Which values are depicted by the children?
8.

3 STD booths situated at A, B and C in the fig. are operated by
handicapped persons. These three booths are equidistant from each
other as shown in the figure.

(a) Find BOC
(b) Do you think employment provided to handicapped persons is
important for the development of a society ? Justify your answer.
[22]
9.

During a practical activity in maths lab, students were using circular
Geo board. The angle subtended by an arc at the centre is (2a+50°)
Sakshi calculated BAC as (a+25°)

(a) Is her finding correct ? Justify it.
(b) Find BAC if a = 30
(c) Which values are depicted here ?
10. In a circle with centre O, ABCD is a cyclic quadrilateral.
B

A

x

y
O

C

D

x+y = 90° depicts which of these values ?
(a) Social value

(b) Freedom

(c) Truth value

(d) Gender equality

Justify your answer.

[23]
ANSWERS
1.

(a) 92.4 cm2

2.

(a) Group III, 8662.5 sq. cm

(b) co-operation

(b) Environmental protection, beauty
3.

(a) 50 m

(b) Helpfulness, co-operation

(c) This money is utilized for welfare of orphans.
4.

(a) 250

(b) Beauty

5.

(a) 5.25 m

(b) Co-operation, happiness

6.

(a) 30 2 m
(b) Yes, for the inmates of old age home, orphanages, handicapped
children etc.

7.

(a) 50050 sq. cm

(b) Helpfulness

8.

(a) 120°

(b) Yes

9.

(a) Yes
scientific temper

(b) 55°

(c) T r u t h ,

10. ACD = 90°
BAD + BCD = 180° (opposites angles of a cyclic quadrilateral)
y+x+90 = 180
 x + y = 90°
Truthfulness, knowledge

[24]
CONSTRUCTION
1.

Delhi traffic police wants to make a traffic signal board of the shape
of an equilateral triangle of side 5 m to make the people aware of the
traffic rules. Construct the above traffic signal board by taking each
side as 5 cm (instead of m). What value is depicted here ?

2.

Ram Lal has a triangular piece of land ABC in which B = 30°, C
= 90°, AB+BC+CA = 11 m. He donated this to a vridhashram.
Construct a triangle using above dimensions (use cm in place of m).
What value represents here ?

3.

Students of a school staged a rally for cleanliness campaign. They
walked through the lanes AB, BC and CA which form a triangle.
Construct the ABC in which BC = 8m, B = 45° AB–AC = 3.5m.
What value represents here ? (Construct the triangle using cm in place
of m)

4.

A co-operative house adopted a triangular park PQR to maintain its
greenary of dimensions QR = 7m, Q = 75° and PQ + PR = 13m,
Make a  PQR using cm instead of m. What value represents here ?

5.

The villagers of a village wish to make a pool to drink water for
animals. They constructed it in the shape of a triangle. The dimensions
of the pool are 5m and 12m and the angle between them is 90°.
Construct it by taking as cm instead of m. What value represents
here?

6.

Mohan and Sohan constructed a right angle. Choose the correct option.
What idea is depicted here?

Sohan

Mohan

[25]
(a) Mohan is correct

(b) Sohan is correct

(c) Both are correct

(d) Both are wrong

7.

Kavita makes a triangular shaped carpet of dimensions 5m, 5m and
6m and donates it to a blind school. Construct a triangle using the
above dimensions in cm. What value represents here ?

8.

Choose the correct option for A—

A

1
(a) 60 + × 60
2

1
(b) 60 + × 60
4

1
(c) 60 + × 60
3

1
(d) 60 + × 60
5

What value is depicted here ?
9.

Panther club made a tent to save poor people during winter season.
They made its door triangular shape of sides 3m, 4m, 5m. Construct
the door taking measurements of sides in proportion. What ideas are
being promoted by the club ?

10. Aretired army officer wish to make an orphan house of right triangular
shape in which one side is 13.5 m and sum of other side and hypotenuse
is 15.5 m. Construct the triangle taking measurements in cms. What
ideas promote here ?

[26]
ANSWERS
1.

(a) Do correct construction
(b) To make the people aware of traffic rules for safety measures.

2.

(a) Do correct construction
(b) Habit of donation

3.

(a) Do correct construction
(b) To make the environment clean.

4.

(a) Do correct construction
(b) (i) To make the environment clean.
(ii) Community services

5.

(a) Do correct construction
(b) Social work

6.

(a) Mohan is correct
(b) Truth value

7.

(a) Do correct construction
(b) Habit of donation, social work

8.

1
(a) 60 + × 60
4

(b) Truth value
9.

(a) Do correct construction
(b) Community services, Social services

10. (a) Do correct construction
(b) Community services

[27]
SURFACE AREAS AND VOLUME
1.

By stating the formula for the volume of cone as
1
1
v = π l 2 h − πh 3
3
3

the following value is depicted.
(a) Truth value
(c) Respect for other views
2.

(b) Social value
(d) Equality

50 students of class X planned a visit to an old age home and to spend
the whole day with its inmates. Each one prepared a cylindrical flower
vase using cardboard to gift the inmates. The radius of cylinder is 4.2
cm and the height is 11.2 cm.
(a) What is the amount spent for purchasing the cardboard at the
rate of Rs. 20 per 100 m2 ?
(b) Which value is depicted by the students ?

3.

In a flood hitted area, the volunteers of NSS erected a conical tent
made of tarpaulin. The vertical height of the conical tent is 4m and
the base diameter is 6m. If the width of tarpaulin is 1.5m then.
(a) Find the length of the tarpaulin used, assuming that 10% extra
material is required for stitching margins and wastage in cutting.
(Take = 3.14)
(b) Which value is depicted by the volunteers ?

4.

On a construction site, a deep pit is barricaded from the remaining
portion by using 50 hollow. Cones made of recycled plastic. Each
cone has a base diameter of 40 cm and height 1 m.
(a) What is the cost of painting all the cones if the outer side of each
of the cones is to be painted and the cost of painting is Rs. 12 per
m2. (Take = 3.14 and 1.04 = 1.02)
(b) Name the values
[28]
5.

Ashwani a factory owner wants to thank
all his workers by gifting a decorated
spherical ball. The diameter of the sphere
is (2a+5) cm. Each ball is to be packed in a
right circular cylindrical box which just
encloses a sphere as shown in the figure.

21cm

If the height of the cylinder is 21cm then
(a) What is the value of ‘a’ ?
(b) What is the curved surface area of a sphere ?
(c) Which value is shown by Ashwani ?
6.

A residential colony has a population of 5400 and 60 litres of water is
required per person per day. For the effective utilization of rain water,
a group of people decided to do WATER HARVESTING. They
constructed a water reserviour measuring 48m × 27m × 25m to collect
the rain water.
(a) For how many days the water of this tank is sufficient if during
rain the height of water level is 5m.
(b) Which value is shown by the group of people ?

7.

The patients in a hospital are given soup daily in a cylindrical bowl of
diameter 7cm. On a particular day, the girls of KANYA
MAHAVIDYALAYA decided to cook the soup for the patients. If
they fill the bowl with soup to a height of 5cm then how much soup is
to be cooked for 300 patients ? Which value is depicted by the girls ?

8.

The resident of society decided to paint the hall of cancer detective
centre in their premises. If the floor of the cuboidal hall has a perimeter
equal to 250 m and height 6m then
(a) Find the cost of painting its four walls (including doors etc) at
the rate of Rs. 8 per m2.
(b) What is the amount contributed by 50 people ?
(c) Which value is depicted by the residents ?
[29]
9.

