Chapter 25:Chapter 25:
HeterocyclesHeterocycles
HeterocylesHeterocyles – Cyclic molecules that– Cyclic molecules that
contain at least 1 heteroatom (O, N, S)contain at least 1 heteroatom (O, N, S)
• OxacyloalkaneOxacyloalkane: Oxygen-containing heterocycle: Oxygen-containing heterocycle
• AzacycloalkaneAzacycloalkane: Nitrogen-containing heterocycle: Nitrogen-containing heterocycle
• ThiacyloalkaneThiacyloalkane: Sulfur-containing heterocycle: Sulfur-containing heterocycle
Numbering starts at heteroatomNumbering starts at heteroatom
Aromatics:Aromatics:
1.1. Intramolecular SIntramolecular SNN2 reaction2 reaction
XX
::
CHCH22−− LL
(CH(CH22))nn
2.2. Special reaction for oxacyclopropanesSpecial reaction for oxacyclopropanes
RCO3H+
O
Preparation of HeterocloalkanesPreparation of Heterocloalkanes
Three- and four-membered rings open:Three- and four-membered rings open:
ReactionsReactions
Usual conditionsUsual conditions
areare basicbasic..
For ringsFor rings larger than fourlarger than four, ring strain driving force is, ring strain driving force is absentabsent::
NeedNeed strongstrong acid:acid:
But, recallBut, recall acidicacidic opening of oxacyclopropanes:opening of oxacyclopropanes:
O
+ HBr Br
OH
Br
BrHBr
For azaheterocycloalkanes: Acid just protonates theFor azaheterocycloalkanes: Acid just protonates the
nitrogen to ammonium salt. Ring opening can be done bynitrogen to ammonium salt. Ring opening can be done by
Hofmann degradation:Hofmann degradation:
N
H
1. CH3I
excess
2. Ag2O
N
1. CH3I
excess
2. Ag2O
Other chemistry is the same as for acyclic systems, e.g.:Other chemistry is the same as for acyclic systems, e.g.:
N
H
HNO2
N
NO
S
S
O
H2O2
S
OO
CH3I
S
CH3
I
-
+
H2O2
Heterocyclopentadienes:Heterocyclopentadienes:
Pyrrole, Furan, and ThiophenePyrrole, Furan, and Thiophene
The lone pairs participate in theThe lone pairs participate in the aromaticaromatic cycliccyclic
