Vol. 1, Issue 1
                      AfDB                           Aging Population Challenges in Africa
                                                                   Alice Nabalambaa and Mulle Chikokob
November 2011         Chief Economist Complex


                  Content
       Abstract                         Abstract                                                 leading to even greater vulner-
                                                                                                 ability to poverty. Aging, how-
  1. Background                         This brief describes trends in                           ever, is not visible in most poli-
                                        population aging in Africa rela-                         cy dialogue, and so tends to be
  2. Africa: demographic                tive to those in economically                            deprioritized in terms of budg-
     trends                             advanced countries. It high-                             etary allocations, thereby in-
                                        lights the key drivers of the                            creasing the vulnerability and
  3. Country-specific demo-             phenomenon, both globally and                            marginalization of older Afri-
     graphic trends                     in the African context more                              cans. Unlike children, youth,
                                        specifically. The brief also ana-                        and women who are given a
  4. The drivers of population          lyzes country-specific trends                            high profile in the MDGs agen-
     aging in Africa                    and demonstrates the reasons                             da, for example the elderly tend
                                        why the proportion of popula-                            not to be targeted as a specific
  5. Why we should be con-              tion 65 years and older is grow-                         group in terms of poverty re-
     cerned about an aging              ing in many countries across                             duction policies. However, cor-
     population in Africa               the continent. Aging is highly                           rectly managed and with the
                                        correlated with long-term phys-                          appropriate level of healthcare
  6. Conclusions and policy             ical and mental disability, and                          provision and social protection
     implications                       a number of long term chronic                            programs population aging can
                                        conditions and will likely in-                           present an unprecedented op-
                                        crease personal care require-                            portunity for older citizens to
                                        ments. Furthermore, most soci-                           enjoy a full and active life, far
                                        oeconomic indicators for the                             beyond the expectations of pre-
                                        elderly in Africa are low, and in                        vious generations. Policymak-
                                        many countries poverty rates                             ers will need to take full ac-
   Mthuli Ncube                         among the elderly are signifi-                           count of the phenomenon, to
   m.ncube@afdb.org                     cantly higher than the national                          safe-guard family and commu-
   +216 7110 2062                       average. In countries with a                             nity resources and to put in
                                        high prevalence of HIV/AIDS,                             place robust public pension,
   Charles Leyeka Lufumpa               many households are increas-                             insurance and healthcare sys-
   c.lufumpa@afdb.org                   ingly headed by the elderly
   +216 7110 2175
                                                                                                 tems.

   Désiré Vencatachellum
   d.vencatachellum@afdb.org
   +216 7110 2205
                                         a Alice Nabalamba, Principal Statistician, Statistics Department (ESTA),   a.nabalamba@afdb.org
   Victor Murinde                        b Mulle Chikoko, Principal Social Protection Officer, Human Development Department (OSHD),
   v.murinde@afdb.org                    m.chikoko@afdb.org
   +216 7110 2072
                                         Reviewers: Barbara Barungi, Lead Economist OSFU; Peter Ondiege, Chief Research Economist,
                                         EDRE; Ruth Karimi Charo, Social Development Specialist, KEFO; Barfour Osei, Chief Research Econ-
                                         omist, EDRE; Tavengwa Nhongo, Africa Platform for Social Protection, Nairobi, Kenya.

                                         The findings of this brief reflect opinions of the authors and not those of the African Development
                                         Bank, its Board of Directors or the countries they represent.




                                      African Development Bank
AfDB                    [AGING POPULATION CHALLENGES IN AFRICA]