Sunidhi is curious to find out the relationship between the diameter
of the moon and the earth. From the data available, it is known that
the volume of earth is 64 times the volume of the moon. She concluded
that the diameter of the moon is

1
of the diameter of the earth.
4

(a) Justify her statement by proving it.
(b) Which value is depicted by Sunidhi by conducting the
experiment?
10. There are 100 students in a blind school. Mr. and Mrs. Ramesh wished
to serve them milk. They have two options for serving the milk.
Option A – A hemispherical bowl with radius 10.5 cm made up of
ecofriendly material.
Option B – A hemispherical bowl with radius 7 cm made up of
plastic.
(a) How many litres of milk is required if option A is taken.
(b) Find the total quantity of milk (in litres) if option B is taken.
(c) Mr. and Mrs. Ramesh opted for option A which value is shown
by them.

ANSWERS
1.

volume of cone =

1 2
r h .................(i)
3

also l2 = r2 + h2
r2 = l2 – h2

.................(ii)

substituting (ii) in (i) we get,
1
v    l2  h 2  h
3
1
1
 l2 h  h 3
3
3

so ans. is (a)
[30]
2.

(a) r = 4.2 cm., h = 11.2 cm
S.A. of cylindrical vase = CSA + area of base
= 2rh + r2
= 2 × 4.2 × 11.2 + (4.2)2
= 4.2 (22.4 + 4.2)
= 4.2 

22
 26.6
7

= 351.12 cm2
SA of 50 cylinder = 50 × 351.12
= 17556 cm2
Total cost = 17556 ×

20
100

= Rs. 3511.20
(b) Social value / co-operation / caring for old people.
3.

(a) CSA of conical tent = 3.14 × 3 × 32  4 2
= 47.1 m2
Area of trapaulin used = (47.1 + 10% of 47.1) m2
= 51.81 m2
Required length of trapaulin =

51.81
m
1.5

= 34.54 m
(b) Social value, helpfulness
4.

(a) r = 20 cm = 0.2 m
h = 1m
l2 = h2 + r2 = 1+.04 = 1.04
l = 1.04 = 1.02 m
[31]
curved S.A of 50 cones = (50 × 3.14 × 0.2 × 1.02) m2
= 32.028 m2
Total cost of painting = Rs. 12 × 32.028
= Rs. 384.34
(b) Social value, environmental protection.
5.

(a) diameter os sphere = height of cylinder
2a + 5 = 21
2a = 21–5 = 16
a=8
(b) CSA of sphere = 4r2
= 4

22 21 21
 
7 2 2

= 1386 cm2
(c) Social justice, caring
6.

(a) Total volume of water = (48 × 27 × 5) m3
= 48×27×5×1000 litres
Requirement of water for one day = 5400 × 60 litres
No. of days =

48  27  5  1000
5400  60

= 20 days
(b) environmental value, co-operation
7.

(a) Volume of the cylinder = r2h
2

7
=     5
2

=

22 7 7
  5
2 2 2

=

385 3
cm
2
[32]
volume for 300 patients =

385
 300
2

= 57750 cm3
= 57.750 litres
(b) Social cohension, happiness
8.

P = 2(l+b) = 250
= l + b = 125
(a) Surface area of four walls = 2h (l+b)
= 6 × 250
= 1500 m2
cost = 8 × 1500
= Rs. 12000
(b) Amount contributed = Rs. 240
(c) Social value, co-operation, social cohension

9.

(a) Volume of earth = 64 × volume of moon
4
4
3
 R1  64   R 3
2
3
3
3
⇒ R1 = ( 4R 2 )

3

Radius of earth = 4 × Radius of moon


1
Diameter of earth = Diameter of moon
4

(b) Curiosity, spirit of enquiry, scientific temper
10. (a) r = 10.5 cm
volume of hemisphere =

2 3
r
3

Total volume = 2.42 × 100 = 242 l
[33]
(b) volume of hemisphere =
=

2 3
r
3

2 22
  7 77
3 7

= 718.6 cm3
= 0.719 l
Total volume = 100 × 0.719 = 71.9 l
(c) Environmental value, social value

[34]
STATISTICS
1.

The enrollment of a school during six consecutive years was as
follows—
Year
Enrollment of
school

2000
1620

2001
2060

2002
2540

2003
3250

2004
3500

2005
3710

(a) Find the mean of the enrollment of the school for this period.
(b) Draw a bar graph of the above data.
(c) What value this data represent ?
2.

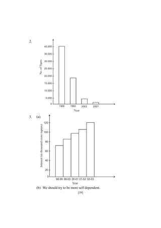
Status of tigers in India in last 100 years is as follows—
Year
No. of Tigers

1900

1960

2002

2007

40,000

18,000

3642

1411

(a) Make bar graph of above data.
(b) What idea promotes here ?
3.

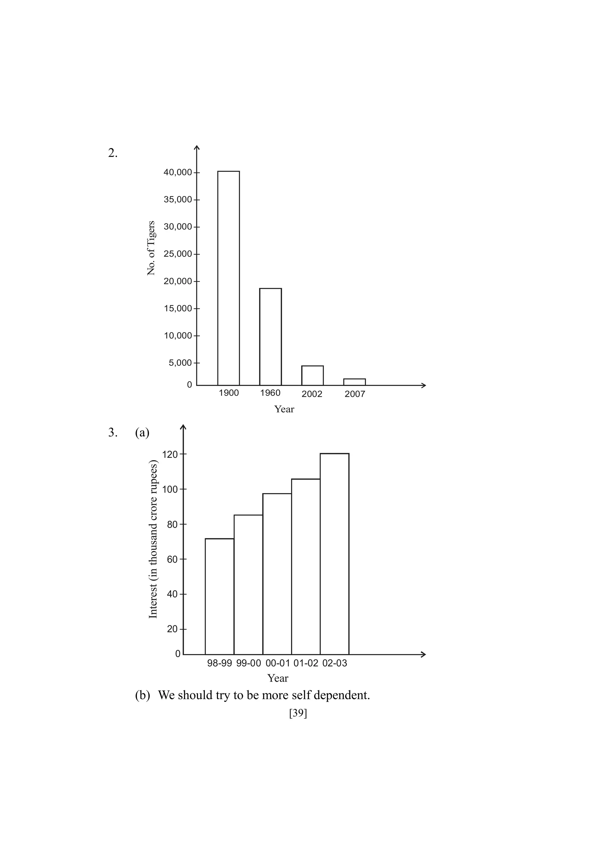
The following table shows the interest paid by India (in thousand
crore rupees) on external debts during the period 1998-99 to
2002-03.
Year
Interest
(in thousand
crore rupees)

1998-99 99-2000 2000-01 2001-02 2002-03
70
84
98
106
120

(a) Draw histogram of the above data.
(b) What conclusion will derive from above data ?

[35]
4.

The following bar garph represents the budget allocation by Govt. of
NCT of Delhi under Ladli scheme.

1200,0
10300
1000,0

Rs. (in Million)

9060

9160

2008-09

2009-10

800,0

600,0

400,0

200,0
5, 4
0
2007-08

2010-11

Estimated Budget

This scheme started in January 2008.
Read the above bar graph and answer the following questions.
(a) In which year the budget was minimum ?
(b) In which year the budget was maximum ?
(c) What values are depicted from the above data ?
5.