six e system: Like the cyclopentadienyl anionsix e system: Like the cyclopentadienyl anion
PyrrolePyrrole
FuranFuran ThiopheneThiophene
N
H
O S
:
:
::
:
-
The distribution of 6The distribution of 6 ππ electronselectrons
overover five atomsfive atoms makes thesemakes these
systems relatively e-rich,systems relatively e-rich,
compared to benzene.compared to benzene.
CyclopentadienylCyclopentadienyl
anionanion
ResonanceResonance
OrbitalsOrbitals
Relative to benzene: Electron richRelative to benzene: Electron rich
N
H
:
N
H
:
δδ--
δδ--
mm//zz = 67 (= 67 (MM ++
))
N
H
:
MM ++
- CN/HCN/HCNH- CN/HCN/HCNH
ννN-HN-H
~~
Paal-Knorr synthesis of pyrroles andPaal-Knorr synthesis of pyrroles and
its variationsits variations
Synthesis of HeterocyclopentadienesSynthesis of Heterocyclopentadienes
O
O
:
: :
O
::
:
P2O5
O
O
:
H
: :H
O
O
:
H
: :
-H+ H+
O
O
:
H
:
H
:
O
H
:
OH
-H+ H+
O
:
OH2
:
:
-H2O
O
::
H
-H+
O
::
Mechanism:Mechanism:
Goes via thioketone and then enethiolGoes via thioketone and then enethiol
O
O
:
: :
P
S
S
P
S
S
S
:
::
S
O
:
: :H
S
O
:
H
: :
:
:
Mechanism:Mechanism:
N
O
(H3C)2HC
: :
:
H
Mechanism:Mechanism:
Goes via enamineGoes via enamine
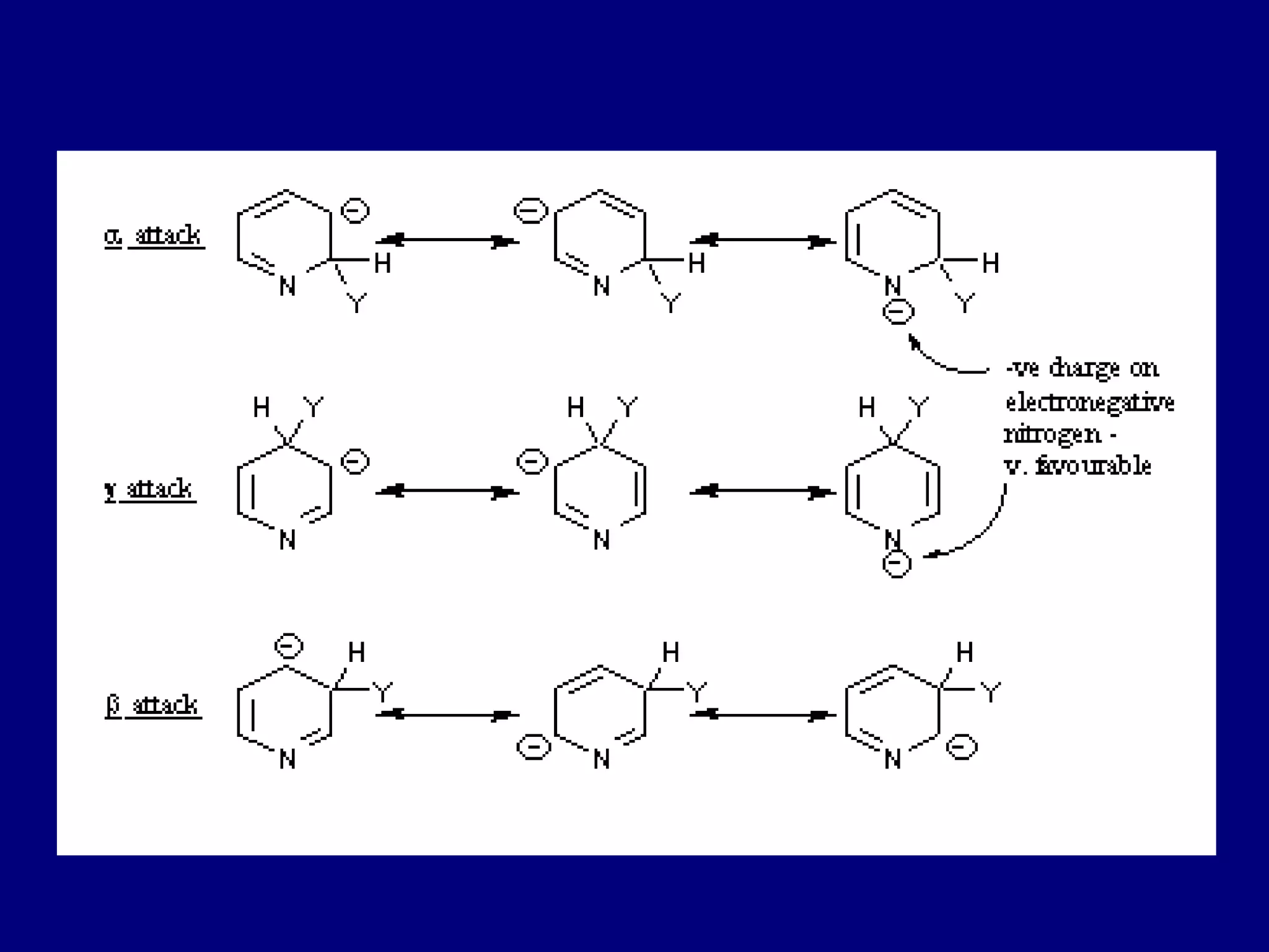
1.1. Electrophilic Aromatic Substitution:Electrophilic Aromatic Substitution: Activated!Activated!
Attack atAttack at C2C2 is preferred generallyis preferred generally
But often also attack atBut often also attack at C3C3
ReactionsReactions
GoodGood
GoodGood
Examples:Examples:
Relative reactivityRelative reactivity: B: Benzene << thiophene < furan < pyrrole
MixtureMixture
Recall:Recall:
2.2. BasicityBasicity of pyrrole (and otherof pyrrole (and other
heterocyclopentadienes)heterocyclopentadienes)
Relatively (cf. normal amines)Relatively (cf. normal amines) nonbasicnonbasic: Lone pair is: Lone pair is tied uptied up byby resonanceresonance..
