Chapter 7: Waves
Waves
1. Progresive waves
2. Transverse and longitudinal waves
3. Doppler Effect for sound waves
4. Electromagnetic spectrum
5. Polarisation
Progresive Wave
What is progresive wave?
Waves which transfer energy from place to
place without the transfer of matter called the
progressive waves.
REFLECTION
• Reflection does not change the speed/
frequency
• The wave can be flipped upside down
REFRACTION
• The bending of a wave as it enters a
new medium
• It is caused by a change in the speed of
the wave as it moves from one medium
to another
• Greater change in speed means more
bending of the wave
DIFFRACTION
• The bending of a wave as it moves
around an obstacle or passes through
narrow opening.
• The wave will try to curve around the
boundary or outward through the
opening due to friction.
INTERFERENCE
When two or more waves combined
together
POLARISATION
Filtering radiating light (moves in all
directions) to allow only light traveling in one
direction through.
Transverse Wave
Longitudinal
Wave
T = periode (s)
n = amount of the
oscillation
t = time (s)
Here is the graph displacement
versus time of particle moves in
transverse wave.
a) What is the frequency of the
particle?
b) Calculate the amplitude of the
wave?
Here is the graph amplitude versus
distance of a wave.
a) What is the wavelength?
b) Calculate the amplitude of the wave?
c) What is the frequency of the wave if
its speed is 10 m/s?
Recap
The Properties of Waves
1. Reflection
2. Refraction
3. Diffraction
4. Interference
5. Polarisation
Recap
Recap
Recap
CHRISTIAN DOPPLER
(German: 29 November 1803 – 17 March
1853) was an Austrian mathematician and
physicist. He is celebrated for his principle
known as the Doppler effect that the
observed frequency of a wave depends on
the relative speed of the source and the
observer. He used this concept to explain
the color of binary stars.
Stationary
Relative Speed
Efek Doppler
An ambulance with the speed of 50 m/s is passing through a
neighborhood. A man is standing on the side of the road and hears the
siren from the ambulance. Remember that, the velocity of sound
propagation in the air is 340 m/s. If the frequency of the ambulance is 900
Hz, calculate:
A. The frequency he hears when the ambulance is moving towards him.
B. The frequency he hears when the ambulance is moving away from
him.
A girl on a bike with the speed of 25 m/s passing through a live music
performance. If the frequency of the live music is 850 Hz, calculate:
A. The frequency she hears when she is moving towards the live music
performance.
B. The frequency she hears when she is moving away from the live
music performance.
A boy is chasing an ice cream truck moving at the speed of 20 m/s.The
music from the ice cream truck is 740 Hz. If the boy is moving at the
speed of 15 m/s, calculate the frequency that he hears.
A police car with a light siren has frequency of 940 Hz moving at a speed
of 90 km/h chases a criminal who is moving away from the police at 72
km/hour. If the velocity of sound propagation in the air is 340 m/s, what is
the frequency of the siren sound heard by the perpetrator?
Even More Doppler Effect
1. Two train whistles have identical
frequencies of 160 Hz. When one train is
at rest in the station and the other is
moving nearby, a commuter standing on
the station platform hears beats with a
frequency of 6.00 Hz when the whistles
operate together. If the speed of sound is
345 m/s, what are the two possible
speeds that the moving train can have?
a) moving towards the station
b) moving away from the station
2. A fire truck emits a sound with a frequency of 800 Hz.
a. What is the frequency detected by a stationary observer if
the fire truck is moving 30 m/s toward the observer?
b. What is the frequency detected by a stationary observer if
the fire truck is moving 30 m/s way from the observer?
(The speed of sound in air is 343 m/s)
3. An alarm emits a frequency of 1200 Hz. Calculate the frequency
detected by the observer if:
a. The observer is driving toward the alarm at 25 m/s and if
b. The observer is driving away from the alarm truck at 25 m/s.