1.       Background                      youth population (0 to 15             safety nets, increased prev-
                                         years) and senior popula-             alence of poverty, particu-
As of 2010, 36 million                   tion (65 or older) to the             larly among elderly headed
elderly               people             working-age       population          households, and a shrink-
aged 65 years and over                   (16 to 64 years). It is ex-           ing cohort of caregivers in
accounted for 3.6% of Af-                pressed as the number of              countries ravaged by the
rica’s population, up from               “dependents” for every 100            HIV/AIDS           epidemic.
3.3% ten years earlier. In               “workers.” The senior de-             Linked to the HIV/AIDS
1980, 3.1% of the popula-                mographic        dependency           epidemic are the changing
tion was elderly aged 65                 ratio is the ratio of seniors         family structures where
and above, and there has                 to the working-age popu-              older parents are increas-
been a steady increase dur-              lation.2                              ingly caring for grandchil-
ing the last forty years.                                                      dren left behind by victims
Population aging1 in Africa              Africa’s population is ag-            of HIV/AIDS. More than
is expected to accelerate                ing simultaneously with its           50 percent of the orphans
between 2010 and 2030, as                unprecedented growth of               in Africa currently live
more people reach age 65.                the youth population and              with their grandparents
Projections show that the                its related challenges. The           with limited resources and
elderly could account for                aging population in Africa            unstable incomes to sup-
4.5% of the population by                faces a different set of              port    their    households
2030 and nearly 10% of                   challenges. Aging is highly           (UNICEF, 2003).
the population by 2050                   linked with long-term
(UN DESA, 2011.) In                      physical and mental disa-             Global Aging Trends:
many countries in Africa,                bility and a number of
the proportion of older                  long-term chronic condi-              In many developed coun-
persons will be close to                 tions and will likely in-             tries, the aging demo-
that of industrialized coun-             crease personal care needs.           graphic transition is al-
tries by 2030 and 2050.                  Yet, much of Africa faces             ready taking shape as the
                                         weak health care systems              average age of populations
One important conse-                     to adequately address these           continues to rise, as a di-
quence of an aging popu-                 emerging health problems              rect consequence of the
lation is the shift in the               among the elderly. As well,           postwar II “baby boom”
demographic dependency                   much of the region is faced           (Anderson and Hussey,
ratio. The total demo-                   with a lack of viable social          2000). Fertility rates have
graphic dependency ratio is                                                    declined below the re-
the ratio of the combined                2
                                                                               placement rate of 2.1 in
                                           The demographic dependency
                                                                               many industrialized coun-
                                         ratio is based on age rather than
                                         employment status. It does not        tries. Similarly, the average
1                                                                              life expectancy at birth
   Population aging is described         account for young people or
as the rise in the median age of a       seniors who are working, nor for      continues to rise. In OECD
population resulting in a shift in       working-age people who are            countries, for example, the
the age structure of that popula-        unemployed or not in the labor
                                                                               average life expectancy in
tion. It is the consequence of a         force. It merely reflects popula-
number of factors, including             tion age structure and is not         2007 was 79.1 years, up by
declining fertility rates, de-           meant to diminish the contribu-       10.6 years since 1960
creased premature deaths, and            tions made by people classified       (OECD 2010).
prolonged life expectancies.             as “dependents.”


                                                        2


                                 African Development Bank
AfDB                 [AGING POPULATION CHALLENGES IN AFRICA]


