1 
Executive Summary: 
This report is based on exportation of leather and leather goods. Bangladesh is 
contributing only 2/3 percent of the total leather among the other country of the world. 
Bangladesh has the huge potential of export more leather with high quality in the international 
market. Bangladesh has the cheap labor, huge raw material and other aspect that required for a 
high quality leather exporting country. Government steps are needed to flourish this sector. In 
this report we try to focus on current scenario of the leather industry. We also try to find out the 
prospects and problems for the leather industry. Lastly we suggest some recommendations which 
can vitalize the industry.
2 
Industry Profiles: 
The first tannery in Bangladesh territory was set up at Narayanganj by RP Saha sometime 
in the 1940s. It was later shifted to Hazaribag area of Dhaka, which turned into a location that 
now accommodates a large number of tannery units. Leather Industry developed in Bangladesh 
on a large-scale basis from the 1970s. About 95% of leather and leather products of Bangladesh 
are marketed abroad, mostly in the form of crushed leather, finished leather, leather garments, 
and footwear. Most leather and leather goods go to Germany, Italy, France, Netherlands, Spain, 
Russia, Brazil, Japan, China, Singapore and Taiwan. About 100 modern tannery units are now in 
operation in the industry. These are located mostly in the Hazaribagh area of Dhaka city. In 
1998, the sector exported 178 million sq ft of leather and earned $160 million. The country’s 
share in the world leather market is 2%. The export of finished products such as shoes, slippers, 
leather jackets, hand gloves, bags, purses, wallets, and belts also earn a sizeable amount of 
foreign exchange. Bangladesh intends to increase its range of leather products to penetrate new 
market segments. 
The country is endowed with luxurious vegetation encouraging a large livestock 
population. The quality of the raw hide and skin is relatively good, as barbed wire fencing that 
damage the skins of animals is not used in the natural farms and fields. Black goatskin of kushtia 
is particularly noted for its finegrain structure and tensile strength. The tradition of humane care 
of domestic animals also contributes significantly to keeping the leather quality high. 
About 40% of the supply of hide and skin comes from animals slaughtered during the 
annual Muslim festival of eid-ul azha. In addition to daily consumption of meat, festivals, 
Muslim weddings, and other celebrations yield a substantial supply of hide and skin. The tanning 
industry got a big boost following the government decision to promote more value addition in 
exports. The installed capacity for crust leather production increased. At present, it is double the 
domestic supply of raw hide and skin. Investments are also made in installing new finishing 
capacity. The trends encourage more tanneries to produce finished leather on a commercial basis. 
The government of Bangladesh provides a support to the leather industry through various 
steps, including monitoring the export market, evaluating the performance of the sector by a 
permanent parliamentary committee, and liberal bank credit. 
During the 1990s, the export market for Bangladeshi leather grew at an average of 10 – 
15% per annum. The average yearly exports accounted for $225 million. Fine grain leather of 
Bangladesh enjoys preferential demand in Western Europe and Japan. Low wage level and the 
ban on exporting wet blue leather helped the industry receive a new thrust in the country. 
Environmental concerns arising out of the high concentration of production units in a small area 
of the older part of Dhaka city are being addressed with plans for their relocation outside the city. 
Leather goods producers in Bangladesh tend to be associated only with manufacturing 
and exporting. They do not have much control over downstream operations. However, the 
success of a number of Bangladeshi firms in attracting such brand names as Puma, Pivolinos and 
Hugo Boss to source from this country proves that there is ample scope for the industry’s upward 
mobility.
3 
Present Scenario: 
At present, there are about 170 tannery units in Bangladesh and they use locally available 
raw hides and skins. Of them 114 are large and medium units (by local standards) and are 
registered with the Directorate of Industries. Others are mostly of small and cottage type and are 
not on the register of the government. About 150 tannery units are located at Hazaribag of Dhaka 
in only 50 acres of land popularly known as tannery estate. According to the records of the 
Bangladesh Tanners Association, about 3,000 workers are employed in the tanning industry. 
Besides, there are about 100 qualified technologists including foreign nationals who are working 
in different tanneries. Total capital invested in the tannery industry is estimated at Tk 2.5 billion, 
of which government/bank finance is about Tk. 1.2 billion. About 1,500 persons are involved in 
the process of collecting raw hides and skins and making them available at tannery units. About 
100 organisations import chemicals for use in tannery industry. 
Bangladesh produces approximately 100-150 million sq. feet of raw hides and skins, 
about 85% of which is exported in crust and finished form. The rest is used for producing leather 
goods to cater to the domestic market. Leather is a traditional export item of Bangladesh. But 
export earnings from this sector could not indicate any predictable increase in the past. Since the 
production and supply of leather depend on the availability of livestock and demand of the meat, 
the total supply of leather cannot be increased in the short run. Therefore, the only way of 
increasing earnings from this sector is the production and export of higher value leather products 
for which international demand is growing. International market for leather is highly fluctuating, 
hence the earnings from its export. Until 2001, annual export receipts from this sector remained 
below taka one billion. Some projections suggest that if properly organized, this figure could be 
raised to Tk 5 billion. 