(The speed of sound in air is 343 m/s)
4. An ice cream truck is moving west at 20 m/s toward a driver
who is moving east at 25 m/s. The ice cream truck emits a
frequency of 900 Hz. What frequency is detected by the driver?
(The speed of sound in air is 343 m/s)
a. What frequency is received by a person watching an
oncoming fire truck moving at 110 km/h and emitting a
steady 800 Hz from its siren?
b. What frequency does she received after the fire truck has
passed?
(The speed of sound in air is 345 m/s)
Electromagnetic Spectrum
Electromagnetic Spectrum
Electromagnetic waves can be:
● Reflected
● Refracted
● Diffracted
● Obey the principle of superposition
● Produce interference pattern.
Questions
1. Electromagnetic waves consist of ___ .
2. Two laser are setup to pass through a vacuum. One laser emits red light; the
other emits green light. Which property of the two lasers are different?
3. Waves of electromagnetic spectrum travel through a vacuum at speed of c and
with a wavelength of λ and the frequency of f. Describe the speed and
wavelength when the frequency is f/2.
4. Which colour has the shortest wavelength of the visible light?
5. Which colour has the lowest frequency of the visible light?
6. Calculate the frequency in MHz of radio
wave of wavelength 250 m. The speed of
all electromagnetic waves is 3×108 m/s.
7. Calculate the wavelength in nm of an X-
ray Wave of frequency 2.0×1018 Hz.
8. The speed of light is 3×108 m/s. Calculate
the the frequency of red light of
wavelength 650 nm. Give your answer in
THz.
9. A beam of red light has an amplitude of
that is 2.5 times the amplitude of a
second beam of the same colour.
Calculate the ratio of intensities of the
waves.
10. Calculate the wavelength of microwaves
of frequency 8 GHz.
Polarisation
Why longitudinal waves cannot be polarised?
● Because the vibrations of the transverse waves are
perpendicular to the direction of wave travel. On
contrary, the vibrations of longitudinal waves are
parallel to the direction of wave travel.
A. Polariser and analyzer in a crossed
situations.
B. Polariser and analyzer in a parallel
situations.
Hence dswhen θ = 0, the maximum intensity is Io is transmitted, and when the
θ = 90 degrees, no light is transmitted.
Malu’s Law
● Could you describe the phenomenon regarding the Malu’s
Law?
● Could you point out the formula of Malu’s Law?
Malu’s Law Diagram
Malu’s Law Demonstration
Any Questions?
Key Takeaways
● The device is called microwave boxes (transmitter and receiver).
● Microwave is invisible, we can detect it from the intensity measured by the
receiver.
● The microwave is already vertically polarized.
● When the polarizer and analyzer are parallel, the intensity will be
maximum.
● When the polarizer and analyzer are perpendicular, the intensity will be
minimum.
● This phenomenon is described by the Malu’s Law.
Sample Problems
1. Unpolarized light with intensity Io passes through a polarizer and then a second
polarizing filter (analyzer) with an angle of 30 degrees relative to the first one. What is the
intensity of the light as it passes through each filter of Io?
2. Unpolarized light with an intensity of 100 W/m^2 passes through two polarizing filters
that are oriented at angle of 40 degrees to each other. What is the intensity of the light
that emerges from each filter?
3. Unpolarized light with an intensity of 72 W/m^2 passes through two polarizing filters. If
the light that emerges from the second filter has an intensity of 9 W/m^2, what is the
angle between the two filters?
4. Unpolarized light with the intensity of Io passes through the polarizing filter that are 90
degrees with respect to other. What is the intensity of light that emerges through each
filter in terms of Io?
5. Unpolarized light with intensity of Io passes through three polarizing filters. The second
filter makes a 45 degree angle relative to the first one. The third filter makes a 90 degree
angle relative to the first filter. Determine the intensity of light emerging from each filter
in terms of Io?
Review Chapter 7
1. What is progressive wave?
Waves which transfer energy from place to place without the transfer of matter called
the progressive waves.