The UN medium-scenario             lights gender differences in             years for men. By 2010,
projections indicate that          the changing population                  this had risen to 57.1 years
fertility rates will remain        structure. Section four ad-              for women and to 54.8
below the replacement rate         dresses the drivers of pop-              years for men (Figure 1).
through to 2020 for most           ulation aging in Africa.
of the industrialized coun-        Section five demonstrates                Healthy life expectancy –
tries. At the same time, the       why we should be con-                    defined as life expectancy
proportion of persons aged         cerned about an aging pop-               weighted at each age to
65 years and older will            ulation in Africa, high-                 account for levels of health
increase rapidly over the          lighting many health and                 status over the life course –
next few decades, to reach         socio-economic challenges                although lower at 39.5
upwards of a quarter of the        faced by Africa’s older                  years for Africa as a whole
population in most coun-           population. The brief con-               in 2000, had increased to
tries. By comparison, only         cludes with some broad                   42.7 years by 2002 and to
10–14% of the population           policy implications to                   48.9 years by 2007.
was 65 years or older at the       guide policy makers and
turn of the century in most        development partners in                  Similar to developed coun-
industrialized     countries       general, on how to address               tries, the life expectancy
(UN DESA, 2011).                   emerging challenges re-                  figures indicate that Africa
                                   lated to population aging.               is also witnessing a shift in
The purpose of this brief is                                                the population structure. In
to (a) highlight the chang-                                                 1980, 3.1% of Africa’s
ing demographics on the            2.   Africa: demo-                       population was aged 65
African continent; and (b)         graphic trends                           and older, but this had ris-
to demonstrate the chal-                                                    en slightly to 3.5% by
lenges of an aging popula-         In contrast to industrialized            2010. Women aged 65
tion and the major issues          countries, in developing                 years and older represented
that need to be addressed.         countries,       particularly            3.4–3.9% of the total fe-
                                   those in Africa, life ex-                male population between
The brief is organized in          pectancy at birth has re-                1980 and 2010. Men in this
six sections. The first sec-       mained relatively low for                age group represented 2.8–
tion introduces trends of          both men and women. In                   3.2% of the male total
population aging in Africa         1990, Africa’s average life              population during the same
relative to those in eco-          expectancy at birth was                  period (Figure 2).
nomically advanced coun-           52.7 years, although it in-
tries. Section two analyzes        creased steadily to 56.0
Africa specific demo-              years until 2010 (AfDB’s
graphic trends and demon-          Data Portal, 2011)3. In
strates the reasons why the        1990, women’s life expec-
proportion of population           tancy at birth was 54.3
65 years and older is grow-        years compared to 51.1
ing in many countries
across the continent. In the       3
                                     Statistics presented in this brief
third section, the brief fo-       have been sourced from ESTA’s
cuses on country-specific          Social and Economic Statistics
trends over time and high-         database, unless otherwise attributed.



                                                    3


                           African Development Bank
AfDB                             [AGING POPULATION CHALLENGES IN AFRICA]




Figure 1: Life expectancy at birth in Africa, 1990–2010

             Life expectancy at birth in years
              60
                                                                                                           57
              57                                                                                                56
                            54                                                                        55
              54                 53
                       51
              51

              48

              45
                        1990                 1994          1998            2002           2006         2010

                                                    Male          Female          Total

Source: AfDB, Social and Economic Statistics Database (2011).



Figure 2: Proportion of men and women aged 65 and above in Africa, 1980–2010


                   % population aged 65+
                   5

                                                                                                3.9
                   4
                                      3.4
                                                                                          3.2
                             2.8
                   3

                   2

                   1

                   0
                                  1980                1990                 2000              2010

                                                    Male          Female          Total



Sources: UN DESA (2011); AfDB, Social and Economic Statistics Databases (2011).




                                                                  4


                                      African Development Bank
AfDB                                      [AGING POPULATION CHALLENGES IN AFRICA]



3.     Country-spe-                                              Tunisia (4.6%). By 2010,                                                         years and older declined in
                                                                 Tunisia had surpassed all                                                        Gabon, São Tomé and
cific demographic                                                other countries as the coun-                                                     Príncipe, and Equatorial
trends                                                           try with the highest propor-                                                     Guinea, while it remained
                                                                 tion of elderly population                                                       unchanged in the Central
An examination of the de-                                        (7.3%), followed closely                                                         African Republic over the
mographic trends at the                                          by Mauritius at 6.9%. The                                                        20-year period. The rea-
country level reveals some                                       elderly population of these                                                      sons for the decline in the
interesting patterns (Figure                                     two countries nearly dou-                                                        former three countries are
3). Between 1990 and                                             bled over the 20-year peri-                                                      not very clear. Paradoxi-
2010, nearly one-third of                                        od. Other countries such as                                                      cally, these three countries
the countries (16 out of a                                       Libya, Botswana, and                                                             are among those with the
total of 53) recorded that at                                    South Africa witnessed a                                                         highest GDP per capita in
least 4% of their popula-                                        similar phenomenon.                                                              Africa, so one might have
tions was aged 65 or                                                                                                                              expected the improved
above. In 1990, Gabon had                                        There are marked varia-                                                          living standards to lead to
the largest elderly popula-                                      tions among African coun-                                                        an increase in life expec-
tion (5.6%), followed by                                         tries though. The propor-                                                        tancy.
Cape Verde (4.8%) and                                            tion of population aged 65

