AN EXPLORATORY CASE STUDY: FACULTY INVOLVEMENT IN
DEVELOPING WRITING-INFUSED COURSES WITHIN
THE PROFESSIONAL DISCIPLINES
Doctoral Dissertation Research
Submitted to the
Faculty of Argosy University, Sarasota
College of Education
In Partial Fulfillment of
the Requirements for the Degree of
Doctor of Education
by
Michelle A. Stefano
February, 2014
ii
AN EXPLORATORY CASE STUDY: FACULTY INVOLVEMENT IN
DEVELOPING WRITING-INFUSED COURSES WITHIN
THE PROFESSIONAL DISCIPLINES
Copyright ©2014
Michelle A. Stefano
All rights reserved
iii
AN EXPLORATORY CASE STUDY: FACULTY INVOLVEMENT IN
DEVELOPING WRITING-INFUSED COURSES WITHIN
THE PROFESSIONAL DISCIPLINES
Doctoral Dissertation Research
Submitted to the
Faculty of Argosy University, Sarasota
College of Education
In Partial Fulfillment of
the Requirements for the Degree of
Doctor of Education
by
Michelle A. Stefano
Argosy University, Sarasota Campus
February, 2014
Dissertation Committee Approval:
______________________________ ________________________________
George Spagnola, EdD Date
______________________________ ________________________________
Sharon Jackson, EdD George Spagnola, EdD
George M.
Spagnola, Ed.D.
Digitally signed by George M. Spagnola, Ed.D.
DN: cn=George M. Spagnola, Ed.D., o=Argosy
University, Sarasota, ou=Chair, College of
Education, email=gspagnola@argosy.edu, c=US
Date: 2014.02.26 14:59:45 -05'00'
George M. Spagnola, Ed.D. Digitally signed by George M. Spagnola, Ed.D.
DN: cn=George M. Spagnola, Ed.D., o=Argosy University, Sarasota, ou=Chair, College of Education, email=gspagnola@argosy.edu, c=US
Date: 2014.02.26 15:00:15 -05'00'
George M.
Spagnola, Ed.D.
Digitally signed by George M. Spagnola, Ed.D.
DN: cn=George M. Spagnola, Ed.D., o=Argosy
University, Sarasota, ou=Chair, College of
Education, email=gspagnola@argosy.edu,
c=US
Date: 2014.02.26 15:00:53 -05'00'
Sharon D. Jackson
Digitally signed by Sharon D. Jackson
DN: cn=Sharon D. Jackson, o=Argosy University, ou=College of
Education, email=sdjackson@argosy.edu, c=US
Date: 2014.02.27 15:15:03 -05'00'
iv
AN EXPLORATORY CASE STUDY: FACULTY INVOLVEMENT IN
DEVELOPING WRITING-INFUSED COURSES WITHIN
THE PROFESSIONAL DISCIPLINES
Abstract of Doctoral Dissertation Research
Submitted to the
Faculty of Argosy University, Sarasota
College of Education
In Partial Fulfillment of
the Requirements for the Degree of
Doctor of Education
by
Michelle A. Stefano
Argosy University, Sarasota Campus
February, 2014
George Spagnola, EdD
Sharon Jackson, EdD
Department: College of Education
v
ABSTRACT
Writing across the curriculum (WAC) initiatives of the 20th century served as the
foundation for current trends in the infusion of writing in the disciplines. Current studies
and trends in WAC have not sufficiently addressed writing needs in non-writing courses.
The purpose of this exploratory case study was to identify effective methods faculty and
administrators without formal education in composition or language arts can use to
implement a writing-infused curriculum across the professional disciplines. Three
themes emerged that aligned with Cochran-Smith and Lytle’s (1999) theory of teacher-
learner community: (a) professional experience and writing as knowledge-practice
relationship, (b) image of non-writing teachers teaching writing as professional practice,
and (c) teachers teaching current writing initiatives in a professional academic setting.
As adult learners, participants in this study required immersion into the content
knowledge along with tenets of academic writing to fully explain and become responsible
for student writing assessment in their classroom. Data for this study revealed important
themes and concepts for further investigation. This study brought to light some of the
issues instructors encounter when implementing writing in a professional academic
environment. The literature presented in this study focused on the need for collaboration
between professors from across the disciplines and writing experts to help students
improve their writing in discipline, as well as work with faculty on improving their
writing assessment skills.
vi
DEDICATION
For Elise
vii
TABLE OF CONTENTS
Page
TABLE OF TABLES ........................................................................................................ ix
TABLE OF APPENDICES .................................................................................................x
CHAPTER ONE: THE PROBLEM ....................................................................................1
Problem Background ...........................................................................................................2
Writing Across the Disciplines (WAC).........................................................................7
Educational Accreditation..............................................................................................8
Faculty Development...................................................................................................12
Purpose of the Study..........................................................................................................13
Research Questions............................................................................................................14
Scope of the Study .............................................................................................................15
Limitations...................................................................................................................15
Delimitations................................................................................................................16
Definition of Terms............................................................................................................17
Nature of the Study............................................................................................................20
Theoretical Framework......................................................................................................21
Significance of the Study...................................................................................................21
Summary............................................................................................................................23
CHAPTER TWO: REVIEW OF THE LITERATURE.....................................................25
History of Infusing Writing Across the Professional Disciplines......................................28
Freshman Composition and General Education ................................................................31
Writing Across the Curriculum (WAC).............................................................................36
Progressive Education and WAC.................................................................................38
Infusing Writing in Discipline .....................................................................................40
WAC During the 21st Century ....................................................................................42
Current Implementation of WAC ................................................................................46
Teaching Writing Strategies and WAC Implementation Today........................................49
Effective Strategies for the Teaching of Writing.........................................................51
Vertical legitimacy.................................................................................................52
Horizontal outreach................................................................................................53
Deep learning.........................................................................................................53
Research Gaps in Teaching College English...............................................................55
Technology ............................................................................................................55
Diversity.................................................................................................................56
Pedagogy and methodology...................................................................................56
Conclusion .........................................................................................................................57
Summary............................................................................................................................58
CHAPTER THREE: METHODOLOGY ..........................................................................60
Research Questions............................................................................................................60
Research Method and Design ............................................................................................62
viii
Participants...................................................................................................................65
Instrumentation and Data Collection ...........................................................................66
Qualitative survey..................................................................................................66
Classroom observations .........................................................................................71
Focus group............................................................................................................73
Epistemological Assumptions......................................................................................74
Limitations...................................................................................................................75
Delimitations................................................................................................................75
Procedures....................................................................................................................76
Consent and confidentiality ...................................................................................76
Validity ..................................................................................................................77
Data Analysis.....................................................................................................................79
Summary............................................................................................................................80
CHAPTER FOUR: FINDINGS.........................................................................................81
Restatement of the Purpose................................................................................................81
Research Questions............................................................................................................81
Sample Characteristics.......................................................................................................82
Restatement of Procedures.................................................................................................84
Results of the Study ...........................................................................................................86
Professional Experience and Writing as Knowledge-Practice Relationship ...............86
Qualitative survey..................................................................................................86
Classroom observations .........................................................................................90
Image of Non-Writing Teachers Teaching Writing and Professional Practice ...........90
Qualitative survey..................................................................................................91
Classroom observations .........................................................................................94
Teachers Teaching Current Writing Initiatives in a Professional Academic Setting ..94
Qualitative survey..................................................................................................94
Classroom observations .........................................................................................97
Focus Group.......................................................................................................................98
Summary............................................................................................................................99
CHAPTER FIVE: DISCUSSION, IMPLICATIONS, AND RECOMMENDATIONS .100
Discussion of Findings.....................................................................................................103
Theme I: Professional Experience and Writing as Knowledge-Practice
Relationship ...............................................................................................................103
Theme II: Image of Non-Writing Teachers Teaching Writing as Professional
Practice.......................................................................................................................106
Theme III: Teachers Teaching Writing Initiatives in a Professional Academic
Setting ........................................................................................................................110
Implications......................................................................................................................113
Recommendations............................................................................................................116
Final Thoughts .................................................................................................................118
REFERENCES ................................................................................................................120
ix
TABLE OF TABLES
Table Page
1. Teacher Learning: A Conceptual Framework..............................................................68
2. Participant Qualitative Survey Alignment with Research Questions ..........................69
3. Advantages and Disadvantages of Natural Observation Method ................................72
4. Participant Responses for Highest Degree Earned (Q1A) and Courses Taught in the
Discipline (Q1B)..........................................................................................................83
5. NVivo10 Coding Nodes for Research Study...............................................................85
6. Survey Responses for Writing Assignments that Require Discipline-Specific
Knowledge (Q2B)........................................................................................................88
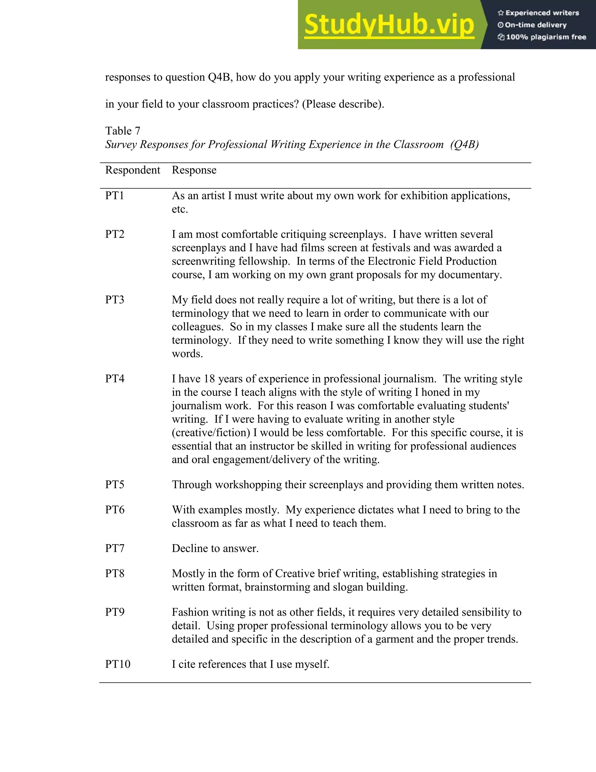
7. Survey Responses for Professional Writing Experience in the Classroom (Q4B) .....89
8. Survey Responses for Number of Writing Assignments Students Required to
Complete (Q1B)...........................................................................................................91
9. Participant Responses: Comfort Level with Student Writing Assessment (Q3B).......93
10. Participant Responses: Responsibility for Writing Instruction at the University (Q5B)93
11. Survey Responses for Administrative Assistance in QEP Writing Initiative (Q6B)...95
12. Participant Responses: Helpful Activities for Writing Initiative (Q7B)......................96
x
TABLE OF APPENDICES
Table Page
A. Letter of Permission...................................................................................................127
B. Consent Form and Invitation .....................................................................................132
C. Research Instrument...................................................................................................135
D. Check List for Participant Observation......................................................................138
E. Qualitative Survey Responses....................................................................................141
F. Classroom Observation Notes....................................................................................148
G. NVivo10 Data............................................................................................................154
1
CHAPTER ONE: THE PROBLEM
The purpose of this exploratory case study was to identify effective methods
faculty and administrators without formal education in composition or language arts can
use to implement a writing-infused curriculum across the professional disciplines. This
study involved gathering input from instructors who teach discipline-specific courses and
assess student writing skills in the classroom, as well as exploring current effective
strategies non-writing experts can use when teaching writing (Cavender, 2010;
Woodward-Kron, 2009).
The increasing need for university instructors to be able to effectively assess
student writing deficiencies in discipline-specific courses may have stemmed from the
proposition that past writing across the curriculum (WAC) initiatives did not adequately
address student writing deficiencies in the disciplines. Today’s WAC initiatives are
implementing vertical legitimacy, which refers to including writing instruction within the
discipline, from beginning to advanced levels (Elliot, Deess, Rudiny, & Joshi, 2012;
Mendenhall, 2010; Woodward-Kron, 2008). Today’s university instructors who are not
writing experts need to be able to understand how to evaluate students’ writing
proficiency in their major-specific courses, specifically by being able to evaluate writing
assignments for correct grammar and usage (Dotolo & Nicolay, 2008).
Cochran-Smith and Lytle’s (1999) concept of “teacher-learner community”
provided the framework for the current study. Cochran-Smith and Lytle defined teaching
as “a process of applying received knowledge to a practical situation: Teachers
implement, translate, use, adapt, and/or put into practice what they have learned of the
knowledge base” (p. 257). Three ideas Cochran-Smith and Lytle presented in their
2
theory of teacher-learner community included: (a) knowledge-for-practice, a term
referring to theoretical knowledge; (b) knowledge-in-practice, a term referring to
experiential knowledge; and (c) knowledge-of-practice, a term referring to the use of both
practical and theoretical knowledge for “intentional investigation . . . interrogation and
interpretation” (pp. 250, 257-262). The questions on the qualitative survey and
interviews used to collect data in the current study were based on these three concepts.
The purpose of this study was to identify effective strategies faculty can use in the
non-writing focused classroom to assess student writing. This chapter provides an
overview of the nature of the study and the methods by which this researcher collected
data. Given the scarce data available surrounding the successful implementation of WAC
initiatives in an art and design university, findings from studies conducted at traditional
universities, current trends in WAC pedagogy, changes in secondary English education,
as well as current strategies for teaching writing were extremely important to this study.
Problem Background
Forbes Magazine listed communication––both oral and written––as one of the six
skills college graduates need in order to compete and thrive in the job market but did not
include a ranking of the six skills or concept areas (Conerly, 2012). However, 40% of
entering college students enroll in remedial level writing courses (“College
Preparedness,” 2012, para. 4). Often, “college graduates can’t even write a short memo
that’s clear” (Young, 2010, para. 16). According to Young (2010), one could infer that
having the ability to write clearly is just as important in the workforce as is having
technical knowledge and skill (“College Preparedness,” 2012). However, recent studies
conducted with college graduates showed new graduates were lacking basic writing and
3
critical thinking skills. One reason why many high school graduates are being required to
take remedial writing courses in college is the changing demographics of students
attending high schools in the United States. The cultural and linguistic diversity of
secondary school graduates participating in American higher education contributed to the
decline in writing scores over the last decade. One-fourth of children in the United States
today speak English as a second language and the number of adult learners and non-
traditional students has nearly doubled on the last 10 years (Schmidt, 2008). By 2020,
more than 37% of new incoming freshmen are predicted to be minorities (Light, 2012).
Having vertical legitimacy within the curriculum is even more important for students
learning English as a second language academically and for their intended profession
after graduation.
Today’s college student in both traditional and non-traditional institutions of
higher education should have language proficiency beyond the first-year writing courses
after graduating. To assist students with language skills, many university professors
outside the liberal arts and traditional academia incorporate writing assignments in their
classes (Weimer, 2013). Almost 95% of university syllabi require writing assignments
(Weimer, 2013, para. 2). Instructors outside the English department have become
involved in assisting students with oral and written communication problems in their
discipline-specific courses. A term used to describe writing across the disciplines in
today’s institutions of higher education is horizontal legitimacy.
Limited research was found on student writing skills or writing initiatives within a
non-traditional professional academic setting, such as fashion, graphic design, animation,
or interior design (Elliot et al., 2012; Woodward-Kron, 2008). In spite of the lack of
4
formal research findings in this area, students attending non-traditional universities are
asked to produce writing in their courses, many of which are discipline-specific (Weimer,
2013, para. 3). Even with no formal education in composition or the language arts,
instructors across non-traditional institutions of higher education are increasingly
assessing students’ writing and are teaching basic writing skills within the discipline
content.
One of the primary research gaps within WAC involves methods of identifying
effective writing strategies that can be used by instructors without a formal background in
the language arts (Hassel, 2013). According to Hassel (2013), six areas require further
research in WAC to address the demand of teaching writing in the disciplines and assist
academic administrators with implementing effective writing initiatives: diversity,
technology, identity, literacy, methodology, and pedagogy (p. 343). Gaps in the WAC
research during the early 21st century are discussed in Chapter 2.
According to Mendenhall (2010), a lack of vertical legitimacy in teaching writing
in high school and college creates a gap in the way secondary and higher education
teachers instruct on writing. The lack of vertical legitimacy is one reason English
instructors and instructors in other disciplines do not agree on the method or purpose of
teaching writing or how it affects students’ ability to transfer knowledge of writing skills
into their majors. Vertical legitimacy reflects writing instruction from a basic level to an
advanced level. In education this generally refers to the alignment of instruction between
secondary education and higher education. Vertical legitimacy refers to instructors
across the curriculum agreeing on the purpose of writing in students’ lives. Vertical
5
legitimacy assists instructors in teaching students both academic and professional writing
(Addison & McGee, 2010; Mendenhall, 2010).
Given the amount of writing students are required to produce throughout their
academic careers, writing has become an essential component of earning a college
degree. English majors are not the only students expected to speak and write in a
scholarly manner; their counterparts in the business, science, and design disciplines are
expected to produce written communication in the discipline as well (Elliot et al., 2012;
Weimer, 2013). In an attempt to assist both students and professors with writing
endeavors across the disciplines, most universities offer students academic support
services in reading and writing through a writing center.
Hassel (2013) believed a gap exists in the teaching of writing across the
disciplines in college and secondary schools related to the use of tutoring or auxiliary
academic support services. Instructors in college use university writing centers to help
them address student writing issues, whereas secondary school teachers tend not to use
auxiliary academic support services (Hassel, 2013). The importance of including writing
centers as part of a WAC initiative is that it enables professors across the disciplines to
offer students additional support when completing different types of writing assignments,
particularly those in students’ major courses.
An increasing number of writing instructors in the language arts are encouraging
students to seek writing assistance, particularly from professionals in their field of study
(Hassel, 2013, p. 345). Current research initiatives on WAC focus on the importance of
writing assignments across disciplines. While literature and rhetoric are still valued as
part of a higher education, more instructors are becoming involved in assigning writing
6
tasks in the discipline and thus enforcing WAC. This became increasingly important in
the 20th century due to educational accreditation, both on the national and regional levels
(Addison & McGee, 2010).
The Southern Association of Colleges and Schools Commission on Colleges
(SACSCOC, 2012) requires universities under its accreditation to establish criteria “to
ensure that the required skill level meets collegiate standards” (p. 13). Many universities
have a writing-infused curriculum as a method of meeting this requirement. Student
writing in discipline-specific as well as elective courses should develop a higher level of
writing proficiency (Conerly, 2012). Developing writing skills helps students increase
their chances of gaining employment as well as reflects the degree-granting institution’s
commitment to meeting collegiate standards, specifically those related to oral and written
communication (Conerly, 2012). Being prepared for the professional field often involves
a command of written and oral communication skills. Because of the high demand for
good writing skills in the workplace, college administrators must be involved in
providing students with writing instruction in their major-specific courses (Elliot et al.,
2012; Weimer, 2013).
Current WAC implementation indicates that many administrators and instructors
who do not consider themselves to be writing experts are implementing writing initiatives
across the disciplines (Fernsten & Reda, 2011; Helstad & Lund, 2012). Recent
publications on this topic showed student writing proficiency has become a university-
wide concern, both from curricular and accreditation perspectives (Defazio, Jones,
Tennant, & Hook, 2010). For example, peer-reviewed journals outside the English,
language arts, and composition realms addressed and promoted the importance of
7
infusing writing in the various majors. Scholars in the fields of social work, science and
math, business, as well as education administration and informatics have published work
stressing the importance of writing within the disciplines (Cavender, 2010; Defazio et al.,
2010, p. 34; Fernsten & Reda, 2011, p. 180; Forman, 2008, p. 211; Helstad & Lund,
2012, p. 599).
Accredited non-traditional universities that grant degrees in professional
disciplines, such as fashion, graphic design, animation, and interior design, have also
been participating in various types of WAC initiatives. The high demand for good
writing skills by educational accrediting bodies and the professional world has caused
writing instruction to be infused with content.
Writing Across the Disciplines (WAC)
Over 30 years ago, WAC became a well-known initiative in liberal arts curricula
in institutions of secondary and higher education. Despite the lack of formal research
available on writing assessment and initiatives within non-traditional university settings,
WAC initiatives established during the 1970s and 1980s to address entering college
students’ poor writing skills paved the way for additional research on writing pedagogy
related to non-traditional disciplines (Bazerman et al., 2005; Crowley, 1998). Since the
late 1960s, English professors throughout North American universities have taught
incoming college students the tenets of basic academic writing in standard American
English (Bazerman et al., 2005, p. 15; Mullin, 2008). During this time, writing pedagogy
acquired the status of an academic discipline. However, students’ writing deficiencies
extended beyond their English and language arts courses. Key figures in composition
studies questioned the foundation of WAC. They critiqued WAC for only focusing on a
8
literary perspective and not including experience or students’ contextual framework when
teaching writing (Bazerman et al., 2005, p. 20).
Past WAC initiatives provided strategies to students for writing in their major-
specific courses. WAC needs to be expanded to regionally accredited art and design
colleges and universities, such as Savannah College of Art and Design (SCAD),
Maryland Institute College of Arts (MICA), and Rhode Island School of Design (RISD).
These institutions needed to assess student writing proficiency as a part of the
accreditation process (Mullin, 2008; New England Association of Schools and Colleges:
Commission on Institutions of Higher Education [NEASC-CIHE], 2011; SACSCOC,
2012). Because of the general decline in recent university graduates’ ability to possess
both technical and language skills, they were less likely to procure employment (Mullin,
2008). This may have been a primary reason why traditional and non-traditional
universities, such as Miami International University of Art and Design (MIUAD), have
implemented writing programs that are major-specific to meet the demands of today’s
workforce (Wingate, Andon, & Cogo, 2011).
Educational Accreditation
Oral and written communication skills are important components of a college
degree and are required as part of the regional accreditation process. The expectation that
college graduates will be able to speak and write proficiently in English is reflected in
standards set by educational regional accreditation bodies, such as SACSCOC, that
develop guidelines for universities to follow to maintain specific standards for writing
courses.
9
According to the Accrediting Council for Independent Colleges and Schools
(ACICS, 2010), non-traditional institutions of higher education have been regionally
accredited for approximately a century. The first educational accrediting body was
established in 1880 with the intent of standardizing admission procedures and educational
course credit (ACICS, 2010). In 1912, two dozen private career schools developed the
National Association of Accredited Commercial Schools (now known as ACICS).
According to the Council for Higher Education Accreditation (CHEA, 2012), there are
five official regional educational accreditation agencies: (a) Middle States Commission
on Higher Education (MSCHE); (b) NEASC-CIHE; (c) North Central Association of
Colleges and Schools–The Higher Learning Commission (NCA-HLC); (d) SACSCOC;
and (e) Western Association of Schools and Colleges Accrediting Commission for Senior
Colleges and Universities (WASC-ACSCU).
Every 10 years, regionally accredited institutions undergo the process of
reaffirmation or reaccreditation, which reflects a renewal of membership within the
educational accreditation body. The inclusion of art and design universities with
traditional universities through regional accreditation made writing proficiency an
essential component of higher education in both traditional and non-traditional
educational settings. Universities such as Pratt Institute, SCAD, California College of the
Arts, MICA, RISD, and MIUAD are a few of the members of regional accrediting bodies.
Being a regionally accredited institution means that regardless of the type of college or
university (i.e., non-traditional or traditional), graduates from these schools are required
to have an equivalent education and curriculum (SACSCOC, 2012, p. 1). The
transferability of credit, or the ability to transfer academic credits from one university to
10
another, is what protects the student who wants to attend a different regionally accredited
school and needs to transfer coursework. The goal of a regional accreditation body is to
ensure that universities in a region “meet standards established by the higher education
community that address the needs of society and students. It serves as the common
denominator of shared values and practices among the diverse institutions” (SACSCOC,
2012, p. 1).
MIUAD, the university in the current study, is a regionally accredited university
of art and design in Miami, Florida. The SACSCOC, founded in 1895, is the accrediting
body under which MIUAD falls. There are four components to obtaining education
accreditation under the SACSCOC: Principles of Integrity, Core Requirements,
Comprehensive Standards, and Federal Requirements (SACSCOC, 2012). The Core
Requirements define the minimum standards by which a university can maintain its
accreditation in good standing. This set of principles dictates to universities the
fundamental requirements needed to grant students credible university degrees
(SACSCOC , 2012, p. 3).
Each of the four categories within the SACSCOC’s Principles of Accreditation is
divided into specific subsections. The subsections most pertinent to the current study are
requirement subsection 2.7.3 of the Core Requirements and standard subsection 3.5.1 of
the Comprehensive Standards (SACSCOC, 2012). Subsections 2.7.3 and 3.5.1 both
address the general education component of a bachelor’s degree. More specifically,
principles 2.7.3 and 3.5.1 state that all testing data, writing diagnostics, or nationally
normed tests, such as Education Testing Services Proficiency Profile (ETS PP) and the
Collegiate Assessment of Academic Proficiency (CAAP) should be conceded in reports.
11
Prior to 2010, Core Requirement 2.7.3 required teachers of general education
courses to assess student proficiency in oral and written communication. Institutions
were expected to maintain certain standards and academic rigor in composition and
speech courses to satisfy the criteria in principle 2.7.3 (SACSCOC , 2012, p. 19).
Moving oral and written communication from a requirement to a standard indicated a
change in the regional accreditation body’s interpretation of composition and oral
communication as part of a university education. This change might have impacted the
importance of composition negatively within the core curriculum of an undergraduate
degree.
Core Requirements are considered the basic components a university must
maintain in order to grant academic degrees (SACSCOC, 2012). The change of oral and
written communication from a core requirement to a comprehensive standard that took
place in 2010 was essential to the current study. The change was significant to this study
because during the time it remained as a Core Requirement, university leaders were
forced to strictly assess reading, writing, and speech as well as show data on how
students performed in these areas. The move to Comprehensive Standards implied that
while universities needed to assess student performance in these three areas, the
institution had more flexibility in how and where assessment and data collection would
take place (SACSCOC, 2012).
If the SACSCOC found an institution to be non-compliant in any of the four
categories, it could place the institution on public sanction or recommendation
(SACSCOC, 2012, p. 25). A sanction could cost a university its accreditation status or
cancel its candidacy for membership (SACSCOC, 2012, p. 17). A recommendation is a
12
change the accrediting body is requiring within a certain period of time after
reaffirmation (SACSCOC, 2012, p. 25).
Despite this change in principles, institutions of higher education continued to
assess students’ oral and written communication skills as part of the strategic planning
process. Entrance exams, placement scores, and in-class proficiency evaluations by
instructors were essential to addressing student needs and providing academic support
services, such as tutoring hours, extended computer lab hours, online tutorials, and online
and on-ground learning centers. Under SACSCOC, the university’s provision of tutoring
in reading, writing, and mathematics is still a requirement under the Core Requirements.
The need for basic writing skills outside liberal studies (or general education)
courses was nevertheless increasing in higher education, particularly in the professional
disciplines (Woodward-Kron, 2009). Despite popular belief, the digital age was not
replacing writing longhand, printed books, or human interaction with colleagues at work
and school (Darton, 2011; Shockley-Zalabak, 2009). Similarly, the need for instructor
preparation in assessing student writing has progressively increased within discipline-
specific courses. As previously stated, with the increased need for both communication
and technical skills in the workplace, instructors outside the liberal arts realm without
academic credentials in English composition or language arts are finding themselves
responsible for helping students transfer their knowledge of basic writing skills into their
major-specific courses and workplace (Defazio et al., 2010).
Faculty Development
Faculty members require academic training and preparation in order to assess
student writing. However, students requiring assistance in basic writing skills cannot
13
wait for their instructors to return to school to learn writing assessment pedagogy.
Faculty development in American universities must address the issue of non-writing
experts teaching and assessing writing within discipline-specific courses. Academic
administrators without a formal academic background in writing or language arts are
charged with addressing this situation along with the faculty outside liberal arts
departments. Academic directors involved in WAC initiatives must ensure the existence
of a “sound” writing pedagogy within their departments (Mullin, 2008, p. 502). Having
teachers participate in peer workshops, discussions, and in-class activities to enhance
their knowledge of writing pedagogy have become embedded in many faculty
development programs. Using current and available strategies for teaching writing is
important for successful WAC implementation in art and design universities (Applebee &
Langer, 2009; Kahn & Holody, 2012; Mullin, 2008; Perelman, 2011).
Purpose of the Study
The purpose of this exploratory case study was to identify effective methods
faculty and administrators without formal education in composition or language arts can
use to implement a writing-infused curriculum across the professional disciplines. The
study was conducted in a non-traditional university setting, specifically in a level three,
regionally accredited art and design university. The participants in this study were
teaching discipline-specific content and assessing basic writing skills in student work.
Through classroom observations, a focus group, and a brief qualitative survey
modeled after Cochran-Smith and Lytle’s (1999) theory of teacher-learner community,
this study was designed in an attempt to help administrators without a formal language
arts background address issues of writing deficiencies in their academic programs,
14
outside the liberal arts context. Results provide instructors without a background in
language arts with information surrounding effective strategies for incorporating writing
in the classroom, gaps in WAC research that may affect their ability to implement a
writing initiative, current best practices in WAC from traditional institutions of higher
education, as well as a pedagogical model for achieving vertical legitimacy and
horizontal outreach in teaching writing across the curriculum (Addison & McGee, 2010;
Mendenhall, 2010). Gaps in WAC research dealing with diversity, technology,
methodology, pedagogy, and literacy are discussed in Chapter 2 in order to provide
examples of current areas in the discipline of teaching writing that need development
(Hassel, 2013).
Research Questions
The overarching question guiding this study was: What effective methods can
faculty and administrators without formal education in writing composition and language
arts implement for a writing-infused curriculum? The four research questions were
aligned with Cochran-Smith and Lytle’s (1999) five principles of the theory of teacher-
learner community: (a) knowledge-practice relationship; (b) image of knowledge; (c)
image of teachers, teaching, and professional practice; (d) images of teacher learning and
teachers’ roles in educational change; and (e) current initiatives.
1. What knowledge and methods do faculty members without formal education
in composition or language arts perceive as effectively used in a writing-
infused curriculum?
15
2. What knowledge do faculty members without formal education in
composition or language arts perceive as needed information in order to
improve a writing-infused curriculum?
3. In what ways can faculty members teaching writing-infused courses in the
disciplines assist in the development of writing initiatives?
4. In what ways can non-writing faculty’s knowledge and experience
implementing a writing-infused curriculum assist academic administrators in
current WAC initiatives?
Scope of the Study
Creswell (2007) defined the scope of a research study through limitations and
delimitations. The literature showed successful WAC programs have typically consisted
of collaboration between peers and the writing center. Co-teaching with English
department faculty, writing center tutors, and faculty development are three areas needed
for success. The primary assumptions limiting this study were: (a) faculty infusing
writing in the discipline and assessing writing assignments felt insecure because they did
not have formal education in writing, and (b) participants’ current knowledge of
assessing and infusing writing in the discipline was possible through the application of
activities in the Quality Enhancement Plan (QEP) classroom.
Limitations
There were five limitations to the study: participant selection, participants’
reflective responses, sample size, setting, and researcher bias. The participants were
already teaching QEP courses; therefore, the researcher had no control over who was
selected. Participants’ reflective responses to qualitative open-ended questions may have
16
been skewed because of their individual strengths and weaknesses. The setting for this
study was a limitation because the site did not have co-teaching, much writing center
support, or an official English department due to limited resources. Faculty development
opportunities were also few due to budget constraints, which posed a limitation. The
researcher was employed by the same institution where the study took place, which may
have caused bias in the interpretation of the data.
Delimitations
There were five delimitations to the study. Having a preselected sample of QEP
specific faculty rather than using a random sample of all disciplines within the university
was a delimitation. Not having a study similar to this conducted at a smaller institution
with perhaps more available funds for faculty development and flexible teaching
schedules would most likely have different results than this study. Trying to identify in
most academic settings teacher learning communities may have been effective.
However, the sample size did not allow for understanding a sizable learning community.
An additional delimitation was the participants had no formal writing education.
This study was delimited to instructors without formal academic training in
language arts and adult learning theories. The study only included instructors currently
teaching QEP classes at MIUAD. Because the goal was to discover effective strategies
that can be used to implement writing fusion in a non-writing class, the instructors in the
study were only eligible to participate if they did not have an undergraduate or graduate
degree in English or language arts.
17
Definition of Terms
The following terms are defined to assist the reader and provide clarification of
the use of each term in this study.
 Adult education. This term is based on andragogy (i.e., adult learning theory).
In an adult learning environment, instructors must allow students to be active
in the learning process. Teachers are learners (Findsen, 2007, p. 555; Taylor
& Kroth, 2009).
 Cross-disciplinary writing. This term can be used synonymously to refer to
writing in discipline (WID; Dotolo & Nicolay, 2008).
 Deep learning. Refers to the establishment of specific benchmarks for the
teaching and learning of writing. According to Addison and McGee (2010),
the National Survey of Student Engagement (NSSE) developed a scale for
establishing deep learning across the disciplines regardless of the discipline in
which writing was taking place. The NSSE assessment scale includes pre-
writing, clear expectations, higher order writing, good instructor practices, and
integrated media.
 Experiential knowledge. Refers to knowledge derived from real life
experience. This term is inclusive in self-directed theory, which Anderson
and Lindeman originally developed in 1927 (Knowles, 1975). Malcolm
Knowles adopted it in the early 1970s. Self-directed learning occurs when
adult learners take responsibility for their acquisition of knowledge. Part of
this knowledge acquisition process is facilitated by experiential knowledge
(Taylor & Kroth, 2009, p. 5).
18
 Horizontal outreach. According to Mendenhall (2010), the transfer of
knowledge related to writing skills needs to occur vertically rather than
horizontally. In the horizontal outreach perspective, composition and rhetoric
take place in difference subjects rather than in one subject. Teaching writing
skills “horizontally” implies that students work on writing skills primarily in
their language arts courses—one subject (p. 95).
 Intertextuality. This post-structuralist term was utilized by Julia Kristeva
(Kristeva, Roudiez, & Jardine, 1980) to mean the influence one literary text
has on other literary texts (p. 69). It refers to the idea that a text does not exist
in isolation, but rather as a reflection of other texts. In other words, Kristeva
believed all texts people read are subject to influence and bias from previous
texts read. Today, this term refers to the integration of texts within another
text through the use of in-text citations.
 Model-based learning. This was the structure for the basis of the study
because of its foundation in incorporating participants’ conceptual framework
as part of the learning process and acquisition of knowledge. According to
Pirnay-Dummer, Ifenthaler, and Seel (2012), this particular model focuses on
both the teacher and the learner. It takes into consideration the “learning goal
. . . level of expertise . . . and skills . . . the things to be learned” (p. 68).
Moreover, it takes into consideration the learning environment and learner’s
“epistemic” beliefs” (p. 68).
 Non-writing instructor. Used to define instructors who are not academically
credentialed to teach writing, composition, or literature at the university level
19
under the regional accreditation criteria of the SACSCOC (SACSCOC, 2012).
Specifically, this term refers to instructors who do not have graduate degrees
in English, language arts, linguistics, or comparable disciplines.
 Professional disciplines. In this study, professional disciplines specifically
refer to those taught at MIUAD, such as fashion, interior design, graphic
design, audio production, and animation.
 Teacher-learner community. This term helped determine the framework for
this study. Cochran-Smith and Lytle (1999) defined teaching as “a process of
applying received knowledge to a practical situation: Teachers implement,
translate, use, adapt, and/or put into practice what they have learned of the
knowledge base” (p. 257).
 Vertical legitimacy. Horizontal outreach would be the WAC portion of
current writing initiatives in higher education. The complement to horizontal
outreach is vertical legitimacy, whereby teaching and learning writing from
beginning to advanced courses occur within the same discipline (Mendenhall,
2010).
 Writing across the curriculum (WAC). This term originated in the 1970s in
primary, secondary, and higher education to reinforce academic literacy
across general education courses. According to Bazerman et al. (2005),
“WAC refers specifically to the pedagogical and curricular attention to writing
occurring in university subject matter classes other than those offered by
composition or writing programs (most often housed in the English
Department)” (p. 9).
20
 Writing across the professional disciplines (WAPD). In this study, WAPD
refers to the QEP topic at MIUAD, the university where this study took place.
This term was used specifically as it relates to discipline-specific writing in a
university for such professional studies as fashion, interior design, graphic
design, and animation.
 Writing in discipline (WID). While WAC emerged as a practice in education,
the term writing in discipline (WID) became of interest to writing scholars and
influenced writing initiatives outside general education courses in profession-
specific courses. According to Bazerman et al. (2005), WID refers to both a
research movement to understand what writing actually occurs in the different
disciplinary areas and a curricular reform movement to “offer disciplinary
related writing instruction but within a program designed for that purpose
(whether university-wide or departmentally located)” (pp. 9-10).
Nature of the Study
The methodology for this study was a qualitative exploratory case study. Faculty
members currently involved in the university’s QEP pilot study were asked to incorporate
writing into their discipline-specific courses. Faculty members in the QEP created
writing assignments and evaluated students’ basic writing skills without having a formal
academic background in English or language arts. Information collected directly from
the faculty in the QEP pilot study through informal face-to-face and group interviews,
classroom observations, and a brief qualitative survey proved valuable given participants’
immediate need to discover effective methods to implement writing-infused curriculum
in the professional disciplines. The results of this study were created from instructors
21
who are currently in this writing situation, supporting an exploratory case study. Direct
interaction with the faculty in MIUAD’s QEP offered valuable methods of instruction in
their discipline-specific courses.
Theoretical Framework
Cochran-Smith and Lytle’s (1999) theory of teacher-learner community uses a
collaborative approach in adult academic learning environments. A teacher-learner
community allows for adult interaction as participants engage in discourse with other
participants. The exchange of ideas and feelings toward writing in the professional
disciplines brought forth possible strategies or methods by which non-writing experts in
the field can implement a writing initiative across the professional disciplines in a non-
traditional university setting. “Discourse is necessary to validate what and how one
understands . . . in this sense, learning is a social process, and discourse becomes central
to making meaning” (Meizrow, 1997, p. 10). Teacher-learner community provided a
collaborative learning environment that permitted transformative learning to occur during
the course of the study. The sub-research questions for this study reflected the five
principles of teacher-learner communities.
Significance of the Study
Nearly 40% of students entering college today require remedial coursework in
basic writing skills (“College Preparedness,” 2012, para. 4). College administrators and
instructors outside English and language arts departments are seeing an increasing
number of students in discipline-specific courses requiring assistance in writing. Half a
decade after WAC was introduced into secondary and postsecondary American
education, many students remained unable to write for academic purpose or write in the
22
discipline with correct grammar and usage (Cavender, 2010; Woodward-Kron, 2009).
This issue created a need for instructors in discipline-specific courses to teach and assess
students’ writing skills in addition to their content knowledge.
In response to the issue of students having deficient writing skills in their major-
specific courses, academic administrators were charged with implementing programs to
help students with writing outside their English courses. An additional purpose of this
study was to recommend instructional methods for implementation and information to
administrators and instructors in the professional disciplines that could be utilized when
planning new writing initiatives across the professional disciplines. Not all academic
administrators possess a formal academic background in writing or language arts.
Likewise, instructors teaching discipline-specific courses also may not possess a formal
background in writing or language arts. Administrators and instructors without a formal
academic background in writing face a situation in many courses of study where students
with writing deficiencies require assistance with using correct standard American English
in addition to needing help to complete content-specific tasks in genre-specific projects.
Current effective teaching writing strategies could be used to guide the development and
implementation of a writing initiative in a non-traditional setting.
Limited research exists on how a non-writing expert within a discipline area can
effectively implement a writing initiative for an institution of higher education. This
study opens possibilities for additional research specifically on the topic of assisting
administrators and faculty members without a formal academic background in writing or
language arts in the implementation of a writing-infused curriculum. More importantly,
if instructors and administrators outside English and language arts departments are able to
23
help students with writing problems in their major-specific courses, students will
graduate with writing skills coupled with content knowledge (Conerly, 2012; Young,
2010). The strategies used to teach writing currently used at traditional institutions can
be helpful for faculty development in a non-traditional setting. Although the population
is different, what is already working at traditional universities needs to be adjusted to
meet the needs of non-traditional students.
Wingate et al. (2011) conducted a pilot study in the United Kingdom (UK) where
faculty mentors from the language department team taught courses with faculty teaching
the professional courses. Although co-teaching was not possible for the current study
given the limitations of the study, this study included faculty participating in a QEP at
MIUAD, which resembled the Wingate et al. study conducted in the UK. At MIUAD,
writing intentionally was incorporated into professional courses identified for the QEP.
This study was designed to provide insight for faculty and administrators
concerning finding useful strategies to assist with implementing a writing-infused
curriculum in the disciplines. This study involved collecting information from the QEP
faculty in order to reveal effective feedback about strategies that can assist administrators
with a non-writing background with implementing a writing-infused curriculum in major-
specific courses in the professional disciplines.
Summary
This chapter provided an overview of this study, the purpose of the study, the
research questions for the study, the significance of the study, and a brief explanation of
the methodology used in the study. This chapter provided a basic depiction of the
theoretical framework on which the data collection process and qualitative survey were
24
based. Despite the limitations of this study, results provide essential information directly
from non-writing faculty who were in a pilot study comprising a writing initiative across
the professional disciplines. Current administrators who do not have a formal
background in writing can use the results of this study to assist faculty in creating a
writing-infused curriculum and assessing writing skills with content in their classrooms.
To provide a more substantial analysis of the nature of the problem and the need
for this study, Chapter 2 includes the results of a literature review focusing on the
following: (a) a selective history of composition studies in academia within the United
States, (b) discussion of the official establishment of the freshman composition course in
undergraduate studies, (c) explanation of the inception and evolution of WAC initiatives
in higher education during the 20th century and their influence on 21th century writing
initiatives, and (d) effective teaching and writing strategies. Chapter 2 reveals the
reasons why the current study was needed on how to create a writing-infused curriculum
in institutions of higher education, specifically within an art and design university
curriculum.
25
CHAPTER TWO: REVIEW OF THE LITERATURE
It has been over half a century since Conant (1945) published the report entitled,
General Education in a Free Society: Report of the Harvard Committee, and proclaimed
education should no longer be for the rich and elite, but democratized for every citizen.
The report reinforced what college students today consider the core requirements when
earning an undergraduate degree and led to the creation of a cluster of courses called
general education, housed in the liberal arts area (Conant, 1945). All students take
general education courses as part of their coursework toward earning a baccalaureate.
The establishment of general education courses in higher education, such as English
composition, mathematics, natural science, history, and philosophy, was intended to
provide a foundation for the professional life and participation of students in society
(Altbach, Gumport, & Berdahl, 2005; Conant, 1945; Lucas, 2006; Young, 2010;
“Reading & Writing,” 2011). Following the publication, “General education was
promoted as that part of the students’ whole education which looks first of all to his or
her life as a responsible human being and citizen” (Conant, 1945, p. 51). The focus of
this review of the literature was college-level writing courses and their contribution to
higher education, specifically how WAC initiatives that burgeoned out of the liberal arts
studies during the mid-20th century have influenced current writing initiatives within the
disciplines (Bordelon, 2010; Condon & Rutz, 2012). For the last 50 years, writing
proficiency initiatives have been embedded into the acquisition of an undergraduate
degree. Today, the topic of student writing proficiency is prominent throughout the
academic community particularly because new college graduates are required to have
good written and oral communication skills in the workplace (Cavender, 2010; Defazio et
26
al., 2010, p. 34; Fernsten & Reda, 2011, p. 180; Forman, 2008, p. 211; Helstad & Lund,
2012, p. 599).
The groundwork for current writing initiatives derived from the original WAC
movement of the 1970s and 1980s. Much of the data available on WAC from current
studies relate to WAC tenets from that time and came primarily from traditional
academic institutions. Current research data on basic WAC principles in the disciplines
are needed, particularly within non-traditional university settings such as art and design
universities (Brent, 2012; Condon & Rutz, 2012; Kellogg & Whiteford, 2009).
Moreover, data from studies concerning the WAC movement conducted within
professional as well as art and design colleges and universities are virtually non-existent
(Brent, 2012; Condon & Rutz, 2012; Kellogg & Whiteford, 2009). Research into
methods that media and design faculty can use to infuse writing into the classroom is not
readily available. A primary purpose of this study was to use available research on
current WAC pedagogies, trends, and their application in higher education to understand
how academic administrators without a language arts background and a non-traditional
academic degree in media or design (i.e., graphic design, interior design, audio
engineering, or fashion) can implement writing in the classroom.
The review of the literature contains an exploration of the development and
implementation of WAC in higher education and its significance in writing pedagogy
today, specifically in art and design universities. Many students with bachelor’s degrees
in professional disciplines, such as graphic design, interior design, audio engineering, and
fashion, are becoming participants in the current workforce and are expected to possess
good oral and written communication skills when they begin working after graduating
27
from college (Conerly, 2012; Zumbrunn & Krause, 2012). Students entering art and
design professional fields are developing company websites, creating online advertising,
and designing business logos in today’s cyber world. Students who graduate in the areas
of art and design (i.e., design media) are producing both images and words to explain
concepts (Zumbrunn & Krause, 2012). Hassel (2013) identified a gap in the research on
writing instruction and skill acquisition and the use of technology. Writing in a scholarly
manner is an extremely important skill for success in the fields of art and design.
Due to the increased demands of today’s workforce, increased numbers of adult
working students are returning to college (Perelman, 2011; Zumbrunn & Krause, 2012).
To meet the needs of adult working individuals returning to college to earn a degree, for-
profit and non-traditional university programs have become an important component of
higher education due to their flexible study hours, course offerings, and online programs.
“The majority of large U.S. companies consider writing ability when making hiring and
promoting decisions” (Zumbrunn & Krause, 2012, p. 346) and leaders at these non-
traditional institutions are also trying to address the issue of students’ writing deficiency
(Berrett, 2013; Kellogg & Whiteford, 2009).
Research on how to address student writing problems is needed in the area of non-
traditional institutions of higher learning. Information is needed for administrators and
faculty without a formal background in language to use to implement a writing-infused
curriculum across professional disciplines (Brent, 2012; Condon & Rutz, 2012; Kellogg
& Whiteford, 2009). Because the importance of writing proficiency has transgressed the
boundaries of the liberal arts and entered the professional sphere, academic professionals
outside language arts departments are confronted with having to deal with assessing
28
student writing in the disciplines (Altbach et al., 2005; Fernsten & Reda, 2011; McLeod
& Soven, 2000; Perelman, 2011). Over the last 50 years, changes in admission standards,
core curriculum, and regional accreditation standards have triggered the need for faculty
without a formal academic background in the language arts to assess students’ basic
grammar skills and usage within discipline-specific academic situations (Altbach et al.,
2005; Bazerman et al., 2005; Condon & Rutz, 2012; Lucas, 2006; McLeod & Soven,
2000). Over the last 15 years, several other gaps in the teaching of writing, such as
technology, diversity, and curriculum alignment, have become evident and are discussed
in this chapter (Hassel, 2013).
This review of the literature addresses the gaps that exist in research on writing intensive
curriculum in the media arts and design area. This chapter includes an analysis of: (a)
history of infusing writing across the professional disciplines, (b) freshman composition
and general education, (c) writing across the curriculum (WAC), (d) teaching writing
strategies and WAC implementation today, (e) effective strategies for the teaching of
writing, and (f) research gaps in teaching college English
History of Infusing Writing Across the Professional Disciplines
The importance of written and oral communication skills is not a new
phenomenon in higher education. The Yale Report (Yale University, 1828) asserted that
higher education should lay the “foundation” for a general education:
The course of instruction, which is given to the undergraduates in the college, is
not designed to include professional studies. Our object is not to teach that which
is peculiar to any one of the professions; but to lay the foundation which is
common to them all. There are separate schools for medicine, law, and theology,
connected with the college, as well as in various parts of the country; which are
open for the reception of all who are prepared to enter upon the appropriate
studies of their several professions. With these, the academical [sic] course is not
intended to interfere. (Yale University, 1828, p. 9)
29
General education courses should provide students with a common knowledge
base of mathematics, ancient and modern English literature, logic, rhetoric, oratory,
written composition, and physical sciences (Lucas, 2006). The Yale Report of 1828
(Yale University, 1828) also established the need to teach students how to think critically
through the development of a thesis statement and the investigative process of empirical
evidence in an academic essay to support their thesis statement (Lucas, 2006).
Furthermore, the document contained the assertion that a “thorough education should
consist of those elements common to the needs of everyone” (Lucas, 2006, p. 133). In
essence, Yale Report of 1828 was one of the first documents that specifically mentioned
written composition as a staple in American higher education, proof that the importance
of writing proficiency is by no means a 20th century phenomenon.
Nearly 40 years after the Yale Report of 1828 (Yale University, 1828) was
published, leaders of parochial, denominational, and private colleges and universities
tried to fully embrace the idea of a “common” foundation in the arts and sciences:
biology, philosophy, logic, grammar, rhetoric, Latin, and mathematics (Lucas, 2006. p.
153). However, to ensure all college students had access to core courses, the federal
government passed the Morrill Land Acts of 1862 and 1890, which established land-grant
or state universities. State institutions would be responsible for providing graduates with
the knowledge and skills they needed to be responsible citizens in a democracy as well as
part of the workforce (Lucas, 2006).
With the Morrill Acts of 1862 and 1890 came a new educational concern related
to preparing the average citizen both intellectually and practically to participate in the
workforce, which included writing proficiency (Lucas, 2006, p. 156). Enrollment of non-
30
White, upper class men declined, increasing the cultural and academic diversity in higher
education. The establishment of a common core for all baccalaureate candidates
attending state universities served as an initial response to the demographic changes in
higher education that occurred during the earlier 19th century and was designed to ensure
all graduates, regardless of socio-economic background, obtained a foundation in the
liberal arts despite their chosen professional fields (Lucas, 2006).
The emergence of state universities changed the mission of higher education until
the present day because they initiated open access to higher education. Congressman
Justin Smith Morrill, the founder of the Morrill Land Acts, wanted land-grant universities
to “promote the liberal and practical education of the industrial classes in the several
pursuits and professions of life” (as cited in Lucas, 2006, p. 154). The combination of the
Morrill Land Grant Acts and adoption of open admissions policies helped dilute the
homogenous male, upper class student population and provided more citizens with the
opportunity to obtain a college education (Crowley, 1998; Lucas, 2006).
Prior to the Morrill Land Grand Acts of 1862 and 1890, university students
learned the practical knowledge and skills of a profession through apprenticeship rather
than in a classroom. By adding a common core curriculum in the arts and sciences to
students’ major courses, new land-grant universities in the United States provided
students with the practical and professional skills of commerce and business
management, as well as the traditional subjects of philosophy, German, philology, and
political science (Lucas, 2006, p.135, 173). Professors in state intuitions taught students
how to be well-rounded citizens through general education common core courses,
31
allowing college students to acquire both the theoretical and practical knowledge they
needed to succeed in the professional and public arenas.