25 plants each were planted in 25 schools during Van Mahotsava.
16
10
15
17
20

20
12
22
9
15

23
7
11
4
18

10
9
13
10
18
[36]

6
15
21
12
22
(a) Prepare a frequency distribution table of the above data using
class interval 0-5 etc.
(b) What values are represented through this activity.
6.

A group of 10 students visited to a blind school. They donated Rs.
100, 120, 125, 50, 75, 100, 150, 100, 75, 85.
(a) Find mean, mode, median of this data.
(b) What impression will you receive through this ?

7.

The following data represents the power consumption of Delhi from
2001 to 2010.
Year

2001

2005

2006

2009

2010

Power demand (in MW) 2831

3490

3626

4408

4581

(a) Draw bar graph of above data.
(b) What represents through the above data.
8.

The following data represents the cases of deptheria and death due to
deptheria—
Year

2005

2006

2007

2008

2009

No. of cases of deptheria

47

50

45

190

340

Death due to deptheria

1

0

0

30

82

(a) In which year, the cases of deptheria were minimum ?
(b) In which year, the deptheria death occurs ?
(c) What value we draw from the above data ?
9.

The following data represents the cases of whooping cough in India
during the following years—
Year

2005-06

2006-07

2007-08

2008-09

2009-10

Cases

470

50

30

60

826

(a) Draw frequency polygon curve of the above data.
(b) What value represents this data ?
[37]
10. 10 people were asked about the time they spent in a week in doing
social work in their community. They said 10, 7, 13, 10, 20, 15, 10,
14, 12, 16 hours resp. Find the mean, mode, median time in a week
devoted by them for social work.
What value we draw from the above data ?

ANSWERS
(a) 2780
(b)

4000
3500
3000

Enrollment

1.

2500
2000
1500
1000
500
0

2000

2001

2002

2003

Year

(c) Awareness of people towards education
[38]

2004

2005
2.
40,000

No. of Tigers

35,000
30,000
25,000
20,000
15,000
10,000
5,000
0
1900

1960

2002

2007

Year

(a)
Interest (in thousand crore rupees)

3.

120

100

80

60

40

20
0
98-99 99-00 00-01 01-02 02-03

Year

(b) We should try to be more self dependent.
[39]
4.

(a) The budget was minimum in 2007-08.
(b) The budget was maximum in 2010-11.
(c) (i) Save the girl child.
(ii) Improving school enrollment.
(iii) Reducing insecurity among the parents having only daughter.

5.

(a)

Class Interval

No. of plants

0-5

1

5-10

4

10-15

7

15-20

7

20-25

6

(b) Conservation of earth by tree plantation.
6.

(a) By arranging the data in ascending order, we get
50, 75, 75, 85, 100, 100, 120, 125, 150
Mean =

80
= 98
10

Mode = 100
 5th  6th 
100  100 200

 100
Median =  2  term 
2
2



(b) Habit of giving donation for social cause

[40]
7.

(a)
5000
4500

Power Demand (in MW)

4000
3500
3000
2500
2000
1500
1000
500
0
2001

2005

2006

2009

2010

Year

(b) Save the electricity
8.

(a) In 2007, the cases of deptheria were minimum.
(b) In 2006 and 2007, no death due to deptheria occur.
(c) The vaccination programme should implemented to reduce cases
as well as deaths due to deptheria.
(d) Community services

[41]
9.

(a)

900
800

Cases

700
600
500
400
300
200
100
0

05-06 06-07 07-08 08-09 09-10

Year

(b) Community services
10. (a) Arranging in ascending order
7, 10, 10, 10, 12, 13, 14, 15, 16, 20
Mean =

7  10  10  10  12  13  14  15  16  20 127

 12.7
10
10

Mode = 10
Median =

12  13 25
5th  6 th

 12.5
term =
2
2
2

(b) Social service

[42]
PROBABILITY
1.

1500 families with 2 children were selected randomly, and the
following data were recorded—
No. of girls in a family

2

0

800

No. of families

1
500

200

(a) Compute the probability of a family having 2 girls.
(b) What value is promoted by this data ?
2.

On the occassion of Independence Day celebration out of 1200
students, 900 students took part in this celebration.
(a) Evaluate the probability that the students participated in the
celebration.
(b) What values are represented through this activity ?

3.

Sita says that in word MADAM, the probability of letter M is equal
to that letter A. Is she right? What value represents in it ?

4.

In 1000 families 750 families have 1 child and rest of families have
two children. Find the probability of having (a) 1 child and (b) two
children
What value represents from this ?

5.

In a colony, 920 out of 1000 people visited Radha Krishan Temple on
the occassion of Janamashtmi. Find the probability of people not
visited the temple. What value represents in this ?

6.

In a school, 100 students took part in Van Mahotsava and helped
each other in planting the tree.
Name of plants
No. of plants

Rose

Mari gold

Chameli

Jasmine

32

28

16

24

Find the probability of planting
(a) Rose

(b) Jasmine

What value represents here ?
[43]
7.

Mohan earns Rs. 30,000 in a month. He spends Rs. 25,000 on his
needs. What is the probability of his saving ? What value is depicted
from it ?

8.

In a town out of 1000 persons, 998 are literate. Calculate the probability
that a selected person is
(a) Literate

(b) Illiterate

What value do this data represent ?
9.

The blood groups of 15 students of class IX are recorded as follows—
A, B, O, O, AB, O, A, O, B, A, O, B, A, O, O, AB
Find the probability of blood group—
(a) O
(b) A
(c) What value do you draw from this activity ?

10. On Lajpat Nagar crossing, out of 100 people, 9 people jumped traffic
light. Find the probability of people not jumping traffic light. What
value is depicted from this ?

ANSWER
1.

(a)

800
8
=
1500 15

(b) Promotion to girl child
2

(a)

900 3
=
1200 4

(b) Love for Nation
3.

(a) P(M) = P(A) =

2
5

(b) Truth value
[44]
(a)

750
3
or
1000
4

(b)

4.

250
1
or
1000
4

(c) (i)
(ii)
5.

(a)

Population control
Small family is a happy family

80
2
or
1000
25

(b) Spiritual value
(a)

32
8
or
100
25

(b)

6.

24
6
or
100
25

(c) (i)
(ii)
7.

(a)

Environmental protection
Co-operation

5000
1
or
30000
6

(b) Habit of saving
8.

(a)

998
499
or
1000
500

(b)

2
1
or
1000
500

(c) Literacy rate is high in cities.

[45]
(a)

7
15

(b)

9

4
15

(c) (i)
(ii)
10

(a)

Habit of donation
Social work

91
100

(b) Society becomes aware to avoid accidents and save precious life.

