CHEM 351
INORGANIC POLYMERS AND
ELECTRON DEFICIENT COMPOUNDS
10/21/2014 1
COURSE OUTLINE
1.Electron-Deficient compounds e.g. Boron
compounds.
2. Inorganic Polymers, Rings, Cages and silicates
10/21/2014 2
REFERENCES
1.Concepts and Models of Inorganic Chemistry by bodie e.
Douglas, Darl H. McDaniel and John Alexander
2.Concise Inorganic Chemistry by J. D. Lee.
3.Chemistry of the Elements by N. N. Greenwood, A. Earnshaw.
4.Non-Metal Rings, Cages and Clusters by J. Derek Woollins
5.Advanced Inorganic Chemistry by F. A. Cotton, Geoffrey
Wilkinson et al.
10/21/2014 3
INTRODUCTION
• The formulas and structures of several kinds of compounds can
be predicted with the aid of the valence bond theory, molecular
orbital theory, the octet rule, and the 18-electron rule. However
the electronic and molecular structures of one large class of
compounds cannot be understood in these terms.
• At the very time G N. Lewis proposed the electron-pair bond,
Alfred Stock was preparing a series of compounds whose
formulas gave no hint as to their structures and whose
structure- once determined could not be accommodated by a
simple valence-bond model.
• Stock was able to prepare and characterize B2H6, B4H10, B5H9,
B5H11, B6H10 and B10H14. These compounds could be divided into
two groups hydrogen “rich” of general formula BpHp+6; and a
hydrogen “poor” of formula BpHp+4. A third series of very stable
anions BpHp
2- (which can be thought of as derived via
deprotonation of BpHp+2) has been prepared (p = 6 to 12)
10/21/2014
4
ELECTRON DEFICIENT COMPOUNDS
• These are compounds with too few electrons
for a Lewis structure to be written with an octet
around the central atom e.g. compounds of
group 1, 2 and 13 elements of the periodic table
especially compounds of boron.
• Electron-deficient compounds are compounds
in which the number of valence orbitals exceed
the number of valence electrons. (e.g. BH3,
B2H6, AlH3)
10/21/2014 5
ELECTRON PRECISE COMPOUNDS
• Compounds with the correct number of electron pairs
for bond formation with none left-over as non-bonding
electron pairs on the central atom; i.e. all valence
electrons of the central atom are engaged in bond
formation. E.g. carbon and carbon group of compounds
(group 14) (CH4, C2H6, SiH4, SnH4)
10/21/2014 6
ELECTRON RICH COMPOUNDS
• Compounds which have more electron pairs than are
needed for bond formation with the extra electron pairs
being present as non-bonding electron pairs on the
central atom. E.g. compounds of group 15, 16, 17
elements (NH3, H2Se, H2O, H2Te, H2S, PH3, HCl, AsH3, HF,
SbH3, HBr, HI)
10/21/2014 7
BORANES
• Boranes are compounds composed solely of boron and
hydrogen and may be neutral or anionic.
• STRUCTURE
• Boranes fall into five structure categories the most
important of which are:
(a) Closo-BnHn
2-  derived from the Greek word
meaning “closed or caged”.
(b) Nido-BnHn+4  derived from the Latin word meaning
“nest”.
(c) Arachno-BnHn+6  derived from the Greek word
meaning “spider’s web”.
10/21/2014 8
CLASSIFICATION OF HIGHER BORANES
(Electron counting)
• For boranes, the building blocks from which the
deltahedron is constructed is assumed to be a B-H unit.
• The electrons in the other B-H bond are ignored in the
counting procedure but all the others are included
whether or not it is obvious that they help to hold the
skeleton together.
• By skeleton we are referring to the framework of the
cluster with each B-H group counted as a unit.
• If B atom happens to carry two terminal hydrogen atoms
(HT) only one of the B-H bonds is treated as a unit.
10/21/2014 9
E.g.1 B4H10 ≡ (BH)4H6
If the structure or shape is
4(B-H) units 4 x 2e- = 8e-s 4 BHB’s
6H 6 x 1e- = 6e-s 2 additional BHTs
14e-s 1 BB
7 bonds
E.g.2. B5H11 ≡ (BH)5H6
5(B-H) units 5 x 2e- = 10e-s
6H Atoms 6 x 1e- = 6e-s
16e-s
8 bonds
10/21/2014 10
WADE’S RULE
1. Boranes of formula [BnHn]2- will be found to have the
CLOSO (caged) structure with a B unit at each corner
of a closed deltahedron and no BHB bonds in the
closo structure.
Such structure are known to have (n+1) skeletal
electrons.
These series of anions is known for n = 5 to 12
Trigonalbipyramidal [B5H5]2-
Octahedral [B6H6]2-
Icosahedral [B12H12]2-
NB: The closo hydroborates and carboranes are often
thermally stable and fairly unreactive.
10/21/2014 11
10/21/2014 12
2. Boranes with the formular BnHn+4 (BH)nH4
the NIDO (nest) structure (i.e can be viewed
as a closo structure which has lost one vertex
or corner and may have a BHB or a BB bond.
The compounds in this series contain (n+2)
skeletal pairs of electrons e.g. B2H6, B5H9,
B6H10, B10H14 etc.
In general, the thermal stability of NIDO
borane is intermediate between that of closo
and Arachno baranes.
10/21/2014 13
10/21/2014 14
3. The boranes with formula BnHn+6 ≡ (BH)nH6 the
Arachno (spider) structure and are like closo boranes
less two vertices and may also have BHB’s bonds. They
have (n+2) cornered polyhedron requiring (n+3)
skeletal electrons. They are the most unstable. E.g.
B4H10, B5H11, B6H12, B8H14, n-B9H15, i-B9H15
10/21/2014 15
10/21/2014 16
4. The boranes of formula BnHn+8 ≡ (BH)nH8 the
HYPHO (net) structure have the most open structure
in which the B atom occupy the n corners of an
(n+3) – cornered polyhedron requiring (n+4) skeletal
electron pairs.
No neutral boranes has yet been definitely
established in this series but known compounds of
B8H16 and B10H18 may prove to be hypho-boranes
and several adducts are known to have hypho-
structures.
10/21/2014 17
5. The boranes with formula BnHn+10 ≡ (BH)nH10 the Klado
structure. They have (n+4) cornered polyhedron requiring
(n+5) skeletal electrons.
Linkage between two or more of these polyhedral borane
clusters is indicated by the prefix CONJUNCTO- (Latin name
for “ I join together”). They have the formula BnHm. At least
five different types of interconnected borane clusters have
been identified and have the following features;
(a) Fusion by sharing a single common B atom e.g.
B15H23.
(b) Formation of a direct 2-centre B-B σ–bond between 2
clusters e.g. B8H18 i.e. (B4H9)2,
10/21/2014 18
(c) Fusion of two clusters via 2B atoms at a
common edge e.g. B13H19, B14H18, B14H20
(d) Fusion of two clusters via 3B atoms at a common
face; no neutral borane or borane anion is yet known
with this conformation but solvated complex
(MeCN)2B20H16.MeCN has this structure.#
(e) More extensive fusion of 4 B atoms in various
configurations e.g. B20H16, B20H.182-
10/21/2014 19
SUMMARY
TYPE FORMULA SKELETAL
ELECTRON PAIRS
CORNERS OF
POKLYHEDRON
EXAMPLES
Closo [BnHn]2- n+1 n [BnHn]2- to[B12H12]2-
Nido BnHn+4 n+2 n + 1 B2H6, B2H6, B2H6
Arachno BnHn+6 n+3 n + 2 B4H10, B5H11
Hypho BnHn+8 n+4 n + 3 B8H16, B10H18
Klado BnHn + 10 n+5 n + 4
Conjuncto BnH m B8H18, B15H23 etc.
10/21/2014 20
Using Wades Rule
E.g.
(i) [B5H5]2- Closo structure
5(B-H) 5 x 2e = 10e-s
overall charge 2e- = 2e-s
(5+1)e- pairs  12e-s
i.e. From the formula [BnHn]2- with (n+1) pair skeletal
electrons
(ii) B5H9 ≡ (BH)5H4 Nido structure
5(B-H) 5 x 2e = 10e-s
4H 4 x 1e = 4e-s
overall charge 2e- = 2e-s
(5+2)e- pairs  14e-s
From BnHn+4 with n+2 skeletal electron pairs
10/21/2014 21
STRUCTURAL CORRELATION
Very useful structural correlation between the Nido
and Arachno compounds is based on the observation
that clusters having the same number of skeletal
electrons are related by removal of such B-H groups
and the addition of the appropriate number of
electrons and H atoms.
This type of process relates the octahedral closo
[B6H6]2- anion to the square pyramidal nido-B5H9
borane which is in turn related to the butterfly-like
arachno-B4H10.
10/21/2014 22
10/21/2014 23
NOMENCLATURE
1. Neutral boron hydrides are named borane; a Greek prefix indicates
the number of B atoms; and Arabic number is omitted if only borane
containing a particular count is known B2H6 is usually referred to as
diborane.
2. Anionic species are named as hydroborates.
Greek prefixes separately indicate the number of H and the charge
on
the anion is given a parentheses following.
E.g. B5H8
- is octahydropentaborate (1-).
The structural type sometimes is specified when anions. i.e. B5H8
- is also
octahydro-nodo-pentaborane.
E.g.
B5H9 pentaborane (9)
B5H11 pentaborane (11)
B5H10 pentaborane (10)
10/21/2014 24
THE BONDING PROBLEM IN BORANES
Localized Bonding picture
Retaining the valence bond concept of the relationship
between bond distance and bond order a problem is
immediately encountered on examining the known
structures of boron hydrides.
The coordination number of each boron (and some of the
hydrogens) exceed the number of low-energy orbitals.
Ideally a bonding picture for electron-deficient compounds
would allow the same straight forward prediction of
geometry, reactivity, stoichiometry, redox properties,
acidity etc. that the valence bond approach permits “ for
regular compounds”.
10/21/2014 25
Early attempts to account for the electronic
structure of diboranes the simplest member of the
class, included the observation that B2H6 is
isoelectronic with ethane C2H4.
In this view we could regard the two bridging H’s in
the structure as protonating the double bond of
B2H4
2-.
Subsequent research has confirmed the acidic
nature of bridge H’s in the boranes.
10/21/2014 26
However this bonding picture is difficult to extent to
the higher boranes.
A straight forward application of valence bond
theory to the electronic structure of diboranes
requires some 20 resonance structures.
10/21/2014 27
PFIZER –BONDED (SP3) MODEL
• Two of the SP3-hybrid orbitals of each boron atom are used in
bonding with the terminal hydrogen and all these are involved in
2c, 2e bond.
• The two points towards the bridging H and interact with the 1S-
orbital of H to form 3c, 2e bonds (Hence the bonding in B2H6 is
diamagnetic due to the absence of unpaired electrons).
10/21/2014 28
BANANA (SP2 hybrid) Model
This model is better suited to the observation that HTBHT
angle ≡ 122◦ far apart from the that they are also 2c, 2e.
Generally bonding in boranes consist of the following:
(i) BHB (3c, 2e) ≡
(ii) BBB can be in two forms.
(a) closed – 3c – BBB (b) Opened – 3c – BBB bond
10/21/2014 29
MOLECULAR ORBITAL APPROACH
Simple covalent bonding theory molecular orbitals (MOs)
are formed by the linear combination of atomic orbitals
(LCAO); e.g. two atomic orbitals combine to give one
bonding and anti-bonding MOs and orbitals of lower
energy will be occupied by the electron pairs.
This is a special case of a more general situation in which a
number of AOs are combined together by the LCAO
methods to construct an equal number of MOs of differing
energies, some of which will be bonding, some possibly
non-bonding and some anti-bonding.
In this way 2-centre, 3-centre and multicentre orbital can
be envisaged
10/21/2014 30
In borane chemistry two types of 3-centre bond finds
considerable application: B-H-B bridge bonds and central 3-
centre B-B-B bonds.
The figure below shows the formation of a 3-centre B-H-B
orbital 1 from an SPx hybrid orbital on each of B(1), B(2) and H
1S orbital, H.
The three AOs have similar energy and appreciable spatial
overlap, but only the combination; (B1) + (B2) has the correct
symmetry to combine linearly with (H).
10/21/2014 31
The three normalized and orthogonal MOs have
the approximate form:
Bonding : 1  ½[(B1) + (B2)] + 1/2 (H)
Non-bonding (anti-bonding):
2  1/2 [(B1) - (B2)]
Anti-bonding : 3  ½[(B1) + (B2)] - 1/2 (H)
10/21/2014 32
Formation of a bonding central 3-centre bond 1 and schematic
representation of the relative energies of the 3 molecular orbitals
1, 2 and 3.
The approximate analytic forms of these MOs are:
Bonding : 1  [(B1) + (B2) + (B3)]/3
Anti-bonding : 2  [(B1) - (B2)]/2
Anti-bonding : 3  [(B1) + (B2) - 2(B3)]/6
For closo and for larger open cluster boranes it becomes
increasingly difficult to write a simple satisfactory localized
orbital structure, and full MO treatment is required.
10/21/2014 33
MO Description of bonding in B2H6
• The MO scheme for one of the B–H–B bridging
three center two electron bonds.
• The non-bonding orbital is actually of slightly
lower energy than shown and so has slight
bonding character.
• This arises from the fact that the orbitals
involved in the terminal B–H bonding have the
correct symmetry to overlap with the bridging
bond orbitals, resulting in a stabilization of the
‘nonbonding’ orbital.
10/21/2014 34
10/21/2014 35
MO Description of bonding in closo-B6H6
2-
Closo B6H6
2- has a regular octahedral cluster of 6
boron atoms surrounded by a larger octahedron of
radially disposed H atoms.
Framework MOs for the B6 cluster are constructed
(LCAO) using the 2S, 2Px, 2Py and 2Pz boron atomic
orbitals.
The symmetry of the octahedron suggests the use
of SP hybrids directed radially outward and
inwards from each boron along the cartesian axes
and 2 pure p orbitals at right angles to these (i.e
oriented tangentially to the octahedron).
10/21/2014 36
Six inward-pointing (SP)
orbitals used for a1g
framework bonding
molecular orbitals
Components for one
of the t2g framework
bonding molecular
orbitals – the other
two molecular orbitals
are in the yz and zx
planes
Six outward
pointing (SP)
orbitals Used for σ-
bonding to 6Ht
Components for one of
the t1u framework
bonding
molecular orbitals- the
other two molecular
orbitals are in the yz and
zx planes
10/21/2014 37
These set of atomic orbitals combine with due regard to
symmetry to give the MOs shown. In all 24 AOs on the 6B
atoms combine to give 24 MOs of which 7 (n+1) are
bonding framework MOs, 6 are used to form B-HT bonds
and the remaining 11 are anti-bonding.
10/21/2014 38
• The diagrams also indicate why neutral closo-boranes
BnHn+2 are unknown since the 2 anionic charges are
effectively located in the low lying inwardly directed a1g
orbital which has no overlap with protons outside the
cluster i.e. above the edges or faces of the B6 octahedron.
• Replacement of the Ht by 6B further builds up the basic
three dimensional network of hexaborides MB6 just as
replacement of the 4Ht in CH4 begins to build up the
diamond lattice.
• The diagrams also serve, with minor modification to
describe the bonding in isoelectronic species such as
closo-CB5H6
-, 1,2-closo-C2B4H6, 1,6-closo-C2B4H6 etc.
10/21/2014 39
• Similar though more complex diagrams can be derived for all
closo-BnHn
2- (n=6-12).
• These have the common feature of a low lying a1g orbital and n
other framework bonding MOs: in each case , therefore (n+1)
pairs of electrons are required to fill these orbitals as indicated
by Wade’s rules.
• It is a triumph for MO theory that the existence of B6H6
2- and
B12H12
2- were predicted by Longuet-Higgins in 1954-5 a decade
before B6H6
2- was first synthesized and some five years before
the (accidental) preparation of B10H10
2- and B12H12
2- were
reported.
• It is general feature of closo-BnHn
2- anions that there are no B-
H-B or BH2 groups and 4n boron atomic orbitals are always
distributed as follows:
10/21/2014 40
n in the n(B-Ht) bonding orbital
(n+1) in framework bonding MOs
(2n-1) in non-bonding and anti-bonding
framework MOs.
As each B atom contributes one electron to its B-Ht bond and
two electrons to the framework MOs, the (n+1) framework
bonding MO are just filled by the 2n electrons from nB
atoms and the two electrons from the anionic charges.
10/21/2014 41
TOPOLOGICAL APPROACH TO BORON HYDRIDE
STRUCTURE – styx numbers
• Lipscomb et al established a systematic procedure for
obtaining the valence structure of more complex boron
hydrides incorporating three-centre bonding.
• The procedure involve essentially determining the total
number of orbitals and electrons available for bonding.
• The number of B-H bonds and B-H-B three centre bond is
then counted and the requisite orbitals and electrons are
assigned.
• The remaining orbitals and electrons, considered to be
available for frame-work bonding, are distributed among
two-centre B-B bonds and three-centre B-B-B bonds.
• A systematic prescription for accomplishing this is
outlined.
10/21/2014 42
• Consider a neutral borane whose formula can be
written as BpHp+q.
• The molecule consists of p(BH) groups and q
“extra” hydrogens distributed between bridging
positions and BH groups (converting them to BH2
groups.
s = number of B-H-B bonds
t = number of B-B-B bonds
y = number of B-B bonds
x = number of BHT bonds
10/21/2014 43
• Several relations can be formulated between structural features
and available orbitals and electrons called equation of balance:
For hydrogen balance: q = s + x ………(1)
i.e. All the “extra” Hydrogens must be in B-H-B or BHT units
For orbital balance: p = s + t ……..(2)
The structure contains p boron atoms, each must participate in
one three-centre bond if it is to attain a complete octet.
This can be either a B-H-B or B-B-B
For electron balance:
The total number of electron pairs available for framework
bonding is p from the BH groups plus ½q from the extra ‘H’s.
These must be just enough to occupy the s + t + y frame work
bonds and the x BH2 bonds.
10/21/2014 44
Hence p + 1/2q = s + t + y + x ………..(3)
Substituting (1) and (2) into (3) we obtain
p – 1/2q = t + y ……………………..(4)
y = ½(s – x)…………………..(5)
In general;
s  x
but s  q
also s  q/2
 q/2  s  q
NB. These equations are diophantine equations
10/21/2014 45
• Applying the equation of balance to a compound of given
composition allows us to determine a set of styx numbers that
specify a valence structure.
eg 1. For B2H6  (BH)2H4 p = 2; q = 4
And we have : 4 = s + x; 2 = s + t; 0 = t = y  y = -t
The only possible solution is s =2, t = 0, y = 0, x = 2
(written 2002) and the structure corresponds to
s t y x
4 -2 2 0
3 -1 1 1
2 0 0 2
10/21/2014 46
eg 2. For B5H11  (BH)5H6 : p = 5; q = 6
This formulation gives (4) different styx numbers
6 = s + x; 5 = s + t; 2 = t + y  y = 2 – t; y = ½(s–x)
i.e. (3203), (4112), (5021), (6-130),
s t y x
6 -1 3 0
5 0 2 1
4 1 1 2
3 2 0 3
10/21/2014 47
• For 3203  5B, 3BHB, 2BBB, 0 BB, 3BHT
•
• OR
• For 4112  5B, 4BHB, 1BBB, 1BB, 2BHT
10/21/2014 48
• For 5021  5B, 5BHB, 0BBB, 2BB, 1BHT
10/21/2014 49
• In choosing the best structures the following additional
considerations must be kept in mind:
1. Every pair of adjacent B’s must be bonded to each other
through a B-B bond, B-H-B, or B-B-B bonds.
2. Pairs of B atoms bonded by a B-B bond may not be bonded
to one another by B-B-B, or B-H-B bond.
3. Nonadjacent pairs of B atoms may not be bonded by
framework bonds.
4. Other things being equal the preferred structure is the one
with the highest symmetry.
These considerations eliminate structures (4112) and (5021),
leaving the structure (3203).
10/21/2014 50
SYNTHESES AND REACTIVITY OF NEUTRAL
BORON HYDRIDES
• The best way to synthesize B4H10, B5H9, B5H11, and
B10H14, is to pyrolyze diborane, B2H6 under carefully
controlled conditions.
• The fact that such an approach is feasible becomes
clearer if we organize the borane family somewhat
differently.
• The chemical relationships between boranes may be
seen better when we combine the BpHp+q formulation
with another general formula (BH)n(BH3)x, where n can
assume values between 0 and 10 inclusively and x
assumes the values 1, 2 or 3.