Freshman Composition and General Education
During the late 20th century, the freshman composition course gained much
attention from academians associated with some of America’s most prestigious
universities. Writing initiatives of the 20th century would have not been possible without
contributions from literary scholars such as Eurich, Richards, Elbow, Britton, Barnes, and
Rosen, who proposed a change in the teaching of freshman composition in the United
States. They believed the traditional method of teaching writing through students’
interpretation and analysis of classical works of literature was lacking a connection to
students’ major courses. Therefore, these early scholars in the field of writing began to
examine how students could apply the writing skills they obtained in their composition
courses to their content-specific writing assignments, referred to as writing in discipline
(Bazerman et al., 2005; Bordelon, 2010; Condon & Rutz, 2012; McLeod & Soven, 2000).
In this review of the literature, Eurich, Richards, and Britton are the primary figures
discussed as they were involved with the writing initiatives in the early 20th century.
Before the existence of the freshman composition course, the ability to express
oneself in English in a scholarly manner was a component embedded in liberal arts
courses rather than a specific course or skill set students learned while completing their
degrees (Lucas, 2006). In 1896, under the title “English A,” leaders at Harvard
University created the freshman composition course (Kellogg & Whiteford, 2009, p.
174). The course resembled a course that had been offered at Harvard, Yale, and William
and Mary since the 1600s. The original writing composition course of the 1600s
32
prepared young men for civic duty, embedded specifically in literary rhetoric focusing on
morals and ethics (Crowley, 1998). However, the revised freshman composition course
of the 19th century aimed at addressing writing skills specifically and dealt not so much
with rhetoric or ethics. Writing assignments in the course were skill-based and focused
on improving new students’ oral and written communication skills.
In 1911, after gaining affirmation from the Modern Language Association
(MLA), the National Council of Teachers of English (NCTE) reaffirmed the freshman
composition course as the academic environment that would specifically address student
writing skills (Kellogg & Whiteford, 2009). These two organizations placed the
freshman composition course, “English A,” on the map as a part of the academic
curriculum in higher education. Students who enrolled in universities were expected to
complete a first-year English course as a prerequisite to some of their upper division,
major-specific courses. The freshman composition course offered students the
opportunity to sharpen their writing skills through the study of literary analysis and
rhetoric of poetry, logic, and argumentation (Britton, 1965).
In order to reaffirm the importance of teaching writing skills in higher education,
in 1929 Ruth Mary Weeks, the second female president of the NCTE, promoted an
“interdisciplinary curriculum project” (Bordelon, 2010, p. 258). Her definition of what
comprised a true writing curriculum included the totality of human communication,
“reading, listening, speaking, and writing,” which means the ability to share and discuss
ideas with peers in a group or on an individual basis (Bordelon, 2010, p. 258). Weeks
published A Correlated Curriculum, which provided effective strategies for teaching
writing. Her approach to teaching and learning writing supported fully integrated writing
33
approaches (Bordelon, 2010, p. 258). The report showed support “to integrate classroom
activities . . . with student experience . . . with each other . . . and with the total pattern of
the world in which we live” (Bordelon, 2010, p. 258). In other words, in this theory,
students learn best when they can relate their writing assignments with their lives and
discipline-specific subject matter.
However, despite Weeks’ efforts to support the integration of teaching writing in
the disciplines, the academic community continued to focus on the new freshman
composition course and how it would be the vehicle through which students learned
proper writing skills and etiquette (Bordelon, 2010). Weeks’ approach to teaching and
learning integrative writing included “vocational education, to social studies, to
reforming the teaching of English, to challenging traditional gender constraints . . . of the
time” (Bordelon, 2010, p. 258). The practice during Weeks’ time was to teach writing
and composition as a separate skill rather than as part of content matter.
Composition courses addressed students’ writing skills based on their ability to
read and respond to literary works, separate from discipline-specific writing tenets
(Yageleski, 2012, p. 189). At the time, the question of whether writing skill knowledge
transferred from the English classroom to the discipline-specific classroom remained
unaddressed. “Traditional approaches to [writing] pedagogy . . . tended to be largely
prescriptive and academic, highlighting individual achievement rather than group
cooperation” (Bordelon, 2010, p. 258). The transfer of knowledge between the writing
class and the discipline-specific classroom would come to fruition during the WAC
initiatives of the 21st century through vertical legitimacy of the curriculum and horizontal
outreach. WAC pedagogy of the 21st century focuses on the collective acquisition of
34
writing knowledge rather than individual student writing abilities. The result of a
psychological investigation of cognition and learning when applied to learning writing
skills was a primary influence in academicians’ change of heart toward writing
proficiency as an isolated skill (Bordelon, 2010).
During the first half of the 20th century, writing within the freshman composition
course was taught aside from the professional disciplines. Freshman composition courses
relied on philology, the practice of studying written texts within their historical context
and how they reflect that historical period, and literary studies rather than content-
specific writing tasks such as a business plan or proposal (Bazerman et al., 2005).
Professors teaching first-year composition designed the course outcomes to reflect
students’ abilities to interpret and respond to literary texts as well as to create and support
argumentation with logic and rhetoric. Freshman composition class exit competencies
were based on “general cognitive facilities” (Bazerman et al., 2005, p. 17), which were
often not the same as exit competencies in discipline-specific courses.
Weeks’ work went virtually unrecognized early on until the publication of The
Philosophy of Rhetoric during the 1930s (Richards, 1936). Richards (1936) proposed
that for written and oral communication to improve, students must practice these skills
not only in English courses but in their discipline-specific courses as well (Bazerman et
al., 2005; Spafford, 1943). However, despite initial attempts to teach composition along
with content matter, writing instruction and content material remained separated from
non-liberal arts subjects. Professors teaching discipline-specific courses considered an
introductory writing course in the discipline to be intellectually “broad” and a dilution to
the courses taught in various majors (Lucas, 2006, p. 222). Therefore, faculty outside
35
language arts departments preferred English professors to teach students how to write
correctly.
During the mid-20th century, concern related to teaching writing from a strict
literary and rhetorical perspective became the focus because students had difficulty
applying the writing skills acquired in the freshman composition course to other courses
(Bazerman et al., 2005, p. 17). In response to the concern of teaching writing from a
strict literary and rhetorical perspective, in 1945 the Harvard Report on General
Education “pronounced that a judicious sampling of the basic disciplines would compose
the foundation for a liberal arts education” (Altbach et al., 2005, p. 62). The Harvard
report presented the teaching of writing related only to literary analysis and classical
rhetoric as outdated given the change in student demographics of the 1950s and 1960s
that occurred due to the introduction of the GI Bill (Altbach et al., 2005; Lucas, 2006).
Writing courses within the liberal arts began transforming writing initiatives to blend
language and composition with the “disciplinary modes of thought . . . listening,
speaking, reading, and writing” (Bazerman et al., 2005, p. 19).
Due to the enactment of the GI Bill in 1944, which enabled returning war veterans
to attend colleges and universities through government funding for the first time in
history, enrollment in colleges and universities across the United States increased from
30% to 45% (Altbach et al., 2005, p. 60). Due to the large influx of veterans with little to
no postsecondary education who had been out of school for years, a resurgence of the arts
and sciences occurred in higher education. With the change in demographics, writing
again became a focus of the academic community.
36
Writing Across the Curriculum (WAC)
In part, the roots of WAC stem from Eurich’s research on rhetoric and pedagogy
of the 1920s. Eurich was an educational psychologist and professor of education at
Northeastern University and Stanford University. He believed the increase in college
enrollment between 1910 and 1930 called for a revision of the college curriculum and
that a return to a general education core was needed (Spafford, 1943, p. 18). Over a
century after the publication of the Yale Report of 1828 (Yale University, 1828), scholars
of rhetoric and composition attempted to bring back the idea that a college education was
to incorporate both content knowledge as well as a general knowledge base. In 1932,
Eurich established the “General College” (Spafford, 1943, p. 18). Scholars in agreement
with Eurich believed:
Every aspect of a truly vital education partakes of life itself; the school becomes a
school of living . . . learning is seeing living through novel situations . . . the
curriculum becomes the very stream of dynamic activities that constitutes the life
of the young people and their elders. (Ruggs, as cited in Spafford, 1943, p. 23)
The idea of learning in relation to one’s personal experience would become key in the
pedagogy of progressive education as promoted by Bruner a decade later.
Eurich’s work is recognized as an essential component of compositional studies.
A presentation of his Minnesota research study results at the 1931 NCTE meeting
revealed students did not improve writing skills in a semester when comparing their pre
and post essay samples. Eurich’s ideas and research would not be scrutinized for almost
3 decades until the establishment of the Academy for Educational Development (AED) in
1961. His work in the classroom and research confirmed that writing was not only a
skill, but also a “process” (Bazerman et al., 2005). More specifically, he became
interested in the transfer of knowledge from one subject to another. He discovered, after
37
reading Dewey’s psychology of learning, that language is used to “organize and maintain
social groups, construct meanings and identities, coordinate behavior, mediate power,
produce change, and create knowledge” (San Diego State University, n.d., para. 1).
Human understanding and processing of new knowledge are facilitated through a process
of association––students understand new information and skills if they are able to relate
them to something familiar and pertinent to them. This is possible though learning within
a community and social interactions with others with similar experiences (Dewey, 2008).
Eurich’s ideas on learning in relation to human experience, the central idea that
writing should be taught in relation to a student’s discipline, gained psychologists’
attention. Dewey embraced the idea of “learning communities” to support collaborative
and contextual learning. Dewey equated subject matter knowledge to human beings’
social experience:
Any problem of scientific inquiry that does not grow out of actual (or “practical”)
social conditions is factitious . . . That which is observed, no matter how carefully
and no matter how accurate the record, is capable of being understood only in
terms of projected consequences of activities . . . Problems with which inquiry
into social subject-matter is concerned must, if they satisfy the conditions of
scientific method, (1) grow out of actual social tensions, needs, “troubles”; (2)
have their subject-matter determined by the conditions that are material means of
bringing about a unified situation, and (3) be related to some hypothesis, which is
a plan and policy for existential resolution of the conflicting social situation.
(Dewey, 2008, p. 499)
Dewey’s philosophical approach to education suggests human beings process knowledge
in a scientific manner and learn and process new information based on their observations
and direct interactions with new information as related to their personal experiences.
Dewey’s embrace of contextual learning would influence the progressive
education movement during the 1950s and 1960s. This point of view supports the idea
that the “content teacher must see that these general [writing] principles are used
38
wherever they apply in his assignment and must also teach the special reading, writing,
vocabulary, and spelling skills particular to his subject” (Weeks, as cited in Bordelon,
2010, p. 265). Dewey’s theories of psychology provided a framework for teaching
writing across liberal arts and sciences courses. Following Dewey’s pedagogy, Bruner
(1974) was instrumental in establishing a hands-on writing curriculum that did not
depend solely on the interpretation and analysis of literary texts within an English
department as it had in the past (Bazerman et al., 2005; Bordelon, 2010; Bruner, 1974;
Crowley, 1998; Lucas, 2006).
Progressive Education and WAC
Following Dewey’s ideals, Bruner was a student under Richards and considered a
leading figure in progressive education. According to the tenets of progressive education,
students acquire knowledge and skills through their relation of the material to personal
experience. Progressive education is founded upon the experiential learning model,
which states that the acquisition of knowledge is based on experience. With Bruner
(1974) specifically, the idea of a functional cognitive process incorporates experience as
an essential component of the learning process (p. 106). In other words, learning occurs
as a function in the brain by relating new information to existing information stored in
human memory, as well as human social interaction, such as that which occurs in a
learning community. Bruner believed that children:
Acquire not only a way of saying something but a powerful instrument for
combining experiences, an instrument that can now be used as a tool for
organizing thoughts about things . . . that words are invitations to form concepts.
(p. 105)
This is another way of saying students learn language both as a skill and as an activity to
use in context. Writing “in context” allows for the transfer of subject matter knowledge
39
and skill, in this case writing composition. One type of contextual writing is “self-
reflective” writing, or writing about one’s experiences, an activity students can complete
in just about any course they are taking (Fernsten & Reda, 2011, p. 180). Psychologists
and educators together began to understand the concept of writing as a process that needs
to occur in context or in the discipline. Writing in discipline reinforced the idea that
students learn best when new information is related to real life situations, as Eurich and
Dewey had proposed.
Britton was instrumental to WAC initiatives in higher education. In The
Development of Writing Abilities, Britton (1965) addressed the fact that teaching writing
from a solely literary and rhetorical perspective is counterproductive because learning in
a community and in the context of a situation are essential for the transfer of knowledge
(Bruner, 1974; Fernsten & Reda, 2011). Britton used the term advanced composition to
mean writing as being both an active and passive activity that “includes the writer in both
the participant and spectator roles” (Pelez, 1982, p. 2). Britton stressed the importance of
self-reflective writing. Instead of teaching students how to write using interpretation of
other authors’ texts, as freshman composition had originally been structured, under
Britton’s theory students would combine their analysis of others’ texts in relation to their
own ideas and experiences.
Britton (1965) focused on composition studies and his ideas reflected those of
early composition scholars, such as Weeks and Eurich, who supported incorporating
writing into students’ lives and in discipline-specific courses. Because of his belief that a
writer was producing text while experiencing an event, Britton advocated situational
writing. Situational writing is writing that occurs within a social context based on one’s
40
personal experience or situation within a group of peers. “Its subject matter perforce
draws heavily upon the personal experience and knowledge of the writer, no matter what
the nominal topic of that writing might be” (Pelez, 1982, p. 4).
An important landmark in progressive education through its emphasis on
experiential knowledge and the importance of students’ understanding of writing within
disciplines was Britton’s article entitled “Language and Learning,” a staple in the Bullock
Report (Bullock, 1975). The article included information highlighting the importance of
teaching writing along with content, reflective of Dewey’s principle that learning is
“experiential awareness” (Bazerman et al., 2005, p. 21). The writer and the context in
which the writing occurs were of equal importance to Britton, as they would be to WAC
initiatives of the early 21st century because recent studies show an increasing number of
universities with WAC initiatives (Perelman, 2011; Thaiss & Porter, 2010). In addition,
regional accreditation bodies, such as SACS, are requiring assessment of student writing
across the disciplines to be a component of the accreditation process (SACSCOC, 2012).
Infusing Writing in Discipline
Following the educational philosophies of Dewey and Britton, psychologist
Vygotsky developed a theoretical framework called Social Development Theory (SDT)
during the late 1970s and 1980s. Vygotsky’s theory of SDT stresses the importance of
interacting with other members of society in the development of cognition (McLeod,
2013, para. 2). Vygotsky’s SDT was a major influence on educational pedagogy as it
incorporates the idea of experiential learning, an essential component of progressive
education. Vygotsky’s use of SDT supported Britton’s idea that students improve writing
skills when they apply them to discipline courses and transfer knowledge more
41
effectively from composition courses to the their major courses in a community of
learners (McLeod, 2013). By the early 21st century, progressive education was at the
forefront of WAC initiatives in higher education.
By the late 1990s, over 50% of universities had a WAC component in the
curriculum (McLeod & Soven, 2000), evidence that student writing proficiency was
important to both faculty and administrators. Students were being asked to write papers
in most of their classes, even within their majors. Yet some proponents of WAC argue
that assigning a research paper for class does not constitute a true WAC initiative.
McLeod and Soven (2000) subscribed to Britton’s idea of “transactional writing,” more
commonly referred to as self-expressive or exploratory writing.
This type of writing is used to bring together the idea of writing within a context,
or writing in an environment to which the student can relate and share personal
experience that is associated to a present situation, such as a class assignment. Dewey’s
idea of “functional cognition” combines understanding new knowledge with social
context as developed by personal experience. In other words:
Knowledge is not passively received . . . but is actively constructed by each
individual learner . . . One of the most powerful ways of helping students build
and change their knowledge structures is to have them write for themselves as an
audience. (McLeod & Soven, 2000, p. 3)
Through his theory of transactional writing, McLeod and Soven (2000) aligned
WAC with the theoretical foundations of Britton and Dewey. Learning through
discovery, experience, and social interaction within a learning community were important
concepts in teaching WAC during the early 21st century and still are today (Crowley,
1998). An example of early integration of writing across the disciplines was conducted at
MIT.
42
MIT’s WAC initiative early in the 21st century provided an example of WAC
within a discipline-specific community of learners. The initiative at MIT could be
considered a stepping stone for writing initiatives in non-traditional, professional
universities in the media arts and design because it was WAC outside the traditional
liberal arts setting, a first for its time (Perelman, 2011). In 1983, senior academic
administrators at MIT worked diligently to establish a writing requirement for all
graduates. The basic structure of MIT’s WAC program consisted of a team-taught
approach, which included junior faculty working with lower division science and
technology courses and senior faculty working with upper division courses and graduate
students.
The union of skill, eloquence, and subject matter prowess was the driving force in
a writing-infused curriculum. Faculty training for WAC during its inception in the 1970s
and 1980s included collective learning communities. Faculty members from the English
department would exchange ideas with faculty members outside the language arts
department to create assignments and activities that would allow students to write within
their major-specific courses (McLeod & Soven, 2000, p. 10). Ideally, faculty learning
communities working on a WAC initiative worked together as equals—English
professors were connoisseurs in diction and discipline-specific professors were content
experts (Wingate et al., 2011).
WAC During the 21st Century
By the late 20th century, infusing writing instruction with content was common in
higher education. By 2004, effective writing skills had become a requirement for a
majority of companies hiring college graduates in the United States (Zumbrunn &
43
Krause, 2012, p. 346). McLeod and Soven (2000) argued that WAC’s popularity seems
to have pushed the movement away from its pedagogical foundation and into less
structured academic situations. The English composition course has ceased to be the
center of WAC. According to McLeod and Soven, “The curricular elements of WAC
programs are various and institution specific, differing widely from campus to campus.
The most obvious—and most neglected—course in WAC planning is freshman
composition” (p. 5). Because of such scholars as Bruner, Dewey, Britton, and Vygotsky,
professors across the disciplines formed ties to WAC initiatives. Professors within higher
education in the 21st century were convinced that the transfer of knowledge occurred
when students learned and processed new information within a contextual, social, and
personal academic situation. Thus, writing across the disciplines was accepted as the
way graduates applied writing skills learned in college to a professional environment
(Thaiss & Porter, 2010).
The teaching of writing during the early 21st century has become part of all
disciplines. Regardless of whether a professor has a formal background in the language
arts, he or she is expected to address student writing issues in the classroom. Thaiss and
Porter (2010) noted that at the beginning of the 21st century WAC was no longer as
faculty-driven as before. The majority of attendees at WAC-related conferences during
the early 2000s were academic administrators, not faculty (Perelman, 2011, p. 535).
Unlike the past 20 years, WAC during the 21st century has become a collaborative effort
among administration and faculty.
In early 21st century studies on WAC, such as those by McLeod and Soven
(2000) and Bazerman et al. (2005), the authors emphasized that a successful writing
44
pedagogy across the curriculum and in the discipline-specific classroom could only be
possible through the collaboration of language arts faculty, freshman composition
professors, writing center tutors, and college administrators. A technical writing course
offered by the various discipline departments can be “team-taught” with a faculty
member from the English department and a faculty member from the science department
(Perelman, 2011, sect. 1). This is a valid example of the union between the language arts
and the professional disciplines. It is a team effort to make a course like this work.
By 2005, much of the WAC materials were readily available digitally and
acknowledged globally (Thaiss & Porter, 2010, p. 536). Thaiss and Porter (2010)
developed a survey for administrators and discovered many of the same people who had
been involved in WAC programs during the 1980s were still running WAC programs.
The survey results revealed 568 institutions of higher education had some type of WAC
program in 2008 (Perelman, 2011; Thaiss & Porter, 2010, p. 540). Thirty-five percent of
universities in the United States have a WAC program, indicating that infusing writing in
and across the disciplines is still very much alive in higher education despite the decrease
in scholarly activity on the subject for the past decade (Perelman, 2011; Thaiss & Porter,
2010, p. 540).
According to Yageleski (2012), effective writing instruction needs to be a
collaborative effort. The collaborative nature of the technical writing course alludes to a
WAC system that can be a reflection of a university culture (Fernsten & Reda, 2011, p.
173; Woodward-Kron, 2009). Administrative support is essential in WAC initiatives;
therefore, faculty and university administration need to work together on university-wide
writing initiatives. Professors across the disciplines are engaged in teaching students how
45
to transfer the skills learned in English composition into discipline-specific courses.
Yageleski believed “writing can—and should—be a vehicle for individual and collective
transformation” (p. 189).
One reason students lack writing proficiency in the art and design disciplines may
be insufficient research-based evidence of WAC working inside discipline-specific
classrooms within an art and design academic institution of higher education. Current
WAC theories and applications used today are based on data from WAC initiatives at
traditional colleges and universities (Defazio et al., 2010; Woodward-Kron, 2009).
Without a workable research base or recent data from WAC programs within professional
universities in the media arts and design, researchers must develop studies and programs
based on existing WAC data and research. Thus, a concern is the majority of the existing
data originate from studies conducted at traditional colleges and universities, not
professional studies programs (Kahn & Holody, 2012; Wingate et al., 2011).
Research on WAC within an art and design university would enrich existing data
on WAC conducted at traditional institutions, yet take into consideration students who
are studying media and design and working within the media and design industries after
graduation. Further investigation of writing needs within the context of an art and design
regionally accredited institution of higher education would add to existing data based on
past research studies of the late 20th and early 21st centuries. “Permanent success in the
WAC movement will be established only when writing faculty and those from other
disciplines meet half way, creating a curricular and pedagogical dialogue that is based on
and reinforced by research” (Jones & Comprone, as cited in Condon & Rutz, 2012, p.
358). In other words, WAC initiatives will be even more beneficial when faculty and
46
administrators from different areas of higher educational, such as traditional and non-
traditional academic settings, are exposed to effective strategies to teaching, assessing,
and infusing writing initiatives across both traditional and professional disciplines
(Condon & Rutz, 2012).
Recent data from studies conducted in the last decade show 80% of high school
graduates write at a basic level, a quarter of that number write at a proficient level, and
about 1% write at an advanced level (Yageleski, 2012). Sixty percent of incoming
freshmen are required to take remedial English (Gruenbaum, 2012, p. 111). Because
college-level writing proficiency has become so important in obtaining employment after
graduation, many WAC programs have burgeoned in primary and secondary educational
settings as a way to better prepare high school graduates for college-level writing courses
(Gruenbaum, 2012).
In one example of a response to the low-level writing skills of entering college
freshman, the National Commission on Writing (NCW, 2003) published The Neglected
“R”. This study proclaimed writing to be “an essential skill for the many . . . that helped
transform the world” (Yageleski, 2012, p. 188). Specifically, the NCW report stated
“writing is everybody’s business, state and local curriculum guidelines should require
writing . . . at all grade levels” (p. 5). Within an art and design university, this is
extremely important because students are earning academic degrees for competitive
positions in the multimedia industry.
Current Implementation of WAC
As previously mentioned, good writing skills are key to securing a position for
today’s college graduate. For this reason, the Council of Chief State School Officers
47
(CCSSO, 2012) recently implemented the Framework for English Language Proficiency
Development Standards corresponding to the Common Core State Standards (CCSS) and
the Next Generation Science Standards in Miami Dade County Public Schools (MDCPS).
This framework aligns writing, science, and math course outcomes to first-year
college-level math and English courses, an example of vertical legitimacy (Mendenhall,
2010). Secondary schools in this district are attempting to establish English Language
Proficiency (ELP) standards across the curriculum. The ELP initiative aims to bridge the
gap between students’ writing proficiency out of high school into college or the
workplace. These new standards in MDCPS are based on Florida’s adoption of the
common core state standards (CCSSO, 2012).
Since 2010, 40 states have adopted the CCSS for literacy across the curriculum in
primary and secondary education (CCSSO, 2012; Vander Ark, 2013). CCSS utilizes the
Literacy Design Collaborative (LDC), a “task-central” framework in which teachers and
students are equally responsible for reading and writing instruction (Vander Ark, 2013).
Under LDC, teaching and learning reading and writing are connected, a responsive
system through which teachers and students work together in the alignment of the oral
and written communication skills necessary in college and the workplace (Vander Ark,
2013, para. 6). The alignment of writing with the professional environment within
secondary and postsecondary education (i.e., vertical legitimacy) has become the focus of
writing initiatives in the 21st century.
In the 2012 International Writing Across the Curriculum Conference agenda, over
a dozen workshops and seminars focused on expanding writing efforts in the professions
and overcoming challenges in higher education today. The need to ensure students
48
graduate from college with a solid understanding and ability to apply scholarly writing
skills at work has become a priority in education as a whole. Writing as a function and
reflection of one’s experience has become part of most universities’ curricular structure.
“Writing in the disciplines is best understood not as interchangeable with writing across
the curriculum but as an alternative orientation with far-reaching implications for the role
of writing and writing instruction at all educational levels” (Monroe, 2003, p. 4).
In the last decade, institutions of higher education have embraced WAC and in
some cases adopted the model as a part of faculty development and accreditation
initiatives. For example, Cornell University’s John S. Knight Institute for Writing in the
Disciplines is one of the first and largest program initiatives that attempts to bring
academic writing into content-specific situations. The writing program at Cornell offers
over 300 writing seminars, 60 of which are discipline-specific, a prime example of how
writing instruction has surpassed the boundaries of the English classroom.
Cornell’s creation of the John S. Knight Institute for Writing in the Disciplines
emphasized the importance of teaching writing alongside content. Increasingly, WAC is
being implemented across professional and academic associations. For example, the
Council on Social Work Education (CSWE) as recently as 2012 implemented WAC in
programs under its accreditation. “CSWE’s 2008 Educational Policy and Accreditation
Standards lists a demonstration of effective written communication (p. 4) as a practice
behavior characteristic of all social workers” (Kahn & Holody, 2012, p. 71). The CSWE
WAC program objectives include genre-specific writing skills and vocabulary. Within
the CSWE WAC initiative exist benchmarks assessment outcomes, such as having
students read more genre-specific literature, practice summarization skills, detailed
49
records on patients, understanding of how to obtain academic assistance with their
writing, as well as learning how to proofread and identify strengths and weaknesses in
writing (Kahn & Holody, 2012).
Moreover, in an attempt to address student writing proficiency issues in British
schools, Wingate et al. (2011) studied the implementation of a WAC initiative between
universities in different countries. These researchers found the same problem in
conducting their study––the lack of quantitative data on WAC outcomes, particularly on
universities from different countries working collaboratively. “Only a few examples of
discipline-specific writing instruction have been reported . . . The dominant approach to
teaching writing at UK universities is still extra-curricular and generic” (Wingate et al.,
2011, p. 70).
Teaching Writing Strategies and WAC Implementation Today
Professors across the disciplines are being asked to implement writing in the
classroom; thus, it is important to establish some basic strategies and share information
about what is being done in WAC initiatives currently as well identify gaps in the
research that need to be addressed by scholars in writing and composition. Recently,
Hassel (2013) conducted a meta-study on current gaps in teaching English at the college
level. His findings are important for the current study given the nature of this study.
Because the current study was designed to address WAC in an art and design institution,
understanding research needs in traditional academic settings is valuable. The
importance of understanding gaps in the research of teaching English, as well as
strategies that are currently being used in WAC in traditional settings, assisted in the
analysis of the findings for this study.
50
According to Hassel (2013), there are specific areas where research is needed in
current WAC initiatives: diversity, technology, and methodology and pedagogy (i.e.,
course design). After reviewing over 100 articles concerning the gap areas in current
WAC published studies, he concluded these gaps have occurred primarily during the last
15 years. He concluded that the teaching of English has not only surpassed freshman
composition, but also composition as a discipline per se. In other words, Hassel’s meta-
study revealed students require writing instruction in their English classes as well as in
their disciplines.
In addition to Hassel’s findings (2013), a recent study from the Conference on
College Composition and Communication (CCCC) presented information concerning
how writing instructors and students experience writing instruction across the curriculum
(Addison & McGee, 2010). In their study, which used data collected through the CCCC,
findings showed students learn writing best outside the traditional English classroom.
Addison and McGee (2010) recommended that literacy head in the direction where
writing instruction occurs only in the disciplines unless a student is a literature or liberal
arts major (p. 148). This recent stipulation based on the CCCC’s findings supports the
purpose of the current study, which was to address writing instruction in the professional
disciplines. Addison and McGee used the term deep learning to indicate writing done
“beyond school” (p. 148). Writing in the professional disciplines, in a non-traditional
setting, could be considered writing beyond school.
Moreover, the Consortium for the Study of Writing in College recently initiated a
partnership with the Council of Writing Program Administrators (Addison & McGee,
2010). Emphasizing the need for collaboration between faculty and administration is
51
essential in implementing a WAC initiative. The recent partnership between these
organizations is proof that the academic community is moving in the direction of
academic and administrative collaboration. More research is needed surrounding how
collaboration between non-writing administrators and faculty can help in the
implementation of a WAC initiative (Hassel, 2013), which was the primary goal of the
current study.
Available research on current WAC initiatives has shown writing for the
professional environment is essential in a student’s college career. Among the supporters
of this idea is the NCW. According to Addison and McGee (2010), the NCW showed
that over $3 million is spent on training employees to improve their professional writing
skills (Addison & McGee, 2010). With major corporations employing eight million
people in the United States, it can be assumed that employers would want to cut training
costs and hire employees with good oral and written communication skills (Addison &
McGee, 2010; Conerly, 2012). Therefore, the question remains: How do universities
train non-writing faculty in teaching students writing throughout the curriculum so
students graduate with both academic and professional writing skills?
Effective Strategies for the Teaching of Writing
With limited research on non-writing faculty teaching writing in the classroom,
researchers must rely on existing data for information concerning effective teaching
strategies already practiced in a traditional composition class. Some specific strategies
that have been proven effective in both the teaching and learning of writing are vertical
legitimacy, horizontal outreach, and deep learning and having a scale-based system of
evaluating student writing. For both non-writing program administrators trying to
52
implement WAC and instructors without a formal background in the language arts, these
three components are essential in teaching, learning, and implementing writing skills in
any discipline. A scale appropriate for use in WAC initiatives outside a traditional
academic institution and for non-writing experts might be the benchmarks set forth by the
Council of Writing Program Administrators using the National Survey of Student
Engagement (NSSE).
Vertical legitimacy. According to Mendenhall’s (2010) vertical legitimacy
perspective, composition and rhetoric take place at difference levels within the same
subject rather than across different subjects. Teaching writing skills “horizontally”
implies that students will work on writing skills primarily across the curriculum and
within many subjects (p. 98). Recent studies on WAC in today’s institutions of higher
education support teaching writing from a content-specific perspective as well as a skill
used in analysis and rhetoric in English composition courses. With vertical alignment of
writing in the disciplines, two gaps in effective teaching and learning writing skills would
be addressed: improvement in writing skills in the workplace and inclusion of non-
traditional students in WAC initiatives from beginning courses to advanced courses in the
discipline (Hassel, 2013, p. 351). Horizontal outreach would be the WAC piece to
teaching and learning writing. A writing initiative that utilizes both a horizontal outreach
and vertical legitimacy would teach students writing in both academic and content
specific areas of study. Theoretically, this allows for more effective transfer of
knowledge in writing because students would be writing in both their major and general
education courses (Mendenhall, 2010).
53
Adult students returning to school would be able to improve their writing skills in
both a professional and academic environment because writing instruction would take
place in their major courses as well as in their general studies courses. Finally, if both of
these gaps were addressed, researchers could have a better grasp of what truly constitutes
literacy by today’s standards and whether there exists a new definition for literacy. A
goal of the current study was to determine effective teaching and writing strategies in a
professional discipline, such as graphic design, interior design, and fashion. Writing in
the professional disciplines, in a non-traditional setting, could be considered writing
“beyond school.”
Horizontal outreach. Mendenhall’s (2010) deep learning theory of WAC in
today’s educational institutions places emphasis on both vertical legitimacy, or alignment
in the curriculum, as well as horizontal outreach. It is important for students to write in
their major discipline area using basic terminology and writing tasks up to and through
advanced level writing. However, horizontal outreach is writing outside the disciplines
so students are able to transfer the skills they learn in some of their liberal arts courses to
courses in the disciplines. Horizontal outreach emphasizes the importance of
understanding critical thinking using “rhetoric-focused” (Mendenhall, 2010, p. 98)
coursework. The inclusion of both vertical and horizontal curriculum and instruction
would give students exposure and practice using academic and professional writing tasks.
Deep learning. According to Addison and McGee (2010), the deep learning
strategy needs further investigation. Addison and McGee stipulated that specific
assessment benchmarks need to be in place for WAC to be successful in both non-
traditional and traditional academic settings. Instructors teaching writing-infused with
54
the discipline should have the following mechanisms in place in current WAC initiatives,
using the NSSE deep learning scale:
 Pre-writing activities—short writings prior to writing assignments to engage
students in the topic and writing process
 Clear expectations—clear directions and expectations (i.e., rubric) when
assigning writing tasks
 Higher-order writing—summarization, argumentation, and analysis
 Good instructor practices—collaboration in the classroom and with peers
 Integrated media—multi-modal teaching for different learning styles
Including these five basic criteria in writing assignments across the curriculum would
provide non-writing faculty a tool to use when assessing student writing skills in addition
to developing writing assignments and projects. The use of technology and different
information delivery strategies can engage the students in class and help them integrate
writing skills from their composition courses in their majors (Hassel, 2013).
According to Hassel (2013), vertical legitimacy in teaching writing must occur in
secondary education for a successful transfer into higher education. Students must
understand how writing assignments in various subjects in high school will be helpful in
their general education and major-specific courses to give them a better understanding of
how to transfer their knowledge of writing in an interdisciplinary way. With the
incorporation of benchmarks, such as the vertical alignment between secondary and
higher education that has already taken place in states adopting common core standards
pedagogy, faculty development and training, as well as collaboration between academic
auxiliary services must be equal in both secondary and higher education settings.
55
Adopting the NSSE deep learning scale should also help address the gap in assisting
faculty in effective teaching strategies in writing.
Research Gaps in Teaching College English
Hassel (2013) supported the idea of having professional voices in WAC
initiatives. With more students competing for jobs after graduation and writing being so
important in that process, advice from a professional in the field could assist in
curriculum development. For example, MIUAD academic programs have professional
advisory committees (PAC) that attend students’ portfolio reviews, final projects, and
writing assignments to make recommendations to students and faculty on how student
work compares to industry standards. The current study used faculty teaching courses
under departments with PAC committees in place.
Hassel (2013) believed additional scholarly research in teaching writing in the
disciplines needs to examine how technology, diversity, pedagogy, and course design
influence the teaching of writing in the classroom. Writing centers must be involved in
successful WAC programs at both traditional and non-traditional institutions.
Administrators need to collaborate with faculty and make note of faculty needs and
recommendations for program development in relation to university-wide WAC
initiatives. Faculty are often teaching writing without a formal background in language
arts and data on how to complete this task effectively are needed.
Technology. After reviewing the 2005 Teaching English in a Two-Year College
national survey, Hassel (2013) identified the need for faculty training and development in
the use and incorporation of technology in the classroom. The journal of Teaching
English in a Two-Year College published only 19 articles related to online teaching,
56
teaching remedial English and composition with online components, information literacy,
software used to teaching language and composition, and course management in general.
Hassel believed the gap in available and viable research published on teaching writing
using technology in the last 8 years is insufficient to impact faculty development and
training initiatives in colleges and universities.
Diversity. Research is needed on teaching writing in a diverse classroom.
Although many studies have been conducted into the diversity and changing
demographics in higher education, more data on effective teaching strategies need to be
shared with instructors teaching writing in various academic situations (Hassel, 2013). In
addition, the issue of first generation college students needs further investigation. Hassel
(2013) believed community colleges and universities are affected differently in this area,
and it would be helpful to understand how to work with these first generation students.
Pedagogy and methodology. Hassel (2013) focused on this gap in his article.
He included technology and diversity in this gap because they both often impact course
design and delivery to students. Hassel found current studies and publications on
teaching composition tend to focus on the delivery of material, best practices, personal
narratives, and pedagogy. However, a limited amount of data or information have been
produced on the topic of how instructors are addressing literacy, reading, writing,
information or digital literacy, and others. More data are needed to show how colleges
and universities are preparing students for the workforce. Discussion on the transfer of
literacy from academia to the professional world is also lacking (Hassel, 2013, p. 351).
Lastly, Hassel mentioned the underrepresentation of writing center studies in peer-
reviewed journals in the field of teaching composition or literary studies. Writing centers
57
are essential in a successful curriculum. Students can visit the writing center for help
with virtually any type of writing assignment, so a tutor in the writing center may be a
good resource from whom to obtain information about the various types of writing
assignments at an institution. This gap in the research in teaching writing strategies
needs to be addressed in order to improve existing curriculum and create new curriculum
for the working adult student (Hassel, 2013, p. 354).
Conclusion
Even though in some cases the research dates back to the late 1900s, many of the
ideas are still applicable because current WAC initiatives reflect the idea of writing in the
discipline, the practice of co-teaching courses, and learning communities. The MIT study
showed that in science, technology, engineering, and mathematics (STEM) discipline
areas, writing is an essential component of being a scientist and scholar in the field. The
study showed evidence of the effectiveness of adding writing to the design disciplines,
such as graphic design, web design, audio engineering, and fashion merchandising, is
almost non-existent.
In the current study, the term professional disciplines was used to define
academic disciplines in the media and design arts. This study was designed to address
the gap that exists in the literature regarding research on writing intensive curriculum in
the media arts and design area (Hassel, 2013; Mendenhall, 2010). The study involved an
investigation of how non-language arts faculty in a 4-year, regionally accredited art and
design university can develop an infused curriculum in the professional disciplines.
Learning communities have been a key to the implementation and expansion of
WAC in higher education. Because WAC scholars such as Weeks, McLeod, and more
58
recently Addison and McGee (2010) believed a writing-infused curriculum could only be
successful through the collaboration of faculty and administrators, Cochran-Smith and
Lytle’s (1999) theoretical framework of teacher-learner communities was appropriate for
the current study (Bordelon, 2010, p. 264). Data from this study add to the existing WAC
literature from the perspective of faculty teaching writing from across the professional
disciplines. Cochran-Smith and Lytle’s theory on adult learning community within
teaching environment was used to develop the qualitative survey used to collect data
from the participants in the current study.
MIT and Kings College WAC initiatives revived the idea of WAC at a global and
technological level. The structure of the pilot study at Kings College and MIT’s theory
on WAC program essentials were two of the most recent studies on WID from the 20th
century. MIT’s combination of writing proficiency and technology as essential
components of students’ education set an example for future research on adaptations of
WAC in non-traditional academic situations. These examples may provide guidelines for
WAC initiatives in non-traditional academic settings, specifically an art and design
university. Addison and McGee (2010), Hassel (2013), and Mendenhall (2010)
recommended that gaps in research from the last 15 years be addressed to serve students
effectively in improving, transferring, and applying good writing skills in both the
academic and professional environments.
Summary
This chapter contained a concise analysis of the major events, persons, and
influences on WAC within higher education: (a) the Morrill Land Grant Acts of 1862 and
1890 and GI Bill of 1944; (b) the induction of the freshman composition course into
59
undergraduate curriculum; (c) primary figures in the WAC movements during the 20th
and early 21st centuries; (d) progressive education roots in psychology and their
influence on WAC; (e) institutional acceptance of WAC as part of the academic culture
and regional accreditation; (f) faculty learning communities in the implementation of
WAC programs; (g) the need for research on WAC within non-traditional institutions of
higher education, such as art and design universities; and (h) how recent scholarly
publications have identified gaps in research and effective teaching and learning
strategies for new WAC programs outside the traditional academic setting.
The review of the literature showed a gap exists in current, available data on
WAC during the 21st century. Further, the review supported the need for more data on
WAC within the professional disciplines in the media arts. Few, if any, data are readily
available on the effective implementation of WAC within a regionally accredited art and
design university. The increase in the number of adult students returning to college
warrants further investigation into assessing student writing within discipline-specific
courses in a non-traditional setting.
Chapter 3 presents a description of the methodology used in this exploratory case
study as well as a discussion of why this method was appropriate for this study and
setting. The participants and instrument used in this study are also discussed in detail.
Available data on WAC from traditional institutions of higher education were taken into
consideration in the analysis, collection, and reporting of data in this study. The goal of
Chapter 3 is to explain the theoretical and practical reasons for the method chosen to
collect data from participants in the study as well as why it was an appropriate approach
in a study of this nature.
60
CHAPTER THREE: METHODOLOGY
The purpose of this exploratory case study was to identify effective methods
faculty and administrators without formal education in composition or language arts can
use to implement a writing-infused curriculum across the professional disciplines. The
case study approach enabled the researcher to understand how instructors outside a
traditional academic setting were able to help students improve their writing skills in the
chosen disciplines because of the direct involvement participants had with the researcher
while collecting data through observation and focus group discussions (Yin, 2011).
Academic administrators and faculty can use the results of this study to plan new writing
initiatives across the professional disciplines, namely in an art and design regionally
accredited university.
WAC initiatives since the 1970s provided examples and pedagogy for assisting
and assessing student writing skills at the university level. However, few formal studies
were conducted within a non-traditional setting, specifically an art and design university.
As discussed in the review of the literature, current trends in teaching WAC indicated the
need for writing instruction to take place in a discipline-specific context. Psychologists
found the transfer of knowledge takes place when the learner is able to apply new
information to personal experience and interest related situations (Bruner, 1974; Pelez,
1982; Yageleski, 2012).
Research Questions
The overarching question guiding this study was: What effective methods can
faculty and administrators without formal education in writing composition and language
arts implement for a writing-infused curriculum? The four research questions were
61
aligned with Cochran-Smith and Lytle’s (1999) five principles of the theory of teacher-
learner community: (a) knowledge-practice relationship; (b) image of knowledge; (c)
image of teachers, teaching, and professional practice; (d) images of teacher learning and
teachers’ roles in educational change; and (e) current initiatives.
1. What knowledge and methods do faculty members without formal education
in composition or language arts perceive as effectively used in a writing-
infused curriculum?
2. What knowledge do faculty members without formal education in
composition or language arts perceive as needed information in order to
improve a writing-infused curriculum?
3. In what ways can faculty members teaching writing-infused courses in the
disciplines assist in the development of writing initiatives?
4. In what ways can non-writing faculty’s knowledge and experience
implementing a writing-infused curriculum assist academic administrators in
current WAC initiatives?
The research questions for this study were aligned with the supposition that
participants from various disciplines working as a learning community would be able to
provide information and effective strategies on infusing writing into their discipline-
specific courses without a formal background in language arts. The research questions
were designed to examine participants’ experiences in a QEP pilot study entitled Writing
Across the Professional Disciplines at a regionally accredited art and design university in
Miami, Florida.
62
The participants were able to share anonymously their experiences through a
secure qualitative survey as well as share ideas and strategies with other participants in
the study through a focus group. One 30-minute classroom observation at the
participants’ convenience allowed the researcher to see how participants discussed
writing in the classroom as it relates to content knowledge. The case study method was
appropriate for this study because there are little, if any, research-based data on WAC
initiatives in a non-traditional setting, specifically in an art and design university. The
qualitative approach enabled the researcher to directly interact with participants in the
study and discover strategies they used to implement a writing initiative within a
professional discipline within an academic setting.
This chapter contains a discussion surrounding why a qualitative approach was
used, specifically an exploratory case study. According to Yin (2011), a case study
allows the researcher to gain an invaluable and deeper understanding of the study and
participants, which would hopefully result in “new learning about real-world behavior
and its meaning” (p. 4). The chapter also includes information on the participants of the
study and location, data collection methods, validity of the study, as well as an
explanation of Cochran-Smith and Lytle’s (1999) five principles of the theory of teacher-
learner community, the theoretical framework used in the development of the qualitative
survey and analysis of results in Chapter 4.
Research Method and Design
A qualitative research method was used in this study. More specifically, an
exploratory single case study approach was appropriate for this study because it allowed
the researcher to have one-on-one communication with and direct feedback from
63
participants as well as work directly with participants during the course of the study.
“This type of case study is used to explore [a] situation in which the intervention being
evaluated has no clear, single set of outcomes” (Yin, as cited in Baxter & Jack, 2008, p.
548). A quantitative method would not work in this study for two reasons: the number of
participants and the purpose of the study. Because a hypothesis was not possible given
the purpose of the study, which was to discover new information rather than test a
variable or compare results to existing data, no statistical analysis was warranted
(Creswell, 2007; Johnson & Christensen, 2007).
The exploratory case study method enables researchers to determine participants’
realities and experiences during the study and state claims based on the findings. This
method allows researchers to examine a person or situation contextually and within a
natural setting (Creswell, 2007). Through case study methodology, researchers are able
to conduct a contextual analysis of participant experiences and develop new insights or
expand on the existing body of knowledge on the topic of this study (Johnson &
Christensen, 2007). This approach was appropriate for this study because the research
questions asked in what ways and why participants infused writing in their discipline-
specific classrooms (Baxter & Jack, 2008).
The researcher collected data from participants primarily through a qualitative
survey, individual classroom observations, and a focus group. In the qualitative survey
for this study, participants were able to share specific information about their academic
backgrounds, techniques for infusing writing in the classroom, as well as their
suggestions for improving the current QEP pilot for university-wide implementation.
64
Additionally, the qualitative survey allowed participants to make
recommendations, share best practices, and suggest ways to implement a writing
initiative in an art and design university setting. In this case study, the primary goal of
classroom observations was to note instructor-student behavior patterns during class
discussions regarding writing tasks and projects. In addition, observing participants in
their natural setting in the classroom gave the researcher insight into how the participants
explained writing assignments to students in class (Yin, 2011). Conversations between
students and comments made during class discussions helped the researcher determine
common patterns and elements in how adults perceive and understand academic writing,
providing clarity and understanding to the information given in the focus group to allow
the researcher to create rich thick descriptions (Yin, 2011).
Finally, given the limited formal research on WAC within an art and design
university, a small group of participants provided personal and specific information
regarding the QEP initiative within MIUAD. The focus group interviews conducted for
this study revealed participants’ perspectives on academic writing within a professional
academic setting, specifically art and design majors.
The gap in the literature showed “boundaries are not clear between the
phenomena [writing-fusion in the professional disciplines] and the context [a regionally
accredited art and design university]” (Baxter & Jack, 2008, p. 545). Moreover, in
situations where there are little formal, quantifiable data on a particular topic, an
exploratory case study allows insight into the topic and the allowable sample size is
small. According to Yin (2011), a sample size of seven to 12 participants is ideal for an
exploratory single case study as used in this research project (p. 30).
65
The primary goal of this study was to collect information on how participants in
an art and design university were teaching professional disciplines in design and media
arts were able to infuse writing into the curriculum without having a formal academic
background in language arts. The three data collection methods selected for this case
study allowed the researcher to discover some effective strategies the participants were
using to accomplish this task. The personal interaction and small group environment
allowed for direct interaction and feedback from the participants, which served valuable
for future studies in WAC.
Participants
Participation in this study was completely voluntary. Participants in this research
were asked to complete or participate in the following: (a) a brief qualitative survey
consisting of nine questions, (b) one 30-minute classroom observation at a convenient
and appropriate class data and time, and (c) one focus group held off-campus.
For this exploratory single case study, the researcher used faculty participating in
MIUAD’s QEP, Writing Across the Professional Disciplines. MIUAD is a regionally
accredited institution of higher education that grants undergraduate and graduate degrees.
It is located in the southeastern region of the United States and falls under SACSCOC for
its regional accreditation. MIUAD is a small art and design university with
approximately 1,500 students and 135 faculty members, of whom 87 are full-time status.
The student-teacher ratio is about 15 to 1. Thirty-three percent of the student body are
international. The university functions on a quarter system in which quarters are 11
weeks long and classes meet once a week for 4 hours.
66
A total of 10 faculty members who were currently teaching QEP designated
courses participated in the study. Participants were selected based on their existing
participation in the university QEP pilot study and were teaching art and design courses
while embedding writing into the curriculum. Data collected were pertinent to the study
of infusing writing into the professional disciplines.
Instrumentation and Data Collection
After permission to conduct the study was granted from the site and the Argosy
University IRB (See Appendix A), each participant received a copy of the consent letter
in a sealed envelope explaining the study (See Appendix B). The letter stated the three
types of data collection methods, which were the qualitative survey, classroom
observation, and focus group. Participants were aware of the stages of the research study.
Participation in the study was strictly voluntary and any individual was allowed to exit
the study at any time. All participants signed consent forms prior to observations, filling
out the online qualitative survey on SurveyMonkey, and participating in the focus group
discussion. The participants in this study answered one qualitative survey consisting of
nine questions, gave consent to one 30-minute classroom observation while explaining a
writing assignment, and participated in a focus group.
Qualitative survey. A qualitative survey was developed for this study consisting
of two demographic questions, four open-ended questions, three close-ended questions,
as well as a section for additional comments (See Appendix C). The purpose of the
qualitative survey was to obtain specific data from the participants related to the research
questions for this study. Unlike the class observations and focus group interview, the
67
qualitative survey instrument provided direct answers to the same set of questions from
each participant.
Cochran-Smith and Lytle’s (1999) concept of teacher-learner community
provided the framework for the questions on the qualitative survey. Cochran-Smith and
Lytle defined teaching as “a process of applying received knowledge to a practical
situation: Teachers implement, translate, use, adapt, and/or put into practice what they
have learned of the knowledge base” (p. 257). Cochran-Smith and Lytle’s ideas of
teacher-learner community were: (a) knowledge-for-practice, a term referring to
theoretical knowledge; (b) knowledge-in-practice, a term referring to experiential
knowledge; and (c) knowledge-of –practice, a term referring to the use of both practical
and theoretical knowledge for “intentional investigation . . . interrogation and
interpretation” (pp. 250, 257-262).
The questions on the qualitative survey required participants to evaluate aspects
of their roles as instructors, teacher-learners, and advisors to administrators within an
academic community (p. 252). Table 1 was directly taken from Cochran-Smith and Lytle
(1999) and depicts the organization of their conceptual framework. The questions in the
right column were influential in the development of the questions for the qualitative
survey.
68
Table 1
Teacher Learning: A Conceptual Framework
Concept Theoretical Question
Knowledge-Practice
Relationship
What is understood or assumed to be the relationship
of knowledge and practice?
What is assumed about how “knowing more” and
“teaching better” are connected?
Images of Knowledge What knowledge are teachers assumed to need in
order to “teach better”?
What are the domains, sources, or forms of that
knowledge?
Who generates that knowledge?
Who evaluates and interprets that knowledge?
Images of Teachers, Teaching,
and Professional Practice
What is assumed about the nature of the activity of
teaching?
What is included in the idea of “practice”?
What are assumed to be the primary roles of teachers
in and out of classrooms?
What is the relationship of teachers’ work in and out
of classrooms?
Images of Teacher Learning
and Teachers’ Roles in
Educational Change
What is assumed about the roles teachers and teacher
learning play in educational change?
What are assumed to be the intellectual, social, and
organizational contexts that support teacher
learning?
What is the role of communities, collaboratives,
and/or other collectives in these?
Current Initiatives What are current initiatives in teacher education,
professional development and/ or teacher assessment
that are based on these images?
69
Table 2 shows how each question on the qualitative survey was designed to
answer the respective research question to which it was aligned.
Table 2
Participant Qualitative Survey Alignment with Research Questions
Research Questions Qualitative Survey Items
RQ1. What knowledge and methods do
faculty members without formal
education in composition or language arts
perceive as effectively used in a writing-
infused curriculum?