Country wise export data for leather and leather goods 
Source for all these data is Export Promotion Bureau 
Products Amount in US$ 
Raw hides and skins (other than fur skins) and leather 505,535,546.82 
Articles of leather, animal gut, harness, travel goods 240,082,385.04 
Footwear, upper of leather 378,539,254.95 
2013-2014 Fiscal year total export
4 
Raw hides and skins (other than fur skins) and leather 
(Value in US$) 
2008-09 2009-10 2010-11 2011-12 2012-13 
AE: UNITED ARAB EMIRATES 7757 6858 62546 
AR: ARGENTINA 15735 
AU: AUSTRALIA 360302 170664 227490 136523 95421 
BL: SAINT BARTHÉLEMY 2552086 2860240 3459511 5380911 6460046 
BN: BRUNEI DARUSSALAM 24258 204286 
BR: BRAZIL 16310 
BW: BOTSWANA 17400 
CA: CANADA 7886 3561 4673 7021 
CH: SWITZERLAND 32456 8029 
CM: CAMEROON 72648 
CN: CHINA 9622646 9859950 13647580 22230901 30393826 
CZ: CZECH REPUBLIC 1822 19765 38192 40930 20605 
DE: GERMANY 1674845 1356637 3189048 2718254 2602461 
ES: SPAIN 5114893 7814488 14044978 14712545 14172117 
FR: FRANCE 861193 455096 466328 448096 464559 
GB: UNITED KINGDOM 948573 1153071 1595894 1769081 1712136 
GR: GREECE 41094 55001 292238 
HK: HONG KONG 61356935 86567266 116997409 117188422 149932911 
HR: CROATIA 15252 
HU: HUNGARY 4921 730 22085 20841 
ID: INDONESIA 177661 309453 332877 432801 944420 
IN: INDIA 6982976 11366916 9631492 4777225 6218182 
IR: IRAN, ISLAMIC REPUBLIC OF 41640 
IT: ITALY 29930906 33052406 38672914 44503704 54702197 
JP: JAPAN 14774284 16523830 18111626 20245026 20795882
5 
KH: CAMBODIA 599755 330557 1069164 19571 453375 
KR: KOREA, REPUBLIC OF 29592148 38929736 54632248 73538266 75822293 
KW: KUWAIT 3182 
LA: LAO PEOPLES DP 6043 
LB: LEBANON 19751 6003 
LK: SRI LANKA 94045 9137 40264 
LU: LUXEMBOURG 22078 
MM: MYANMAR 71251 94139 85369 48595 48953 
MO: MACAO 18960 
MU: MAURITIUS 4332 4545 2587 
MX: MEXICO 1227608 495405 516762 44385 87641 
MY: MALAYSIA 172051 91646 12452 14145 30486 
NG: NIGERIA 5320 4822 
NL: NETHERLANDS 10131 24368 699 27756 14302 
NO: NORWAY 37109 42511 50621 
NZ: NEW ZEALAND 3293 
OM: OMAN 2254 
PH: PHILIPPINES 18051 206575 764585 430059 14915 
PK: PAKISTAN 189581 1633 40243 39798 718561 
PL: POLAND 895673 280892 1286068 1358563 4013324 
PT: PORTUGAL 55060 88490 58403 164324 1223271 
RO: ROMANIA 14287 7802 
RU: RUSSIAN FEDERATION 202874 57342 39414 
SA: SAUDI ARABIA 656 4419 62706 7722 
SE: SWEDEN 34044 119475 
SG: SINGAPORE 53266 47276 287859 178229 205094 
SL: SIERRA LEONE 8038 
SR: SURINAME 9198
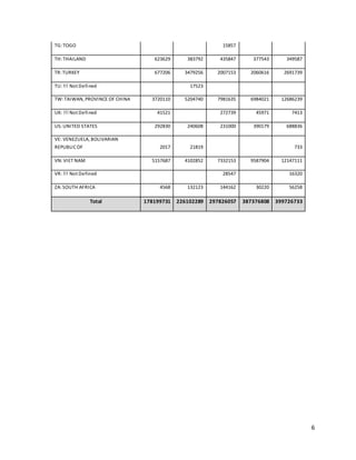
6 
TG: TOGO 15857 
TH: THAILAND 623629 383792 435847 377543 349587 
TR: TURKEY 677206 3479256 2007153 2060616 2691739 
TU: !!! Not Defined 17523 
TW: TAIWAN, PROVINCE OF CHINA 3720110 5204740 7981635 6984021 12686239 
UK: !!! Not Defined 41521 272739 45971 7413 
US: UNITED STATES 292830 240608 231000 390179 688836 
VE: VENEZUELA, BOLIVARIAN 
REPUBLIC OF 2017 21819 733 
VN: VIET NAM 5157687 4102852 7332153 9587904 12147111 
VR: !!! Not Defined 28547 16320 
ZA: SOUTH AFRICA 4568 132123 144162 30220 56258 
Total 178199731 226102289 297826057 387376808 399726733
7 
Articles of leather, animal gut, harness, travel goods 
(Value in US$) 
2008-09 2009-10 2010-11 2011-12 2012-13 
AE: UNITED ARAB EMIRATES 2270 16851 11408 10434 41863 
AT: AUSTRIA 1729 21265 26523 15468 
AU: AUSTRALIA 62579 6841 62339 133273 504213 
BE: BELGIUM 5326 1811 18995 2303453 5909896 
BL: SAINT BARTHÉLEMY 372785 777393 1164763 797338 280562 
BN: BRUNEI DARUSSALAM 204 
BR: BRAZIL 7445 
BT: BHUTAN 6127 11868 
CA: CANADA 61437 31572 34303 29545 73191 
CH: SWITZERLAND 230 20649 45101 7277 
CL: CHILE 4039 
CN: CHINA 3752 815247 3175027 21719656 34453518 
CZ: CZECH REPUBLIC 2458 18118 
DE: GERMANY 6811360 6419217 8253425 9699070 11414092 
DK: DENMARK 453 3131 7650 
ES: SPAIN 1559 33789 523356 1246730 
FI: FINLAND 2421 1630 5191 
FR: FRANCE 145411 23116 76321 159414 142129 
GB: UNITED KINGDOM 177536 128323 209650 134975 338666 
GR: GREECE 26286 14212 
HK: HONG KONG 8290542 16324308 27008653 38508162 76222134 
HR: CROTIA 105 
HU: HUNGARY 1085 
ID: INDONESIA 9942 68
8 
IE: IRELAND 454 
IN: INDIA 895 29059 22446 72597 
IQ: IRAQ 607 
IT: ITALY 36666 234130 8388400 10745860 7161770 
JO: JORDAN 60725 
JP: JAPAN 1512743 2479782 5375752 7858152 12507799 
KH: CAMBODIA 34995 
KP: KOREA, DEMOCRATIC PEOPLEpS REPUBLIC OF 213 
KR: KOREA, REPUBLIC OF 43938 30771 68061 484613 993681 
KW: KUWAIT 652 871 
LK: SRI LANKA 29 
LT: LITHUANIA 69470 
MU: MAURITIUS 25 
MV: MALDIVES 706 
MX: MEXICO 48 839 
MY: MALAYSIA 807 3186 19844 28519 1429 
NL: NETHERLANDS 40318 106489 9382 4289 72232 
NO: NORWAY 8273 3259 1486 2935 
NP: NEPAL 5942 
NZ: NEW ZEALAND 9073 
PH: PHILIPPINES 6501 6808 
PL: POLAND 12333 28174 
PT: PORTUGAL 1032 16333 
QA: QATAR 3756 388 
RO: ROMANIA 1060 
RU: RUSSIAN FEDERATION 36 512 5064 2239 
SA: SAUDI ARABIA 542761 610626 249458 97053 64730 
SE: SWEDEN 12146 29540 98460 133040 240850
9 
SG: SINGAPORE 338581 589823 786001 930510 1276792 
TH: THAILAND 303 22 21174 14959 