Protonation occurs on carbon!Protonation occurs on carbon!
NH2
O
+ H
+
NH2
OH
+
:
: : :
:
NH2
+ H
+
NH2
CH3
+
:
Or:Or:
ppKKaa of normalof normal
alkane-alkane-
ammoniumammonium
~ 10~ 10
3. Pyrrole is quite3. Pyrrole is quite acidicacidic
Reason isReason is spsp22
-hybridization of attached carbons-hybridization of attached carbons
and cyclic delocalization of charge.and cyclic delocalization of charge.
Like cyclopentadienyl anionLike cyclopentadienyl anion
Compare:Compare:
4. Ring opening4. Ring opening
Mechanism is the reverse of synthesis:Mechanism is the reverse of synthesis:
General for all heterocyclopentadienesGeneral for all heterocyclopentadienes
H2O:
O
::
H
H+
O
::
:
ReductiveReductive desulfurizationdesulfurization: Unique for: Unique for thiophenesthiophenes
O
O
:
::
O
O
:
H
::
-H+
O
O
:
H
:
H :
O
H
:
HO
H+
-H+
O
:
H2O
:
:
:
:
5. Diels-Alder5. Diels-Alder cycloadditionscycloadditions to furan:to furan: Not generalNot general
Needs a hot dienophileNeeds a hot dienophile
6.6. BenzofusionBenzofusion: Indole: Indole
N
H
:
Cf. naphthaleneCf. naphthalene
EAS at C3 allows for resonance forms which doEAS at C3 allows for resonance forms which do
not disrupt the benzene ring:not disrupt the benzene ring:
LeavesLeaves
aromaticityaromaticity
DisruptsDisrupts
aromaticityaromaticity
N
H
:
E H
+
N
H
+ H
E
H Etc.
Etc.
Attack at C3:Attack at C3:
Attack at C2:Attack at C2:
Pyridine: AzabenzenePyridine: Azabenzene
Can be viewed as aCan be viewed as a cyclic aromatic imine:cyclic aromatic imine:
The nitrogen isThe nitrogen is spsp22
-hybridized, the lone-hybridized, the lone
pair is perpendicular to the aromaticpair is perpendicular to the aromatic ππ
system.system.
ImineImine
The N does not donateThe N does not donate
e-density; rather, ite-density; rather, it
withdraws by inductionwithdraws by induction
Cf. benzeneCf. benzene
N
:
N
::
-
+
δδ++
δδ++
The inductive effect of nitrogen can be pictured byThe inductive effect of nitrogen can be pictured by
dipolar resonance forms:dipolar resonance forms:
Pyridine Spectral DataPyridine Spectral Data
1313
C NMRC NMR
N
:
136.1
124.1
150.4
11
H NMRH NMR
N
:
7.46
7.06
8.50
N
:
N
::
-
+
δδ++
δδ++
-HCN-HCN
C=NC=N
wetwet
C-HC-H
MassMass
IRIR
mm//zz = 79 (= 79 (MM ++
))
N
:
Pyridine is a (weak)Pyridine is a (weak) basebase
PyridinePyridine Pyridinium ionPyridinium ion
ppKKaa = 5.29= 5.29
Compare pCompare pKKaa of Rof R33NH ~ 9-10NH ~ 9-10
++
N
:
+ H
+
N
H
+
Preparation ofPreparation of
PyridinesPyridines
(a condensation reaction) Arthur R. Hantzsch
(1857-1935)
Mechanism:Mechanism:
―― = e pair= e pair
Reactions of PyridineReactions of Pyridine
Pyridine is relatively (to benzene)Pyridine is relatively (to benzene) electron poorelectron poor, therefore, therefore
EASEAS only underonly under extremeextreme conditions and only at C3conditions and only at C3
ActivatingActivating substituentssubstituents improveimprove yieldsyields
Pyridine undergoes relatively easyPyridine undergoes relatively easy
nucleophilicnucleophilic aromatic substitutionaromatic substitution
Leaving groups are typicallyLeaving groups are typically halideshalides;;
2- and2- and 4-4-halopyridines are particularlyhalopyridines are particularly
reactivereactive
Think of the C=N bond as imine-likeThink of the C=N bond as imine-like