Q1B: How many writing assignments are
students required to complete for your
course? (Briefly describe the nature of
these assignments)
Q3B: How comfortable are you with
assessing students’ writing skills?
RQ2. What knowledge do faculty
members without formal education in
composition or language arts perceive as
needed information in order to improve a
writing-infused curriculum?
Q5B: Who do you believe is primarily
responsible for writing instruction at the
university? (Select all that apply)
Q7B: Using numbers 1-8, Please rank the
following activities from most helpful to
least helpful to art and design faculty
participating in a writing in the disciplines
initiative?
RQ3. In what ways can faculty members
teaching writing-infused courses in the
disciplines assist in the development of
writing initiatives?
Q2B: How many of these writing
assignments require discipline-specific
knowledge to complete? (Please describe)
Q4B: How do you apply your writing
experience as a professional in your field
to your classroom practices? (Please
describe)
RQ4. In what ways can non-writing
faculty’s knowledge and experience
implementing a writing-infused
curriculum assist academic
administrators in current WAC
initiatives?
Q6B: From your experience in your QEP
course at Miami International University of
Art and Design, how could administrators
further assist faculty in the QEP writing
initiative?
70
The research questions in the left column corresponded to the qualitative survey
questions in the right column. The researcher’s rationale for pairing certain questions on
the qualitative survey with a particular research question was as follows:
RQ1: The type of writing assignments created for the class and the participants’
approach to assessing that assignment would provide a strategy they found to be effective
when examining student writing in the classroom.
RQ2: Participants’ perceptions of who is responsible for writing instruction was
thought to indicate their perceived level of responsibility to teach writing in their classes.
Participants’ ranking of activities in the qualitative survey would indicate specifically the
type of training, education, and skills that would be helpful to then when improving a
writing-infused curriculum. There was also a section available for additional
suggestions.
RQ3: The participants’ writing assignments and experience in the classroom were
used to make adjustments or additions to existing or future writing initiatives at art and
design universities.
RQ4: Asking participants to think as an academic administrator who needs to
implement a writing initiative was helpful to gaining insight into how faculty perceived
themselves as part of the initiative as well as what they would do in an administrative role
when implementing a writing initiative.
A panel of five experts in the field of research, holding terminal degrees, provided
feedback for the development of the questions on the instrument. Although the
instrument was not nationally normed, the expert reviewers were given the purpose of the
71
study and asked to evaluate the questions based on their alignment with the research
questions for the study.
Classroom observations. One common data gathering method in qualitative
research is observation. There are two forms of observation: participant and direct
(Creswell, 2007). The prior requires the researcher’s complete involvement in the act of
observing the participants while the study is underway, such as writing field notes and
analyzing the data while the study evolves; the latter requires the researcher to be
separate from the participant, such as to merely look upon and take notes. This form of
observation tries to eliminate possible bias that could result from the researcher’s
participation in the study. For this study the researcher chose to use participant
observation.
The classic example of why observation in a study is usually not the only form of
data collection method used is the Hawthorne effect, which refers to the idea that
participants may change their natural behavior when they are aware they are part of an
observation for a study (Creswell, 2007). An illustration might be the day the professor
is perfectly prepared with lesson plans, slide shows, video clips, special group
assignments, and primary source material is the day he or she will be scheduled to be
observed by the department chair or colleague. Whereas the professor would not
normally include such a full agenda for class, it happens on the day of the observation.
An adequate place to observe participants is in a “natural setting,” the place where
participants would normally be and behave on a regular basis. The setting is key to both
the participants and researcher and is usually determined by the purpose of the study. In
psychology and the social sciences, a natural setting is ideal because regardless of the
72
approach to the observation, participant or direct, everyone is located within the context
of the study and realm of the phenomenon being studied.
Choosing the method of observation depends on the research team. In any
situation, it is an ethical violation not to inform participants in a closed study about being
observed. The mere fact of knowing one is a part of an experiment or study affects
human behavior, at least until everyone adapts to the situation and resumes normal
activity (Johnson & Christensen, 2007). Table 3 represents the advantages and
disadvantages of non-participant (without intervention) and direct (with intervention)
observation in qualitative research studies (Johnson & Christensen, 2007).
Table 3
Advantages and Disadvantages of Natural Observation Method
Method Advantages Disadvantages
Participant  Increases validity because
persons observed in an
unaltered environment
 Researcher involved with
participants and collects data
actively
 Researcher can control study
(not setting)
 Experience same stimuli
 Hawthorne effect
 “Showcase” effect
 Reactivity—change in
participant behavior and
expectations about research
results
Direct  Objectivity
 Not affecting people’s
behavior as much as if they
were involved in study
 Use of videotaping or audio
recording (unbiased)
 Detachment
 Not active research
 Hawthorne effect
 “Showcase” effect
 Reactivity—change in
participant behavior and
expectations about research
results
73
As reflected in Table 3, both types of observation run the same risk of altering the
participants’ behaviors. Human beings will naturally behave differently when they are
being observed. An effective way to really increase external validity and decrease
research bias is to choose a direct method and use video and audio to collect data.
However, this researcher did not use video or audio recording, even though an effective
way to grasp the context and feelings of the participants is to be a part of the study.
While both methods have similar disadvantages (See Table 3), the observation method
used in this study allowed the researcher to interact, take field notes, and create narratives
for each member of the study (Johnson & Christensen, 2007). When observing, it is
important to both inform the participants that they are a part of a study and assure them of
confidentiality. The researcher’s job is to make the participants feel as comfortable as
possible and decrease possible Hawthorne effect and reactivity.
For this study, the participant observation occurred at MIUAD during a normally
scheduled class. The professors chose the date of the observation. The duration of the
observation was about 30 minutes. The researcher was interested in observing the
participants explain a writing assignment based on content-specific topics. The
researcher only observed the participants in the classroom and did not observe students.
Focus group. The focus group allowed the participants to interact and share
feedback about their experiences with integrating writing within their discipline specific
course, as well as allowed the researcher to find similarities and differences between
participant experiences with a writing-infused curriculum. Most importantly, it allowed
the researcher to discuss observations in general and ask the participants as a group to
elaborate or share strategies with their peers.
74
Epistemological Assumptions
According to Vasilachis de Gialdino (2011):
Epistemology raises many questions including: 1. how reality can be known, 2.
the relationship between the knower and what is known, 3. the characteristics, the
principles, the assumptions that guide the process of knowing and the
achievement of findings, and 4. the possibility of that process being shared and
repeated by others in order to assess the quality of the research and the reliability
of those findings. (sect. 2, para. 1)
This quote reflects the exploratory nature of this study. The researcher assumed faculty
infusing writing in the discipline and assessing writing assignments felt insecure because
they did not have formal education in writing composition or language arts. In this study,
it was assumed that participants’ current knowledge of assessing and infusing writing in
the discipline was made possible through the application of activities in the QEP
classroom. If the tenets of this study were applied to Vasilachis de Gialdino’s first
stipulation, “reality” in this study could be considered the actual creation of discipline-
specific writing assignments and assessing student writing in class writing assignments.
If the tenets of this study were applied to Vasilachis de Gialdino’s second stipulation, the
“relationship” between participants and student writing assessment could be limited due
to their lack of formal education in the teaching of writing composition.
If the tenets of this study were applied to Vasilachis de Gialdino’s (2011) third
and fourth stipulations, generalizability applies in the sense that a study similar to this
study could be conducted at a different institution of higher education with a similar
participant sample and yield similar results. The reason for this assumption was that this
researcher proposed that faculty without a formal background in language arts, teaching
professional disciplines, were able through collaboration and guidance, to effectively
infuse writing into their curriculum and assess student writing.
75
Consistent with Cochran-Smith and Lytle’s (1999) concept of teacher-learner
community, an assumption could be made that interactions with peers who were also
teaching QEP courses (knowledge-in-practice) allowed the sharing of information and the
process of perhaps improving existing writing assignments based on a peer suggestion
during a discussion session. In addition, the Director of the QEP held a PhD in English
and served as a resource for participants who had questions or needed direction on
creating new assignments or grading papers.
Limitations
There were five limitations to the study: participant selection, participants’
reflective responses, sample size, setting, and researcher bias. The participants were
already teaching QEP courses; therefore, the researcher had no control over who was
selected. Participants’ reflective responses to qualitative open-ended questions may have
been skewed because of their individual strengths and weaknesses. The setting for this
study was a limitation because the site did not have co-teaching, much writing center
support, or an official English department due to limited resources. Faculty development
opportunities were also few due to budget constraints, which posed a limitation. The
researcher was employed by the same institution where the study took place, which may
have caused bias in the interpretation of the data.
Delimitations
There were five delimitations to the study. Having a preselected sample of QEP
specific faculty rather than using a random sample of all disciplines within the university
was a delimitation. Not having a study similar to this conducted at a small institution
with perhaps more available funds for faculty development and flexible teaching
76
schedules would most likely have different results than this study. Trying to identify in
most academic settings teacher learning communities may have been effective.
However, the sample size did not allow for understanding a sizable learning community.
An additional delimitation was the participants had no formal writing education.
This study was delimited to instructors without formal academic training in language arts
and adult learning theories. The study only included instructors currently teaching QEP
classes at MIUAD. Because the goal was to discover effective strategies that can be used
to implement writing fusion in a non-writing class, the instructors in the study were only
eligible to participate if they did not have an undergraduate or graduate degree in English
or language arts.
Procedures
The collection of data for this study began after receiving approval from
participants in the study, the chief academic officer at the research site, and the QEP
Director. Participants received a letter seeking their consent to be a part of the study.
The letter specifically informed participants of the extent of their participation and length
of the study. The consent letter delineated participation as completing a nine-question
online qualitative survey, participating in one 30-minute classroom observation scheduled
at his or her convenience, and participating in a focus group discussion off-campus.
Consent and confidentiality. The information participants provided for this
research was treated as confidential, and all written data were kept secure and password
protected. Written documentation was stored in a locked file cabinet, accessible only by
the researcher, and will be kept for a minimum of 5 years and then destroyed. All
transcribed data were stored on the researcher’s personal password-protected home
77
computer, which was accessible only by the researcher. Results of the research are
reported as summary data only and no individually identifiable information is presented.
In the event that participant information was quoted in the written results, the researcher
used pseudonyms or codes to maintain confidentiality. All responses, discussion topics,
and personal opinions were coded to avoid the unintentional disclosure of participant
identity.
All information obtained was held with the strictest confidentiality. Participants
were asked to refrain from placing names or any other identifying information on the
qualitative survey to ensure confidentiality was maintained at all times. All written or
transcribed information will be stored securely for 5 years, as per IRB Argosy University-
Sarasota requirements. After 3 years, as all recorded data and other information will be
deleted and all written data will be shredded.
Validity. Establishing validity is essential in qualitative research. Without
credibility, transferability, dependability, and conformability, studies that were not
statistically verified would be difficult to validate. The ability to change researchers,
settings, disciplines, methodologies, and philosophical approaches in the same study, yet
not affect the essential elements or general results of the study, is imperative to
maintaining the integrity of a qualitative research study. Without these four basic
elements, qualitative research is deemed invalid or as having limited usefulness because
of the level of “unchecked” or evident bias. While total objectivity in many qualitative
research studies is not feasible, increasing trustworthiness is the single most important
issue to obtain in a qualitative research endeavor.
78
To establish trustworthiness in this study, the researcher used methodological
triangulation (Creswell, 2007, p. 204). The term derives from “tri,” or three, because
comparing the same results of the study in three different ways is ideal to ensure at least
two of the results are similar and support each other. This system is like a research
system of checks and balances or cross-referencing one source to obtain information from
another. The basic types of triangulation include data, investigator, theory, and
methodological (Bryman, 2007, p. 2). Data triangulation refers to obtaining data through
dissimilar collection techniques (Bryman, 2007, p. 2). Methodological triangulation uses
more than a single method for data collection (Bryman, 2007, p. 2). This study used
methodological type triangulation.
Transferability. One method of obtaining transferability was to refer to the
researcher’s detailed field notes where she documented every single bit of evidence
gathered through observations, interviews, and narratives. Transferability allows the
research to be generalized into broader terms and various studies. This researcher
utilized field notes obtained in the classroom observation and focus discussion group for
coding and analysis to achieve transferability.
Dependability. The essential components of a study must be trustworthiness and
usefulness if applied to other settings. This also increases the integrity and validity of a
qualitative study, to use a quantitative term. The main difference between transferability
and dependability is that in the former the results of the study can be applied in a general
context, whereby the latter assures the researcher that a study can be duplicated and have
similar results (Johnson & Christensen, 2007).
79
Confirmability. Confirmability in a study is achieved by purposely changing
group tasks, for example, yet results are similar to those before the tasks were changed.
If the results of the initial study are trustworthy, the results of subsequent studies should
yield similar essential results. If the same patterns emerge despite the change in data
collection methods and the participation of different researchers, then the study could be
confirmed as being useful in other settings because human skill and perception in the
initial study seemed not to skew the results. In this study, the researcher used
methodological triangulation to obtain confirmability by using three different data
collection techniques: a qualitative survey, classroom observations, and a focus group
discussion.
Data Analysis
The results of this study can be compared to similar case studies in various non-
traditional learning environments that have an interest in implementing a writing program
or to expand on this research study. The qualitative survey was designed with each
question having its own code and was administered through SurveyMonkey.
SurveyMonkey data analysis software aided in the organization and interpretation of
participants’ answers to the questions. Moreover, the data were organized and sorted by
NVivo10 and SurveyMonkey software, reducing the possibility of human error. In
addition, graphs and tables more closely reflect the results of the qualitative survey
without third-party interference, in this case the researcher. Administering an identical
set of questions to the participants allowed the researcher to: (a) directly measure their
perceptions of writing, (b) examine the types of writing assignments prepared for the
class, (c) better understand their comfort level with writing and writing assessment, and
80
(d) gain insight into the type of professional development they perceived to be necessary
to successfully implement a writing initiative.
Summary
Chapter 1 introduced the purpose of this study, which was to identify effective
strategies for implementing a writing initiative within the professional disciplines. This
study was needed to help administrators and instructors address students’ lack of writing
skills within a non-traditional academic setting, specifically an art and design university.
The review of the literature contained in Chapter 2 analyzed the gap in the
research on WAC within an art and design university and within the professional
disciplines. It brought to light the need to conduct research into implementing writing
initiatives in a professional university setting. Research available on WAC was based on
data from studies conducted at traditional universities, which may not be relevant in an
art and design higher education setting. Chapter 2 also presented the importance of
assessing students’ writing skills for the regional accreditation an increasing number of
non-traditional universities, such as SCAD, MICA, RISD, and MIUAD, are seeking.
Chapter 3 presented the methodology for this study and rationale for selecting the
case study approach. Cochran-Smith and Lytle’s (1999) theory of teacher-learner
community collaborative approach to adult learning was discussed and was selected for
this study because this framework uses both teachers and community as the setting for the
transfer of knowledge and development of practical skills.
81
CHAPTER FOUR: FINDINGS
This chapter presents the results of the data collection and analysis according to
the research questions and theoretical framework that guided the study. Data presented
include: (a) demographic information; (b) the data gathered through the qualitative
faculty survey, classroom observations, and focus group; and (c) data obtained after
coding using NVivo10. The recommendations and implications of the study are
presented in Chapter 5.
Restatement of the Purpose
The purpose of this exploratory case study was to identify effective methods
faculty and administrators without formal education in composition or language arts can
use to implement a writing-infused curriculum across the professional disciplines.
Through classroom observations, a focus group, and a brief qualitative survey modeled
after Cochran-Smith and Lytle’s (1999) theory of teacher-learner community, this study
was designed to assist administrators without a formal language arts background address
issues of writing deficiencies in their academic programs, outside the liberal arts context.
Research Questions
The overarching question guiding this study was: What effective methods can
faculty and administrators without formal education in writing composition and language
arts implement for a writing-infused curriculum? The four research questions were
aligned with Cochran-Smith and Lytle’s (1999) five principles of the theory of teacher-
learner community: (a) knowledge-practice relationship; (b) image of knowledge; (c)
image of teachers, teaching, and professional practice; (d) images of teacher learning and
teachers’ roles in educational change; and (e) current initiatives.
82
1. What knowledge and methods do faculty members without formal education
in composition or language arts perceive as effectively used in a writing-
infused curriculum?
2. What knowledge do faculty members without formal education in
composition or language arts perceive as needed information in order to
improve a writing-infused curriculum?
3. In what ways can faculty members teaching writing-infused courses in the
disciplines assist in the development of writing initiatives?
4. In what ways can non-writing faculty’s knowledge and experience
implementing a writing-infused curriculum assist academic administrators in
current WAC initiatives?
Sample Characteristics
All participants for this study were full-time faculty at MIUAD. There were five
females and five males in the sample. Eight out of 10 participants did not hold academic
degrees in the language arts while the remaining two participants held degrees in
screenwriting and journalism, which are not language arts but writing-specific disciplines
(See Table 4). The participants all held master’s degrees in the disciplines taught, the
minimum academic qualifications required to teach college level courses at a regionally
accredited institution under SACSCOC (See Table 4). For this exploratory single case
study, the researcher used faculty participating in MIUAD’s QEP, Writing Across the
Professional Disciplines.
83
Table 4
Participant Responses for Highest Degree Earned (Q1A) and Courses Taught in the
Discipline (Q1B)
Participant Degree Courses Taught in Discipline
1 Master of Fine Art, Painting Drawing, Painting, Design
2 Fine Arts Electronic Field Production,
Screenwriting, Video Production,
Aesthetics
3 Audio Engineering Audio Recording I and II Digital Audio III
4 Journalism/Communication Effective Communication
5 FILM All levels of screenwriting classes, Film
appreciation, etc.
6 Computer Animation Modeling I, Modeling III, Performance &
Story Development, Digital Imaging,
Internship, Texturing I. VFX-Art
Direction, Matte Painting, Intro to 3D
7 Architecture Interior Design Studios (residential and
commercial projects), Lighting Design
(residential and commercial), and
Perspective Drawing.
8 Visual Communication with
specialties in Graphic
Design and animation
Graphic Design History, Collateral
Design, Typography, Concept Design,
Graphic Symbolism, Digital Grid and
Layout, Capstone
9 MFA Fashion Design Fashion Design I & Fashion Trends II
which involves the 3 Fashion Majors
10 Master of Art - Computer
Animation
Animation 1, Animation2, Print Portfolio,
Storyboard, Performance and Storytelling,
Digital Landscapes, Rigging, Texture 2
and Digital Imaging.
84
Restatement of Procedures
The researcher collected data from participants primarily through a qualitative
survey, individual classroom observations, and a focus group. The focus group interview
conducted for this study revealed participants’ perspectives on academic writing within a
professional academic setting, specifically related to art and design disciplines. The
qualitative survey can be found in Appendix C. On this survey, participants shared
specific information about their academic backgrounds, techniques for infusing writing in
the classroom, and suggestions for improving the current QEP pilot for university-wide
implementation.
After obtaining approval from the IRB, the researcher wrote letters of consent
(See Appendix B) and sent invitations to participate in the study (See Appendix A). The
researcher sent an individual e-mail to each participant containing a hyperlink to the
qualitative survey on SurveyMonkey. The researcher created the survey (See Appendix
C) and sent it to a group of peers who held PhDs across various disciplines for review.
Suggestions and recommendations the peer review group sent to the researcher were
reflected in the final version of the survey. After receiving feedback for the survey from
peers, the researcher created a checklist for the classroom observations (See Appendix
D). The first statement on the survey reassured participants that their responses would be
anonymous and would remain confidential so as not to compromise the integrity of the
data collection and analysis. The researcher allowed 4 weeks for the participants to
complete the survey while the researcher conducted classroom observations. After 4
weeks, the researcher obtained survey results directly through SurveyMonkey and
85
exported the report to a secure personal computer. The focus group served as a follow-up
to questions on the qualitative survey.
The findings of the research are based on data from participant responses to
qualitative survey questions, classroom observations, and a focus group. Responses to all
three data collection methods are reported as bar graphs demonstrating percentages, word
frequencies as analyzed by NVivo10 software, and researcher notes taken during the
focus group. Raw data results can be found in Appendix E and classroom observation
notes can be found in Appendix F. The nature of the nodes derived from word frequency
charts (See Appendix G) and word trees (See Appendix G). Nodes reflected key words
and topics for the qualitative survey and the observation checklist. “Parent nodes”
reflected most common words on both the word frequency chart and word tree.
“Children” nodes derived from second most common and frequent terms reflected on
both the word frequency chart and word tree. NVivo10 coding of the data is detailed in
Table 5.
Table 5
NVivo10 Coding Nodes for Research Study
Name Sources References
QEP 1 10
Professional experience 1 11
Nature of assignment 2 87
Effective strategies for teaching writing in the
disciplines
1 3
Discipline-specific knowledge of participant 2 24
86
Results of the Study
After analyzing and coding the results from the qualitative survey, classroom
observations, and focus group, three themes emerged that aligned with Cochran-Smith
and Lytle’s (1999) theory of teacher-learner community: (a) professional experience and
writing as knowledge-practice relationship, (b) image of non-writing teachers teaching
writing as professional practice, and (c) teachers teaching current writing initiatives in a
professional academic setting. These themes were consistent with the research questions.
There were nine questions on the survey, of which two were background questions (See
Appendix C). There were six items on the classroom observation checklist (See
Appendix D). Items three through six on the observation checklist focused specifically
on the integration of a discipline-specific assignment, the explanation of the assignment,
answers to student questions, and integration of professional knowledge and experience
with course objectives.
Professional Experience and Writing as Knowledge-Practice Relationship
This theme addressed the first and second research questions, which focused on
the information required in order for faculty without a liberal arts background to improve
their delivery of a writing-infused curriculum across the disciplines.
Qualitative survey. Two questions (i.e., Q2B & Q4B) on the survey focused on
the integration of professional knowledge related to the professional disciplines reflected
in this study, such as fashion, film, graphic design, visual arts, computer animation, audio
engineering, and architecture, and writing in the classroom. Survey question Q2B
specifically asked participants to describe how writing assignments required discipline-
87
specific knowledge. Survey question Q4B also asked participants to describe how they
applied professional writing experience to their classroom practices.
The survey results for Q2B and Q4B indicated all of the participants felt
discipline-specific knowledge was necessary to understand and complete writing
assignments in the discipline. All 10 participants believed knowledge of the discipline
was necessary to use specific terms that were needed to complete discipline-specific
writing assignments for class. Participant responses to Q2B indicated faculty without a
formal background in the language arts integrated content when explaining writing
assignments in discipline-specific classes in order to make the assignment relevant to
students in the classroom. Data in this study support the theory presented in the review
of the literature supporting WAC initiatives that concluded writing skills are learned best
when taught in a contextual setting.
Results for Q2B indicated nine out of 10 participants applied industry knowledge
in their classroom practices. Participants mentioned specific writing tasks they had
completed in their professional fields that helped them to relate classroom writing
assignments to the professions. The importance of merging content and writing skills
was evident in the data collected. Participant responses on the qualitative survey
indicated writing instruction in a classroom for professional studies must be contextual.
In other words, teaching writing for professionals in art and design careers without the
integration of content was not effective.
Data showed that without content knowledge, writing in a professional setting is
not successful. Table 6 contains the participants’ responses to question Q2B, how many
88
of these writing assignments require discipline-specific knowledge to complete? (Please
describe).
Table 6
Survey Responses for Writing Assignments that Require Discipline-Specific Knowledge
(Q2B)
Respondent Response
PT1 N/A.
PT2 Most of these assignments require discipline-specific knowledge to
complete. For the biography you would have to know what to include, for
the budget you would have to know what equipment, crew, software,
production design that you would need. For the marketing strategy you
would need to know how to navigate online distribution and how to put
together a trailer.
PT3 Both papers require discipline-specific knowledge.
PT4 All of the assignments require discipline specific knowledge to complete
successfully.
PT5 All of the screenplays.
PT6 There needs to be a general understanding of the discipline but a lot is
building up on the skills learned in the English courses.
PT7 All of them.
PT8 All of them have to do with graphic design.
PT9 All, the class is divided in 2 parts the first part is learning proper fashion
terminology for shoes, hats, garments and garment pieces, and handbags.
The second part is all about the recognition, understanding and developing
the sensibility to recognize trends.
PT10 Both do.
Participant responses to Q4B indicated instructors teaching writing in the
professional disciplines integrated personal and industry-related experience to explain
writing assignments and assess student writing in class. Table 7 contains the participants’
89
responses to question Q4B, how do you apply your writing experience as a professional
in your field to your classroom practices? (Please describe).
Table 7
Survey Responses for Professional Writing Experience in the Classroom (Q4B)
Respondent Response
PT1 As an artist I must write about my own work for exhibition applications,
etc.
PT2 I am most comfortable critiquing screenplays. I have written several
screenplays and I have had films screen at festivals and was awarded a
screenwriting fellowship. In terms of the Electronic Field Production
course, I am working on my own grant proposals for my documentary.
PT3 My field does not really require a lot of writing, but there is a lot of
terminology that we need to learn in order to communicate with our
colleagues. So in my classes I make sure all the students learn the
terminology. If they need to write something I know they will use the right
words.
PT4 I have 18 years of experience in professional journalism. The writing style
in the course I teach aligns with the style of writing I honed in my
journalism work. For this reason I was comfortable evaluating students'
writing. If I were having to evaluate writing in another style
(creative/fiction) I would be less comfortable. For this specific course, it is
essential that an instructor be skilled in writing for professional audiences
and oral engagement/delivery of the writing.
PT5 Through workshopping their screenplays and providing them written notes.
PT6 With examples mostly. My experience dictates what I need to bring to the
classroom as far as what I need to teach them.
PT7 Decline to answer.
PT8 Mostly in the form of Creative brief writing, establishing strategies in
written format, brainstorming and slogan building.
PT9 Fashion writing is not as other fields, it requires very detailed sensibility to
detail. Using proper professional terminology allows you to be very
detailed and specific in the description of a garment and the proper trends.
PT10 I cite references that I use myself.
90
Classroom observations. In sum, the researcher observed that students were to
complete nine of the 10 assignments outside of class. All assignments required some or
much research and were to be for homework, met specific course outcomes, and were
designed to test student understanding of course material and its relevance to the industry.
Course descriptions and syllabi for classes observed in this study (not included in the data
presented in this paper to protect participant confidentiality) aligned with the nature and
purpose of writing assignments specifically developed for QEP courses, the same courses
observed in this study. According to the in-class observations of professors’ explanations
of writing assignments, five out of 10 assignments focused strictly on content with little
emphasis on writing. The other five assignments contained a balance between content
and writing, meaning participants explained the importance of content as well as writing
style (i.e., specificity of topic, research materials, citations, and use of academic support
services). See Appendix F for complete researcher observation notes reflecting professor
expectations for student writing assignments.
Image of Non-Writing Teachers Teaching Writing and Professional Practice
This theme addressed the third research question, which focused on the methods
by which non-writing faculty without a liberal arts background can assist in the
improvement of a writing initiative. The importance of being able to assess student
writing skills was evident in the data collected.
Data showed non-writing faculty require a fundamental understanding of the
nature of a writing assignment to be able to share eloquently their expectations of writing
assignments with students in the classroom. Writing in discipline-specific genres is a
91
method by which non-writing faculty can effectively implement a writing-infused
curriculum.
Qualitative survey. Three questions (i.e., Q1B, Q3B, & Q5B) focused on
participants’ understanding of teaching writing without a formal background in writing
and their comfort with writing assessment in the classroom. Nine of 10 responses on the
qualitative survey indicated a certain level of comfort with assessing student writing was
needed for professional studies.
Table 8 contains the participants’ responses to question Q1B, how many writing
assignments are students required to complete for your course? (Briefly describe the
nature of these assignments). Answers ranged from primary research assignments,
journal entries, business writing, creative briefs, and screenplays, to weekly short
writings about material covered in class.
Table 8
Survey Responses for Number of Writing Assignments Students Required to Complete
(Q1B)
Respondent Response
PT1 None.
PT2 In Electronic Field Production students must write a proposal for their
documentaries the proposal is geared towards obtaining funding. Each
week for the first half of the course the students work on one portion of the
proposal. They write a filmmaker biography, a summary of their project
concept, a strategy for fundraising, a budget, distribution and marketing
strategies and a strategy for audience and community engagement.
Audience and community engagement is the plan for getting people to see
the film and to take whatever action the filmmaker is hoping for upon
seeing the film. For example, engaging on social media, signing a petition,
making a donation etc.
PT3 2 papers required for the QEP in Audio Recording I.
(continued)
92
Table 8 (continued)
Survey Responses for Number of Writing Assignments Students Required to Complete
(Q1B)
Respondent Response
PT4 There are 6 written assignments in the course. 2 are extensive research
projects. 1 is an analysis with a research component but it is not as
extensive as the first 2 assignments described above. 3 are short (1 page)
assignments based on a reading, which I provide to them. Depending on
their development through these assignments, I may add more writing
assignments as needed.
PT5 They are all writing classes. In addition to homework, which consists of
preparations to write screenplays, they also write—and rewrite screenplays.
PT6 It varies; in studio intensive courses, it is mostly 1, a small research piece.
In the writing courses, there are at least 3-5 writing assignments.
PT7 For the design studios, two per course: a brief concept statement and a
research/response paper to promote evidence-based design. The lighting
classes require a concept statement for each project (two per quarter), and
many test questions prompt short-form essays. The drawing class rather
pointedly has no written component.
PT8 In most of them Creative briefs, in the ones that are QEP Two essays.
PT9 2 diagnostic assignments, both involve using proper fashion terminology
and recognition of the fashion trends for the current season. The more
extensive assignments are: Comment on the last 10 years of Haute Couture
collections millinery and the importance to current fashion and its trends.
The last is related to the visit to one single designer store in Bal Harbour
Shops and interpret the Trends of the season used by that specific designer
house.
PT10 One company research piece in order to prepare them for potential job
interviews and one freelance work contract.
Table 9 contains the participants’ responses to question Q3B, how comfortable
are you with assessing students’ writing skills? As reflected in Table 9, four out of 10
participants indicated they were extremely comfortable with writing assessments. Five
out of 10 indicated they were somewhat comfortable, comfortable, or somewhat not
93
comfortable with assessing student writing, whereas one participant indicated he was not
comfortable at all with assessing student writing.
Table 9
Participant Responses: Comfort Level with Student Writing Assessment (Q3B)
Answer Options Response %
Not Comfortable 10.0%
Somewhat Not Comfortable 10.0%
Comfortable 10.0%
Somewhat Comfortable 30.0%
Extremely Comfortable 40.0%
Table 10 contains the participants’ responses to question Q5B, who do you
believe is primarily responsible for writing instruction at the university? Five out of 10
participants indicated English instructors or both English and discipline-specific
instructors were responsible for writing instruction. One indicated instructors in the
discipline were responsible for writing instruction. Three participants indicated all of the
above were responsible for writing instruction, including writing tutors (See Table 10).
Table 10
Participant Responses: Responsibility for Writing Instruction at the University (Q5B)
Answer Options Response %
English instructors 30.0%
Writing center tutors 0.0%
Instructors in the discipline 10.0%
Both English and discipline-specific instructors 30.0%
All of the above 30.0%
94
Classroom observations. In sum, although not one of the checklist items was
specific to instructor comfort level with writing instruction, item six examined how well
the instructor was able to relate writing assignment to course learning outcomes, which
demonstrated participants’ familiarity with industry writing and their ability to relate
academic writing in the discipline. According to the classroom observations, 100% of
participants were successfully able to adapt writing assignments to industry-related topics
or projects. See Appendix F for complete researcher observation notes reflecting the
nature of student writing assignments.
Teachers Teaching Current Writing Initiatives in a Professional Academic Setting
This theme addressed the fourth research question, which focused on the methods
by which non-writing faculty without a liberal arts background can assist university
administrators in current WAC writing initiatives. It was evident in the data collected
that writing instruction for professional studies is an institution-wide initiative. The
implementation of writing across the curriculum needs to be a joint effort between the
professors in the disciplines and the English faculty. Professional development,
continuing education, and peer workshops were also mentioned as needed in order to
infuse writing across the curriculum.
Qualitative survey. Two questions (i.e., Q6B & Q7B) specifically asked
participants to describe how administrators at MIUAD could assist faculty in the QEP
writing initiative (Q6B) and what they would consider helpful to design faculty
participating in a writing initiative (Q7B). Data showed non-writing faculty can assist
administrators with the implementation of writing initiatives in a professional academic
setting through support services and professional development.
95
Table 11 contains the participants’ responses to question Q6B, from your
experience in your QEP course at Miami International University of Art and Design, how
could administrators further assist faculty in the QEP writing initiative? Participants
indicated non-writing faculty need to work jointly with learning centers and language arts
faculty to be able to teach students correct writing skills and professional writing style.
Table 11
Survey Responses for Administrative Assistance in QEP Writing Initiative (Q6B)
Respondent Response
PT1 It would be helpful if we has a meeting in which one essay was graded
together with the QEP administrator. This would set a benchmark for the
other essays.
PT2 I haven’t taught a QEP course yet.
PT3 No comment.
PT4 Class size is important. The only way to evaluate and provide quality
feedback is by having students complete a significant amount of writing
in the course. Large class sizes make this a prohibitive situation.
Furthermore, faculty needs training beyond occasional meetings to talk
about the QEP. Faculty training is crucial.
PT5 By helping professors evaluate writing more effectively.
PT6 I think having more tutors in the Learning Center and structured hours
that we can send students on their own time would be better.
PT7 By taking ownership. Substantial writing assignments (research papers)
were already components of my studio classes well in advance of the
QEP initiative's inception, and I feel students understand the value in
how their findings will inform the design decisions they make throughout
the quarter simply from my own interest in guiding the content and
structure/grammar of these topical essays. The QEP diagnostics should
be issued not by the course instructor but by QEP faculty to distinguish
QEP tasks from those that contribute more directly to the course (and its
grade). The energy and enthusiasm with which students approach their
course-contributing writing assignments is drained by these diagnostics
and by their inability to separate QEP tasks from those that advance their
studio work.
(continued)
96
Table 11 (continued)
Survey Responses for Administrative Assistance in QEP Writing Initiative (Q6B)
Respondent Response
PT8 It would be wonderful if English teachers would grade the essays.
PT9 This is my first quarter as having a QEP class so I am still learning and
observing how to take advantage of the class. I think the students are
very eager to improve their writing skills. Administrators can help
proper this initiative to keep this interest alive.
PT10 Review course materials for accuracy.
Table 12 contains the participants’ responses to question Q7B, from the following
list, select at least four activities that you consider the most helpful to art and design
faculty participating in a writing in the disciplines initiative? “Co-teaching discipline
specific courses with English faculty” outweighed the rest of the selections.
Table 12
Participant Responses: Helpful Activities for Writing Initiative (Q7B)
Answer Options Response %
Pursuing formal education 40.0%
Obtaining professional development in the area of student writing
assessment
50.0%
Attending academic conferences on topics related to writing and
composition
40.0%
Participating in mentoring, peer-to-peer 30.0%
Co-teaching discipline-specific courses with English faculty 60.0%
Sharpening my writing skills using software or online tutorials 20.0%
Attending face-to-face faculty writing workshops at the university 50.0%
Increasing the amount of writing I do on my own time 60.0%
Other (please specify) 30.0%
97
The other responses included the following:
Faculty should be encouraged to write for the field in which they teach. Faculty
teaching a QEP course in Audio, ID, Fashion, etc. should be making the effort to
write in that field, either academically (research) or professionally
(industry/consumer oriented work). This does not have to mean publishing; it can
also be writing for executing any professional transaction. This suggestion may
be an ideal, but otherwise, I do not know what qualifies some instructors to
evaluate the writing of students.
Very specific to me, I would like to take more creative writing courses and
develop my own writing.
The more one reads, from discipline-specific industry publications to works from
outside the professional realm (for diversity or diversion), the more one’s
familiarity with language and (by extension) writing ability will be developed.
None of the above options acknowledges that the best writers read constantly but
rarely-if-ever receive instruction on the craft.
Classroom observations. In sum, although not one of the checklist items was
specific to the university writing initiative and non-writing faculty participation, several
of the observations indicated participants were interested in writing correctness and
clarity, in addition to content knowledge. In four out of 10 observations, participants
mentioned the Modern Language Association (MLA) citation format, learning center
help, and the revision process for accuracy. For example, one participant observation
note reflected how “MLA and plagiarism and citation format discussed in class. Length
for concept statement was 150 words. Length of Boutique Hotel research 600 words with
diagrams. Typed. Rubric was given to students as a guide for both assignments.” A
second participant observation note stated, “Yes. MLA and plagiarism discussed.
Students told to submit original work.” A third participant observation note was “project
narratives should not be done in one attempt. Revision process important.” A fourth
participant observation note indicated “professor explained the purpose of assignment as
important for QEP and also for students to better understand the audio industry.” See
98
Appendix F for complete researcher observation notes reflecting professor expectations
and nature of student writing assignments.
Focus Group
A focus group was conducted as a follow-up to the survey and observations. To
understand the role of the instructor further, the three responses labeled as other to
Question 7B were used to conduct the focus group. Five full-time faculty met with the
researcher for 30 minutes to discuss the group’s suggestions to increase the writing
experiences and confidence in all MIUAD classrooms.
The group suggested faculty should be encouraged to write for the field in which
they teach. This was discussed for 10 minutes and the results were positive. Two faculty
members suggested a blog for their discipline with university-wide access, called the
MIUAD Professional Blog.
The second other response was: “Very specific to me, I would like to take more
creative writing courses and develop my own writing.” Focus group participants
discussed the offering of faculty training to include four creative writing courses per year
to help non-writing faculty develop their own writing. All five participants agreed this
was a key missing component to their lack of helping students become better writers.
Interestingly, one film instructor volunteered to teach the first course. Another person
wanted to know how to teach creative writing skills instead of using MLA style
assignments. There was a strong discussion about the difference between creative
writing and report writing. The results were that many classes should include more
creative style assignments and only one research style option.
99
The final topic was related to the use of discipline-specific industry publications
and works from outside the professional realm to increase reading initiatives at MIUAD.
This conversation went directly to the subject of curriculum and the available resources
for students and faculty to read. Three faculty members said they did not add any extra
reading in their courses except for the textbook. One visual arts instructor said “reading
about an artist is really helpful to students, I would love for students to choose an artist
and real one novel from the same time period as the artist was alive.” A fashion
instructor expressed his students were not reading industry-specific magazines and he had
asked the library to subscribe to five additional magazines, but was told he could only use
digital resources.
The focus group was limited to 30 minutes and three questions, but the insights
gained are very helpful for administrators of the university and others to think about
adding three simple initiatives to establish a stronger sense of community within the
writing intensive courses and the university as a whole as it continues with the QEP plan.
Summary
This chapter presented the data results and examination of how non-writing
faculty are incorporating writing in the classroom as part of a QEP university initiative.
The data showed faculty in the study depended on content, support from the English
department, and professional development in the areas of writing and student writing
assessment in order to successfully implement a writing initiative across the professional
disciplines. The data were collected using a qualitative survey, classroom observations,
and focus group. Chapter 5 presents the implications, recommendations, and conclusion
of this research study.
100
CHAPTER FIVE: DISCUSSION, IMPLICATIONS, AND RECOMMENDATIONS
Without formal training in teaching writing or knowledge of effective writing
strategies used in a traditional setting, instructors outside the language arts field may find
it difficult to assess student writing in the classroom. WAC initiatives of the 21st century
have been less helpful to writing initiatives outside traditional academia than initial tenets
of WAC established during the 1970s had been to writing in traditional settings. Current
WAC initiatives rely on data derived from traditional institutions of higher education
because of the lack of recent scholarship and publications available on WAC as it relates
to the professional disciplines such as interior design, graphic design, fashion, audio
production, and film production. Hassel (2013) stated a possible reason non-traditional
students lack writing proficiency after graduation may be indirectly the result of
insufficient research-based evidence of WAC working inside discipline-specific
classrooms within an art and design academic institution of higher education. This is
problematic to art and design faculty because students studying professional disciplines
have industry-specific writing needs that differ from those taught at traditional colleges
and universities (Kahn & Holody, 2012; Wingate et al., 2011).
The review of the literature for this study revealed gaps in WAC-related research,
particularly as related to writing across the professional disciplines. According to leading
scholars of WAC McLeod and Soven (2000), the importance of writing proficiency has
transgressed the realm of the liberal arts into the professional fields. Increasingly,
academic professionals outside language arts departments have been confronted with
having to deal with assessing student writing in the disciplines (Fernsten & Reda, 2011;
Perelman, 2011). Such experts in writing pedagogy as McLeod and Soven (2000)
101
believe current tenets of WAC align with the theoretical foundations of Britton and
Dewey because discovery and experiential learning in a community are essential
concepts in teaching WAC in the 21st century, as both theorists had originally stipulated.
In this study, the gaps in the literature identified in Chapter 2 were addressed by the data
results for each of the research questions, resulting in three thematic findings: (a)
professional experience and writing as knowledge-practice relationship, (b) image of
non-writing teachers teaching writing as professional practice, and (c) teachers teaching
current writing initiatives in a professional academic setting. Findings from Hassel
(2013), Addison and McGee (2010), and Mendenhall (2010) revealed gaps that parallel
the qualitative data yielded by non-writing faculty in this study related to teaching writing
within higher education.
The purpose of this exploratory case study was to identify effective methods
faculty and administrators without formal education in composition or language arts can
use to implement a writing-infused curriculum across the professional disciplines. The
study was conducted in a non-traditional university setting, specifically in a level three,
regionally accredited art and design university. Demographics for the study included a
total of 10 professors, both male and female. All participants for this study held master’s
degrees in their respective teaching disciplines. All participants were full-time faculty
members participating the university QEP pilot study, Writing Across the Professional
Disciplines.
There were five limitations to the study: participant selection, participants’
reflective responses, sample size, setting, and researcher bias. The participants were
already teaching QEP courses; therefore, the researcher had no control over who was
102
selected. Participants’ reflective responses to qualitative open-ended questions may have
been skewed because of their individual strengths and weaknesses. The setting for this
study was a limitation because the site did not have co-teaching, much writing center
support, or an official English department due to limited resources. Faculty development
opportunities were also few due to budget constraints, which posed a limitation. The
researcher was employed by the same institution where the study took place, which may
have caused bias in the interpretation of the data.
The four research questions for this study were aligned with Cochran-Smith and
Lytle’s (1999) five principles of the theory of teacher-learner community: (a) knowledge-
practice relationship; (b) image of knowledge; (c) image of teachers, teaching, and
professional practice; (d) images of teacher learning and teachers’ roles in educational
change; and (e) current initiatives:
1. What knowledge and methods do faculty members without formal education
in composition or language arts perceive as effectively used in a writing-
infused curriculum?
2. What knowledge do faculty members without formal education in
composition or language arts perceive as needed information in order to
improve a writing-infused curriculum?
3. In what ways can faculty members teaching writing-infused courses in the
disciplines assist in the development of writing initiatives?
4. In what ways can non-writing faculty’s knowledge and experience
implementing a writing-infused curriculum assist academic administrators in
current WAC initiatives?
103
This chapter contains a summary of the study’s purpose, summary of the literature
as it relates to WAC in the 21st century, a review of the methodology for this study,
demographics of participants in the study, and an analysis of data retrieved from this
study. It presents the implications and recommendations for further research, which are
aligned with the conceptual framework, research questions, and gaps in the literature.
Discussion of Findings
The data and analysis are presented individually by theme. Each of the three
themes that emerged from the data are presented and examined independently. Themes
are explained as they relate to the particular research question from which they derived
and from the data collected from the qualitative survey, researcher’s classroom
observations, and focus group. Following the thematic analysis, conclusions and
recommendations for further research are presented.
Theme I: Professional Experience and Writing as Knowledge-Practice Relationship
Theme I addressed the first and second research questions:
RQ1: What knowledge and methods do faculty members without formal
education in composition or language arts perceive as effectively used in a
writing-infused curriculum?
RQ2: What knowledge do faculty members without formal education in
composition or language arts perceive as needed information in order to improve
a writing-infused curriculum?
Both questions focused on the intellectual and academic needs of faculty without a liberal
arts background to improve the delivery of a writing-infused curriculum across the
disciplines.
104
Participant answers to questions Q2B and Q4B in the qualitative survey indicated
professional knowledge was necessary in order to create meaningful writing assignments
and tasks for students (See Appendix E). This finding is consistent with Addison and
McGee (2010) who stipulated writing instruction must occur in the disciplines. Writing
instruction strictly done in English classes should be for those students who are language
arts majors. Prior to Addison and McGee, Britton (1965), who subscribed to Vygotsky’s
SDT, which stresses the importance of collaboration during the learning process to ease
the transfer of knowledge, led the progressive education movement of the 1970s.
Findings for Theme I support the tenets of progressive education, specifically as they
relate to experiential learning. In the case of Theme I, non-language arts instructors are
able to infuse writing into the curriculum from a contextual perspective. In other words,
teaching writing contextually, or from within a specific discipline or content area, is most
effective for students attempting to apply writing skills outside their writing classes.
Participant responses also indicated student incorporation of content knowledge was
important for the successful completion of writing assignments. This suggested
participants were in agreement that students would be able to improve their writing skills
if they could relate writing assignments to discipline-specific topics, such as writing a
sales pitch, screenplay, or business proposal.
Answers to Q2B and Q4B in the qualitative survey inferred students would not be
able to function in the professional realm unless they understood information and
terminology specific to their intended career fields. According to Bazerman et al. (2005),
a successful WAC initiative would only be possible if content and writing were united.
After the analysis of data, it was determined that participants believed students’ ability to
105
self-express in writing was essential to success in a professional field, such as fashion,
audio production, or graphic design. Consistent with the research of Bazerman et al.
(2005) and McLeod and Soven (2000), participants in this study applied their
professional knowledge to the explanation of material in class, which would later be a
part of student writing assignments.
It was evident through responses on the survey and actions in the classroom noted
during the observations (See Appendix F) that participants wanted students to apply to
their writing information from textbooks as well as professors’ experiences shared in the
classroom. From classroom observations conducted during the study, the researcher
deduced that writing assignments were created in order to allow students to apply
classroom knowledge to real world scenarios. For example, professors’ explanations of
writing assignments were very specific and technical whereby content was often stressed
over correct grammar and usage (See Appendix F). Writing assignments primarily
focused on content knowledge over writing skills. Students were graded on the
application of content rather than on writing style. Questions students asked in class
were more about the nature or purpose of the assignment rather than writing format or
expectations.
Participant responses reflected those of Yageleski (2012), who stated
collaboration is an intrinsic part of writing instruction across the curriculum. In the focus
group, participants were very specific when making recommendations regarding student
writing assessment in the professional classroom. They would like students to read
material written for a professional audience. The discussion revealed that exposure to
such publications as trade magazines was invaluable for students’ academic and
106
professional development. These points clearly suggest a collaborative effort be made
between various parts of a university to support writing initiatives across the disciplines.
Participants in the various disciplines believed active student learning occurred through
their constant interaction with professional texts. These types of publications for
professionals in the various fields would be examples for students to follow in their own
professional and academic endeavors. Theme I indicated a strong connection between
writing assignments, writing skills, and content knowledge. Moreover, Theme I
supported Theme II because both derived from participant agreement that students,
instructors, content, and writing must be in sync for the transfer of knowledge to occur.
In other words, discipline-specific instructors and students studying a professional
discipline could best assess and improve writing skills respectively through the union of
content knowledge and writing.
Despite their lack of formal education in the language arts, participants were sure
students needed to improve writing and complete specific writing tasks alongside the
information they received in the classroom through books and teacher professional
experience. Condon and Rutz (2012) emphasized in their research that language arts and
non-language arts disciplines must “meet half way” (p. 358) to strengthen the dialogue
between the professional and more traditional academic disciplines.
Theme II: Image of Non-Writing Teachers Teaching Writing as Professional
Practice
Theme II addressed the third research question:
RQ3: In what ways can faculty members teaching writing-infused courses in the
disciplines assist in the development of writing initiatives?
107
RQ3 focused on how faculty without a formal academic background in the language arts
could help create, implement, and support writing initiatives. Participant answers to
qualitative survey questions Q1B, Q3B, and Q5B demonstrated a level of comfort with
writing was needed in order assess student writing in the professional disciplines as well
as help students improve their writing skills in discipline-specific writing tasks (See
Appendix E). These three questions asked participants to describe the nature and number
of writing assignments in their QEP classes, their comfort level with assessing student
writing, and identify who they believed was responsible for teaching writing skills in the
professional classroom.
Participants’ answers to questions on the survey demonstrated they felt
comfortable with writing as it related to content. This idea is consistent with Hassel’s
(2013) concept of “deep learning,” which assumes writing instruction is done with the
intent of being used “beyond school” (p. 148). The number and nature of the
assignments given to students in each class demonstrated participants’ participation in the
QEP writing initiative. However, they also mirrored the types of writing students would
be doing at work post-graduation. Participants referred to the nature of assignments
given to students and required content knowledge on these assignments to be essential.
In this study, data showed grammar and format, such as citations and research,
were not nearly as important as understanding the course material, applying the material
to real world situations, and being able to produce the type of writing product required in
the field, such as a business proposal or sales pitch. How the writing product was
constructed using correct grammar, academic structure, or citation format (in this case
MLA) was not a priority. Although formal research has not been done on this topic
108
specifically in an art and design setting, Mendenhall (2010) showed there needs to be a
pedagogical connection between writing done within the same discipline, ranging from
most basic to advanced (i.e., vertical legitimacy), as well as across different disciplines
(i.e., horizontal outreach). The implications of vertical legitimacy and horizontal
outreach in this theme is students would learn basic and advanced terminology in their
major-specific courses while perfecting their writing skills in their liberal arts elective
classes.
The description of the nature of the assignments as given in participant survey
answers showed instructors teaching within the professional disciplines at MIUAD were
primarily concerned with content and not writing per se. This was not surprising given
the apparent lack of both vertical legitimacy and horizontal outreach at this university.
The answers to Q1B supported the data participants provided for Theme I. Professional
knowledge was necessary to teach writing in the classroom through discipline-specific
writing assignments. The nature and number of writing assignments given for a grade in
participant classes indicated their understanding of industry standards for specific writing
products as well as the need to have students complete writing assignments as practice for
the real world.
Participants’ comfort level with writing assessment was possible through the
integration of content into writing assignments. Participants felt extremely comfortable
with assessing student writing, as writing assessment was merely a component of grading
discipline-specific writing assignments. Interestingly, however, answers to question Q5B
showed writing instruction was primarily the responsibility of English instructors alone,
or content and English instructors working together (See Appendix E). Classroom
109
observations revealed a strong relationship between content knowledge and writing
assessment taking place in discipline-specific writing tasks. For example, the researcher
noted that while participants explained writing assignments to students, their focus was
on the material that needed to be included in the assignment. Little, if any, explanation or
student questions related to writing format, citation format, length, or other writing-
centered concerns.
Observations reflected a strong bias toward the importance of content versus
writing conventions, such as main ideas, supporting details, and research citations.
Instructors teaching QEP classes at MIUAD were more concerned with student ability in
relation to industry standards, for example the inclusion of key terms or concepts in the
assignment, than academic writing standards. Their responses to question Q5B reflected
their belief that English instructors were primarily responsible for teaching the tenets of
academic writing and assisting content-specific instructors in the task. As previously
stated, given the lack of vertical legitimacy and horizontal outreach at this university,
participants in the study could not rely on their language arts colleagues to assist with
writing instruction (Mendenhall, 2010).