TR: TURKEY 3817 
TW: TAIWAN, PROVINCE OF CHINA 52417 133774 196387 
US: UNITED STATES 209491 274084 245903 4660379 8218796 
ZA: SOUTH AFRICA 1791 5796 
Total 18779818 28962068 55397661 99351482 161603306
10 
Footwear, upper of leather 
(Value US$) 
COUNTRY 2008-09 2009-10 2010-11 2011-12 2012-13 
AE: UNITED ARAB EMIRATES 428506 306971 227983 605811 962810 
AR: ARGENTINA 153971 7623 48968 51121 36733 
AT: AUSTRIA 5960016 4828968 4490044 5094347 3841146 
AU: AUSTRALIA 6779 6167 64421 22935 55636 
BA: BOSNIA AND HERZEGOVINA 261357 209086 229168 222914 
BE: BELGIUM 4005770 4620395 6198268 6108466 5152463 
BG: BULGARIA 7633 3697 14615 
BH: BAHRAIN 4584 881 
BL: SAINT BARTHÉLEMY 59475 331296 8635 
BR: BRAZIL 24614 40428 4711 60154 472994 
BZ: BELIZE 559902 
CA: CANADA 2181349 1586369 3676447 3426659 6782612 
CH: SWITZERLAND 2413816 2229269 4418797 4440850 3786366 
CL: CHILE 1623 2206 15063 190129 361016 
CN: CHINA 5535 5845 1719442 1789893 5930947 
CO: COLOMBIA 21124 63335 14157 
CY: CYPRUS 15811 57824 
CZ: CZECH REPUBLIC 2055379 798093 2246946 1547094 984922 
DE: GERMANY 15696782 23630854 28365778 38852684 55744860 
DK: DENMARK 371375 76959 95712 69683 28474 
EE: ESTONIA 330021 160492 343524 253212 251969 
ES: SPAIN 3122097 3686113 4137134 5742271 2628395 
ET: ETHIOPIA 1570 
FI: FINLAND 1033681 509410 749508 1228117 977444
FJ: FIJI 19778 70121 13195 56926 
FR: FRANCE 11668870 12478197 14584615 15191524 11969751 
GB: UNITED KINGDOM 4219836 5065429 5926783 2232002 4901042 
GE: GEORGIA 39596 1390 
GR: GREECE 340463 308635 707936 269493 495288 
11 
GT: GUATEMALA 19348 
HK: HONG KONG 620156 1275415 1380047 2288686 10542860 
HR: CROATIA 14163 26615 23596 96164 29566 
HU: HUNGARY 15696 35964 954 60799 218286 
ID: INDONESIA 164 379 1195 
IE: IRELAND 282901 276887 157750 235182 283834 
IN: INDIA 8745 5038 329 19840 
IQ: IRAQ 14732 2871 
IT: ITALY 15453290 14212092 19449768 24748874 25250348 
JO: JORDAN 8342 
JP: JAPAN 41939904 52233207 72425975 65530171 104773875 
KE: KENYA 54805 
KH: CAMBODIA 22556 
KR: KOREA, REPUBLIC OF 3213408 2844035 4130615 4423242 2630469 
KW: KUWAIT 964 
LB: LEBANON 1036 5887 37140 
LK: SRI LANKA 716 23674 14747 
LT: LITHUANIA 120973 61712 
LV: LATVIA 9353 
LY: LIBYAN ARAB JAMAHIRIYA 23242 178230 
MA: MOROCCO 2926 5840 
MG: MADAGASCAR 340 
MT: MALTA 14507 61607 28600
12 
MU: MAURITIUS 2604 
MV: MALDIVES 6646 
MX: MEXICO 14502 48876 147599 351633 447715 
MY: MALAYSIA 1717 21192 80284 29486 
NL: NETHERLANDS 4815755 4023693 8153422 14574449 19906258 
NO: NORWAY 10563 337559 406638 419622 508549 
NP: NEPAL 7511 6275 
NZ: NEW ZEALAND 6695 41210 
PA: PANAMA 116684 108316 178503 215912 391062 
PE: PERU 4237 447045 32815 
PG: PAPUA NEW GUINEA 20006 6165 2280 
PH: PHILIPPINES 1882 101 
PK: PAKISTAN 1010 196509 
PL: POLAND 359631 27971 4028 2110903 
PT: PORTUGAL 134254 129374 23196 3153 
PY: PARAGUAY 311406 253155 
RO: ROMANIA 2509 396 112435 308272 479079 
RU: RUSSIAN FEDERATION 408 279180 173787 1287231 322489 
SA: SAUDI ARABIA 868958 462580 687316 743790 418541 
SE: SWEDEN 1118994 1309879 1260741 2018387 1859916 
SG: SINGAPORE 3364 6331 4567 32155 192900 
SI: SLOVENIA 735898 711070 844472 1367284 1224468 
SK: SLOVAKIA 323037 329199 391290 612151 354522 
SV: EL SALVADOR 22486 
SZ: SWAZILAND 33734 740 16564 15257 21512 
TH: THAILAND 48720 6453 21343 10194 
TN: TUNISIA 6993 
TR: TURKEY 408 10914 719295 227238 97746
TU: !!! Not Defined 2556 44067 
TW: TAIWAN, PROVINCE OF CHINA 48835 210973 233624 377614 583457 
13 
UA: UKRAINE 958 309715 
UG: UGANDA 29573 
UK: !!! Not Defined 2545468 1218284 502036 4284027 
US: UNITED STATES 4888465 5772229 8848036 20059748 19745274 
UY: URUGUAY 2639 97836 
VE: VENEZUELA, BOLIVARIAN REPUBLIC OF 1279 60291 35589 
VN: VIET NAM 2650 1660 
VR: !!! Not Defined 114034 333641 
ZA: SOUTH AFRICA 44153 43005 100518 537005 788599 
ZM: ZAMBIA 23347 222405 94431 
TOTAL = 132164108 146467351 199388740 233983490 305112917 
Chart: BTA
14 
Procedure of Export: 
A company or individual businessmen with trade license is capable of doing export 
business. But before that he/the company has to obtain export registration certificate (ERC) from 
the office of Chief Controller of Import and Export (CCI&E), 111-113 Motijheel Commercial 
Area, Dhaka. Generally Trade License, Bank Balance Certificate, Membership from respective 
trade associations is required for obtaining ERC. 
To get Export Registration Certificate (ERC) you have to apply to the Office of the Chief 
Controller of Import and Export (CCI&E) in prescribed form. Along with the application you 
have to submit the following documents: 
 Copy of trade license 
 Nationality certificate issued by Ward Commissioner or Union Parishad Chairman (for 
Bangladeshi nationals) 
 Income tax payment certificate of the previous year (in applicable cases) 
 Valid membership certificate from the Chamber of Commerce or Registered Trade 
Association 
 Bank solvency certificate 
 Partnership deed or Incorporation certificate 
 Photograph – 2 copy. 