Figure 3: African countries with over 4% of their population aged 65 years and over, 1990–2010

 %
     8

     7

     6                                                                                    5.6

     5                                                                                                                                                           4.4                                     4.5
                                                                                             4.3
                                                                                                                                                                   3.9
     4
                                                                                                                                                                                                                2.9
     3

     2

     1

     0
                                                                                                       Libya
                                            Morocco



                                                               South Africa




                                                                                                               Lesotho
                                                                                Algeria




                                                                                                                         Zimbabwe




                                                                                                                                                                                        Congo Republic
         Tunisia

                   Mauritius

                               Cape Verde




                                                                                                                                    Botswana
                                                       Egypt




                                                                                           Gabon




                                                                                                                                                                                                         Equatorial Guinea
                                                                                                                                               Central African


                                                                                                                                                                  Sao Tome & Principe
                                                                                                                                                 Republic




                                            1990                              2010

Sources: UN DESA (2011); AfDB, Social and Economic Statistics Databases (2011).


                                                                                                   5


                                                      African Development Bank
AfDB                   [AGING POPULATION CHALLENGES IN AFRICA]


The gender dimension                        4% of their total population                                elevated female mortality
                                            (Figure 5) than there were                                  in low-income countries.
While the ratio of males to                 in 1990. The growth in the                                  This is largely attributable
females is about 50:50 up                   elderly female population                                   to high rates of maternal
until the age of 64, it                     over this time frame ranged                                 mortality, especially in
quickly changes after this                  from 1.2% in Algeria to                                     Sub-Saharan Africa. This
age, with women outliving                   3% in Tunisia. This repre-                                  is exacerbated by inade-
men (Figure 4). Among                       sents an increase of                                        quate access to healthcare
those aged 65 and older,                    404,000 and 207,000 fe-                                     in many countries in Sub-
there were 25% more                         males aged 65 or older in                                   Saharan Africa, and to low
women than men in 2010.                     Algeria and Tunisia re-                                     investments in the health
This pattern is consistent                  spectively. However, Ga-                                    sector. These weaknesses
with demographic changes                    bon, São Tomé and Prín-                                     in the system mean that
elsewhere in the world.                     cipe, and Congo Republic                                    fewer women live to reach
                                            experienced a decline over                                  the age of 65 than might
In 2010 there were 17                       the 20-year period. Evi-                                    otherwise be the case
more African countries                      dence emerging from re-                                     (World     Bank,      2011).
with an elderly female                      cent gender equality stud-
population that exceeded                    ies points to a persistently

Figure 4: Africa’s population of men and women by age group, 2010 (millions)

        65+                                     million 16                      20 million
      60-64                                                    9           10
      55-59                                                   12           13
      50-54                                               15                16
      45-49                                               18                    19
      40-44                                              22                     22
      35-39                                          28                              27
      30-34                                         34                                 34
      25-29                                    42                                         41
      20-24                                    48                                             48
      15-19                               54                                                   53
      10-14                            60                                                          59
        5-9                          68                                                             67
        0-4                     78                                                                       76

              150         100                   50                     0                  50                  100         150

                                                          Male                       Female


Sources: UN DESA (2011); AfDB, Social and Economic Statistics Databases (2011).


                                                                   6


                             African Development Bank
AfDB                                           [AGING POPULATION CHALLENGES IN AFRICA]




Figure 5: African countries with at least 4% elderly (65 and older) female population, 1990 and 2010

         %

         12

         10

          8

          6

          4

          2

          0
                                                                                    Algeria
                                                  Morocco
                           Tunisia




                                                             South Africa




                                                                                              Lesotho




                                                                                                                                                                                                                    Congo Republic
                                                                                                                                                                                                            Ghana
               Mauritius



                                     Cape Verde




                                                                                                                Botswana

                                                                                                                           Zimbabwe
                                                                                                        Gabon




                                                                                                                                                                                                  Namibia
                                                                            Egypt




                                                                                                                                               Central African Republic

                                                                                                                                                                          Sao Tome and Principe
                                                                                                                                      Libyan


                                     1990                                    2010


Source: AfDB, Social and Economic Statistics Databases.