Question Q5B was an essential component of Theme II as it indicated non-
language arts instructors were not solely responsible for writing instruction even though it
occurred in the non-writing classroom. Moreover, participants’ reactions in the focus
group revealed a personal engagement in writing was necessary not only for their own
professional writing development, but also for the improvement of their writing
assessment skills. In addition, trade magazines and industry-related literature should be
110
incorporated in writing instruction. The focus group discussion indicated participants felt
students should be exposed to more professional publications in their intended fields.
Student immersion in the discipline through active engagement with professional
texts would be key to their ability to write better and understand discipline-specific
concepts. Reading examples of the types of writing assignments being asked of them
would be the best instruction and introduction to writing in discipline. This idea concurs
with Thaiss and Porter (2010) who postulated that the transfer of knowledge happens
when students learn within an academic, social, and contextual situation. By becoming
involved with reading material from the industry of which students are soon to be part,
they are able to actively apply class material to ideas and terminology presented in
professional publications.
Theme III: Teachers Teaching Writing Initiatives in a Professional Academic
Setting
Theme III addressed the fourth research question:
RQ4: In what ways can non-writing faculty’s knowledge and experience
implementing a writing-infused curriculum assist academic administrators in
current WAC initiatives?
RQ4 revealed WAC initiatives at MIUAD needed to be a joint effort between instructors
in the discipline, the English department, and administrators. Participants’ answers to
qualitative survey questions Q6B and Q7B indicated professional development, peer
mentorship, and guidance were needed for the infusion of writing into a professional
curriculum (See Appendix E).
111
Consistent with more recent literature and research on WAC, participants’
answers to both questions reflected the need for administrative support for a successful
WAC program within the professional disciplines (See Appendix E). Co-teaching with
English faculty, writing center support, and professional development activities were
essential in the ability of non-language arts faculty to create an effective writing-infused
classroom. Class size, administrative support, teaching students how to understand the
connection between writing and content, as well as making sure students’ interest in
writing is kept alive were all mentioned as needed in order for a writing initiative in a
professional setting to flourish. Perelman (2011) observed that WAC initiatives of the
21st century involved more administration than faculty. In fact, annual conferences on
WAC and composition studies have shown an increase in attendance from administrators.
The participants’ responses demonstrate the need for administrators to attend WAC
conferences in order to support and understand faculty needs during the implementation
of a writing initiative. Incorporating research into assignments was also of interest and a
must for students entering creative fields. Market research, analysis of industry trends,
and historical knowledge of industry-specific concepts are essential for student success
after graduation. Participants believed students at MIUAD specifically needed to better
understand the purpose of the QEP and how it would help them in their future personal
and professional endeavors. Hassel (2013) suggested that instructors set benchmarks and
goals for students to better understand the importance of writing in personal, academic,
and professional settings.
Participant responses leading to Theme III supported literature presenting
different strategies that could be used to assist non-writing faculty with writing
112
instruction in the disciplines. Responses were consistent with ideas presented in Chapter
2 by Hassel (2013), Addison and McGee (2010), and Mendenhall (2010) regarding
faculty development and effective strategies for the teaching of writing across the
disciplines. Insofar as activities participants felt were needed in order to assist art and
design faculty in the participation and implementation of a writing initiative, co-teaching,
improving personal writing skills, increasing the amount of time spent on writing, and
obtaining professional assistance with student writing assessment were among the top
suggestions participants offered (See Appendix E). Writing workshops and peer
mentoring with writing instructors were also deemed extremely helpful in creating a
collaborative academic environment between faculty across the disciplines. Creative
writing was one area where writing skills could be improved while remaining in a
creative environment.
Classroom observations proved helpful in providing specific examples of areas
where participants wanted students to seek outside help, such as proofreading, avoiding
plagiarism, understanding the purpose of an assignment as it related to the QEP, drafting
and revision, and citation format (See Appendix F). Participants encouraged students to
use the academic support services available even though MIUAD did not have a
comprehensive writing center. Participants suggested their students make an
appointment with a former writing instructor or librarian for advice on writing and
research. Although participants in the study did not believe they should be correcting
student grammar and usage, they felt having students review their writing assignments
with a writing expert was an important step in the learning process. Theme III tied into
both Themes I and II because it provided specific examples of how collaboration needs to
113
be in place in order for a writing initiative to be successful, specifically across the
professional disciplines. Theme I emerged from participants’ experiences with the
integration of content knowledge acquired through professional experience and writing in
their classroom, consistent with the emergence of Themes II and III, which touched upon
the integration of writing in the classroom, nature and purpose of writing assignments in
the classroom, as well as the need for collaboration and faculty professional development
on assessing student in a professional academic setting, using co-teaching, workshops
with the English department, writing center assistance, and support from university
administration implementing a writing initiative.
Implications
The overarching question guiding this study was: What effective methods can
faculty and administrators without formal education in writing composition and language
arts implement for a writing-infused curriculum? The concept of teachers as learners was
essential in the development of the research questions for this study, as well as the three
themes that emerged from the data collected. Research questions and themes aligned
with Cochran-Smith and Lytle’s (1999) theory of the teacher-learner community, the
theoretical framework used in this study. Cochran-Smith and Lytle’s ideas of
knowledge-practice, image of knowledge, and image of teacher learning role in current
initiatives are supported by the data because participants’ responses on the survey, the
researcher’s classroom observation notes, and discussion in the focus group demonstrated
instructors’ use of professional knowledge in practice in the classroom, the image of
professional knowledge as reflected in writing assignments used in QEP classes, and the
instructors’ role in implementing current QEP writing initiatives in the classroom.
114
Working as a community of learners, participants in the study exhibited that they
were encouraged by the incorporation of writing in the professional academic classroom
but needed guidance from administrators to bring this to fruition. Cochran-Smith and
Lytle (1999) suggested “inquiry as agency” as a method by which a community of
educators enter into a “common search for meaning in their work lives” (p. 294). QEP
instructors at MIUAD need to work collectively and ask questions regarding successful
writing strategies currently used in traditional institutions of higher education in order to
find a common meaning for writing in the professional disciplines. Through inquiry,
instructors might be able assist university administrators without a language arts
background find the tools necessary to create a writing-infused curriculum in an art and
design university setting.
Consistent with the existing literature on contextual learning as presented by
Britton (1965), McLeod and Soven (2000), Bazerman et al. (2005), Addison and McGee
(2010), and Mendenhall (2010), Cochran-Smith and Lytle’s (1999) concept of inquiry as
agency proposes that “teaching and thus teacher learning are centrally about forming and
re-forming frameworks for understanding practice” (p. 290). Inquiry “is intended to
capture some of the nature and extent to which those who teach and learn from teaching
by engaging in inquiry interpret and theorize what they are doing” (p. 291).
As adult learners, participants in this study required immersion in the content
knowledge along with tenets of academic writing to fully explain and become responsible
for student writing assessment in their classroom. Although co-teaching has been
recommended in the literature as an effective method by which WAC can be
accomplished, a lack of published data on WAC within the professional disciplines
115
makes it unclear whether this method would work in an art and design setting. Providing
instructors, as well as their students, across the professional disciplines with opportunities
to interact with emerging publications in industry may initiate academic written dialogue
in the professional fields. In agreement with Bruner’s (1974) philosophy of adult
learning as a “hands-on” activity, exposing instructors and students in the art and design
disciplines to discipline-specific publications, as well as discipline-specific writing, will
allow for the transfer of writing skills into content-specific writing situations.
Using current available data on WAC from traditional university settings has been
an initial introduction of the importance of writing and writing skills in the professional
disciplines. With the increase of technology-heavy professions, such as audio and film
production, interior design, graphic design, and fashion illustration, students attending
non-traditional colleges in these fields must be exposed to writing norms of their intended
professions. Administrators without a language arts background or traditional English
departments to assist in creating writing awareness in these non-traditional academic
settings need research and data from similar institutions in order to adapt programs and
studies to their particular needs and academic environment. Increasing knowledge and
comfort level with teaching and grading writing is necessary across the academic realm,
both in traditional and non-traditional settings. Without a living and growing body of
data and research on writing outside traditional academic settings, students graduating
from non-traditional universities may find themselves at a disadvantage post-graduation,
unable to complete written tasks required in a professional field due to their universities’
inability to teach and train them properly in the art of writing for their professional fields.
116
Recommendations
The recommendations for future study and transferability of the current study
include a number of suggestions. First, replications of this study should be conducted at
additional art and design universities that are regionally accredited or not regionally
accredited. Students graduating with a college degree regardless of the institution’s
accreditation standing, university instructors, and patrons should have access to data and
research on writing infusion across the professional disciplines. The reason for this is
because graduates from different types of universities will be participating in the
workforce and asked to produce writing.
Studies similar to this study should also take place at institutions with
comprehensive writing centers to see whether having additional academic support
services positively influences faculty and students participating in writing initiatives at
other art and design institutions. Addison and McGee (2010) reported the National
Commission of Writing stipulated 96% of employers consider writing skills as
“extremely important” (p. 166). In the report, audience and purpose were the two most
important aspects of writing employers expected students to know and understand. With
the assistance of a comprehensive writing center, future studies could specifically address
the issue of audience and purpose in student writing assignments outside their English
classes on content-specific assignments.
Future studies in writing for the professions should include a co-teaching
component. Much of the literature presented in this study stressed the need for
collaboration between professors from across the disciplines and writing experts in order
to help students improve their writing in discipline as well as work with faculty on
117
improving writing assessment skills. Funding should be available for additional
preparation and co-teaching. A pilot study should be used to select appropriate courses in
which this format would be most beneficial and effective.
Similar studies as this should allocate faculty development dollars to send non-
writing faculty to writing workshops, conferences, and creative writing classes. For art
and design faculty, personal and creative writing seemed to be a good place to initiate
personal growth in writing skills, according to the participants in this study.
Additionally, using other methodologies than a case study might yield results that would
add value to this study’s findings. A larger, more varied sample might prove valuable for
transferability.
“Deep learning,” as stipulated by Hassel (2013), should be the focus of future
studies on WAC, specifically as it relates to non-traditional settings. Deep learning
places emphasis on writing “beyond school” for the workplace. Students should be able
to apply the knowledge and writing skills acquired in college in industry. Through the
use of vertical legitimacy and horizontal outreach, faculty and administrators cover all
areas where writing takes place. Students learn the tenets of both academic and academic
writing. These two techniques allow for well-rounded writing infusion across and within
disciplines.
Future studies should use Addison and McGee’s (2010) recommended assessment
benchmarks for WAC to be successful in both non-traditional and traditional academic
settings, using the NSSE deep learning scale:
 Pre-writing activities—short writings prior to writing assignments to engage
students in the topic and writing process
118
 Clear expectations—clear directions and expectations (i.e., rubric) when
assigning writing tasks
 Higher-order writing—summarization, argumentation, and analysis
 Good instructor practices—collaboration in the classroom and peers
 Integrated media—multi-modal teaching for different learning styles
Studies conducted on writing across the professional disciplines should evaluate
courses in sequence. For example, a discipline-specific writing course in first semester
should combine content with writing instruction in order to allow students to make the
connection between the importance of writing as it relates to their future professional
endeavors.
University leaders should join professional organizations, such as NCTE and
CCCC, for scholarly support and guidance for administrators when adopting a writing-
infused curriculum across the professional disciplines.
Teacher resources in further studies should include increased faculty exposure to
writing workshops and conferences, which includes such topics as teaching writing to
underprepared college students, adult learners, non-traditional student learners, and
blended learning.
Future similar studies should make available a repository of writing assignments
created by language arts experts that can be used by faculty incorporating writing and
writing assessment in the disciplines.
Final Thoughts
This study helped bring to light some of the issues instructors encounter when
implementing writing in a professional academic environment. Although formal WAC
119
research in non-traditional university settings is scarce, participants in this study
expressed many of the same feelings and had similar experiences as did faculty
participating in WAC initiatives within traditional universities. Data for this study
revealed important themes and concepts for further investigation. A body of scholarly
research is necessary for WAC to continue to grow in the 21st century. With the
increasing number of non-traditional and underprepared students, as well as non-native
speakers entering colleges and universities now and in years to come, the need to teach,
assess, and assist students with writing will only increase. Faculty across the disciplines,
regardless of academic background, must work collaboratively with university
administrators to provide all students with adequate writing instruction and preparation
for successful professional lives.
120
REFERENCES
Accrediting Council for Independent Colleges and Schools. (2010). ACICS history.
Retrieved from http://www.acics.org/contact/content.aspx?id=2104
Addison, J., & McGee, S. J. (2010). Writing in high school/writing in college: Research
trends and future directions. College Composition and Communication (CCC),
62(1), 147-179.
Altbach, P. G., Gumport, P. J., & Berdahl, R. O. (Eds.). (2005). American higher
education in the twenty-first century: Social, political, and economic challenges.
Baltimore, MD: Johns Hopkins University Press.
Applebee, N. A., & Langer, J. A. (2009). What is happening in the teaching of writing?
English Journal, 98(5), 18-28.
Baxter, P., & Jack, S. (2008). Qualitative case study methodology: Study design and
implementation for novice readers. The Qualitative Report, 13(4), 544-559.
Bazerman, C., Little, J., Bethel, L., Chavkin, T., Fouquette, D., & Garufis, J. (2005).
Reference guide to writing across the curriculum. West Lafayette, IN: Parlor
Press.
Berrett, D. (2013, April 17). College and high school educators still disagree over
students’ preparedness. The Chronicle of Higher Education. Retrieved from
http://chronicle.com/article/CollegeHigh-School/138563
Bordelon, S. (2010). Restructuring English and society through an integrated curriculum:
Ruth Mary Weeks’s A correlated curriculum. Rhetoric Review, 29(3), 257-274.
Brent, D. (2012). Crossing boundaries: Co-op students relearning to write. College
Composition and Communication (CCC), 63(4), 558-592.
Britton, W. E. (1965). What is technical writing? College Composition and
Communication (CCC), 16(2), 113-116. Retrieved from
http://www.jstor.org/stable/354886
Bruner, J. (1974). Towards a theory of instruction. Cambridge, MA: Belknap Press.
Bryman, A. (2007). Research triangulation: Triangulation and measurement. Retrieved
from http://www.referenceworld.com/sage/socialscience/triangulation.pdf
Bullock, A. (1975). A language for life. Report of the Committee of Enquiry appointed by
the Secretary of State for Education and Science. London, England: Her
Majesty’s Stationery Office.
121
Cavender, A. (2010, April 23). Faculty benefits from writing across the curriculum. The
Chronicle of Higher Education. Retrieved from http://chronicle.com/blogs
/profhacker/faculty-benefits-from-writing-across-the-curriculum/23376
Cochran-Smith, M., & Lytle, S. L. (1999). Relationships of knowledge and practice:
Teacher learning in communities. Review of Research in Education, 24(1), 249-
305.
College preparedness lacking, forcing students into developmental coursework,
prompting some to drop out. (2012, June 18). Huffington Post. Retrieved from
http://www.huffingtonpost.com/2012/06/18/students-lacking-college-
_n_1606201.html?vi
Conant, J. B. (1945). General education in a free society: Report of the Harvard
Committee. Cambridge, MA: Harvard University Press.
Condon, W., & Rutz, C. (2012). A taxonomy of writing across the curriculum programs:
Evolving to serve broader agendas. College Composition and Communication
(CCC), 64(2), 357-382.
Conerly, B. (2012, August). The six classes that will make any college grad employable.
Forbes. Retrieved from http://www.forbes.com/sites/billconerly/2012/08/21/how-
to-make-a-college-graduate-employable/
Council of Chief State School Officers. (2012). Framework for English language
proficiency development standards corresponding to the Common Core State
Standards and the Next Generation Science Standards. Washington, DC: Author.
Creswell, J. W. (2007). Research design: Qualitative, quantitative, and mixed-methods
approaches (3rd ed.). Thousand Oaks, CA: Sage.
Crowley, S. (1998). Composition in the university: Historical and polemical essays.
Pittsburgh, PA: University of Pittsburgh Press.
Darton, R. (2011, April 17). Five myths about the “information age.” The Chronicle of
Higher Education. Retrieved from http://chronicle.com/article/5-Myths-About-
the-Information/127105/
Defazio, J., Josette, J., Tennant, F., & Hook, S. A. (2010). Academic literacy: The
importance of writing across the curriculum—A case study. Journal of the
Scholarship of Teaching and Learning, 10(2), 34-47.
Dewey, J. (2008). The later works of John Dewey, 1925 - 1953: 1938. In J. A. Boydston
(Ed.), Logic: The theory of inquiry, Vol. 12. Chicago, IL: Southern Illinois
University Press.
122
Dotolo, F., & Nicolay, T. (2008). Approaching history through literature: Generating
knowledge through writing and inquiry in a cross-disciplinary first-year learning
community. The History Teacher, 42(1), 25-34.
Elliot, N., Deess, P., Rudiny, A., & Joshi, K. (2012). Placement of students into first-year
writing courses. Research in the Teaching of English, 46, 284-321.
Fernsten, L. A., & Reda, M. (2011). Helping students meet the challenges of academic
writing. Teaching in Higher Education, 16(2), 171-182.
Findsen, B. (2007). Freirean philosophy and pedagogy in the adult education context:
The case of older adults’ learning. Studies in Philosophy and Education, 26, 545-
559.
Forman, J. (2008, June). Way beyond the basics: Working on cross-disciplinary faculty
teams. Business Communication Quarterly, 71(2), 211-216.
doi:10.1177/1080569908317080
Gruenbaum, E. A. (2012). Common literacy struggles with college students: Using the
reciprocal teaching technique. Journal of College Reading and Learning, 42(2),
110-116.
Hassel, H. (2013, May). Research gaps in teaching English in the two-year college.
Teaching English in the Two-Year College, 40(4), 343-363.
Helstad, K., & Lund, A. (2012). Teacher’s talk on students’ writing: Negotiating
students’ texts in interdisciplinary teacher teams. Teaching and Teacher
Education, 28, 599-608.
Johnson, B., & Christensen, L. (2007). Educational research: Quantitative, qualitative,
and mixed approaches (3rd ed.). Thousand Oaks, CA: Sage.
Kahn, J. M., & Holody, R. (2012). Supporting field instructors’ efforts to help students
improve writing. Journal of Social Work Education, 48(1), 65-73.
Kellogg, R. T., & Whiteford, A. P. (2009). Training advanced writing skills: The case for
deliberate practice. Educational Psychologist, 44(4), 250-266.
Knowles, M. (1975). Self-directed learning: A guide for learners and teachers. New
York, NY: Associated Press.
Kristeva, J., Roudiez, L. S. (Ed.), & Jardine, A. (Ed.). (1980). Desire in language: A
semiotic approach to literature and art (5th ed.; T. Gora, Trans.). New York, NY:
Columbia University Press.
Light, R. (2012). Educational impact of changing student demographics in colleges and
universities. Retrieved from American Academy of Arts and Sciences, Academy
Projects website: http://www.amacad.org/projects/diversity.aspx
123
Lucas, C. (2006). American higher education (2nd ed.). New York, NY: Palgrave.
McLeod, S. (2013). Lev Vygotsky. Simply Psychology. Retrieved from
http://www.simplypsychology.org/vygotsky.html
McLeod, S. H., & Soven, M. (Eds.). (2000). Writing across the curriculum: A guide to
developing programs. Fort Collins, CO: WAC Clearinghouse. Retrieved from
http://aw.colostate.edu/books
Meizrow, J. (1997). Transformative learning: Theory to practice. New Directions for
Adult and Continuing Education, 74, 5-12.
Mendenhall, A. (2010). The historical problem of vertical coherence: Writing, research,
and legitimacy in early 20th century rhetoric and composition. Composition
Studies, 41(1), 84-100.
Monroe, J. (2003, Fall). Writing and the disciplines. peerREVIEW. Retrieved from
http://aacu.org/peerreview/pr-fa03/PRFall03Feature1.pdf
Mullin, J. A. (2008). Interdisciplinary work and professional development. Pedagogy:
Critical Approaches to Teaching Literature, Language, Composition, and
Culture, 8(3), 495-508.
National Commission on Writing. (2003). The neglected “R”: A need for a writing
revolution. New York, NY: College Entrance Examination Board.
New England Association of Schools and Colleges: Commission on Institutions of
Higher Education. (2011). Standards of accreditation. Burlington, MA: Author.
Pelez, K. (1982). James Britton and the pedagogy of advanced composition. Journal of
Advanced Composition, 3(1-2), 1-9.
Perelman, L. (2011, December). WAC revisited: You get what you pay for. The Writing
Instructor. Retrieved from http://www.writinginstructor.com/30wac
Pirnay-Dummer, P., Ifenthaler, D., & Seel, N. M. (2012). Theoretical foundations of
learning environments. New York, NY: Routledge.
Richards, I. A. (1936). The philosophy of rhetoric. Oxford, England: Oxford University
Press.
San Diego State University. (n.d.). What is rhetoric? Retrieved from
http://rhetoric.sdsu.edu/about_us/what_is_rhetoric.htm
Schmidt, P. (2008, May 30). Higher education is in flux as demographics change, federal
report shows. The Chronicle of Higher Education. Retrieved from
http://chronicle.com/article/Higher-Education-Is-in-Flux-as/851
124
Shockley-Zalabak, P. S. (2009). Fundamentals of organizational communication:
Knowledge, sensitivity, skills, values (7th ed.). Boston, MA: Pearson Learning
Solutions.
Southern Association of Colleges and Schools Commission on Colleges. (2012). The
principles of accreditation: Foundations for quality enhancement (4th ed.).
Decatur, GA: Author.
Spafford, I. (1943). Building a curriculum for general education: A description of the
general education program. Minneapolis, MN: University of Minnesota Press.
Taylor, B., & Kroth, M. (2009). Andragogy’s transition into the future: Meta-analysis of
andragogy and its search for a measurable instrument. Journal of Adult
Education, 38(1), 1-10.
Thaiss, C., & Porter, T. (2010). The state of WAC/WID in 2010: Methods and results of
the U.S. survey of the International WAC/WID Mapping Project. National
Council of Teachers of English (NCTE), 16(3), 534-570.
Vander Ark, T. (2013, February 19). Writing across the curriculum with the Literacy
Design Collaborative. Education Week. Retrieved from
http://blogs.edweek.org/edweek/on_innovation/2013/02
/writing_across_the_curriculum_with_the_literacy_design_collaborative.html
Vasilachis de Gialdino, I. (2011). Ontological and epistemological foundations of
qualitative research. Forum Qualitative Sozialforschung / Forum: Qualitative
Social Research, 10(2). Retrieved from http://nbn-resolving.de/urn:nbn:de:0114-
fqs0902307
Weimer, W. (2013, March 6). What types of writing assignments are in your syllabus?
[Web log post]. Retrieved from http://www.facultyfocus.com/articles/teaching-
professor-blog/what-types-of-writing-assignments-are-in-your-syllabus/
Wingate, U., Andon, N., & Cogo, A. (2011). Embedding academic writing instruction
into subject teaching: A case study. Active Learning in Higher Education, 12(1),
69-81.
Woodward-Kron, R. (2008). More than just jargon—Nature and role of specialist
language in learning disciplinary knowledge. Journal of English for Academic
Purposes, 7, 234-249.
Woodward-Kron, R. (2009). “This means that…”: A linguistic perspective of writing and
learning in a discipline. Journal of English for Academic Purposes, 8, 165-179.
Yageleski, R. P. (2012, February). Writing as praxis. English Education, 44(2), 188-204.
Yale University. (1828). Reports of the course of instruction in Yale College. New
Haven, CT: Hezekiah Howe.
125
Yin, R. K. (2011). Applications of case study research (3rd ed.). Thousand Oaks, CA:
Sage.
Young, R. V. (2010). How the standard freshman writing course went from boot camp to
waste of time. Freshman Comp, Then and Now. Retrieved from the John William
Pope Center for Higher Education website: http://www.popcenter.or
/commentaries/article.html?id=2404
Zumbrunn, S., & Krause, K. (2012). Conversations with leaders: Principles of effective
writing instruction. The Reading Teacher, 65(5), 346-353.
126
APPENDICES
127
APPENDIX A
Letter of Permission
128
Michelle A. Stefano
455 NE 25 Street, Apt. 401
Miami, FL 33137
June 5, 2013
Daniel Chaskes, Ph.D
Director, Quality Enhancement Plan
Miami International University of Art and Design
1501 Biscayne Boulevard
Miami, FL 33132
RE: Letter of Permission to Conduct Research
Dear Dr. Chaskes:
I am a doctoral candidate in the College of Education at Argosy University, Sarasota. I am writing this
letter to request permission to conduct research for my doctoral dissertation at Miami International
University of Art and Design (MIUAD). The purpose of this exploratory case study would be to identify
effective methods by which faculty and administrators without formal education in composition or
language arts can implement a writing-infused curriculum across the professional disciplines. I believe this
study would help administrators without a formal language arts background address issues of writing
deficiencies in their academic programs, outside the liberal arts context.
My research study is entitled An Exploratory Case Study: Faculty Involvement in Developing Writing-
Infused Courses Within the Professional Disciplines. My proposed research study will entail working with
twelve faculty members teaching quality enhancement plan (QEP) courses at your institution. The research
that would be conducted at MIUAD would include a thirty minute classroom observation per QEP faculty
member, a focus group with the QEP faculty off campus, and the completion of a brief questionnaire
modeled after Cochran-Smith and Lytle’s (1999) theory of “teacher-learner community.” Although
students are not a part of my study, should any student-related issues arise during the study student rights
will be protected according to FERPA guidelines.
All identifying faculty information will be kept confidential in this process, but the results of the research
will be shared with you upon completion and perhaps might contribute to your own institutional
effectiveness reporting and improvement process.
If this request is agreeable with you, please confirm this request in a signed letter.
Respectfully,
Michelle A. Stefano
129
June 5, 2013
Argosy University Institutional Review Board
Dissertation Committee Chair—Ruth Rucker, PhD
5250 17th
Street
Sarasota, FL 34235
RE: Permission to Conduct Research
Michelle A. Stefano, Argosy University Doctoral Candidate, has permission from Miami
International University of Art and Design to conduct research at our Miami Campus for
her research study, An Exploratory Case Study: Faculty Involvement in Developing
Writing-Infused Courses Within the Professional Disciplines.
Ms. Stefano will contact twelve faculty members teaching quality enhancement plan
(QEP) to obtain consent from them through the presentation of information pertaining to
her study. The collection of data would take place during the fall term 2013. The
research that would be conducted at MIUAD would include a thirty minute classroom
observation per QEP faculty member, a focus group with the QEP faculty off campus,
and the completion of a brief questionnaire. Should any student-related issues arise
during the study student rights will be protected according to FERPA guidelines.
Ms. Stefano has agreed to maintain all identifying faculty information confidential and
share the results of the research for from Miami International University of Art and
Design’s own institutional effectiveness reporting and improvement process.
If there are any questions, please contact my office.
Daniel Chaskes, PhD
QEP Director
130
Michelle A. Stefano
455 NE 25 Street, Apt. 401
Miami, FL 33137
June 5, 2013
Paul Cox, Ph.D
Dean of Academic Affairs
Miami International University of Art and Design
1501 Biscayne Boulevard
Miami, FL 33132
RE: Letter of Permission to Conduct Research
Dear Dean Cox:
I am a doctoral candidate in the College of Education at Argosy University, Sarasota. I am writing this
letter to request permission to conduct research for my doctoral dissertation at Miami International
University of Art and Design (MIUAD). The purpose of this exploratory case study would be to identify
effective methods by which faculty and administrators without formal education in composition or
language arts can implement a writing-infused curriculum across the professional disciplines. I believe this
study would help administrators without a formal language arts background address issues of writing
deficiencies in their academic programs, outside the liberal arts context.
My research study is entitled An Exploratory Case Study: Faculty Involvement in Developing Writing-
Infused Courses Within the Professional Disciplines. My proposed research study will entail working with
twelve faculty members teaching quality enhancement plan (QEP) courses at your institution. The research
that would be conducted at MIUAD would include a thirty minute classroom observation per QEP faculty
member, a focus group with the QEP faculty off campus, and the completion of a brief questionnaire
modeled after Cochran-Smith and Lytle’s (1999) theory of “teacher-learner community.” Although
students are not a part of my study, should any student-related issues arise during the study student rights
will be protected according to FERPA guidelines.
In addition to obtaining permission to conduct research at MIUAD from you, and with your permission, I
will also contact the QEP Director, Dr. Daniel Chaskes, for his consent and cooperation in conducting
research at MIUAD. He is directly involved in the daily operations of QEP initiatives at the university and
is the primary contact person for all QEP-related inquiries and initiatives.
All identifying faculty information will be kept confidential in this process, but the results of the research
will be shared with you upon completion and perhaps might contribute to your own institutional
effectiveness reporting and improvement process.
If this request is agreeable with you, please confirm this request in a signed letter.
Respectfully,
Michelle A. Stefano
131
June 5, 2013
Argosy University Institutional Review Board
Dissertation Committee Chair—Ruth Rucker, PhD
5250 17th
Street
Sarasota, FL 34235
RE: Permission to Conduct Research
Michelle A. Stefano, Argosy University Doctoral Candidate, has permission from Miami
International University of Art and Design to conduct research at our Miami Campus for
her research study, An Exploratory Case Study: Faculty Involvement in Developing
Writing-Infused Courses Within the Professional Disciplines.
Ms. Stefano will contact twelve faculty members teaching quality enhancement plan
(QEP) to obtain consent from them through the presentation of information pertaining to
her study. The collection of data would take place during the fall term 2013. The
research that would be conducted at MIUAD would include a thirty minute classroom
observation per QEP faculty member, a focus group with the QEP faculty off campus,
and the completion of a brief questionnaire. Should any student-related issues arise
during the study student rights will be protected according to FERPA guidelines.
In addition to granting permission to conduct research at from Miami International
University of Art and Design, Miami campus, I also grant Ms. Stefano permission to
contact the QEP Director, Dr. Daniel Chaskes, for his consent and cooperation in the
research study. He is directly involved in the daily operations of QEP initiatives at the
university and is the primary contact person for all QEP-related inquiries and initiatives.
Ms. Stefano has agreed to maintain all identifying faculty information confidential and
share the results of the research for from Miami International University of Art and
Design’s own institutional effectiveness reporting and improvement process.
If there are any questions, please contact my office.
Paul M. Cox, Ph.D.
Dean | Academic Affairs
Ai Miami International University of Art & Design
1501 Biscayne Blvd, Ste 100, Miami, Fl 33132-1418
(305) 428-5656
www.mymiu.edu
132
APPENDIX B
Consent Form and Invitation
133
July 29, 2013
Dear Prospective Participant:
My name is Michelle A. Stefano and I am a doctoral student in the Educational
Leadership department at Argosy University-Sarasota working on my dissertation. This
study is a requirement to fulfill my degree and will not be used for decision-making by
any organization. This study is for research purposes only.
You are cordially invited to volunteer your participation in my dissertation research. The
purpose of this research study would be to identify effective methods by which faculty
and administrators without formal education in composition or language arts can
implement a writing-infused curriculum across the professional disciplines.
What Will Be Involved If You Participate?
Your participation in this study is completely voluntary. If you participate in this
research, you will be asked complete and/or participate in the following:
1) The completion of a brief questionnaire consisting of 10 questions
2) One thirty minute classroom observation at your convenience
3) One focus group with the QEP faculty off campus
How Long Will This Study Take?
The research will be conducted between August 2013 and September 2013. You will be
asked to participate during this timeframe.
What If You Change Your Mind About Participating?
You can withdraw at any time during the study. Your participation is completely
voluntary. If you choose to withdraw, your data can be withdrawn as long as it is
identifiable. Your decision about whether to participate or to discontinue participating
will not jeopardize your future relations with Argosy University-Sarasota or your
educational institution. You can do so without fear of penalty or negative consequences
of any kind.
How Will Your Information Be Treated?
The information you provide for this research will be treated confidentially, and all data
(written and recorded) will be kept securely. Written documentations will be stored in a
locked file cabinet, accessible only by me, in my home. Recorded data and transcribed
data will be stored on my personal password protected laptop, which accessible only by
me, then transferred to the locked cabinet after the research is completed. Results of the
research will be reported as summary data only, and no individually identifiable
information will be presented. In the event your information is quoted in the written
results, I will use pseudonyms or codes to maintain your confidentiality.
All information obtained will be held with the strictest confidentiality. You will be asked
to refrain from placing your name or any other identifying information on any research
134
form or protocols to further ensure confidentiality is maintained at all times. All recorded
information will be stored securely for five years, as per Argosy University-Sarasota
requirements. At the end of the three years, all recorded data and other information will
be deleted and all written data will be shredded.
What Are the Benefits in This Study?
There will be no direct or immediate personal benefits from your participation in this
research, except for the contribution to the study. For the professional audience, the
potential benefit of this research will provide additional knowledge to the literature on
writing in the professional disciplines, specifically within an art and design university. I
believe this study would help administrators without a formal language arts background
address issues of writing deficiencies in their academic programs, outside the liberal arts
context.
You also have the right to review the results of the research if you wish to do so. A copy
of the results may be obtained by contacting Michelle A. Stefano at:
Email: mstefano@aii.edu or Phone: 305-205-1509
Additionally, should you have specific concerns or questions, you may contact my
dissertation chair, Dr. Ruth Rucker at Argosy University-Sarasota, by phone at 706-860-
0313 or email at rrucker@argosy.edu, or Dr. Coovert, IRB Chair, Argosy University-
Sarasota, 5250 17th Street Sarasota, FL 34235, or by phone at 941-379-0404 or email at
dcoovert@argosy.edu.
I have read and understand the information explaining the purpose of this research and
my rights and responsibilities as a participant. My signature below designates my consent
to voluntarily participate in this research, according to the terms and conditions outlined
above.
Participant's Signature: ________________________________ Date: _______________
Print Name: ___________________________________
(The participant should retain one of the two copies of the consent letter provided by the
principal investigator.)
135
APPENDIX C
Research Instrument
136
FACULTY QUALITATIVE SURVEY
EFFECTIVE STRATEGIES FOR
IMPLEMENTING A WRITING-
INFUSED CURRICULUM
The purpose of this research study is to identify effective methods by which faculty
and administrators without formal education in composition or language arts can
implement a writing-infused curriculum across the professional disciplines. By
completing and turning in this survey, you are giving your consent for the
researcher/principal investigator to include your responses in his/her data analysis.
Your participation in this research study is strictly voluntary, and you may choose
not to participate without fear of penalty or any negative consequences. Individual
responses will be treated confidentially. No individually identifiable information will
be disclosed or published, and all results will be presented as aggregate, summary
data. If you wish, you may request a copy of the results of this research study by
writing to the researcher/principal investigator at: Michelle A. Stefano, 455 NE 25
Street, Apt. 401, Miami, FL, 33137.
Demographic Information
Question IA (Q1A)
Indicate the discipline in which you earned your highest academic degree:
_____________________________________________________________
Question IIA (Q2A)
What courses do you teach in the discipline?
_______________________________________________________________
Directions: For each question, please provide detailed responses for the questions
below. Use specific examples when entering your response
Question IB (Q1B)
How many writing assignments are students required to complete for your
course? (Briefly describe the nature of these assignments)
Question IIB (Q2B)
How many of these writing assignments require discipline-specific knowledge to
complete? (Please describe)
Question IIIB (Q3B)
How comfortable are you with assessing students’ writing skills? (Select from
choices below)
___ Not Comfortable
___ Somewhat Not Comfortable
___ Comfortable
___ Somewhat Comfortable
137
____ Extremely Comfortable
Question IVB (Q4B)
How do you apply your writing experience as a professional in your field to your
classroom practices? (Please describe)
Question VB (Q5B)
Who do you believe is primarily responsible for writing instruction at the
university?
___ English instructors
___ Writing center tutors
___ Instructors in the discipline
___ Both English and discipline-specific instructors
___ All of the above
Question VIB (Q6B)
From your experience in your QEP course at Miami International University of
Art and Design, how could administrators further assist faculty in the QEP writing
initiative?
Question VIIB (Q7B)
Directions:
From the following list, select at least four activities that you consider the most
helpful to art and design faculty participating in a writing in the disciplines
initiative?
_____ Pursuing formal education
_____ Obtaining professional development in the area of student writing
assessment
_____ Attending academic conferences on topics related to writing and
composition
_____ Participating in mentoring, peer-to-peer
_____ Co-teaching discipline-specific courses with English faculty
_____ Sharpening my writing skills using software or online tutorials
_____ Attending face-to-face faculty writing workshops at the university
_____ Increasing the amount of writing I do on my own time
Additional Suggestions:
Thank you for your time in completing this questionnaire.
138
APPENDIX D
Check List for Participant Observation
139
Check List for Participant Observation
 Nature of the assignment:
1. In class, out of class
2. Research paper
3. Critique
4. Other
 Professor expectations on the assignment:
1. MLA, citations
2. length
3. focus
 Professor explanation of the assignment:
1. On what did s/he spend time?
2. What was stressed in the explanation?
3. What are expectations of professor from student assignments?
 Student Q & A? Y/N
1. How does professor address questions?
2. Anything s/he needs to double check regarding writing?
140
3. Did the professor refer students to WC or English dept for assistance?
4. Any other resources professor mentions as a guide to assist students?
 Professor balance between content and writing on assignment:
1. Was one stressed more than the other?
 Professor’s integration of assignment into course objectives:
141
APPENDIX E
Qualitative Survey Responses
142
Q1 Indicate the discipline in which you
earned your highest academic degree:
# Responses Date
1 Master of Fine Art, Painting 10/15/2013 8:07 AM
2 Fine Arts 10/9/2013 10:50 AM
3 Audio Engineering 10/8/2013 12:13 PM
4 Journalism/Communication 10/7/2013 4:10 PM
5 FILM 10/6/2013 6:48 PM
6 Computer Animation 10/5/2013 11:14 AM
7 Architecture 10/2/2013 4:34 PM
8 Visual Communication with specialties in Graphic Design and animation 9/22/2013 10:47 PM
9 MFA Fashion Design 9/16/2013 9:29 PM
10 Master of Art - Computer Animation 9/16/2013 7:46 PM
Q2 What courses do you teach in the
discipline?
Responses Date
1 Drawing, Painting, Design 10/15/2013 8:07 AM
2 Electronic Field Produc tion, Screenwriting, Video Produc tion, Aesthetics 10/9/2013 10:50 AM
3 Audio Recording I and II Digital Audio III 10/8/2013 12:13 PM
4 Effective Communication 10/7/2013 4:10 PM
5 All levels of screenwrting classes, Film apprec iation, etc. 10/6/2013 6:48 PM
6 Modeling I, Modeling III, Performance & Story Development, Digital Imaging,
Internship, Texturing I. VFX-Art Direction, Matte Painting, Intro to 3D
10/5/2013 11:14 AM
7 Interior Design Studios (residential and commercial projects), Lighting Design
(residential and commercial), and Perspec tive Drawing.
10/2/2013 4:34 PM
8 Graphic Design History, Collateral Design, Typography, Concept Design, Graphic Sym
bolism, Digital
9/22/2013 10:47 PM
9 Fashion Design I & Fashion Trends II which involves the 3 Fashion Majors 9/16/2013 9:29 PM
1
0
Animation 1, Animation2, Print Portfolio, Storyboard, Performance and Storytelling, Digi
tal
9/16/2013 7:46 PM
143
Q3 How many writing assignments are students
required to complete for your course? (Briefly
describe the nature of these assignments)
# Responses Date
1 None 10/15/2013 8:07 AM
2 In Electronic Field Produc tion students must write a proposal for their documentaries.
the proposal is geared towards obtaining funding. Each week for the first half of the c
ourse the students work on one portion of the proposal. They write a filmmaker bi
ography, a summary of their project concept, a strategy for fundraising, a budget, distri
bution and marketing strategies and a strategy for audience and community engagem
ent. Audience and community engagement is the plan for getting people to see the fil
m and to take whatever action the filmmaker is hoping for upon seeing the film. For
example, engaging on social media, signing a petition, making a donation etc.
10/9/2013 10:50 AM
3 2 papers required for the QEP in Audio Recording I 10/8/2013 12:13 PM
4 There are 6 written assignments in the course. 2 are extensive researc h projects 1 is
an analysis with a researc h component but it is not as extensive as the first 2 assignm
ents described above. 3 are short (1 page) assignments based on a reading which I
provide to them. Depending on their development through these assigments, I may
add more writing assignments as needed.
10/7/2013 4:10 PM
5 They are all writing classes. In addition to homework, which consists of
preparations to write screenplays, they also write--and rewrite-- screenplays.
10/6/2013 6:48 PM
6 It varies; in studio intensive courses, it is mostly 1, a small researc h piece. In the writi
ng courses, there are at least 3-5 writing assignments.
10/5/2013 11:14 AM
7 For the design studios, two per course: a brief concept statement and a researc
h/response paper to promote evidence-based design. The lighting classes require a c
oncept statement for each project (two per quarter), and many test questions prompt
short-form essays. The drawing class rather pointedly has no written component.
10/2/2013 4:34 PM
8 In most of them Creative briefs, in the ones that are QEP Two essays 9/22/2013 10:47 PM
9 2 diagnostic assignments, both involve using proper fashion terminology and recogniti
on of the fashion trends for the current season. The more extensive assignments are:
Comment on the last 10 years of Haute Couture collections millinery and the im
portanc e to current fashion and its trends. The last is related to the visit to one single
designer store in Bal Harbour Shops and interpret the Trends of the season used by that
specific designer house.
9/16/2013 9:29 PM
1
0
2 One company researc h piece in order to prepare them for potential job interviews
and one freelance work contract.
9/16/2013 7:46 PM
144
Q4 How many of these writing
assignments require discipline-
specific knowledge to complete?
(Please describe)
# Responses Date
1 N/A 10/15/2013 8:07 AM
2 Most of these assignments require discipline-spec ific knowledge to compl
ete. For the biography you would have to know what to include, for the
budget you would have to know what equipment, crew, software, produc tion
design that you would need. For the marketing strategy you would need to
know how to navigate online distribution and how to put together a trailer.
10/9/2013 10:50 AM
3 Both papers require discipline-spec ific knowledge. 10/8/2013 12:13 PM
4 All of the assignments require discipline specific knowledge to complete succ 10/7/2013 4:10 PM
5 All of the sceenplays. 10/6/2013 6:48 PM
6 There needs to be a general understandi ng of the discipline but a lot is
building up on the skills learned in the English courses.
10/5/2013 11:14 AM
7 All of them. 10/2/2013 4:34 PM
8 All of them have to do with graphic design 9/22/2013 10:47 PM
9 All, the class is divided in 2 parts the first part is learning proper fashion
terminology for shoes, hats, garments and garment pieces, and handbags. T
he second part is all about the recognition, understandi ng and developing
the sensibility to recognize trends.
9/16/2013 9:29 PM
10 Both do 9/16/2013 7:46 PM
Q5 How comfortable are you
with assessing students’ writing
skills?
Answ er Choices Responses
Not Comfortable 10%
Somewhat Not Comfortable 10%
Comfortable 10%
Somewhat Comfortable 30%
Extremely Comfortable 40%
Total 10
145
Q6 How do you apply your writing
experience as a professional in your field
to your classroom practices?
# Responses Date
1 As an artist I must write about my own work for exhibition applications, etc. 10/15/2013 8:07 AM
2 I am most comfortable critiquing screenplays. I have written several screenpl
ays and I have had films screen at festivals and was awarded a screenwriting
fellowship. In terms of the Electronic Field Production course, I am working
on my own grant proposals for my documentary.
10/9/2013 10:50 AM
3 My field does not really require a lot of writing, but there is a lot of terminology
that we need to learn in order to communicate with our colleagues. So in my cl
asses I make sure all the students learn the terminology. If they need to write
something I know they will use the right words.
10/8/2013 12:13 PM
4 I have 18 years of experience in professional journalism. The writing style in
the course I teach aligns with the style of writing I honed in my journalism
work. For this reason I was comfortable evaluating students' writing. If I were
having to evaluate writing in another style (creative/fiction) I would be less c
omfortable. For this specific course, it is essential that an instructor be skilled i
n writing for professional audiences and oral engagement/delivery of the writi
10/7/2013 4:10 PM
5 Through workshoppi ng their screenplays and providing them written notes. 10/6/2013 6:48 PM
6 With examples mostly. My experience dictates what I need to bring to the cl
assroom as far as what I
10/5/2013 11:14 AM
7 Decline to answer. 10/2/2013 4:34 PM
8 Mostly in the form of Creative brief writing, establishing strategies in written
format, brainstorming and slogan building
9/22/2013 10:47 PM
9 Fashion writing is not as other fields, it requires very detailed sensibility to
detail. Using proper professional terminology allows you to be very detailed
and specific in the description of a garment and the proper trends.
9/16/2013 9:29 PM
10 I cite referenc es that I use myself. 9/16/2013 7:46 PM
Q7 Who do you believe is
primarily responsible for writing
instruction at the university?
Answ er Choices Responses
English instructors 30%
Writing center tutors 0%
Instruc tors in the discipline 10%
Both English and discipline-spec ific instructors 30%
All of the above 30%
Total 10
146
Q8 From your experience in your QEP
course at Miami International University of
Art and Design, how could administrators
further assist faculty in the QEP writing
initiative?
# Responses Date
1 It would be helpful if we has a meeting in which one essay was graded together
with the QEP
10/15/2013 8:07 AM
2 I haven't taught a QEP course yet. 10/9/2013 10:50 AM
3 No comment 10/8/2013 12:13 PM
4 Class size is important. The only way to evaluate and provide quality
feedbac k is by having students complete a significant amount of writing in
the course. Large class sizes make this a prohibitive situation. Furthermore,
faculty needs training beyond occasional meetings to talk about the QEP.
Faculty training is crucial.
10/7/2013 4:10 PM
5 By helping professors evaluate writing more effectively. 10/6/2013 6:48 PM
6 I think having more tutors in the Learning Center and structured hours that
we can send students on their own time would be better.
10/5/2013 11:14 AM
7 By taking ownership. Substanti al writing assignments (researc h papers) were al
ready components of my studio classes well in advanc e of the QEP initiative's i
nception, and I feel students understand the value in how their findings will i
nform the design decisions they make throughout the quarter simply from my
own interest in guiding the content and structure/grammar of these topical
essays. The QEP diagnostics should be issued not by the course instructor but
by QEP faculty to distinguish QEP tasks from those that contribute more directl
y to the course (and its grade). The energy and enthusiasm with which students
approac h their course-c ontributing writing assignments is drained by these di
10/2/2013 4:34 PM
8 It would be wonderful if English teachers would grade the essays 9/22/2013 10:47 PM
9 This is my first quarter as having a QEP class so i am still learning
and observing how to take advantage of the class. I think the students
are very eager to to improve their writing skills. Administrators can
help proper this initiative to keep this interest alive
9/16/2013 9:29 PM
10 Review course materials for accuracy 9/16/2013 7:46 PM
147
Q9 From the following list, select
at least four activities that you
consider the most helpful to art
and design faculty participating
in a writing in the disciplines
initiative?
Answ er Choices Responses
Pursuing formal education 40%
Obtaining professional development in the area of student writing assessment 50%
Attending academic conferenc es on topics related to writing and composition 40%
Participating in mentoring, peer-to-peer 30%
Co-teac hing discipline-spec ific courses with English faculty 60%
Sharpening my writing skills using software or online tutorials 20%
Attending face-to-fac e faculty writing workshops at the university 50%
Increasing the amount of writing I do on my own time 60%
Other (please specify) 30%
Total Respondents: 10
Other:
1. Faculty should be encouraged to write for the field in which they teach. Faculty teaching a QEP
course in Audio, ID, Fashion, etc. 31ould be making the effort to write in that field,either academically
(research) or profes9onally (industry/consumer oriented work). This does not have to mean publi ffiing;
it can also be writing for executing any professional transaction. Thisruggestion may be an ideal, but
otherwise, I do not know what qualifies some instructors to evaluate the writing of students.
2 Very specific to me, I would like to take more creative writing courses and develop my own writing.
3 The more one reads, from discipline-specific industry publicationsto works from outs de the
profes9onal realm (for diversty or diversion), the more one's familiarity with language and (by
extension) writing ability will be developed. None of the above options acknowledges that the
best writers read constantly but rarely-if-ever receive instruction on the craft.
148
APPENDIX F
Classroom Observation Notes
149
Classroom Observation Notes for Nature of Assignment
Participant Nature of the assignment: in-class, out of class/ research
paper/critique/other
OBV1 In class writing final exam-painting class. Critiquing
Carvaggio: Conversion of St Paul. Image projected on slide.
Response to Carvaggio film and "chiaroscuro." No MLA
discussed. Was an in class writing. Length was three
paragraphs. Introduction and conclusion may be a fourth
paragraph. One hour timed writing. Visual image was stressed
and thoroughly explained. Content was stressed over writing
quality. Professor expected students to focus on the color of the
painting and contextual representation. Professor uses grading
rubric.
OBV2 Out of class. Documentary project proposal. No MLA. Length
one paragraph or more. Professor focused on specificity of
writing. Interested in lifestyle of target group.
OBV3 Out of class. Two research papers on the topic of electronic
media and change through time. Students develop survey on
evolution of audio and its impact on music creation process. No
MLA. Length Double spaced. Two pages each. Research is
important. Citations not mentioned. Content stressed. Professor
explained what he wanted in the paper. Students need to
analyze each interface and why it works in each specific
situation-paper 2. Paper 1 is more of a historical piece for this
beginning level class. Professor explained the purpose of
assignment as important for QEP and also for students to
understand better the audio industry. Listening to old records
was suggested.
OBV4 Out of class. Summary of chapter. No MLA. Length one to
two pages. Critical thinking is essential. Professor specified
how specific she wanted writing. Examples of what students
felt was important in each chapter summary and analysis.
150
OBV5 In class and out of class. Business class. Students work on
resume portfolio and business etiquette for obtaining a job in
the animation and film industries. Research to include nature of
the company, job requirements, work company has done.
Prepare attack plan. Yes. MLA and plagiarism discussed.
Students told to submit original work. Specific places in script
where things need to be, such as the catalyst, were discussed.
Content stressed. Character development, setting and turning
point. Pointers on what to do and what not to do were given to
students.
OBV6 In class and out of class. Business class. Students work on
resume portfolio and business etiquette for obtaining a job in
the animation and film industries. Research to include nature of
the company, job requirements, work company has done.
Prepare attack plan. No MLA mentioned, but no cut and paste
stressed. Length is three paragraphs. Focus of writing should be
to prepare for potential employment. Personal experience to
students to show example of why they were doing project. She
stressed importance of being ready for job interview.
Importance was placed on purpose of assignment not really
writing. Content over writing. Students are expected to submit
assignments in a timely manner. Due dates were not specified.
OBV7 Out of class. Research required. Concept statement and
Boutique Hotel research project. Yes. MLA and plagiarism and
citation format discussed in class. Length for concept statement
was 150 words. Length of Boutique Hotel research 600 words
with diagrams. Typed. Rubric was given to students as a guide
for both assignments. Content over writing stressed. Professor
showed four examples of what he wanted from students.