Alexej J. ČičibabinAlexej J. Čičibabin
(1871-1945)(1871-1945)
Quinoline andQuinoline and
Isoquinoline:Isoquinoline:
BenzopyridinesBenzopyridines
N
N
QuinolineQuinoline IsoquinolineIsoquinoline
CH
O
NH2
+
H
O
N
Preparation of Quinoline andPreparation of Quinoline and
IsoquinolineIsoquinoline
1.1. Friedländer SynthesisFriedländer Synthesis
2-Aminobenzene-2-Aminobenzene-
carboxaldehydecarboxaldehyde
EnolizableEnolizable
carbonylcarbonyl
compoundcompound
85%85%
AldolAldol
ImineImine
HH22O, NaOH,O, NaOH,
5050 ºCºC
Paul Friedländer
(1857 - 1923)
2. Bischler-Napieralski Synthesis2. Bischler-Napieralski Synthesis
POClPOCl33, P, P22OO55,,
100 ºC100 ºC
Pd, 200 ºC,Pd, 200 ºC,
- H- H22
NH
O
R
H
+
N
R
N
R
-H-H22OO
EAS away from heteroaromatic ring andEAS away from heteroaromatic ring and αα (for both quinoline(for both quinoline
and isoquinoline); like naphthalene.and isoquinoline); like naphthalene.
ReactionsReactions
Chichibabin Reaction of QuinolineChichibabin Reaction of Quinoline
and Isoquinolineand Isoquinoline
Alkaloids and DrugsAlkaloids and Drugs
LSD: Albert HofmannLSD: Albert Hofmann
100 years old!100 years old!
Allowable drug quantities
approved by Mexico,
April 28, 2006:
Opium: 5 g
Heroin: 25 mg
Marijuana: 5 g
Cocaine: 500 mg
LSD: 0.015 mg
MDA: 200 mg
Ecstasy: 200 mg
Mescaline: 1 g
Peyote: 1 kg
Psilocybin (pure): 100 mg
Mushrooms: 250 mg
Amphetamines: 100 mg
Dexamphetamines: 40 mg
Phencyclidine (PCP, or
Angel Dust): 7 mg
Methamphetamines: 200
mg
Nalbuphine (synthetic
opiate): 10 mg
(Since the beginning of mankind.......)(Since the beginning of mankind.......)

Chapter25 140330082620-phpapp02

  • 1.
  • 3.
    HeterocylesHeterocyles – Cyclicmolecules that– Cyclic molecules that contain at least 1 heteroatom (O, N, S)contain at least 1 heteroatom (O, N, S) • OxacyloalkaneOxacyloalkane: Oxygen-containing heterocycle: Oxygen-containing heterocycle • AzacycloalkaneAzacycloalkane: Nitrogen-containing heterocycle: Nitrogen-containing heterocycle • ThiacyloalkaneThiacyloalkane: Sulfur-containing heterocycle: Sulfur-containing heterocycle Numbering starts at heteroatomNumbering starts at heteroatom
  • 4.
  • 5.
    1.1. Intramolecular SIntramolecularSNN2 reaction2 reaction XX :: CHCH22−− LL (CH(CH22))nn 2.2. Special reaction for oxacyclopropanesSpecial reaction for oxacyclopropanes RCO3H+ O Preparation of HeterocloalkanesPreparation of Heterocloalkanes
  • 6.
    Three- and four-memberedrings open:Three- and four-membered rings open: ReactionsReactions Usual conditionsUsual conditions areare basicbasic..
  • 7.
    For ringsFor ringslarger than fourlarger than four, ring strain driving force is, ring strain driving force is absentabsent:: NeedNeed strongstrong acid:acid: But, recallBut, recall acidicacidic opening of oxacyclopropanes:opening of oxacyclopropanes: O + HBr Br OH Br BrHBr
  • 8.
    For azaheterocycloalkanes: Acidjust protonates theFor azaheterocycloalkanes: Acid just protonates the nitrogen to ammonium salt. Ring opening can be done bynitrogen to ammonium salt. Ring opening can be done by Hofmann degradation:Hofmann degradation: N H 1. CH3I excess 2. Ag2O N 1. CH3I excess 2. Ag2O Other chemistry is the same as for acyclic systems, e.g.:Other chemistry is the same as for acyclic systems, e.g.: N H HNO2 N NO S S O H2O2 S OO CH3I S CH3 I - + H2O2
  • 9.