[46]

Class 9 maths value based

  • 1.
    Directorate of Education Govt.of NCT of Delhi Value based support Material for the session 2012-13 Subject – Mathematics Class – IX Under the guidance of Dr. Sunita S. Kaushik Addl. DE (School/Exam) Coordination by : Shakuntla Mahajan (Principal) GGSS School, Sri Niwaspuri, New Delhi 110065 PREPARED BY : 1. Mrs. Savita Vij (Govt. Co-Ed S.S. School No. 1, Lajpat Nagar) 2. Mrs. Alka Gupta (GGSS School, Sri Niwaspuri) 3. Mrs. Suman Sharma (GGSS School, Sri Niwaspuri) 4. Mrs. Shradha Sharma (Govt. Co-Ed Sec. School, Jangpura) 5. Mrs. Babita Khanna (Govt. Co-Ed Sec. School, Jangpura) [1]
  • 2.
    LINEAR EQUATION 1. In avillage primary school enrolment of girls has doubled this year as compared to last year. Considering this year’s enrolment as ‘y’ and previous year’s enrollment as x : (a) Form a linear equation for this information. (b) If previous year’s enrolement was 35 find this year’s enrollment. (c) What is the value depicted here ? 2. On her birthday Sonia distributed chocolates in an orphanage. She gave 5 chocolates to each child and 20 chocolates to adults. Taking number of children as x and total chocolates distributed as y. (a) Form a linear equation. (b) If she distributed 145 chocolates how many children are there in the orphanage ? (c) Explain the value depicted here by Sonia. 3. In a housing society people decided to do Rainwater harvesting. Rainwater is collected in the underground tank at the rate of 30 cm³/ sec. Taking volume of water collected in x sec as y cm³. (a) Form a linear equation. (b) Write it in standard form as ax+by+c=0. (c) Which value is promoted by the members of this society ? 4. A man hires an auto rickshaw to cover a certain distance. The fare is Rs. 10 for first km and Rs. 7 for subsequent kilometers. Taking total distance covered as x km and total fare as y : (a) Write a linear equation for this. (b) The man covers a distance of 16 km and gave Rs. 120 to the auto driver. Auto driver said ‘‘It is not the correct amount’’and returned him the balance. Find the correct amount paid back by the autodriver. (c) Which value is depicted here by the autodriver ? [2]
  • 3.
    5. In a ‘‘Cleanlinessdrive’’ residents of certain locality joined together to clean neighbourhood area. Participation of children was 20 more than that by adults. Taking x as number of adults and y as number of children. (a) Form a linear equation. (b) What values are depicted here ? 6. Rehman and Prakash together contributed Rs. 500 towards Prime Minister Relief fund. (a) Write the linear equation for this. (b) Write the values involved in it. 7. Draw the graph of the linear equation 2(x+1)=3(y–1)–4 and check whether point (–3, +1) lies on the line ? Which value is depicted here ? 8. In a class, teacher asked about the equ. of line passing through the origin with options as : y+x=1, x+3y=2, x+y=0 Rehana answered it correctly as x+y=0. Choose the correct value : (a) Honesty (b) Equality (c) Truthfulness (d) Sincerity 9. Y 3 x=a x=b 2 1 –3 –2 –1 0 1 2 3 4 X –3 –2 –1 0 1 2 –1 –2 Y Fig. (i) Fig. (ii) [3] 3 4 X
  • 4.
    (a) In theabove fig. (i) & (ii) find the values of a & b. (b) Is a=b ? Justify your answer. (c) What is the value depicted here ? 10. (a) Every six months price of petrol increases at the rate of Rs. 4 per litre. Taking price of petrol in Dec. 2011 as ‘x’ and present price of petrol as ‘y’ form a linear equation showing amount spent on petrol in Dec. 2012. (b) Due to continuous rise in the petrol price people are shifting towards CNG in place of petrol whose price increases at a rate of Rs. 3 per litre in a year. Form a linear equation taking price of CNG in Dec. 2011 as ‘a’ and in Dec. 2012, as ‘b’. (c) Which fuel will you prefer and why ? (d) Which value is depicted by using CNG over petrol ? ANSWERS 1. (a) y=2x (b) y=2×35=70 (c) Freedom, Gender equality. 2. (a) y=5x+20 (b) 145=5x+20 125=5x x=25 (c) Happiness, Helpfulness 3. (a) y=30x (b) 30x–y+0=0 (c) Environmental protection, Co-operation. [4]
  • 5.
    4. (a) y=10+7(x–1) =10+7x–7 y=7x+3 (b) y=7×16+3 =112+3=115Rs. Amt. Paid back = 120–115 = 5 Rs. (c) Honesty, Truthfulness. 5. (a) y=x+20 (b) Co-operation, Happiness, Sincerity, Environmental protection. 6. (a) x+y=500 (b) Co-operation, Helpfulness 7. (a) Equation 2(x+1)=3(y–1)–4 2x+2=3y–3–4 2x–3y+9=0 Point (–3, +1) lies on it as 2×(–3)–3(+1)+9 = –6 – 3+9 = –9 + 9 = 0 = RHS. (b) Curiosity, Truthfulness, Scientific temper. 8. (c) Truthfulness 9. (a) a=3, b=3 (b) Yes (c) Scientific temper, Truthfulness, Knowledge. 10. (a) y=x+8 (b) b=a+3 (c) CNG, because CNG is cheaper than petrol. (d) Environmental protection. [5]
  • 6.
    QUADRILATERALS A 25c m 26 1. R cm Q P 28cm B C There is avisit in a school by Directorate of Education. Girls are asked to prepare Rangoli in triangular shape. Dimensions of ABC are 26 cm, 28 cm, 25 cm. Garland is to be placed along the side of PQR which is formed by joining midpoints of sides of ABC. (a) Find the length of garland. (b) What values are depicted here ? 2. A class teacher gave students coloured papers in the shape of quadrilateral. She asked them to make parallelogram from it using paper folding. (a) How can a parallelogram be formed by using paper folding ? (b) Prove that it is a parallelogram. (c) What values are depicted here ? 3. ABCD is a rhombus where ADC=120°. There are two fire stations at C and D and fire is reported at O. D C 120° O A B [6]
  • 7.
    (a) Which firestation team can reach early and why ? (b) Which value is depicted here ? 4. Sohan wants to show gratitude towards his teacher by giving her a card made by him. He has three pieces of trapezium pasted one above the other as shown in the fig. These pieces are arranged in a way that AB || HC || GD || FE. Also BC=CD=DE and GF=6 cm. He wants to decorate the card by putting up a coloured tape on non parallel sides of trapezium. A B H C G D F E (a) Find the total length of coloured tape required if DE = 4cm. (b) Which value is depicted by the student ? 5. A farmer has a field in the form of a parallelogram ABCD. One of his cow is suffering from some disease. To take good care of her, he tied the cow at one corner of the field. The corner angle of the field is 65°. B C 65° A D (a) Find all the other three angles of the field. (b) Explain the values depicted here. [7]
  • 8.
    6. A chocolate isin the form of a quadrilateral with sides 6 cm, 10 cm, 5 cm, 5 cm is cut into two parts along one of its diagonals by a lady. Part I is given to her maid and part II is equally divided among her driver and maali. 6 cm A B 5 cm II 10 I C cm 5 cm D (a) Is this distribution fair ? Justify it. (b) What value is depicted here ? 7. While analysing properties of quadrilateral a child says that all angles of a quadrilateral can not be obtuse. (a) Justify his answer. (b) What value is depicted in this activity ? 8. During Maths Lab Activity each student was given four broom sticks of lengths 8 cm, 8 cm, 5 cm, 5 cm to make different types of quadrilaterals. (a) How many quadrilaterals can be formed using these sticks. (b) Name the types of quadrilaterals formed. (c) While doing this activity which value is depicted ? 9- In a trapezium ABCD DC || AB and A=B=45°. teacher asked the student to find D.Naresh D C answered it as 135° (a) Is the answer correct ? Justify it. (b) Which value is depicted here ? [8] A B