Writing and content are merged. Professor mentioned writing
center for assistance if needed.
OBV8 Out if class. Visual journal. Yes. Students should refer to
textbook for factual information and anatomy. Professor
stressed critical thought. No grammar. Reflective writing
pieces.
OBV9 Out of class. Research paper. How historically fashion trends
have evolved. No MLA. Length is Two to Three pages with
cover sheet and citations. Professor focused on style site.
Students will upload assignment. No assignments will be
handed in. Reviewed due date and time. Content stressed.
151
OBV10 Out of class. Semester writing project for Art Direction class.
Student have to create story. In class assignment with research.
Character narratives, synopses. Similar to a "pitch." Could also
be a critique of student's own work on a job interview. Students
recreate fairytales. Must use original source, not Disney
version. Students must take original fairytale and recreate using
manimals. No MLA discussed. Not an in-class assignment.
Research is needed. Length is twenty pages and focus must be
on three characters. Visual image stressed. Slideshow provided
students with examples of fairytales that have been redone
during modern times. Expectation is deadlines are met
throughout the semester. Project narratives should not be done
in one attempt. Revision process important.
152
Classroom Observation Notes for Professor Implementation of Writing Initiative
Participant Professor implementation of writing initiative in the
classroom
OBV1 Visual image was stressed and thoroughly Content stressed.
The professor told students the story of what the painting
represented. Discusses picture and scale. Professor did stress
the importance of being specific when writing, especially about
color scheme and representation. Yes. Professor discusses why
assignment is good for painting students. She explained how it
ties into their major and course objectives. She discussed how
writing assignments were relevant to course. Making the final
an in-class writing shows integration of material.
OBV2 Content over writing. Gave students ideas about how to
produce and market their films. Yes. Field production is the
course, so this meets course requirements perfectly.
OBV3 Content was stressed over writing per se. Professor focused on
how students should place emphasis on their research on cost
effectiveness, pricing, and relationships in the industry. Yes.
Professor has diagnostic writings in class for students to
understand key terms and topics covered.
OBV4 Both content and writing were stressed. Professor wants
students to state facts in their summaries. Not grading
grammar, but would like summaries to be focused. Yes. Each
summary is review of a chapter needed for class, Design
History.
OBV5 Both content and writing were stressed. Writing is the actual
product submitted-script. Yes, thesis script is the course
project.
OBV6 Content over writing. Yes. Research exercise will be used for
midterm mock interviews conducted by Career Services
OBV7 Balance between writing and content. Yes. Research is an
integral part of Commercial IV course objectives.
OBV8 Both content and writing discussed. Professor explained
important connection between artist writing and art work. Yes.
This will prepare students for artist statement for professional
work. Drawing class.
153
OBV9 Content and writing equally stressed. Writing format--cover
sheet. Yes. Course ties into other fashion courses.
OBV10 Content stressed. The professor told students the story of what
the painting represented. Discusses picture and scale. Professor
did stress the importance of being specific when writing,
especially about color scheme and representation. Yes.
Professor discusses why assignment is good for painting
students. She explained how it ties into their major and course
objectives. She discussed how writing assignments were
relevant to course. Making the final an in-class writing shows
integration of material.
154
APPENDIX G
NVivo10 Data
155
Word Frequency Chart for Observation Data
Word Frequency Chart for Survey Data
156
Word Tree for Survey Data

AN EXPLORATORY CASE STUDY FACULTY INVOLVEMENT IN DEVELOPING WRITING-INFUSED COURSES WITHIN THE PROFESSIONAL DISCIPLINES

  • 1.
    AN EXPLORATORY CASESTUDY: FACULTY INVOLVEMENT IN DEVELOPING WRITING-INFUSED COURSES WITHIN THE PROFESSIONAL DISCIPLINES Doctoral Dissertation Research Submitted to the Faculty of Argosy University, Sarasota College of Education In Partial Fulfillment of the Requirements for the Degree of Doctor of Education by Michelle A. Stefano February, 2014
  • 2.
    ii AN EXPLORATORY CASESTUDY: FACULTY INVOLVEMENT IN DEVELOPING WRITING-INFUSED COURSES WITHIN THE PROFESSIONAL DISCIPLINES Copyright ©2014 Michelle A. Stefano All rights reserved
  • 3.
    iii AN EXPLORATORY CASESTUDY: FACULTY INVOLVEMENT IN DEVELOPING WRITING-INFUSED COURSES WITHIN THE PROFESSIONAL DISCIPLINES Doctoral Dissertation Research Submitted to the Faculty of Argosy University, Sarasota College of Education In Partial Fulfillment of the Requirements for the Degree of Doctor of Education by Michelle A. Stefano Argosy University, Sarasota Campus February, 2014 Dissertation Committee Approval: ______________________________ ________________________________ George Spagnola, EdD Date ______________________________ ________________________________ Sharon Jackson, EdD George Spagnola, EdD George M. Spagnola, Ed.D. Digitally signed by George M. Spagnola, Ed.D. DN: cn=George M. Spagnola, Ed.D., o=Argosy University, Sarasota, ou=Chair, College of Education, email=gspagnola@argosy.edu, c=US Date: 2014.02.26 14:59:45 -05'00' George M. Spagnola, Ed.D. Digitally signed by George M. Spagnola, Ed.D. DN: cn=George M. Spagnola, Ed.D., o=Argosy University, Sarasota, ou=Chair, College of Education, email=gspagnola@argosy.edu, c=US Date: 2014.02.26 15:00:15 -05'00' George M. Spagnola, Ed.D. Digitally signed by George M. Spagnola, Ed.D. DN: cn=George M. Spagnola, Ed.D., o=Argosy University, Sarasota, ou=Chair, College of Education, email=gspagnola@argosy.edu, c=US Date: 2014.02.26 15:00:53 -05'00' Sharon D. Jackson Digitally signed by Sharon D. Jackson DN: cn=Sharon D. Jackson, o=Argosy University, ou=College of Education, email=sdjackson@argosy.edu, c=US Date: 2014.02.27 15:15:03 -05'00'
  • 4.
    iv AN EXPLORATORY CASESTUDY: FACULTY INVOLVEMENT IN DEVELOPING WRITING-INFUSED COURSES WITHIN THE PROFESSIONAL DISCIPLINES Abstract of Doctoral Dissertation Research Submitted to the Faculty of Argosy University, Sarasota College of Education In Partial Fulfillment of the Requirements for the Degree of Doctor of Education by Michelle A. Stefano Argosy University, Sarasota Campus February, 2014 George Spagnola, EdD Sharon Jackson, EdD Department: College of Education
  • 5.
    v ABSTRACT Writing across thecurriculum (WAC) initiatives of the 20th century served as the foundation for current trends in the infusion of writing in the disciplines. Current studies and trends in WAC have not sufficiently addressed writing needs in non-writing courses. The purpose of this exploratory case study was to identify effective methods faculty and administrators without formal education in composition or language arts can use to implement a writing-infused curriculum across the professional disciplines. Three themes emerged that aligned with Cochran-Smith and Lytle’s (1999) theory of teacher- learner community: (a) professional experience and writing as knowledge-practice relationship, (b) image of non-writing teachers teaching writing as professional practice, and (c) teachers teaching current writing initiatives in a professional academic setting. As adult learners, participants in this study required immersion into the content knowledge along with tenets of academic writing to fully explain and become responsible for student writing assessment in their classroom. Data for this study revealed important themes and concepts for further investigation. This study brought to light some of the issues instructors encounter when implementing writing in a professional academic environment. The literature presented in this study focused on the need for collaboration between professors from across the disciplines and writing experts to help students improve their writing in discipline, as well as work with faculty on improving their writing assessment skills.
  • 6.
  • 7.
    vii TABLE OF CONTENTS Page TABLEOF TABLES ........................................................................................................ ix TABLE OF APPENDICES .................................................................................................x CHAPTER ONE: THE PROBLEM ....................................................................................1 Problem Background ...........................................................................................................2 Writing Across the Disciplines (WAC).........................................................................7 Educational Accreditation..............................................................................................8 Faculty Development...................................................................................................12 Purpose of the Study..........................................................................................................13 Research Questions............................................................................................................14 Scope of the Study .............................................................................................................15 Limitations...................................................................................................................15 Delimitations................................................................................................................16 Definition of Terms............................................................................................................17 Nature of the Study............................................................................................................20 Theoretical Framework......................................................................................................21 Significance of the Study...................................................................................................21 Summary............................................................................................................................23 CHAPTER TWO: REVIEW OF THE LITERATURE.....................................................25 History of Infusing Writing Across the Professional Disciplines......................................28 Freshman Composition and General Education ................................................................31 Writing Across the Curriculum (WAC).............................................................................36 Progressive Education and WAC.................................................................................38 Infusing Writing in Discipline .....................................................................................40 WAC During the 21st Century ....................................................................................42 Current Implementation of WAC ................................................................................46 Teaching Writing Strategies and WAC Implementation Today........................................49 Effective Strategies for the Teaching of Writing.........................................................51 Vertical legitimacy.................................................................................................52 Horizontal outreach................................................................................................53 Deep learning.........................................................................................................53 Research Gaps in Teaching College English...............................................................55 Technology ............................................................................................................55 Diversity.................................................................................................................56 Pedagogy and methodology...................................................................................56 Conclusion .........................................................................................................................57 Summary............................................................................................................................58 CHAPTER THREE: METHODOLOGY ..........................................................................60 Research Questions............................................................................................................60 Research Method and Design ............................................................................................62
  • 8.
    viii Participants...................................................................................................................65 Instrumentation and DataCollection ...........................................................................66 Qualitative survey..................................................................................................66 Classroom observations .........................................................................................71 Focus group............................................................................................................73 Epistemological Assumptions......................................................................................74 Limitations...................................................................................................................75 Delimitations................................................................................................................75 Procedures....................................................................................................................76 Consent and confidentiality ...................................................................................76 Validity ..................................................................................................................77 Data Analysis.....................................................................................................................79 Summary............................................................................................................................80 CHAPTER FOUR: FINDINGS.........................................................................................81 Restatement of the Purpose................................................................................................81 Research Questions............................................................................................................81 Sample Characteristics.......................................................................................................82 Restatement of Procedures.................................................................................................84 Results of the Study ...........................................................................................................86 Professional Experience and Writing as Knowledge-Practice Relationship ...............86 Qualitative survey..................................................................................................86 Classroom observations .........................................................................................90 Image of Non-Writing Teachers Teaching Writing and Professional Practice ...........90 Qualitative survey..................................................................................................91 Classroom observations .........................................................................................94 Teachers Teaching Current Writing Initiatives in a Professional Academic Setting ..94 Qualitative survey..................................................................................................94 Classroom observations .........................................................................................97 Focus Group.......................................................................................................................98 Summary............................................................................................................................99 CHAPTER FIVE: DISCUSSION, IMPLICATIONS, AND RECOMMENDATIONS .100 Discussion of Findings.....................................................................................................103 Theme I: Professional Experience and Writing as Knowledge-Practice Relationship ...............................................................................................................103 Theme II: Image of Non-Writing Teachers Teaching Writing as Professional Practice.......................................................................................................................106 Theme III: Teachers Teaching Writing Initiatives in a Professional Academic Setting ........................................................................................................................110 Implications......................................................................................................................113 Recommendations............................................................................................................116 Final Thoughts .................................................................................................................118 REFERENCES ................................................................................................................120
  • 9.
    ix TABLE OF TABLES TablePage 1. Teacher Learning: A Conceptual Framework..............................................................68 2. Participant Qualitative Survey Alignment with Research Questions ..........................69 3. Advantages and Disadvantages of Natural Observation Method ................................72 4. Participant Responses for Highest Degree Earned (Q1A) and Courses Taught in the Discipline (Q1B)..........................................................................................................83 5. NVivo10 Coding Nodes for Research Study...............................................................85 6. Survey Responses for Writing Assignments that Require Discipline-Specific Knowledge (Q2B)........................................................................................................88 7. Survey Responses for Professional Writing Experience in the Classroom (Q4B) .....89 8. Survey Responses for Number of Writing Assignments Students Required to Complete (Q1B)...........................................................................................................91 9. Participant Responses: Comfort Level with Student Writing Assessment (Q3B).......93 10. Participant Responses: Responsibility for Writing Instruction at the University (Q5B)93 11. Survey Responses for Administrative Assistance in QEP Writing Initiative (Q6B)...95 12. Participant Responses: Helpful Activities for Writing Initiative (Q7B)......................96
  • 10.
    x TABLE OF APPENDICES TablePage A. Letter of Permission...................................................................................................127 B. Consent Form and Invitation .....................................................................................132 C. Research Instrument...................................................................................................135 D. Check List for Participant Observation......................................................................138 E. Qualitative Survey Responses....................................................................................141 F. Classroom Observation Notes....................................................................................148 G. NVivo10 Data............................................................................................................154
  • 11.
    1 CHAPTER ONE: THEPROBLEM The purpose of this exploratory case study was to identify effective methods faculty and administrators without formal education in composition or language arts can use to implement a writing-infused curriculum across the professional disciplines. This study involved gathering input from instructors who teach discipline-specific courses and assess student writing skills in the classroom, as well as exploring current effective strategies non-writing experts can use when teaching writing (Cavender, 2010; Woodward-Kron, 2009). The increasing need for university instructors to be able to effectively assess student writing deficiencies in discipline-specific courses may have stemmed from the proposition that past writing across the curriculum (WAC) initiatives did not adequately address student writing deficiencies in the disciplines. Today’s WAC initiatives are implementing vertical legitimacy, which refers to including writing instruction within the discipline, from beginning to advanced levels (Elliot, Deess, Rudiny, & Joshi, 2012; Mendenhall, 2010; Woodward-Kron, 2008). Today’s university instructors who are not writing experts need to be able to understand how to evaluate students’ writing proficiency in their major-specific courses, specifically by being able to evaluate writing assignments for correct grammar and usage (Dotolo & Nicolay, 2008). Cochran-Smith and Lytle’s (1999) concept of “teacher-learner community” provided the framework for the current study. Cochran-Smith and Lytle defined teaching as “a process of applying received knowledge to a practical situation: Teachers implement, translate, use, adapt, and/or put into practice what they have learned of the knowledge base” (p. 257). Three ideas Cochran-Smith and Lytle presented in their
  • 12.
    2 theory of teacher-learnercommunity included: (a) knowledge-for-practice, a term referring to theoretical knowledge; (b) knowledge-in-practice, a term referring to experiential knowledge; and (c) knowledge-of-practice, a term referring to the use of both practical and theoretical knowledge for “intentional investigation . . . interrogation and interpretation” (pp. 250, 257-262). The questions on the qualitative survey and interviews used to collect data in the current study were based on these three concepts. The purpose of this study was to identify effective strategies faculty can use in the non-writing focused classroom to assess student writing. This chapter provides an overview of the nature of the study and the methods by which this researcher collected data. Given the scarce data available surrounding the successful implementation of WAC initiatives in an art and design university, findings from studies conducted at traditional universities, current trends in WAC pedagogy, changes in secondary English education, as well as current strategies for teaching writing were extremely important to this study. Problem Background Forbes Magazine listed communication––both oral and written––as one of the six skills college graduates need in order to compete and thrive in the job market but did not include a ranking of the six skills or concept areas (Conerly, 2012). However, 40% of entering college students enroll in remedial level writing courses (“College Preparedness,” 2012, para. 4). Often, “college graduates can’t even write a short memo that’s clear” (Young, 2010, para. 16). According to Young (2010), one could infer that having the ability to write clearly is just as important in the workforce as is having technical knowledge and skill (“College Preparedness,” 2012). However, recent studies conducted with college graduates showed new graduates were lacking basic writing and
  • 13.
    3 critical thinking skills.One reason why many high school graduates are being required to take remedial writing courses in college is the changing demographics of students attending high schools in the United States. The cultural and linguistic diversity of secondary school graduates participating in American higher education contributed to the decline in writing scores over the last decade. One-fourth of children in the United States today speak English as a second language and the number of adult learners and non- traditional students has nearly doubled on the last 10 years (Schmidt, 2008). By 2020, more than 37% of new incoming freshmen are predicted to be minorities (Light, 2012). Having vertical legitimacy within the curriculum is even more important for students learning English as a second language academically and for their intended profession after graduation. Today’s college student in both traditional and non-traditional institutions of higher education should have language proficiency beyond the first-year writing courses after graduating. To assist students with language skills, many university professors outside the liberal arts and traditional academia incorporate writing assignments in their classes (Weimer, 2013). Almost 95% of university syllabi require writing assignments (Weimer, 2013, para. 2). Instructors outside the English department have become involved in assisting students with oral and written communication problems in their discipline-specific courses. A term used to describe writing across the disciplines in today’s institutions of higher education is horizontal legitimacy. Limited research was found on student writing skills or writing initiatives within a non-traditional professional academic setting, such as fashion, graphic design, animation, or interior design (Elliot et al., 2012; Woodward-Kron, 2008). In spite of the lack of
  • 14.
    4 formal research findingsin this area, students attending non-traditional universities are asked to produce writing in their courses, many of which are discipline-specific (Weimer, 2013, para. 3). Even with no formal education in composition or the language arts, instructors across non-traditional institutions of higher education are increasingly assessing students’ writing and are teaching basic writing skills within the discipline content. One of the primary research gaps within WAC involves methods of identifying effective writing strategies that can be used by instructors without a formal background in the language arts (Hassel, 2013). According to Hassel (2013), six areas require further research in WAC to address the demand of teaching writing in the disciplines and assist academic administrators with implementing effective writing initiatives: diversity, technology, identity, literacy, methodology, and pedagogy (p. 343). Gaps in the WAC research during the early 21st century are discussed in Chapter 2. According to Mendenhall (2010), a lack of vertical legitimacy in teaching writing in high school and college creates a gap in the way secondary and higher education teachers instruct on writing. The lack of vertical legitimacy is one reason English instructors and instructors in other disciplines do not agree on the method or purpose of teaching writing or how it affects students’ ability to transfer knowledge of writing skills into their majors. Vertical legitimacy reflects writing instruction from a basic level to an advanced level. In education this generally refers to the alignment of instruction between secondary education and higher education. Vertical legitimacy refers to instructors across the curriculum agreeing on the purpose of writing in students’ lives. Vertical
  • 15.
    5 legitimacy assists instructorsin teaching students both academic and professional writing (Addison & McGee, 2010; Mendenhall, 2010). Given the amount of writing students are required to produce throughout their academic careers, writing has become an essential component of earning a college degree. English majors are not the only students expected to speak and write in a scholarly manner; their counterparts in the business, science, and design disciplines are expected to produce written communication in the discipline as well (Elliot et al., 2012; Weimer, 2013). In an attempt to assist both students and professors with writing endeavors across the disciplines, most universities offer students academic support services in reading and writing through a writing center. Hassel (2013) believed a gap exists in the teaching of writing across the disciplines in college and secondary schools related to the use of tutoring or auxiliary academic support services. Instructors in college use university writing centers to help them address student writing issues, whereas secondary school teachers tend not to use auxiliary academic support services (Hassel, 2013). The importance of including writing centers as part of a WAC initiative is that it enables professors across the disciplines to offer students additional support when completing different types of writing assignments, particularly those in students’ major courses. An increasing number of writing instructors in the language arts are encouraging students to seek writing assistance, particularly from professionals in their field of study (Hassel, 2013, p. 345). Current research initiatives on WAC focus on the importance of writing assignments across disciplines. While literature and rhetoric are still valued as part of a higher education, more instructors are becoming involved in assigning writing
  • 16.
    6 tasks in thediscipline and thus enforcing WAC. This became increasingly important in the 20th century due to educational accreditation, both on the national and regional levels (Addison & McGee, 2010). The Southern Association of Colleges and Schools Commission on Colleges (SACSCOC, 2012) requires universities under its accreditation to establish criteria “to ensure that the required skill level meets collegiate standards” (p. 13). Many universities have a writing-infused curriculum as a method of meeting this requirement. Student writing in discipline-specific as well as elective courses should develop a higher level of writing proficiency (Conerly, 2012). Developing writing skills helps students increase their chances of gaining employment as well as reflects the degree-granting institution’s commitment to meeting collegiate standards, specifically those related to oral and written communication (Conerly, 2012). Being prepared for the professional field often involves a command of written and oral communication skills. Because of the high demand for good writing skills in the workplace, college administrators must be involved in providing students with writing instruction in their major-specific courses (Elliot et al., 2012; Weimer, 2013). Current WAC implementation indicates that many administrators and instructors who do not consider themselves to be writing experts are implementing writing initiatives across the disciplines (Fernsten & Reda, 2011; Helstad & Lund, 2012). Recent publications on this topic showed student writing proficiency has become a university- wide concern, both from curricular and accreditation perspectives (Defazio, Jones, Tennant, & Hook, 2010). For example, peer-reviewed journals outside the English, language arts, and composition realms addressed and promoted the importance of
  • 17.
    7 infusing writing inthe various majors. Scholars in the fields of social work, science and math, business, as well as education administration and informatics have published work stressing the importance of writing within the disciplines (Cavender, 2010; Defazio et al., 2010, p. 34; Fernsten & Reda, 2011, p. 180; Forman, 2008, p. 211; Helstad & Lund, 2012, p. 599). Accredited non-traditional universities that grant degrees in professional disciplines, such as fashion, graphic design, animation, and interior design, have also been participating in various types of WAC initiatives. The high demand for good writing skills by educational accrediting bodies and the professional world has caused writing instruction to be infused with content. Writing Across the Disciplines (WAC) Over 30 years ago, WAC became a well-known initiative in liberal arts curricula in institutions of secondary and higher education. Despite the lack of formal research available on writing assessment and initiatives within non-traditional university settings, WAC initiatives established during the 1970s and 1980s to address entering college students’ poor writing skills paved the way for additional research on writing pedagogy related to non-traditional disciplines (Bazerman et al., 2005; Crowley, 1998). Since the late 1960s, English professors throughout North American universities have taught incoming college students the tenets of basic academic writing in standard American English (Bazerman et al., 2005, p. 15; Mullin, 2008). During this time, writing pedagogy acquired the status of an academic discipline. However, students’ writing deficiencies extended beyond their English and language arts courses. Key figures in composition studies questioned the foundation of WAC. They critiqued WAC for only focusing on a
  • 18.
    8 literary perspective andnot including experience or students’ contextual framework when teaching writing (Bazerman et al., 2005, p. 20). Past WAC initiatives provided strategies to students for writing in their major- specific courses. WAC needs to be expanded to regionally accredited art and design colleges and universities, such as Savannah College of Art and Design (SCAD), Maryland Institute College of Arts (MICA), and Rhode Island School of Design (RISD). These institutions needed to assess student writing proficiency as a part of the accreditation process (Mullin, 2008; New England Association of Schools and Colleges: Commission on Institutions of Higher Education [NEASC-CIHE], 2011; SACSCOC, 2012). Because of the general decline in recent university graduates’ ability to possess both technical and language skills, they were less likely to procure employment (Mullin, 2008). This may have been a primary reason why traditional and non-traditional universities, such as Miami International University of Art and Design (MIUAD), have implemented writing programs that are major-specific to meet the demands of today’s workforce (Wingate, Andon, & Cogo, 2011). Educational Accreditation Oral and written communication skills are important components of a college degree and are required as part of the regional accreditation process. The expectation that college graduates will be able to speak and write proficiently in English is reflected in standards set by educational regional accreditation bodies, such as SACSCOC, that develop guidelines for universities to follow to maintain specific standards for writing courses.
  • 19.
    9 According to theAccrediting Council for Independent Colleges and Schools (ACICS, 2010), non-traditional institutions of higher education have been regionally accredited for approximately a century. The first educational accrediting body was established in 1880 with the intent of standardizing admission procedures and educational course credit (ACICS, 2010). In 1912, two dozen private career schools developed the National Association of Accredited Commercial Schools (now known as ACICS). According to the Council for Higher Education Accreditation (CHEA, 2012), there are five official regional educational accreditation agencies: (a) Middle States Commission on Higher Education (MSCHE); (b) NEASC-CIHE; (c) North Central Association of Colleges and Schools–The Higher Learning Commission (NCA-HLC); (d) SACSCOC; and (e) Western Association of Schools and Colleges Accrediting Commission for Senior Colleges and Universities (WASC-ACSCU). Every 10 years, regionally accredited institutions undergo the process of reaffirmation or reaccreditation, which reflects a renewal of membership within the educational accreditation body. The inclusion of art and design universities with traditional universities through regional accreditation made writing proficiency an essential component of higher education in both traditional and non-traditional educational settings. Universities such as Pratt Institute, SCAD, California College of the Arts, MICA, RISD, and MIUAD are a few of the members of regional accrediting bodies. Being a regionally accredited institution means that regardless of the type of college or university (i.e., non-traditional or traditional), graduates from these schools are required to have an equivalent education and curriculum (SACSCOC, 2012, p. 1). The transferability of credit, or the ability to transfer academic credits from one university to
  • 20.
    10 another, is whatprotects the student who wants to attend a different regionally accredited school and needs to transfer coursework. The goal of a regional accreditation body is to ensure that universities in a region “meet standards established by the higher education community that address the needs of society and students. It serves as the common denominator of shared values and practices among the diverse institutions” (SACSCOC, 2012, p. 1). MIUAD, the university in the current study, is a regionally accredited university of art and design in Miami, Florida. The SACSCOC, founded in 1895, is the accrediting body under which MIUAD falls. There are four components to obtaining education accreditation under the SACSCOC: Principles of Integrity, Core Requirements, Comprehensive Standards, and Federal Requirements (SACSCOC, 2012). The Core Requirements define the minimum standards by which a university can maintain its accreditation in good standing. This set of principles dictates to universities the fundamental requirements needed to grant students credible university degrees (SACSCOC , 2012, p. 3). Each of the four categories within the SACSCOC’s Principles of Accreditation is divided into specific subsections. The subsections most pertinent to the current study are requirement subsection 2.7.3 of the Core Requirements and standard subsection 3.5.1 of the Comprehensive Standards (SACSCOC, 2012). Subsections 2.7.3 and 3.5.1 both address the general education component of a bachelor’s degree. More specifically, principles 2.7.3 and 3.5.1 state that all testing data, writing diagnostics, or nationally normed tests, such as Education Testing Services Proficiency Profile (ETS PP) and the Collegiate Assessment of Academic Proficiency (CAAP) should be conceded in reports.
  • 21.
    11 Prior to 2010,Core Requirement 2.7.3 required teachers of general education courses to assess student proficiency in oral and written communication. Institutions were expected to maintain certain standards and academic rigor in composition and speech courses to satisfy the criteria in principle 2.7.3 (SACSCOC , 2012, p. 19). Moving oral and written communication from a requirement to a standard indicated a change in the regional accreditation body’s interpretation of composition and oral communication as part of a university education. This change might have impacted the importance of composition negatively within the core curriculum of an undergraduate degree. Core Requirements are considered the basic components a university must maintain in order to grant academic degrees (SACSCOC, 2012). The change of oral and written communication from a core requirement to a comprehensive standard that took place in 2010 was essential to the current study. The change was significant to this study because during the time it remained as a Core Requirement, university leaders were forced to strictly assess reading, writing, and speech as well as show data on how students performed in these areas. The move to Comprehensive Standards implied that while universities needed to assess student performance in these three areas, the institution had more flexibility in how and where assessment and data collection would take place (SACSCOC, 2012). If the SACSCOC found an institution to be non-compliant in any of the four categories, it could place the institution on public sanction or recommendation (SACSCOC, 2012, p. 25). A sanction could cost a university its accreditation status or cancel its candidacy for membership (SACSCOC, 2012, p. 17). A recommendation is a
  • 22.
    12 change the accreditingbody is requiring within a certain period of time after reaffirmation (SACSCOC, 2012, p. 25). Despite this change in principles, institutions of higher education continued to assess students’ oral and written communication skills as part of the strategic planning process. Entrance exams, placement scores, and in-class proficiency evaluations by instructors were essential to addressing student needs and providing academic support services, such as tutoring hours, extended computer lab hours, online tutorials, and online and on-ground learning centers. Under SACSCOC, the university’s provision of tutoring in reading, writing, and mathematics is still a requirement under the Core Requirements. The need for basic writing skills outside liberal studies (or general education) courses was nevertheless increasing in higher education, particularly in the professional disciplines (Woodward-Kron, 2009). Despite popular belief, the digital age was not replacing writing longhand, printed books, or human interaction with colleagues at work and school (Darton, 2011; Shockley-Zalabak, 2009). Similarly, the need for instructor preparation in assessing student writing has progressively increased within discipline- specific courses. As previously stated, with the increased need for both communication and technical skills in the workplace, instructors outside the liberal arts realm without academic credentials in English composition or language arts are finding themselves responsible for helping students transfer their knowledge of basic writing skills into their major-specific courses and workplace (Defazio et al., 2010). Faculty Development Faculty members require academic training and preparation in order to assess student writing. However, students requiring assistance in basic writing skills cannot
  • 23.
    13 wait for theirinstructors to return to school to learn writing assessment pedagogy. Faculty development in American universities must address the issue of non-writing experts teaching and assessing writing within discipline-specific courses. Academic administrators without a formal academic background in writing or language arts are charged with addressing this situation along with the faculty outside liberal arts departments. Academic directors involved in WAC initiatives must ensure the existence of a “sound” writing pedagogy within their departments (Mullin, 2008, p. 502). Having teachers participate in peer workshops, discussions, and in-class activities to enhance their knowledge of writing pedagogy have become embedded in many faculty development programs. Using current and available strategies for teaching writing is important for successful WAC implementation in art and design universities (Applebee & Langer, 2009; Kahn & Holody, 2012; Mullin, 2008; Perelman, 2011). Purpose of the Study The purpose of this exploratory case study was to identify effective methods faculty and administrators without formal education in composition or language arts can use to implement a writing-infused curriculum across the professional disciplines. The study was conducted in a non-traditional university setting, specifically in a level three, regionally accredited art and design university. The participants in this study were teaching discipline-specific content and assessing basic writing skills in student work. Through classroom observations, a focus group, and a brief qualitative survey modeled after Cochran-Smith and Lytle’s (1999) theory of teacher-learner community, this study was designed in an attempt to help administrators without a formal language arts background address issues of writing deficiencies in their academic programs,
  • 24.
    14 outside the liberalarts context. Results provide instructors without a background in language arts with information surrounding effective strategies for incorporating writing in the classroom, gaps in WAC research that may affect their ability to implement a writing initiative, current best practices in WAC from traditional institutions of higher education, as well as a pedagogical model for achieving vertical legitimacy and horizontal outreach in teaching writing across the curriculum (Addison & McGee, 2010; Mendenhall, 2010). Gaps in WAC research dealing with diversity, technology, methodology, pedagogy, and literacy are discussed in Chapter 2 in order to provide examples of current areas in the discipline of teaching writing that need development (Hassel, 2013). Research Questions The overarching question guiding this study was: What effective methods can faculty and administrators without formal education in writing composition and language arts implement for a writing-infused curriculum? The four research questions were aligned with Cochran-Smith and Lytle’s (1999) five principles of the theory of teacher- learner community: (a) knowledge-practice relationship; (b) image of knowledge; (c) image of teachers, teaching, and professional practice; (d) images of teacher learning and teachers’ roles in educational change; and (e) current initiatives. 1. What knowledge and methods do faculty members without formal education in composition or language arts perceive as effectively used in a writing- infused curriculum?
  • 25.
    15 2. What knowledgedo faculty members without formal education in composition or language arts perceive as needed information in order to improve a writing-infused curriculum? 3. In what ways can faculty members teaching writing-infused courses in the disciplines assist in the development of writing initiatives? 4. In what ways can non-writing faculty’s knowledge and experience implementing a writing-infused curriculum assist academic administrators in current WAC initiatives? Scope of the Study Creswell (2007) defined the scope of a research study through limitations and delimitations. The literature showed successful WAC programs have typically consisted of collaboration between peers and the writing center. Co-teaching with English department faculty, writing center tutors, and faculty development are three areas needed for success. The primary assumptions limiting this study were: (a) faculty infusing writing in the discipline and assessing writing assignments felt insecure because they did not have formal education in writing, and (b) participants’ current knowledge of assessing and infusing writing in the discipline was possible through the application of activities in the Quality Enhancement Plan (QEP) classroom. Limitations There were five limitations to the study: participant selection, participants’ reflective responses, sample size, setting, and researcher bias. The participants were already teaching QEP courses; therefore, the researcher had no control over who was selected. Participants’ reflective responses to qualitative open-ended questions may have
  • 26.
    16 been skewed becauseof their individual strengths and weaknesses. The setting for this study was a limitation because the site did not have co-teaching, much writing center support, or an official English department due to limited resources. Faculty development opportunities were also few due to budget constraints, which posed a limitation. The researcher was employed by the same institution where the study took place, which may have caused bias in the interpretation of the data. Delimitations There were five delimitations to the study. Having a preselected sample of QEP specific faculty rather than using a random sample of all disciplines within the university was a delimitation. Not having a study similar to this conducted at a smaller institution with perhaps more available funds for faculty development and flexible teaching schedules would most likely have different results than this study. Trying to identify in most academic settings teacher learning communities may have been effective. However, the sample size did not allow for understanding a sizable learning community. An additional delimitation was the participants had no formal writing education. This study was delimited to instructors without formal academic training in language arts and adult learning theories. The study only included instructors currently teaching QEP classes at MIUAD. Because the goal was to discover effective strategies that can be used to implement writing fusion in a non-writing class, the instructors in the study were only eligible to participate if they did not have an undergraduate or graduate degree in English or language arts.
  • 27.
    17 Definition of Terms Thefollowing terms are defined to assist the reader and provide clarification of the use of each term in this study.  Adult education. This term is based on andragogy (i.e., adult learning theory). In an adult learning environment, instructors must allow students to be active in the learning process. Teachers are learners (Findsen, 2007, p. 555; Taylor & Kroth, 2009).  Cross-disciplinary writing. This term can be used synonymously to refer to writing in discipline (WID; Dotolo & Nicolay, 2008).  Deep learning. Refers to the establishment of specific benchmarks for the teaching and learning of writing. According to Addison and McGee (2010), the National Survey of Student Engagement (NSSE) developed a scale for establishing deep learning across the disciplines regardless of the discipline in which writing was taking place. The NSSE assessment scale includes pre- writing, clear expectations, higher order writing, good instructor practices, and integrated media.  Experiential knowledge. Refers to knowledge derived from real life experience. This term is inclusive in self-directed theory, which Anderson and Lindeman originally developed in 1927 (Knowles, 1975). Malcolm Knowles adopted it in the early 1970s. Self-directed learning occurs when adult learners take responsibility for their acquisition of knowledge. Part of this knowledge acquisition process is facilitated by experiential knowledge (Taylor & Kroth, 2009, p. 5).
  • 28.
    18  Horizontal outreach.According to Mendenhall (2010), the transfer of knowledge related to writing skills needs to occur vertically rather than horizontally. In the horizontal outreach perspective, composition and rhetoric take place in difference subjects rather than in one subject. Teaching writing skills “horizontally” implies that students work on writing skills primarily in their language arts courses—one subject (p. 95).  Intertextuality. This post-structuralist term was utilized by Julia Kristeva (Kristeva, Roudiez, & Jardine, 1980) to mean the influence one literary text has on other literary texts (p. 69). It refers to the idea that a text does not exist in isolation, but rather as a reflection of other texts. In other words, Kristeva believed all texts people read are subject to influence and bias from previous texts read. Today, this term refers to the integration of texts within another text through the use of in-text citations.  Model-based learning. This was the structure for the basis of the study because of its foundation in incorporating participants’ conceptual framework as part of the learning process and acquisition of knowledge. According to Pirnay-Dummer, Ifenthaler, and Seel (2012), this particular model focuses on both the teacher and the learner. It takes into consideration the “learning goal . . . level of expertise . . . and skills . . . the things to be learned” (p. 68). Moreover, it takes into consideration the learning environment and learner’s “epistemic” beliefs” (p. 68).  Non-writing instructor. Used to define instructors who are not academically credentialed to teach writing, composition, or literature at the university level
  • 29.
    19 under the regionalaccreditation criteria of the SACSCOC (SACSCOC, 2012). Specifically, this term refers to instructors who do not have graduate degrees in English, language arts, linguistics, or comparable disciplines.  Professional disciplines. In this study, professional disciplines specifically refer to those taught at MIUAD, such as fashion, interior design, graphic design, audio production, and animation.  Teacher-learner community. This term helped determine the framework for this study. Cochran-Smith and Lytle (1999) defined teaching as “a process of applying received knowledge to a practical situation: Teachers implement, translate, use, adapt, and/or put into practice what they have learned of the knowledge base” (p. 257).  Vertical legitimacy. Horizontal outreach would be the WAC portion of current writing initiatives in higher education. The complement to horizontal outreach is vertical legitimacy, whereby teaching and learning writing from beginning to advanced courses occur within the same discipline (Mendenhall, 2010).  Writing across the curriculum (WAC). This term originated in the 1970s in primary, secondary, and higher education to reinforce academic literacy across general education courses. According to Bazerman et al. (2005), “WAC refers specifically to the pedagogical and curricular attention to writing occurring in university subject matter classes other than those offered by composition or writing programs (most often housed in the English Department)” (p. 9).
  • 30.
    20  Writing acrossthe professional disciplines (WAPD). In this study, WAPD refers to the QEP topic at MIUAD, the university where this study took place. This term was used specifically as it relates to discipline-specific writing in a university for such professional studies as fashion, interior design, graphic design, and animation.  Writing in discipline (WID). While WAC emerged as a practice in education, the term writing in discipline (WID) became of interest to writing scholars and influenced writing initiatives outside general education courses in profession- specific courses. According to Bazerman et al. (2005), WID refers to both a research movement to understand what writing actually occurs in the different disciplinary areas and a curricular reform movement to “offer disciplinary related writing instruction but within a program designed for that purpose (whether university-wide or departmentally located)” (pp. 9-10). Nature of the Study The methodology for this study was a qualitative exploratory case study. Faculty members currently involved in the university’s QEP pilot study were asked to incorporate writing into their discipline-specific courses. Faculty members in the QEP created writing assignments and evaluated students’ basic writing skills without having a formal academic background in English or language arts. Information collected directly from the faculty in the QEP pilot study through informal face-to-face and group interviews, classroom observations, and a brief qualitative survey proved valuable given participants’ immediate need to discover effective methods to implement writing-infused curriculum in the professional disciplines. The results of this study were created from instructors
  • 31.
    21 who are currentlyin this writing situation, supporting an exploratory case study. Direct interaction with the faculty in MIUAD’s QEP offered valuable methods of instruction in their discipline-specific courses. Theoretical Framework Cochran-Smith and Lytle’s (1999) theory of teacher-learner community uses a collaborative approach in adult academic learning environments. A teacher-learner community allows for adult interaction as participants engage in discourse with other participants. The exchange of ideas and feelings toward writing in the professional disciplines brought forth possible strategies or methods by which non-writing experts in the field can implement a writing initiative across the professional disciplines in a non- traditional university setting. “Discourse is necessary to validate what and how one understands . . . in this sense, learning is a social process, and discourse becomes central to making meaning” (Meizrow, 1997, p. 10). Teacher-learner community provided a collaborative learning environment that permitted transformative learning to occur during the course of the study. The sub-research questions for this study reflected the five principles of teacher-learner communities. Significance of the Study Nearly 40% of students entering college today require remedial coursework in basic writing skills (“College Preparedness,” 2012, para. 4). College administrators and instructors outside English and language arts departments are seeing an increasing number of students in discipline-specific courses requiring assistance in writing. Half a decade after WAC was introduced into secondary and postsecondary American education, many students remained unable to write for academic purpose or write in the
  • 32.
    22 discipline with correctgrammar and usage (Cavender, 2010; Woodward-Kron, 2009). This issue created a need for instructors in discipline-specific courses to teach and assess students’ writing skills in addition to their content knowledge. In response to the issue of students having deficient writing skills in their major- specific courses, academic administrators were charged with implementing programs to help students with writing outside their English courses. An additional purpose of this study was to recommend instructional methods for implementation and information to administrators and instructors in the professional disciplines that could be utilized when planning new writing initiatives across the professional disciplines. Not all academic administrators possess a formal academic background in writing or language arts. Likewise, instructors teaching discipline-specific courses also may not possess a formal background in writing or language arts. Administrators and instructors without a formal academic background in writing face a situation in many courses of study where students with writing deficiencies require assistance with using correct standard American English in addition to needing help to complete content-specific tasks in genre-specific projects. Current effective teaching writing strategies could be used to guide the development and implementation of a writing initiative in a non-traditional setting. Limited research exists on how a non-writing expert within a discipline area can effectively implement a writing initiative for an institution of higher education. This study opens possibilities for additional research specifically on the topic of assisting administrators and faculty members without a formal academic background in writing or language arts in the implementation of a writing-infused curriculum. More importantly, if instructors and administrators outside English and language arts departments are able to
  • 33.
    23 help students withwriting problems in their major-specific courses, students will graduate with writing skills coupled with content knowledge (Conerly, 2012; Young, 2010). The strategies used to teach writing currently used at traditional institutions can be helpful for faculty development in a non-traditional setting. Although the population is different, what is already working at traditional universities needs to be adjusted to meet the needs of non-traditional students. Wingate et al. (2011) conducted a pilot study in the United Kingdom (UK) where faculty mentors from the language department team taught courses with faculty teaching the professional courses. Although co-teaching was not possible for the current study given the limitations of the study, this study included faculty participating in a QEP at MIUAD, which resembled the Wingate et al. study conducted in the UK. At MIUAD, writing intentionally was incorporated into professional courses identified for the QEP. This study was designed to provide insight for faculty and administrators concerning finding useful strategies to assist with implementing a writing-infused curriculum in the disciplines. This study involved collecting information from the QEP faculty in order to reveal effective feedback about strategies that can assist administrators with a non-writing background with implementing a writing-infused curriculum in major- specific courses in the professional disciplines. Summary This chapter provided an overview of this study, the purpose of the study, the research questions for the study, the significance of the study, and a brief explanation of the methodology used in the study. This chapter provided a basic depiction of the theoretical framework on which the data collection process and qualitative survey were
  • 34.
    24 based. Despite thelimitations of this study, results provide essential information directly from non-writing faculty who were in a pilot study comprising a writing initiative across the professional disciplines. Current administrators who do not have a formal background in writing can use the results of this study to assist faculty in creating a writing-infused curriculum and assessing writing skills with content in their classrooms. To provide a more substantial analysis of the nature of the problem and the need for this study, Chapter 2 includes the results of a literature review focusing on the following: (a) a selective history of composition studies in academia within the United States, (b) discussion of the official establishment of the freshman composition course in undergraduate studies, (c) explanation of the inception and evolution of WAC initiatives in higher education during the 20th century and their influence on 21th century writing initiatives, and (d) effective teaching and writing strategies. Chapter 2 reveals the reasons why the current study was needed on how to create a writing-infused curriculum in institutions of higher education, specifically within an art and design university curriculum.
  • 35.
    25 CHAPTER TWO: REVIEWOF THE LITERATURE It has been over half a century since Conant (1945) published the report entitled, General Education in a Free Society: Report of the Harvard Committee, and proclaimed education should no longer be for the rich and elite, but democratized for every citizen. The report reinforced what college students today consider the core requirements when earning an undergraduate degree and led to the creation of a cluster of courses called general education, housed in the liberal arts area (Conant, 1945). All students take general education courses as part of their coursework toward earning a baccalaureate. The establishment of general education courses in higher education, such as English composition, mathematics, natural science, history, and philosophy, was intended to provide a foundation for the professional life and participation of students in society (Altbach, Gumport, & Berdahl, 2005; Conant, 1945; Lucas, 2006; Young, 2010; “Reading & Writing,” 2011). Following the publication, “General education was promoted as that part of the students’ whole education which looks first of all to his or her life as a responsible human being and citizen” (Conant, 1945, p. 51). The focus of this review of the literature was college-level writing courses and their contribution to higher education, specifically how WAC initiatives that burgeoned out of the liberal arts studies during the mid-20th century have influenced current writing initiatives within the disciplines (Bordelon, 2010; Condon & Rutz, 2012). For the last 50 years, writing proficiency initiatives have been embedded into the acquisition of an undergraduate degree. Today, the topic of student writing proficiency is prominent throughout the academic community particularly because new college graduates are required to have good written and oral communication skills in the workplace (Cavender, 2010; Defazio et
  • 36.
    26 al., 2010, p.34; Fernsten & Reda, 2011, p. 180; Forman, 2008, p. 211; Helstad & Lund, 2012, p. 599). The groundwork for current writing initiatives derived from the original WAC movement of the 1970s and 1980s. Much of the data available on WAC from current studies relate to WAC tenets from that time and came primarily from traditional academic institutions. Current research data on basic WAC principles in the disciplines are needed, particularly within non-traditional university settings such as art and design universities (Brent, 2012; Condon & Rutz, 2012; Kellogg & Whiteford, 2009). Moreover, data from studies concerning the WAC movement conducted within professional as well as art and design colleges and universities are virtually non-existent (Brent, 2012; Condon & Rutz, 2012; Kellogg & Whiteford, 2009). Research into methods that media and design faculty can use to infuse writing into the classroom is not readily available. A primary purpose of this study was to use available research on current WAC pedagogies, trends, and their application in higher education to understand how academic administrators without a language arts background and a non-traditional academic degree in media or design (i.e., graphic design, interior design, audio engineering, or fashion) can implement writing in the classroom. The review of the literature contains an exploration of the development and implementation of WAC in higher education and its significance in writing pedagogy today, specifically in art and design universities. Many students with bachelor’s degrees in professional disciplines, such as graphic design, interior design, audio engineering, and fashion, are becoming participants in the current workforce and are expected to possess good oral and written communication skills when they begin working after graduating
  • 37.
    27 from college (Conerly,2012; Zumbrunn & Krause, 2012). Students entering art and design professional fields are developing company websites, creating online advertising, and designing business logos in today’s cyber world. Students who graduate in the areas of art and design (i.e., design media) are producing both images and words to explain concepts (Zumbrunn & Krause, 2012). Hassel (2013) identified a gap in the research on writing instruction and skill acquisition and the use of technology. Writing in a scholarly manner is an extremely important skill for success in the fields of art and design. Due to the increased demands of today’s workforce, increased numbers of adult working students are returning to college (Perelman, 2011; Zumbrunn & Krause, 2012). To meet the needs of adult working individuals returning to college to earn a degree, for- profit and non-traditional university programs have become an important component of higher education due to their flexible study hours, course offerings, and online programs. “The majority of large U.S. companies consider writing ability when making hiring and promoting decisions” (Zumbrunn & Krause, 2012, p. 346) and leaders at these non- traditional institutions are also trying to address the issue of students’ writing deficiency (Berrett, 2013; Kellogg & Whiteford, 2009). Research on how to address student writing problems is needed in the area of non- traditional institutions of higher learning. Information is needed for administrators and faculty without a formal background in language to use to implement a writing-infused curriculum across professional disciplines (Brent, 2012; Condon & Rutz, 2012; Kellogg & Whiteford, 2009). Because the importance of writing proficiency has transgressed the boundaries of the liberal arts and entered the professional sphere, academic professionals outside language arts departments are confronted with having to deal with assessing
  • 38.
    28 student writing inthe disciplines (Altbach et al., 2005; Fernsten & Reda, 2011; McLeod & Soven, 2000; Perelman, 2011). Over the last 50 years, changes in admission standards, core curriculum, and regional accreditation standards have triggered the need for faculty without a formal academic background in the language arts to assess students’ basic grammar skills and usage within discipline-specific academic situations (Altbach et al., 2005; Bazerman et al., 2005; Condon & Rutz, 2012; Lucas, 2006; McLeod & Soven, 2000). Over the last 15 years, several other gaps in the teaching of writing, such as technology, diversity, and curriculum alignment, have become evident and are discussed in this chapter (Hassel, 2013). This review of the literature addresses the gaps that exist in research on writing intensive curriculum in the media arts and design area. This chapter includes an analysis of: (a) history of infusing writing across the professional disciplines, (b) freshman composition and general education, (c) writing across the curriculum (WAC), (d) teaching writing strategies and WAC implementation today, (e) effective strategies for the teaching of writing, and (f) research gaps in teaching college English History of Infusing Writing Across the Professional Disciplines The importance of written and oral communication skills is not a new phenomenon in higher education. The Yale Report (Yale University, 1828) asserted that higher education should lay the “foundation” for a general education: The course of instruction, which is given to the undergraduates in the college, is not designed to include professional studies. Our object is not to teach that which is peculiar to any one of the professions; but to lay the foundation which is common to them all. There are separate schools for medicine, law, and theology, connected with the college, as well as in various parts of the country; which are open for the reception of all who are prepared to enter upon the appropriate studies of their several professions. With these, the academical [sic] course is not intended to interfere. (Yale University, 1828, p. 9)
  • 39.
    29 General education coursesshould provide students with a common knowledge base of mathematics, ancient and modern English literature, logic, rhetoric, oratory, written composition, and physical sciences (Lucas, 2006). The Yale Report of 1828 (Yale University, 1828) also established the need to teach students how to think critically through the development of a thesis statement and the investigative process of empirical evidence in an academic essay to support their thesis statement (Lucas, 2006). Furthermore, the document contained the assertion that a “thorough education should consist of those elements common to the needs of everyone” (Lucas, 2006, p. 133). In essence, Yale Report of 1828 was one of the first documents that specifically mentioned written composition as a staple in American higher education, proof that the importance of writing proficiency is by no means a 20th century phenomenon. Nearly 40 years after the Yale Report of 1828 (Yale University, 1828) was published, leaders of parochial, denominational, and private colleges and universities tried to fully embrace the idea of a “common” foundation in the arts and sciences: biology, philosophy, logic, grammar, rhetoric, Latin, and mathematics (Lucas, 2006. p. 153). However, to ensure all college students had access to core courses, the federal government passed the Morrill Land Acts of 1862 and 1890, which established land-grant or state universities. State institutions would be responsible for providing graduates with the knowledge and skills they needed to be responsible citizens in a democracy as well as part of the workforce (Lucas, 2006). With the Morrill Acts of 1862 and 1890 came a new educational concern related to preparing the average citizen both intellectually and practically to participate in the workforce, which included writing proficiency (Lucas, 2006, p. 156). Enrollment of non-
  • 40.
    30 White, upper classmen declined, increasing the cultural and academic diversity in higher education. The establishment of a common core for all baccalaureate candidates attending state universities served as an initial response to the demographic changes in higher education that occurred during the earlier 19th century and was designed to ensure all graduates, regardless of socio-economic background, obtained a foundation in the liberal arts despite their chosen professional fields (Lucas, 2006). The emergence of state universities changed the mission of higher education until the present day because they initiated open access to higher education. Congressman Justin Smith Morrill, the founder of the Morrill Land Acts, wanted land-grant universities to “promote the liberal and practical education of the industrial classes in the several pursuits and professions of life” (as cited in Lucas, 2006, p. 154). The combination of the Morrill Land Grant Acts and adoption of open admissions policies helped dilute the homogenous male, upper class student population and provided more citizens with the opportunity to obtain a college education (Crowley, 1998; Lucas, 2006). Prior to the Morrill Land Grand Acts of 1862 and 1890, university students learned the practical knowledge and skills of a profession through apprenticeship rather than in a classroom. By adding a common core curriculum in the arts and sciences to students’ major courses, new land-grant universities in the United States provided students with the practical and professional skills of commerce and business management, as well as the traditional subjects of philosophy, German, philology, and political science (Lucas, 2006, p.135, 173). Professors in state intuitions taught students how to be well-rounded citizens through general education common core courses,
  • 41.