For starting a business in Bangladesh, it starts with registering the company name at the 
Office of the Registrar of Joint Stock Companies & Firms. The office is located at 24-25 
Dilkusha, Commercial Area, Dhaka. This Office accords registration of Companies, Associations 
and Partnership Firms under the Companies Act, other related acts, rules, orders and ensures 
lawful administration of them. 
The new entities should also obtain trade license from the city corporation where it is located 
Exporter has to obtain quality assurance certificate
The exporter can export with or without Letter of Credit (LC). The Contract/ Agreement 
with foreign buyer or CAD or Advance TT methods etc. are also allowed for export. The 
exporters then submit EXP form to bank and prepare bill of export. With all these documents 
exporters then approach at the customs authority of the port through which they want to ship his 
exportable. After examining all the papers the customs authority allows them to export and after 
boarding the products the authority gives them a bill of lading. After shipment the customs 
authority assures them stamping a seal in the back of bill of lading and provide Export General 
Manifest (EGM). 
15 
We talked to a leather company and they share about their experience of export which are given below 
“When goods are export in another country firstly we receive enquiries and then send 
quotation to buyer for confirmation. After confirmation of quotation we receive order from buyer 
and confirm buyer by phone, email, or fax. For goods payment we negotiate to fixing the 
exchange rate with buyer including goods delivery. Buyer gives us payment by Letter of Credit. 
We collect the LC and start our work as the buyer want. After complete the orders arrangements 
we prefer send the goods by ship vessel for low costing but if we are late to send the goods and 
buyer want the delivery urgently then we deliver the goods by air (FedEx) at our own cost. In 
case our goods are damaged or lost by any way our insurance company bears the loss. After 
completing the order we ready to prepare our bill of exchange and total documentation at our 
Bank (National Bank) then forwarding the documents and send it to buyer bank (HSBC). Buyer 
bank checking our bill of exchange and other documentation and send an acceptance letter in our 
bank (National Bank) against our documents for collect the bill then our bank collects the money 
and sends it to our account.”
16 
Prospects: 
 The labor-intensive leather industry is well suited to Bangladesh having low-cost and 
abundant labor. 
 Bangladesh has a domestic supply of good quality raw material, as hides and skins are a 
by-product of large livestock industry. 
 Adequate government support in the form of tax holidays, duty free imports of raw 
materials and machinery for export-oriented leather market 
 The industry lacks domestic technology and expertise and local support industries such as 
chemicals are still under-developed. 
 Present government is in the process of setting up of separate Leather Park relocating the 
existing industry sites to a well-organized place. 
 Leather exporters have been given 15% Duty drawback of cash incentive. 
 Low establishment cost. 
Problems: 
The Bangladesh export - oriented leather and leather goods may be characterized by: 
 Lack of an integrated comprehensive policy with proper inputs by all the stakeholders 
such as exporters, government, suppliers and buyers 
 A small number of factories that have been set -up by mainly inexperienced 
entrepreneurs and ever eager machinery suppliers, who have used the myth of the 
buyback agreements to push their machine sales. These factories by and large have been
unable to get off the ground despite considerable investment in machinery and 
infrastructure 
 Other than three or four exporters most of the factories are not engaged in regular 
17 
production and exports 
 A total lack of adequately trained and skilled human resources for production as well as 
for managerial personnel in the leather footwear industry 
 No training institute or facilities for skill development 
 No support industry in terms of linkage factories such as lasts, cutting dies etc., so there 
is a high import dependence thereby reducing price competitiveness as well as increasing 
lead times 
 Low awareness amongst international buyers as not enough factories is working in the 
industry 
 Poor representation in major international product fairs and shows 
 No design, product development or product testing capability in the country 
 No awareness of international quality standards such as Eco - labeling and packaging, 
occupational standards and environmental management requirements and their growing 
importance to foreign buyers 
 Insufficient co -operation & co - ordination between various regulators, policy makers 
and stakeholders of the industry. In some cases duplication of efforts by various agencies 
especially donors is occurring 
 Lack of a suitable enabling environment in the customs facilities of the country at time of 
import of raw materials, due to harassment and delays in clearance 
 Inadequate working capital finance as most banks insist on Master L/C and back to back 
L/C procedures for import. Unfortunately in today's highly competitive market most
buyers no longer operate on L/C. Our competitors offer much easier payment terms such 
as open account, D/A basis delivery, etc. 
 No easy a access to the local market for exporters, making them highly vulnerable to the 
perils of stock lots and cancellations. In China as well as India up to 50% of the total 
output can be sold onto the local market, whilst still enjoying exporter status. In contrast, 
in Bangladesh local sales are taxed at such high rates of duty which makes the price too 
high for the mass market 
 Discrepancy in the import policy where the import duty on finished shoes and on shoe 
components and accessories is almost the same, therefore there is no advantage for 
manufacturers. Today the local shoe industry is being severely threatened by cheap 
imports that are being smuggled and dumped from neighbouring countries such as 
Myanmar and India. 
18 
Recommendations: 
 Government should formulate appropriate rules and regulations to support Leather and 
leather-based products and footwear sectors. 
 To ensure sufficient and continuous power supply. 
 They can start joint venture business with other major leather exporting country like India 
and Japan. 
 By collaboration with EU and other developed leather importing countries they can 
import advanced technology.
 Government should take initiatives to formulate appropriate leather policies to support 
the sector which is aligned with the industrial, export, and investment policy and 
specially strengthen e-diplomacy. 
 Government needed to arrange some soft loans for the industry to fight against the 
19 
current financial crisis. 
 Government must take initiative to enhance R&D and technology transfer to the industry. 
 Government should take initiatives to enrich the livestock of the nation to ensure higher 
availability of raw-inputs. 
 Government needed to arrange some special funding and leather preservation facilities 
for the industry in occasion of Eid-ul-Azha. 
 Government should take initiatives to protect lather smuggling to India. 
 Government should plan and built facilities to increase the value addition through 
increases production of finished goods. 
 Government has to ensure the HR development in the sector. 
 Government has to reduce the environment pollution level of the industry.
20 
Conclusion: 
Bangladesh leather industry is dominated substantially by the domestic investment which 
is mostly export-oriented. The leather includes some ready-made garments, although that aspect 
is continued mainly to a small export-trade in “Italian-make” garments for the US market. 
Footwear is more important in terms of value addition. This is the fast growing sector for leather 
products. 
Presently Bangladesh produces between 2 and 3 percent of the world’s leather market. 