    Heterocyclopentadienes:Heterocyclopentadienes: Pyrrole, Furan, andThiophenePyrrole, Furan, and Thiophene The lone pairs participate in theThe lone pairs participate in the aromaticaromatic cycliccyclic six e system: Like the cyclopentadienyl anionsix e system: Like the cyclopentadienyl anion PyrrolePyrrole FuranFuran ThiopheneThiophene N H O S : : :: : - The distribution of 6The distribution of 6 ππ electronselectrons overover five atomsfive atoms makes thesemakes these systems relatively e-rich,systems relatively e-rich, compared to benzene.compared to benzene. CyclopentadienylCyclopentadienyl anionanion
  • 10.
    ResonanceResonance OrbitalsOrbitals Relative to benzene:Electron richRelative to benzene: Electron rich
  • 11.
  • 12.
    mm//zz = 67(= 67 (MM ++ )) N H : MM ++ - CN/HCN/HCNH- CN/HCN/HCNH
  • 13.
  • 14.
    Paal-Knorr synthesis ofpyrroles andPaal-Knorr synthesis of pyrroles and its variationsits variations Synthesis of HeterocyclopentadienesSynthesis of Heterocyclopentadienes O O : : : O :: : P2O5
  • 15.
    O O : H : :H O O : H : : -H+H+ O O : H : H : O H : OH -H+ H+ O : OH2 : : -H2O O :: H -H+ O :: Mechanism:Mechanism:
  • 16.
    Goes via thioketoneand then enethiolGoes via thioketone and then enethiol O O : : : P S S P S S S : :: S O : : :H S O : H : : : : Mechanism:Mechanism:
  • 17.
  • 18.
    1.1. Electrophilic AromaticSubstitution:Electrophilic Aromatic Substitution: Activated!Activated! Attack atAttack at C2C2 is preferred generallyis preferred generally But often also attack atBut often also attack at C3C3 ReactionsReactions GoodGood GoodGood
  • 19.
    Examples:Examples: Relative reactivityRelative reactivity:B: Benzene << thiophene < furan < pyrrole MixtureMixture
  • 20.
    Recall:Recall: 2.2. BasicityBasicity ofpyrrole (and otherof pyrrole (and other heterocyclopentadienes)heterocyclopentadienes) Relatively (cf. normal amines)Relatively (cf. normal amines) nonbasicnonbasic: Lone pair is: Lone pair is tied uptied up byby resonanceresonance.. Protonation occurs on carbon!Protonation occurs on carbon! NH2 O + H + NH2 OH + : : : : : NH2 + H + NH2 CH3 + : Or:Or: ppKKaa of normalof normal alkane-alkane- ammoniumammonium ~ 10~ 10
  • 21.
    3. Pyrrole isquite3. Pyrrole is quite acidicacidic Reason isReason is spsp22 -hybridization of attached carbons-hybridization of attached carbons and cyclic delocalization of charge.and cyclic delocalization of charge. Like cyclopentadienyl anionLike cyclopentadienyl anion Compare:Compare:
  • 22.
    4. Ring opening4.Ring opening Mechanism is the reverse of synthesis:Mechanism is the reverse of synthesis: General for all heterocyclopentadienesGeneral for all heterocyclopentadienes H2O: O :: H H+ O :: :
  • 23.
    ReductiveReductive desulfurizationdesulfurization: Uniquefor: Unique for thiophenesthiophenes O O : :: O O : H :: -H+ O O : H : H : O H : HO H+ -H+ O : H2O : : : :
  • 24.
    5. Diels-Alder5. Diels-Aldercycloadditionscycloadditions to furan:to furan: Not generalNot general Needs a hot dienophileNeeds a hot dienophile 6.6. BenzofusionBenzofusion: Indole: Indole N H : Cf. naphthaleneCf. naphthalene
  • 25.
    EAS at C3allows for resonance forms which doEAS at C3 allows for resonance forms which do not disrupt the benzene ring:not disrupt the benzene ring: LeavesLeaves aromaticityaromaticity DisruptsDisrupts aromaticityaromaticity N H : E H + N H + H E H Etc. Etc. Attack at C3:Attack at C3: Attack at C2:Attack at C2:
  • 26.