10/21/2014 51
10/21/2014 52
• In the table we have some known and unknown
boranes and these are listed according to their n,
q and x numbers.
• The usefulness of this tabular form become
apparent when it is recognized that it shows that
two boranes may be converted to one another or
higher boranes can be made from simpler ones by
the application of one or more of the following
reactions in their proper sequence.
10/21/2014 53
(A) Gain or loss of BH3
• This is used to convert a borane of a given n and x
to a borane of the same ‘n’ but different ‘x’.
(B) gain or loss of H2
• This is used to convert a borane of a given ‘n’ and
‘x’ to one of the next higher or lower ‘n’ and ‘x’.
(C) Gain or loss of a BH unit
This is used to convert a borane of a given ‘n’ and
‘x’ to a borane of higher or lower ‘n’ but the same
‘x’.
10/21/2014 54
GENERAL SCHEME
10/21/2014 55
10/21/2014 56
PROPERTIES OF BORON HYDRIDES
PHYSICAL PROPERTIES
• Boranes are colourless, diamagnetic, molecular
compounds of moderate to low thermal stability.
• The lower members are gases at room temperature
but with increasing molecular weights they become
volatile liquids or solids.
• Their boiling points are approximately the same as
those of the hydrocarbons of similar molecular
weights.
10/21/2014 57
• The boranes are all endothermic and their free
energy of formation Gf
◦ is also positive:
• Their thermodynamic instability results from
exceptionally strong interatomic bonds in both
elemental B and H2 rather than the inherent
weakness of the B-H bond.
• The bond energies of typical boranes are B-HT -
380, B-H-B – 440, B-B – 330 and B-B-B – 380 kJmol-
1 compared to the bond energy of 436 kJmol-1 for
H2 and heat of atomization of crystalline boron of
555 kJmol-1 of B atoms (ie. 1110 kJmol-1 of 2B
atoms).
10/21/2014 58
• Physical properties of some boron compounds
Nido - boranes Arachno - boranes
Compound mp bp Hf
◦/kJm
ol-1
Compound mp bp
B2H6 -164.9◦ -92.6◦ 36 B4H10 120◦ 18◦ 58
B5H9 -48.8◦ 60◦ 54 B5H11 122◦ 65◦ 67 (93)
B6H10 -62.3◦ 108◦ 71 B6H12 -82.3◦ 85◦
(extra)
111
B8H12 Decompose
above -35◦
- B8H14 Decompose
above 30◦
-
B10H14 99.5◦ 213◦ 32 n-B9H15 120◦ 120◦ -
10/21/2014 59
CHEMICAL PROPERTIES
• Boranes are extremely reactive and several are
spontaneously flammable in air.
• Arachno- boranes tend to be more reactive (less
stable to thermal decomposition) than nido-
boranes and reactivity also diminishes with
increasing molecular weight.
• Closo-borane anions are exceptionally stable and
their general chemical behavior has suggested
the term” three dimentional aromaticity.
10/21/2014 60
• Boron hydrides are extremely versatile
chemical reagents but the very diversity of
their reactions make a general classification
unduly cumbersome.
• Instead, the range of behavior will be
illustrated by typical examples taken from the
chemistry of the three most studied boranes:
B2H6, B5H9 and B10H14.
10/21/2014 61
Chemistry of diborane, B2H6
• B2H6 occupies a special place because all
other boranes are prepared from it.
• It is also the most studied and
synthetically useful reagent in the whole
of chemistry.
10/21/2014 62
PREPARATION
(i) B2H6 gas is most conveniently prepared in small
quantities by the reaction of I2 on NaBH4 in
diglyme[(MeOCH2CH2)2O] or by the reaction of a solid
tetrahydroborate with an anhydrous acid:
(ii) When B2H6 is used as reaction intermediate without the
need for isolation or purification the best procedure is to
add Et2OBF3 to NaBH4 in a polyether such as diglyme.
10/21/2014 63
(iii) On the industrial scale by the direct reduction of
BF3 with NaH at 180C and the product formed
trapped out as it is formed to prevent subsequent
pyrolysis:
10/21/2014 64
REACTIONS OF B2H6
(i) Combustion
Care should be taken in these reactions because B2H6 is
spontaneously flammable. Has a higher heat of combustion
per unit weight of fuel than any other substance except H2,
BeH2 and Be(BH4)2
(ii) Pyrolysis
B2H6 undergoes complex pyrolysis in sealed tubes at
temperatures above 100 C forming a variety products
depending on the conditions. The initiating step is the
unimolecular dissociation equilibrium;
10/21/2014 65
• Initiating step:
• Stable intermediate B4H10 is then followed by
B5H11
• A complex series of further steps gives B5H9, B6H10,
B6H12 and higher boranes culminating in B10H14 as
the most stable end product together with polymeric
materials BHx and a trace of icosaborane B20H26.
10/21/2014 66
• Cleavage reactions : Bridge bonds are readily
cleaved even by weak ligands to give either
symmetrical or unsymmetrical cleavage products.
• Symmetrical products (Homolytic)
• Unsymmetrical products (Heterolytic)
10/21/2014 67
• The factors governing the course of these reactions are
not fully understood but steric effects play some role eg.
NH3, MeNH2 and Me2NH give unsymmetrical cleavage
products whereas Me3N gives the symmetric cleavage
product Me3NBH3.
• symmetrical cleavage is the more common mode and
thermochemical and spectroscopic data lead to the
following sequence of adduct stability for LBH3.
• PF3  CO  Et2O  Me2O  C4H8S  Et2S  Me2S  py 
Me3N  H-
• The relative stability of sulphide adducts is more notable
and many other complexes with N, P, O, S etc. donor
atoms are known.
10/21/2014 68
• The H- is a special case since it gives the
symmetrical tetrahedral ion BH4
- isoelectronic
with CH4.
• The BH4
- ion itself provide a rare example of a
ligand that can be unidentate, bidentate or
tridentate (eg. [cu1( 1- BH4)(PMePh2)3], [Cu1(
2 – BH4)(PPh3)2]; [ZrIV(3 – BH4)4]).
• In addition to pyrolysis and cleavage
reactions, B2H6 undergoes a wide range of
substitution, redistribution and solvolytic
reactions:
10/21/2014 69
10/21/2014 70
Hydroboration
• Addition of B2H6 to alkenes and alkynes in ether solvent at
room temperature.
• Hydroboration is regiospecific, the boron atom showing
preferential attachment to the least substituted carbon
atom (anti-Markovnikov).
• Protonolysis of the resulting organoborane by refluxing it
with an anhydrous carboxylic acid yields the alkane
correponding to the initial alkene.
• Oxidative hydrolysis with alkaline hydrogen peroxide yields
the corresponding primary alcohol:
10/21/2014 71
Thermal isomerization
• Diborane is an electrophilic reducing agent which
preferentially attacks a molecule at a position of high
electron density.
• Internal alkanes can be thermally isomerized to terminal
organoboranes and hence to terminal alkenes (by
displacement) or to primary alcohols;
10/21/2014 72
• In the case of heteropolar double and triple bonds the
boryl group BH2 normally adds to the more electron rich
atom i.e. O atom in carbonyl and N atom in CN and CN.
• Thus after protonolysis aldehydes yield primary alcohol
and ketones yield secondary alcohols, although in the
presence of BF3 complete reduction of CO to CH2 may
occur.
• Likewise nitriles are reduced to amines, oximes to N-
alkylhydroxylamines, and Schiff’s bases to secondary
amines.
10/21/2014 73
(VI) Reductive cleavage:
Reductive cleavage of strained rings such as those in
cyclopropanes and epoxides occur readily and acetals (or
ketals) are also reductively cleaved to yield an ether and
an alcohol:
10/21/2014 74
(VI) Removal of atoms:
Removal of O atoms occur either with or without
addition of H atoms to the molecule.
Thus phosphine oxides give phosphines and
pyridine-N-Oxides gives pyridine without addition
of H atoms, whereas aromatic nitroso compounds
are reduced to amines and cyclic diones can be
successively reduced by replacement of CO by CH2
eg.
10/21/2014 75
CHEMISTRY OF NIDO-PENTABORANE, B5H9
• Preparation:
(i) B5H9 can be prepared by passing a 1:5 mixture of B2H6
and H2 at subatmospheric pressure through a furnace at
250 C with a 3-s residence time (or at 225 C with a 15-s
residence time) there is a 70 % yield and 30%
conversion.
(ii) Pyrolysis of B2H6 for days in a hot/ cold reactor at 180 C.
(iii) Apex-substituted derivatives 1-XB5H8 can be readily
prepared by electrophilic substitution (eg. Halogenation
or Friedel Craft’s alkylation with RX or alkenes)
10/21/2014 76
(iv) 2-XB5H8 results when nucleophilic reaction is induced
by amines or ethers, or when 1-XB5H8 is isomerized in the
presence of a lewis base such as hexamethylene tetramine
or ether:
(v) Further derivatives can be obtained by metathesis eg.
10/21/2014 77
REACTIONS
(i) Lewis bases
B5H9 reacts with lewis bases (electron pair donors) to form
adducts eg with PMe3 to give [B5H9(PMe3)2].
(ii) Weak Bronsted acid:
B5H9 acts as a weak acid. The acidity increases with
increasing size of the borane cluster and arachno-boranes
are more acidic than nido-boranes.
Nido : B5H9  B6H10  B10H14  B16H20  B18H22
Arachno : B4H10  B5H11  B6H12 and B4H10  B6H10
10/21/2014 78
B5H9 can be deprotonated at low temperature by loss of H to give
B5H8- providing a sufficiently strong base such as a lithium alkyl or alkali
metal hydride is used.
(iii) Cluster expansion :
(iv) Cluster degrading :
10/21/2014 79
(v) Subrogation of a {BH}
Subrogation of a {BH} unit in B5H9 by an ‘isoelectronic’
organometallic group such as {Fe(5-C5H5)} can occur and this
illustrates the close interrelation between metalloborates,
metal-metal cluster compounds and organometallic complexes
in general. Eg. [1-{Fe(CO)3}B4H8] ; [1-{Co(5-C5H5)}B4H8] ; [2-
{Co(5-C5H5)}B4H8] .
10/21/2014 80
Nido-decaborane, B10H14
• Decaborane is the most studied of all
polyhedral boranes and one time (mid 1950s)
was manufactured on a multi-ton scale in the
US as a potential high- energy fuel.
• It is now obtained in research quantities by
the pyrolysis of B2H6 at 200 C in the presence
of catalyst of Me2O.
10/21/2014 81
Physical Properties
• It is a colourless, volatile, crystalline solid insoluble in
water but readily soluble in a wide range of organic
solvents.
• Its structure is regarded as derived from the 11B atom
cluster B11H11
2- by replacing the unique BH group with
two electrons and appropriate addition of 4H.
10/21/2014 82
• Molecular orbital calculations give a sequence of
electrons charge densities at various B atom as 2, 4,  1,
3,  5, 7, 8, 10  6, 9 though the total range of deviation
from charge neutrality is less than  0.1
S = 4
t = 6
y = 2
x = 0
10/21/2014 83
Chemical properties
• The chemistry of B10H14 can be conveniently be
discussed under the headings
(a) Proton abstraction,
(b) Electron addition,
(c) Adduct formation,
(d) Electrophilic substitution:
(e) Nucleophilic substitution
(f) Clusteraddition reaction
10/21/2014 84
(a) Proton abstraction
• B10H14 can be titrated in aqueous/alcoholic media
as a monobasic acid : pka 2.70.
• Proton abstraction can also be effected by other
strong bases such as H-, OMe-, NH2
- etc.
• X-ray studies on [Et3NH]+[B10H13]- established that
the ion is formed by loss of a bridge proton as
expected and this results in considerable
shortening of the B(5)-B(6) distance from 179 pm
in to 165 pm in B10H13
-.
10/21/2014 85
• Under more forcing conditions with NaH a second
H can be removed to give Na2B10H12 ; B10H12
2-;
the anion acts as a normal bidentate (tetrahapto)
ligand with many metals.
(b)Electron addition
• Electron addition to B10H14 can be achieved by
direct reaction with alkali metals in ether,
benzene or liquid NH3.
10/21/2014 86
• A more convenient preparation of the B10H14
2-
anion uses the reaction of aqueous BH4
- in alkaline
solution.
• Calculations show that this conversion of nido-
borane to arachno-cluster reverses the sequence
of electron charge density at the 2,4 and 6,9
positions so that for B10H14
2- the sequence is 6, 9, 
1, 3,  5, 7, 8, 10  2, 4, this is paralleled by changes in the
chemistry.
10/21/2014 87
(c) Adduct formation
• B10H14
2- can formally be regarded as B10H12L2 for
the special case of L = H-.
• Compounds of intermediate stoichiometry B10H13L
are formed when B10H14 is deprotonated in the
presence of the ligand L :
10/21/2014 88
• The adduct can be prepared by direct reaction of
B10H14 with L or by ligand replacement reactions:
• Ligands L and L’ can be drawn virtually from the
full range of inorganic and organic neutral and
anionic ligands and indeed, the reaction severely
limits the range of donor solvents in which B10H14
can be dissolved.
10/21/2014 89
• The approximate sequence of stability is:
SR2  RCN  ASR3  RCONMe2  P(OR)3  py  NEt3
 PPh3.
Bis-ligand adducts of moderate stability play an
important role in activating decarborane for several
types of reactions eg:
1. Substitution
10/21/2014 90
2. Cluster rearrangement;
3. Cluster addition;
4. Cluster degradation
--In the cluster degradation reaction it is the
coordinated B atom at position 9 that is solvolytically
cleaved from the cluster.
10/21/2014 91
(d) Electrophilic substitution:
• Electrophilic substitution of B10H14 follows the
sequence of electron densities in the ground
state molecule.
• Halogenation in the presence of AlCl3 leads to 1-
and 2- monosubstituted derivatives and 2, 4-
disubstitution.
• Friedel Crafts alkylation with RX/AlCl3 (or FeCl3)
yields mixtures such as 2-MeB10H13, 2, 4- and 1,
2- Me2B10H12, 1, 2, 3- and 1, 2, 4-Me3B10H11 and
1, 2, 3, 4-Me4B10H10.
10/21/2014 92
(e)Nucleophilic substitution
• This occurs preferentially at the 6(9) position ; eg
LiMe produces 6-MeB10H13 as the main product
with smaller amounts of 5-MeB10H13, 6, 5(8) –
Me2B10H12 and 6, 9-Me2B10H12.
(f) Clusteraddition reaction
• B10H14 undergoes numerous cluster addition
reactions in which B or other atoms become
incorporated in an expanded cluster.
10/21/2014 93
• A more convenient high yield synthesis of B10H12
2-
is by the direct reaction of amine boranes with
B10H14 in the absence of solvents.
• Heteroatom cluster addition reactions are
exemplified by the following:
• The structure of the highly reactive anion
[AlB10H14]- is thought to be similar to the nido-
B11H14
- with one facial B atom replaced by Al.
10/21/2014 94
• (The open face comprises of fluxional system
involving the three additional H atoms)
• The metal alkyls act somewhat differently to give
extremely stable metalloborane anions which can
be thought of as complexes of bidentate ligand
B10H12
2-.
10/21/2014 95
• Many other complexes [M(B10H12)2]2- and [L2M(B10H12)]
are known with similar structures except that, where M
= Ni, Pd, Pt, the coordination about the metal is
essentially square-planar rather than pseudo-
tetrahedral as for Zn, Cd and Hg.
10/21/2014 96
CARBORANES
• Closely related to the polyhedral boron hydrides
is a large family of carboranes (carbaboranes),
which are clusters that contain both B and C
atoms.
• TYPE 1: methyldiboranes (MeB2H6-n) where n = 1,
2, 3, 4 not 5 or 6.
• Similar derivatives of diborane in which the
borane group replaces the terminal hydrogen of
the parent borane are also known.
10/21/2014 97
Type II
These are actual carboranes where both B and C
feature in the electron deficient molecular skeleton.
Closo-carboranes – C2Bn-2Hn (n=5 to n=12)
• Dicarba-closo-boranes
These are neutral species and isoelectronic with
BnHn
2-
Eg. C2B3H5
10/21/2014 98
C2B4H6
NIDO CARBORANES [C2Bn-2Hn
2-]
These have n cage atoms and n+2 pairs of cage bonding
electrons and n+1 corners.
Structurally they adopt an incomplete cage structure, nido or
nest structure i.e one cage corner is left vacant though when
obtained as metal salts, the metal cation may occupy the
vacant site in the crystal.
Isoelectronic species which might all be expected to have the
nido structures are: BnHn
4-, CBn-1Hn
3-, C2Bn-2Hn
2-, C3Bn-3Hn
-,
C4Bn-4Hn.
10/21/2014 99
HEXABORANE (10)
B6H10 is the limiting member of a series of five
compounds containing six cage atoms and 8 pair of
bonding electrons.
10/21/2014 100
ARACHNO CARBORANES
• Very few of these are known. The series are: BnHn
6-,
CBn-1Hn
5-, C2Bn-2Hn
4-, C3Bn-3Hn
3-, C4Bn-4Hn
2-, C5Bn-5Hn
- and
C6Bn-6Hn.
• The parent hypothetical anion BnHn
6- are effectively the
skeletons of a (BH)pHq in which q=6, eg. B4H10 and B5H11.
• These have n cage atoms and n+3 pairs of cage bonding
electrons i.e the right number for a cage with n+2 corners.
• They accordingly adopt the arachno structure in which
two cage corners are left vacant eg. C2B7H13, C2B8H10,
C2B3H7
2-
10/21/2014 101
Preparation and Reactions
of carboranes
• The most important preparative route is the
reaction of boranes with acetylenes
• The isomers of the closo compound C2B10H12 have
icosahedral geometry and exhibit extremely high
kinetic and thermodynamic stability.
10/21/2014 102
• The 1, 2-; 1, 7-; 1, 12- isomers have the common
names o- m- and p-carboranes respectively.
• o-carborane has been given the following symbol
in literature
10/21/2014 103
• Reactions at B center in carboranes parallel those
of boranes bridge proton abstraction and
electrophilic substitution, including halogenation.
The terminal H attached to electrophilic C are
relatively acidic .
• Hence these C centers can be metallated
10/21/2014 104
• The metallated products retain structural integrity
and can react with nucleophiles to produce a large
number of C-substituted derivatives.
• Thermal isomerization occur. The diamond-
square-diamond mechanism has been proposed
for the isomerization of the 1,2- to 1,7- by
Lipscomb but the 1.12- isomer cannot be
generated by this mechanism.
• Moreover, the activation energy required to pass
through the cubo-octahedral transition state is
likely to be rather too high.
10/21/2014 105
• The diamond-square-diamond mechanism consists of a
pair of triangular faces at right angles which open into a
square and rejoin with a different pair of vertices
connected.
10/21/2014 106
• An alternative proposal which can lead to both the 1, 7-
and 1, 12- isomers, is the successive concerted rotation of
the 3 atoms on a triangular face.
• Yet a third possible mechanism that has been envisaged
involves the concerted basal twisting of two parallel
pentagonal pyramids, comprising the icosahedron.
• It is conceived that the various mechanism operate in
different temperature ranges or that two (or all three)
mechanisms are active simultaneously.
10/21/2014 107
• O-carborane is attacked by a base that excises a BH
group, generating a nido anion that retains
structural integrity.
• The 1,7-isomer can be obtained by thermal
rearrangement of the anion or by starting with m-
carborane.
• NaH in tetrahydrofuran deprotonates the anion,
giving a dianion B9C2H11
2-.
• Assuming for convenience sp3 hybridization of the
five atoms on the open face, a set of MO’s
reminiscent of the Cp- anion may be constructed.
• The MO’s are occupied by six electrons.
10/21/2014 108
• Hawthorne has exploited the analogy between
B9C2H11
2- (the dicarballide ion) and Cp- to prepare
metal dicarballide complexes related to the
metallocenes.
10/21/2014 109
• A general technique for preparing such complexes
involves excision of a BH group through base
degradation and reaction of the resulting anion with a
metal halide.
10/21/2014 110
Nomenclature for Heteroborates
• Vertices of closo- nido- and arachno-polyhedra are given
numbers based by convention on planar projections of
polyhedral structures.
• The numbering is by zones (planes) perpendicular to the
major axis.
• Interior vertices on the projection are numbered first,
then peripheral ones.
• This corresponds to numbering apical vertices with lower
numbers.
• The numbering proceeds clockwise starting from the
twelve o’clock position or at the first position clockwise.
The location of heteroatoms can be specified by numbers.