Most of the livestock base for this production is domestic which is estimated as comprising 1.8 
percent of the world’s cattle stock and 3.7 percent of the goat stock. The hides and skins (average 
annual output is 150 million sq.ft.) have a good international reputation. Foreign direct 
investment in this sector along with the production of tanning chemicals appears to be highly 
rewarding. 
Having the basic raw materials for leather goods as well as for the production of leather 
shoe, a large pool of low cost but trainable labor force together with tariff concession facility to 
major importing countries under GSP coverage, Bangladesh can be a potential off shore location 
for leather and leather products manufacturing with low cost but high quality 
Provision of newly announced infrastructural facilities through establishment of an 
integrated Leather Park and simultaneously, growth in the global demand, opportunities for 
investing in and setting up export-oriented leather industry in Bangladesh is definitely attractive. 
Foreign investors are welcome to capitalize on this opportunity.

Bangladesh Leather and Leather goods export

  • 1.
    1 Executive Summary: This report is based on exportation of leather and leather goods. Bangladesh is contributing only 2/3 percent of the total leather among the other country of the world. Bangladesh has the huge potential of export more leather with high quality in the international market. Bangladesh has the cheap labor, huge raw material and other aspect that required for a high quality leather exporting country. Government steps are needed to flourish this sector. In this report we try to focus on current scenario of the leather industry. We also try to find out the prospects and problems for the leather industry. Lastly we suggest some recommendations which can vitalize the industry.
  • 2.
    2 Industry Profiles: The first tannery in Bangladesh territory was set up at Narayanganj by RP Saha sometime in the 1940s. It was later shifted to Hazaribag area of Dhaka, which turned into a location that now accommodates a large number of tannery units. Leather Industry developed in Bangladesh on a large-scale basis from the 1970s. About 95% of leather and leather products of Bangladesh are marketed abroad, mostly in the form of crushed leather, finished leather, leather garments, and footwear. Most leather and leather goods go to Germany, Italy, France, Netherlands, Spain, Russia, Brazil, Japan, China, Singapore and Taiwan. About 100 modern tannery units are now in operation in the industry. These are located mostly in the Hazaribagh area of Dhaka city. In 1998, the sector exported 178 million sq ft of leather and earned $160 million. The country’s share in the world leather market is 2%. The export of finished products such as shoes, slippers, leather jackets, hand gloves, bags, purses, wallets, and belts also earn a sizeable amount of foreign exchange. Bangladesh intends to increase its range of leather products to penetrate new market segments. The country is endowed with luxurious vegetation encouraging a large livestock population. The quality of the raw hide and skin is relatively good, as barbed wire fencing that damage the skins of animals is not used in the natural farms and fields. Black goatskin of kushtia is particularly noted for its finegrain structure and tensile strength. The tradition of humane care of domestic animals also contributes significantly to keeping the leather quality high. About 40% of the supply of hide and skin comes from animals slaughtered during the annual Muslim festival of eid-ul azha. In addition to daily consumption of meat, festivals, Muslim weddings, and other celebrations yield a substantial supply of hide and skin. The tanning industry got a big boost following the government decision to promote more value addition in exports. The installed capacity for crust leather production increased. At present, it is double the domestic supply of raw hide and skin. Investments are also made in installing new finishing capacity. The trends encourage more tanneries to produce finished leather on a commercial basis. The government of Bangladesh provides a support to the leather industry through various steps, including monitoring the export market, evaluating the performance of the sector by a permanent parliamentary committee, and liberal bank credit. During the 1990s, the export market for Bangladeshi leather grew at an average of 10 – 15% per annum. The average yearly exports accounted for $225 million. Fine grain leather of Bangladesh enjoys preferential demand in Western Europe and Japan. Low wage level and the ban on exporting wet blue leather helped the industry receive a new thrust in the country. Environmental concerns arising out of the high concentration of production units in a small area of the older part of Dhaka city are being addressed with plans for their relocation outside the city. Leather goods producers in Bangladesh tend to be associated only with manufacturing and exporting. They do not have much control over downstream operations. However, the success of a number of Bangladeshi firms in attracting such brand names as Puma, Pivolinos and Hugo Boss to source from this country proves that there is ample scope for the industry’s upward mobility.
  • 3.
    3 Present Scenario: At present, there are about 170 tannery units in Bangladesh and they use locally available raw hides and skins. Of them 114 are large and medium units (by local standards) and are registered with the Directorate of Industries. Others are mostly of small and cottage type and are not on the register of the government. About 150 tannery units are located at Hazaribag of Dhaka in only 50 acres of land popularly known as tannery estate. According to the records of the Bangladesh Tanners Association, about 3,000 workers are employed in the tanning industry. Besides, there are about 100 qualified technologists including foreign nationals who are working in different tanneries. Total capital invested in the tannery industry is estimated at Tk 2.5 billion, of which government/bank finance is about Tk. 1.2 billion. About 1,500 persons are involved in the process of collecting raw hides and skins and making them available at tannery units. About 100 organisations import chemicals for use in tannery industry. Bangladesh produces approximately 100-150 million sq. feet of raw hides and skins, about 85% of which is exported in crust and finished form. The rest is used for producing leather goods to cater to the domestic market. Leather is a traditional export item of Bangladesh. But export earnings from this sector could not indicate any predictable increase in the past. Since the production and supply of leather depend on the availability of livestock and demand of the meat, the total supply of leather cannot be increased in the short run. Therefore, the only way of increasing earnings from this sector is the production and export of higher value leather products for which international demand is growing. International market for leather is highly fluctuating, hence the earnings from its export. Until 2001, annual export receipts from this sector remained below taka one billion. Some projections suggest that if properly organized, this figure could be raised to Tk 5 billion. Country wise export data for leather and leather goods Source for all these data is Export Promotion Bureau Products Amount in US$ Raw hides and skins (other than fur skins) and leather 505,535,546.82 Articles of leather, animal gut, harness, travel goods 240,082,385.04 Footwear, upper of leather 378,539,254.95 2013-2014 Fiscal year total export
  • 4.