    31 allowing college studentsto acquire both the theoretical and practical knowledge they needed to succeed in the professional and public arenas. Freshman Composition and General Education During the late 20th century, the freshman composition course gained much attention from academians associated with some of America’s most prestigious universities. Writing initiatives of the 20th century would have not been possible without contributions from literary scholars such as Eurich, Richards, Elbow, Britton, Barnes, and Rosen, who proposed a change in the teaching of freshman composition in the United States. They believed the traditional method of teaching writing through students’ interpretation and analysis of classical works of literature was lacking a connection to students’ major courses. Therefore, these early scholars in the field of writing began to examine how students could apply the writing skills they obtained in their composition courses to their content-specific writing assignments, referred to as writing in discipline (Bazerman et al., 2005; Bordelon, 2010; Condon & Rutz, 2012; McLeod & Soven, 2000). In this review of the literature, Eurich, Richards, and Britton are the primary figures discussed as they were involved with the writing initiatives in the early 20th century. Before the existence of the freshman composition course, the ability to express oneself in English in a scholarly manner was a component embedded in liberal arts courses rather than a specific course or skill set students learned while completing their degrees (Lucas, 2006). In 1896, under the title “English A,” leaders at Harvard University created the freshman composition course (Kellogg & Whiteford, 2009, p. 174). The course resembled a course that had been offered at Harvard, Yale, and William and Mary since the 1600s. The original writing composition course of the 1600s
  • 42.
    32 prepared young menfor civic duty, embedded specifically in literary rhetoric focusing on morals and ethics (Crowley, 1998). However, the revised freshman composition course of the 19th century aimed at addressing writing skills specifically and dealt not so much with rhetoric or ethics. Writing assignments in the course were skill-based and focused on improving new students’ oral and written communication skills. In 1911, after gaining affirmation from the Modern Language Association (MLA), the National Council of Teachers of English (NCTE) reaffirmed the freshman composition course as the academic environment that would specifically address student writing skills (Kellogg & Whiteford, 2009). These two organizations placed the freshman composition course, “English A,” on the map as a part of the academic curriculum in higher education. Students who enrolled in universities were expected to complete a first-year English course as a prerequisite to some of their upper division, major-specific courses. The freshman composition course offered students the opportunity to sharpen their writing skills through the study of literary analysis and rhetoric of poetry, logic, and argumentation (Britton, 1965). In order to reaffirm the importance of teaching writing skills in higher education, in 1929 Ruth Mary Weeks, the second female president of the NCTE, promoted an “interdisciplinary curriculum project” (Bordelon, 2010, p. 258). Her definition of what comprised a true writing curriculum included the totality of human communication, “reading, listening, speaking, and writing,” which means the ability to share and discuss ideas with peers in a group or on an individual basis (Bordelon, 2010, p. 258). Weeks published A Correlated Curriculum, which provided effective strategies for teaching writing. Her approach to teaching and learning writing supported fully integrated writing
  • 43.
    33 approaches (Bordelon, 2010,p. 258). The report showed support “to integrate classroom activities . . . with student experience . . . with each other . . . and with the total pattern of the world in which we live” (Bordelon, 2010, p. 258). In other words, in this theory, students learn best when they can relate their writing assignments with their lives and discipline-specific subject matter. However, despite Weeks’ efforts to support the integration of teaching writing in the disciplines, the academic community continued to focus on the new freshman composition course and how it would be the vehicle through which students learned proper writing skills and etiquette (Bordelon, 2010). Weeks’ approach to teaching and learning integrative writing included “vocational education, to social studies, to reforming the teaching of English, to challenging traditional gender constraints . . . of the time” (Bordelon, 2010, p. 258). The practice during Weeks’ time was to teach writing and composition as a separate skill rather than as part of content matter. Composition courses addressed students’ writing skills based on their ability to read and respond to literary works, separate from discipline-specific writing tenets (Yageleski, 2012, p. 189). At the time, the question of whether writing skill knowledge transferred from the English classroom to the discipline-specific classroom remained unaddressed. “Traditional approaches to [writing] pedagogy . . . tended to be largely prescriptive and academic, highlighting individual achievement rather than group cooperation” (Bordelon, 2010, p. 258). The transfer of knowledge between the writing class and the discipline-specific classroom would come to fruition during the WAC initiatives of the 21st century through vertical legitimacy of the curriculum and horizontal outreach. WAC pedagogy of the 21st century focuses on the collective acquisition of
  • 44.
    34 writing knowledge ratherthan individual student writing abilities. The result of a psychological investigation of cognition and learning when applied to learning writing skills was a primary influence in academicians’ change of heart toward writing proficiency as an isolated skill (Bordelon, 2010). During the first half of the 20th century, writing within the freshman composition course was taught aside from the professional disciplines. Freshman composition courses relied on philology, the practice of studying written texts within their historical context and how they reflect that historical period, and literary studies rather than content- specific writing tasks such as a business plan or proposal (Bazerman et al., 2005). Professors teaching first-year composition designed the course outcomes to reflect students’ abilities to interpret and respond to literary texts as well as to create and support argumentation with logic and rhetoric. Freshman composition class exit competencies were based on “general cognitive facilities” (Bazerman et al., 2005, p. 17), which were often not the same as exit competencies in discipline-specific courses. Weeks’ work went virtually unrecognized early on until the publication of The Philosophy of Rhetoric during the 1930s (Richards, 1936). Richards (1936) proposed that for written and oral communication to improve, students must practice these skills not only in English courses but in their discipline-specific courses as well (Bazerman et al., 2005; Spafford, 1943). However, despite initial attempts to teach composition along with content matter, writing instruction and content material remained separated from non-liberal arts subjects. Professors teaching discipline-specific courses considered an introductory writing course in the discipline to be intellectually “broad” and a dilution to the courses taught in various majors (Lucas, 2006, p. 222). Therefore, faculty outside
  • 45.
    35 language arts departmentspreferred English professors to teach students how to write correctly. During the mid-20th century, concern related to teaching writing from a strict literary and rhetorical perspective became the focus because students had difficulty applying the writing skills acquired in the freshman composition course to other courses (Bazerman et al., 2005, p. 17). In response to the concern of teaching writing from a strict literary and rhetorical perspective, in 1945 the Harvard Report on General Education “pronounced that a judicious sampling of the basic disciplines would compose the foundation for a liberal arts education” (Altbach et al., 2005, p. 62). The Harvard report presented the teaching of writing related only to literary analysis and classical rhetoric as outdated given the change in student demographics of the 1950s and 1960s that occurred due to the introduction of the GI Bill (Altbach et al., 2005; Lucas, 2006). Writing courses within the liberal arts began transforming writing initiatives to blend language and composition with the “disciplinary modes of thought . . . listening, speaking, reading, and writing” (Bazerman et al., 2005, p. 19). Due to the enactment of the GI Bill in 1944, which enabled returning war veterans to attend colleges and universities through government funding for the first time in history, enrollment in colleges and universities across the United States increased from 30% to 45% (Altbach et al., 2005, p. 60). Due to the large influx of veterans with little to no postsecondary education who had been out of school for years, a resurgence of the arts and sciences occurred in higher education. With the change in demographics, writing again became a focus of the academic community.
  • 46.
    36 Writing Across theCurriculum (WAC) In part, the roots of WAC stem from Eurich’s research on rhetoric and pedagogy of the 1920s. Eurich was an educational psychologist and professor of education at Northeastern University and Stanford University. He believed the increase in college enrollment between 1910 and 1930 called for a revision of the college curriculum and that a return to a general education core was needed (Spafford, 1943, p. 18). Over a century after the publication of the Yale Report of 1828 (Yale University, 1828), scholars of rhetoric and composition attempted to bring back the idea that a college education was to incorporate both content knowledge as well as a general knowledge base. In 1932, Eurich established the “General College” (Spafford, 1943, p. 18). Scholars in agreement with Eurich believed: Every aspect of a truly vital education partakes of life itself; the school becomes a school of living . . . learning is seeing living through novel situations . . . the curriculum becomes the very stream of dynamic activities that constitutes the life of the young people and their elders. (Ruggs, as cited in Spafford, 1943, p. 23) The idea of learning in relation to one’s personal experience would become key in the pedagogy of progressive education as promoted by Bruner a decade later. Eurich’s work is recognized as an essential component of compositional studies. A presentation of his Minnesota research study results at the 1931 NCTE meeting revealed students did not improve writing skills in a semester when comparing their pre and post essay samples. Eurich’s ideas and research would not be scrutinized for almost 3 decades until the establishment of the Academy for Educational Development (AED) in 1961. His work in the classroom and research confirmed that writing was not only a skill, but also a “process” (Bazerman et al., 2005). More specifically, he became interested in the transfer of knowledge from one subject to another. He discovered, after
  • 47.
    37 reading Dewey’s psychologyof learning, that language is used to “organize and maintain social groups, construct meanings and identities, coordinate behavior, mediate power, produce change, and create knowledge” (San Diego State University, n.d., para. 1). Human understanding and processing of new knowledge are facilitated through a process of association––students understand new information and skills if they are able to relate them to something familiar and pertinent to them. This is possible though learning within a community and social interactions with others with similar experiences (Dewey, 2008). Eurich’s ideas on learning in relation to human experience, the central idea that writing should be taught in relation to a student’s discipline, gained psychologists’ attention. Dewey embraced the idea of “learning communities” to support collaborative and contextual learning. Dewey equated subject matter knowledge to human beings’ social experience: Any problem of scientific inquiry that does not grow out of actual (or “practical”) social conditions is factitious . . . That which is observed, no matter how carefully and no matter how accurate the record, is capable of being understood only in terms of projected consequences of activities . . . Problems with which inquiry into social subject-matter is concerned must, if they satisfy the conditions of scientific method, (1) grow out of actual social tensions, needs, “troubles”; (2) have their subject-matter determined by the conditions that are material means of bringing about a unified situation, and (3) be related to some hypothesis, which is a plan and policy for existential resolution of the conflicting social situation. (Dewey, 2008, p. 499) Dewey’s philosophical approach to education suggests human beings process knowledge in a scientific manner and learn and process new information based on their observations and direct interactions with new information as related to their personal experiences. Dewey’s embrace of contextual learning would influence the progressive education movement during the 1950s and 1960s. This point of view supports the idea that the “content teacher must see that these general [writing] principles are used
  • 48.
    38 wherever they applyin his assignment and must also teach the special reading, writing, vocabulary, and spelling skills particular to his subject” (Weeks, as cited in Bordelon, 2010, p. 265). Dewey’s theories of psychology provided a framework for teaching writing across liberal arts and sciences courses. Following Dewey’s pedagogy, Bruner (1974) was instrumental in establishing a hands-on writing curriculum that did not depend solely on the interpretation and analysis of literary texts within an English department as it had in the past (Bazerman et al., 2005; Bordelon, 2010; Bruner, 1974; Crowley, 1998; Lucas, 2006). Progressive Education and WAC Following Dewey’s ideals, Bruner was a student under Richards and considered a leading figure in progressive education. According to the tenets of progressive education, students acquire knowledge and skills through their relation of the material to personal experience. Progressive education is founded upon the experiential learning model, which states that the acquisition of knowledge is based on experience. With Bruner (1974) specifically, the idea of a functional cognitive process incorporates experience as an essential component of the learning process (p. 106). In other words, learning occurs as a function in the brain by relating new information to existing information stored in human memory, as well as human social interaction, such as that which occurs in a learning community. Bruner believed that children: Acquire not only a way of saying something but a powerful instrument for combining experiences, an instrument that can now be used as a tool for organizing thoughts about things . . . that words are invitations to form concepts. (p. 105) This is another way of saying students learn language both as a skill and as an activity to use in context. Writing “in context” allows for the transfer of subject matter knowledge
  • 49.
    39 and skill, inthis case writing composition. One type of contextual writing is “self- reflective” writing, or writing about one’s experiences, an activity students can complete in just about any course they are taking (Fernsten & Reda, 2011, p. 180). Psychologists and educators together began to understand the concept of writing as a process that needs to occur in context or in the discipline. Writing in discipline reinforced the idea that students learn best when new information is related to real life situations, as Eurich and Dewey had proposed. Britton was instrumental to WAC initiatives in higher education. In The Development of Writing Abilities, Britton (1965) addressed the fact that teaching writing from a solely literary and rhetorical perspective is counterproductive because learning in a community and in the context of a situation are essential for the transfer of knowledge (Bruner, 1974; Fernsten & Reda, 2011). Britton used the term advanced composition to mean writing as being both an active and passive activity that “includes the writer in both the participant and spectator roles” (Pelez, 1982, p. 2). Britton stressed the importance of self-reflective writing. Instead of teaching students how to write using interpretation of other authors’ texts, as freshman composition had originally been structured, under Britton’s theory students would combine their analysis of others’ texts in relation to their own ideas and experiences. Britton (1965) focused on composition studies and his ideas reflected those of early composition scholars, such as Weeks and Eurich, who supported incorporating writing into students’ lives and in discipline-specific courses. Because of his belief that a writer was producing text while experiencing an event, Britton advocated situational writing. Situational writing is writing that occurs within a social context based on one’s
  • 50.
    40 personal experience orsituation within a group of peers. “Its subject matter perforce draws heavily upon the personal experience and knowledge of the writer, no matter what the nominal topic of that writing might be” (Pelez, 1982, p. 4). An important landmark in progressive education through its emphasis on experiential knowledge and the importance of students’ understanding of writing within disciplines was Britton’s article entitled “Language and Learning,” a staple in the Bullock Report (Bullock, 1975). The article included information highlighting the importance of teaching writing along with content, reflective of Dewey’s principle that learning is “experiential awareness” (Bazerman et al., 2005, p. 21). The writer and the context in which the writing occurs were of equal importance to Britton, as they would be to WAC initiatives of the early 21st century because recent studies show an increasing number of universities with WAC initiatives (Perelman, 2011; Thaiss & Porter, 2010). In addition, regional accreditation bodies, such as SACS, are requiring assessment of student writing across the disciplines to be a component of the accreditation process (SACSCOC, 2012). Infusing Writing in Discipline Following the educational philosophies of Dewey and Britton, psychologist Vygotsky developed a theoretical framework called Social Development Theory (SDT) during the late 1970s and 1980s. Vygotsky’s theory of SDT stresses the importance of interacting with other members of society in the development of cognition (McLeod, 2013, para. 2). Vygotsky’s SDT was a major influence on educational pedagogy as it incorporates the idea of experiential learning, an essential component of progressive education. Vygotsky’s use of SDT supported Britton’s idea that students improve writing skills when they apply them to discipline courses and transfer knowledge more
  • 51.
    41 effectively from compositioncourses to the their major courses in a community of learners (McLeod, 2013). By the early 21st century, progressive education was at the forefront of WAC initiatives in higher education. By the late 1990s, over 50% of universities had a WAC component in the curriculum (McLeod & Soven, 2000), evidence that student writing proficiency was important to both faculty and administrators. Students were being asked to write papers in most of their classes, even within their majors. Yet some proponents of WAC argue that assigning a research paper for class does not constitute a true WAC initiative. McLeod and Soven (2000) subscribed to Britton’s idea of “transactional writing,” more commonly referred to as self-expressive or exploratory writing. This type of writing is used to bring together the idea of writing within a context, or writing in an environment to which the student can relate and share personal experience that is associated to a present situation, such as a class assignment. Dewey’s idea of “functional cognition” combines understanding new knowledge with social context as developed by personal experience. In other words: Knowledge is not passively received . . . but is actively constructed by each individual learner . . . One of the most powerful ways of helping students build and change their knowledge structures is to have them write for themselves as an audience. (McLeod & Soven, 2000, p. 3) Through his theory of transactional writing, McLeod and Soven (2000) aligned WAC with the theoretical foundations of Britton and Dewey. Learning through discovery, experience, and social interaction within a learning community were important concepts in teaching WAC during the early 21st century and still are today (Crowley, 1998). An example of early integration of writing across the disciplines was conducted at MIT.
  • 52.
    42 MIT’s WAC initiativeearly in the 21st century provided an example of WAC within a discipline-specific community of learners. The initiative at MIT could be considered a stepping stone for writing initiatives in non-traditional, professional universities in the media arts and design because it was WAC outside the traditional liberal arts setting, a first for its time (Perelman, 2011). In 1983, senior academic administrators at MIT worked diligently to establish a writing requirement for all graduates. The basic structure of MIT’s WAC program consisted of a team-taught approach, which included junior faculty working with lower division science and technology courses and senior faculty working with upper division courses and graduate students. The union of skill, eloquence, and subject matter prowess was the driving force in a writing-infused curriculum. Faculty training for WAC during its inception in the 1970s and 1980s included collective learning communities. Faculty members from the English department would exchange ideas with faculty members outside the language arts department to create assignments and activities that would allow students to write within their major-specific courses (McLeod & Soven, 2000, p. 10). Ideally, faculty learning communities working on a WAC initiative worked together as equals—English professors were connoisseurs in diction and discipline-specific professors were content experts (Wingate et al., 2011). WAC During the 21st Century By the late 20th century, infusing writing instruction with content was common in higher education. By 2004, effective writing skills had become a requirement for a majority of companies hiring college graduates in the United States (Zumbrunn &
  • 53.
    43 Krause, 2012, p.346). McLeod and Soven (2000) argued that WAC’s popularity seems to have pushed the movement away from its pedagogical foundation and into less structured academic situations. The English composition course has ceased to be the center of WAC. According to McLeod and Soven, “The curricular elements of WAC programs are various and institution specific, differing widely from campus to campus. The most obvious—and most neglected—course in WAC planning is freshman composition” (p. 5). Because of such scholars as Bruner, Dewey, Britton, and Vygotsky, professors across the disciplines formed ties to WAC initiatives. Professors within higher education in the 21st century were convinced that the transfer of knowledge occurred when students learned and processed new information within a contextual, social, and personal academic situation. Thus, writing across the disciplines was accepted as the way graduates applied writing skills learned in college to a professional environment (Thaiss & Porter, 2010). The teaching of writing during the early 21st century has become part of all disciplines. Regardless of whether a professor has a formal background in the language arts, he or she is expected to address student writing issues in the classroom. Thaiss and Porter (2010) noted that at the beginning of the 21st century WAC was no longer as faculty-driven as before. The majority of attendees at WAC-related conferences during the early 2000s were academic administrators, not faculty (Perelman, 2011, p. 535). Unlike the past 20 years, WAC during the 21st century has become a collaborative effort among administration and faculty. In early 21st century studies on WAC, such as those by McLeod and Soven (2000) and Bazerman et al. (2005), the authors emphasized that a successful writing
  • 54.
    44 pedagogy across thecurriculum and in the discipline-specific classroom could only be possible through the collaboration of language arts faculty, freshman composition professors, writing center tutors, and college administrators. A technical writing course offered by the various discipline departments can be “team-taught” with a faculty member from the English department and a faculty member from the science department (Perelman, 2011, sect. 1). This is a valid example of the union between the language arts and the professional disciplines. It is a team effort to make a course like this work. By 2005, much of the WAC materials were readily available digitally and acknowledged globally (Thaiss & Porter, 2010, p. 536). Thaiss and Porter (2010) developed a survey for administrators and discovered many of the same people who had been involved in WAC programs during the 1980s were still running WAC programs. The survey results revealed 568 institutions of higher education had some type of WAC program in 2008 (Perelman, 2011; Thaiss & Porter, 2010, p. 540). Thirty-five percent of universities in the United States have a WAC program, indicating that infusing writing in and across the disciplines is still very much alive in higher education despite the decrease in scholarly activity on the subject for the past decade (Perelman, 2011; Thaiss & Porter, 2010, p. 540). According to Yageleski (2012), effective writing instruction needs to be a collaborative effort. The collaborative nature of the technical writing course alludes to a WAC system that can be a reflection of a university culture (Fernsten & Reda, 2011, p. 173; Woodward-Kron, 2009). Administrative support is essential in WAC initiatives; therefore, faculty and university administration need to work together on university-wide writing initiatives. Professors across the disciplines are engaged in teaching students how
  • 55.
    45 to transfer theskills learned in English composition into discipline-specific courses. Yageleski believed “writing can—and should—be a vehicle for individual and collective transformation” (p. 189). One reason students lack writing proficiency in the art and design disciplines may be insufficient research-based evidence of WAC working inside discipline-specific classrooms within an art and design academic institution of higher education. Current WAC theories and applications used today are based on data from WAC initiatives at traditional colleges and universities (Defazio et al., 2010; Woodward-Kron, 2009). Without a workable research base or recent data from WAC programs within professional universities in the media arts and design, researchers must develop studies and programs based on existing WAC data and research. Thus, a concern is the majority of the existing data originate from studies conducted at traditional colleges and universities, not professional studies programs (Kahn & Holody, 2012; Wingate et al., 2011). Research on WAC within an art and design university would enrich existing data on WAC conducted at traditional institutions, yet take into consideration students who are studying media and design and working within the media and design industries after graduation. Further investigation of writing needs within the context of an art and design regionally accredited institution of higher education would add to existing data based on past research studies of the late 20th and early 21st centuries. “Permanent success in the WAC movement will be established only when writing faculty and those from other disciplines meet half way, creating a curricular and pedagogical dialogue that is based on and reinforced by research” (Jones & Comprone, as cited in Condon & Rutz, 2012, p. 358). In other words, WAC initiatives will be even more beneficial when faculty and
  • 56.
    46 administrators from differentareas of higher educational, such as traditional and non- traditional academic settings, are exposed to effective strategies to teaching, assessing, and infusing writing initiatives across both traditional and professional disciplines (Condon & Rutz, 2012). Recent data from studies conducted in the last decade show 80% of high school graduates write at a basic level, a quarter of that number write at a proficient level, and about 1% write at an advanced level (Yageleski, 2012). Sixty percent of incoming freshmen are required to take remedial English (Gruenbaum, 2012, p. 111). Because college-level writing proficiency has become so important in obtaining employment after graduation, many WAC programs have burgeoned in primary and secondary educational settings as a way to better prepare high school graduates for college-level writing courses (Gruenbaum, 2012). In one example of a response to the low-level writing skills of entering college freshman, the National Commission on Writing (NCW, 2003) published The Neglected “R”. This study proclaimed writing to be “an essential skill for the many . . . that helped transform the world” (Yageleski, 2012, p. 188). Specifically, the NCW report stated “writing is everybody’s business, state and local curriculum guidelines should require writing . . . at all grade levels” (p. 5). Within an art and design university, this is extremely important because students are earning academic degrees for competitive positions in the multimedia industry. Current Implementation of WAC As previously mentioned, good writing skills are key to securing a position for today’s college graduate. For this reason, the Council of Chief State School Officers
  • 57.
    47 (CCSSO, 2012) recentlyimplemented the Framework for English Language Proficiency Development Standards corresponding to the Common Core State Standards (CCSS) and the Next Generation Science Standards in Miami Dade County Public Schools (MDCPS). This framework aligns writing, science, and math course outcomes to first-year college-level math and English courses, an example of vertical legitimacy (Mendenhall, 2010). Secondary schools in this district are attempting to establish English Language Proficiency (ELP) standards across the curriculum. The ELP initiative aims to bridge the gap between students’ writing proficiency out of high school into college or the workplace. These new standards in MDCPS are based on Florida’s adoption of the common core state standards (CCSSO, 2012). Since 2010, 40 states have adopted the CCSS for literacy across the curriculum in primary and secondary education (CCSSO, 2012; Vander Ark, 2013). CCSS utilizes the Literacy Design Collaborative (LDC), a “task-central” framework in which teachers and students are equally responsible for reading and writing instruction (Vander Ark, 2013). Under LDC, teaching and learning reading and writing are connected, a responsive system through which teachers and students work together in the alignment of the oral and written communication skills necessary in college and the workplace (Vander Ark, 2013, para. 6). The alignment of writing with the professional environment within secondary and postsecondary education (i.e., vertical legitimacy) has become the focus of writing initiatives in the 21st century. In the 2012 International Writing Across the Curriculum Conference agenda, over a dozen workshops and seminars focused on expanding writing efforts in the professions and overcoming challenges in higher education today. The need to ensure students
  • 58.
    48 graduate from collegewith a solid understanding and ability to apply scholarly writing skills at work has become a priority in education as a whole. Writing as a function and reflection of one’s experience has become part of most universities’ curricular structure. “Writing in the disciplines is best understood not as interchangeable with writing across the curriculum but as an alternative orientation with far-reaching implications for the role of writing and writing instruction at all educational levels” (Monroe, 2003, p. 4). In the last decade, institutions of higher education have embraced WAC and in some cases adopted the model as a part of faculty development and accreditation initiatives. For example, Cornell University’s John S. Knight Institute for Writing in the Disciplines is one of the first and largest program initiatives that attempts to bring academic writing into content-specific situations. The writing program at Cornell offers over 300 writing seminars, 60 of which are discipline-specific, a prime example of how writing instruction has surpassed the boundaries of the English classroom. Cornell’s creation of the John S. Knight Institute for Writing in the Disciplines emphasized the importance of teaching writing alongside content. Increasingly, WAC is being implemented across professional and academic associations. For example, the Council on Social Work Education (CSWE) as recently as 2012 implemented WAC in programs under its accreditation. “CSWE’s 2008 Educational Policy and Accreditation Standards lists a demonstration of effective written communication (p. 4) as a practice behavior characteristic of all social workers” (Kahn & Holody, 2012, p. 71). The CSWE WAC program objectives include genre-specific writing skills and vocabulary. Within the CSWE WAC initiative exist benchmarks assessment outcomes, such as having students read more genre-specific literature, practice summarization skills, detailed
  • 59.
    49 records on patients,understanding of how to obtain academic assistance with their writing, as well as learning how to proofread and identify strengths and weaknesses in writing (Kahn & Holody, 2012). Moreover, in an attempt to address student writing proficiency issues in British schools, Wingate et al. (2011) studied the implementation of a WAC initiative between universities in different countries. These researchers found the same problem in conducting their study––the lack of quantitative data on WAC outcomes, particularly on universities from different countries working collaboratively. “Only a few examples of discipline-specific writing instruction have been reported . . . The dominant approach to teaching writing at UK universities is still extra-curricular and generic” (Wingate et al., 2011, p. 70). Teaching Writing Strategies and WAC Implementation Today Professors across the disciplines are being asked to implement writing in the classroom; thus, it is important to establish some basic strategies and share information about what is being done in WAC initiatives currently as well identify gaps in the research that need to be addressed by scholars in writing and composition. Recently, Hassel (2013) conducted a meta-study on current gaps in teaching English at the college level. His findings are important for the current study given the nature of this study. Because the current study was designed to address WAC in an art and design institution, understanding research needs in traditional academic settings is valuable. The importance of understanding gaps in the research of teaching English, as well as strategies that are currently being used in WAC in traditional settings, assisted in the analysis of the findings for this study.
  • 60.
    50 According to Hassel(2013), there are specific areas where research is needed in current WAC initiatives: diversity, technology, and methodology and pedagogy (i.e., course design). After reviewing over 100 articles concerning the gap areas in current WAC published studies, he concluded these gaps have occurred primarily during the last 15 years. He concluded that the teaching of English has not only surpassed freshman composition, but also composition as a discipline per se. In other words, Hassel’s meta- study revealed students require writing instruction in their English classes as well as in their disciplines. In addition to Hassel’s findings (2013), a recent study from the Conference on College Composition and Communication (CCCC) presented information concerning how writing instructors and students experience writing instruction across the curriculum (Addison & McGee, 2010). In their study, which used data collected through the CCCC, findings showed students learn writing best outside the traditional English classroom. Addison and McGee (2010) recommended that literacy head in the direction where writing instruction occurs only in the disciplines unless a student is a literature or liberal arts major (p. 148). This recent stipulation based on the CCCC’s findings supports the purpose of the current study, which was to address writing instruction in the professional disciplines. Addison and McGee used the term deep learning to indicate writing done “beyond school” (p. 148). Writing in the professional disciplines, in a non-traditional setting, could be considered writing beyond school. Moreover, the Consortium for the Study of Writing in College recently initiated a partnership with the Council of Writing Program Administrators (Addison & McGee, 2010). Emphasizing the need for collaboration between faculty and administration is
  • 61.
    51 essential in implementinga WAC initiative. The recent partnership between these organizations is proof that the academic community is moving in the direction of academic and administrative collaboration. More research is needed surrounding how collaboration between non-writing administrators and faculty can help in the implementation of a WAC initiative (Hassel, 2013), which was the primary goal of the current study. Available research on current WAC initiatives has shown writing for the professional environment is essential in a student’s college career. Among the supporters of this idea is the NCW. According to Addison and McGee (2010), the NCW showed that over $3 million is spent on training employees to improve their professional writing skills (Addison & McGee, 2010). With major corporations employing eight million people in the United States, it can be assumed that employers would want to cut training costs and hire employees with good oral and written communication skills (Addison & McGee, 2010; Conerly, 2012). Therefore, the question remains: How do universities train non-writing faculty in teaching students writing throughout the curriculum so students graduate with both academic and professional writing skills? Effective Strategies for the Teaching of Writing With limited research on non-writing faculty teaching writing in the classroom, researchers must rely on existing data for information concerning effective teaching strategies already practiced in a traditional composition class. Some specific strategies that have been proven effective in both the teaching and learning of writing are vertical legitimacy, horizontal outreach, and deep learning and having a scale-based system of evaluating student writing. For both non-writing program administrators trying to
  • 62.
    52 implement WAC andinstructors without a formal background in the language arts, these three components are essential in teaching, learning, and implementing writing skills in any discipline. A scale appropriate for use in WAC initiatives outside a traditional academic institution and for non-writing experts might be the benchmarks set forth by the Council of Writing Program Administrators using the National Survey of Student Engagement (NSSE). Vertical legitimacy. According to Mendenhall’s (2010) vertical legitimacy perspective, composition and rhetoric take place at difference levels within the same subject rather than across different subjects. Teaching writing skills “horizontally” implies that students will work on writing skills primarily across the curriculum and within many subjects (p. 98). Recent studies on WAC in today’s institutions of higher education support teaching writing from a content-specific perspective as well as a skill used in analysis and rhetoric in English composition courses. With vertical alignment of writing in the disciplines, two gaps in effective teaching and learning writing skills would be addressed: improvement in writing skills in the workplace and inclusion of non- traditional students in WAC initiatives from beginning courses to advanced courses in the discipline (Hassel, 2013, p. 351). Horizontal outreach would be the WAC piece to teaching and learning writing. A writing initiative that utilizes both a horizontal outreach and vertical legitimacy would teach students writing in both academic and content specific areas of study. Theoretically, this allows for more effective transfer of knowledge in writing because students would be writing in both their major and general education courses (Mendenhall, 2010).
  • 63.
    53 Adult students returningto school would be able to improve their writing skills in both a professional and academic environment because writing instruction would take place in their major courses as well as in their general studies courses. Finally, if both of these gaps were addressed, researchers could have a better grasp of what truly constitutes literacy by today’s standards and whether there exists a new definition for literacy. A goal of the current study was to determine effective teaching and writing strategies in a professional discipline, such as graphic design, interior design, and fashion. Writing in the professional disciplines, in a non-traditional setting, could be considered writing “beyond school.” Horizontal outreach. Mendenhall’s (2010) deep learning theory of WAC in today’s educational institutions places emphasis on both vertical legitimacy, or alignment in the curriculum, as well as horizontal outreach. It is important for students to write in their major discipline area using basic terminology and writing tasks up to and through advanced level writing. However, horizontal outreach is writing outside the disciplines so students are able to transfer the skills they learn in some of their liberal arts courses to courses in the disciplines. Horizontal outreach emphasizes the importance of understanding critical thinking using “rhetoric-focused” (Mendenhall, 2010, p. 98) coursework. The inclusion of both vertical and horizontal curriculum and instruction would give students exposure and practice using academic and professional writing tasks. Deep learning. According to Addison and McGee (2010), the deep learning strategy needs further investigation. Addison and McGee stipulated that specific assessment benchmarks need to be in place for WAC to be successful in both non- traditional and traditional academic settings. Instructors teaching writing-infused with
  • 64.
    54 the discipline shouldhave the following mechanisms in place in current WAC initiatives, using the NSSE deep learning scale:  Pre-writing activities—short writings prior to writing assignments to engage students in the topic and writing process  Clear expectations—clear directions and expectations (i.e., rubric) when assigning writing tasks  Higher-order writing—summarization, argumentation, and analysis  Good instructor practices—collaboration in the classroom and with peers  Integrated media—multi-modal teaching for different learning styles Including these five basic criteria in writing assignments across the curriculum would provide non-writing faculty a tool to use when assessing student writing skills in addition to developing writing assignments and projects. The use of technology and different information delivery strategies can engage the students in class and help them integrate writing skills from their composition courses in their majors (Hassel, 2013). According to Hassel (2013), vertical legitimacy in teaching writing must occur in secondary education for a successful transfer into higher education. Students must understand how writing assignments in various subjects in high school will be helpful in their general education and major-specific courses to give them a better understanding of how to transfer their knowledge of writing in an interdisciplinary way. With the incorporation of benchmarks, such as the vertical alignment between secondary and higher education that has already taken place in states adopting common core standards pedagogy, faculty development and training, as well as collaboration between academic auxiliary services must be equal in both secondary and higher education settings.
  • 65.
    55 Adopting the NSSEdeep learning scale should also help address the gap in assisting faculty in effective teaching strategies in writing. Research Gaps in Teaching College English Hassel (2013) supported the idea of having professional voices in WAC initiatives. With more students competing for jobs after graduation and writing being so important in that process, advice from a professional in the field could assist in curriculum development. For example, MIUAD academic programs have professional advisory committees (PAC) that attend students’ portfolio reviews, final projects, and writing assignments to make recommendations to students and faculty on how student work compares to industry standards. The current study used faculty teaching courses under departments with PAC committees in place. Hassel (2013) believed additional scholarly research in teaching writing in the disciplines needs to examine how technology, diversity, pedagogy, and course design influence the teaching of writing in the classroom. Writing centers must be involved in successful WAC programs at both traditional and non-traditional institutions. Administrators need to collaborate with faculty and make note of faculty needs and recommendations for program development in relation to university-wide WAC initiatives. Faculty are often teaching writing without a formal background in language arts and data on how to complete this task effectively are needed. Technology. After reviewing the 2005 Teaching English in a Two-Year College national survey, Hassel (2013) identified the need for faculty training and development in the use and incorporation of technology in the classroom. The journal of Teaching English in a Two-Year College published only 19 articles related to online teaching,
  • 66.
    56 teaching remedial Englishand composition with online components, information literacy, software used to teaching language and composition, and course management in general. Hassel believed the gap in available and viable research published on teaching writing using technology in the last 8 years is insufficient to impact faculty development and training initiatives in colleges and universities. Diversity. Research is needed on teaching writing in a diverse classroom. Although many studies have been conducted into the diversity and changing demographics in higher education, more data on effective teaching strategies need to be shared with instructors teaching writing in various academic situations (Hassel, 2013). In addition, the issue of first generation college students needs further investigation. Hassel (2013) believed community colleges and universities are affected differently in this area, and it would be helpful to understand how to work with these first generation students. Pedagogy and methodology. Hassel (2013) focused on this gap in his article. He included technology and diversity in this gap because they both often impact course design and delivery to students. Hassel found current studies and publications on teaching composition tend to focus on the delivery of material, best practices, personal narratives, and pedagogy. However, a limited amount of data or information have been produced on the topic of how instructors are addressing literacy, reading, writing, information or digital literacy, and others. More data are needed to show how colleges and universities are preparing students for the workforce. Discussion on the transfer of literacy from academia to the professional world is also lacking (Hassel, 2013, p. 351). Lastly, Hassel mentioned the underrepresentation of writing center studies in peer- reviewed journals in the field of teaching composition or literary studies. Writing centers
  • 67.
    57 are essential ina successful curriculum. Students can visit the writing center for help with virtually any type of writing assignment, so a tutor in the writing center may be a good resource from whom to obtain information about the various types of writing assignments at an institution. This gap in the research in teaching writing strategies needs to be addressed in order to improve existing curriculum and create new curriculum for the working adult student (Hassel, 2013, p. 354). Conclusion Even though in some cases the research dates back to the late 1900s, many of the ideas are still applicable because current WAC initiatives reflect the idea of writing in the discipline, the practice of co-teaching courses, and learning communities. The MIT study showed that in science, technology, engineering, and mathematics (STEM) discipline areas, writing is an essential component of being a scientist and scholar in the field. The study showed evidence of the effectiveness of adding writing to the design disciplines, such as graphic design, web design, audio engineering, and fashion merchandising, is almost non-existent. In the current study, the term professional disciplines was used to define academic disciplines in the media and design arts. This study was designed to address the gap that exists in the literature regarding research on writing intensive curriculum in the media arts and design area (Hassel, 2013; Mendenhall, 2010). The study involved an investigation of how non-language arts faculty in a 4-year, regionally accredited art and design university can develop an infused curriculum in the professional disciplines. Learning communities have been a key to the implementation and expansion of WAC in higher education. Because WAC scholars such as Weeks, McLeod, and more
  • 68.
    58 recently Addison andMcGee (2010) believed a writing-infused curriculum could only be successful through the collaboration of faculty and administrators, Cochran-Smith and Lytle’s (1999) theoretical framework of teacher-learner communities was appropriate for the current study (Bordelon, 2010, p. 264). Data from this study add to the existing WAC literature from the perspective of faculty teaching writing from across the professional disciplines. Cochran-Smith and Lytle’s theory on adult learning community within teaching environment was used to develop the qualitative survey used to collect data from the participants in the current study. MIT and Kings College WAC initiatives revived the idea of WAC at a global and technological level. The structure of the pilot study at Kings College and MIT’s theory on WAC program essentials were two of the most recent studies on WID from the 20th century. MIT’s combination of writing proficiency and technology as essential components of students’ education set an example for future research on adaptations of WAC in non-traditional academic situations. These examples may provide guidelines for WAC initiatives in non-traditional academic settings, specifically an art and design university. Addison and McGee (2010), Hassel (2013), and Mendenhall (2010) recommended that gaps in research from the last 15 years be addressed to serve students effectively in improving, transferring, and applying good writing skills in both the academic and professional environments. Summary This chapter contained a concise analysis of the major events, persons, and influences on WAC within higher education: (a) the Morrill Land Grant Acts of 1862 and 1890 and GI Bill of 1944; (b) the induction of the freshman composition course into
  • 69.
    59 undergraduate curriculum; (c)primary figures in the WAC movements during the 20th and early 21st centuries; (d) progressive education roots in psychology and their influence on WAC; (e) institutional acceptance of WAC as part of the academic culture and regional accreditation; (f) faculty learning communities in the implementation of WAC programs; (g) the need for research on WAC within non-traditional institutions of higher education, such as art and design universities; and (h) how recent scholarly publications have identified gaps in research and effective teaching and learning strategies for new WAC programs outside the traditional academic setting. The review of the literature showed a gap exists in current, available data on WAC during the 21st century. Further, the review supported the need for more data on WAC within the professional disciplines in the media arts. Few, if any, data are readily available on the effective implementation of WAC within a regionally accredited art and design university. The increase in the number of adult students returning to college warrants further investigation into assessing student writing within discipline-specific courses in a non-traditional setting. Chapter 3 presents a description of the methodology used in this exploratory case study as well as a discussion of why this method was appropriate for this study and setting. The participants and instrument used in this study are also discussed in detail. Available data on WAC from traditional institutions of higher education were taken into consideration in the analysis, collection, and reporting of data in this study. The goal of Chapter 3 is to explain the theoretical and practical reasons for the method chosen to collect data from participants in the study as well as why it was an appropriate approach in a study of this nature.
  • 70.
    60 CHAPTER THREE: METHODOLOGY Thepurpose of this exploratory case study was to identify effective methods faculty and administrators without formal education in composition or language arts can use to implement a writing-infused curriculum across the professional disciplines. The case study approach enabled the researcher to understand how instructors outside a traditional academic setting were able to help students improve their writing skills in the chosen disciplines because of the direct involvement participants had with the researcher while collecting data through observation and focus group discussions (Yin, 2011). Academic administrators and faculty can use the results of this study to plan new writing initiatives across the professional disciplines, namely in an art and design regionally accredited university. WAC initiatives since the 1970s provided examples and pedagogy for assisting and assessing student writing skills at the university level. However, few formal studies were conducted within a non-traditional setting, specifically an art and design university. As discussed in the review of the literature, current trends in teaching WAC indicated the need for writing instruction to take place in a discipline-specific context. Psychologists found the transfer of knowledge takes place when the learner is able to apply new information to personal experience and interest related situations (Bruner, 1974; Pelez, 1982; Yageleski, 2012). Research Questions The overarching question guiding this study was: What effective methods can faculty and administrators without formal education in writing composition and language arts implement for a writing-infused curriculum? The four research questions were
  • 71.
    61 aligned with Cochran-Smithand Lytle’s (1999) five principles of the theory of teacher- learner community: (a) knowledge-practice relationship; (b) image of knowledge; (c) image of teachers, teaching, and professional practice; (d) images of teacher learning and teachers’ roles in educational change; and (e) current initiatives. 1. What knowledge and methods do faculty members without formal education in composition or language arts perceive as effectively used in a writing- infused curriculum? 2. What knowledge do faculty members without formal education in composition or language arts perceive as needed information in order to improve a writing-infused curriculum? 3. In what ways can faculty members teaching writing-infused courses in the disciplines assist in the development of writing initiatives? 4. In what ways can non-writing faculty’s knowledge and experience implementing a writing-infused curriculum assist academic administrators in current WAC initiatives? The research questions for this study were aligned with the supposition that participants from various disciplines working as a learning community would be able to provide information and effective strategies on infusing writing into their discipline- specific courses without a formal background in language arts. The research questions were designed to examine participants’ experiences in a QEP pilot study entitled Writing Across the Professional Disciplines at a regionally accredited art and design university in Miami, Florida.
  • 72.
    62 The participants wereable to share anonymously their experiences through a secure qualitative survey as well as share ideas and strategies with other participants in the study through a focus group. One 30-minute classroom observation at the participants’ convenience allowed the researcher to see how participants discussed writing in the classroom as it relates to content knowledge. The case study method was appropriate for this study because there are little, if any, research-based data on WAC initiatives in a non-traditional setting, specifically in an art and design university. The qualitative approach enabled the researcher to directly interact with participants in the study and discover strategies they used to implement a writing initiative within a professional discipline within an academic setting. This chapter contains a discussion surrounding why a qualitative approach was used, specifically an exploratory case study. According to Yin (2011), a case study allows the researcher to gain an invaluable and deeper understanding of the study and participants, which would hopefully result in “new learning about real-world behavior and its meaning” (p. 4). The chapter also includes information on the participants of the study and location, data collection methods, validity of the study, as well as an explanation of Cochran-Smith and Lytle’s (1999) five principles of the theory of teacher- learner community, the theoretical framework used in the development of the qualitative survey and analysis of results in Chapter 4. Research Method and Design A qualitative research method was used in this study. More specifically, an exploratory single case study approach was appropriate for this study because it allowed the researcher to have one-on-one communication with and direct feedback from
  • 73.
    63 participants as wellas work directly with participants during the course of the study. “This type of case study is used to explore [a] situation in which the intervention being evaluated has no clear, single set of outcomes” (Yin, as cited in Baxter & Jack, 2008, p. 548). A quantitative method would not work in this study for two reasons: the number of participants and the purpose of the study. Because a hypothesis was not possible given the purpose of the study, which was to discover new information rather than test a variable or compare results to existing data, no statistical analysis was warranted (Creswell, 2007; Johnson & Christensen, 2007). The exploratory case study method enables researchers to determine participants’ realities and experiences during the study and state claims based on the findings. This method allows researchers to examine a person or situation contextually and within a natural setting (Creswell, 2007). Through case study methodology, researchers are able to conduct a contextual analysis of participant experiences and develop new insights or expand on the existing body of knowledge on the topic of this study (Johnson & Christensen, 2007). This approach was appropriate for this study because the research questions asked in what ways and why participants infused writing in their discipline- specific classrooms (Baxter & Jack, 2008). The researcher collected data from participants primarily through a qualitative survey, individual classroom observations, and a focus group. In the qualitative survey for this study, participants were able to share specific information about their academic backgrounds, techniques for infusing writing in the classroom, as well as their suggestions for improving the current QEP pilot for university-wide implementation.
  • 74.
    64 Additionally, the qualitativesurvey allowed participants to make recommendations, share best practices, and suggest ways to implement a writing initiative in an art and design university setting. In this case study, the primary goal of classroom observations was to note instructor-student behavior patterns during class discussions regarding writing tasks and projects. In addition, observing participants in their natural setting in the classroom gave the researcher insight into how the participants explained writing assignments to students in class (Yin, 2011). Conversations between students and comments made during class discussions helped the researcher determine common patterns and elements in how adults perceive and understand academic writing, providing clarity and understanding to the information given in the focus group to allow the researcher to create rich thick descriptions (Yin, 2011). Finally, given the limited formal research on WAC within an art and design university, a small group of participants provided personal and specific information regarding the QEP initiative within MIUAD. The focus group interviews conducted for this study revealed participants’ perspectives on academic writing within a professional academic setting, specifically art and design majors. The gap in the literature showed “boundaries are not clear between the phenomena [writing-fusion in the professional disciplines] and the context [a regionally accredited art and design university]” (Baxter & Jack, 2008, p. 545). Moreover, in situations where there are little formal, quantifiable data on a particular topic, an exploratory case study allows insight into the topic and the allowable sample size is small. According to Yin (2011), a sample size of seven to 12 participants is ideal for an exploratory single case study as used in this research project (p. 30).
  • 75.
    65 The primary goalof this study was to collect information on how participants in an art and design university were teaching professional disciplines in design and media arts were able to infuse writing into the curriculum without having a formal academic background in language arts. The three data collection methods selected for this case study allowed the researcher to discover some effective strategies the participants were using to accomplish this task. The personal interaction and small group environment allowed for direct interaction and feedback from the participants, which served valuable for future studies in WAC. Participants Participation in this study was completely voluntary. Participants in this research were asked to complete or participate in the following: (a) a brief qualitative survey consisting of nine questions, (b) one 30-minute classroom observation at a convenient and appropriate class data and time, and (c) one focus group held off-campus. For this exploratory single case study, the researcher used faculty participating in MIUAD’s QEP, Writing Across the Professional Disciplines. MIUAD is a regionally accredited institution of higher education that grants undergraduate and graduate degrees. It is located in the southeastern region of the United States and falls under SACSCOC for its regional accreditation. MIUAD is a small art and design university with approximately 1,500 students and 135 faculty members, of whom 87 are full-time status. The student-teacher ratio is about 15 to 1. Thirty-three percent of the student body are international. The university functions on a quarter system in which quarters are 11 weeks long and classes meet once a week for 4 hours.
  • 76.
    66 A total of10 faculty members who were currently teaching QEP designated courses participated in the study. Participants were selected based on their existing participation in the university QEP pilot study and were teaching art and design courses while embedding writing into the curriculum. Data collected were pertinent to the study of infusing writing into the professional disciplines. Instrumentation and Data Collection After permission to conduct the study was granted from the site and the Argosy University IRB (See Appendix A), each participant received a copy of the consent letter in a sealed envelope explaining the study (See Appendix B). The letter stated the three types of data collection methods, which were the qualitative survey, classroom observation, and focus group. Participants were aware of the stages of the research study. Participation in the study was strictly voluntary and any individual was allowed to exit the study at any time. All participants signed consent forms prior to observations, filling out the online qualitative survey on SurveyMonkey, and participating in the focus group discussion. The participants in this study answered one qualitative survey consisting of nine questions, gave consent to one 30-minute classroom observation while explaining a writing assignment, and participated in a focus group. Qualitative survey. A qualitative survey was developed for this study consisting of two demographic questions, four open-ended questions, three close-ended questions, as well as a section for additional comments (See Appendix C). The purpose of the qualitative survey was to obtain specific data from the participants related to the research questions for this study. Unlike the class observations and focus group interview, the
  • 77.
    67 qualitative survey instrumentprovided direct answers to the same set of questions from each participant. Cochran-Smith and Lytle’s (1999) concept of teacher-learner community provided the framework for the questions on the qualitative survey. Cochran-Smith and Lytle defined teaching as “a process of applying received knowledge to a practical situation: Teachers implement, translate, use, adapt, and/or put into practice what they have learned of the knowledge base” (p. 257). Cochran-Smith and Lytle’s ideas of teacher-learner community were: (a) knowledge-for-practice, a term referring to theoretical knowledge; (b) knowledge-in-practice, a term referring to experiential knowledge; and (c) knowledge-of –practice, a term referring to the use of both practical and theoretical knowledge for “intentional investigation . . . interrogation and interpretation” (pp. 250, 257-262). The questions on the qualitative survey required participants to evaluate aspects of their roles as instructors, teacher-learners, and advisors to administrators within an academic community (p. 252). Table 1 was directly taken from Cochran-Smith and Lytle (1999) and depicts the organization of their conceptual framework. The questions in the right column were influential in the development of the questions for the qualitative survey.
  • 78.
    68 Table 1 Teacher Learning:A Conceptual Framework Concept Theoretical Question Knowledge-Practice Relationship What is understood or assumed to be the relationship of knowledge and practice? What is assumed about how “knowing more” and “teaching better” are connected? Images of Knowledge What knowledge are teachers assumed to need in order to “teach better”? What are the domains, sources, or forms of that knowledge? Who generates that knowledge? Who evaluates and interprets that knowledge? Images of Teachers, Teaching, and Professional Practice What is assumed about the nature of the activity of teaching? What is included in the idea of “practice”? What are assumed to be the primary roles of teachers in and out of classrooms? What is the relationship of teachers’ work in and out of classrooms? Images of Teacher Learning and Teachers’ Roles in Educational Change What is assumed about the roles teachers and teacher learning play in educational change? What are assumed to be the intellectual, social, and organizational contexts that support teacher learning? What is the role of communities, collaboratives, and/or other collectives in these? Current Initiatives What are current initiatives in teacher education, professional development and/ or teacher assessment that are based on these images?
  • 79.
    69 Table 2 showshow each question on the qualitative survey was designed to answer the respective research question to which it was aligned. Table 2 Participant Qualitative Survey Alignment with Research Questions Research Questions Qualitative Survey Items RQ1. What knowledge and methods do faculty members without formal education in composition or language arts perceive as effectively used in a writing- infused curriculum? Q1B: How many writing assignments are students required to complete for your course? (Briefly describe the nature of these assignments) Q3B: How comfortable are you with assessing students’ writing skills? RQ2. What knowledge do faculty members without formal education in composition or language arts perceive as needed information in order to improve a writing-infused curriculum? Q5B: Who do you believe is primarily responsible for writing instruction at the university? (Select all that apply) Q7B: Using numbers 1-8, Please rank the following activities from most helpful to least helpful to art and design faculty participating in a writing in the disciplines initiative? RQ3. In what ways can faculty members teaching writing-infused courses in the disciplines assist in the development of writing initiatives? Q2B: How many of these writing assignments require discipline-specific knowledge to complete? (Please describe) Q4B: How do you apply your writing experience as a professional in your field to your classroom practices? (Please describe) RQ4. In what ways can non-writing faculty’s knowledge and experience implementing a writing-infused curriculum assist academic administrators in current WAC initiatives? Q6B: From your experience in your QEP course at Miami International University of Art and Design, how could administrators further assist faculty in the QEP writing initiative?