1. Mention five properties of waves.
Reflection, diffraction, refraction, interference and polarization.
3. Describe with the symbol of proportionality the relationship between:
a. Frequency and wavelength.
f ∝ 1/λ
a. Amplitude and intensity.
I ∝ A^2
3. Mention three examples of electromagnetic waves and their usage in daily life.
X-Ray: Roentgen photograph.
UV: Fluorescent lamp.
Microwave: Heat up food.
5. Look at this graph of displacement versus time of particle move in transverse
waves.
If the speed of the wave is 330 m/s, determine:
a. Period
b. Frequency
c. Wavelength
d. Amplitude (in m)
6. The amplitude of a wave in a rope is 25 mm. If the amplitude were to change to
45 mm, keeping the frequency constant, by what factor would the power carried
by the rope change?
7. A bus is passing through a street with the speed of 35 m/s. From opposite
direction, a police car with the speed of 50 m/s is ringing its siren with the
frequency of 170 Hz. Remember the speed of sound in the air is 343 m/s.
Calculate the frequency of heard by the bus passengers when:
a. The police car is moving towards the bus.
b. The police car is moving away from the the bus.
8. Calculate the frequency in MHz of radio wave of wavelength 320 m. The
speed of all electromagnetic waves is 3×108 m/s.
9. The speed of light is 3×108 m/s. Calculate the the frequency of red light of
wavelength 625 nm. Give your answer in GHz.
10. Unpolarized light with an intensity of 120 W/m^2 passes through two
polarizing filters that are oriented at an angle of 55 degrees to each other.
What is the intensity of the light that emerges from each filter?

Cambridge Physics Chapter 7 Waves Mechanical Waves and Electromagnetic Waves

  • 1.
  • 2.
    Waves 1. Progresive waves 2.Transverse and longitudinal waves 3. Doppler Effect for sound waves 4. Electromagnetic spectrum 5. Polarisation
  • 3.
    Progresive Wave What isprogresive wave? Waves which transfer energy from place to place without the transfer of matter called the progressive waves.
  • 7.
    REFLECTION • Reflection doesnot change the speed/ frequency • The wave can be flipped upside down REFRACTION • The bending of a wave as it enters a new medium • It is caused by a change in the speed of the wave as it moves from one medium to another • Greater change in speed means more bending of the wave
  • 8.
    DIFFRACTION • The bendingof a wave as it moves around an obstacle or passes through narrow opening. • The wave will try to curve around the boundary or outward through the opening due to friction. INTERFERENCE When two or more waves combined together
  • 9.
    POLARISATION Filtering radiating light(moves in all directions) to allow only light traveling in one direction through.
  • 11.
  • 12.
  • 14.
    T = periode(s) n = amount of the oscillation t = time (s)
  • 16.
    Here is thegraph displacement versus time of particle moves in transverse wave. a) What is the frequency of the particle? b) Calculate the amplitude of the wave?
  • 17.
    Here is thegraph amplitude versus distance of a wave. a) What is the wavelength? b) Calculate the amplitude of the wave? c) What is the frequency of the wave if its speed is 10 m/s?
  • 19.
    Recap The Properties ofWaves 1. Reflection 2. Refraction 3. Diffraction 4. Interference 5. Polarisation
  • 20.
  • 21.
  • 22.
  • 23.
    CHRISTIAN DOPPLER (German: 29November 1803 – 17 March 1853) was an Austrian mathematician and physicist. He is celebrated for his principle known as the Doppler effect that the observed frequency of a wave depends on the relative speed of the source and the observer. He used this concept to explain the color of binary stars.
  • 24.
  • 25.
  • 27.
  • 28.
    An ambulance withthe speed of 50 m/s is passing through a neighborhood. A man is standing on the side of the road and hears the siren from the ambulance. Remember that, the velocity of sound propagation in the air is 340 m/s. If the frequency of the ambulance is 900 Hz, calculate: A. The frequency he hears when the ambulance is moving towards him. B. The frequency he hears when the ambulance is moving away from him.