10/21/2014 111
• PB11H12 is phospha-closo-dodecaborane (12). There is no
need to specify the position of P since all icosahedral
vertices are equivalent.
10/21/2014 112
General organizational scheme for the neutral boron
hydrides, the closo-polyhedral, hydroborate ions, and the
carboranes
• Given the molecular formula, a method is needed for
predicting the probable structural classification of a boron
compound i.e. either a closo-, nido- or arachno-.
• As described earlier on, the (BH)pHq symbolism is best for
structural purposes and these scheme has been extended by
Wade and Rudolph.
• The formula of any neutral borane, hydroborate or carborane
can be written as:
• Where the number of vertices of the polyhedral fragment is
(a+p) = n and the qHs are involved in a BHB or extra BHT’s.
10/21/2014 113
• Assuming that the number of electron pairs
contributed by CH is 3/2
• The number of framework electrons is given by :
3/2a + p +1/2(q + c)
= 3a + 2p + q + c
=2n + a + q + c
Since n = a + p, 2n = number of vertices
When, a + q + c = 2 closo
a + q + c = 4 nido
a + q + c = 6 arachno
10/21/2014 114
• Eg. [B6H6]2-
(BH)6
2- = (6x3e-s) + (6x1e-) + 2e-s = 26e-s
6B-H = (6x2e-s) = -12e-s
2n + a + q + c = 14e-s
2n = -12e-s
Closo a + q + c = 2e-s
• B5H11
(BH)5 = (5x3e-s) + (11x1e-) = 26e-s
5B-H = (5x2e-s) = -10e-s
2n + a + q + c = 16e-s
2n = -10e-s
Arachno a + q + c = 6e-s
10/21/2014 115
 Nido boranes (BH)pH4
 Arachno boranes (BH)pH6
• Thus a nido borane is a fully protonated (BH)p
4-
and the arachno borane is a fully protonated
(BH)p
6-
• When we look at (BH)p
c- formulation this suggest
that a great range of compounds containing the
(BH) units or some other group also capable of
donating 2e-s to the polyhedral framework could
be obtained.
• Thus a BH unit can be replaced by CH+; P+, S2+, N+
or O2+.
10/21/2014 116
• Eg. The closo-B4C2H6 may be generated from a
closo B6H6
2- by the removal of 2BH units and
adding 2CH+ groups or units.
• The formula of this ion 7, 8-B9C2H12
- anion may be
written as [(CH)2(BH)9H]- if we compare with [(BH)11H]3-.
The [(CH)2(BH)9H]- anion compared with [(BH)9H]3- with
2CH+ unit replacing 2BH units and with a proton H+
stitching up part of the opened face.
10/21/2014 117
• Here the a + q + c = 4 since it is a nido
• Deprotonation of 7, 8-B9C2H12
2-
and this is a carborane isoelectronic with the
(BH)11
4-
• On the other hand protonation of the nido-7,
8-B9C2H12
- ion gives a neutral compound nido
7, 8-B9C2H13.
10/21/2014 118
• Pyrolysis of the molecule can give a nido- 7, 8-B9C2H13 in
solution can give a closo- polyhedron-2, 3-B9C2H11.
9B 9x3e- = 27e- 9B 9 x3e- = 27e- 9B 9 x3e- =
27e-
9H 9 x1e- = 9e- 11H 11 x1e- = 11e- 12H12 x1e- = 12e-
1S2+1 x4e- = 4e- 1S2+1 x4e- = 4e- 1S2+1 x4e- = 4e-
= 40e- = 42e- charge =1x1e-= 1e-
= 44e-
9BH 9 x2e- = -18e- 9BHT 9 x2e- = -18e- 9BHT 9 x2e- = -
18e-
= 22e- = 24e- = 26e-
10 vertices = -20e- 10 vertices = -20e- 10 vertices = -20e-
a + q + c = 2e- a + q + c = 4e- a + q + c = 6e-
Closo nido arachno
10/21/2014 119
INORGANIC RINGS
• The most important ring system of organic
chemistry is the C6H6 ring either as a separate
entity or in polynuclear hydrocarbon such as
napththalene, anthracene, phenanthrene, etc.
10/21/2014 120
• In Inorganic Chemistry, there are at least two analogues
of benzene namely: borazine (B3N3H6) and phosphazenes
(P3N3X3).
• When BCl3 is heated with NH4Cl (or RNH3Cl) in
chlorobenzene (C6H5Cl) in the presence of Fe, Ni, or Co
(used as a catalyst) at about 140C, B,B,B-
trichloroborazine is formed.
• This derivative of borazine on being reduced with
NaBH4 or LiBH4 in polyether gives borazine.
10/21/2014 121
• N- or B substituted borazines may be made by
appropriate substitution on the starting material
prior to the synthesis of the ring; e.g.
10/21/2014 122
BORAZINE
• Borazine is an unsaturated compound of B and N atoms
with the formula B3N3H6.
• It is isoelectronic and isostructural with benzene, having
delocalized electrons and aromatic character.
• The physical properties are also similar.
• However despite the resemblance in structure, there is little
chemical resemblance between borazine and benzene.
• The difference in electronegativity of B and N atoms is
influential.
10/21/2014 123
• Hence in borazine the –electrons are concentrated on the
N-atoms and there is a partial positive charge on the B-
atoms which leaves them open for electrophilic attack on
the N-atom.
• Consequently borazine in contrast to benzene readily
undergoes addition reactions.
• Also unlike benzene the –electrons are not derived from
all six atoms of the ring but from the 3 nitrogen atoms.
10/21/2014 124
Synthesis of borazines
(1) Stock’s Method
• In this method diborane (B2H6) and NH3 are heated in 1:2
molar ratio at low temperature (-120 C) to obtain
diammoniate of diborane (B2H6.2NH3) which is addition
compound (adduct). When the adduct is heated at 200 C,
the borazine is obtained
10/21/2014 125
(2) By heating BCl3 with NH4Cl (or RNH3Cl)
10/21/2014 126
(3) By heating a mixture of LiBH4 and NH4Cl
10/21/2014 127
STRUCTURE
• B: 1S22S22P1 Neutral atom
• *B: 1S22S12Px
1Py
1 Pz
0 SP2 hybrid
• B-: 1S22S12Px
1Py
1 Pz
1 SP3 hybrid
• N: 1S22S22Px
1Py
1 Pz
1 neutral atom and SP3 hybrid
• N+: 1S22S22Px
1Py
1 Pz
0 SP2 hybrid
10/21/2014 128
• In this structural formula the formal –ve and +ve charges
have been assigned to the B and N atoms respectively.
• These illustrations are isoelectronic with carbon (in SP2
and SP3 hybridizations) so that the borazine has the same
skeletal configuration as in benzene.
• All B-N bond distances are 1.44 Å which is between the
calculated B-N single bond (1.54 Å ) and B-N double
bond (1.36 Å ).
• The valence bond approach describes the structure in
terms of two canonical forms whereas a molecular orbital
description involves three (3) -orbitals embracing all six
(6) atoms in the hexagon.
• These delocalized orbitals differ somewhat from their
benzene analogues because the constituent 2Pz atomic
orbitals of B and N are not identical in energy.
10/21/2014 129
• Physical properties
• Borazine is indeed a close analogue of benzene.
-- Similarity of the physical properties of the alkyl
substituted
derivatives is more remarkable.
-- For example the ratio of the absolute boiling point of the
substituted borazine to similarly substituted benzene
derivatives is 0.93 0.01.
• Such similarities lead to a description of borazine as an
inorganic benzene.
10/21/2014 130
Physical properties of borazine and benzene
Chemical properties
• The chemical properties of borazine and benzene are quite
different.
Borazine Benzene
Molecular weight 80.5 78.1
b.p. (C) 55.0 80.10
m.p. (C) -56.2 5.51
Critical temperature (C) 252 288.0
Liquid density at b.p. (g/cm3) 0.81 0.81
Crystal density at m.p. (g/cm3) 1.00 1.01
Trouton constant (J/K mole) 89.5 88.2
Surface tension (Nm-2) 0.0311 0.0310
Dipole moment 0 0
Intermolecular distance (pm) 144 142
Bond distance to H (pm) B-H (120), N-
H(102)
C-H (100)
10/21/2014 131
• Both have -clouds of electron density delocalization over
all the ring atoms.
• However because of the difference in electronegativity
between B and N, the -cloud in borazine is described as
being lumpy with more electron density localized on the
nitrogen atom N.
• This partial delocalization weakens the -bonding hence N
retains some of its basicity whereas B some acidity.
• As a result of this, polar species such as HCl can therefore
attack the double bond between N and B.
• NB: The different electronegativity of B and N turn to
stabilize bonding to B by electronegative substituents and
bonding to N by electropositive substituents.
10/21/2014 132
The tendency for borazine to undergo addition reaction rather than
substitution is well contrasted by the electrophilic substitution reaction
of benzene (i.e halogenation of benzene) as indicated below:
10/21/2014 133
• Borazine analogues of naphthalene, and related
hydrocarbons have been made by pyrolysis of borazine or
its passing through a silent electric discharge.
• There is also the four membered as well as the 8-
membered rings like
10/21/2014 134
CYCLOBORAZINES
• Unlike hydrogenation of benzene yielding cyclohexanes, straight
forward hydrogenation of borazines do not yield cycloborazines,
but rather yield polymeric materials of indefinite compositions.
• Substituted derivatives of saturated cycloborazine form
readily by addition reactions.
• Another method include
10/21/2014 135
REACTIONS OF BORAZINES
(1) Addition reactions:
(a) One melecule of B3N3H6 adds three molecules of H2O,
ROH, RX or HX in the cold without a catalyst
--The more negative group is generally attached to B, since
B-atom is less electronegative than N-atom in B-N bond.
--For example when HX derivative is heated at 50-100 C it
loses 3H2 molecules to yield B,B’,B”-trihaloborazine.
10/21/2014 136
--This addition reaction shown by borazine is not shown by
benzene.
(b) One molecule of borazine adds 3 molecules of X2 at 0 C
and gives B-trihalo-N-trihaloborazine which on heating at
about 60 C loses 3 molecules of HX and forms B-
trihaloborazine i.e.
-- Substitution occurs in borazine quite more readily due to
the
considerably more reactive nature of borazine to benzene.
-- This reaction can be compared with that shown by benzene
where substitution takes place. i.e.
10/21/2014 137
(2) Hydrolysis
(a) Borazine is slowly hydrolyzed by H2O to produce H2,
B(OH)3 and NH3.
-- The hydrolysis is favoured by increase in temperature
10/21/2014 138
(b) Under proper conditions borazine reacts with 3 molecules
of H2O to produce B-trihydroxy borazine (OH)3B3N3H3
in which the OH groups are attached to B-atoms.
(3) Hydrogenation
• Benzene can be hydrogenated to produce cyclohexane, C6H12,
Borazine on the other hand can be converted to cycloborazine
only by special techniques such as shown:
-- Direct addition yields polymeric materials with indefinite
composition.
10/21/2014 139
BOROXINE
• Iso-electronic with borazine is boroxine H3B3O3 which is
formulated as [XBO]3
• Boroxine is planar but has less even –delocalization than
borazine and possess a six membered ring.
• Boroxine can be prepared by the explosive oxidation of
B2H6 or B5H9, or high temperature hydrolysis of boron.
• Although this compound is thermodynamically unstable at
room temperature with respect to B2H6 and boric oxide,
nevertheless it can be characterized.
10/21/2014 140
• A boron-phosphorus analogue of borazine has been
synthesized rather recently.
• The electronegativities of B and P are similar, unlike
those of B and N.
• As a result polarization should be less extensive in this
compound than borazine.
• The B3P3 ring is planar with equal B-P bond lengths and
shortened B-P bonds suggesting significant aromaticity.
10/21/2014 141
PHOSPHAZENES (Phosphonitrilic compounds)
• These are cyclic compounds of phosphorus and nitrogen
of general formula [PNCl2]n.
• The reaction produces a mixture of ring compounds
(NPCl2)n, where n = 3,4,5,…. and fairly short linear
chains.
• The most common rings (n=3 and 4) contain six or eight
atoms.
• The former are flat and the latter exists in ‘ chair and boat
conformations.
10/21/2014 142
• Analogous bromo-compounds may be prepared in the same
manner except that bromine should be added to suppress
the decomposition of PBr5.
• The fluoride must be prepared indirectly using NaF in
nitrobenzene i.e.
• The iodides are not known
10/21/2014 143
STRUCTURE
• Nitrogen atoms are SP2 hybridized and two such hybrid
orbitals are involved in -bonding.
• Similarly each phosphorus is SP3 hybridized and such
hybrids are involved in -bonding.
• There is then one “in plane” –bonding involving the lone
pair of N (SP2 orbital) in xy plane and the vacant dxy or
dx2-y2 of the P-atom.
10/21/2014 144
• There are two “out of plane” interactions:
(a) Heteromorphic interactions: The singly occupied Pz1
orbital on the nitrogen overlaps with the dxz0 or dyz0
orbital of phosphorus (p –d bonding)
(b) Homomorphic interactions: There are interactions of Pz
orbitals of two nitrogen through the dyz orbital of the
phosphorus in between.
10/21/2014 145
Tetrameric Phosphonitriles or cyclotetraphosphaza-
tetraenes
• These are [NPCl2]4 and [NP(NMe2)2]4
• The tetrameric rings of the above compounds are more
flexible than those of the trimers.
• There is enough strain and they exhibit non-planar
structures without serious deterioration of the P─N –
bonding.
• The chloro-derivatives are useful for introducing other
substituents at the P-atoms in the ring.
10/21/2014 146
• Eg.When
hexachlorobis(ethylamino)tetraphosphazatetraene
is treated with excess dimethylamine in chloroform the
product that results is not only the full amination of both
the
(PCl2) groups and one of the PCl group but also one of the
ethylamino (NHEt) group bridges the opposite PCl group
with the elimination of HCl.
• This arises from an internal trans-annular attack by one of
the NHEt groups. The product is the only known bicyclic
phosphazene compound.
10/21/2014 147
• This bicyclo-structure is reminiscent of ADAMANTANE
• The amide however undergoes elimination of NH3 with
increasing temperature to form cross-linking between
rings or possibly rapture of rings to form linear polymers.
10/21/2014 148
• Very little is known about these polymers.
• However relatively low molecular weight polymer
believed to be a 3-ring species with the formulation
Cl9P6N7 has been isolated
10/21/2014 149
INORGANIC RUBBERY POLYMERS
• (1) If excess phosphorus pentachloride is used in the
preparation of phosphazene, then it is possible to isolate
linear polymers as indicated below:
• (2) When the phosphonitrilic compound is heated it is
possible to obtain linear polymers.
• NB: The reactive chlorine are still susceptible to
nucleophilic attack and displacement
10/21/2014 150
• If R = CH3CF3 (trifluoroethane) then the product
obtained is a water repellent polymer which is used to
fabricate artificial blood vessels and prosthetic devices.
• Although the hydrolytic stability of the phosphazene
polymers make them attractive as structural materials, it
is possible to create hydrolytically sensitive
phosphazenes that may be useful medically in slow
release drugs.
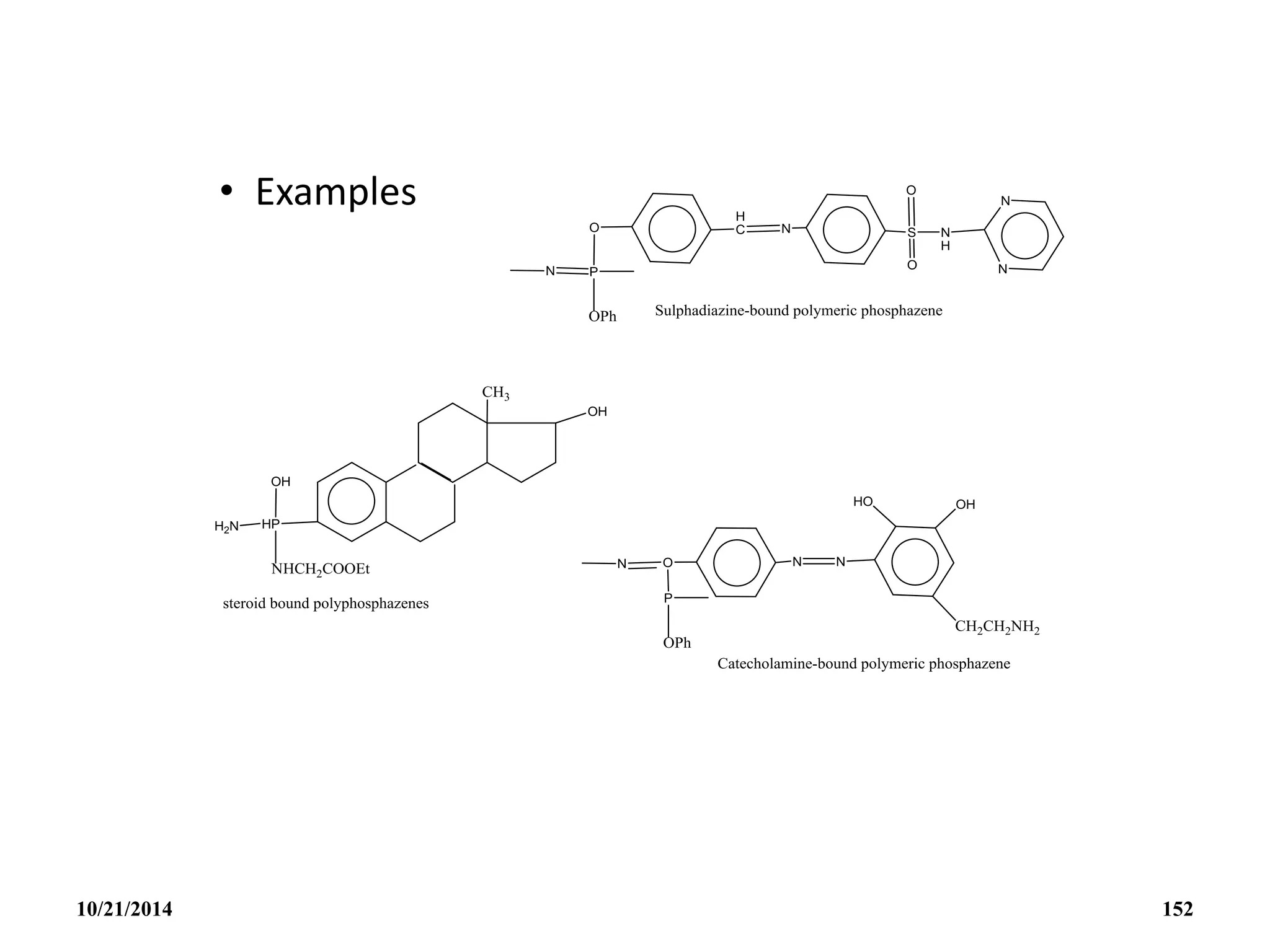
• Steroids, antibiotics, catecholamines (eg dopamine &
epinephrine) have been linked to phosphazene molecules
with the intention that hydrolysis will provide these drugs
in a therapeutic steady state.
10/21/2014 151
• Examples
10/21/2014 152
OTHER HETEROCYCLIC RINGS & CAGES
• 1. S-N Ring compounds
• S-N ring compounds are prepared by ammonolysis
10/21/2014 153
• The corresponding tetramer is also known i.e.
(2) Tetrasulphurtetranitrides
• The ammonolysis of sulphur monochloride S2Cl2 either
in solution or in an inert solvent or heated over solid
ammonium chloride yield tetrasulphurtetranitrides; S4N4.
• S4N4 is a bright orange solid insoluble in H2O but soluble
in some organic solvent.
10/21/2014 154
• The structure has been found to have two non bonding
S-atoms at a distance of about 2.58 Å.
• This is considerably shorter than the sum of the van der
waal radii which is 3.60 Å.
• Although this nonbonding distance is longer than the
normal S─S bond which is about 2.06 Å, some
interactions must occur between the trans S-atoms.
• All the S─N bond distances are equal and about 1.62 Å
indicating extensive delocalization rather than
alternating discrete single and double bonds.
10/21/2014 155
• Fluorination of S4N4
• It produces tetrathiozytetrafluoride i.e.
• Reduction of S4N4
10/21/2014 156
• All possible Sx(NH)8-x isomers except N─N bonds are
known.
10/21/2014 157
• Oxidative chlorination of S4N4
• NB: It is unexplained that chlorination produces the
ClSN trimer while fluorination retains the tetramer unit
10/21/2014 158
• SULPHURNURYL CHLORIDE (NSOCl)3
• (NSOCl)3 may also be prepared from sulphamic acid.