  • 80.
    70 The research questionsin the left column corresponded to the qualitative survey questions in the right column. The researcher’s rationale for pairing certain questions on the qualitative survey with a particular research question was as follows: RQ1: The type of writing assignments created for the class and the participants’ approach to assessing that assignment would provide a strategy they found to be effective when examining student writing in the classroom. RQ2: Participants’ perceptions of who is responsible for writing instruction was thought to indicate their perceived level of responsibility to teach writing in their classes. Participants’ ranking of activities in the qualitative survey would indicate specifically the type of training, education, and skills that would be helpful to then when improving a writing-infused curriculum. There was also a section available for additional suggestions. RQ3: The participants’ writing assignments and experience in the classroom were used to make adjustments or additions to existing or future writing initiatives at art and design universities. RQ4: Asking participants to think as an academic administrator who needs to implement a writing initiative was helpful to gaining insight into how faculty perceived themselves as part of the initiative as well as what they would do in an administrative role when implementing a writing initiative. A panel of five experts in the field of research, holding terminal degrees, provided feedback for the development of the questions on the instrument. Although the instrument was not nationally normed, the expert reviewers were given the purpose of the
  • 81.
    71 study and askedto evaluate the questions based on their alignment with the research questions for the study. Classroom observations. One common data gathering method in qualitative research is observation. There are two forms of observation: participant and direct (Creswell, 2007). The prior requires the researcher’s complete involvement in the act of observing the participants while the study is underway, such as writing field notes and analyzing the data while the study evolves; the latter requires the researcher to be separate from the participant, such as to merely look upon and take notes. This form of observation tries to eliminate possible bias that could result from the researcher’s participation in the study. For this study the researcher chose to use participant observation. The classic example of why observation in a study is usually not the only form of data collection method used is the Hawthorne effect, which refers to the idea that participants may change their natural behavior when they are aware they are part of an observation for a study (Creswell, 2007). An illustration might be the day the professor is perfectly prepared with lesson plans, slide shows, video clips, special group assignments, and primary source material is the day he or she will be scheduled to be observed by the department chair or colleague. Whereas the professor would not normally include such a full agenda for class, it happens on the day of the observation. An adequate place to observe participants is in a “natural setting,” the place where participants would normally be and behave on a regular basis. The setting is key to both the participants and researcher and is usually determined by the purpose of the study. In psychology and the social sciences, a natural setting is ideal because regardless of the
  • 82.
    72 approach to theobservation, participant or direct, everyone is located within the context of the study and realm of the phenomenon being studied. Choosing the method of observation depends on the research team. In any situation, it is an ethical violation not to inform participants in a closed study about being observed. The mere fact of knowing one is a part of an experiment or study affects human behavior, at least until everyone adapts to the situation and resumes normal activity (Johnson & Christensen, 2007). Table 3 represents the advantages and disadvantages of non-participant (without intervention) and direct (with intervention) observation in qualitative research studies (Johnson & Christensen, 2007). Table 3 Advantages and Disadvantages of Natural Observation Method Method Advantages Disadvantages Participant  Increases validity because persons observed in an unaltered environment  Researcher involved with participants and collects data actively  Researcher can control study (not setting)  Experience same stimuli  Hawthorne effect  “Showcase” effect  Reactivity—change in participant behavior and expectations about research results Direct  Objectivity  Not affecting people’s behavior as much as if they were involved in study  Use of videotaping or audio recording (unbiased)  Detachment  Not active research  Hawthorne effect  “Showcase” effect  Reactivity—change in participant behavior and expectations about research results
  • 83.
    73 As reflected inTable 3, both types of observation run the same risk of altering the participants’ behaviors. Human beings will naturally behave differently when they are being observed. An effective way to really increase external validity and decrease research bias is to choose a direct method and use video and audio to collect data. However, this researcher did not use video or audio recording, even though an effective way to grasp the context and feelings of the participants is to be a part of the study. While both methods have similar disadvantages (See Table 3), the observation method used in this study allowed the researcher to interact, take field notes, and create narratives for each member of the study (Johnson & Christensen, 2007). When observing, it is important to both inform the participants that they are a part of a study and assure them of confidentiality. The researcher’s job is to make the participants feel as comfortable as possible and decrease possible Hawthorne effect and reactivity. For this study, the participant observation occurred at MIUAD during a normally scheduled class. The professors chose the date of the observation. The duration of the observation was about 30 minutes. The researcher was interested in observing the participants explain a writing assignment based on content-specific topics. The researcher only observed the participants in the classroom and did not observe students. Focus group. The focus group allowed the participants to interact and share feedback about their experiences with integrating writing within their discipline specific course, as well as allowed the researcher to find similarities and differences between participant experiences with a writing-infused curriculum. Most importantly, it allowed the researcher to discuss observations in general and ask the participants as a group to elaborate or share strategies with their peers.
  • 84.
    74 Epistemological Assumptions According toVasilachis de Gialdino (2011): Epistemology raises many questions including: 1. how reality can be known, 2. the relationship between the knower and what is known, 3. the characteristics, the principles, the assumptions that guide the process of knowing and the achievement of findings, and 4. the possibility of that process being shared and repeated by others in order to assess the quality of the research and the reliability of those findings. (sect. 2, para. 1) This quote reflects the exploratory nature of this study. The researcher assumed faculty infusing writing in the discipline and assessing writing assignments felt insecure because they did not have formal education in writing composition or language arts. In this study, it was assumed that participants’ current knowledge of assessing and infusing writing in the discipline was made possible through the application of activities in the QEP classroom. If the tenets of this study were applied to Vasilachis de Gialdino’s first stipulation, “reality” in this study could be considered the actual creation of discipline- specific writing assignments and assessing student writing in class writing assignments. If the tenets of this study were applied to Vasilachis de Gialdino’s second stipulation, the “relationship” between participants and student writing assessment could be limited due to their lack of formal education in the teaching of writing composition. If the tenets of this study were applied to Vasilachis de Gialdino’s (2011) third and fourth stipulations, generalizability applies in the sense that a study similar to this study could be conducted at a different institution of higher education with a similar participant sample and yield similar results. The reason for this assumption was that this researcher proposed that faculty without a formal background in language arts, teaching professional disciplines, were able through collaboration and guidance, to effectively infuse writing into their curriculum and assess student writing.
  • 85.
    75 Consistent with Cochran-Smithand Lytle’s (1999) concept of teacher-learner community, an assumption could be made that interactions with peers who were also teaching QEP courses (knowledge-in-practice) allowed the sharing of information and the process of perhaps improving existing writing assignments based on a peer suggestion during a discussion session. In addition, the Director of the QEP held a PhD in English and served as a resource for participants who had questions or needed direction on creating new assignments or grading papers. Limitations There were five limitations to the study: participant selection, participants’ reflective responses, sample size, setting, and researcher bias. The participants were already teaching QEP courses; therefore, the researcher had no control over who was selected. Participants’ reflective responses to qualitative open-ended questions may have been skewed because of their individual strengths and weaknesses. The setting for this study was a limitation because the site did not have co-teaching, much writing center support, or an official English department due to limited resources. Faculty development opportunities were also few due to budget constraints, which posed a limitation. The researcher was employed by the same institution where the study took place, which may have caused bias in the interpretation of the data. Delimitations There were five delimitations to the study. Having a preselected sample of QEP specific faculty rather than using a random sample of all disciplines within the university was a delimitation. Not having a study similar to this conducted at a small institution with perhaps more available funds for faculty development and flexible teaching
  • 86.
    76 schedules would mostlikely have different results than this study. Trying to identify in most academic settings teacher learning communities may have been effective. However, the sample size did not allow for understanding a sizable learning community. An additional delimitation was the participants had no formal writing education. This study was delimited to instructors without formal academic training in language arts and adult learning theories. The study only included instructors currently teaching QEP classes at MIUAD. Because the goal was to discover effective strategies that can be used to implement writing fusion in a non-writing class, the instructors in the study were only eligible to participate if they did not have an undergraduate or graduate degree in English or language arts. Procedures The collection of data for this study began after receiving approval from participants in the study, the chief academic officer at the research site, and the QEP Director. Participants received a letter seeking their consent to be a part of the study. The letter specifically informed participants of the extent of their participation and length of the study. The consent letter delineated participation as completing a nine-question online qualitative survey, participating in one 30-minute classroom observation scheduled at his or her convenience, and participating in a focus group discussion off-campus. Consent and confidentiality. The information participants provided for this research was treated as confidential, and all written data were kept secure and password protected. Written documentation was stored in a locked file cabinet, accessible only by the researcher, and will be kept for a minimum of 5 years and then destroyed. All transcribed data were stored on the researcher’s personal password-protected home
  • 87.
    77 computer, which wasaccessible only by the researcher. Results of the research are reported as summary data only and no individually identifiable information is presented. In the event that participant information was quoted in the written results, the researcher used pseudonyms or codes to maintain confidentiality. All responses, discussion topics, and personal opinions were coded to avoid the unintentional disclosure of participant identity. All information obtained was held with the strictest confidentiality. Participants were asked to refrain from placing names or any other identifying information on the qualitative survey to ensure confidentiality was maintained at all times. All written or transcribed information will be stored securely for 5 years, as per IRB Argosy University- Sarasota requirements. After 3 years, as all recorded data and other information will be deleted and all written data will be shredded. Validity. Establishing validity is essential in qualitative research. Without credibility, transferability, dependability, and conformability, studies that were not statistically verified would be difficult to validate. The ability to change researchers, settings, disciplines, methodologies, and philosophical approaches in the same study, yet not affect the essential elements or general results of the study, is imperative to maintaining the integrity of a qualitative research study. Without these four basic elements, qualitative research is deemed invalid or as having limited usefulness because of the level of “unchecked” or evident bias. While total objectivity in many qualitative research studies is not feasible, increasing trustworthiness is the single most important issue to obtain in a qualitative research endeavor.
  • 88.
    78 To establish trustworthinessin this study, the researcher used methodological triangulation (Creswell, 2007, p. 204). The term derives from “tri,” or three, because comparing the same results of the study in three different ways is ideal to ensure at least two of the results are similar and support each other. This system is like a research system of checks and balances or cross-referencing one source to obtain information from another. The basic types of triangulation include data, investigator, theory, and methodological (Bryman, 2007, p. 2). Data triangulation refers to obtaining data through dissimilar collection techniques (Bryman, 2007, p. 2). Methodological triangulation uses more than a single method for data collection (Bryman, 2007, p. 2). This study used methodological type triangulation. Transferability. One method of obtaining transferability was to refer to the researcher’s detailed field notes where she documented every single bit of evidence gathered through observations, interviews, and narratives. Transferability allows the research to be generalized into broader terms and various studies. This researcher utilized field notes obtained in the classroom observation and focus discussion group for coding and analysis to achieve transferability. Dependability. The essential components of a study must be trustworthiness and usefulness if applied to other settings. This also increases the integrity and validity of a qualitative study, to use a quantitative term. The main difference between transferability and dependability is that in the former the results of the study can be applied in a general context, whereby the latter assures the researcher that a study can be duplicated and have similar results (Johnson & Christensen, 2007).
  • 89.
    79 Confirmability. Confirmability ina study is achieved by purposely changing group tasks, for example, yet results are similar to those before the tasks were changed. If the results of the initial study are trustworthy, the results of subsequent studies should yield similar essential results. If the same patterns emerge despite the change in data collection methods and the participation of different researchers, then the study could be confirmed as being useful in other settings because human skill and perception in the initial study seemed not to skew the results. In this study, the researcher used methodological triangulation to obtain confirmability by using three different data collection techniques: a qualitative survey, classroom observations, and a focus group discussion. Data Analysis The results of this study can be compared to similar case studies in various non- traditional learning environments that have an interest in implementing a writing program or to expand on this research study. The qualitative survey was designed with each question having its own code and was administered through SurveyMonkey. SurveyMonkey data analysis software aided in the organization and interpretation of participants’ answers to the questions. Moreover, the data were organized and sorted by NVivo10 and SurveyMonkey software, reducing the possibility of human error. In addition, graphs and tables more closely reflect the results of the qualitative survey without third-party interference, in this case the researcher. Administering an identical set of questions to the participants allowed the researcher to: (a) directly measure their perceptions of writing, (b) examine the types of writing assignments prepared for the class, (c) better understand their comfort level with writing and writing assessment, and
  • 90.
    80 (d) gain insightinto the type of professional development they perceived to be necessary to successfully implement a writing initiative. Summary Chapter 1 introduced the purpose of this study, which was to identify effective strategies for implementing a writing initiative within the professional disciplines. This study was needed to help administrators and instructors address students’ lack of writing skills within a non-traditional academic setting, specifically an art and design university. The review of the literature contained in Chapter 2 analyzed the gap in the research on WAC within an art and design university and within the professional disciplines. It brought to light the need to conduct research into implementing writing initiatives in a professional university setting. Research available on WAC was based on data from studies conducted at traditional universities, which may not be relevant in an art and design higher education setting. Chapter 2 also presented the importance of assessing students’ writing skills for the regional accreditation an increasing number of non-traditional universities, such as SCAD, MICA, RISD, and MIUAD, are seeking. Chapter 3 presented the methodology for this study and rationale for selecting the case study approach. Cochran-Smith and Lytle’s (1999) theory of teacher-learner community collaborative approach to adult learning was discussed and was selected for this study because this framework uses both teachers and community as the setting for the transfer of knowledge and development of practical skills.
  • 91.
    81 CHAPTER FOUR: FINDINGS Thischapter presents the results of the data collection and analysis according to the research questions and theoretical framework that guided the study. Data presented include: (a) demographic information; (b) the data gathered through the qualitative faculty survey, classroom observations, and focus group; and (c) data obtained after coding using NVivo10. The recommendations and implications of the study are presented in Chapter 5. Restatement of the Purpose The purpose of this exploratory case study was to identify effective methods faculty and administrators without formal education in composition or language arts can use to implement a writing-infused curriculum across the professional disciplines. Through classroom observations, a focus group, and a brief qualitative survey modeled after Cochran-Smith and Lytle’s (1999) theory of teacher-learner community, this study was designed to assist administrators without a formal language arts background address issues of writing deficiencies in their academic programs, outside the liberal arts context. Research Questions The overarching question guiding this study was: What effective methods can faculty and administrators without formal education in writing composition and language arts implement for a writing-infused curriculum? The four research questions were aligned with Cochran-Smith and Lytle’s (1999) five principles of the theory of teacher- learner community: (a) knowledge-practice relationship; (b) image of knowledge; (c) image of teachers, teaching, and professional practice; (d) images of teacher learning and teachers’ roles in educational change; and (e) current initiatives.
  • 92.
    82 1. What knowledgeand methods do faculty members without formal education in composition or language arts perceive as effectively used in a writing- infused curriculum? 2. What knowledge do faculty members without formal education in composition or language arts perceive as needed information in order to improve a writing-infused curriculum? 3. In what ways can faculty members teaching writing-infused courses in the disciplines assist in the development of writing initiatives? 4. In what ways can non-writing faculty’s knowledge and experience implementing a writing-infused curriculum assist academic administrators in current WAC initiatives? Sample Characteristics All participants for this study were full-time faculty at MIUAD. There were five females and five males in the sample. Eight out of 10 participants did not hold academic degrees in the language arts while the remaining two participants held degrees in screenwriting and journalism, which are not language arts but writing-specific disciplines (See Table 4). The participants all held master’s degrees in the disciplines taught, the minimum academic qualifications required to teach college level courses at a regionally accredited institution under SACSCOC (See Table 4). For this exploratory single case study, the researcher used faculty participating in MIUAD’s QEP, Writing Across the Professional Disciplines.
  • 93.
    83 Table 4 Participant Responsesfor Highest Degree Earned (Q1A) and Courses Taught in the Discipline (Q1B) Participant Degree Courses Taught in Discipline 1 Master of Fine Art, Painting Drawing, Painting, Design 2 Fine Arts Electronic Field Production, Screenwriting, Video Production, Aesthetics 3 Audio Engineering Audio Recording I and II Digital Audio III 4 Journalism/Communication Effective Communication 5 FILM All levels of screenwriting classes, Film appreciation, etc. 6 Computer Animation Modeling I, Modeling III, Performance & Story Development, Digital Imaging, Internship, Texturing I. VFX-Art Direction, Matte Painting, Intro to 3D 7 Architecture Interior Design Studios (residential and commercial projects), Lighting Design (residential and commercial), and Perspective Drawing. 8 Visual Communication with specialties in Graphic Design and animation Graphic Design History, Collateral Design, Typography, Concept Design, Graphic Symbolism, Digital Grid and Layout, Capstone 9 MFA Fashion Design Fashion Design I & Fashion Trends II which involves the 3 Fashion Majors 10 Master of Art - Computer Animation Animation 1, Animation2, Print Portfolio, Storyboard, Performance and Storytelling, Digital Landscapes, Rigging, Texture 2 and Digital Imaging.
  • 94.
    84 Restatement of Procedures Theresearcher collected data from participants primarily through a qualitative survey, individual classroom observations, and a focus group. The focus group interview conducted for this study revealed participants’ perspectives on academic writing within a professional academic setting, specifically related to art and design disciplines. The qualitative survey can be found in Appendix C. On this survey, participants shared specific information about their academic backgrounds, techniques for infusing writing in the classroom, and suggestions for improving the current QEP pilot for university-wide implementation. After obtaining approval from the IRB, the researcher wrote letters of consent (See Appendix B) and sent invitations to participate in the study (See Appendix A). The researcher sent an individual e-mail to each participant containing a hyperlink to the qualitative survey on SurveyMonkey. The researcher created the survey (See Appendix C) and sent it to a group of peers who held PhDs across various disciplines for review. Suggestions and recommendations the peer review group sent to the researcher were reflected in the final version of the survey. After receiving feedback for the survey from peers, the researcher created a checklist for the classroom observations (See Appendix D). The first statement on the survey reassured participants that their responses would be anonymous and would remain confidential so as not to compromise the integrity of the data collection and analysis. The researcher allowed 4 weeks for the participants to complete the survey while the researcher conducted classroom observations. After 4 weeks, the researcher obtained survey results directly through SurveyMonkey and
  • 95.
    85 exported the reportto a secure personal computer. The focus group served as a follow-up to questions on the qualitative survey. The findings of the research are based on data from participant responses to qualitative survey questions, classroom observations, and a focus group. Responses to all three data collection methods are reported as bar graphs demonstrating percentages, word frequencies as analyzed by NVivo10 software, and researcher notes taken during the focus group. Raw data results can be found in Appendix E and classroom observation notes can be found in Appendix F. The nature of the nodes derived from word frequency charts (See Appendix G) and word trees (See Appendix G). Nodes reflected key words and topics for the qualitative survey and the observation checklist. “Parent nodes” reflected most common words on both the word frequency chart and word tree. “Children” nodes derived from second most common and frequent terms reflected on both the word frequency chart and word tree. NVivo10 coding of the data is detailed in Table 5. Table 5 NVivo10 Coding Nodes for Research Study Name Sources References QEP 1 10 Professional experience 1 11 Nature of assignment 2 87 Effective strategies for teaching writing in the disciplines 1 3 Discipline-specific knowledge of participant 2 24
  • 96.
    86 Results of theStudy After analyzing and coding the results from the qualitative survey, classroom observations, and focus group, three themes emerged that aligned with Cochran-Smith and Lytle’s (1999) theory of teacher-learner community: (a) professional experience and writing as knowledge-practice relationship, (b) image of non-writing teachers teaching writing as professional practice, and (c) teachers teaching current writing initiatives in a professional academic setting. These themes were consistent with the research questions. There were nine questions on the survey, of which two were background questions (See Appendix C). There were six items on the classroom observation checklist (See Appendix D). Items three through six on the observation checklist focused specifically on the integration of a discipline-specific assignment, the explanation of the assignment, answers to student questions, and integration of professional knowledge and experience with course objectives. Professional Experience and Writing as Knowledge-Practice Relationship This theme addressed the first and second research questions, which focused on the information required in order for faculty without a liberal arts background to improve their delivery of a writing-infused curriculum across the disciplines. Qualitative survey. Two questions (i.e., Q2B & Q4B) on the survey focused on the integration of professional knowledge related to the professional disciplines reflected in this study, such as fashion, film, graphic design, visual arts, computer animation, audio engineering, and architecture, and writing in the classroom. Survey question Q2B specifically asked participants to describe how writing assignments required discipline-
  • 97.
    87 specific knowledge. Surveyquestion Q4B also asked participants to describe how they applied professional writing experience to their classroom practices. The survey results for Q2B and Q4B indicated all of the participants felt discipline-specific knowledge was necessary to understand and complete writing assignments in the discipline. All 10 participants believed knowledge of the discipline was necessary to use specific terms that were needed to complete discipline-specific writing assignments for class. Participant responses to Q2B indicated faculty without a formal background in the language arts integrated content when explaining writing assignments in discipline-specific classes in order to make the assignment relevant to students in the classroom. Data in this study support the theory presented in the review of the literature supporting WAC initiatives that concluded writing skills are learned best when taught in a contextual setting. Results for Q2B indicated nine out of 10 participants applied industry knowledge in their classroom practices. Participants mentioned specific writing tasks they had completed in their professional fields that helped them to relate classroom writing assignments to the professions. The importance of merging content and writing skills was evident in the data collected. Participant responses on the qualitative survey indicated writing instruction in a classroom for professional studies must be contextual. In other words, teaching writing for professionals in art and design careers without the integration of content was not effective. Data showed that without content knowledge, writing in a professional setting is not successful. Table 6 contains the participants’ responses to question Q2B, how many
  • 98.
    88 of these writingassignments require discipline-specific knowledge to complete? (Please describe). Table 6 Survey Responses for Writing Assignments that Require Discipline-Specific Knowledge (Q2B) Respondent Response PT1 N/A. PT2 Most of these assignments require discipline-specific knowledge to complete. For the biography you would have to know what to include, for the budget you would have to know what equipment, crew, software, production design that you would need. For the marketing strategy you would need to know how to navigate online distribution and how to put together a trailer. PT3 Both papers require discipline-specific knowledge. PT4 All of the assignments require discipline specific knowledge to complete successfully. PT5 All of the screenplays. PT6 There needs to be a general understanding of the discipline but a lot is building up on the skills learned in the English courses. PT7 All of them. PT8 All of them have to do with graphic design. PT9 All, the class is divided in 2 parts the first part is learning proper fashion terminology for shoes, hats, garments and garment pieces, and handbags. The second part is all about the recognition, understanding and developing the sensibility to recognize trends. PT10 Both do. Participant responses to Q4B indicated instructors teaching writing in the professional disciplines integrated personal and industry-related experience to explain writing assignments and assess student writing in class. Table 7 contains the participants’
  • 99.
    89 responses to questionQ4B, how do you apply your writing experience as a professional in your field to your classroom practices? (Please describe). Table 7 Survey Responses for Professional Writing Experience in the Classroom (Q4B) Respondent Response PT1 As an artist I must write about my own work for exhibition applications, etc. PT2 I am most comfortable critiquing screenplays. I have written several screenplays and I have had films screen at festivals and was awarded a screenwriting fellowship. In terms of the Electronic Field Production course, I am working on my own grant proposals for my documentary. PT3 My field does not really require a lot of writing, but there is a lot of terminology that we need to learn in order to communicate with our colleagues. So in my classes I make sure all the students learn the terminology. If they need to write something I know they will use the right words. PT4 I have 18 years of experience in professional journalism. The writing style in the course I teach aligns with the style of writing I honed in my journalism work. For this reason I was comfortable evaluating students' writing. If I were having to evaluate writing in another style (creative/fiction) I would be less comfortable. For this specific course, it is essential that an instructor be skilled in writing for professional audiences and oral engagement/delivery of the writing. PT5 Through workshopping their screenplays and providing them written notes. PT6 With examples mostly. My experience dictates what I need to bring to the classroom as far as what I need to teach them. PT7 Decline to answer. PT8 Mostly in the form of Creative brief writing, establishing strategies in written format, brainstorming and slogan building. PT9 Fashion writing is not as other fields, it requires very detailed sensibility to detail. Using proper professional terminology allows you to be very detailed and specific in the description of a garment and the proper trends. PT10 I cite references that I use myself.
  • 100.
    90 Classroom observations. Insum, the researcher observed that students were to complete nine of the 10 assignments outside of class. All assignments required some or much research and were to be for homework, met specific course outcomes, and were designed to test student understanding of course material and its relevance to the industry. Course descriptions and syllabi for classes observed in this study (not included in the data presented in this paper to protect participant confidentiality) aligned with the nature and purpose of writing assignments specifically developed for QEP courses, the same courses observed in this study. According to the in-class observations of professors’ explanations of writing assignments, five out of 10 assignments focused strictly on content with little emphasis on writing. The other five assignments contained a balance between content and writing, meaning participants explained the importance of content as well as writing style (i.e., specificity of topic, research materials, citations, and use of academic support services). See Appendix F for complete researcher observation notes reflecting professor expectations for student writing assignments. Image of Non-Writing Teachers Teaching Writing and Professional Practice This theme addressed the third research question, which focused on the methods by which non-writing faculty without a liberal arts background can assist in the improvement of a writing initiative. The importance of being able to assess student writing skills was evident in the data collected. Data showed non-writing faculty require a fundamental understanding of the nature of a writing assignment to be able to share eloquently their expectations of writing assignments with students in the classroom. Writing in discipline-specific genres is a
  • 101.
    91 method by whichnon-writing faculty can effectively implement a writing-infused curriculum. Qualitative survey. Three questions (i.e., Q1B, Q3B, & Q5B) focused on participants’ understanding of teaching writing without a formal background in writing and their comfort with writing assessment in the classroom. Nine of 10 responses on the qualitative survey indicated a certain level of comfort with assessing student writing was needed for professional studies. Table 8 contains the participants’ responses to question Q1B, how many writing assignments are students required to complete for your course? (Briefly describe the nature of these assignments). Answers ranged from primary research assignments, journal entries, business writing, creative briefs, and screenplays, to weekly short writings about material covered in class. Table 8 Survey Responses for Number of Writing Assignments Students Required to Complete (Q1B) Respondent Response PT1 None. PT2 In Electronic Field Production students must write a proposal for their documentaries the proposal is geared towards obtaining funding. Each week for the first half of the course the students work on one portion of the proposal. They write a filmmaker biography, a summary of their project concept, a strategy for fundraising, a budget, distribution and marketing strategies and a strategy for audience and community engagement. Audience and community engagement is the plan for getting people to see the film and to take whatever action the filmmaker is hoping for upon seeing the film. For example, engaging on social media, signing a petition, making a donation etc. PT3 2 papers required for the QEP in Audio Recording I. (continued)
  • 102.
    92 Table 8 (continued) SurveyResponses for Number of Writing Assignments Students Required to Complete (Q1B) Respondent Response PT4 There are 6 written assignments in the course. 2 are extensive research projects. 1 is an analysis with a research component but it is not as extensive as the first 2 assignments described above. 3 are short (1 page) assignments based on a reading, which I provide to them. Depending on their development through these assignments, I may add more writing assignments as needed. PT5 They are all writing classes. In addition to homework, which consists of preparations to write screenplays, they also write—and rewrite screenplays. PT6 It varies; in studio intensive courses, it is mostly 1, a small research piece. In the writing courses, there are at least 3-5 writing assignments. PT7 For the design studios, two per course: a brief concept statement and a research/response paper to promote evidence-based design. The lighting classes require a concept statement for each project (two per quarter), and many test questions prompt short-form essays. The drawing class rather pointedly has no written component. PT8 In most of them Creative briefs, in the ones that are QEP Two essays. PT9 2 diagnostic assignments, both involve using proper fashion terminology and recognition of the fashion trends for the current season. The more extensive assignments are: Comment on the last 10 years of Haute Couture collections millinery and the importance to current fashion and its trends. The last is related to the visit to one single designer store in Bal Harbour Shops and interpret the Trends of the season used by that specific designer house. PT10 One company research piece in order to prepare them for potential job interviews and one freelance work contract. Table 9 contains the participants’ responses to question Q3B, how comfortable are you with assessing students’ writing skills? As reflected in Table 9, four out of 10 participants indicated they were extremely comfortable with writing assessments. Five out of 10 indicated they were somewhat comfortable, comfortable, or somewhat not
  • 103.
    93 comfortable with assessingstudent writing, whereas one participant indicated he was not comfortable at all with assessing student writing. Table 9 Participant Responses: Comfort Level with Student Writing Assessment (Q3B) Answer Options Response % Not Comfortable 10.0% Somewhat Not Comfortable 10.0% Comfortable 10.0% Somewhat Comfortable 30.0% Extremely Comfortable 40.0% Table 10 contains the participants’ responses to question Q5B, who do you believe is primarily responsible for writing instruction at the university? Five out of 10 participants indicated English instructors or both English and discipline-specific instructors were responsible for writing instruction. One indicated instructors in the discipline were responsible for writing instruction. Three participants indicated all of the above were responsible for writing instruction, including writing tutors (See Table 10). Table 10 Participant Responses: Responsibility for Writing Instruction at the University (Q5B) Answer Options Response % English instructors 30.0% Writing center tutors 0.0% Instructors in the discipline 10.0% Both English and discipline-specific instructors 30.0% All of the above 30.0%
  • 104.
    94 Classroom observations. Insum, although not one of the checklist items was specific to instructor comfort level with writing instruction, item six examined how well the instructor was able to relate writing assignment to course learning outcomes, which demonstrated participants’ familiarity with industry writing and their ability to relate academic writing in the discipline. According to the classroom observations, 100% of participants were successfully able to adapt writing assignments to industry-related topics or projects. See Appendix F for complete researcher observation notes reflecting the nature of student writing assignments. Teachers Teaching Current Writing Initiatives in a Professional Academic Setting This theme addressed the fourth research question, which focused on the methods by which non-writing faculty without a liberal arts background can assist university administrators in current WAC writing initiatives. It was evident in the data collected that writing instruction for professional studies is an institution-wide initiative. The implementation of writing across the curriculum needs to be a joint effort between the professors in the disciplines and the English faculty. Professional development, continuing education, and peer workshops were also mentioned as needed in order to infuse writing across the curriculum. Qualitative survey. Two questions (i.e., Q6B & Q7B) specifically asked participants to describe how administrators at MIUAD could assist faculty in the QEP writing initiative (Q6B) and what they would consider helpful to design faculty participating in a writing initiative (Q7B). Data showed non-writing faculty can assist administrators with the implementation of writing initiatives in a professional academic setting through support services and professional development.
  • 105.
    95 Table 11 containsthe participants’ responses to question Q6B, from your experience in your QEP course at Miami International University of Art and Design, how could administrators further assist faculty in the QEP writing initiative? Participants indicated non-writing faculty need to work jointly with learning centers and language arts faculty to be able to teach students correct writing skills and professional writing style. Table 11 Survey Responses for Administrative Assistance in QEP Writing Initiative (Q6B) Respondent Response PT1 It would be helpful if we has a meeting in which one essay was graded together with the QEP administrator. This would set a benchmark for the other essays. PT2 I haven’t taught a QEP course yet. PT3 No comment. PT4 Class size is important. The only way to evaluate and provide quality feedback is by having students complete a significant amount of writing in the course. Large class sizes make this a prohibitive situation. Furthermore, faculty needs training beyond occasional meetings to talk about the QEP. Faculty training is crucial. PT5 By helping professors evaluate writing more effectively. PT6 I think having more tutors in the Learning Center and structured hours that we can send students on their own time would be better. PT7 By taking ownership. Substantial writing assignments (research papers) were already components of my studio classes well in advance of the QEP initiative's inception, and I feel students understand the value in how their findings will inform the design decisions they make throughout the quarter simply from my own interest in guiding the content and structure/grammar of these topical essays. The QEP diagnostics should be issued not by the course instructor but by QEP faculty to distinguish QEP tasks from those that contribute more directly to the course (and its grade). The energy and enthusiasm with which students approach their course-contributing writing assignments is drained by these diagnostics and by their inability to separate QEP tasks from those that advance their studio work. (continued)
  • 106.
    96 Table 11 (continued) SurveyResponses for Administrative Assistance in QEP Writing Initiative (Q6B) Respondent Response PT8 It would be wonderful if English teachers would grade the essays. PT9 This is my first quarter as having a QEP class so I am still learning and observing how to take advantage of the class. I think the students are very eager to improve their writing skills. Administrators can help proper this initiative to keep this interest alive. PT10 Review course materials for accuracy. Table 12 contains the participants’ responses to question Q7B, from the following list, select at least four activities that you consider the most helpful to art and design faculty participating in a writing in the disciplines initiative? “Co-teaching discipline specific courses with English faculty” outweighed the rest of the selections. Table 12 Participant Responses: Helpful Activities for Writing Initiative (Q7B) Answer Options Response % Pursuing formal education 40.0% Obtaining professional development in the area of student writing assessment 50.0% Attending academic conferences on topics related to writing and composition 40.0% Participating in mentoring, peer-to-peer 30.0% Co-teaching discipline-specific courses with English faculty 60.0% Sharpening my writing skills using software or online tutorials 20.0% Attending face-to-face faculty writing workshops at the university 50.0% Increasing the amount of writing I do on my own time 60.0% Other (please specify) 30.0%
  • 107.
    97 The other responsesincluded the following: Faculty should be encouraged to write for the field in which they teach. Faculty teaching a QEP course in Audio, ID, Fashion, etc. should be making the effort to write in that field, either academically (research) or professionally (industry/consumer oriented work). This does not have to mean publishing; it can also be writing for executing any professional transaction. This suggestion may be an ideal, but otherwise, I do not know what qualifies some instructors to evaluate the writing of students. Very specific to me, I would like to take more creative writing courses and develop my own writing. The more one reads, from discipline-specific industry publications to works from outside the professional realm (for diversity or diversion), the more one’s familiarity with language and (by extension) writing ability will be developed. None of the above options acknowledges that the best writers read constantly but rarely-if-ever receive instruction on the craft. Classroom observations. In sum, although not one of the checklist items was specific to the university writing initiative and non-writing faculty participation, several of the observations indicated participants were interested in writing correctness and clarity, in addition to content knowledge. In four out of 10 observations, participants mentioned the Modern Language Association (MLA) citation format, learning center help, and the revision process for accuracy. For example, one participant observation note reflected how “MLA and plagiarism and citation format discussed in class. Length for concept statement was 150 words. Length of Boutique Hotel research 600 words with diagrams. Typed. Rubric was given to students as a guide for both assignments.” A second participant observation note stated, “Yes. MLA and plagiarism discussed. Students told to submit original work.” A third participant observation note was “project narratives should not be done in one attempt. Revision process important.” A fourth participant observation note indicated “professor explained the purpose of assignment as important for QEP and also for students to better understand the audio industry.” See
  • 108.
    98 Appendix F forcomplete researcher observation notes reflecting professor expectations and nature of student writing assignments. Focus Group A focus group was conducted as a follow-up to the survey and observations. To understand the role of the instructor further, the three responses labeled as other to Question 7B were used to conduct the focus group. Five full-time faculty met with the researcher for 30 minutes to discuss the group’s suggestions to increase the writing experiences and confidence in all MIUAD classrooms. The group suggested faculty should be encouraged to write for the field in which they teach. This was discussed for 10 minutes and the results were positive. Two faculty members suggested a blog for their discipline with university-wide access, called the MIUAD Professional Blog. The second other response was: “Very specific to me, I would like to take more creative writing courses and develop my own writing.” Focus group participants discussed the offering of faculty training to include four creative writing courses per year to help non-writing faculty develop their own writing. All five participants agreed this was a key missing component to their lack of helping students become better writers. Interestingly, one film instructor volunteered to teach the first course. Another person wanted to know how to teach creative writing skills instead of using MLA style assignments. There was a strong discussion about the difference between creative writing and report writing. The results were that many classes should include more creative style assignments and only one research style option.
  • 109.
    99 The final topicwas related to the use of discipline-specific industry publications and works from outside the professional realm to increase reading initiatives at MIUAD. This conversation went directly to the subject of curriculum and the available resources for students and faculty to read. Three faculty members said they did not add any extra reading in their courses except for the textbook. One visual arts instructor said “reading about an artist is really helpful to students, I would love for students to choose an artist and real one novel from the same time period as the artist was alive.” A fashion instructor expressed his students were not reading industry-specific magazines and he had asked the library to subscribe to five additional magazines, but was told he could only use digital resources. The focus group was limited to 30 minutes and three questions, but the insights gained are very helpful for administrators of the university and others to think about adding three simple initiatives to establish a stronger sense of community within the writing intensive courses and the university as a whole as it continues with the QEP plan. Summary This chapter presented the data results and examination of how non-writing faculty are incorporating writing in the classroom as part of a QEP university initiative. The data showed faculty in the study depended on content, support from the English department, and professional development in the areas of writing and student writing assessment in order to successfully implement a writing initiative across the professional disciplines. The data were collected using a qualitative survey, classroom observations, and focus group. Chapter 5 presents the implications, recommendations, and conclusion of this research study.
  • 110.
    100 CHAPTER FIVE: DISCUSSION,IMPLICATIONS, AND RECOMMENDATIONS Without formal training in teaching writing or knowledge of effective writing strategies used in a traditional setting, instructors outside the language arts field may find it difficult to assess student writing in the classroom. WAC initiatives of the 21st century have been less helpful to writing initiatives outside traditional academia than initial tenets of WAC established during the 1970s had been to writing in traditional settings. Current WAC initiatives rely on data derived from traditional institutions of higher education because of the lack of recent scholarship and publications available on WAC as it relates to the professional disciplines such as interior design, graphic design, fashion, audio production, and film production. Hassel (2013) stated a possible reason non-traditional students lack writing proficiency after graduation may be indirectly the result of insufficient research-based evidence of WAC working inside discipline-specific classrooms within an art and design academic institution of higher education. This is problematic to art and design faculty because students studying professional disciplines have industry-specific writing needs that differ from those taught at traditional colleges and universities (Kahn & Holody, 2012; Wingate et al., 2011). The review of the literature for this study revealed gaps in WAC-related research, particularly as related to writing across the professional disciplines. According to leading scholars of WAC McLeod and Soven (2000), the importance of writing proficiency has transgressed the realm of the liberal arts into the professional fields. Increasingly, academic professionals outside language arts departments have been confronted with having to deal with assessing student writing in the disciplines (Fernsten & Reda, 2011; Perelman, 2011). Such experts in writing pedagogy as McLeod and Soven (2000)
  • 111.
    101 believe current tenetsof WAC align with the theoretical foundations of Britton and Dewey because discovery and experiential learning in a community are essential concepts in teaching WAC in the 21st century, as both theorists had originally stipulated. In this study, the gaps in the literature identified in Chapter 2 were addressed by the data results for each of the research questions, resulting in three thematic findings: (a) professional experience and writing as knowledge-practice relationship, (b) image of non-writing teachers teaching writing as professional practice, and (c) teachers teaching current writing initiatives in a professional academic setting. Findings from Hassel (2013), Addison and McGee (2010), and Mendenhall (2010) revealed gaps that parallel the qualitative data yielded by non-writing faculty in this study related to teaching writing within higher education. The purpose of this exploratory case study was to identify effective methods faculty and administrators without formal education in composition or language arts can use to implement a writing-infused curriculum across the professional disciplines. The study was conducted in a non-traditional university setting, specifically in a level three, regionally accredited art and design university. Demographics for the study included a total of 10 professors, both male and female. All participants for this study held master’s degrees in their respective teaching disciplines. All participants were full-time faculty members participating the university QEP pilot study, Writing Across the Professional Disciplines. There were five limitations to the study: participant selection, participants’ reflective responses, sample size, setting, and researcher bias. The participants were already teaching QEP courses; therefore, the researcher had no control over who was
  • 112.
    102 selected. Participants’ reflectiveresponses to qualitative open-ended questions may have been skewed because of their individual strengths and weaknesses. The setting for this study was a limitation because the site did not have co-teaching, much writing center support, or an official English department due to limited resources. Faculty development opportunities were also few due to budget constraints, which posed a limitation. The researcher was employed by the same institution where the study took place, which may have caused bias in the interpretation of the data. The four research questions for this study were aligned with Cochran-Smith and Lytle’s (1999) five principles of the theory of teacher-learner community: (a) knowledge- practice relationship; (b) image of knowledge; (c) image of teachers, teaching, and professional practice; (d) images of teacher learning and teachers’ roles in educational change; and (e) current initiatives: 1. What knowledge and methods do faculty members without formal education in composition or language arts perceive as effectively used in a writing- infused curriculum? 2. What knowledge do faculty members without formal education in composition or language arts perceive as needed information in order to improve a writing-infused curriculum? 3. In what ways can faculty members teaching writing-infused courses in the disciplines assist in the development of writing initiatives? 4. In what ways can non-writing faculty’s knowledge and experience implementing a writing-infused curriculum assist academic administrators in current WAC initiatives?
  • 113.
    103 This chapter containsa summary of the study’s purpose, summary of the literature as it relates to WAC in the 21st century, a review of the methodology for this study, demographics of participants in the study, and an analysis of data retrieved from this study. It presents the implications and recommendations for further research, which are aligned with the conceptual framework, research questions, and gaps in the literature. Discussion of Findings The data and analysis are presented individually by theme. Each of the three themes that emerged from the data are presented and examined independently. Themes are explained as they relate to the particular research question from which they derived and from the data collected from the qualitative survey, researcher’s classroom observations, and focus group. Following the thematic analysis, conclusions and recommendations for further research are presented. Theme I: Professional Experience and Writing as Knowledge-Practice Relationship Theme I addressed the first and second research questions: RQ1: What knowledge and methods do faculty members without formal education in composition or language arts perceive as effectively used in a writing-infused curriculum? RQ2: What knowledge do faculty members without formal education in composition or language arts perceive as needed information in order to improve a writing-infused curriculum? Both questions focused on the intellectual and academic needs of faculty without a liberal arts background to improve the delivery of a writing-infused curriculum across the disciplines.
  • 114.
    104 Participant answers toquestions Q2B and Q4B in the qualitative survey indicated professional knowledge was necessary in order to create meaningful writing assignments and tasks for students (See Appendix E). This finding is consistent with Addison and McGee (2010) who stipulated writing instruction must occur in the disciplines. Writing instruction strictly done in English classes should be for those students who are language arts majors. Prior to Addison and McGee, Britton (1965), who subscribed to Vygotsky’s SDT, which stresses the importance of collaboration during the learning process to ease the transfer of knowledge, led the progressive education movement of the 1970s. Findings for Theme I support the tenets of progressive education, specifically as they relate to experiential learning. In the case of Theme I, non-language arts instructors are able to infuse writing into the curriculum from a contextual perspective. In other words, teaching writing contextually, or from within a specific discipline or content area, is most effective for students attempting to apply writing skills outside their writing classes. Participant responses also indicated student incorporation of content knowledge was important for the successful completion of writing assignments. This suggested participants were in agreement that students would be able to improve their writing skills if they could relate writing assignments to discipline-specific topics, such as writing a sales pitch, screenplay, or business proposal. Answers to Q2B and Q4B in the qualitative survey inferred students would not be able to function in the professional realm unless they understood information and terminology specific to their intended career fields. According to Bazerman et al. (2005), a successful WAC initiative would only be possible if content and writing were united. After the analysis of data, it was determined that participants believed students’ ability to
  • 115.
    105 self-express in writingwas essential to success in a professional field, such as fashion, audio production, or graphic design. Consistent with the research of Bazerman et al. (2005) and McLeod and Soven (2000), participants in this study applied their professional knowledge to the explanation of material in class, which would later be a part of student writing assignments. It was evident through responses on the survey and actions in the classroom noted during the observations (See Appendix F) that participants wanted students to apply to their writing information from textbooks as well as professors’ experiences shared in the classroom. From classroom observations conducted during the study, the researcher deduced that writing assignments were created in order to allow students to apply classroom knowledge to real world scenarios. For example, professors’ explanations of writing assignments were very specific and technical whereby content was often stressed over correct grammar and usage (See Appendix F). Writing assignments primarily focused on content knowledge over writing skills. Students were graded on the application of content rather than on writing style. Questions students asked in class were more about the nature or purpose of the assignment rather than writing format or expectations. Participant responses reflected those of Yageleski (2012), who stated collaboration is an intrinsic part of writing instruction across the curriculum. In the focus group, participants were very specific when making recommendations regarding student writing assessment in the professional classroom. They would like students to read material written for a professional audience. The discussion revealed that exposure to such publications as trade magazines was invaluable for students’ academic and
  • 116.
    106 professional development. Thesepoints clearly suggest a collaborative effort be made between various parts of a university to support writing initiatives across the disciplines. Participants in the various disciplines believed active student learning occurred through their constant interaction with professional texts. These types of publications for professionals in the various fields would be examples for students to follow in their own professional and academic endeavors. Theme I indicated a strong connection between writing assignments, writing skills, and content knowledge. Moreover, Theme I supported Theme II because both derived from participant agreement that students, instructors, content, and writing must be in sync for the transfer of knowledge to occur. In other words, discipline-specific instructors and students studying a professional discipline could best assess and improve writing skills respectively through the union of content knowledge and writing. Despite their lack of formal education in the language arts, participants were sure students needed to improve writing and complete specific writing tasks alongside the information they received in the classroom through books and teacher professional experience. Condon and Rutz (2012) emphasized in their research that language arts and non-language arts disciplines must “meet half way” (p. 358) to strengthen the dialogue between the professional and more traditional academic disciplines. Theme II: Image of Non-Writing Teachers Teaching Writing as Professional Practice Theme II addressed the third research question: RQ3: In what ways can faculty members teaching writing-infused courses in the disciplines assist in the development of writing initiatives?
  • 117.
    107 RQ3 focused onhow faculty without a formal academic background in the language arts could help create, implement, and support writing initiatives. Participant answers to qualitative survey questions Q1B, Q3B, and Q5B demonstrated a level of comfort with writing was needed in order assess student writing in the professional disciplines as well as help students improve their writing skills in discipline-specific writing tasks (See Appendix E). These three questions asked participants to describe the nature and number of writing assignments in their QEP classes, their comfort level with assessing student writing, and identify who they believed was responsible for teaching writing skills in the professional classroom. Participants’ answers to questions on the survey demonstrated they felt comfortable with writing as it related to content. This idea is consistent with Hassel’s (2013) concept of “deep learning,” which assumes writing instruction is done with the intent of being used “beyond school” (p. 148). The number and nature of the assignments given to students in each class demonstrated participants’ participation in the QEP writing initiative. However, they also mirrored the types of writing students would be doing at work post-graduation. Participants referred to the nature of assignments given to students and required content knowledge on these assignments to be essential. In this study, data showed grammar and format, such as citations and research, were not nearly as important as understanding the course material, applying the material to real world situations, and being able to produce the type of writing product required in the field, such as a business proposal or sales pitch. How the writing product was constructed using correct grammar, academic structure, or citation format (in this case MLA) was not a priority. Although formal research has not been done on this topic
  • 118.
    108 specifically in anart and design setting, Mendenhall (2010) showed there needs to be a pedagogical connection between writing done within the same discipline, ranging from most basic to advanced (i.e., vertical legitimacy), as well as across different disciplines (i.e., horizontal outreach). The implications of vertical legitimacy and horizontal outreach in this theme is students would learn basic and advanced terminology in their major-specific courses while perfecting their writing skills in their liberal arts elective classes. The description of the nature of the assignments as given in participant survey answers showed instructors teaching within the professional disciplines at MIUAD were primarily concerned with content and not writing per se. This was not surprising given the apparent lack of both vertical legitimacy and horizontal outreach at this university. The answers to Q1B supported the data participants provided for Theme I. Professional knowledge was necessary to teach writing in the classroom through discipline-specific writing assignments. The nature and number of writing assignments given for a grade in participant classes indicated their understanding of industry standards for specific writing products as well as the need to have students complete writing assignments as practice for the real world. Participants’ comfort level with writing assessment was possible through the integration of content into writing assignments. Participants felt extremely comfortable with assessing student writing, as writing assessment was merely a component of grading discipline-specific writing assignments. Interestingly, however, answers to question Q5B showed writing instruction was primarily the responsibility of English instructors alone, or content and English instructors working together (See Appendix E). Classroom
  • 119.
    109 observations revealed astrong relationship between content knowledge and writing assessment taking place in discipline-specific writing tasks. For example, the researcher noted that while participants explained writing assignments to students, their focus was on the material that needed to be included in the assignment. Little, if any, explanation or student questions related to writing format, citation format, length, or other writing- centered concerns. Observations reflected a strong bias toward the importance of content versus writing conventions, such as main ideas, supporting details, and research citations. Instructors teaching QEP classes at MIUAD were more concerned with student ability in relation to industry standards, for example the inclusion of key terms or concepts in the assignment, than academic writing standards. Their responses to question Q5B reflected their belief that English instructors were primarily responsible for teaching the tenets of academic writing and assisting content-specific instructors in the task. As previously stated, given the lack of vertical legitimacy and horizontal outreach at this university, participants in the study could not rely on their language arts colleagues to assist with writing instruction (Mendenhall, 2010). Question Q5B was an essential component of Theme II as it indicated non- language arts instructors were not solely responsible for writing instruction even though it occurred in the non-writing classroom. Moreover, participants’ reactions in the focus group revealed a personal engagement in writing was necessary not only for their own professional writing development, but also for the improvement of their writing assessment skills. In addition, trade magazines and industry-related literature should be
  • 120.
    110 incorporated in writinginstruction. The focus group discussion indicated participants felt students should be exposed to more professional publications in their intended fields. Student immersion in the discipline through active engagement with professional texts would be key to their ability to write better and understand discipline-specific concepts. Reading examples of the types of writing assignments being asked of them would be the best instruction and introduction to writing in discipline. This idea concurs with Thaiss and Porter (2010) who postulated that the transfer of knowledge happens when students learn within an academic, social, and contextual situation. By becoming involved with reading material from the industry of which students are soon to be part, they are able to actively apply class material to ideas and terminology presented in professional publications. Theme III: Teachers Teaching Writing Initiatives in a Professional Academic Setting Theme III addressed the fourth research question: RQ4: In what ways can non-writing faculty’s knowledge and experience implementing a writing-infused curriculum assist academic administrators in current WAC initiatives? RQ4 revealed WAC initiatives at MIUAD needed to be a joint effort between instructors in the discipline, the English department, and administrators. Participants’ answers to qualitative survey questions Q6B and Q7B indicated professional development, peer mentorship, and guidance were needed for the infusion of writing into a professional curriculum (See Appendix E).
  • 121.