  • 9.
    10- While discussingthe properties of a parallelogram teacher asked about the relation between two angles x and y of a parallelogram as shown in the fig. Teacher gave them three options as : D C x y A B (i) x > y (ii) x < y Beena gave the answer as x < y (a) Is this the correct answer ? (b) Justify the answer with suitable logic. (c) What is the value depicted in this ? QUADRILATERALS ANSWERS 1. (a) RQ | | BC and RQ = 1 BC 2 (Mid pt. theorem) RQ = 14 cm QP = 12.5 cm PR = 13 cm Perimetre = 14+12.5+13 = 39.5 cm (b) Beauty, happiness, co-operation [9] (iii) x = y
  • 10.
    A P B Q S 2. C R D (a) By joiningmid pts. of sides of a quadrilateral. (b) In ABD P & Q are mid point of AB and AD ∴ PQ || BD & PQ = 1 BD ......................(i) (Mid point theorem) 2 similarly, RS || BD & RS = 1 BD .......(ii) 2 from (i) & (ii) PQRS is a parallelogram (c) Curiosity, Happiness, Scientific Temper 3. (a) D will send the team early ODC = 60° & OCD = 30°  OC > OD (side opp. to larger angle is longer) (b) Serving the people with honesty 4. (a) AB || HC || GD || FE and BC = CD = DE AH = HG = GF (given three parallel lines making equal intercepts on any transversal then they will make equal intercepts on other transversal also) AF+FE = 18+12 = 30 cm (b) Happiness, beauty, knowledge [10]
  • 11.
    5. (a) A =C= 65° B = 180° – 65° =115° = D (b) Helpfulness, caring for every one 6. (a) Distribution is fair (b) BD  AD²  AB2  100  36  64 BD = 8 cm 1 ar (ABD)  × 6 × 8 2 = 24 cm2 ar (BCD) S= a + b+c 5+5+8 = = 9 cm 2 2 area = 9 × (9 − 5) × (9 − 5) × (9 − 8) = 9 × 4 × 4 ×1 = 12 cm2 (c) Helpfulness, Caring 7. (a) If A=91°, B=91°, C=91° then D < 90° as A+B+C+D = 360° (b) Scientific temper, knowledge 8. (a) Three type of quadrilaterals can be formed (b) Rectangle, parallelogram, kite (c) Scientific temper, curiosity [11]
  • 12.
    9. (a) DC || AB A +D = 180° D = 180° – 45° = 135° (b) Scientific temper, truth value 10. (a) Yes (b) ADB = DBC = y (alternate int. angles) since BC < CD (angle opp. to smaller side is smaller)  x<y (c) Truth value [12]
  • 13.
    AREAS OF PARALLELOGRAMSAND TRIANGLES 1. A craft mela is organised by Welfare Association to promote the art and culture of tribal people. The pandal is to be decorated by using string of bulbs all around the field. There are two options either to arrange it in a rectangular field ABEF or parallelogram ABCD with equal area. D F E A C B (a) What shape of the field should be chosen to minimise the expense of bulb and why ? (b) Which values are depicted here ? 2. A plot is in the form of a parallelogram ABCD. Owner of this plot wants to build OLD AGE HOME, DISPENSARY, PARK and HEALTH CENTRE for elderly people as shown in the fig. P is a point on the diagonal BD. A B Park Old Age Home Health P centre Dispensary D C (a) Prove that area alloted to old age home and dispensary is same. (b) Which values are depicted here ? [13]
  • 14.
    3. There was adeserted land near a colony where people used to throw garbage. Colony people united to develop a pond in triangular shape as shown in the fig. The land is in the shape of | |gm ABCD. In rest of the portion medicinal plants were grown. If area of parallelogram ABCD is 200 m2. B C Pond A D P (a) Calculate the area where medicinal plants were grown. (b) Which value is depicted here ? 4. For ‘Sarva Shiksha Abhiyan’ a rally was organised by a school. Students were given triangular cardboard pieces to write slogans. They divided the triangular shape into three equal parts by drawing medians as shown in fig. A F E G B D C (a) Prove that area (AGC) = area (AGB) = area (BGC) = 1 area (ABC) 3 (b) Which values are inculcated through this activity ? [14]
  • 15.
    5. Afarmer has asquare plot of land where he wants to grow five different crops at a time. On half of the area in the middle he wants to grow wheat but in rest four equal triangular parts he wants to grow different crops. (a) Explain by diagram how he can divide the area to fulfill his purpose. (b) By using this crop pattern which values are depicted by the farmer? 6. There is a plot in a village in the shape of a quadrilateral ABCD. Sarpanch wants to get floor cemented so as to use it for social gatherings and panchayat meetings. Later due to construction of park in the neighbourhood for children they decided to change the shape to triangle ABP. If AC | | DP D A B C P (a) Prove that ar (quad. ABCD) = ar (ABP) (b) What are the values depicted in this activity ? 7. On National Integration day a poster is to be made by class IX students of a school. This poster is in the shape of a parallelogram. All religions should be given equal triangular space to display their teachings. (a) How will they divide a parallelogram into four triangles equal in area ? Justify it. (b) What are the values depicted here ? 8. In a class, teacher gave two identical carboard pieces which are in the shape of a parallelogram to two groups. First group was asked to find [15]
  • 16.
    area of parallelogramusingAB as base. Then another group was asked to find height (h) of the parallelogram with AD as base. (a) How will they find value of h ? (b) What are the values involved here ? 9. In a class, teacher asks the students to cut a figure from a given parallelogram which has area equal to half the area of parallelogram X ABCD. D C Sunita joins the mid points of opposite sides of parallelogram as shown in the fig. Y A B Where as Rohan draws a triangle on the same base as shown in fig. D A C P B (a) State whether two answers are correct. Justify. (b) What values are depicted from this activity ? [16]
  • 17.
    10. In arhombus ABCD, AC = 8 cm, then AO = 4 cm. D C O A B The statement shows (a) Truth value (c) Environment value (b) Social value (d) Cooperation Justify your answer. ANSWER 1. (a) Rectangle as Perimeter of rectangle < Perimeter of parallelogram (b) Co-operation, helpfulness 2. (a) Join AC Diagonals AC & BD of a | |gm ABCD bisect at O.  AO = OC and BO = OD In APC, PO is median ( triangles equal in area) Median divides a triangle in two A B  ar (APO) = ar (CPO) ........... (i) P In ADC, DO is median O  ar (ADO) = ar(DCO) .......... (ii) Adding (i) & (ii) D ar (APO) + ar (ADO) = ar (CPO) + ar (DCO)  ar (ADP) = ar (DPC) (b) Helpfulness, happiness, cooperation [17] C
  • 18.