10/21/2014 159
HOMOCYCLIC INORGANIC RING
COMPOUNDS
• Several elements form homocyclic rings.
• The thermodynamically stable form at room
temperature consists of S8 rings.
• The oxidation of several non-metals in strongly
acidic systems produces poly-atomic cationic
species of the general type Yn
+m
10/21/2014 160
• The best characterized of these are the S4
+2, Se4
+2, Te4
+2.
• The structures of these compounds have been shown to be
planar and has been shown that all these species are square
planar.
• The structures are stabilized by the Hückel sextet of -
electrons.
• Se8
+2 is known to be bicyclic.
• The transannular bond is 2.84 Å which is longer than those of
the ring 2.32  .2 Å but are considerably less than the sum of
the van der waals radii of about 3.80 Å.
10/21/2014 161
• Other ions of this type, presumably cyclic, though less
thoroughly studied are the S8
2+, S16
2+, Sb4
2+, Sb8
2+, Sbn
n+,
Te6
2+ etc.
• But have been suggested as products of mild oxidation
of some non-metals.
• The oxidation of red phosphorus with hypo-halides in
alkaline solution produces the anion of an interesting
phosphorus acid.
• This acid has been shown to be cyclic.
10/21/2014 162
• CYCLIC OXOCARBON ANION [(CO)n]-2 (-4)
• The oxocarbonate ion C5O5
2- is the first member to be
synthesized.
• It was isolated in 1825 by Gmelin and thus shares with benzene
the honour of being the first aromatic compound discovered.
• It was the first inorganic substance discovered that is aromatic.
• It is a bacterial metabolic product and was possibly the first
organic compound synthesized.
10/21/2014 163
• All of these oxocarbon anions are aromatic according to
simple MO calculations.
• The aromatic stabilization of the anion is apparently
responsible for the fact that squaric H2C4O4 is about
strong as sulphuric acid.
• NB: Oxalic acid containing C in a comparable oxidation
state but not aromatic.
• Ka1 ≈ Ka2 for squaric and sulphuric acid.
• The Ka2 of oxalic acid is 3 orders of magnitude smaller.
10/21/2014 164
NON-METAL CAGED COMPOUNDS
• The simplest caged type molecule is found in white
phosphorus which is a P4 molecule.
• This molecule is more stable at room temperature and is a
tetrahedron of phosphorus atoms.
• Such a structure requires bond angle of 60
• In as much as the lowest inter orbital angle available
using only s and P-orbital is 90
• The smaller bond angle in P4 must be accomplished either
through the introduction of considerable d-character or
through the use of bent bonds.
10/21/2014 165
• The former involving d-orbitals requires considerable
promotion energy and is therefore unlikely.
• The later involving bent-bonds result in the loss in bonding
energy of some 96 KJmol-1 due to strain but is thought to
be energetically favoured.
• In any event the molecule is destabilized and quite
reactive.
• P4 cages react readily with O2 to form a mixture of oxides
and can also be converted into a more stable allotropes.
10/21/2014 166
OXIDES OF PHOSPHORUS
• These have cage structure of tetrahedral symmetry
• The molecular formulae P4O6 or P4O10 usually referred
to as the trioxide and pent oxide respectively.
• Both are anhydrides.
10/21/2014 167
• Only one phosphorus sulphide P4S10 is isoelectronic and
isostructural with the phosphorus oxide.
• This is obtained by mixing P4 and S8 in appropriate
stoichiometric quantities.
• Other sulphides are obtained by the reactions below:
10/21/2014 168
INORGANIC CHAINS
SILICATES
• These are metal derivatives of silicic acid H4SiO4.
• They are prepared by fusing metal oxides or metal
carbonates with sand (SiO2).
• All the silicates have the SiO4
4- anion formed by SP3
hybridization of Si-atoms, but the various silicates differ
from one another in the manner in which the SiO4
4-
anions are linked together.
10/21/2014 169
CLASSIFICATION
• One classification based on the arrangement of the silicon
tetrahedron within the structure divide the silicates into six
classes.
Orthosilicates (Nesosilicates)
• They contain discrete SiO4
4- tetrahedral anions. The
oxygen atom of each SiO4
4- is also coordinated to the
metal ion to impart electrical neutrality to the structure.
10/21/2014 170
• Orthosilicates are not common in minerals although they
are present in minerals such as olivine, (Mg,Fe)SiO4.
• Other minerals that have the structure of silicates are:
Phenacite; Be2SiO4 , Willemite; Zn2SiO4 , Olivite;
Mg2SiO4 , Zircon; ZrSiO4 , Garnets; M3
2+M2
3+(SiO4)3
(where M2+ = Ca2+, Fe2+ , Mg2+ etc. and M3+ = Al3+, Cr3+ ,
Fe3+ etc.).
• In Garnets SiO4 tetrahedra are arranged about M2+ and
M3+ so they become 8- and 6- coordinated respectively.
• They are quite hard and crystalline, so they are used as
abrasives and cut for gemstones, e.g. Cape rugby and
carbuncle.
• Orthosilicates are also the major component of Portland
cement
10/21/2014 171
Pyrosilicates (disilicate anion) (Sorosilicates)
• They contain the discrete Si2O7
6- anion which is formed by
joining two SiO4
4- tetrahedral units through one oxygen
atom.
• The best example are the Hermimorphite, a basic hydrated
silicate of zinc, Zn3(Si2O7).Zn(OH)2.H2O and thorteveitite,
Sc2(Si2O7).
Eg. Thorteveitite, Sc2(Si2O7); Hermimorphite,
Zn3(Si2O7).Zn(OH)2.H2O
10/21/2014 172
Cyclic or ring silicates (metasilicates, cyclosilicates)
• These comprise of the SiO4 residues bridging through two open
oxygen atoms.
• So many ring sizes could be produced, but many are found
naturally.
• They contain cyclic or ring anions like Si3O9
6- or Si6O18
12-.
• Eg. Benitoite; BaTiSi3O9, Wollastonite; Ca3Si3O9, Catapleit;
Na2ZrSi3O9, Beryl; Ba3Al2Si6O18, Dioptase; Cu6Si6O18.
• No cyclotrimetasilicates( eg. Benitoite; BaTiSi3O9) have been
used as semi-precious stone.
10/21/2014 173
• The cyclohexametasilicate ion Si6O18
12- occurs as beryl;
Ba3Al2Si6O18 in emeralds.
• Tourmarine is an example of a mixed borosilicate containing
this BO3
3- anions which occurs in basic salts eg.
[Al(OH)4(BO3)3Si6O18 ]7-.
• This ion occur in sapphire (blue) and topaz (pale yellow).
• The crystal structures show that the rings of Si6O18
12-occupy
sheets which are bound to others by metal ions in between
them.
Chain silicates
Pyroxene and Amphibole (Inosilicates)
• They contain the anions which are formed by sharing of two
oxygen atoms by each tetrahedra.
• The anions may be of the types (a) (SiO3)n
2n- -pyroxes, (b)
(Si4O11)n
6n- - amphibole
10/21/2014 174
• The chains in the silicates containing (SiO3)n
2n- anions
linked through oxygen atoms lie parallel to each other and
cations lie between the chains and bind them together.
• Such silicates are presented by the PYROXENE mineral
and several synthetic silicates.
10/21/2014 175
• Eg. Synthetic Li2SiO3, Na2SiO3,
• Pyroxene ; spodumene; LiAl(SiO3)2, Jadeit;
NaAl(SiO3)2,
• Enstatite; MgSiO3, Diopside; CaMg(SiO3)3.
• Synthetic sodium metasilicate possess this chain
structure with Si─O bonds much shorter than expected
for single bonds (0.174 nm).
• This is thought to result through p-d bonding
between O and Si atoms, and occurs in both kinds of
Si─O bonds in pyroxenes though more so in the
terminal Si─O bonds. The Si─O─Si angle also reflects
some -bonding.
10/21/2014 176
• The silicates containing Si4O11
6n- anions have double
chains in which the simple cations are held together by
shared oxygen atoms.
• Such silicates are represented by the amphiboles minerals
which include asbestos minerals.
• The amphiboles are more complicated than the pyroxenes
and contain repeating units as well as metals and
hydroxide ions.
• Structurally, amphiboles are similar to pyroxenes though
they contain some OH groups which are attached to the
cations.
10/21/2014 177
• Eg. Tremolite; Ca2Mg5[(OH)2(Si4O11)2], Crocodolite;
Na2Fe3
2+Fe2
3+[(Si4O11)2]2(OH)2
Asbestos
• Asbestos was the term originally used to describe fibrous
amphiboles, but it now incorporates many two
dimensional polymers encountered among the
aluminosilicates.
• Thus chrysotile, once regarded as an amphibole
(OH)6MgSi4O11.H2O, is actually (OH)4Mg3Si2O5.H2O, the
Si2O5 anion having a layer structure.
• Replacing the Mg by Al gives the aluminosilicate
(OH)4Al2Si2O5 encountered in kaolin.
10/21/2014 178
• Polysiloxanes with trifunctional Si atom form ladder
polymers and cyclic oligomers (which involve joining the
ladder ends).
• The silicate Si6O15
6- is an example of this two 6-membered
siloxane rings bridged by three oxygen atoms, these
providing the rings of the ladder.
• The Si─O bond lengths lie in the range 0.160 – 0.167 nm,
the terminal ones being shorter.
Cleavage / fibrous nature
• The S─O bonds in the chain are strong and directional.
• Adjacent chains are held together by the metal ions
present.
• Thus the amphiboles as well as the pyroxenes cleave
parallel to the chains forming fibers.
10/21/2014 179
Two-dimensional sheet (layer) structure (Phyllosilicates)
• These contain two-dimensional sheet polymers sharing
three apices of SiO4 tetrahedra.
• Two arrangements have been found naturally and are
formulated as SiO1+3/2 ie (Si2O5)n
2n-.
• The metal ions present hold the layers together by weak
electrostatic forces.
• As a result the minerals containing are soft and cleave
easily.
• Such sheet like anions are found in micas and different
types of clay minerals.
• Eg. Talc; Mg2(SiO5)2Mg(OH)2, Kaolin; Al2(OH)4(SiO5)2
10/21/2014 180
Three dimensional or framework silicates (Tectosilicates)-
Aluminosilicates
• When all the four oxygen atoms of a SiO4 tetrahedron are
shared with adjacent tetrahedra and the process is repeated
an infinite 3-dimensional structure results.
• Since all the oxygen atoms are the bridge atoms, the silicate
is neutral.
10/21/2014 181
• In case Si is not replaced by any other metal atom the
silicate is neutral and will have the neutral formula (SiO2)n.
• Such a structure is found in quartz, tridymite and
crystoballite.
• However if some other Si4+ ion are replaced by Al3+ ions in
the tetrahedral position in the SiO2 structure in order to
maintain electrical neutrality, some other monovalent and
divalent cations must be introduced.
• Such replacement of Si4+ cations by Al3+ and other
monovalent or divalent cations give rise to
aluminosilicates.
• The aluminosilicates are subdivided into the following
minerals: (1) Feldspars (2) Zeolites (3) Ultramarines.
10/21/2014 182
FELSPAR
• These are of general formula M(Al,Si)4O8 and are the
most important rock forming mineral comprising some
2/3rds of igneous rock such as granite which is a mixture
of quartz, felspar and micas.
• Those in which the M is larger ion such as K+ or Ba2+
normally crystallize in a monoclinic system, Eg:
orthoclase; K(AlSi3O8), Celsian; Ba(Al2Si2O8).
• The triclinic or plagioclase felspar contain a smaller M
such as Na+ and/or Ca2+, eg Albite; Na(AlSi3O8), and
Anorthite; Ca(Al2Si2O8).
10/21/2014 183
ZEOLITES (porotectosilicates)
• These are aluminosilicates with framework structures
enclosing cavities occupied by large ions and water molecules,
both of which have considerable free movements, permitting
ion-exchange, reversible hydration and absorption of gases.
• The framework consists of an open arrangement of corner-sharing
tetrahdra where SiO4 units are partially replaced by AlO4 tetrahedra
which require sufficient cations to achieve electroneutrality.
• The cavities are occupied by H2O molecules and the idealized
formula is Mx/n
n+[(AlO2)x(SiO2)y]x-.zH2O.
• Eg: Natrolite; Na2(Al2Si2O8).H2O, Heulandite;
Ca(Al2Si7O18).6H2O, Chabazite; Ca(Al2Si4O12).6H2O.
10/21/2014 184
• The zeolite are used as/for (i) Molecular sieves (ii) catalysts
(iii) catalytic support for platinum group and other metals (iv)
cation-exchangers e.g. for water softening (v) separating
straight chain hydrocarbons from branched hydrocarbons.
ULTRAMARINES
• These are a group of related compounds which contain no
water, but contain anions(i.e. radical anions) such as Cl-, SO4
2-,
S2
2-, S3
-.
• They are formulated as Na8Al6Si6O24.X where X is 2Cl-, SO4
2-,
S2
2-, S3
-.
• They are closely related to the zeolites except that they do
not contain water molecules but rather Cl-, SO4
2-, S2
2-, S3
-
anions.
10/21/2014 185
• The cation produces a wide range of colour and are used
for pigments.
• E.g. Ultramarine; Na8[(AlSiO4)]S2, Sodalite;
Na8[(AlSiO4)6]Cl2, Nosean; Na8[(AlSiO4)6]SO4.
The Si4─Si6 ring layer structure
• This involves alternate Si4O4 and Si8O8 rings but is rare.
• Apophihyllite (K,Na)Ca4Si8O20(F,OH).8H2O has such a
structure with terminal oxygen atoms of one Si4O4 ring
directed to the opposite side of the layer to its Si4O4
neighbour.
• Cations holds the layers together.
10/21/2014 186
Si6 ring
• These ring comprise six silicon and six oxygen atoms,
and a terminal oxygen atoms all on one side.
• Consequently it is theoretically possible to form a double
sheet by bridging at these terminal positions thereby
obtaining a laminated form of silicon.
• Replacing half of the silicon atoms in such a structure by
isoelectronic Al- ion leads to compounds of empirical
formula MAl2Si2O8 (M= Ca, Ba).
• The structure comprises these double layer bound
together by six coordinate cations.
10/21/2014 187
Hydroxysilicates
• The most important layer silicates are often interleaved by Mg
or Al cations held through hydroxide ions.
• These can be formulated as Mg3(OH)4Si2O5 (chrysotile) and
Mg3(OH)2Si4O10 (talc), together with the aluminium
compounds.
• Partial replacement of atoms by Al- ions gives charged layer
which are neutralized by layer of alkali or alkaline earth metal
ions, as in micas.
• The neutralizing layer can also be hydrated ions or positively
charged Mg or Al hydroxides. The variables in this structure
array lead to property differences in these laminated
compounds.
10/21/2014 188
(i) The single silicate layer Si2O5
2- interleaved with
Mg or al hydroxide residues is the structural unit present
in china clay and kaolin minerals.
 This is normally formulated as Al2(OH)4Si2O5 (Kaolinite).
(ii) Those involving two silicate leaves held together by
magnesium or aluminum hydroxides are like kaolin, electrically
neutral. They therefore readily cleave.
 Talc Mg3(OH)2Si4O10 is widely used, therefore as a lubricant
(French chalk) and as a filler.
 Meershaum is a hydrated magnesium silicate resembling clay.
 After soaking in tallow wax it can be made into pipes, and takes
on appealing red polish.
10/21/2014 189
(iii) The aluminum analogue, pyrophyllite, is like talc and
both can have up to a quarter of the Si atoms replaced by
Al- ions.
 An interleaving layer of cations neutralize the charge
with K+ ions in the micas, phlogopite,
KMg3(OH)2Si3AlO10 and muscovite,
KAl2(OH)2Si3AlO10 .
 Since the K+ ions occupy large holes with 12-fold
coordination, the K+O- electrostatic bond is necessarily
weak
 So micas cleave readily along these layers.
10/21/2014 190
 Further substitution with Al- produces brittle micas, since
more highly charged cation is necessary to neutralize the
extra charge, so the electrostatic bonding is stronger and
the mica is harder.
 These are widely used in the electrical industry.
(iv) Interleaving with layers of hydrated cations gives
hydrated micas with much smaller cation charge density
which cleave very easily.
10/21/2014 191
 Further replacement of both cation and Si atoms in talc, and
interleaving with hydrated Mg2+ ions produces vermiculite,
(Mg,Fe,Al)3(Al,Si)4O10(OH)2.4H2O -
[Mg2.36FeIII
0.48Al0.16)(Si2.72Al1.28)O10(OH)2]-0.64[Mg0.32(H2O)4.32]+0.64.
 This dehydrates readily to a talc-like structure, and is used
widely as a soil conditioner and porous filler.
Relative Hardness of Typical Hydroxysilicates
Hydroxysilicate Formula Hardness (Moh’s scale)
Talc Mg3(OH)2Si4O10 1 - 2
Mica KMg3(OH)2Si3AlO10 2 -3
Brittle CaMg3(OH)2Si2Al2O10 31/2 - 5
10/21/2014 192
 Monimorillonite, [Mg1/3Al12/3Si4AlO10(OH)2]-1/3 results
from pyrophyllite by replacing one sixth of the Al3+ ions
by Mg2+ ions.
 Like many clays minerals, this can be readily hydrated and
exhibits cation–exchange properties.
 It is an important constituent of Fullers earth, found
widely in Southern England.
(v) With kaolin, talc and pyrophyllite the layers are
uncharged and so only weakly bound together, while the
micas are held by cation layers or hydrated cations (eg
vermiculite).
 Interleaving with charged hydroxide layers gives the
chlorite minerals.
10/21/2014 193
 Thus the mica layers (composition [Mg3(AlSi3O10) (OH)2]- to
[Mg2Al(Al2Si2O10) (OH)2]- are held by ions.
 Thus in phlogopite, KMg3(OH)2Si3AlO10), replacing the K+ ion
by the Mg2Al(OH)6
+ ion gives a chlorite mineral.
Silica, SiO2
• This has a structure comprising of silicon atoms
tetrahedrally surrounded by four oxygen atoms.
• Polymerization occurs in a variety of ways, and
transmission between the various crystalline forms occur
but with much difficulty.
• The high temperature form have the more open structures,
while the high pressure ones are more compact as would
be expected from the Le Chatelier’s principle.
10/21/2014 194
• While significant structural differences occur between
these four forms of silica, those between α- and β- form are
small and generally only involve the rotation of a few
Si─O bonds.
10/21/2014 195
• This is supported by the same optical activity being
present in both α- and β- quartz.
• β-quartz has a more regular structure than –quartz but
both involve fused 6-membered and 12-membered rings.
• The structure therefore resemble the silicate sheet
polymers.
• Impure forms of quartz are used in semi-precious
jewellery (e.g. amethyst, which probably owes its purple
colour to manganese.
10/21/2014 196
• Quartz sand are widely used in the building trade and
as an abrasive, while quartz is employed in pottery
and as a high-temperature lining to surfaces etc.
• It has been widely used in short-wave radio
apparatus, due to thin quartz plates possessing piezo-
electric properties.
• The more open structures of –christobalite are
analogous to wurtzite and zinc blende forms of zinc
sulphide.
10/21/2014 197
Nanoparticles
• Nanoparticles are particles between 1 and 100
nanometers in size.
• In nanotechnology, a particle is defined as a small object
that behaves as a whole unit with respect to its transport
and properties.
• Particles are further classified according to diameter.
• Ultrafine particles are the same as nanoparticles and
range between 1 and 100 nanometers in size.
• Fine particles are sized between 100 and 2,500
nanometers.
• Coarse particles cover a range between 2,500 and 10,000
nanometers.
10/21/2014 198
• Nanoclusters have at least one dimension
between 1 and 10 nanometers and a narrow size
distribution.
• Nano powders on the other hand are
agglomerates of ultrafine particles, nanoparticles,
or nanoclusters.
• Nano particle sized crystals are called
nanocrystals
• Nanoparticle research is currently an area of
intense scientific interest due to a wide variety of
potential applications in biomedical, optical and
electronic fields.
10/21/2014 199
Synthesis of Nanoparticles
Top-Down Synthesis Processes
• Electron beam lithography
• Reactive-ion etching
• wet chemical etching,
• Focused ion or laser Etching.
• Dry etching.
• Reactive ion etching (RIE).
• Focused ion beam (FIB)
Bottom-up Approach
(1) Wet-chemical methods.
• Molecular beam epitaxy (MBE),
• Sputtering,
• liquid metal ion sources,
(2) vapour-phase methods.
