Nukleosidoak
Base nitrogenatua Erribonukleosidoa Desoxirribonukleosidoa
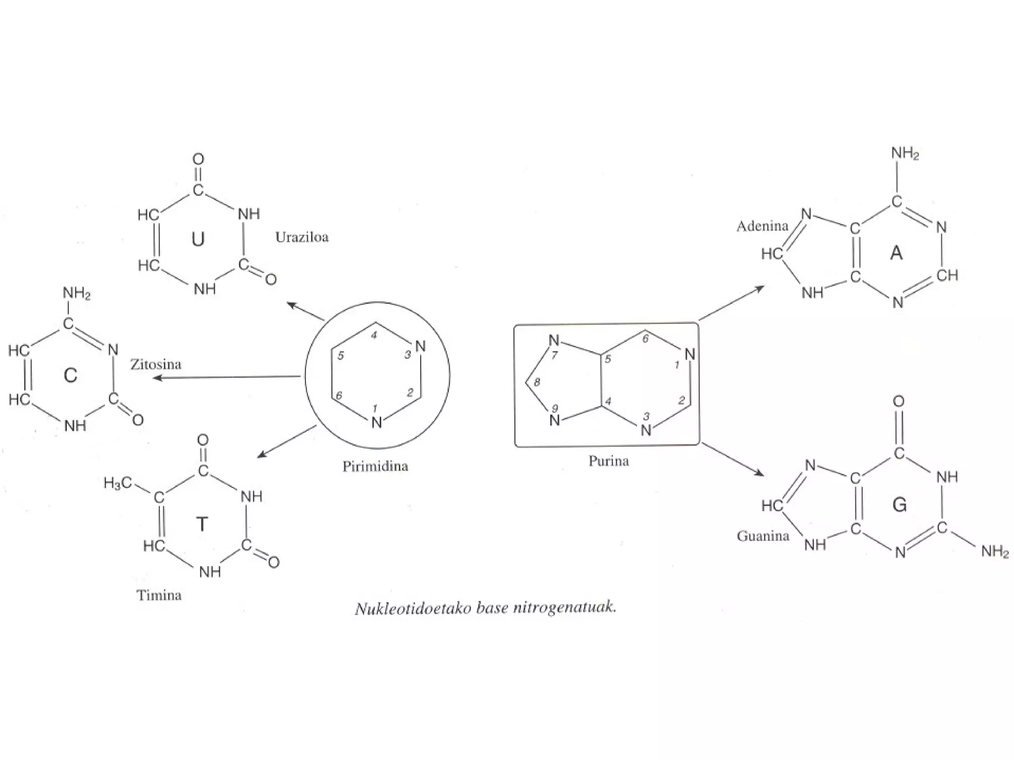
Adenina (A)
Guanina (G)
Zitosina (C)
Uraziloa (U)
Timina (T)
Adenosina
Guanosina
Zitidina
Uridina
Desoxiadenosina
Desoxiguanosina
Desoxizitidina
Desoxitimidina
Nukleotidoak
Base
nitrogenatua
Erribonukleotidoa Desoxirribonukleotidoa
Adenina (A) Adenosina-5’-
monofosfatoa (AMP)
Desoxiadenosina-5’-
monofosfatoa (dAMP)
Guanina (G) Guanosina-5’-
monofosfatoa (GMP)
Desoxiguanosina-5’-
monofosfatoa (dGMP)
Zitosina (C) Zitidina-5’-monofosfatoa
(CMP)
Desoxizitidina-5’-monofosfatoa
(dCMP)
Uraziloa (U) Uridina-5’-monofosfatoa
(UMP)
Timina (T) Desoxitimidina-5’-monofosfatoa
(dTMP)
5’
3’
Watson
eta
Crick
Erwin Chargaff
Rosalind
Franklin
Maurice
Wilkins
5’ 3’
3’ 5’
RNAt
3’ muturra
5’ muturra
kiribila
beso aminoazido-
hartzailea
antikodoia
Hirusta-hostoaren
egitura sekundarioa
kiribila
kiribila
DNAren ERREPLIKAZIO EREDUAK
MESELSON eta STAHL
DNAren ERREPLIKAZIO PROZESUA
Erreplikazio prozesua nukleotidoen sekuentzia jakin batean
hasten da, eta horri erreplikazioaren jatorria deitzen zaio.
Kromosoma prokariotoetan erreplikazioaren jatorri bakarra
dago; eukariotoetan, berriz, erreplikazioaren jatorri ugari
daude DNA katean zehar.
fffff
ERREPLIKAZIOAREN JATORRI UGARI EUKARIOTOETAN
BI NORANZKOKO ERREPLIKAZIOA
Erreplikazio
-begia edo
burbuila
5’
3’
5’
3’
5’
3’
ZELULA EUKARIOTOA
DNA
RNAren heltze- edo splicing prozesua
RNA aitzindaria
RNA heldua
Kode genetikoaren adierazpidea: RNAm-ren kodoiak (barrutik
kanpora irakurrita) eta dagozkien aminoazidoak
Severo Ochoa
H ar Gobind Khorana
Sydney Brenner
Marshall W.
Nirenberg
ITZULPENA
ITZULPENA
ITZULPENA
ITZULPENA
ITZULPENA
ITZULPENA
ITZULPENA
ITZULPENA
ITZULPENA
ITZULPENA
ITZULPENA
ITZULPENA
ITZULPENA
ITZULPENA
ITZULPENA
ITZULPENA

Azido nukleikoak