Figure 6 shows that far                                                     (4.1%). By 2000, the num-                                                                             Gabon also witnessed a
fewer countries have a                                                      ber had nearly doubled                                                                                decrease in its male elderly
male elderly population                                                     with the addition of Mau-                                                                             population from 5.1% in
exceeding 4% of their total                                                 ritius, Morocco, and Egypt                                                                            1990 to 4.0% in 2010. Tu-
populations, compared to                                                    and this increased to a total                                                                         nisia, Mauritius, and Mo-
their elderly female popu-                                                  of nine countries by 2010.                                                                            rocco recorded the highest
lations. By 1990, only four                                                 The new additions were                                                                                increases in the proportion
countries had a male el-                                                    Libya, Algeria, and Côte                                                                              of elderly male population
derly population of 4% or                                                   d’Ivoire. However, São                                                                                between 1990 and 2010,
greater, namely Gabon                                                       Tomé and Príncipe’s male                                                                              while Côte d’Ivoire and
(5.1%), Tunisia (4.8%),                                                     elderly population dropped                                                                            Libya also made good pro-
Cape Verde (4.4%), and                                                      from 4.1% in 1990 and                                                                                 gress over the 20-year pe-
São Tomé and Príncipe                                                       2000, to 3.4% by 2010.                                                                                riod.




                                                                                                        7


                                                  African Development Bank
AfDB                                     [AGING POPULATION CHALLENGES IN AFRICA]


Figure 6: African countries with at least 4% elderly (aged 65 years and over) male population,
          1990–2010

      %
       7
        6
        5
        4
        3
        2
        1
        0
                        Cape Verde




                                                                              Libya


                                                                                      Mauritius
              Algeria




                                                          Egypt




                                                                                                    Morocco




                                                                                                                                               Africa
                                     Côte d'Ivoire




                                                                                                                                     Tunisia
                                                                  Gabon




                                                                                                               Sao Tome & Principe
                                                         1990             2000                    2010

   Source: AfDB, Social and Economic Statistics Databases.