    4 Raw hidesand skins (other than fur skins) and leather (Value in US$) 2008-09 2009-10 2010-11 2011-12 2012-13 AE: UNITED ARAB EMIRATES 7757 6858 62546 AR: ARGENTINA 15735 AU: AUSTRALIA 360302 170664 227490 136523 95421 BL: SAINT BARTHÉLEMY 2552086 2860240 3459511 5380911 6460046 BN: BRUNEI DARUSSALAM 24258 204286 BR: BRAZIL 16310 BW: BOTSWANA 17400 CA: CANADA 7886 3561 4673 7021 CH: SWITZERLAND 32456 8029 CM: CAMEROON 72648 CN: CHINA 9622646 9859950 13647580 22230901 30393826 CZ: CZECH REPUBLIC 1822 19765 38192 40930 20605 DE: GERMANY 1674845 1356637 3189048 2718254 2602461 ES: SPAIN 5114893 7814488 14044978 14712545 14172117 FR: FRANCE 861193 455096 466328 448096 464559 GB: UNITED KINGDOM 948573 1153071 1595894 1769081 1712136 GR: GREECE 41094 55001 292238 HK: HONG KONG 61356935 86567266 116997409 117188422 149932911 HR: CROATIA 15252 HU: HUNGARY 4921 730 22085 20841 ID: INDONESIA 177661 309453 332877 432801 944420 IN: INDIA 6982976 11366916 9631492 4777225 6218182 IR: IRAN, ISLAMIC REPUBLIC OF 41640 IT: ITALY 29930906 33052406 38672914 44503704 54702197 JP: JAPAN 14774284 16523830 18111626 20245026 20795882
  • 5.
    5 KH: CAMBODIA599755 330557 1069164 19571 453375 KR: KOREA, REPUBLIC OF 29592148 38929736 54632248 73538266 75822293 KW: KUWAIT 3182 LA: LAO PEOPLES DP 6043 LB: LEBANON 19751 6003 LK: SRI LANKA 94045 9137 40264 LU: LUXEMBOURG 22078 MM: MYANMAR 71251 94139 85369 48595 48953 MO: MACAO 18960 MU: MAURITIUS 4332 4545 2587 MX: MEXICO 1227608 495405 516762 44385 87641 MY: MALAYSIA 172051 91646 12452 14145 30486 NG: NIGERIA 5320 4822 NL: NETHERLANDS 10131 24368 699 27756 14302 NO: NORWAY 37109 42511 50621 NZ: NEW ZEALAND 3293 OM: OMAN 2254 PH: PHILIPPINES 18051 206575 764585 430059 14915 PK: PAKISTAN 189581 1633 40243 39798 718561 PL: POLAND 895673 280892 1286068 1358563 4013324 PT: PORTUGAL 55060 88490 58403 164324 1223271 RO: ROMANIA 14287 7802 RU: RUSSIAN FEDERATION 202874 57342 39414 SA: SAUDI ARABIA 656 4419 62706 7722 SE: SWEDEN 34044 119475 SG: SINGAPORE 53266 47276 287859 178229 205094 SL: SIERRA LEONE 8038 SR: SURINAME 9198
  • 6.
    6 TG: TOGO15857 TH: THAILAND 623629 383792 435847 377543 349587 TR: TURKEY 677206 3479256 2007153 2060616 2691739 TU: !!! Not Defined 17523 TW: TAIWAN, PROVINCE OF CHINA 3720110 5204740 7981635 6984021 12686239 UK: !!! Not Defined 41521 272739 45971 7413 US: UNITED STATES 292830 240608 231000 390179 688836 VE: VENEZUELA, BOLIVARIAN REPUBLIC OF 2017 21819 733 VN: VIET NAM 5157687 4102852 7332153 9587904 12147111 VR: !!! Not Defined 28547 16320 ZA: SOUTH AFRICA 4568 132123 144162 30220 56258 Total 178199731 226102289 297826057 387376808 399726733
  • 7.
    7 Articles ofleather, animal gut, harness, travel goods (Value in US$) 2008-09 2009-10 2010-11 2011-12 2012-13 AE: UNITED ARAB EMIRATES 2270 16851 11408 10434 41863 AT: AUSTRIA 1729 21265 26523 15468 AU: AUSTRALIA 62579 6841 62339 133273 504213 BE: BELGIUM 5326 1811 18995 2303453 5909896 BL: SAINT BARTHÉLEMY 372785 777393 1164763 797338 280562 BN: BRUNEI DARUSSALAM 204 BR: BRAZIL 7445 BT: BHUTAN 6127 11868 CA: CANADA 61437 31572 34303 29545 73191 CH: SWITZERLAND 230 20649 45101 7277 CL: CHILE 4039 CN: CHINA 3752 815247 3175027 21719656 34453518 CZ: CZECH REPUBLIC 2458 18118 DE: GERMANY 6811360 6419217 8253425 9699070 11414092 DK: DENMARK 453 3131 7650 ES: SPAIN 1559 33789 523356 1246730 FI: FINLAND 2421 1630 5191 FR: FRANCE 145411 23116 76321 159414 142129 GB: UNITED KINGDOM 177536 128323 209650 134975 338666 GR: GREECE 26286 14212 HK: HONG KONG 8290542 16324308 27008653 38508162 76222134 HR: CROTIA 105 HU: HUNGARY 1085 ID: INDONESIA 9942 68
  • 8.
    8 IE: IRELAND454 IN: INDIA 895 29059 22446 72597 IQ: IRAQ 607 IT: ITALY 36666 234130 8388400 10745860 7161770 JO: JORDAN 60725 JP: JAPAN 1512743 2479782 5375752 7858152 12507799 KH: CAMBODIA 34995 KP: KOREA, DEMOCRATIC PEOPLEpS REPUBLIC OF 213 KR: KOREA, REPUBLIC OF 43938 30771 68061 484613 993681 KW: KUWAIT 652 871 LK: SRI LANKA 29 LT: LITHUANIA 69470 MU: MAURITIUS 25 MV: MALDIVES 706 MX: MEXICO 48 839 MY: MALAYSIA 807 3186 19844 28519 1429 NL: NETHERLANDS 40318 106489 9382 4289 72232 NO: NORWAY 8273 3259 1486 2935 NP: NEPAL 5942 NZ: NEW ZEALAND 9073 PH: PHILIPPINES 6501 6808 PL: POLAND 12333 28174 PT: PORTUGAL 1032 16333 QA: QATAR 3756 388 RO: ROMANIA 1060 RU: RUSSIAN FEDERATION 36 512 5064 2239 SA: SAUDI ARABIA 542761 610626 249458 97053 64730 SE: SWEDEN 12146 29540 98460 133040 240850
  • 9.
    9 SG: SINGAPORE338581 589823 786001 930510 1276792 TH: THAILAND 303 22 21174 14959 TR: TURKEY 3817 TW: TAIWAN, PROVINCE OF CHINA 52417 133774 196387 US: UNITED STATES 209491 274084 245903 4660379 8218796 ZA: SOUTH AFRICA 1791 5796 Total 18779818 28962068 55397661 99351482 161603306
  • 10.