  • 29.
    A girl ona bike with the speed of 25 m/s passing through a live music performance. If the frequency of the live music is 850 Hz, calculate: A. The frequency she hears when she is moving towards the live music performance. B. The frequency she hears when she is moving away from the live music performance.
  • 30.
    A boy ischasing an ice cream truck moving at the speed of 20 m/s.The music from the ice cream truck is 740 Hz. If the boy is moving at the speed of 15 m/s, calculate the frequency that he hears.
  • 31.
    A police carwith a light siren has frequency of 940 Hz moving at a speed of 90 km/h chases a criminal who is moving away from the police at 72 km/hour. If the velocity of sound propagation in the air is 340 m/s, what is the frequency of the siren sound heard by the perpetrator?
  • 32.
  • 33.
    1. Two trainwhistles have identical frequencies of 160 Hz. When one train is at rest in the station and the other is moving nearby, a commuter standing on the station platform hears beats with a frequency of 6.00 Hz when the whistles operate together. If the speed of sound is 345 m/s, what are the two possible speeds that the moving train can have? a) moving towards the station b) moving away from the station
  • 34.
    2. A firetruck emits a sound with a frequency of 800 Hz. a. What is the frequency detected by a stationary observer if the fire truck is moving 30 m/s toward the observer? b. What is the frequency detected by a stationary observer if the fire truck is moving 30 m/s way from the observer? (The speed of sound in air is 343 m/s)
  • 35.
    3. An alarmemits a frequency of 1200 Hz. Calculate the frequency detected by the observer if: a. The observer is driving toward the alarm at 25 m/s and if b. The observer is driving away from the alarm truck at 25 m/s. (The speed of sound in air is 343 m/s)
  • 36.
    4. An icecream truck is moving west at 20 m/s toward a driver who is moving east at 25 m/s. The ice cream truck emits a frequency of 900 Hz. What frequency is detected by the driver? (The speed of sound in air is 343 m/s)
  • 37.
    a. What frequencyis received by a person watching an oncoming fire truck moving at 110 km/h and emitting a steady 800 Hz from its siren? b. What frequency does she received after the fire truck has passed? (The speed of sound in air is 345 m/s)
  • 38.
  • 39.
    Electromagnetic Spectrum Electromagnetic wavescan be: ● Reflected ● Refracted ● Diffracted ● Obey the principle of superposition ● Produce interference pattern.
  • 44.
    Questions 1. Electromagnetic wavesconsist of ___ . 2. Two laser are setup to pass through a vacuum. One laser emits red light; the other emits green light. Which property of the two lasers are different? 3. Waves of electromagnetic spectrum travel through a vacuum at speed of c and with a wavelength of λ and the frequency of f. Describe the speed and wavelength when the frequency is f/2. 4. Which colour has the shortest wavelength of the visible light? 5. Which colour has the lowest frequency of the visible light?
  • 45.
    6. Calculate thefrequency in MHz of radio wave of wavelength 250 m. The speed of all electromagnetic waves is 3×108 m/s. 7. Calculate the wavelength in nm of an X- ray Wave of frequency 2.0×1018 Hz. 8. The speed of light is 3×108 m/s. Calculate the the frequency of red light of wavelength 650 nm. Give your answer in THz. 9. A beam of red light has an amplitude of that is 2.5 times the amplitude of a second beam of the same colour. Calculate the ratio of intensities of the waves. 10. Calculate the wavelength of microwaves of frequency 8 GHz.
  • 46.
    Polarisation Why longitudinal wavescannot be polarised? ● Because the vibrations of the transverse waves are perpendicular to the direction of wave travel. On contrary, the vibrations of longitudinal waves are parallel to the direction of wave travel.
  • 48.