    3. (a) 100 sq.cm. (b) Environmental protection, cooperation 4. (a) In ABC, AD is median ar (ABD) = ar (ADC) ______ (i) also ar (GBD) = ar (GDC) ______ (ii) subtracting (ii) from (i) ar (AGB) = ar (AGC) similarly ar (AGB) = ar (AGC) = ar (GBC) (b) Cooperation, sincerity P A I 5. Q (a) B D IV S Wheat II III C R joining midpoints of sides (b) Increases fertility of soil, environmental protection, happiness. 6. (a) Since AC || DP ar (ADC) = ar (APC) ..............(i) ( triangles on the same base AC and between same parallels AC & DP are equal in area) Adding ar (ABC) to both sides of (i) ar (ADC) + ar (ABC) = ar (APC) + ar (ABC)  ar (ABCD) = ar (ABP) (b) Environmental protection, respecting others views [18]
  • 19.
    7. (a) Diagonals ofa | | gm divides it into four triangles of equal area. (b) Unity of nation, co-operation, fraternity 8. (a) Area of | |gm ABCD AB×DH = AD×BP 8×3 = 5×h 8× 3 =h 5 24 =h 5 h = 4.8 cm. (b) Scientific temper, cooperation 9. (a) Both are giving correct answer. (b) Scientific temper, curiosity, co-operation. 10. (a) Truth value [19]
  • 20.
    CIRCLES 1. Three friends ordered3 pizzas of same size for them. Just then two more friends joined them. They decided to share 3 pizzas among all 5 of them. (a) Find the area of the share of pizza each child gets if the radius of each pizza is 7 cm. (b) Which values of children are depicted here ? 2. During ‘Van Mahotsav’ celebration in a school a circular plot in the corner of the school was chosen. Five groups of students were selected to plant trees in each part as shown in the fig. II I III IV V (a) Which group gets the maximum area to develop and by how much, if the two radii are 210 cm & 105 cm respectively. (b) What values can be inculcated in students through this activity ? 3. The Indian hockey federation organized a friendly hockey match between India and Pakistan on a circular ground. The sale proceeds of this match shall be donated to an orphanage. A rectangular turf is spread on the ground as shown in the figure. 60m O [20] 80m
  • 21.
    (a) Find theradius of the stadium. (b) Which social values is depicted here ? (c) How does donation to charitable organisations help in the development of society ? 4. A school decided to paint its inner boundary wall. They planned to write quotations and social messages for the children on the circular areas of radius 40 cm each on the wall along a straight line. 40 cm 40 cm 40 cm 40 cm 200 m If the boundary wall is 200 m long (a) How many circles can be drawn ? (b) What values are inculcated in the students by this activity ? 5. A group of 66 students went for a picnic. They halted at a park for their lunch. They made a big circle and each child was 50 cm away from the other child along the circle. A 50 c m B C (a) Find the radius of the circle they formed. (b) What values do these students possess ? 6. An amusement fair was organised in a circular park for the children of slum clusters. Free food was supplied to them at 4 stalls situated at [21]
  • 22.
    A, B, Cand D as shown in the figure. A 90° B D 30m C (a) Find the distance between any two adjacent food stalls if the radius of the park is 30 m. (b) Are such activities helpful for society ? What are the other social issues for which such compaigns are required ? 7. Children of a colony decided to assist and help an old couple of the colony in developing their vacant plot as flower bed as shown here. The radii of the two circles is 245 cm and 210 cm. Grass Flowers (a) Find the area of the grass cover. (b) Which values are depicted by the children? 8. 3 STD booths situated at A, B and C in the fig. are operated by handicapped persons. These three booths are equidistant from each other as shown in the figure. (a) Find BOC (b) Do you think employment provided to handicapped persons is important for the development of a society ? Justify your answer. [22]
  • 23.
    9. During a practicalactivity in maths lab, students were using circular Geo board. The angle subtended by an arc at the centre is (2a+50°) Sakshi calculated BAC as (a+25°) (a) Is her finding correct ? Justify it. (b) Find BAC if a = 30 (c) Which values are depicted here ? 10. In a circle with centre O, ABCD is a cyclic quadrilateral. B A x y O C D x+y = 90° depicts which of these values ? (a) Social value (b) Freedom (c) Truth value (d) Gender equality Justify your answer. [23]
  • 24.
    ANSWERS 1. (a) 92.4 cm2 2. (a)Group III, 8662.5 sq. cm (b) co-operation (b) Environmental protection, beauty 3. (a) 50 m (b) Helpfulness, co-operation (c) This money is utilized for welfare of orphans. 4. (a) 250 (b) Beauty 5. (a) 5.25 m (b) Co-operation, happiness 6. (a) 30 2 m (b) Yes, for the inmates of old age home, orphanages, handicapped children etc. 7. (a) 50050 sq. cm (b) Helpfulness 8. (a) 120° (b) Yes 9. (a) Yes scientific temper (b) 55° (c) T r u t h , 10. ACD = 90° BAD + BCD = 180° (opposites angles of a cyclic quadrilateral) y+x+90 = 180  x + y = 90° Truthfulness, knowledge [24]
  • 25.
    CONSTRUCTION 1. Delhi traffic policewants to make a traffic signal board of the shape of an equilateral triangle of side 5 m to make the people aware of the traffic rules. Construct the above traffic signal board by taking each side as 5 cm (instead of m). What value is depicted here ? 2. Ram Lal has a triangular piece of land ABC in which B = 30°, C = 90°, AB+BC+CA = 11 m. He donated this to a vridhashram. Construct a triangle using above dimensions (use cm in place of m). What value represents here ? 3. Students of a school staged a rally for cleanliness campaign. They walked through the lanes AB, BC and CA which form a triangle. Construct the ABC in which BC = 8m, B = 45° AB–AC = 3.5m. What value represents here ? (Construct the triangle using cm in place of m) 4. A co-operative house adopted a triangular park PQR to maintain its greenary of dimensions QR = 7m, Q = 75° and PQ + PR = 13m, Make a  PQR using cm instead of m. What value represents here ? 5. The villagers of a village wish to make a pool to drink water for animals. They constructed it in the shape of a triangle. The dimensions of the pool are 5m and 12m and the angle between them is 90°. Construct it by taking as cm instead of m. What value represents here? 6. Mohan and Sohan constructed a right angle. Choose the correct option. What idea is depicted here? Sohan Mohan [25]
  • 26.
    (a) Mohan iscorrect (b) Sohan is correct (c) Both are correct (d) Both are wrong 7. Kavita makes a triangular shaped carpet of dimensions 5m, 5m and 6m and donates it to a blind school. Construct a triangle using the above dimensions in cm. What value represents here ? 8. Choose the correct option for A— A 1 (a) 60 + × 60 2 1 (b) 60 + × 60 4 1 (c) 60 + × 60 3 1 (d) 60 + × 60 5 What value is depicted here ? 9. Panther club made a tent to save poor people during winter season. They made its door triangular shape of sides 3m, 4m, 5m. Construct the door taking measurements of sides in proportion. What ideas are being promoted by the club ? 10. Aretired army officer wish to make an orphan house of right triangular shape in which one side is 13.5 m and sum of other side and hypotenuse is 15.5 m. Construct the triangle taking measurements in cms. What ideas promote here ? [26]
  • 27.