    10 Footwear, upperof leather (Value US$) COUNTRY 2008-09 2009-10 2010-11 2011-12 2012-13 AE: UNITED ARAB EMIRATES 428506 306971 227983 605811 962810 AR: ARGENTINA 153971 7623 48968 51121 36733 AT: AUSTRIA 5960016 4828968 4490044 5094347 3841146 AU: AUSTRALIA 6779 6167 64421 22935 55636 BA: BOSNIA AND HERZEGOVINA 261357 209086 229168 222914 BE: BELGIUM 4005770 4620395 6198268 6108466 5152463 BG: BULGARIA 7633 3697 14615 BH: BAHRAIN 4584 881 BL: SAINT BARTHÉLEMY 59475 331296 8635 BR: BRAZIL 24614 40428 4711 60154 472994 BZ: BELIZE 559902 CA: CANADA 2181349 1586369 3676447 3426659 6782612 CH: SWITZERLAND 2413816 2229269 4418797 4440850 3786366 CL: CHILE 1623 2206 15063 190129 361016 CN: CHINA 5535 5845 1719442 1789893 5930947 CO: COLOMBIA 21124 63335 14157 CY: CYPRUS 15811 57824 CZ: CZECH REPUBLIC 2055379 798093 2246946 1547094 984922 DE: GERMANY 15696782 23630854 28365778 38852684 55744860 DK: DENMARK 371375 76959 95712 69683 28474 EE: ESTONIA 330021 160492 343524 253212 251969 ES: SPAIN 3122097 3686113 4137134 5742271 2628395 ET: ETHIOPIA 1570 FI: FINLAND 1033681 509410 749508 1228117 977444
  • 11.
    FJ: FIJI 1977870121 13195 56926 FR: FRANCE 11668870 12478197 14584615 15191524 11969751 GB: UNITED KINGDOM 4219836 5065429 5926783 2232002 4901042 GE: GEORGIA 39596 1390 GR: GREECE 340463 308635 707936 269493 495288 11 GT: GUATEMALA 19348 HK: HONG KONG 620156 1275415 1380047 2288686 10542860 HR: CROATIA 14163 26615 23596 96164 29566 HU: HUNGARY 15696 35964 954 60799 218286 ID: INDONESIA 164 379 1195 IE: IRELAND 282901 276887 157750 235182 283834 IN: INDIA 8745 5038 329 19840 IQ: IRAQ 14732 2871 IT: ITALY 15453290 14212092 19449768 24748874 25250348 JO: JORDAN 8342 JP: JAPAN 41939904 52233207 72425975 65530171 104773875 KE: KENYA 54805 KH: CAMBODIA 22556 KR: KOREA, REPUBLIC OF 3213408 2844035 4130615 4423242 2630469 KW: KUWAIT 964 LB: LEBANON 1036 5887 37140 LK: SRI LANKA 716 23674 14747 LT: LITHUANIA 120973 61712 LV: LATVIA 9353 LY: LIBYAN ARAB JAMAHIRIYA 23242 178230 MA: MOROCCO 2926 5840 MG: MADAGASCAR 340 MT: MALTA 14507 61607 28600
  • 12.
    12 MU: MAURITIUS2604 MV: MALDIVES 6646 MX: MEXICO 14502 48876 147599 351633 447715 MY: MALAYSIA 1717 21192 80284 29486 NL: NETHERLANDS 4815755 4023693 8153422 14574449 19906258 NO: NORWAY 10563 337559 406638 419622 508549 NP: NEPAL 7511 6275 NZ: NEW ZEALAND 6695 41210 PA: PANAMA 116684 108316 178503 215912 391062 PE: PERU 4237 447045 32815 PG: PAPUA NEW GUINEA 20006 6165 2280 PH: PHILIPPINES 1882 101 PK: PAKISTAN 1010 196509 PL: POLAND 359631 27971 4028 2110903 PT: PORTUGAL 134254 129374 23196 3153 PY: PARAGUAY 311406 253155 RO: ROMANIA 2509 396 112435 308272 479079 RU: RUSSIAN FEDERATION 408 279180 173787 1287231 322489 SA: SAUDI ARABIA 868958 462580 687316 743790 418541 SE: SWEDEN 1118994 1309879 1260741 2018387 1859916 SG: SINGAPORE 3364 6331 4567 32155 192900 SI: SLOVENIA 735898 711070 844472 1367284 1224468 SK: SLOVAKIA 323037 329199 391290 612151 354522 SV: EL SALVADOR 22486 SZ: SWAZILAND 33734 740 16564 15257 21512 TH: THAILAND 48720 6453 21343 10194 TN: TUNISIA 6993 TR: TURKEY 408 10914 719295 227238 97746
  • 13.
    TU: !!! NotDefined 2556 44067 TW: TAIWAN, PROVINCE OF CHINA 48835 210973 233624 377614 583457 13 UA: UKRAINE 958 309715 UG: UGANDA 29573 UK: !!! Not Defined 2545468 1218284 502036 4284027 US: UNITED STATES 4888465 5772229 8848036 20059748 19745274 UY: URUGUAY 2639 97836 VE: VENEZUELA, BOLIVARIAN REPUBLIC OF 1279 60291 35589 VN: VIET NAM 2650 1660 VR: !!! Not Defined 114034 333641 ZA: SOUTH AFRICA 44153 43005 100518 537005 788599 ZM: ZAMBIA 23347 222405 94431 TOTAL = 132164108 146467351 199388740 233983490 305112917 Chart: BTA
  • 14.
    14 Procedure ofExport: A company or individual businessmen with trade license is capable of doing export business. But before that he/the company has to obtain export registration certificate (ERC) from the office of Chief Controller of Import and Export (CCI&E), 111-113 Motijheel Commercial Area, Dhaka. Generally Trade License, Bank Balance Certificate, Membership from respective trade associations is required for obtaining ERC. To get Export Registration Certificate (ERC) you have to apply to the Office of the Chief Controller of Import and Export (CCI&E) in prescribed form. Along with the application you have to submit the following documents:  Copy of trade license  Nationality certificate issued by Ward Commissioner or Union Parishad Chairman (for Bangladeshi nationals)  Income tax payment certificate of the previous year (in applicable cases)  Valid membership certificate from the Chamber of Commerce or Registered Trade Association  Bank solvency certificate  Partnership deed or Incorporation certificate  Photograph – 2 copy. For starting a business in Bangladesh, it starts with registering the company name at the Office of the Registrar of Joint Stock Companies & Firms. The office is located at 24-25 Dilkusha, Commercial Area, Dhaka. This Office accords registration of Companies, Associations and Partnership Firms under the Companies Act, other related acts, rules, orders and ensures lawful administration of them. The new entities should also obtain trade license from the city corporation where it is located Exporter has to obtain quality assurance certificate
  • 15.