10/21/2014 200
Nanoparticle Applications and the
Environment
• Researchers are using photocatalytic copper
tungsten oxide nanoparticles to break down oil
into biodegradable compounds.
• Researchers are using gold nanoparticles
embedded in a porous manganese oxide as a room
temperature catalyst to breakdown volatile organic
pollutants in air.
• Iron nanoparticles are being used to clean up
carbon tetrachloride pollution in ground water.
• Iron oxide nanoparticles are being used to clean
arsenic from water wells.
10/21/2014 201
Nanoparticle Applications in Medicine
• For biological detection of disease causing organisms and
diagnosis
• Detection of proteins
• Isolation and purification of biological molecules and cells
in research
• Probing of DNA structure
• Genetic and tissue engineering
• Destruction of tumours with drugs or heat
• In MRI studies
• In pharmacokinetic studies.
10/21/2014 202
Nanoparticle Applications in Energy and
Electronics
• Nanotetrapods studded with nanoparticles of
carbon are being used to develop low cost
electrodes for fuel cells by Researchers.
• Gold nanoparticles combined with organic
molecules creates a transistor known as a
NOMFET (Nanoparticle Organic Memory
Field-Effect Transistor).
• A catalyst using platinum-cobalt nanoparticles is
being developed for fuel cells that produces twelve
times more catalytic activity than pure platinum.
10/21/2014 203
• Researchers have demonstrated that sunlight, concentrated
on nanoparticles, can produce steam with high energy
efficiency.
• A lead free solder reliable enough for space missions and
other high stress environments using copper nanoparticles
• Silicon nanoparticles coating anodes of lithium-ion
batteries can increase battery power and reduce recharge
time.
• Semiconductor nanoparticles are being applied in a low
temperature printing process that enables the manufacture
of low cost solar cells.
• A layer of closely spaced palladium nanoparticles is being
used in a hydrogen sensor.
10/21/2014 204

CHEM 351@ INORGANIC POLYMERS AND ELECTRON DEFICIENT COMPOUNDS 2.pdf

  • 1.
    CHEM 351 INORGANIC POLYMERSAND ELECTRON DEFICIENT COMPOUNDS 10/21/2014 1
  • 2.
    COURSE OUTLINE 1.Electron-Deficient compoundse.g. Boron compounds. 2. Inorganic Polymers, Rings, Cages and silicates 10/21/2014 2
  • 3.
    REFERENCES 1.Concepts and Modelsof Inorganic Chemistry by bodie e. Douglas, Darl H. McDaniel and John Alexander 2.Concise Inorganic Chemistry by J. D. Lee. 3.Chemistry of the Elements by N. N. Greenwood, A. Earnshaw. 4.Non-Metal Rings, Cages and Clusters by J. Derek Woollins 5.Advanced Inorganic Chemistry by F. A. Cotton, Geoffrey Wilkinson et al. 10/21/2014 3
  • 4.
    INTRODUCTION • The formulasand structures of several kinds of compounds can be predicted with the aid of the valence bond theory, molecular orbital theory, the octet rule, and the 18-electron rule. However the electronic and molecular structures of one large class of compounds cannot be understood in these terms. • At the very time G N. Lewis proposed the electron-pair bond, Alfred Stock was preparing a series of compounds whose formulas gave no hint as to their structures and whose structure- once determined could not be accommodated by a simple valence-bond model. • Stock was able to prepare and characterize B2H6, B4H10, B5H9, B5H11, B6H10 and B10H14. These compounds could be divided into two groups hydrogen “rich” of general formula BpHp+6; and a hydrogen “poor” of formula BpHp+4. A third series of very stable anions BpHp 2- (which can be thought of as derived via deprotonation of BpHp+2) has been prepared (p = 6 to 12) 10/21/2014 4
  • 5.
    ELECTRON DEFICIENT COMPOUNDS •These are compounds with too few electrons for a Lewis structure to be written with an octet around the central atom e.g. compounds of group 1, 2 and 13 elements of the periodic table especially compounds of boron. • Electron-deficient compounds are compounds in which the number of valence orbitals exceed the number of valence electrons. (e.g. BH3, B2H6, AlH3) 10/21/2014 5
  • 6.
    ELECTRON PRECISE COMPOUNDS •Compounds with the correct number of electron pairs for bond formation with none left-over as non-bonding electron pairs on the central atom; i.e. all valence electrons of the central atom are engaged in bond formation. E.g. carbon and carbon group of compounds (group 14) (CH4, C2H6, SiH4, SnH4) 10/21/2014 6
  • 7.
    ELECTRON RICH COMPOUNDS •Compounds which have more electron pairs than are needed for bond formation with the extra electron pairs being present as non-bonding electron pairs on the central atom. E.g. compounds of group 15, 16, 17 elements (NH3, H2Se, H2O, H2Te, H2S, PH3, HCl, AsH3, HF, SbH3, HBr, HI) 10/21/2014 7
  • 8.
    BORANES • Boranes arecompounds composed solely of boron and hydrogen and may be neutral or anionic. • STRUCTURE • Boranes fall into five structure categories the most important of which are: (a) Closo-BnHn 2-  derived from the Greek word meaning “closed or caged”. (b) Nido-BnHn+4  derived from the Latin word meaning “nest”. (c) Arachno-BnHn+6  derived from the Greek word meaning “spider’s web”. 10/21/2014 8
  • 9.
    CLASSIFICATION OF HIGHERBORANES (Electron counting) • For boranes, the building blocks from which the deltahedron is constructed is assumed to be a B-H unit. • The electrons in the other B-H bond are ignored in the counting procedure but all the others are included whether or not it is obvious that they help to hold the skeleton together. • By skeleton we are referring to the framework of the cluster with each B-H group counted as a unit. • If B atom happens to carry two terminal hydrogen atoms (HT) only one of the B-H bonds is treated as a unit. 10/21/2014 9
  • 10.
    E.g.1 B4H10 ≡(BH)4H6 If the structure or shape is 4(B-H) units 4 x 2e- = 8e-s 4 BHB’s 6H 6 x 1e- = 6e-s 2 additional BHTs 14e-s 1 BB 7 bonds E.g.2. B5H11 ≡ (BH)5H6 5(B-H) units 5 x 2e- = 10e-s 6H Atoms 6 x 1e- = 6e-s 16e-s 8 bonds 10/21/2014 10
  • 11.
    WADE’S RULE 1. Boranesof formula [BnHn]2- will be found to have the CLOSO (caged) structure with a B unit at each corner of a closed deltahedron and no BHB bonds in the closo structure. Such structure are known to have (n+1) skeletal electrons. These series of anions is known for n = 5 to 12 Trigonalbipyramidal [B5H5]2- Octahedral [B6H6]2- Icosahedral [B12H12]2- NB: The closo hydroborates and carboranes are often thermally stable and fairly unreactive. 10/21/2014 11
  • 12.
  • 13.
    2. Boranes withthe formular BnHn+4 (BH)nH4 the NIDO (nest) structure (i.e can be viewed as a closo structure which has lost one vertex or corner and may have a BHB or a BB bond. The compounds in this series contain (n+2) skeletal pairs of electrons e.g. B2H6, B5H9, B6H10, B10H14 etc. In general, the thermal stability of NIDO borane is intermediate between that of closo and Arachno baranes. 10/21/2014 13
  • 14.
  • 15.
    3. The boraneswith formula BnHn+6 ≡ (BH)nH6 the Arachno (spider) structure and are like closo boranes less two vertices and may also have BHB’s bonds. They have (n+2) cornered polyhedron requiring (n+3) skeletal electrons. They are the most unstable. E.g. B4H10, B5H11, B6H12, B8H14, n-B9H15, i-B9H15 10/21/2014 15
  • 16.
  • 17.
    4. The boranesof formula BnHn+8 ≡ (BH)nH8 the HYPHO (net) structure have the most open structure in which the B atom occupy the n corners of an (n+3) – cornered polyhedron requiring (n+4) skeletal electron pairs. No neutral boranes has yet been definitely established in this series but known compounds of B8H16 and B10H18 may prove to be hypho-boranes and several adducts are known to have hypho- structures. 10/21/2014 17
  • 18.
    5. The boraneswith formula BnHn+10 ≡ (BH)nH10 the Klado structure. They have (n+4) cornered polyhedron requiring (n+5) skeletal electrons. Linkage between two or more of these polyhedral borane clusters is indicated by the prefix CONJUNCTO- (Latin name for “ I join together”). They have the formula BnHm. At least five different types of interconnected borane clusters have been identified and have the following features; (a) Fusion by sharing a single common B atom e.g. B15H23. (b) Formation of a direct 2-centre B-B σ–bond between 2 clusters e.g. B8H18 i.e. (B4H9)2, 10/21/2014 18
  • 19.
    (c) Fusion oftwo clusters via 2B atoms at a common edge e.g. B13H19, B14H18, B14H20 (d) Fusion of two clusters via 3B atoms at a common face; no neutral borane or borane anion is yet known with this conformation but solvated complex (MeCN)2B20H16.MeCN has this structure.# (e) More extensive fusion of 4 B atoms in various configurations e.g. B20H16, B20H.182- 10/21/2014 19
  • 20.
    SUMMARY TYPE FORMULA SKELETAL ELECTRONPAIRS CORNERS OF POKLYHEDRON EXAMPLES Closo [BnHn]2- n+1 n [BnHn]2- to[B12H12]2- Nido BnHn+4 n+2 n + 1 B2H6, B2H6, B2H6 Arachno BnHn+6 n+3 n + 2 B4H10, B5H11 Hypho BnHn+8 n+4 n + 3 B8H16, B10H18 Klado BnHn + 10 n+5 n + 4 Conjuncto BnH m B8H18, B15H23 etc. 10/21/2014 20
  • 21.
    Using Wades Rule E.g. (i)[B5H5]2- Closo structure 5(B-H) 5 x 2e = 10e-s overall charge 2e- = 2e-s (5+1)e- pairs  12e-s i.e. From the formula [BnHn]2- with (n+1) pair skeletal electrons (ii) B5H9 ≡ (BH)5H4 Nido structure 5(B-H) 5 x 2e = 10e-s 4H 4 x 1e = 4e-s overall charge 2e- = 2e-s (5+2)e- pairs  14e-s From BnHn+4 with n+2 skeletal electron pairs 10/21/2014 21
  • 22.
    STRUCTURAL CORRELATION Very usefulstructural correlation between the Nido and Arachno compounds is based on the observation that clusters having the same number of skeletal electrons are related by removal of such B-H groups and the addition of the appropriate number of electrons and H atoms. This type of process relates the octahedral closo [B6H6]2- anion to the square pyramidal nido-B5H9 borane which is in turn related to the butterfly-like arachno-B4H10. 10/21/2014 22
  • 23.
  • 24.
    NOMENCLATURE 1. Neutral boronhydrides are named borane; a Greek prefix indicates the number of B atoms; and Arabic number is omitted if only borane containing a particular count is known B2H6 is usually referred to as diborane. 2. Anionic species are named as hydroborates. Greek prefixes separately indicate the number of H and the charge on the anion is given a parentheses following. E.g. B5H8 - is octahydropentaborate (1-). The structural type sometimes is specified when anions. i.e. B5H8 - is also octahydro-nodo-pentaborane. E.g. B5H9 pentaborane (9) B5H11 pentaborane (11) B5H10 pentaborane (10) 10/21/2014 24
  • 25.
    THE BONDING PROBLEMIN BORANES Localized Bonding picture Retaining the valence bond concept of the relationship between bond distance and bond order a problem is immediately encountered on examining the known structures of boron hydrides. The coordination number of each boron (and some of the hydrogens) exceed the number of low-energy orbitals. Ideally a bonding picture for electron-deficient compounds would allow the same straight forward prediction of geometry, reactivity, stoichiometry, redox properties, acidity etc. that the valence bond approach permits “ for regular compounds”. 10/21/2014 25
  • 26.
    Early attempts toaccount for the electronic structure of diboranes the simplest member of the class, included the observation that B2H6 is isoelectronic with ethane C2H4. In this view we could regard the two bridging H’s in the structure as protonating the double bond of B2H4 2-. Subsequent research has confirmed the acidic nature of bridge H’s in the boranes. 10/21/2014 26
  • 27.
    However this bondingpicture is difficult to extent to the higher boranes. A straight forward application of valence bond theory to the electronic structure of diboranes requires some 20 resonance structures. 10/21/2014 27
  • 28.
    PFIZER –BONDED (SP3)MODEL • Two of the SP3-hybrid orbitals of each boron atom are used in bonding with the terminal hydrogen and all these are involved in 2c, 2e bond. • The two points towards the bridging H and interact with the 1S- orbital of H to form 3c, 2e bonds (Hence the bonding in B2H6 is diamagnetic due to the absence of unpaired electrons). 10/21/2014 28
  • 29.
    BANANA (SP2 hybrid)Model This model is better suited to the observation that HTBHT angle ≡ 122◦ far apart from the that they are also 2c, 2e. Generally bonding in boranes consist of the following: (i) BHB (3c, 2e) ≡ (ii) BBB can be in two forms. (a) closed – 3c – BBB (b) Opened – 3c – BBB bond 10/21/2014 29
  • 30.
    MOLECULAR ORBITAL APPROACH Simplecovalent bonding theory molecular orbitals (MOs) are formed by the linear combination of atomic orbitals (LCAO); e.g. two atomic orbitals combine to give one bonding and anti-bonding MOs and orbitals of lower energy will be occupied by the electron pairs. This is a special case of a more general situation in which a number of AOs are combined together by the LCAO methods to construct an equal number of MOs of differing energies, some of which will be bonding, some possibly non-bonding and some anti-bonding. In this way 2-centre, 3-centre and multicentre orbital can be envisaged 10/21/2014 30
  • 31.
    In borane chemistrytwo types of 3-centre bond finds considerable application: B-H-B bridge bonds and central 3- centre B-B-B bonds. The figure below shows the formation of a 3-centre B-H-B orbital 1 from an SPx hybrid orbital on each of B(1), B(2) and H 1S orbital, H. The three AOs have similar energy and appreciable spatial overlap, but only the combination; (B1) + (B2) has the correct symmetry to combine linearly with (H). 10/21/2014 31
  • 32.
    The three normalizedand orthogonal MOs have the approximate form: Bonding : 1  ½[(B1) + (B2)] + 1/2 (H) Non-bonding (anti-bonding): 2  1/2 [(B1) - (B2)] Anti-bonding : 3  ½[(B1) + (B2)] - 1/2 (H) 10/21/2014 32
  • 33.
    Formation of abonding central 3-centre bond 1 and schematic representation of the relative energies of the 3 molecular orbitals 1, 2 and 3. The approximate analytic forms of these MOs are: Bonding : 1  [(B1) + (B2) + (B3)]/3 Anti-bonding : 2  [(B1) - (B2)]/2 Anti-bonding : 3  [(B1) + (B2) - 2(B3)]/6 For closo and for larger open cluster boranes it becomes increasingly difficult to write a simple satisfactory localized orbital structure, and full MO treatment is required. 10/21/2014 33
  • 34.
    MO Description ofbonding in B2H6 • The MO scheme for one of the B–H–B bridging three center two electron bonds. • The non-bonding orbital is actually of slightly lower energy than shown and so has slight bonding character. • This arises from the fact that the orbitals involved in the terminal B–H bonding have the correct symmetry to overlap with the bridging bond orbitals, resulting in a stabilization of the ‘nonbonding’ orbital. 10/21/2014 34
  • 35.
  • 36.
    MO Description ofbonding in closo-B6H6 2- Closo B6H6 2- has a regular octahedral cluster of 6 boron atoms surrounded by a larger octahedron of radially disposed H atoms. Framework MOs for the B6 cluster are constructed (LCAO) using the 2S, 2Px, 2Py and 2Pz boron atomic orbitals. The symmetry of the octahedron suggests the use of SP hybrids directed radially outward and inwards from each boron along the cartesian axes and 2 pure p orbitals at right angles to these (i.e oriented tangentially to the octahedron). 10/21/2014 36
  • 37.
    Six inward-pointing (SP) orbitalsused for a1g framework bonding molecular orbitals Components for one of the t2g framework bonding molecular orbitals – the other two molecular orbitals are in the yz and zx planes Six outward pointing (SP) orbitals Used for σ- bonding to 6Ht Components for one of the t1u framework bonding molecular orbitals- the other two molecular orbitals are in the yz and zx planes 10/21/2014 37
  • 38.
    These set ofatomic orbitals combine with due regard to symmetry to give the MOs shown. In all 24 AOs on the 6B atoms combine to give 24 MOs of which 7 (n+1) are bonding framework MOs, 6 are used to form B-HT bonds and the remaining 11 are anti-bonding. 10/21/2014 38
  • 39.
    • The diagramsalso indicate why neutral closo-boranes BnHn+2 are unknown since the 2 anionic charges are effectively located in the low lying inwardly directed a1g orbital which has no overlap with protons outside the cluster i.e. above the edges or faces of the B6 octahedron. • Replacement of the Ht by 6B further builds up the basic three dimensional network of hexaborides MB6 just as replacement of the 4Ht in CH4 begins to build up the diamond lattice. • The diagrams also serve, with minor modification to describe the bonding in isoelectronic species such as closo-CB5H6 -, 1,2-closo-C2B4H6, 1,6-closo-C2B4H6 etc. 10/21/2014 39
  • 40.
    • Similar thoughmore complex diagrams can be derived for all closo-BnHn 2- (n=6-12). • These have the common feature of a low lying a1g orbital and n other framework bonding MOs: in each case , therefore (n+1) pairs of electrons are required to fill these orbitals as indicated by Wade’s rules. • It is a triumph for MO theory that the existence of B6H6 2- and B12H12 2- were predicted by Longuet-Higgins in 1954-5 a decade before B6H6 2- was first synthesized and some five years before the (accidental) preparation of B10H10 2- and B12H12 2- were reported. • It is general feature of closo-BnHn 2- anions that there are no B- H-B or BH2 groups and 4n boron atomic orbitals are always distributed as follows: 10/21/2014 40
  • 41.
    n in then(B-Ht) bonding orbital (n+1) in framework bonding MOs (2n-1) in non-bonding and anti-bonding framework MOs. As each B atom contributes one electron to its B-Ht bond and two electrons to the framework MOs, the (n+1) framework bonding MO are just filled by the 2n electrons from nB atoms and the two electrons from the anionic charges. 10/21/2014 41
  • 42.
    TOPOLOGICAL APPROACH TOBORON HYDRIDE STRUCTURE – styx numbers • Lipscomb et al established a systematic procedure for obtaining the valence structure of more complex boron hydrides incorporating three-centre bonding. • The procedure involve essentially determining the total number of orbitals and electrons available for bonding. • The number of B-H bonds and B-H-B three centre bond is then counted and the requisite orbitals and electrons are assigned. • The remaining orbitals and electrons, considered to be available for frame-work bonding, are distributed among two-centre B-B bonds and three-centre B-B-B bonds. • A systematic prescription for accomplishing this is outlined. 10/21/2014 42
  • 43.
    • Consider aneutral borane whose formula can be written as BpHp+q. • The molecule consists of p(BH) groups and q “extra” hydrogens distributed between bridging positions and BH groups (converting them to BH2 groups. s = number of B-H-B bonds t = number of B-B-B bonds y = number of B-B bonds x = number of BHT bonds 10/21/2014 43
  • 44.
    • Several relationscan be formulated between structural features and available orbitals and electrons called equation of balance: For hydrogen balance: q = s + x ………(1) i.e. All the “extra” Hydrogens must be in B-H-B or BHT units For orbital balance: p = s + t ……..(2) The structure contains p boron atoms, each must participate in one three-centre bond if it is to attain a complete octet. This can be either a B-H-B or B-B-B For electron balance: The total number of electron pairs available for framework bonding is p from the BH groups plus ½q from the extra ‘H’s. These must be just enough to occupy the s + t + y frame work bonds and the x BH2 bonds. 10/21/2014 44
  • 45.
    Hence p +1/2q = s + t + y + x ………..(3) Substituting (1) and (2) into (3) we obtain p – 1/2q = t + y ……………………..(4) y = ½(s – x)…………………..(5) In general; s  x but s  q also s  q/2  q/2  s  q NB. These equations are diophantine equations 10/21/2014 45
  • 46.