    A. Polariser andanalyzer in a crossed situations. B. Polariser and analyzer in a parallel situations.
  • 49.
    Hence dswhen θ= 0, the maximum intensity is Io is transmitted, and when the θ = 90 degrees, no light is transmitted.
  • 50.
  • 51.
    ● Could youdescribe the phenomenon regarding the Malu’s Law? ● Could you point out the formula of Malu’s Law?
  • 52.
  • 54.
  • 55.
  • 56.
    Key Takeaways ● Thedevice is called microwave boxes (transmitter and receiver). ● Microwave is invisible, we can detect it from the intensity measured by the receiver. ● The microwave is already vertically polarized. ● When the polarizer and analyzer are parallel, the intensity will be maximum. ● When the polarizer and analyzer are perpendicular, the intensity will be minimum. ● This phenomenon is described by the Malu’s Law.
  • 57.
    Sample Problems 1. Unpolarizedlight with intensity Io passes through a polarizer and then a second polarizing filter (analyzer) with an angle of 30 degrees relative to the first one. What is the intensity of the light as it passes through each filter of Io? 2. Unpolarized light with an intensity of 100 W/m^2 passes through two polarizing filters that are oriented at angle of 40 degrees to each other. What is the intensity of the light that emerges from each filter? 3. Unpolarized light with an intensity of 72 W/m^2 passes through two polarizing filters. If the light that emerges from the second filter has an intensity of 9 W/m^2, what is the angle between the two filters? 4. Unpolarized light with the intensity of Io passes through the polarizing filter that are 90 degrees with respect to other. What is the intensity of light that emerges through each filter in terms of Io? 5. Unpolarized light with intensity of Io passes through three polarizing filters. The second filter makes a 45 degree angle relative to the first one. The third filter makes a 90 degree angle relative to the first filter. Determine the intensity of light emerging from each filter in terms of Io?
  • 58.
  • 59.
    1. What isprogressive wave? Waves which transfer energy from place to place without the transfer of matter called the progressive waves. 1. Mention five properties of waves. Reflection, diffraction, refraction, interference and polarization.
  • 60.
    3. Describe withthe symbol of proportionality the relationship between: a. Frequency and wavelength. f ∝ 1/λ a. Amplitude and intensity. I ∝ A^2 3. Mention three examples of electromagnetic waves and their usage in daily life. X-Ray: Roentgen photograph. UV: Fluorescent lamp. Microwave: Heat up food.
  • 61.
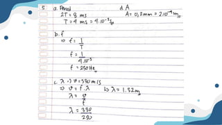
    5. Look atthis graph of displacement versus time of particle move in transverse waves. If the speed of the wave is 330 m/s, determine: a. Period b. Frequency c. Wavelength d. Amplitude (in m)
  • 63.
    6. The amplitudeof a wave in a rope is 25 mm. If the amplitude were to change to 45 mm, keeping the frequency constant, by what factor would the power carried by the rope change?
  • 64.
    7. A busis passing through a street with the speed of 35 m/s. From opposite direction, a police car with the speed of 50 m/s is ringing its siren with the frequency of 170 Hz. Remember the speed of sound in the air is 343 m/s. Calculate the frequency of heard by the bus passengers when: a. The police car is moving towards the bus. b. The police car is moving away from the the bus.
  • 66.
    8. Calculate thefrequency in MHz of radio wave of wavelength 320 m. The speed of all electromagnetic waves is 3×108 m/s. 9. The speed of light is 3×108 m/s. Calculate the the frequency of red light of wavelength 625 nm. Give your answer in GHz.
  • 67.
    10. Unpolarized lightwith an intensity of 120 W/m^2 passes through two polarizing filters that are oriented at an angle of 55 degrees to each other. What is the intensity of the light that emerges from each filter?

Editor's Notes

  • #34 166 karena mendekati, terdengar seakan lebih tinggi. 154 karena menjauhi, terdengar seakan lebih rendah.