    ANSWERS 1. (a) Do correctconstruction (b) To make the people aware of traffic rules for safety measures. 2. (a) Do correct construction (b) Habit of donation 3. (a) Do correct construction (b) To make the environment clean. 4. (a) Do correct construction (b) (i) To make the environment clean. (ii) Community services 5. (a) Do correct construction (b) Social work 6. (a) Mohan is correct (b) Truth value 7. (a) Do correct construction (b) Habit of donation, social work 8. 1 (a) 60 + × 60 4 (b) Truth value 9. (a) Do correct construction (b) Community services, Social services 10. (a) Do correct construction (b) Community services [27]
  • 28.
    SURFACE AREAS ANDVOLUME 1. By stating the formula for the volume of cone as 1 1 v = π l 2 h − πh 3 3 3 the following value is depicted. (a) Truth value (c) Respect for other views 2. (b) Social value (d) Equality 50 students of class X planned a visit to an old age home and to spend the whole day with its inmates. Each one prepared a cylindrical flower vase using cardboard to gift the inmates. The radius of cylinder is 4.2 cm and the height is 11.2 cm. (a) What is the amount spent for purchasing the cardboard at the rate of Rs. 20 per 100 m2 ? (b) Which value is depicted by the students ? 3. In a flood hitted area, the volunteers of NSS erected a conical tent made of tarpaulin. The vertical height of the conical tent is 4m and the base diameter is 6m. If the width of tarpaulin is 1.5m then. (a) Find the length of the tarpaulin used, assuming that 10% extra material is required for stitching margins and wastage in cutting. (Take = 3.14) (b) Which value is depicted by the volunteers ? 4. On a construction site, a deep pit is barricaded from the remaining portion by using 50 hollow. Cones made of recycled plastic. Each cone has a base diameter of 40 cm and height 1 m. (a) What is the cost of painting all the cones if the outer side of each of the cones is to be painted and the cost of painting is Rs. 12 per m2. (Take = 3.14 and 1.04 = 1.02) (b) Name the values [28]
  • 29.
    5. Ashwani a factoryowner wants to thank all his workers by gifting a decorated spherical ball. The diameter of the sphere is (2a+5) cm. Each ball is to be packed in a right circular cylindrical box which just encloses a sphere as shown in the figure. 21cm If the height of the cylinder is 21cm then (a) What is the value of ‘a’ ? (b) What is the curved surface area of a sphere ? (c) Which value is shown by Ashwani ? 6. A residential colony has a population of 5400 and 60 litres of water is required per person per day. For the effective utilization of rain water, a group of people decided to do WATER HARVESTING. They constructed a water reserviour measuring 48m × 27m × 25m to collect the rain water. (a) For how many days the water of this tank is sufficient if during rain the height of water level is 5m. (b) Which value is shown by the group of people ? 7. The patients in a hospital are given soup daily in a cylindrical bowl of diameter 7cm. On a particular day, the girls of KANYA MAHAVIDYALAYA decided to cook the soup for the patients. If they fill the bowl with soup to a height of 5cm then how much soup is to be cooked for 300 patients ? Which value is depicted by the girls ? 8. The resident of society decided to paint the hall of cancer detective centre in their premises. If the floor of the cuboidal hall has a perimeter equal to 250 m and height 6m then (a) Find the cost of painting its four walls (including doors etc) at the rate of Rs. 8 per m2. (b) What is the amount contributed by 50 people ? (c) Which value is depicted by the residents ? [29]
  • 30.
    9. Sunidhi is curiousto find out the relationship between the diameter of the moon and the earth. From the data available, it is known that the volume of earth is 64 times the volume of the moon. She concluded that the diameter of the moon is 1 of the diameter of the earth. 4 (a) Justify her statement by proving it. (b) Which value is depicted by Sunidhi by conducting the experiment? 10. There are 100 students in a blind school. Mr. and Mrs. Ramesh wished to serve them milk. They have two options for serving the milk. Option A – A hemispherical bowl with radius 10.5 cm made up of ecofriendly material. Option B – A hemispherical bowl with radius 7 cm made up of plastic. (a) How many litres of milk is required if option A is taken. (b) Find the total quantity of milk (in litres) if option B is taken. (c) Mr. and Mrs. Ramesh opted for option A which value is shown by them. ANSWERS 1. volume of cone = 1 2 r h .................(i) 3 also l2 = r2 + h2 r2 = l2 – h2 .................(ii) substituting (ii) in (i) we get, 1 v    l2  h 2  h 3 1 1  l2 h  h 3 3 3 so ans. is (a) [30]
  • 31.
    2. (a) r =4.2 cm., h = 11.2 cm S.A. of cylindrical vase = CSA + area of base = 2rh + r2 = 2 × 4.2 × 11.2 + (4.2)2 = 4.2 (22.4 + 4.2) = 4.2  22  26.6 7 = 351.12 cm2 SA of 50 cylinder = 50 × 351.12 = 17556 cm2 Total cost = 17556 × 20 100 = Rs. 3511.20 (b) Social value / co-operation / caring for old people. 3. (a) CSA of conical tent = 3.14 × 3 × 32  4 2 = 47.1 m2 Area of trapaulin used = (47.1 + 10% of 47.1) m2 = 51.81 m2 Required length of trapaulin = 51.81 m 1.5 = 34.54 m (b) Social value, helpfulness 4. (a) r = 20 cm = 0.2 m h = 1m l2 = h2 + r2 = 1+.04 = 1.04 l = 1.04 = 1.02 m [31]
  • 32.
    curved S.A of50 cones = (50 × 3.14 × 0.2 × 1.02) m2 = 32.028 m2 Total cost of painting = Rs. 12 × 32.028 = Rs. 384.34 (b) Social value, environmental protection. 5. (a) diameter os sphere = height of cylinder 2a + 5 = 21 2a = 21–5 = 16 a=8 (b) CSA of sphere = 4r2 = 4 22 21 21   7 2 2 = 1386 cm2 (c) Social justice, caring 6. (a) Total volume of water = (48 × 27 × 5) m3 = 48×27×5×1000 litres Requirement of water for one day = 5400 × 60 litres No. of days = 48  27  5  1000 5400  60 = 20 days (b) environmental value, co-operation 7. (a) Volume of the cylinder = r2h 2 7 =     5 2 = 22 7 7   5 2 2 2 = 385 3 cm 2 [32]
  • 33.
    volume for 300patients = 385  300 2 = 57750 cm3 = 57.750 litres (b) Social cohension, happiness 8. P = 2(l+b) = 250 = l + b = 125 (a) Surface area of four walls = 2h (l+b) = 6 × 250 = 1500 m2 cost = 8 × 1500 = Rs. 12000 (b) Amount contributed = Rs. 240 (c) Social value, co-operation, social cohension 9. (a) Volume of earth = 64 × volume of moon 4 4 3  R1  64   R 3 2 3 3 3 ⇒ R1 = ( 4R 2 ) 3 Radius of earth = 4 × Radius of moon  1 Diameter of earth = Diameter of moon 4 (b) Curiosity, spirit of enquiry, scientific temper 10. (a) r = 10.5 cm volume of hemisphere = 2 3 r 3 Total volume = 2.42 × 100 = 242 l [33]
  • 34.
    (b) volume ofhemisphere = = 2 3 r 3 2 22   7 77 3 7 = 718.6 cm3 = 0.719 l Total volume = 100 × 0.719 = 71.9 l (c) Environmental value, social value [34]
  • 35.