    • Applying theequation of balance to a compound of given composition allows us to determine a set of styx numbers that specify a valence structure. eg 1. For B2H6  (BH)2H4 p = 2; q = 4 And we have : 4 = s + x; 2 = s + t; 0 = t = y  y = -t The only possible solution is s =2, t = 0, y = 0, x = 2 (written 2002) and the structure corresponds to s t y x 4 -2 2 0 3 -1 1 1 2 0 0 2 10/21/2014 46
  • 47.
    eg 2. ForB5H11  (BH)5H6 : p = 5; q = 6 This formulation gives (4) different styx numbers 6 = s + x; 5 = s + t; 2 = t + y  y = 2 – t; y = ½(s–x) i.e. (3203), (4112), (5021), (6-130), s t y x 6 -1 3 0 5 0 2 1 4 1 1 2 3 2 0 3 10/21/2014 47
  • 48.
    • For 3203 5B, 3BHB, 2BBB, 0 BB, 3BHT • • OR • For 4112  5B, 4BHB, 1BBB, 1BB, 2BHT 10/21/2014 48
  • 49.
    • For 5021 5B, 5BHB, 0BBB, 2BB, 1BHT 10/21/2014 49
  • 50.
    • In choosingthe best structures the following additional considerations must be kept in mind: 1. Every pair of adjacent B’s must be bonded to each other through a B-B bond, B-H-B, or B-B-B bonds. 2. Pairs of B atoms bonded by a B-B bond may not be bonded to one another by B-B-B, or B-H-B bond. 3. Nonadjacent pairs of B atoms may not be bonded by framework bonds. 4. Other things being equal the preferred structure is the one with the highest symmetry. These considerations eliminate structures (4112) and (5021), leaving the structure (3203). 10/21/2014 50
  • 51.
    SYNTHESES AND REACTIVITYOF NEUTRAL BORON HYDRIDES • The best way to synthesize B4H10, B5H9, B5H11, and B10H14, is to pyrolyze diborane, B2H6 under carefully controlled conditions. • The fact that such an approach is feasible becomes clearer if we organize the borane family somewhat differently. • The chemical relationships between boranes may be seen better when we combine the BpHp+q formulation with another general formula (BH)n(BH3)x, where n can assume values between 0 and 10 inclusively and x assumes the values 1, 2 or 3. 10/21/2014 51
  • 52.
  • 53.
    • In thetable we have some known and unknown boranes and these are listed according to their n, q and x numbers. • The usefulness of this tabular form become apparent when it is recognized that it shows that two boranes may be converted to one another or higher boranes can be made from simpler ones by the application of one or more of the following reactions in their proper sequence. 10/21/2014 53
  • 54.
    (A) Gain orloss of BH3 • This is used to convert a borane of a given n and x to a borane of the same ‘n’ but different ‘x’. (B) gain or loss of H2 • This is used to convert a borane of a given ‘n’ and ‘x’ to one of the next higher or lower ‘n’ and ‘x’. (C) Gain or loss of a BH unit This is used to convert a borane of a given ‘n’ and ‘x’ to a borane of higher or lower ‘n’ but the same ‘x’. 10/21/2014 54
  • 55.
  • 56.
  • 57.
    PROPERTIES OF BORONHYDRIDES PHYSICAL PROPERTIES • Boranes are colourless, diamagnetic, molecular compounds of moderate to low thermal stability. • The lower members are gases at room temperature but with increasing molecular weights they become volatile liquids or solids. • Their boiling points are approximately the same as those of the hydrocarbons of similar molecular weights. 10/21/2014 57
  • 58.
    • The boranesare all endothermic and their free energy of formation Gf ◦ is also positive: • Their thermodynamic instability results from exceptionally strong interatomic bonds in both elemental B and H2 rather than the inherent weakness of the B-H bond. • The bond energies of typical boranes are B-HT - 380, B-H-B – 440, B-B – 330 and B-B-B – 380 kJmol- 1 compared to the bond energy of 436 kJmol-1 for H2 and heat of atomization of crystalline boron of 555 kJmol-1 of B atoms (ie. 1110 kJmol-1 of 2B atoms). 10/21/2014 58
  • 59.
    • Physical propertiesof some boron compounds Nido - boranes Arachno - boranes Compound mp bp Hf ◦/kJm ol-1 Compound mp bp B2H6 -164.9◦ -92.6◦ 36 B4H10 120◦ 18◦ 58 B5H9 -48.8◦ 60◦ 54 B5H11 122◦ 65◦ 67 (93) B6H10 -62.3◦ 108◦ 71 B6H12 -82.3◦ 85◦ (extra) 111 B8H12 Decompose above -35◦ - B8H14 Decompose above 30◦ - B10H14 99.5◦ 213◦ 32 n-B9H15 120◦ 120◦ - 10/21/2014 59
  • 60.
    CHEMICAL PROPERTIES • Boranesare extremely reactive and several are spontaneously flammable in air. • Arachno- boranes tend to be more reactive (less stable to thermal decomposition) than nido- boranes and reactivity also diminishes with increasing molecular weight. • Closo-borane anions are exceptionally stable and their general chemical behavior has suggested the term” three dimentional aromaticity. 10/21/2014 60
  • 61.
    • Boron hydridesare extremely versatile chemical reagents but the very diversity of their reactions make a general classification unduly cumbersome. • Instead, the range of behavior will be illustrated by typical examples taken from the chemistry of the three most studied boranes: B2H6, B5H9 and B10H14. 10/21/2014 61
  • 62.
    Chemistry of diborane,B2H6 • B2H6 occupies a special place because all other boranes are prepared from it. • It is also the most studied and synthetically useful reagent in the whole of chemistry. 10/21/2014 62
  • 63.
    PREPARATION (i) B2H6 gasis most conveniently prepared in small quantities by the reaction of I2 on NaBH4 in diglyme[(MeOCH2CH2)2O] or by the reaction of a solid tetrahydroborate with an anhydrous acid: (ii) When B2H6 is used as reaction intermediate without the need for isolation or purification the best procedure is to add Et2OBF3 to NaBH4 in a polyether such as diglyme. 10/21/2014 63
  • 64.
    (iii) On theindustrial scale by the direct reduction of BF3 with NaH at 180C and the product formed trapped out as it is formed to prevent subsequent pyrolysis: 10/21/2014 64
  • 65.
    REACTIONS OF B2H6 (i)Combustion Care should be taken in these reactions because B2H6 is spontaneously flammable. Has a higher heat of combustion per unit weight of fuel than any other substance except H2, BeH2 and Be(BH4)2 (ii) Pyrolysis B2H6 undergoes complex pyrolysis in sealed tubes at temperatures above 100 C forming a variety products depending on the conditions. The initiating step is the unimolecular dissociation equilibrium; 10/21/2014 65
  • 66.
    • Initiating step: •Stable intermediate B4H10 is then followed by B5H11 • A complex series of further steps gives B5H9, B6H10, B6H12 and higher boranes culminating in B10H14 as the most stable end product together with polymeric materials BHx and a trace of icosaborane B20H26. 10/21/2014 66
  • 67.
    • Cleavage reactions: Bridge bonds are readily cleaved even by weak ligands to give either symmetrical or unsymmetrical cleavage products. • Symmetrical products (Homolytic) • Unsymmetrical products (Heterolytic) 10/21/2014 67
  • 68.
    • The factorsgoverning the course of these reactions are not fully understood but steric effects play some role eg. NH3, MeNH2 and Me2NH give unsymmetrical cleavage products whereas Me3N gives the symmetric cleavage product Me3NBH3. • symmetrical cleavage is the more common mode and thermochemical and spectroscopic data lead to the following sequence of adduct stability for LBH3. • PF3  CO  Et2O  Me2O  C4H8S  Et2S  Me2S  py  Me3N  H- • The relative stability of sulphide adducts is more notable and many other complexes with N, P, O, S etc. donor atoms are known. 10/21/2014 68
  • 69.
    • The H-is a special case since it gives the symmetrical tetrahedral ion BH4 - isoelectronic with CH4. • The BH4 - ion itself provide a rare example of a ligand that can be unidentate, bidentate or tridentate (eg. [cu1( 1- BH4)(PMePh2)3], [Cu1( 2 – BH4)(PPh3)2]; [ZrIV(3 – BH4)4]). • In addition to pyrolysis and cleavage reactions, B2H6 undergoes a wide range of substitution, redistribution and solvolytic reactions: 10/21/2014 69
  • 70.
  • 71.
    Hydroboration • Addition ofB2H6 to alkenes and alkynes in ether solvent at room temperature. • Hydroboration is regiospecific, the boron atom showing preferential attachment to the least substituted carbon atom (anti-Markovnikov). • Protonolysis of the resulting organoborane by refluxing it with an anhydrous carboxylic acid yields the alkane correponding to the initial alkene. • Oxidative hydrolysis with alkaline hydrogen peroxide yields the corresponding primary alcohol: 10/21/2014 71
  • 72.
    Thermal isomerization • Diboraneis an electrophilic reducing agent which preferentially attacks a molecule at a position of high electron density. • Internal alkanes can be thermally isomerized to terminal organoboranes and hence to terminal alkenes (by displacement) or to primary alcohols; 10/21/2014 72
  • 73.
    • In thecase of heteropolar double and triple bonds the boryl group BH2 normally adds to the more electron rich atom i.e. O atom in carbonyl and N atom in CN and CN. • Thus after protonolysis aldehydes yield primary alcohol and ketones yield secondary alcohols, although in the presence of BF3 complete reduction of CO to CH2 may occur. • Likewise nitriles are reduced to amines, oximes to N- alkylhydroxylamines, and Schiff’s bases to secondary amines. 10/21/2014 73
  • 74.
    (VI) Reductive cleavage: Reductivecleavage of strained rings such as those in cyclopropanes and epoxides occur readily and acetals (or ketals) are also reductively cleaved to yield an ether and an alcohol: 10/21/2014 74
  • 75.
    (VI) Removal ofatoms: Removal of O atoms occur either with or without addition of H atoms to the molecule. Thus phosphine oxides give phosphines and pyridine-N-Oxides gives pyridine without addition of H atoms, whereas aromatic nitroso compounds are reduced to amines and cyclic diones can be successively reduced by replacement of CO by CH2 eg. 10/21/2014 75
  • 76.
    CHEMISTRY OF NIDO-PENTABORANE,B5H9 • Preparation: (i) B5H9 can be prepared by passing a 1:5 mixture of B2H6 and H2 at subatmospheric pressure through a furnace at 250 C with a 3-s residence time (or at 225 C with a 15-s residence time) there is a 70 % yield and 30% conversion. (ii) Pyrolysis of B2H6 for days in a hot/ cold reactor at 180 C. (iii) Apex-substituted derivatives 1-XB5H8 can be readily prepared by electrophilic substitution (eg. Halogenation or Friedel Craft’s alkylation with RX or alkenes) 10/21/2014 76
  • 77.
    (iv) 2-XB5H8 resultswhen nucleophilic reaction is induced by amines or ethers, or when 1-XB5H8 is isomerized in the presence of a lewis base such as hexamethylene tetramine or ether: (v) Further derivatives can be obtained by metathesis eg. 10/21/2014 77
  • 78.
    REACTIONS (i) Lewis bases B5H9reacts with lewis bases (electron pair donors) to form adducts eg with PMe3 to give [B5H9(PMe3)2]. (ii) Weak Bronsted acid: B5H9 acts as a weak acid. The acidity increases with increasing size of the borane cluster and arachno-boranes are more acidic than nido-boranes. Nido : B5H9  B6H10  B10H14  B16H20  B18H22 Arachno : B4H10  B5H11  B6H12 and B4H10  B6H10 10/21/2014 78
  • 79.
    B5H9 can bedeprotonated at low temperature by loss of H to give B5H8- providing a sufficiently strong base such as a lithium alkyl or alkali metal hydride is used. (iii) Cluster expansion : (iv) Cluster degrading : 10/21/2014 79
  • 80.
    (v) Subrogation ofa {BH} Subrogation of a {BH} unit in B5H9 by an ‘isoelectronic’ organometallic group such as {Fe(5-C5H5)} can occur and this illustrates the close interrelation between metalloborates, metal-metal cluster compounds and organometallic complexes in general. Eg. [1-{Fe(CO)3}B4H8] ; [1-{Co(5-C5H5)}B4H8] ; [2- {Co(5-C5H5)}B4H8] . 10/21/2014 80
  • 81.
    Nido-decaborane, B10H14 • Decaboraneis the most studied of all polyhedral boranes and one time (mid 1950s) was manufactured on a multi-ton scale in the US as a potential high- energy fuel. • It is now obtained in research quantities by the pyrolysis of B2H6 at 200 C in the presence of catalyst of Me2O. 10/21/2014 81
  • 82.
    Physical Properties • Itis a colourless, volatile, crystalline solid insoluble in water but readily soluble in a wide range of organic solvents. • Its structure is regarded as derived from the 11B atom cluster B11H11 2- by replacing the unique BH group with two electrons and appropriate addition of 4H. 10/21/2014 82
  • 83.
    • Molecular orbitalcalculations give a sequence of electrons charge densities at various B atom as 2, 4,  1, 3,  5, 7, 8, 10  6, 9 though the total range of deviation from charge neutrality is less than  0.1 S = 4 t = 6 y = 2 x = 0 10/21/2014 83
  • 84.
    Chemical properties • Thechemistry of B10H14 can be conveniently be discussed under the headings (a) Proton abstraction, (b) Electron addition, (c) Adduct formation, (d) Electrophilic substitution: (e) Nucleophilic substitution (f) Clusteraddition reaction 10/21/2014 84
  • 85.
    (a) Proton abstraction •B10H14 can be titrated in aqueous/alcoholic media as a monobasic acid : pka 2.70. • Proton abstraction can also be effected by other strong bases such as H-, OMe-, NH2 - etc. • X-ray studies on [Et3NH]+[B10H13]- established that the ion is formed by loss of a bridge proton as expected and this results in considerable shortening of the B(5)-B(6) distance from 179 pm in to 165 pm in B10H13 -. 10/21/2014 85
  • 86.
    • Under moreforcing conditions with NaH a second H can be removed to give Na2B10H12 ; B10H12 2-; the anion acts as a normal bidentate (tetrahapto) ligand with many metals. (b)Electron addition • Electron addition to B10H14 can be achieved by direct reaction with alkali metals in ether, benzene or liquid NH3. 10/21/2014 86
  • 87.
    • A moreconvenient preparation of the B10H14 2- anion uses the reaction of aqueous BH4 - in alkaline solution. • Calculations show that this conversion of nido- borane to arachno-cluster reverses the sequence of electron charge density at the 2,4 and 6,9 positions so that for B10H14 2- the sequence is 6, 9,  1, 3,  5, 7, 8, 10  2, 4, this is paralleled by changes in the chemistry. 10/21/2014 87
  • 88.
    (c) Adduct formation •B10H14 2- can formally be regarded as B10H12L2 for the special case of L = H-. • Compounds of intermediate stoichiometry B10H13L are formed when B10H14 is deprotonated in the presence of the ligand L : 10/21/2014 88
  • 89.
    • The adductcan be prepared by direct reaction of B10H14 with L or by ligand replacement reactions: • Ligands L and L’ can be drawn virtually from the full range of inorganic and organic neutral and anionic ligands and indeed, the reaction severely limits the range of donor solvents in which B10H14 can be dissolved. 10/21/2014 89
  • 90.
    • The approximatesequence of stability is: SR2  RCN  ASR3  RCONMe2  P(OR)3  py  NEt3  PPh3. Bis-ligand adducts of moderate stability play an important role in activating decarborane for several types of reactions eg: 1. Substitution 10/21/2014 90
  • 91.
    2. Cluster rearrangement; 3.Cluster addition; 4. Cluster degradation --In the cluster degradation reaction it is the coordinated B atom at position 9 that is solvolytically cleaved from the cluster. 10/21/2014 91
  • 92.
    (d) Electrophilic substitution: •Electrophilic substitution of B10H14 follows the sequence of electron densities in the ground state molecule. • Halogenation in the presence of AlCl3 leads to 1- and 2- monosubstituted derivatives and 2, 4- disubstitution. • Friedel Crafts alkylation with RX/AlCl3 (or FeCl3) yields mixtures such as 2-MeB10H13, 2, 4- and 1, 2- Me2B10H12, 1, 2, 3- and 1, 2, 4-Me3B10H11 and 1, 2, 3, 4-Me4B10H10. 10/21/2014 92
  • 93.
    (e)Nucleophilic substitution • Thisoccurs preferentially at the 6(9) position ; eg LiMe produces 6-MeB10H13 as the main product with smaller amounts of 5-MeB10H13, 6, 5(8) – Me2B10H12 and 6, 9-Me2B10H12. (f) Clusteraddition reaction • B10H14 undergoes numerous cluster addition reactions in which B or other atoms become incorporated in an expanded cluster. 10/21/2014 93
  • 94.
    • A moreconvenient high yield synthesis of B10H12 2- is by the direct reaction of amine boranes with B10H14 in the absence of solvents. • Heteroatom cluster addition reactions are exemplified by the following: • The structure of the highly reactive anion [AlB10H14]- is thought to be similar to the nido- B11H14 - with one facial B atom replaced by Al. 10/21/2014 94
  • 95.
    • (The openface comprises of fluxional system involving the three additional H atoms) • The metal alkyls act somewhat differently to give extremely stable metalloborane anions which can be thought of as complexes of bidentate ligand B10H12 2-. 10/21/2014 95
  • 96.
    • Many othercomplexes [M(B10H12)2]2- and [L2M(B10H12)] are known with similar structures except that, where M = Ni, Pd, Pt, the coordination about the metal is essentially square-planar rather than pseudo- tetrahedral as for Zn, Cd and Hg. 10/21/2014 96
  • 97.
    CARBORANES • Closely relatedto the polyhedral boron hydrides is a large family of carboranes (carbaboranes), which are clusters that contain both B and C atoms. • TYPE 1: methyldiboranes (MeB2H6-n) where n = 1, 2, 3, 4 not 5 or 6. • Similar derivatives of diborane in which the borane group replaces the terminal hydrogen of the parent borane are also known. 10/21/2014 97
  • 98.
    Type II These areactual carboranes where both B and C feature in the electron deficient molecular skeleton. Closo-carboranes – C2Bn-2Hn (n=5 to n=12) • Dicarba-closo-boranes These are neutral species and isoelectronic with BnHn 2- Eg. C2B3H5 10/21/2014 98
  • 99.
    C2B4H6 NIDO CARBORANES [C2Bn-2Hn 2-] Thesehave n cage atoms and n+2 pairs of cage bonding electrons and n+1 corners. Structurally they adopt an incomplete cage structure, nido or nest structure i.e one cage corner is left vacant though when obtained as metal salts, the metal cation may occupy the vacant site in the crystal. Isoelectronic species which might all be expected to have the nido structures are: BnHn 4-, CBn-1Hn 3-, C2Bn-2Hn 2-, C3Bn-3Hn -, C4Bn-4Hn. 10/21/2014 99
  • 100.
    HEXABORANE (10) B6H10 isthe limiting member of a series of five compounds containing six cage atoms and 8 pair of bonding electrons. 10/21/2014 100
  • 101.
    ARACHNO CARBORANES • Veryfew of these are known. The series are: BnHn 6-, CBn-1Hn 5-, C2Bn-2Hn 4-, C3Bn-3Hn 3-, C4Bn-4Hn 2-, C5Bn-5Hn - and C6Bn-6Hn. • The parent hypothetical anion BnHn 6- are effectively the skeletons of a (BH)pHq in which q=6, eg. B4H10 and B5H11. • These have n cage atoms and n+3 pairs of cage bonding electrons i.e the right number for a cage with n+2 corners. • They accordingly adopt the arachno structure in which two cage corners are left vacant eg. C2B7H13, C2B8H10, C2B3H7 2- 10/21/2014 101
  • 102.
    Preparation and Reactions ofcarboranes • The most important preparative route is the reaction of boranes with acetylenes • The isomers of the closo compound C2B10H12 have icosahedral geometry and exhibit extremely high kinetic and thermodynamic stability. 10/21/2014 102
  • 103.
    • The 1,2-; 1, 7-; 1, 12- isomers have the common names o- m- and p-carboranes respectively. • o-carborane has been given the following symbol in literature 10/21/2014 103
  • 104.
    • Reactions atB center in carboranes parallel those of boranes bridge proton abstraction and electrophilic substitution, including halogenation. The terminal H attached to electrophilic C are relatively acidic . • Hence these C centers can be metallated 10/21/2014 104
  • 105.
    • The metallatedproducts retain structural integrity and can react with nucleophiles to produce a large number of C-substituted derivatives. • Thermal isomerization occur. The diamond- square-diamond mechanism has been proposed for the isomerization of the 1,2- to 1,7- by Lipscomb but the 1.12- isomer cannot be generated by this mechanism. • Moreover, the activation energy required to pass through the cubo-octahedral transition state is likely to be rather too high. 10/21/2014 105
  • 106.