    Pyridine: AzabenzenePyridine: Azabenzene Canbe viewed as aCan be viewed as a cyclic aromatic imine:cyclic aromatic imine: The nitrogen isThe nitrogen is spsp22 -hybridized, the lone-hybridized, the lone pair is perpendicular to the aromaticpair is perpendicular to the aromatic ππ system.system. ImineImine The N does not donateThe N does not donate e-density; rather, ite-density; rather, it withdraws by inductionwithdraws by induction Cf. benzeneCf. benzene
  • 27.
    N : N :: - + δδ++ δδ++ The inductive effectof nitrogen can be pictured byThe inductive effect of nitrogen can be pictured by dipolar resonance forms:dipolar resonance forms:
  • 28.
    Pyridine Spectral DataPyridineSpectral Data 1313 C NMRC NMR N : 136.1 124.1 150.4 11 H NMRH NMR N : 7.46 7.06 8.50 N : N :: - + δδ++ δδ++
  • 29.
  • 30.
    Pyridine is a(weak)Pyridine is a (weak) basebase PyridinePyridine Pyridinium ionPyridinium ion ppKKaa = 5.29= 5.29 Compare pCompare pKKaa of Rof R33NH ~ 9-10NH ~ 9-10 ++ N : + H + N H +
  • 31.
    Preparation ofPreparation of PyridinesPyridines (acondensation reaction) Arthur R. Hantzsch (1857-1935)
  • 32.
  • 33.
    Reactions of PyridineReactionsof Pyridine Pyridine is relatively (to benzene)Pyridine is relatively (to benzene) electron poorelectron poor, therefore, therefore EASEAS only underonly under extremeextreme conditions and only at C3conditions and only at C3
  • 35.
  • 36.
    Pyridine undergoes relativelyeasyPyridine undergoes relatively easy nucleophilicnucleophilic aromatic substitutionaromatic substitution Leaving groups are typicallyLeaving groups are typically halideshalides;; 2- and2- and 4-4-halopyridines are particularlyhalopyridines are particularly reactivereactive
  • 38.
    Think of theC=N bond as imine-likeThink of the C=N bond as imine-like Alexej J. ČičibabinAlexej J. Čičibabin (1871-1945)(1871-1945)
  • 39.
  • 40.
    CH O NH2 + H O N Preparation of QuinolineandPreparation of Quinoline and IsoquinolineIsoquinoline 1.1. Friedländer SynthesisFriedländer Synthesis 2-Aminobenzene-2-Aminobenzene- carboxaldehydecarboxaldehyde EnolizableEnolizable carbonylcarbonyl compoundcompound 85%85% AldolAldol ImineImine HH22O, NaOH,O, NaOH, 5050 ºCºC Paul Friedländer (1857 - 1923)
  • 41.
    2. Bischler-Napieralski Synthesis2.Bischler-Napieralski Synthesis POClPOCl33, P, P22OO55,, 100 ºC100 ºC Pd, 200 ºC,Pd, 200 ºC, - H- H22 NH O R H + N R N R -H-H22OO
  • 42.
    EAS away fromheteroaromatic ring andEAS away from heteroaromatic ring and αα (for both quinoline(for both quinoline and isoquinoline); like naphthalene.and isoquinoline); like naphthalene. ReactionsReactions
  • 43.
    Chichibabin Reaction ofQuinolineChichibabin Reaction of Quinoline and Isoquinolineand Isoquinoline
  • 44.
    Alkaloids and DrugsAlkaloidsand Drugs LSD: Albert HofmannLSD: Albert Hofmann 100 years old!100 years old! Allowable drug quantities approved by Mexico, April 28, 2006: Opium: 5 g Heroin: 25 mg Marijuana: 5 g Cocaine: 500 mg LSD: 0.015 mg MDA: 200 mg Ecstasy: 200 mg Mescaline: 1 g Peyote: 1 kg Psilocybin (pure): 100 mg Mushrooms: 250 mg Amphetamines: 100 mg Dexamphetamines: 40 mg Phencyclidine (PCP, or Angel Dust): 7 mg Methamphetamines: 200 mg Nalbuphine (synthetic opiate): 10 mg (Since the beginning of mankind.......)(Since the beginning of mankind.......)