    111 Consistent with morerecent literature and research on WAC, participants’ answers to both questions reflected the need for administrative support for a successful WAC program within the professional disciplines (See Appendix E). Co-teaching with English faculty, writing center support, and professional development activities were essential in the ability of non-language arts faculty to create an effective writing-infused classroom. Class size, administrative support, teaching students how to understand the connection between writing and content, as well as making sure students’ interest in writing is kept alive were all mentioned as needed in order for a writing initiative in a professional setting to flourish. Perelman (2011) observed that WAC initiatives of the 21st century involved more administration than faculty. In fact, annual conferences on WAC and composition studies have shown an increase in attendance from administrators. The participants’ responses demonstrate the need for administrators to attend WAC conferences in order to support and understand faculty needs during the implementation of a writing initiative. Incorporating research into assignments was also of interest and a must for students entering creative fields. Market research, analysis of industry trends, and historical knowledge of industry-specific concepts are essential for student success after graduation. Participants believed students at MIUAD specifically needed to better understand the purpose of the QEP and how it would help them in their future personal and professional endeavors. Hassel (2013) suggested that instructors set benchmarks and goals for students to better understand the importance of writing in personal, academic, and professional settings. Participant responses leading to Theme III supported literature presenting different strategies that could be used to assist non-writing faculty with writing
  • 122.
    112 instruction in thedisciplines. Responses were consistent with ideas presented in Chapter 2 by Hassel (2013), Addison and McGee (2010), and Mendenhall (2010) regarding faculty development and effective strategies for the teaching of writing across the disciplines. Insofar as activities participants felt were needed in order to assist art and design faculty in the participation and implementation of a writing initiative, co-teaching, improving personal writing skills, increasing the amount of time spent on writing, and obtaining professional assistance with student writing assessment were among the top suggestions participants offered (See Appendix E). Writing workshops and peer mentoring with writing instructors were also deemed extremely helpful in creating a collaborative academic environment between faculty across the disciplines. Creative writing was one area where writing skills could be improved while remaining in a creative environment. Classroom observations proved helpful in providing specific examples of areas where participants wanted students to seek outside help, such as proofreading, avoiding plagiarism, understanding the purpose of an assignment as it related to the QEP, drafting and revision, and citation format (See Appendix F). Participants encouraged students to use the academic support services available even though MIUAD did not have a comprehensive writing center. Participants suggested their students make an appointment with a former writing instructor or librarian for advice on writing and research. Although participants in the study did not believe they should be correcting student grammar and usage, they felt having students review their writing assignments with a writing expert was an important step in the learning process. Theme III tied into both Themes I and II because it provided specific examples of how collaboration needs to
  • 123.
    113 be in placein order for a writing initiative to be successful, specifically across the professional disciplines. Theme I emerged from participants’ experiences with the integration of content knowledge acquired through professional experience and writing in their classroom, consistent with the emergence of Themes II and III, which touched upon the integration of writing in the classroom, nature and purpose of writing assignments in the classroom, as well as the need for collaboration and faculty professional development on assessing student in a professional academic setting, using co-teaching, workshops with the English department, writing center assistance, and support from university administration implementing a writing initiative. Implications The overarching question guiding this study was: What effective methods can faculty and administrators without formal education in writing composition and language arts implement for a writing-infused curriculum? The concept of teachers as learners was essential in the development of the research questions for this study, as well as the three themes that emerged from the data collected. Research questions and themes aligned with Cochran-Smith and Lytle’s (1999) theory of the teacher-learner community, the theoretical framework used in this study. Cochran-Smith and Lytle’s ideas of knowledge-practice, image of knowledge, and image of teacher learning role in current initiatives are supported by the data because participants’ responses on the survey, the researcher’s classroom observation notes, and discussion in the focus group demonstrated instructors’ use of professional knowledge in practice in the classroom, the image of professional knowledge as reflected in writing assignments used in QEP classes, and the instructors’ role in implementing current QEP writing initiatives in the classroom.
  • 124.
    114 Working as acommunity of learners, participants in the study exhibited that they were encouraged by the incorporation of writing in the professional academic classroom but needed guidance from administrators to bring this to fruition. Cochran-Smith and Lytle (1999) suggested “inquiry as agency” as a method by which a community of educators enter into a “common search for meaning in their work lives” (p. 294). QEP instructors at MIUAD need to work collectively and ask questions regarding successful writing strategies currently used in traditional institutions of higher education in order to find a common meaning for writing in the professional disciplines. Through inquiry, instructors might be able assist university administrators without a language arts background find the tools necessary to create a writing-infused curriculum in an art and design university setting. Consistent with the existing literature on contextual learning as presented by Britton (1965), McLeod and Soven (2000), Bazerman et al. (2005), Addison and McGee (2010), and Mendenhall (2010), Cochran-Smith and Lytle’s (1999) concept of inquiry as agency proposes that “teaching and thus teacher learning are centrally about forming and re-forming frameworks for understanding practice” (p. 290). Inquiry “is intended to capture some of the nature and extent to which those who teach and learn from teaching by engaging in inquiry interpret and theorize what they are doing” (p. 291). As adult learners, participants in this study required immersion in the content knowledge along with tenets of academic writing to fully explain and become responsible for student writing assessment in their classroom. Although co-teaching has been recommended in the literature as an effective method by which WAC can be accomplished, a lack of published data on WAC within the professional disciplines
  • 125.
    115 makes it unclearwhether this method would work in an art and design setting. Providing instructors, as well as their students, across the professional disciplines with opportunities to interact with emerging publications in industry may initiate academic written dialogue in the professional fields. In agreement with Bruner’s (1974) philosophy of adult learning as a “hands-on” activity, exposing instructors and students in the art and design disciplines to discipline-specific publications, as well as discipline-specific writing, will allow for the transfer of writing skills into content-specific writing situations. Using current available data on WAC from traditional university settings has been an initial introduction of the importance of writing and writing skills in the professional disciplines. With the increase of technology-heavy professions, such as audio and film production, interior design, graphic design, and fashion illustration, students attending non-traditional colleges in these fields must be exposed to writing norms of their intended professions. Administrators without a language arts background or traditional English departments to assist in creating writing awareness in these non-traditional academic settings need research and data from similar institutions in order to adapt programs and studies to their particular needs and academic environment. Increasing knowledge and comfort level with teaching and grading writing is necessary across the academic realm, both in traditional and non-traditional settings. Without a living and growing body of data and research on writing outside traditional academic settings, students graduating from non-traditional universities may find themselves at a disadvantage post-graduation, unable to complete written tasks required in a professional field due to their universities’ inability to teach and train them properly in the art of writing for their professional fields.
  • 126.
    116 Recommendations The recommendations forfuture study and transferability of the current study include a number of suggestions. First, replications of this study should be conducted at additional art and design universities that are regionally accredited or not regionally accredited. Students graduating with a college degree regardless of the institution’s accreditation standing, university instructors, and patrons should have access to data and research on writing infusion across the professional disciplines. The reason for this is because graduates from different types of universities will be participating in the workforce and asked to produce writing. Studies similar to this study should also take place at institutions with comprehensive writing centers to see whether having additional academic support services positively influences faculty and students participating in writing initiatives at other art and design institutions. Addison and McGee (2010) reported the National Commission of Writing stipulated 96% of employers consider writing skills as “extremely important” (p. 166). In the report, audience and purpose were the two most important aspects of writing employers expected students to know and understand. With the assistance of a comprehensive writing center, future studies could specifically address the issue of audience and purpose in student writing assignments outside their English classes on content-specific assignments. Future studies in writing for the professions should include a co-teaching component. Much of the literature presented in this study stressed the need for collaboration between professors from across the disciplines and writing experts in order to help students improve their writing in discipline as well as work with faculty on
  • 127.
    117 improving writing assessmentskills. Funding should be available for additional preparation and co-teaching. A pilot study should be used to select appropriate courses in which this format would be most beneficial and effective. Similar studies as this should allocate faculty development dollars to send non- writing faculty to writing workshops, conferences, and creative writing classes. For art and design faculty, personal and creative writing seemed to be a good place to initiate personal growth in writing skills, according to the participants in this study. Additionally, using other methodologies than a case study might yield results that would add value to this study’s findings. A larger, more varied sample might prove valuable for transferability. “Deep learning,” as stipulated by Hassel (2013), should be the focus of future studies on WAC, specifically as it relates to non-traditional settings. Deep learning places emphasis on writing “beyond school” for the workplace. Students should be able to apply the knowledge and writing skills acquired in college in industry. Through the use of vertical legitimacy and horizontal outreach, faculty and administrators cover all areas where writing takes place. Students learn the tenets of both academic and academic writing. These two techniques allow for well-rounded writing infusion across and within disciplines. Future studies should use Addison and McGee’s (2010) recommended assessment benchmarks for WAC to be successful in both non-traditional and traditional academic settings, using the NSSE deep learning scale:  Pre-writing activities—short writings prior to writing assignments to engage students in the topic and writing process
  • 128.
    118  Clear expectations—cleardirections and expectations (i.e., rubric) when assigning writing tasks  Higher-order writing—summarization, argumentation, and analysis  Good instructor practices—collaboration in the classroom and peers  Integrated media—multi-modal teaching for different learning styles Studies conducted on writing across the professional disciplines should evaluate courses in sequence. For example, a discipline-specific writing course in first semester should combine content with writing instruction in order to allow students to make the connection between the importance of writing as it relates to their future professional endeavors. University leaders should join professional organizations, such as NCTE and CCCC, for scholarly support and guidance for administrators when adopting a writing- infused curriculum across the professional disciplines. Teacher resources in further studies should include increased faculty exposure to writing workshops and conferences, which includes such topics as teaching writing to underprepared college students, adult learners, non-traditional student learners, and blended learning. Future similar studies should make available a repository of writing assignments created by language arts experts that can be used by faculty incorporating writing and writing assessment in the disciplines. Final Thoughts This study helped bring to light some of the issues instructors encounter when implementing writing in a professional academic environment. Although formal WAC
  • 129.
    119 research in non-traditionaluniversity settings is scarce, participants in this study expressed many of the same feelings and had similar experiences as did faculty participating in WAC initiatives within traditional universities. Data for this study revealed important themes and concepts for further investigation. A body of scholarly research is necessary for WAC to continue to grow in the 21st century. With the increasing number of non-traditional and underprepared students, as well as non-native speakers entering colleges and universities now and in years to come, the need to teach, assess, and assist students with writing will only increase. Faculty across the disciplines, regardless of academic background, must work collaboratively with university administrators to provide all students with adequate writing instruction and preparation for successful professional lives.
  • 130.
    120 REFERENCES Accrediting Council forIndependent Colleges and Schools. (2010). ACICS history. Retrieved from http://www.acics.org/contact/content.aspx?id=2104 Addison, J., & McGee, S. J. (2010). Writing in high school/writing in college: Research trends and future directions. College Composition and Communication (CCC), 62(1), 147-179. Altbach, P. G., Gumport, P. J., & Berdahl, R. O. (Eds.). (2005). American higher education in the twenty-first century: Social, political, and economic challenges. Baltimore, MD: Johns Hopkins University Press. Applebee, N. A., & Langer, J. A. (2009). What is happening in the teaching of writing? English Journal, 98(5), 18-28. Baxter, P., & Jack, S. (2008). Qualitative case study methodology: Study design and implementation for novice readers. The Qualitative Report, 13(4), 544-559. Bazerman, C., Little, J., Bethel, L., Chavkin, T., Fouquette, D., & Garufis, J. (2005). Reference guide to writing across the curriculum. West Lafayette, IN: Parlor Press. Berrett, D. (2013, April 17). College and high school educators still disagree over students’ preparedness. The Chronicle of Higher Education. Retrieved from http://chronicle.com/article/CollegeHigh-School/138563 Bordelon, S. (2010). Restructuring English and society through an integrated curriculum: Ruth Mary Weeks’s A correlated curriculum. Rhetoric Review, 29(3), 257-274. Brent, D. (2012). Crossing boundaries: Co-op students relearning to write. College Composition and Communication (CCC), 63(4), 558-592. Britton, W. E. (1965). What is technical writing? College Composition and Communication (CCC), 16(2), 113-116. Retrieved from http://www.jstor.org/stable/354886 Bruner, J. (1974). Towards a theory of instruction. Cambridge, MA: Belknap Press. Bryman, A. (2007). Research triangulation: Triangulation and measurement. Retrieved from http://www.referenceworld.com/sage/socialscience/triangulation.pdf Bullock, A. (1975). A language for life. Report of the Committee of Enquiry appointed by the Secretary of State for Education and Science. London, England: Her Majesty’s Stationery Office.
  • 131.
    121 Cavender, A. (2010,April 23). Faculty benefits from writing across the curriculum. The Chronicle of Higher Education. Retrieved from http://chronicle.com/blogs /profhacker/faculty-benefits-from-writing-across-the-curriculum/23376 Cochran-Smith, M., & Lytle, S. L. (1999). Relationships of knowledge and practice: Teacher learning in communities. Review of Research in Education, 24(1), 249- 305. College preparedness lacking, forcing students into developmental coursework, prompting some to drop out. (2012, June 18). Huffington Post. Retrieved from http://www.huffingtonpost.com/2012/06/18/students-lacking-college- _n_1606201.html?vi Conant, J. B. (1945). General education in a free society: Report of the Harvard Committee. Cambridge, MA: Harvard University Press. Condon, W., & Rutz, C. (2012). A taxonomy of writing across the curriculum programs: Evolving to serve broader agendas. College Composition and Communication (CCC), 64(2), 357-382. Conerly, B. (2012, August). The six classes that will make any college grad employable. Forbes. Retrieved from http://www.forbes.com/sites/billconerly/2012/08/21/how- to-make-a-college-graduate-employable/ Council of Chief State School Officers. (2012). Framework for English language proficiency development standards corresponding to the Common Core State Standards and the Next Generation Science Standards. Washington, DC: Author. Creswell, J. W. (2007). Research design: Qualitative, quantitative, and mixed-methods approaches (3rd ed.). Thousand Oaks, CA: Sage. Crowley, S. (1998). Composition in the university: Historical and polemical essays. Pittsburgh, PA: University of Pittsburgh Press. Darton, R. (2011, April 17). Five myths about the “information age.” The Chronicle of Higher Education. Retrieved from http://chronicle.com/article/5-Myths-About- the-Information/127105/ Defazio, J., Josette, J., Tennant, F., & Hook, S. A. (2010). Academic literacy: The importance of writing across the curriculum—A case study. Journal of the Scholarship of Teaching and Learning, 10(2), 34-47. Dewey, J. (2008). The later works of John Dewey, 1925 - 1953: 1938. In J. A. Boydston (Ed.), Logic: The theory of inquiry, Vol. 12. Chicago, IL: Southern Illinois University Press.
  • 132.
    122 Dotolo, F., &Nicolay, T. (2008). Approaching history through literature: Generating knowledge through writing and inquiry in a cross-disciplinary first-year learning community. The History Teacher, 42(1), 25-34. Elliot, N., Deess, P., Rudiny, A., & Joshi, K. (2012). Placement of students into first-year writing courses. Research in the Teaching of English, 46, 284-321. Fernsten, L. A., & Reda, M. (2011). Helping students meet the challenges of academic writing. Teaching in Higher Education, 16(2), 171-182. Findsen, B. (2007). Freirean philosophy and pedagogy in the adult education context: The case of older adults’ learning. Studies in Philosophy and Education, 26, 545- 559. Forman, J. (2008, June). Way beyond the basics: Working on cross-disciplinary faculty teams. Business Communication Quarterly, 71(2), 211-216. doi:10.1177/1080569908317080 Gruenbaum, E. A. (2012). Common literacy struggles with college students: Using the reciprocal teaching technique. Journal of College Reading and Learning, 42(2), 110-116. Hassel, H. (2013, May). Research gaps in teaching English in the two-year college. Teaching English in the Two-Year College, 40(4), 343-363. Helstad, K., & Lund, A. (2012). Teacher’s talk on students’ writing: Negotiating students’ texts in interdisciplinary teacher teams. Teaching and Teacher Education, 28, 599-608. Johnson, B., & Christensen, L. (2007). Educational research: Quantitative, qualitative, and mixed approaches (3rd ed.). Thousand Oaks, CA: Sage. Kahn, J. M., & Holody, R. (2012). Supporting field instructors’ efforts to help students improve writing. Journal of Social Work Education, 48(1), 65-73. Kellogg, R. T., & Whiteford, A. P. (2009). Training advanced writing skills: The case for deliberate practice. Educational Psychologist, 44(4), 250-266. Knowles, M. (1975). Self-directed learning: A guide for learners and teachers. New York, NY: Associated Press. Kristeva, J., Roudiez, L. S. (Ed.), & Jardine, A. (Ed.). (1980). Desire in language: A semiotic approach to literature and art (5th ed.; T. Gora, Trans.). New York, NY: Columbia University Press. Light, R. (2012). Educational impact of changing student demographics in colleges and universities. Retrieved from American Academy of Arts and Sciences, Academy Projects website: http://www.amacad.org/projects/diversity.aspx
  • 133.
    123 Lucas, C. (2006).American higher education (2nd ed.). New York, NY: Palgrave. McLeod, S. (2013). Lev Vygotsky. Simply Psychology. Retrieved from http://www.simplypsychology.org/vygotsky.html McLeod, S. H., & Soven, M. (Eds.). (2000). Writing across the curriculum: A guide to developing programs. Fort Collins, CO: WAC Clearinghouse. Retrieved from http://aw.colostate.edu/books Meizrow, J. (1997). Transformative learning: Theory to practice. New Directions for Adult and Continuing Education, 74, 5-12. Mendenhall, A. (2010). The historical problem of vertical coherence: Writing, research, and legitimacy in early 20th century rhetoric and composition. Composition Studies, 41(1), 84-100. Monroe, J. (2003, Fall). Writing and the disciplines. peerREVIEW. Retrieved from http://aacu.org/peerreview/pr-fa03/PRFall03Feature1.pdf Mullin, J. A. (2008). Interdisciplinary work and professional development. Pedagogy: Critical Approaches to Teaching Literature, Language, Composition, and Culture, 8(3), 495-508. National Commission on Writing. (2003). The neglected “R”: A need for a writing revolution. New York, NY: College Entrance Examination Board. New England Association of Schools and Colleges: Commission on Institutions of Higher Education. (2011). Standards of accreditation. Burlington, MA: Author. Pelez, K. (1982). James Britton and the pedagogy of advanced composition. Journal of Advanced Composition, 3(1-2), 1-9. Perelman, L. (2011, December). WAC revisited: You get what you pay for. The Writing Instructor. Retrieved from http://www.writinginstructor.com/30wac Pirnay-Dummer, P., Ifenthaler, D., & Seel, N. M. (2012). Theoretical foundations of learning environments. New York, NY: Routledge. Richards, I. A. (1936). The philosophy of rhetoric. Oxford, England: Oxford University Press. San Diego State University. (n.d.). What is rhetoric? Retrieved from http://rhetoric.sdsu.edu/about_us/what_is_rhetoric.htm Schmidt, P. (2008, May 30). Higher education is in flux as demographics change, federal report shows. The Chronicle of Higher Education. Retrieved from http://chronicle.com/article/Higher-Education-Is-in-Flux-as/851
  • 134.
    124 Shockley-Zalabak, P. S.(2009). Fundamentals of organizational communication: Knowledge, sensitivity, skills, values (7th ed.). Boston, MA: Pearson Learning Solutions. Southern Association of Colleges and Schools Commission on Colleges. (2012). The principles of accreditation: Foundations for quality enhancement (4th ed.). Decatur, GA: Author. Spafford, I. (1943). Building a curriculum for general education: A description of the general education program. Minneapolis, MN: University of Minnesota Press. Taylor, B., & Kroth, M. (2009). Andragogy’s transition into the future: Meta-analysis of andragogy and its search for a measurable instrument. Journal of Adult Education, 38(1), 1-10. Thaiss, C., & Porter, T. (2010). The state of WAC/WID in 2010: Methods and results of the U.S. survey of the International WAC/WID Mapping Project. National Council of Teachers of English (NCTE), 16(3), 534-570. Vander Ark, T. (2013, February 19). Writing across the curriculum with the Literacy Design Collaborative. Education Week. Retrieved from http://blogs.edweek.org/edweek/on_innovation/2013/02 /writing_across_the_curriculum_with_the_literacy_design_collaborative.html Vasilachis de Gialdino, I. (2011). Ontological and epistemological foundations of qualitative research. Forum Qualitative Sozialforschung / Forum: Qualitative Social Research, 10(2). Retrieved from http://nbn-resolving.de/urn:nbn:de:0114- fqs0902307 Weimer, W. (2013, March 6). What types of writing assignments are in your syllabus? [Web log post]. Retrieved from http://www.facultyfocus.com/articles/teaching- professor-blog/what-types-of-writing-assignments-are-in-your-syllabus/ Wingate, U., Andon, N., & Cogo, A. (2011). Embedding academic writing instruction into subject teaching: A case study. Active Learning in Higher Education, 12(1), 69-81. Woodward-Kron, R. (2008). More than just jargon—Nature and role of specialist language in learning disciplinary knowledge. Journal of English for Academic Purposes, 7, 234-249. Woodward-Kron, R. (2009). “This means that…”: A linguistic perspective of writing and learning in a discipline. Journal of English for Academic Purposes, 8, 165-179. Yageleski, R. P. (2012, February). Writing as praxis. English Education, 44(2), 188-204. Yale University. (1828). Reports of the course of instruction in Yale College. New Haven, CT: Hezekiah Howe.
  • 135.
    125 Yin, R. K.(2011). Applications of case study research (3rd ed.). Thousand Oaks, CA: Sage. Young, R. V. (2010). How the standard freshman writing course went from boot camp to waste of time. Freshman Comp, Then and Now. Retrieved from the John William Pope Center for Higher Education website: http://www.popcenter.or /commentaries/article.html?id=2404 Zumbrunn, S., & Krause, K. (2012). Conversations with leaders: Principles of effective writing instruction. The Reading Teacher, 65(5), 346-353.
  • 136.
  • 137.
  • 138.
    128 Michelle A. Stefano 455NE 25 Street, Apt. 401 Miami, FL 33137 June 5, 2013 Daniel Chaskes, Ph.D Director, Quality Enhancement Plan Miami International University of Art and Design 1501 Biscayne Boulevard Miami, FL 33132 RE: Letter of Permission to Conduct Research Dear Dr. Chaskes: I am a doctoral candidate in the College of Education at Argosy University, Sarasota. I am writing this letter to request permission to conduct research for my doctoral dissertation at Miami International University of Art and Design (MIUAD). The purpose of this exploratory case study would be to identify effective methods by which faculty and administrators without formal education in composition or language arts can implement a writing-infused curriculum across the professional disciplines. I believe this study would help administrators without a formal language arts background address issues of writing deficiencies in their academic programs, outside the liberal arts context. My research study is entitled An Exploratory Case Study: Faculty Involvement in Developing Writing- Infused Courses Within the Professional Disciplines. My proposed research study will entail working with twelve faculty members teaching quality enhancement plan (QEP) courses at your institution. The research that would be conducted at MIUAD would include a thirty minute classroom observation per QEP faculty member, a focus group with the QEP faculty off campus, and the completion of a brief questionnaire modeled after Cochran-Smith and Lytle’s (1999) theory of “teacher-learner community.” Although students are not a part of my study, should any student-related issues arise during the study student rights will be protected according to FERPA guidelines. All identifying faculty information will be kept confidential in this process, but the results of the research will be shared with you upon completion and perhaps might contribute to your own institutional effectiveness reporting and improvement process. If this request is agreeable with you, please confirm this request in a signed letter. Respectfully, Michelle A. Stefano
  • 139.
    129 June 5, 2013 ArgosyUniversity Institutional Review Board Dissertation Committee Chair—Ruth Rucker, PhD 5250 17th Street Sarasota, FL 34235 RE: Permission to Conduct Research Michelle A. Stefano, Argosy University Doctoral Candidate, has permission from Miami International University of Art and Design to conduct research at our Miami Campus for her research study, An Exploratory Case Study: Faculty Involvement in Developing Writing-Infused Courses Within the Professional Disciplines. Ms. Stefano will contact twelve faculty members teaching quality enhancement plan (QEP) to obtain consent from them through the presentation of information pertaining to her study. The collection of data would take place during the fall term 2013. The research that would be conducted at MIUAD would include a thirty minute classroom observation per QEP faculty member, a focus group with the QEP faculty off campus, and the completion of a brief questionnaire. Should any student-related issues arise during the study student rights will be protected according to FERPA guidelines. Ms. Stefano has agreed to maintain all identifying faculty information confidential and share the results of the research for from Miami International University of Art and Design’s own institutional effectiveness reporting and improvement process. If there are any questions, please contact my office. Daniel Chaskes, PhD QEP Director
  • 140.
    130 Michelle A. Stefano 455NE 25 Street, Apt. 401 Miami, FL 33137 June 5, 2013 Paul Cox, Ph.D Dean of Academic Affairs Miami International University of Art and Design 1501 Biscayne Boulevard Miami, FL 33132 RE: Letter of Permission to Conduct Research Dear Dean Cox: I am a doctoral candidate in the College of Education at Argosy University, Sarasota. I am writing this letter to request permission to conduct research for my doctoral dissertation at Miami International University of Art and Design (MIUAD). The purpose of this exploratory case study would be to identify effective methods by which faculty and administrators without formal education in composition or language arts can implement a writing-infused curriculum across the professional disciplines. I believe this study would help administrators without a formal language arts background address issues of writing deficiencies in their academic programs, outside the liberal arts context. My research study is entitled An Exploratory Case Study: Faculty Involvement in Developing Writing- Infused Courses Within the Professional Disciplines. My proposed research study will entail working with twelve faculty members teaching quality enhancement plan (QEP) courses at your institution. The research that would be conducted at MIUAD would include a thirty minute classroom observation per QEP faculty member, a focus group with the QEP faculty off campus, and the completion of a brief questionnaire modeled after Cochran-Smith and Lytle’s (1999) theory of “teacher-learner community.” Although students are not a part of my study, should any student-related issues arise during the study student rights will be protected according to FERPA guidelines. In addition to obtaining permission to conduct research at MIUAD from you, and with your permission, I will also contact the QEP Director, Dr. Daniel Chaskes, for his consent and cooperation in conducting research at MIUAD. He is directly involved in the daily operations of QEP initiatives at the university and is the primary contact person for all QEP-related inquiries and initiatives. All identifying faculty information will be kept confidential in this process, but the results of the research will be shared with you upon completion and perhaps might contribute to your own institutional effectiveness reporting and improvement process. If this request is agreeable with you, please confirm this request in a signed letter. Respectfully, Michelle A. Stefano
  • 141.
    131 June 5, 2013 ArgosyUniversity Institutional Review Board Dissertation Committee Chair—Ruth Rucker, PhD 5250 17th Street Sarasota, FL 34235 RE: Permission to Conduct Research Michelle A. Stefano, Argosy University Doctoral Candidate, has permission from Miami International University of Art and Design to conduct research at our Miami Campus for her research study, An Exploratory Case Study: Faculty Involvement in Developing Writing-Infused Courses Within the Professional Disciplines. Ms. Stefano will contact twelve faculty members teaching quality enhancement plan (QEP) to obtain consent from them through the presentation of information pertaining to her study. The collection of data would take place during the fall term 2013. The research that would be conducted at MIUAD would include a thirty minute classroom observation per QEP faculty member, a focus group with the QEP faculty off campus, and the completion of a brief questionnaire. Should any student-related issues arise during the study student rights will be protected according to FERPA guidelines. In addition to granting permission to conduct research at from Miami International University of Art and Design, Miami campus, I also grant Ms. Stefano permission to contact the QEP Director, Dr. Daniel Chaskes, for his consent and cooperation in the research study. He is directly involved in the daily operations of QEP initiatives at the university and is the primary contact person for all QEP-related inquiries and initiatives. Ms. Stefano has agreed to maintain all identifying faculty information confidential and share the results of the research for from Miami International University of Art and Design’s own institutional effectiveness reporting and improvement process. If there are any questions, please contact my office. Paul M. Cox, Ph.D. Dean | Academic Affairs Ai Miami International University of Art & Design 1501 Biscayne Blvd, Ste 100, Miami, Fl 33132-1418 (305) 428-5656 www.mymiu.edu
  • 142.
  • 143.
    133 July 29, 2013 DearProspective Participant: My name is Michelle A. Stefano and I am a doctoral student in the Educational Leadership department at Argosy University-Sarasota working on my dissertation. This study is a requirement to fulfill my degree and will not be used for decision-making by any organization. This study is for research purposes only. You are cordially invited to volunteer your participation in my dissertation research. The purpose of this research study would be to identify effective methods by which faculty and administrators without formal education in composition or language arts can implement a writing-infused curriculum across the professional disciplines. What Will Be Involved If You Participate? Your participation in this study is completely voluntary. If you participate in this research, you will be asked complete and/or participate in the following: 1) The completion of a brief questionnaire consisting of 10 questions 2) One thirty minute classroom observation at your convenience 3) One focus group with the QEP faculty off campus How Long Will This Study Take? The research will be conducted between August 2013 and September 2013. You will be asked to participate during this timeframe. What If You Change Your Mind About Participating? You can withdraw at any time during the study. Your participation is completely voluntary. If you choose to withdraw, your data can be withdrawn as long as it is identifiable. Your decision about whether to participate or to discontinue participating will not jeopardize your future relations with Argosy University-Sarasota or your educational institution. You can do so without fear of penalty or negative consequences of any kind. How Will Your Information Be Treated? The information you provide for this research will be treated confidentially, and all data (written and recorded) will be kept securely. Written documentations will be stored in a locked file cabinet, accessible only by me, in my home. Recorded data and transcribed data will be stored on my personal password protected laptop, which accessible only by me, then transferred to the locked cabinet after the research is completed. Results of the research will be reported as summary data only, and no individually identifiable information will be presented. In the event your information is quoted in the written results, I will use pseudonyms or codes to maintain your confidentiality. All information obtained will be held with the strictest confidentiality. You will be asked to refrain from placing your name or any other identifying information on any research
  • 144.
    134 form or protocolsto further ensure confidentiality is maintained at all times. All recorded information will be stored securely for five years, as per Argosy University-Sarasota requirements. At the end of the three years, all recorded data and other information will be deleted and all written data will be shredded. What Are the Benefits in This Study? There will be no direct or immediate personal benefits from your participation in this research, except for the contribution to the study. For the professional audience, the potential benefit of this research will provide additional knowledge to the literature on writing in the professional disciplines, specifically within an art and design university. I believe this study would help administrators without a formal language arts background address issues of writing deficiencies in their academic programs, outside the liberal arts context. You also have the right to review the results of the research if you wish to do so. A copy of the results may be obtained by contacting Michelle A. Stefano at: Email: mstefano@aii.edu or Phone: 305-205-1509 Additionally, should you have specific concerns or questions, you may contact my dissertation chair, Dr. Ruth Rucker at Argosy University-Sarasota, by phone at 706-860- 0313 or email at rrucker@argosy.edu, or Dr. Coovert, IRB Chair, Argosy University- Sarasota, 5250 17th Street Sarasota, FL 34235, or by phone at 941-379-0404 or email at dcoovert@argosy.edu. I have read and understand the information explaining the purpose of this research and my rights and responsibilities as a participant. My signature below designates my consent to voluntarily participate in this research, according to the terms and conditions outlined above. Participant's Signature: ________________________________ Date: _______________ Print Name: ___________________________________ (The participant should retain one of the two copies of the consent letter provided by the principal investigator.)
  • 145.
  • 146.
    136 FACULTY QUALITATIVE SURVEY EFFECTIVESTRATEGIES FOR IMPLEMENTING A WRITING- INFUSED CURRICULUM The purpose of this research study is to identify effective methods by which faculty and administrators without formal education in composition or language arts can implement a writing-infused curriculum across the professional disciplines. By completing and turning in this survey, you are giving your consent for the researcher/principal investigator to include your responses in his/her data analysis. Your participation in this research study is strictly voluntary, and you may choose not to participate without fear of penalty or any negative consequences. Individual responses will be treated confidentially. No individually identifiable information will be disclosed or published, and all results will be presented as aggregate, summary data. If you wish, you may request a copy of the results of this research study by writing to the researcher/principal investigator at: Michelle A. Stefano, 455 NE 25 Street, Apt. 401, Miami, FL, 33137. Demographic Information Question IA (Q1A) Indicate the discipline in which you earned your highest academic degree: _____________________________________________________________ Question IIA (Q2A) What courses do you teach in the discipline? _______________________________________________________________ Directions: For each question, please provide detailed responses for the questions below. Use specific examples when entering your response Question IB (Q1B) How many writing assignments are students required to complete for your course? (Briefly describe the nature of these assignments) Question IIB (Q2B) How many of these writing assignments require discipline-specific knowledge to complete? (Please describe) Question IIIB (Q3B) How comfortable are you with assessing students’ writing skills? (Select from choices below) ___ Not Comfortable ___ Somewhat Not Comfortable ___ Comfortable ___ Somewhat Comfortable
  • 147.
    137 ____ Extremely Comfortable QuestionIVB (Q4B) How do you apply your writing experience as a professional in your field to your classroom practices? (Please describe) Question VB (Q5B) Who do you believe is primarily responsible for writing instruction at the university? ___ English instructors ___ Writing center tutors ___ Instructors in the discipline ___ Both English and discipline-specific instructors ___ All of the above Question VIB (Q6B) From your experience in your QEP course at Miami International University of Art and Design, how could administrators further assist faculty in the QEP writing initiative? Question VIIB (Q7B) Directions: From the following list, select at least four activities that you consider the most helpful to art and design faculty participating in a writing in the disciplines initiative? _____ Pursuing formal education _____ Obtaining professional development in the area of student writing assessment _____ Attending academic conferences on topics related to writing and composition _____ Participating in mentoring, peer-to-peer _____ Co-teaching discipline-specific courses with English faculty _____ Sharpening my writing skills using software or online tutorials _____ Attending face-to-face faculty writing workshops at the university _____ Increasing the amount of writing I do on my own time Additional Suggestions: Thank you for your time in completing this questionnaire.
  • 148.
    138 APPENDIX D Check Listfor Participant Observation
  • 149.
    139 Check List forParticipant Observation  Nature of the assignment: 1. In class, out of class 2. Research paper 3. Critique 4. Other  Professor expectations on the assignment: 1. MLA, citations 2. length 3. focus  Professor explanation of the assignment: 1. On what did s/he spend time? 2. What was stressed in the explanation? 3. What are expectations of professor from student assignments?  Student Q & A? Y/N 1. How does professor address questions? 2. Anything s/he needs to double check regarding writing?
  • 150.
    140 3. Did theprofessor refer students to WC or English dept for assistance? 4. Any other resources professor mentions as a guide to assist students?  Professor balance between content and writing on assignment: 1. Was one stressed more than the other?  Professor’s integration of assignment into course objectives:
  • 151.
  • 152.
    142 Q1 Indicate thediscipline in which you earned your highest academic degree: # Responses Date 1 Master of Fine Art, Painting 10/15/2013 8:07 AM 2 Fine Arts 10/9/2013 10:50 AM 3 Audio Engineering 10/8/2013 12:13 PM 4 Journalism/Communication 10/7/2013 4:10 PM 5 FILM 10/6/2013 6:48 PM 6 Computer Animation 10/5/2013 11:14 AM 7 Architecture 10/2/2013 4:34 PM 8 Visual Communication with specialties in Graphic Design and animation 9/22/2013 10:47 PM 9 MFA Fashion Design 9/16/2013 9:29 PM 10 Master of Art - Computer Animation 9/16/2013 7:46 PM Q2 What courses do you teach in the discipline? Responses Date 1 Drawing, Painting, Design 10/15/2013 8:07 AM 2 Electronic Field Produc tion, Screenwriting, Video Produc tion, Aesthetics 10/9/2013 10:50 AM 3 Audio Recording I and II Digital Audio III 10/8/2013 12:13 PM 4 Effective Communication 10/7/2013 4:10 PM 5 All levels of screenwrting classes, Film apprec iation, etc. 10/6/2013 6:48 PM 6 Modeling I, Modeling III, Performance & Story Development, Digital Imaging, Internship, Texturing I. VFX-Art Direction, Matte Painting, Intro to 3D 10/5/2013 11:14 AM 7 Interior Design Studios (residential and commercial projects), Lighting Design (residential and commercial), and Perspec tive Drawing. 10/2/2013 4:34 PM 8 Graphic Design History, Collateral Design, Typography, Concept Design, Graphic Sym bolism, Digital 9/22/2013 10:47 PM 9 Fashion Design I & Fashion Trends II which involves the 3 Fashion Majors 9/16/2013 9:29 PM 1 0 Animation 1, Animation2, Print Portfolio, Storyboard, Performance and Storytelling, Digi tal 9/16/2013 7:46 PM
  • 153.
    143 Q3 How manywriting assignments are students required to complete for your course? (Briefly describe the nature of these assignments) # Responses Date 1 None 10/15/2013 8:07 AM 2 In Electronic Field Produc tion students must write a proposal for their documentaries. the proposal is geared towards obtaining funding. Each week for the first half of the c ourse the students work on one portion of the proposal. They write a filmmaker bi ography, a summary of their project concept, a strategy for fundraising, a budget, distri bution and marketing strategies and a strategy for audience and community engagem ent. Audience and community engagement is the plan for getting people to see the fil m and to take whatever action the filmmaker is hoping for upon seeing the film. For example, engaging on social media, signing a petition, making a donation etc. 10/9/2013 10:50 AM 3 2 papers required for the QEP in Audio Recording I 10/8/2013 12:13 PM 4 There are 6 written assignments in the course. 2 are extensive researc h projects 1 is an analysis with a researc h component but it is not as extensive as the first 2 assignm ents described above. 3 are short (1 page) assignments based on a reading which I provide to them. Depending on their development through these assigments, I may add more writing assignments as needed. 10/7/2013 4:10 PM 5 They are all writing classes. In addition to homework, which consists of preparations to write screenplays, they also write--and rewrite-- screenplays. 10/6/2013 6:48 PM 6 It varies; in studio intensive courses, it is mostly 1, a small researc h piece. In the writi ng courses, there are at least 3-5 writing assignments. 10/5/2013 11:14 AM 7 For the design studios, two per course: a brief concept statement and a researc h/response paper to promote evidence-based design. The lighting classes require a c oncept statement for each project (two per quarter), and many test questions prompt short-form essays. The drawing class rather pointedly has no written component. 10/2/2013 4:34 PM 8 In most of them Creative briefs, in the ones that are QEP Two essays 9/22/2013 10:47 PM 9 2 diagnostic assignments, both involve using proper fashion terminology and recogniti on of the fashion trends for the current season. The more extensive assignments are: Comment on the last 10 years of Haute Couture collections millinery and the im portanc e to current fashion and its trends. The last is related to the visit to one single designer store in Bal Harbour Shops and interpret the Trends of the season used by that specific designer house. 9/16/2013 9:29 PM 1 0 2 One company researc h piece in order to prepare them for potential job interviews and one freelance work contract. 9/16/2013 7:46 PM
  • 154.
    144 Q4 How manyof these writing assignments require discipline- specific knowledge to complete? (Please describe) # Responses Date 1 N/A 10/15/2013 8:07 AM 2 Most of these assignments require discipline-spec ific knowledge to compl ete. For the biography you would have to know what to include, for the budget you would have to know what equipment, crew, software, produc tion design that you would need. For the marketing strategy you would need to know how to navigate online distribution and how to put together a trailer. 10/9/2013 10:50 AM 3 Both papers require discipline-spec ific knowledge. 10/8/2013 12:13 PM 4 All of the assignments require discipline specific knowledge to complete succ 10/7/2013 4:10 PM 5 All of the sceenplays. 10/6/2013 6:48 PM 6 There needs to be a general understandi ng of the discipline but a lot is building up on the skills learned in the English courses. 10/5/2013 11:14 AM 7 All of them. 10/2/2013 4:34 PM 8 All of them have to do with graphic design 9/22/2013 10:47 PM 9 All, the class is divided in 2 parts the first part is learning proper fashion terminology for shoes, hats, garments and garment pieces, and handbags. T he second part is all about the recognition, understandi ng and developing the sensibility to recognize trends. 9/16/2013 9:29 PM 10 Both do 9/16/2013 7:46 PM Q5 How comfortable are you with assessing students’ writing skills? Answ er Choices Responses Not Comfortable 10% Somewhat Not Comfortable 10% Comfortable 10% Somewhat Comfortable 30% Extremely Comfortable 40% Total 10
  • 155.
    145 Q6 How doyou apply your writing experience as a professional in your field to your classroom practices? # Responses Date 1 As an artist I must write about my own work for exhibition applications, etc. 10/15/2013 8:07 AM 2 I am most comfortable critiquing screenplays. I have written several screenpl ays and I have had films screen at festivals and was awarded a screenwriting fellowship. In terms of the Electronic Field Production course, I am working on my own grant proposals for my documentary. 10/9/2013 10:50 AM 3 My field does not really require a lot of writing, but there is a lot of terminology that we need to learn in order to communicate with our colleagues. So in my cl asses I make sure all the students learn the terminology. If they need to write something I know they will use the right words. 10/8/2013 12:13 PM 4 I have 18 years of experience in professional journalism. The writing style in the course I teach aligns with the style of writing I honed in my journalism work. For this reason I was comfortable evaluating students' writing. If I were having to evaluate writing in another style (creative/fiction) I would be less c omfortable. For this specific course, it is essential that an instructor be skilled i n writing for professional audiences and oral engagement/delivery of the writi 10/7/2013 4:10 PM 5 Through workshoppi ng their screenplays and providing them written notes. 10/6/2013 6:48 PM 6 With examples mostly. My experience dictates what I need to bring to the cl assroom as far as what I 10/5/2013 11:14 AM 7 Decline to answer. 10/2/2013 4:34 PM 8 Mostly in the form of Creative brief writing, establishing strategies in written format, brainstorming and slogan building 9/22/2013 10:47 PM 9 Fashion writing is not as other fields, it requires very detailed sensibility to detail. Using proper professional terminology allows you to be very detailed and specific in the description of a garment and the proper trends. 9/16/2013 9:29 PM 10 I cite referenc es that I use myself. 9/16/2013 7:46 PM Q7 Who do you believe is primarily responsible for writing instruction at the university? Answ er Choices Responses English instructors 30% Writing center tutors 0% Instruc tors in the discipline 10% Both English and discipline-spec ific instructors 30% All of the above 30% Total 10
  • 156.
    146 Q8 From yourexperience in your QEP course at Miami International University of Art and Design, how could administrators further assist faculty in the QEP writing initiative? # Responses Date 1 It would be helpful if we has a meeting in which one essay was graded together with the QEP 10/15/2013 8:07 AM 2 I haven't taught a QEP course yet. 10/9/2013 10:50 AM 3 No comment 10/8/2013 12:13 PM 4 Class size is important. The only way to evaluate and provide quality feedbac k is by having students complete a significant amount of writing in the course. Large class sizes make this a prohibitive situation. Furthermore, faculty needs training beyond occasional meetings to talk about the QEP. Faculty training is crucial. 10/7/2013 4:10 PM 5 By helping professors evaluate writing more effectively. 10/6/2013 6:48 PM 6 I think having more tutors in the Learning Center and structured hours that we can send students on their own time would be better. 10/5/2013 11:14 AM 7 By taking ownership. Substanti al writing assignments (researc h papers) were al ready components of my studio classes well in advanc e of the QEP initiative's i nception, and I feel students understand the value in how their findings will i nform the design decisions they make throughout the quarter simply from my own interest in guiding the content and structure/grammar of these topical essays. The QEP diagnostics should be issued not by the course instructor but by QEP faculty to distinguish QEP tasks from those that contribute more directl y to the course (and its grade). The energy and enthusiasm with which students approac h their course-c ontributing writing assignments is drained by these di 10/2/2013 4:34 PM 8 It would be wonderful if English teachers would grade the essays 9/22/2013 10:47 PM 9 This is my first quarter as having a QEP class so i am still learning and observing how to take advantage of the class. I think the students are very eager to to improve their writing skills. Administrators can help proper this initiative to keep this interest alive 9/16/2013 9:29 PM 10 Review course materials for accuracy 9/16/2013 7:46 PM
  • 157.
    147 Q9 From thefollowing list, select at least four activities that you consider the most helpful to art and design faculty participating in a writing in the disciplines initiative? Answ er Choices Responses Pursuing formal education 40% Obtaining professional development in the area of student writing assessment 50% Attending academic conferenc es on topics related to writing and composition 40% Participating in mentoring, peer-to-peer 30% Co-teac hing discipline-spec ific courses with English faculty 60% Sharpening my writing skills using software or online tutorials 20% Attending face-to-fac e faculty writing workshops at the university 50% Increasing the amount of writing I do on my own time 60% Other (please specify) 30% Total Respondents: 10 Other: 1. Faculty should be encouraged to write for the field in which they teach. Faculty teaching a QEP course in Audio, ID, Fashion, etc. 31ould be making the effort to write in that field,either academically (research) or profes9onally (industry/consumer oriented work). This does not have to mean publi ffiing; it can also be writing for executing any professional transaction. Thisruggestion may be an ideal, but otherwise, I do not know what qualifies some instructors to evaluate the writing of students. 2 Very specific to me, I would like to take more creative writing courses and develop my own writing. 3 The more one reads, from discipline-specific industry publicationsto works from outs de the profes9onal realm (for diversty or diversion), the more one's familiarity with language and (by extension) writing ability will be developed. None of the above options acknowledges that the best writers read constantly but rarely-if-ever receive instruction on the craft.
  • 158.
  • 159.
    149 Classroom Observation Notesfor Nature of Assignment Participant Nature of the assignment: in-class, out of class/ research paper/critique/other OBV1 In class writing final exam-painting class. Critiquing Carvaggio: Conversion of St Paul. Image projected on slide. Response to Carvaggio film and "chiaroscuro." No MLA discussed. Was an in class writing. Length was three paragraphs. Introduction and conclusion may be a fourth paragraph. One hour timed writing. Visual image was stressed and thoroughly explained. Content was stressed over writing quality. Professor expected students to focus on the color of the painting and contextual representation. Professor uses grading rubric. OBV2 Out of class. Documentary project proposal. No MLA. Length one paragraph or more. Professor focused on specificity of writing. Interested in lifestyle of target group. OBV3 Out of class. Two research papers on the topic of electronic media and change through time. Students develop survey on evolution of audio and its impact on music creation process. No MLA. Length Double spaced. Two pages each. Research is important. Citations not mentioned. Content stressed. Professor explained what he wanted in the paper. Students need to analyze each interface and why it works in each specific situation-paper 2. Paper 1 is more of a historical piece for this beginning level class. Professor explained the purpose of assignment as important for QEP and also for students to understand better the audio industry. Listening to old records was suggested. OBV4 Out of class. Summary of chapter. No MLA. Length one to two pages. Critical thinking is essential. Professor specified how specific she wanted writing. Examples of what students felt was important in each chapter summary and analysis.
  • 160.
    150 OBV5 In classand out of class. Business class. Students work on resume portfolio and business etiquette for obtaining a job in the animation and film industries. Research to include nature of the company, job requirements, work company has done. Prepare attack plan. Yes. MLA and plagiarism discussed. Students told to submit original work. Specific places in script where things need to be, such as the catalyst, were discussed. Content stressed. Character development, setting and turning point. Pointers on what to do and what not to do were given to students. OBV6 In class and out of class. Business class. Students work on resume portfolio and business etiquette for obtaining a job in the animation and film industries. Research to include nature of the company, job requirements, work company has done. Prepare attack plan. No MLA mentioned, but no cut and paste stressed. Length is three paragraphs. Focus of writing should be to prepare for potential employment. Personal experience to students to show example of why they were doing project. She stressed importance of being ready for job interview. Importance was placed on purpose of assignment not really writing. Content over writing. Students are expected to submit assignments in a timely manner. Due dates were not specified. OBV7 Out of class. Research required. Concept statement and Boutique Hotel research project. Yes. MLA and plagiarism and citation format discussed in class. Length for concept statement was 150 words. Length of Boutique Hotel research 600 words with diagrams. Typed. Rubric was given to students as a guide for both assignments. Content over writing stressed. Professor showed four examples of what he wanted from students. Writing and content are merged. Professor mentioned writing center for assistance if needed. OBV8 Out if class. Visual journal. Yes. Students should refer to textbook for factual information and anatomy. Professor stressed critical thought. No grammar. Reflective writing pieces. OBV9 Out of class. Research paper. How historically fashion trends have evolved. No MLA. Length is Two to Three pages with cover sheet and citations. Professor focused on style site. Students will upload assignment. No assignments will be handed in. Reviewed due date and time. Content stressed.
  • 161.
    151 OBV10 Out ofclass. Semester writing project for Art Direction class. Student have to create story. In class assignment with research. Character narratives, synopses. Similar to a "pitch." Could also be a critique of student's own work on a job interview. Students recreate fairytales. Must use original source, not Disney version. Students must take original fairytale and recreate using manimals. No MLA discussed. Not an in-class assignment. Research is needed. Length is twenty pages and focus must be on three characters. Visual image stressed. Slideshow provided students with examples of fairytales that have been redone during modern times. Expectation is deadlines are met throughout the semester. Project narratives should not be done in one attempt. Revision process important.
  • 162.
    152 Classroom Observation Notesfor Professor Implementation of Writing Initiative Participant Professor implementation of writing initiative in the classroom OBV1 Visual image was stressed and thoroughly Content stressed. The professor told students the story of what the painting represented. Discusses picture and scale. Professor did stress the importance of being specific when writing, especially about color scheme and representation. Yes. Professor discusses why assignment is good for painting students. She explained how it ties into their major and course objectives. She discussed how writing assignments were relevant to course. Making the final an in-class writing shows integration of material. OBV2 Content over writing. Gave students ideas about how to produce and market their films. Yes. Field production is the course, so this meets course requirements perfectly. OBV3 Content was stressed over writing per se. Professor focused on how students should place emphasis on their research on cost effectiveness, pricing, and relationships in the industry. Yes. Professor has diagnostic writings in class for students to understand key terms and topics covered. OBV4 Both content and writing were stressed. Professor wants students to state facts in their summaries. Not grading grammar, but would like summaries to be focused. Yes. Each summary is review of a chapter needed for class, Design History. OBV5 Both content and writing were stressed. Writing is the actual product submitted-script. Yes, thesis script is the course project. OBV6 Content over writing. Yes. Research exercise will be used for midterm mock interviews conducted by Career Services OBV7 Balance between writing and content. Yes. Research is an integral part of Commercial IV course objectives. OBV8 Both content and writing discussed. Professor explained important connection between artist writing and art work. Yes. This will prepare students for artist statement for professional work. Drawing class.
  • 163.
    153 OBV9 Content andwriting equally stressed. Writing format--cover sheet. Yes. Course ties into other fashion courses. OBV10 Content stressed. The professor told students the story of what the painting represented. Discusses picture and scale. Professor did stress the importance of being specific when writing, especially about color scheme and representation. Yes. Professor discusses why assignment is good for painting students. She explained how it ties into their major and course objectives. She discussed how writing assignments were relevant to course. Making the final an in-class writing shows integration of material.
  • 164.
  • 165.
    155 Word Frequency Chartfor Observation Data Word Frequency Chart for Survey Data
  • 166.
    156 Word Tree forSurvey Data