    • The diamond-square-diamondmechanism consists of a pair of triangular faces at right angles which open into a square and rejoin with a different pair of vertices connected. 10/21/2014 106
  • 107.
    • An alternativeproposal which can lead to both the 1, 7- and 1, 12- isomers, is the successive concerted rotation of the 3 atoms on a triangular face. • Yet a third possible mechanism that has been envisaged involves the concerted basal twisting of two parallel pentagonal pyramids, comprising the icosahedron. • It is conceived that the various mechanism operate in different temperature ranges or that two (or all three) mechanisms are active simultaneously. 10/21/2014 107
  • 108.
    • O-carborane isattacked by a base that excises a BH group, generating a nido anion that retains structural integrity. • The 1,7-isomer can be obtained by thermal rearrangement of the anion or by starting with m- carborane. • NaH in tetrahydrofuran deprotonates the anion, giving a dianion B9C2H11 2-. • Assuming for convenience sp3 hybridization of the five atoms on the open face, a set of MO’s reminiscent of the Cp- anion may be constructed. • The MO’s are occupied by six electrons. 10/21/2014 108
  • 109.
    • Hawthorne hasexploited the analogy between B9C2H11 2- (the dicarballide ion) and Cp- to prepare metal dicarballide complexes related to the metallocenes. 10/21/2014 109
  • 110.
    • A generaltechnique for preparing such complexes involves excision of a BH group through base degradation and reaction of the resulting anion with a metal halide. 10/21/2014 110
  • 111.
    Nomenclature for Heteroborates •Vertices of closo- nido- and arachno-polyhedra are given numbers based by convention on planar projections of polyhedral structures. • The numbering is by zones (planes) perpendicular to the major axis. • Interior vertices on the projection are numbered first, then peripheral ones. • This corresponds to numbering apical vertices with lower numbers. • The numbering proceeds clockwise starting from the twelve o’clock position or at the first position clockwise. The location of heteroatoms can be specified by numbers. 10/21/2014 111
  • 112.
    • PB11H12 isphospha-closo-dodecaborane (12). There is no need to specify the position of P since all icosahedral vertices are equivalent. 10/21/2014 112
  • 113.
    General organizational schemefor the neutral boron hydrides, the closo-polyhedral, hydroborate ions, and the carboranes • Given the molecular formula, a method is needed for predicting the probable structural classification of a boron compound i.e. either a closo-, nido- or arachno-. • As described earlier on, the (BH)pHq symbolism is best for structural purposes and these scheme has been extended by Wade and Rudolph. • The formula of any neutral borane, hydroborate or carborane can be written as: • Where the number of vertices of the polyhedral fragment is (a+p) = n and the qHs are involved in a BHB or extra BHT’s. 10/21/2014 113
  • 114.
    • Assuming thatthe number of electron pairs contributed by CH is 3/2 • The number of framework electrons is given by : 3/2a + p +1/2(q + c) = 3a + 2p + q + c =2n + a + q + c Since n = a + p, 2n = number of vertices When, a + q + c = 2 closo a + q + c = 4 nido a + q + c = 6 arachno 10/21/2014 114
  • 115.
    • Eg. [B6H6]2- (BH)6 2-= (6x3e-s) + (6x1e-) + 2e-s = 26e-s 6B-H = (6x2e-s) = -12e-s 2n + a + q + c = 14e-s 2n = -12e-s Closo a + q + c = 2e-s • B5H11 (BH)5 = (5x3e-s) + (11x1e-) = 26e-s 5B-H = (5x2e-s) = -10e-s 2n + a + q + c = 16e-s 2n = -10e-s Arachno a + q + c = 6e-s 10/21/2014 115
  • 116.
     Nido boranes(BH)pH4  Arachno boranes (BH)pH6 • Thus a nido borane is a fully protonated (BH)p 4- and the arachno borane is a fully protonated (BH)p 6- • When we look at (BH)p c- formulation this suggest that a great range of compounds containing the (BH) units or some other group also capable of donating 2e-s to the polyhedral framework could be obtained. • Thus a BH unit can be replaced by CH+; P+, S2+, N+ or O2+. 10/21/2014 116
  • 117.
    • Eg. Thecloso-B4C2H6 may be generated from a closo B6H6 2- by the removal of 2BH units and adding 2CH+ groups or units. • The formula of this ion 7, 8-B9C2H12 - anion may be written as [(CH)2(BH)9H]- if we compare with [(BH)11H]3-. The [(CH)2(BH)9H]- anion compared with [(BH)9H]3- with 2CH+ unit replacing 2BH units and with a proton H+ stitching up part of the opened face. 10/21/2014 117
  • 118.
    • Here thea + q + c = 4 since it is a nido • Deprotonation of 7, 8-B9C2H12 2- and this is a carborane isoelectronic with the (BH)11 4- • On the other hand protonation of the nido-7, 8-B9C2H12 - ion gives a neutral compound nido 7, 8-B9C2H13. 10/21/2014 118
  • 119.
    • Pyrolysis ofthe molecule can give a nido- 7, 8-B9C2H13 in solution can give a closo- polyhedron-2, 3-B9C2H11. 9B 9x3e- = 27e- 9B 9 x3e- = 27e- 9B 9 x3e- = 27e- 9H 9 x1e- = 9e- 11H 11 x1e- = 11e- 12H12 x1e- = 12e- 1S2+1 x4e- = 4e- 1S2+1 x4e- = 4e- 1S2+1 x4e- = 4e- = 40e- = 42e- charge =1x1e-= 1e- = 44e- 9BH 9 x2e- = -18e- 9BHT 9 x2e- = -18e- 9BHT 9 x2e- = - 18e- = 22e- = 24e- = 26e- 10 vertices = -20e- 10 vertices = -20e- 10 vertices = -20e- a + q + c = 2e- a + q + c = 4e- a + q + c = 6e- Closo nido arachno 10/21/2014 119
  • 120.
    INORGANIC RINGS • Themost important ring system of organic chemistry is the C6H6 ring either as a separate entity or in polynuclear hydrocarbon such as napththalene, anthracene, phenanthrene, etc. 10/21/2014 120
  • 121.
    • In InorganicChemistry, there are at least two analogues of benzene namely: borazine (B3N3H6) and phosphazenes (P3N3X3). • When BCl3 is heated with NH4Cl (or RNH3Cl) in chlorobenzene (C6H5Cl) in the presence of Fe, Ni, or Co (used as a catalyst) at about 140C, B,B,B- trichloroborazine is formed. • This derivative of borazine on being reduced with NaBH4 or LiBH4 in polyether gives borazine. 10/21/2014 121
  • 122.
    • N- orB substituted borazines may be made by appropriate substitution on the starting material prior to the synthesis of the ring; e.g. 10/21/2014 122
  • 123.
    BORAZINE • Borazine isan unsaturated compound of B and N atoms with the formula B3N3H6. • It is isoelectronic and isostructural with benzene, having delocalized electrons and aromatic character. • The physical properties are also similar. • However despite the resemblance in structure, there is little chemical resemblance between borazine and benzene. • The difference in electronegativity of B and N atoms is influential. 10/21/2014 123
  • 124.
    • Hence inborazine the –electrons are concentrated on the N-atoms and there is a partial positive charge on the B- atoms which leaves them open for electrophilic attack on the N-atom. • Consequently borazine in contrast to benzene readily undergoes addition reactions. • Also unlike benzene the –electrons are not derived from all six atoms of the ring but from the 3 nitrogen atoms. 10/21/2014 124
  • 125.
    Synthesis of borazines (1)Stock’s Method • In this method diborane (B2H6) and NH3 are heated in 1:2 molar ratio at low temperature (-120 C) to obtain diammoniate of diborane (B2H6.2NH3) which is addition compound (adduct). When the adduct is heated at 200 C, the borazine is obtained 10/21/2014 125
  • 126.
    (2) By heatingBCl3 with NH4Cl (or RNH3Cl) 10/21/2014 126
  • 127.
    (3) By heatinga mixture of LiBH4 and NH4Cl 10/21/2014 127
  • 128.
    STRUCTURE • B: 1S22S22P1Neutral atom • *B: 1S22S12Px 1Py 1 Pz 0 SP2 hybrid • B-: 1S22S12Px 1Py 1 Pz 1 SP3 hybrid • N: 1S22S22Px 1Py 1 Pz 1 neutral atom and SP3 hybrid • N+: 1S22S22Px 1Py 1 Pz 0 SP2 hybrid 10/21/2014 128
  • 129.
    • In thisstructural formula the formal –ve and +ve charges have been assigned to the B and N atoms respectively. • These illustrations are isoelectronic with carbon (in SP2 and SP3 hybridizations) so that the borazine has the same skeletal configuration as in benzene. • All B-N bond distances are 1.44 Å which is between the calculated B-N single bond (1.54 Å ) and B-N double bond (1.36 Å ). • The valence bond approach describes the structure in terms of two canonical forms whereas a molecular orbital description involves three (3) -orbitals embracing all six (6) atoms in the hexagon. • These delocalized orbitals differ somewhat from their benzene analogues because the constituent 2Pz atomic orbitals of B and N are not identical in energy. 10/21/2014 129
  • 130.
    • Physical properties •Borazine is indeed a close analogue of benzene. -- Similarity of the physical properties of the alkyl substituted derivatives is more remarkable. -- For example the ratio of the absolute boiling point of the substituted borazine to similarly substituted benzene derivatives is 0.93 0.01. • Such similarities lead to a description of borazine as an inorganic benzene. 10/21/2014 130
  • 131.
    Physical properties ofborazine and benzene Chemical properties • The chemical properties of borazine and benzene are quite different. Borazine Benzene Molecular weight 80.5 78.1 b.p. (C) 55.0 80.10 m.p. (C) -56.2 5.51 Critical temperature (C) 252 288.0 Liquid density at b.p. (g/cm3) 0.81 0.81 Crystal density at m.p. (g/cm3) 1.00 1.01 Trouton constant (J/K mole) 89.5 88.2 Surface tension (Nm-2) 0.0311 0.0310 Dipole moment 0 0 Intermolecular distance (pm) 144 142 Bond distance to H (pm) B-H (120), N- H(102) C-H (100) 10/21/2014 131
  • 132.
    • Both have-clouds of electron density delocalization over all the ring atoms. • However because of the difference in electronegativity between B and N, the -cloud in borazine is described as being lumpy with more electron density localized on the nitrogen atom N. • This partial delocalization weakens the -bonding hence N retains some of its basicity whereas B some acidity. • As a result of this, polar species such as HCl can therefore attack the double bond between N and B. • NB: The different electronegativity of B and N turn to stabilize bonding to B by electronegative substituents and bonding to N by electropositive substituents. 10/21/2014 132
  • 133.
    The tendency forborazine to undergo addition reaction rather than substitution is well contrasted by the electrophilic substitution reaction of benzene (i.e halogenation of benzene) as indicated below: 10/21/2014 133
  • 134.
    • Borazine analoguesof naphthalene, and related hydrocarbons have been made by pyrolysis of borazine or its passing through a silent electric discharge. • There is also the four membered as well as the 8- membered rings like 10/21/2014 134
  • 135.
    CYCLOBORAZINES • Unlike hydrogenationof benzene yielding cyclohexanes, straight forward hydrogenation of borazines do not yield cycloborazines, but rather yield polymeric materials of indefinite compositions. • Substituted derivatives of saturated cycloborazine form readily by addition reactions. • Another method include 10/21/2014 135
  • 136.
    REACTIONS OF BORAZINES (1)Addition reactions: (a) One melecule of B3N3H6 adds three molecules of H2O, ROH, RX or HX in the cold without a catalyst --The more negative group is generally attached to B, since B-atom is less electronegative than N-atom in B-N bond. --For example when HX derivative is heated at 50-100 C it loses 3H2 molecules to yield B,B’,B”-trihaloborazine. 10/21/2014 136
  • 137.
    --This addition reactionshown by borazine is not shown by benzene. (b) One molecule of borazine adds 3 molecules of X2 at 0 C and gives B-trihalo-N-trihaloborazine which on heating at about 60 C loses 3 molecules of HX and forms B- trihaloborazine i.e. -- Substitution occurs in borazine quite more readily due to the considerably more reactive nature of borazine to benzene. -- This reaction can be compared with that shown by benzene where substitution takes place. i.e. 10/21/2014 137
  • 138.
    (2) Hydrolysis (a) Borazineis slowly hydrolyzed by H2O to produce H2, B(OH)3 and NH3. -- The hydrolysis is favoured by increase in temperature 10/21/2014 138
  • 139.
    (b) Under properconditions borazine reacts with 3 molecules of H2O to produce B-trihydroxy borazine (OH)3B3N3H3 in which the OH groups are attached to B-atoms. (3) Hydrogenation • Benzene can be hydrogenated to produce cyclohexane, C6H12, Borazine on the other hand can be converted to cycloborazine only by special techniques such as shown: -- Direct addition yields polymeric materials with indefinite composition. 10/21/2014 139
  • 140.
    BOROXINE • Iso-electronic withborazine is boroxine H3B3O3 which is formulated as [XBO]3 • Boroxine is planar but has less even –delocalization than borazine and possess a six membered ring. • Boroxine can be prepared by the explosive oxidation of B2H6 or B5H9, or high temperature hydrolysis of boron. • Although this compound is thermodynamically unstable at room temperature with respect to B2H6 and boric oxide, nevertheless it can be characterized. 10/21/2014 140
  • 141.
    • A boron-phosphorusanalogue of borazine has been synthesized rather recently. • The electronegativities of B and P are similar, unlike those of B and N. • As a result polarization should be less extensive in this compound than borazine. • The B3P3 ring is planar with equal B-P bond lengths and shortened B-P bonds suggesting significant aromaticity. 10/21/2014 141
  • 142.
    PHOSPHAZENES (Phosphonitrilic compounds) •These are cyclic compounds of phosphorus and nitrogen of general formula [PNCl2]n. • The reaction produces a mixture of ring compounds (NPCl2)n, where n = 3,4,5,…. and fairly short linear chains. • The most common rings (n=3 and 4) contain six or eight atoms. • The former are flat and the latter exists in ‘ chair and boat conformations. 10/21/2014 142
  • 143.
    • Analogous bromo-compoundsmay be prepared in the same manner except that bromine should be added to suppress the decomposition of PBr5. • The fluoride must be prepared indirectly using NaF in nitrobenzene i.e. • The iodides are not known 10/21/2014 143
  • 144.
    STRUCTURE • Nitrogen atomsare SP2 hybridized and two such hybrid orbitals are involved in -bonding. • Similarly each phosphorus is SP3 hybridized and such hybrids are involved in -bonding. • There is then one “in plane” –bonding involving the lone pair of N (SP2 orbital) in xy plane and the vacant dxy or dx2-y2 of the P-atom. 10/21/2014 144
  • 145.
    • There aretwo “out of plane” interactions: (a) Heteromorphic interactions: The singly occupied Pz1 orbital on the nitrogen overlaps with the dxz0 or dyz0 orbital of phosphorus (p –d bonding) (b) Homomorphic interactions: There are interactions of Pz orbitals of two nitrogen through the dyz orbital of the phosphorus in between. 10/21/2014 145
  • 146.
    Tetrameric Phosphonitriles orcyclotetraphosphaza- tetraenes • These are [NPCl2]4 and [NP(NMe2)2]4 • The tetrameric rings of the above compounds are more flexible than those of the trimers. • There is enough strain and they exhibit non-planar structures without serious deterioration of the P─N – bonding. • The chloro-derivatives are useful for introducing other substituents at the P-atoms in the ring. 10/21/2014 146
  • 147.
    • Eg.When hexachlorobis(ethylamino)tetraphosphazatetraene is treatedwith excess dimethylamine in chloroform the product that results is not only the full amination of both the (PCl2) groups and one of the PCl group but also one of the ethylamino (NHEt) group bridges the opposite PCl group with the elimination of HCl. • This arises from an internal trans-annular attack by one of the NHEt groups. The product is the only known bicyclic phosphazene compound. 10/21/2014 147
  • 148.
    • This bicyclo-structureis reminiscent of ADAMANTANE • The amide however undergoes elimination of NH3 with increasing temperature to form cross-linking between rings or possibly rapture of rings to form linear polymers. 10/21/2014 148
  • 149.
    • Very littleis known about these polymers. • However relatively low molecular weight polymer believed to be a 3-ring species with the formulation Cl9P6N7 has been isolated 10/21/2014 149
  • 150.
    INORGANIC RUBBERY POLYMERS •(1) If excess phosphorus pentachloride is used in the preparation of phosphazene, then it is possible to isolate linear polymers as indicated below: • (2) When the phosphonitrilic compound is heated it is possible to obtain linear polymers. • NB: The reactive chlorine are still susceptible to nucleophilic attack and displacement 10/21/2014 150
  • 151.
    • If R= CH3CF3 (trifluoroethane) then the product obtained is a water repellent polymer which is used to fabricate artificial blood vessels and prosthetic devices. • Although the hydrolytic stability of the phosphazene polymers make them attractive as structural materials, it is possible to create hydrolytically sensitive phosphazenes that may be useful medically in slow release drugs. • Steroids, antibiotics, catecholamines (eg dopamine & epinephrine) have been linked to phosphazene molecules with the intention that hydrolysis will provide these drugs in a therapeutic steady state. 10/21/2014 151
  • 152.
  • 153.
    OTHER HETEROCYCLIC RINGS& CAGES • 1. S-N Ring compounds • S-N ring compounds are prepared by ammonolysis 10/21/2014 153
  • 154.
    • The correspondingtetramer is also known i.e. (2) Tetrasulphurtetranitrides • The ammonolysis of sulphur monochloride S2Cl2 either in solution or in an inert solvent or heated over solid ammonium chloride yield tetrasulphurtetranitrides; S4N4. • S4N4 is a bright orange solid insoluble in H2O but soluble in some organic solvent. 10/21/2014 154
  • 155.
    • The structurehas been found to have two non bonding S-atoms at a distance of about 2.58 Å. • This is considerably shorter than the sum of the van der waal radii which is 3.60 Å. • Although this nonbonding distance is longer than the normal S─S bond which is about 2.06 Å, some interactions must occur between the trans S-atoms. • All the S─N bond distances are equal and about 1.62 Å indicating extensive delocalization rather than alternating discrete single and double bonds. 10/21/2014 155
  • 156.
    • Fluorination ofS4N4 • It produces tetrathiozytetrafluoride i.e. • Reduction of S4N4 10/21/2014 156
  • 157.
    • All possibleSx(NH)8-x isomers except N─N bonds are known. 10/21/2014 157
  • 158.
    • Oxidative chlorinationof S4N4 • NB: It is unexplained that chlorination produces the ClSN trimer while fluorination retains the tetramer unit 10/21/2014 158
  • 159.
    • SULPHURNURYL CHLORIDE(NSOCl)3 • (NSOCl)3 may also be prepared from sulphamic acid. 10/21/2014 159
  • 160.
    HOMOCYCLIC INORGANIC RING COMPOUNDS •Several elements form homocyclic rings. • The thermodynamically stable form at room temperature consists of S8 rings. • The oxidation of several non-metals in strongly acidic systems produces poly-atomic cationic species of the general type Yn +m 10/21/2014 160
  • 161.
    • The bestcharacterized of these are the S4 +2, Se4 +2, Te4 +2. • The structures of these compounds have been shown to be planar and has been shown that all these species are square planar. • The structures are stabilized by the Hückel sextet of - electrons. • Se8 +2 is known to be bicyclic. • The transannular bond is 2.84 Å which is longer than those of the ring 2.32  .2 Å but are considerably less than the sum of the van der waals radii of about 3.80 Å. 10/21/2014 161
  • 162.
    • Other ionsof this type, presumably cyclic, though less thoroughly studied are the S8 2+, S16 2+, Sb4 2+, Sb8 2+, Sbn n+, Te6 2+ etc. • But have been suggested as products of mild oxidation of some non-metals. • The oxidation of red phosphorus with hypo-halides in alkaline solution produces the anion of an interesting phosphorus acid. • This acid has been shown to be cyclic. 10/21/2014 162
  • 163.
    • CYCLIC OXOCARBONANION [(CO)n]-2 (-4) • The oxocarbonate ion C5O5 2- is the first member to be synthesized. • It was isolated in 1825 by Gmelin and thus shares with benzene the honour of being the first aromatic compound discovered. • It was the first inorganic substance discovered that is aromatic. • It is a bacterial metabolic product and was possibly the first organic compound synthesized. 10/21/2014 163
  • 164.