    STATISTICS 1. The enrollment ofa school during six consecutive years was as follows— Year Enrollment of school 2000 1620 2001 2060 2002 2540 2003 3250 2004 3500 2005 3710 (a) Find the mean of the enrollment of the school for this period. (b) Draw a bar graph of the above data. (c) What value this data represent ? 2. Status of tigers in India in last 100 years is as follows— Year No. of Tigers 1900 1960 2002 2007 40,000 18,000 3642 1411 (a) Make bar graph of above data. (b) What idea promotes here ? 3. The following table shows the interest paid by India (in thousand crore rupees) on external debts during the period 1998-99 to 2002-03. Year Interest (in thousand crore rupees) 1998-99 99-2000 2000-01 2001-02 2002-03 70 84 98 106 120 (a) Draw histogram of the above data. (b) What conclusion will derive from above data ? [35]
  • 36.
    4. The following bargarph represents the budget allocation by Govt. of NCT of Delhi under Ladli scheme. 1200,0 10300 1000,0 Rs. (in Million) 9060 9160 2008-09 2009-10 800,0 600,0 400,0 200,0 5, 4 0 2007-08 2010-11 Estimated Budget This scheme started in January 2008. Read the above bar graph and answer the following questions. (a) In which year the budget was minimum ? (b) In which year the budget was maximum ? (c) What values are depicted from the above data ? 5. 25 plants each were planted in 25 schools during Van Mahotsava. 16 10 15 17 20 20 12 22 9 15 23 7 11 4 18 10 9 13 10 18 [36] 6 15 21 12 22
  • 37.
    (a) Prepare afrequency distribution table of the above data using class interval 0-5 etc. (b) What values are represented through this activity. 6. A group of 10 students visited to a blind school. They donated Rs. 100, 120, 125, 50, 75, 100, 150, 100, 75, 85. (a) Find mean, mode, median of this data. (b) What impression will you receive through this ? 7. The following data represents the power consumption of Delhi from 2001 to 2010. Year 2001 2005 2006 2009 2010 Power demand (in MW) 2831 3490 3626 4408 4581 (a) Draw bar graph of above data. (b) What represents through the above data. 8. The following data represents the cases of deptheria and death due to deptheria— Year 2005 2006 2007 2008 2009 No. of cases of deptheria 47 50 45 190 340 Death due to deptheria 1 0 0 30 82 (a) In which year, the cases of deptheria were minimum ? (b) In which year, the deptheria death occurs ? (c) What value we draw from the above data ? 9. The following data represents the cases of whooping cough in India during the following years— Year 2005-06 2006-07 2007-08 2008-09 2009-10 Cases 470 50 30 60 826 (a) Draw frequency polygon curve of the above data. (b) What value represents this data ? [37]
  • 38.
    10. 10 peoplewere asked about the time they spent in a week in doing social work in their community. They said 10, 7, 13, 10, 20, 15, 10, 14, 12, 16 hours resp. Find the mean, mode, median time in a week devoted by them for social work. What value we draw from the above data ? ANSWERS (a) 2780 (b) 4000 3500 3000 Enrollment 1. 2500 2000 1500 1000 500 0 2000 2001 2002 2003 Year (c) Awareness of people towards education [38] 2004 2005
  • 39.
    2. 40,000 No. of Tigers 35,000 30,000 25,000 20,000 15,000 10,000 5,000 0 1900 1960 2002 2007 Year (a) Interest(in thousand crore rupees) 3. 120 100 80 60 40 20 0 98-99 99-00 00-01 01-02 02-03 Year (b) We should try to be more self dependent. [39]
  • 40.
    4. (a) The budgetwas minimum in 2007-08. (b) The budget was maximum in 2010-11. (c) (i) Save the girl child. (ii) Improving school enrollment. (iii) Reducing insecurity among the parents having only daughter. 5. (a) Class Interval No. of plants 0-5 1 5-10 4 10-15 7 15-20 7 20-25 6 (b) Conservation of earth by tree plantation. 6. (a) By arranging the data in ascending order, we get 50, 75, 75, 85, 100, 100, 120, 125, 150 Mean = 80 = 98 10 Mode = 100  5th  6th  100  100 200   100 Median =  2  term  2 2   (b) Habit of giving donation for social cause [40]
  • 41.
    7. (a) 5000 4500 Power Demand (inMW) 4000 3500 3000 2500 2000 1500 1000 500 0 2001 2005 2006 2009 2010 Year (b) Save the electricity 8. (a) In 2007, the cases of deptheria were minimum. (b) In 2006 and 2007, no death due to deptheria occur. (c) The vaccination programme should implemented to reduce cases as well as deaths due to deptheria. (d) Community services [41]
  • 42.
    9. (a) 900 800 Cases 700 600 500 400 300 200 100 0 05-06 06-07 07-0808-09 09-10 Year (b) Community services 10. (a) Arranging in ascending order 7, 10, 10, 10, 12, 13, 14, 15, 16, 20 Mean = 7  10  10  10  12  13  14  15  16  20 127   12.7 10 10 Mode = 10 Median = 12  13 25 5th  6 th   12.5 term = 2 2 2 (b) Social service [42]
  • 43.
    PROBABILITY 1. 1500 families with2 children were selected randomly, and the following data were recorded— No. of girls in a family 2 0 800 No. of families 1 500 200 (a) Compute the probability of a family having 2 girls. (b) What value is promoted by this data ? 2. On the occassion of Independence Day celebration out of 1200 students, 900 students took part in this celebration. (a) Evaluate the probability that the students participated in the celebration. (b) What values are represented through this activity ? 3. Sita says that in word MADAM, the probability of letter M is equal to that letter A. Is she right? What value represents in it ? 4. In 1000 families 750 families have 1 child and rest of families have two children. Find the probability of having (a) 1 child and (b) two children What value represents from this ? 5. In a colony, 920 out of 1000 people visited Radha Krishan Temple on the occassion of Janamashtmi. Find the probability of people not visited the temple. What value represents in this ? 6. In a school, 100 students took part in Van Mahotsava and helped each other in planting the tree. Name of plants No. of plants Rose Mari gold Chameli Jasmine 32 28 16 24 Find the probability of planting (a) Rose (b) Jasmine What value represents here ? [43]
  • 44.
    7. Mohan earns Rs.30,000 in a month. He spends Rs. 25,000 on his needs. What is the probability of his saving ? What value is depicted from it ? 8. In a town out of 1000 persons, 998 are literate. Calculate the probability that a selected person is (a) Literate (b) Illiterate What value do this data represent ? 9. The blood groups of 15 students of class IX are recorded as follows— A, B, O, O, AB, O, A, O, B, A, O, B, A, O, O, AB Find the probability of blood group— (a) O (b) A (c) What value do you draw from this activity ? 10. On Lajpat Nagar crossing, out of 100 people, 9 people jumped traffic light. Find the probability of people not jumping traffic light. What value is depicted from this ? ANSWER 1. (a) 800 8 = 1500 15 (b) Promotion to girl child 2 (a) 900 3 = 1200 4 (b) Love for Nation 3. (a) P(M) = P(A) = 2 5 (b) Truth value [44]
  • 45.
    (a) 750 3 or 1000 4 (b) 4. 250 1 or 1000 4 (c) (i) (ii) 5. (a) Population control Smallfamily is a happy family 80 2 or 1000 25 (b) Spiritual value (a) 32 8 or 100 25 (b) 6. 24 6 or 100 25 (c) (i) (ii) 7. (a) Environmental protection Co-operation 5000 1 or 30000 6 (b) Habit of saving 8. (a) 998 499 or 1000 500 (b) 2 1 or 1000 500 (c) Literacy rate is high in cities. [45]
  • 46.
    (a) 7 15 (b) 9 4 15 (c) (i) (ii) 10 (a) Habit ofdonation Social work 91 100 (b) Society becomes aware to avoid accidents and save precious life. [46]