    The exporter canexport with or without Letter of Credit (LC). The Contract/ Agreement with foreign buyer or CAD or Advance TT methods etc. are also allowed for export. The exporters then submit EXP form to bank and prepare bill of export. With all these documents exporters then approach at the customs authority of the port through which they want to ship his exportable. After examining all the papers the customs authority allows them to export and after boarding the products the authority gives them a bill of lading. After shipment the customs authority assures them stamping a seal in the back of bill of lading and provide Export General Manifest (EGM). 15 We talked to a leather company and they share about their experience of export which are given below “When goods are export in another country firstly we receive enquiries and then send quotation to buyer for confirmation. After confirmation of quotation we receive order from buyer and confirm buyer by phone, email, or fax. For goods payment we negotiate to fixing the exchange rate with buyer including goods delivery. Buyer gives us payment by Letter of Credit. We collect the LC and start our work as the buyer want. After complete the orders arrangements we prefer send the goods by ship vessel for low costing but if we are late to send the goods and buyer want the delivery urgently then we deliver the goods by air (FedEx) at our own cost. In case our goods are damaged or lost by any way our insurance company bears the loss. After completing the order we ready to prepare our bill of exchange and total documentation at our Bank (National Bank) then forwarding the documents and send it to buyer bank (HSBC). Buyer bank checking our bill of exchange and other documentation and send an acceptance letter in our bank (National Bank) against our documents for collect the bill then our bank collects the money and sends it to our account.”
  • 16.
    16 Prospects: The labor-intensive leather industry is well suited to Bangladesh having low-cost and abundant labor.  Bangladesh has a domestic supply of good quality raw material, as hides and skins are a by-product of large livestock industry.  Adequate government support in the form of tax holidays, duty free imports of raw materials and machinery for export-oriented leather market  The industry lacks domestic technology and expertise and local support industries such as chemicals are still under-developed.  Present government is in the process of setting up of separate Leather Park relocating the existing industry sites to a well-organized place.  Leather exporters have been given 15% Duty drawback of cash incentive.  Low establishment cost. Problems: The Bangladesh export - oriented leather and leather goods may be characterized by:  Lack of an integrated comprehensive policy with proper inputs by all the stakeholders such as exporters, government, suppliers and buyers  A small number of factories that have been set -up by mainly inexperienced entrepreneurs and ever eager machinery suppliers, who have used the myth of the buyback agreements to push their machine sales. These factories by and large have been
  • 17.
    unable to getoff the ground despite considerable investment in machinery and infrastructure  Other than three or four exporters most of the factories are not engaged in regular 17 production and exports  A total lack of adequately trained and skilled human resources for production as well as for managerial personnel in the leather footwear industry  No training institute or facilities for skill development  No support industry in terms of linkage factories such as lasts, cutting dies etc., so there is a high import dependence thereby reducing price competitiveness as well as increasing lead times  Low awareness amongst international buyers as not enough factories is working in the industry  Poor representation in major international product fairs and shows  No design, product development or product testing capability in the country  No awareness of international quality standards such as Eco - labeling and packaging, occupational standards and environmental management requirements and their growing importance to foreign buyers  Insufficient co -operation & co - ordination between various regulators, policy makers and stakeholders of the industry. In some cases duplication of efforts by various agencies especially donors is occurring  Lack of a suitable enabling environment in the customs facilities of the country at time of import of raw materials, due to harassment and delays in clearance  Inadequate working capital finance as most banks insist on Master L/C and back to back L/C procedures for import. Unfortunately in today's highly competitive market most
  • 18.
    buyers no longeroperate on L/C. Our competitors offer much easier payment terms such as open account, D/A basis delivery, etc.  No easy a access to the local market for exporters, making them highly vulnerable to the perils of stock lots and cancellations. In China as well as India up to 50% of the total output can be sold onto the local market, whilst still enjoying exporter status. In contrast, in Bangladesh local sales are taxed at such high rates of duty which makes the price too high for the mass market  Discrepancy in the import policy where the import duty on finished shoes and on shoe components and accessories is almost the same, therefore there is no advantage for manufacturers. Today the local shoe industry is being severely threatened by cheap imports that are being smuggled and dumped from neighbouring countries such as Myanmar and India. 18 Recommendations:  Government should formulate appropriate rules and regulations to support Leather and leather-based products and footwear sectors.  To ensure sufficient and continuous power supply.  They can start joint venture business with other major leather exporting country like India and Japan.  By collaboration with EU and other developed leather importing countries they can import advanced technology.
  • 19.
     Government shouldtake initiatives to formulate appropriate leather policies to support the sector which is aligned with the industrial, export, and investment policy and specially strengthen e-diplomacy.  Government needed to arrange some soft loans for the industry to fight against the 19 current financial crisis.  Government must take initiative to enhance R&D and technology transfer to the industry.  Government should take initiatives to enrich the livestock of the nation to ensure higher availability of raw-inputs.  Government needed to arrange some special funding and leather preservation facilities for the industry in occasion of Eid-ul-Azha.  Government should take initiatives to protect lather smuggling to India.  Government should plan and built facilities to increase the value addition through increases production of finished goods.  Government has to ensure the HR development in the sector.  Government has to reduce the environment pollution level of the industry.
  • 20.
    20 Conclusion: Bangladeshleather industry is dominated substantially by the domestic investment which is mostly export-oriented. The leather includes some ready-made garments, although that aspect is continued mainly to a small export-trade in “Italian-make” garments for the US market. Footwear is more important in terms of value addition. This is the fast growing sector for leather products. Presently Bangladesh produces between 2 and 3 percent of the world’s leather market. Most of the livestock base for this production is domestic which is estimated as comprising 1.8 percent of the world’s cattle stock and 3.7 percent of the goat stock. The hides and skins (average annual output is 150 million sq.ft.) have a good international reputation. Foreign direct investment in this sector along with the production of tanning chemicals appears to be highly rewarding. Having the basic raw materials for leather goods as well as for the production of leather shoe, a large pool of low cost but trainable labor force together with tariff concession facility to major importing countries under GSP coverage, Bangladesh can be a potential off shore location for leather and leather products manufacturing with low cost but high quality Provision of newly announced infrastructural facilities through establishment of an integrated Leather Park and simultaneously, growth in the global demand, opportunities for investing in and setting up export-oriented leather industry in Bangladesh is definitely attractive. Foreign investors are welcome to capitalize on this opportunity.