    • All ofthese oxocarbon anions are aromatic according to simple MO calculations. • The aromatic stabilization of the anion is apparently responsible for the fact that squaric H2C4O4 is about strong as sulphuric acid. • NB: Oxalic acid containing C in a comparable oxidation state but not aromatic. • Ka1 ≈ Ka2 for squaric and sulphuric acid. • The Ka2 of oxalic acid is 3 orders of magnitude smaller. 10/21/2014 164
  • 165.
    NON-METAL CAGED COMPOUNDS •The simplest caged type molecule is found in white phosphorus which is a P4 molecule. • This molecule is more stable at room temperature and is a tetrahedron of phosphorus atoms. • Such a structure requires bond angle of 60 • In as much as the lowest inter orbital angle available using only s and P-orbital is 90 • The smaller bond angle in P4 must be accomplished either through the introduction of considerable d-character or through the use of bent bonds. 10/21/2014 165
  • 166.
    • The formerinvolving d-orbitals requires considerable promotion energy and is therefore unlikely. • The later involving bent-bonds result in the loss in bonding energy of some 96 KJmol-1 due to strain but is thought to be energetically favoured. • In any event the molecule is destabilized and quite reactive. • P4 cages react readily with O2 to form a mixture of oxides and can also be converted into a more stable allotropes. 10/21/2014 166
  • 167.
    OXIDES OF PHOSPHORUS •These have cage structure of tetrahedral symmetry • The molecular formulae P4O6 or P4O10 usually referred to as the trioxide and pent oxide respectively. • Both are anhydrides. 10/21/2014 167
  • 168.
    • Only onephosphorus sulphide P4S10 is isoelectronic and isostructural with the phosphorus oxide. • This is obtained by mixing P4 and S8 in appropriate stoichiometric quantities. • Other sulphides are obtained by the reactions below: 10/21/2014 168
  • 169.
    INORGANIC CHAINS SILICATES • Theseare metal derivatives of silicic acid H4SiO4. • They are prepared by fusing metal oxides or metal carbonates with sand (SiO2). • All the silicates have the SiO4 4- anion formed by SP3 hybridization of Si-atoms, but the various silicates differ from one another in the manner in which the SiO4 4- anions are linked together. 10/21/2014 169
  • 170.
    CLASSIFICATION • One classificationbased on the arrangement of the silicon tetrahedron within the structure divide the silicates into six classes. Orthosilicates (Nesosilicates) • They contain discrete SiO4 4- tetrahedral anions. The oxygen atom of each SiO4 4- is also coordinated to the metal ion to impart electrical neutrality to the structure. 10/21/2014 170
  • 171.
    • Orthosilicates arenot common in minerals although they are present in minerals such as olivine, (Mg,Fe)SiO4. • Other minerals that have the structure of silicates are: Phenacite; Be2SiO4 , Willemite; Zn2SiO4 , Olivite; Mg2SiO4 , Zircon; ZrSiO4 , Garnets; M3 2+M2 3+(SiO4)3 (where M2+ = Ca2+, Fe2+ , Mg2+ etc. and M3+ = Al3+, Cr3+ , Fe3+ etc.). • In Garnets SiO4 tetrahedra are arranged about M2+ and M3+ so they become 8- and 6- coordinated respectively. • They are quite hard and crystalline, so they are used as abrasives and cut for gemstones, e.g. Cape rugby and carbuncle. • Orthosilicates are also the major component of Portland cement 10/21/2014 171
  • 172.
    Pyrosilicates (disilicate anion)(Sorosilicates) • They contain the discrete Si2O7 6- anion which is formed by joining two SiO4 4- tetrahedral units through one oxygen atom. • The best example are the Hermimorphite, a basic hydrated silicate of zinc, Zn3(Si2O7).Zn(OH)2.H2O and thorteveitite, Sc2(Si2O7). Eg. Thorteveitite, Sc2(Si2O7); Hermimorphite, Zn3(Si2O7).Zn(OH)2.H2O 10/21/2014 172
  • 173.
    Cyclic or ringsilicates (metasilicates, cyclosilicates) • These comprise of the SiO4 residues bridging through two open oxygen atoms. • So many ring sizes could be produced, but many are found naturally. • They contain cyclic or ring anions like Si3O9 6- or Si6O18 12-. • Eg. Benitoite; BaTiSi3O9, Wollastonite; Ca3Si3O9, Catapleit; Na2ZrSi3O9, Beryl; Ba3Al2Si6O18, Dioptase; Cu6Si6O18. • No cyclotrimetasilicates( eg. Benitoite; BaTiSi3O9) have been used as semi-precious stone. 10/21/2014 173
  • 174.
    • The cyclohexametasilicateion Si6O18 12- occurs as beryl; Ba3Al2Si6O18 in emeralds. • Tourmarine is an example of a mixed borosilicate containing this BO3 3- anions which occurs in basic salts eg. [Al(OH)4(BO3)3Si6O18 ]7-. • This ion occur in sapphire (blue) and topaz (pale yellow). • The crystal structures show that the rings of Si6O18 12-occupy sheets which are bound to others by metal ions in between them. Chain silicates Pyroxene and Amphibole (Inosilicates) • They contain the anions which are formed by sharing of two oxygen atoms by each tetrahedra. • The anions may be of the types (a) (SiO3)n 2n- -pyroxes, (b) (Si4O11)n 6n- - amphibole 10/21/2014 174
  • 175.
    • The chainsin the silicates containing (SiO3)n 2n- anions linked through oxygen atoms lie parallel to each other and cations lie between the chains and bind them together. • Such silicates are presented by the PYROXENE mineral and several synthetic silicates. 10/21/2014 175
  • 176.
    • Eg. SyntheticLi2SiO3, Na2SiO3, • Pyroxene ; spodumene; LiAl(SiO3)2, Jadeit; NaAl(SiO3)2, • Enstatite; MgSiO3, Diopside; CaMg(SiO3)3. • Synthetic sodium metasilicate possess this chain structure with Si─O bonds much shorter than expected for single bonds (0.174 nm). • This is thought to result through p-d bonding between O and Si atoms, and occurs in both kinds of Si─O bonds in pyroxenes though more so in the terminal Si─O bonds. The Si─O─Si angle also reflects some -bonding. 10/21/2014 176
  • 177.
    • The silicatescontaining Si4O11 6n- anions have double chains in which the simple cations are held together by shared oxygen atoms. • Such silicates are represented by the amphiboles minerals which include asbestos minerals. • The amphiboles are more complicated than the pyroxenes and contain repeating units as well as metals and hydroxide ions. • Structurally, amphiboles are similar to pyroxenes though they contain some OH groups which are attached to the cations. 10/21/2014 177
  • 178.
    • Eg. Tremolite;Ca2Mg5[(OH)2(Si4O11)2], Crocodolite; Na2Fe3 2+Fe2 3+[(Si4O11)2]2(OH)2 Asbestos • Asbestos was the term originally used to describe fibrous amphiboles, but it now incorporates many two dimensional polymers encountered among the aluminosilicates. • Thus chrysotile, once regarded as an amphibole (OH)6MgSi4O11.H2O, is actually (OH)4Mg3Si2O5.H2O, the Si2O5 anion having a layer structure. • Replacing the Mg by Al gives the aluminosilicate (OH)4Al2Si2O5 encountered in kaolin. 10/21/2014 178
  • 179.
    • Polysiloxanes withtrifunctional Si atom form ladder polymers and cyclic oligomers (which involve joining the ladder ends). • The silicate Si6O15 6- is an example of this two 6-membered siloxane rings bridged by three oxygen atoms, these providing the rings of the ladder. • The Si─O bond lengths lie in the range 0.160 – 0.167 nm, the terminal ones being shorter. Cleavage / fibrous nature • The S─O bonds in the chain are strong and directional. • Adjacent chains are held together by the metal ions present. • Thus the amphiboles as well as the pyroxenes cleave parallel to the chains forming fibers. 10/21/2014 179
  • 180.
    Two-dimensional sheet (layer)structure (Phyllosilicates) • These contain two-dimensional sheet polymers sharing three apices of SiO4 tetrahedra. • Two arrangements have been found naturally and are formulated as SiO1+3/2 ie (Si2O5)n 2n-. • The metal ions present hold the layers together by weak electrostatic forces. • As a result the minerals containing are soft and cleave easily. • Such sheet like anions are found in micas and different types of clay minerals. • Eg. Talc; Mg2(SiO5)2Mg(OH)2, Kaolin; Al2(OH)4(SiO5)2 10/21/2014 180
  • 181.
    Three dimensional orframework silicates (Tectosilicates)- Aluminosilicates • When all the four oxygen atoms of a SiO4 tetrahedron are shared with adjacent tetrahedra and the process is repeated an infinite 3-dimensional structure results. • Since all the oxygen atoms are the bridge atoms, the silicate is neutral. 10/21/2014 181
  • 182.
    • In caseSi is not replaced by any other metal atom the silicate is neutral and will have the neutral formula (SiO2)n. • Such a structure is found in quartz, tridymite and crystoballite. • However if some other Si4+ ion are replaced by Al3+ ions in the tetrahedral position in the SiO2 structure in order to maintain electrical neutrality, some other monovalent and divalent cations must be introduced. • Such replacement of Si4+ cations by Al3+ and other monovalent or divalent cations give rise to aluminosilicates. • The aluminosilicates are subdivided into the following minerals: (1) Feldspars (2) Zeolites (3) Ultramarines. 10/21/2014 182
  • 183.
    FELSPAR • These areof general formula M(Al,Si)4O8 and are the most important rock forming mineral comprising some 2/3rds of igneous rock such as granite which is a mixture of quartz, felspar and micas. • Those in which the M is larger ion such as K+ or Ba2+ normally crystallize in a monoclinic system, Eg: orthoclase; K(AlSi3O8), Celsian; Ba(Al2Si2O8). • The triclinic or plagioclase felspar contain a smaller M such as Na+ and/or Ca2+, eg Albite; Na(AlSi3O8), and Anorthite; Ca(Al2Si2O8). 10/21/2014 183
  • 184.
    ZEOLITES (porotectosilicates) • Theseare aluminosilicates with framework structures enclosing cavities occupied by large ions and water molecules, both of which have considerable free movements, permitting ion-exchange, reversible hydration and absorption of gases. • The framework consists of an open arrangement of corner-sharing tetrahdra where SiO4 units are partially replaced by AlO4 tetrahedra which require sufficient cations to achieve electroneutrality. • The cavities are occupied by H2O molecules and the idealized formula is Mx/n n+[(AlO2)x(SiO2)y]x-.zH2O. • Eg: Natrolite; Na2(Al2Si2O8).H2O, Heulandite; Ca(Al2Si7O18).6H2O, Chabazite; Ca(Al2Si4O12).6H2O. 10/21/2014 184
  • 185.
    • The zeoliteare used as/for (i) Molecular sieves (ii) catalysts (iii) catalytic support for platinum group and other metals (iv) cation-exchangers e.g. for water softening (v) separating straight chain hydrocarbons from branched hydrocarbons. ULTRAMARINES • These are a group of related compounds which contain no water, but contain anions(i.e. radical anions) such as Cl-, SO4 2-, S2 2-, S3 -. • They are formulated as Na8Al6Si6O24.X where X is 2Cl-, SO4 2-, S2 2-, S3 -. • They are closely related to the zeolites except that they do not contain water molecules but rather Cl-, SO4 2-, S2 2-, S3 - anions. 10/21/2014 185
  • 186.
    • The cationproduces a wide range of colour and are used for pigments. • E.g. Ultramarine; Na8[(AlSiO4)]S2, Sodalite; Na8[(AlSiO4)6]Cl2, Nosean; Na8[(AlSiO4)6]SO4. The Si4─Si6 ring layer structure • This involves alternate Si4O4 and Si8O8 rings but is rare. • Apophihyllite (K,Na)Ca4Si8O20(F,OH).8H2O has such a structure with terminal oxygen atoms of one Si4O4 ring directed to the opposite side of the layer to its Si4O4 neighbour. • Cations holds the layers together. 10/21/2014 186
  • 187.
    Si6 ring • Thesering comprise six silicon and six oxygen atoms, and a terminal oxygen atoms all on one side. • Consequently it is theoretically possible to form a double sheet by bridging at these terminal positions thereby obtaining a laminated form of silicon. • Replacing half of the silicon atoms in such a structure by isoelectronic Al- ion leads to compounds of empirical formula MAl2Si2O8 (M= Ca, Ba). • The structure comprises these double layer bound together by six coordinate cations. 10/21/2014 187
  • 188.
    Hydroxysilicates • The mostimportant layer silicates are often interleaved by Mg or Al cations held through hydroxide ions. • These can be formulated as Mg3(OH)4Si2O5 (chrysotile) and Mg3(OH)2Si4O10 (talc), together with the aluminium compounds. • Partial replacement of atoms by Al- ions gives charged layer which are neutralized by layer of alkali or alkaline earth metal ions, as in micas. • The neutralizing layer can also be hydrated ions or positively charged Mg or Al hydroxides. The variables in this structure array lead to property differences in these laminated compounds. 10/21/2014 188
  • 189.
    (i) The singlesilicate layer Si2O5 2- interleaved with Mg or al hydroxide residues is the structural unit present in china clay and kaolin minerals.  This is normally formulated as Al2(OH)4Si2O5 (Kaolinite). (ii) Those involving two silicate leaves held together by magnesium or aluminum hydroxides are like kaolin, electrically neutral. They therefore readily cleave.  Talc Mg3(OH)2Si4O10 is widely used, therefore as a lubricant (French chalk) and as a filler.  Meershaum is a hydrated magnesium silicate resembling clay.  After soaking in tallow wax it can be made into pipes, and takes on appealing red polish. 10/21/2014 189
  • 190.
    (iii) The aluminumanalogue, pyrophyllite, is like talc and both can have up to a quarter of the Si atoms replaced by Al- ions.  An interleaving layer of cations neutralize the charge with K+ ions in the micas, phlogopite, KMg3(OH)2Si3AlO10 and muscovite, KAl2(OH)2Si3AlO10 .  Since the K+ ions occupy large holes with 12-fold coordination, the K+O- electrostatic bond is necessarily weak  So micas cleave readily along these layers. 10/21/2014 190
  • 191.
     Further substitutionwith Al- produces brittle micas, since more highly charged cation is necessary to neutralize the extra charge, so the electrostatic bonding is stronger and the mica is harder.  These are widely used in the electrical industry. (iv) Interleaving with layers of hydrated cations gives hydrated micas with much smaller cation charge density which cleave very easily. 10/21/2014 191
  • 192.
     Further replacementof both cation and Si atoms in talc, and interleaving with hydrated Mg2+ ions produces vermiculite, (Mg,Fe,Al)3(Al,Si)4O10(OH)2.4H2O - [Mg2.36FeIII 0.48Al0.16)(Si2.72Al1.28)O10(OH)2]-0.64[Mg0.32(H2O)4.32]+0.64.  This dehydrates readily to a talc-like structure, and is used widely as a soil conditioner and porous filler. Relative Hardness of Typical Hydroxysilicates Hydroxysilicate Formula Hardness (Moh’s scale) Talc Mg3(OH)2Si4O10 1 - 2 Mica KMg3(OH)2Si3AlO10 2 -3 Brittle CaMg3(OH)2Si2Al2O10 31/2 - 5 10/21/2014 192
  • 193.
     Monimorillonite, [Mg1/3Al12/3Si4AlO10(OH)2]-1/3results from pyrophyllite by replacing one sixth of the Al3+ ions by Mg2+ ions.  Like many clays minerals, this can be readily hydrated and exhibits cation–exchange properties.  It is an important constituent of Fullers earth, found widely in Southern England. (v) With kaolin, talc and pyrophyllite the layers are uncharged and so only weakly bound together, while the micas are held by cation layers or hydrated cations (eg vermiculite).  Interleaving with charged hydroxide layers gives the chlorite minerals. 10/21/2014 193
  • 194.
     Thus themica layers (composition [Mg3(AlSi3O10) (OH)2]- to [Mg2Al(Al2Si2O10) (OH)2]- are held by ions.  Thus in phlogopite, KMg3(OH)2Si3AlO10), replacing the K+ ion by the Mg2Al(OH)6 + ion gives a chlorite mineral. Silica, SiO2 • This has a structure comprising of silicon atoms tetrahedrally surrounded by four oxygen atoms. • Polymerization occurs in a variety of ways, and transmission between the various crystalline forms occur but with much difficulty. • The high temperature form have the more open structures, while the high pressure ones are more compact as would be expected from the Le Chatelier’s principle. 10/21/2014 194
  • 195.
    • While significantstructural differences occur between these four forms of silica, those between α- and β- form are small and generally only involve the rotation of a few Si─O bonds. 10/21/2014 195
  • 196.
    • This issupported by the same optical activity being present in both α- and β- quartz. • β-quartz has a more regular structure than –quartz but both involve fused 6-membered and 12-membered rings. • The structure therefore resemble the silicate sheet polymers. • Impure forms of quartz are used in semi-precious jewellery (e.g. amethyst, which probably owes its purple colour to manganese. 10/21/2014 196
  • 197.
    • Quartz sandare widely used in the building trade and as an abrasive, while quartz is employed in pottery and as a high-temperature lining to surfaces etc. • It has been widely used in short-wave radio apparatus, due to thin quartz plates possessing piezo- electric properties. • The more open structures of –christobalite are analogous to wurtzite and zinc blende forms of zinc sulphide. 10/21/2014 197
  • 198.
    Nanoparticles • Nanoparticles areparticles between 1 and 100 nanometers in size. • In nanotechnology, a particle is defined as a small object that behaves as a whole unit with respect to its transport and properties. • Particles are further classified according to diameter. • Ultrafine particles are the same as nanoparticles and range between 1 and 100 nanometers in size. • Fine particles are sized between 100 and 2,500 nanometers. • Coarse particles cover a range between 2,500 and 10,000 nanometers. 10/21/2014 198
  • 199.
    • Nanoclusters haveat least one dimension between 1 and 10 nanometers and a narrow size distribution. • Nano powders on the other hand are agglomerates of ultrafine particles, nanoparticles, or nanoclusters. • Nano particle sized crystals are called nanocrystals • Nanoparticle research is currently an area of intense scientific interest due to a wide variety of potential applications in biomedical, optical and electronic fields. 10/21/2014 199
  • 200.
    Synthesis of Nanoparticles Top-DownSynthesis Processes • Electron beam lithography • Reactive-ion etching • wet chemical etching, • Focused ion or laser Etching. • Dry etching. • Reactive ion etching (RIE). • Focused ion beam (FIB) Bottom-up Approach (1) Wet-chemical methods. • Molecular beam epitaxy (MBE), • Sputtering, • liquid metal ion sources, (2) vapour-phase methods. 10/21/2014 200
  • 201.
    Nanoparticle Applications andthe Environment • Researchers are using photocatalytic copper tungsten oxide nanoparticles to break down oil into biodegradable compounds. • Researchers are using gold nanoparticles embedded in a porous manganese oxide as a room temperature catalyst to breakdown volatile organic pollutants in air. • Iron nanoparticles are being used to clean up carbon tetrachloride pollution in ground water. • Iron oxide nanoparticles are being used to clean arsenic from water wells. 10/21/2014 201
  • 202.
    Nanoparticle Applications inMedicine • For biological detection of disease causing organisms and diagnosis • Detection of proteins • Isolation and purification of biological molecules and cells in research • Probing of DNA structure • Genetic and tissue engineering • Destruction of tumours with drugs or heat • In MRI studies • In pharmacokinetic studies. 10/21/2014 202
  • 203.
    Nanoparticle Applications inEnergy and Electronics • Nanotetrapods studded with nanoparticles of carbon are being used to develop low cost electrodes for fuel cells by Researchers. • Gold nanoparticles combined with organic molecules creates a transistor known as a NOMFET (Nanoparticle Organic Memory Field-Effect Transistor). • A catalyst using platinum-cobalt nanoparticles is being developed for fuel cells that produces twelve times more catalytic activity than pure platinum. 10/21/2014 203
  • 204.
    • Researchers havedemonstrated that sunlight, concentrated on nanoparticles, can produce steam with high energy efficiency. • A lead free solder reliable enough for space missions and other high stress environments using copper nanoparticles • Silicon nanoparticles coating anodes of lithium-ion batteries can increase battery power and reduce recharge time. • Semiconductor nanoparticles are being applied in a low temperature printing process that enables the manufacture of low cost solar cells. • A layer of closely spaced palladium nanoparticles is being used in a hydrogen sensor. 10/21/2014 204