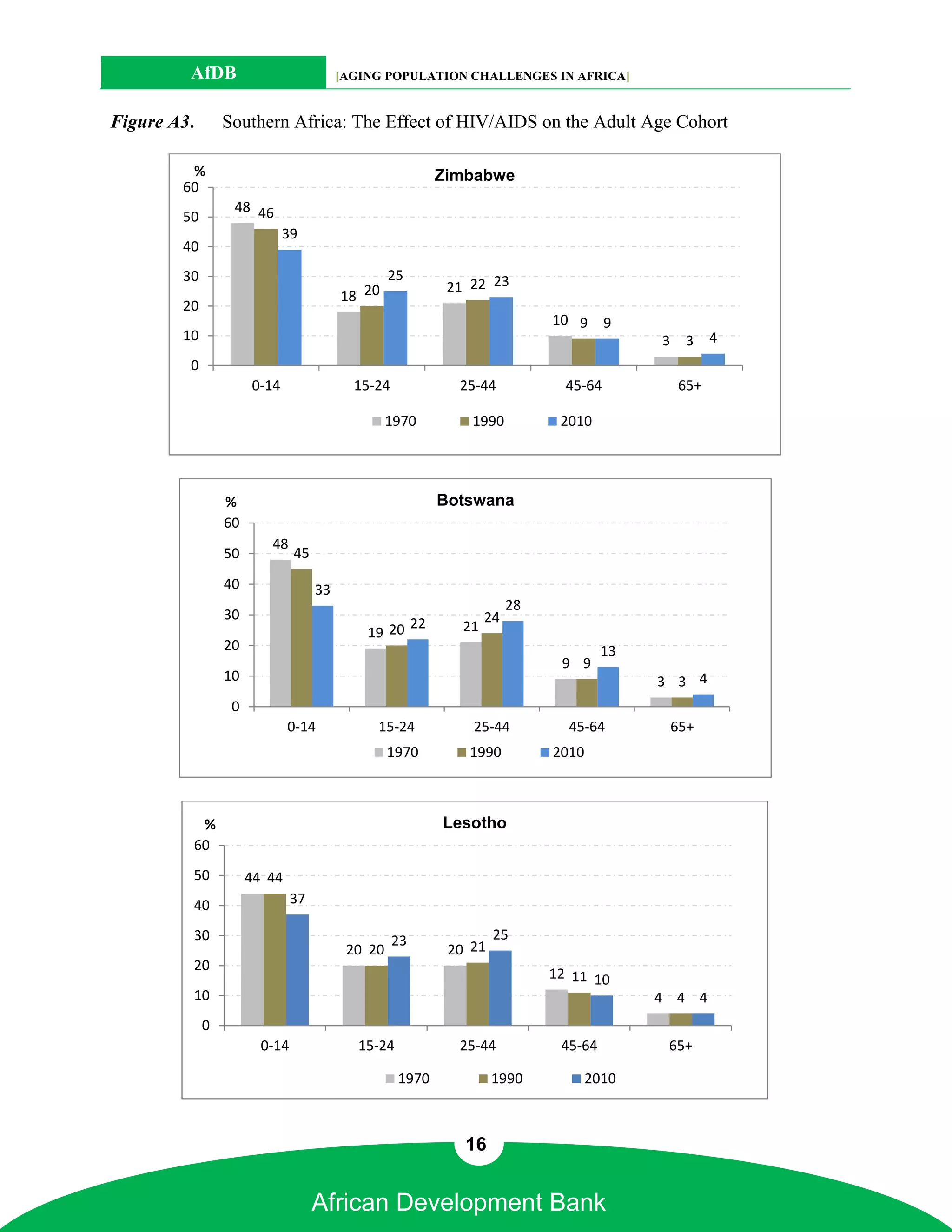
4.   The drivers of                                      The rise in the elderly pop-                         proportion of the national
                                                         ulation in many of these                             population can be at-
population aging in                                      countries corresponds to a                           tributed to a shrinking
Africa                                                   sharp decline in the fertility                       adult age cohort due to a
                                                         rates compared to the rest                           high prevalence of HIV-
Overall, it has been the                                 of Africa over a 40-year                             AIDS, linked to the fact
middle-income countries –                                period (Table 1). Likewise,                          that HIV-AIDS is concen-
such as Mauritius, Tunisia,                              many of these countries                              trated in the younger pop-
Morocco, Algeria, Egypt,                                 have made remarkable                                 ulation. In fact while fer-
and South Africa – which                                 strides in improving health                          tility rates have dropped
have witnessed the greatest                              care delivery systems, re-                           substantially, the life ex-
increase in population ag-                               ducing child mortality and                           pectancy of all five coun-
ing. These countries’ pop-                               as a result are experiencing                         tries has declined over the
ulations aged 65 years and                               improved life expectancy                             20 year period (Tables 1
older range between 4.5%                                 at birth and healthy life                            and 2). Similarly, the adult
and 7.3% of the total pop-                               expectancy (Table 2).                                age cohort has either expe-
ulation. Other countries                                 However, for countries                               rienced stagnant or nega-
such as Libya, Botswana,                                 such as South Africa, Bot-                           tive growth (Figure A3)
Zimbabwe, and Djibouti                                   swana, Lesotho, Zimbabwe                             when compared to coun-
have also witnessed a sig-                               and Swaziland, the in-                               tries such as Mauritius and
nificant increase in their                               crease in the size of the                            Tunisia       where      the
elderly population.                                      elderly population as a


                                                                          8


                                     African Development Bank
AfDB                [AGING POPULATION CHALLENGES IN AFRICA]


same age cohort has grown from 20-32% and 10-24% among 25-44 and 45-64 year olds respec-
tively (Figure A4).

Table 1: Fertility rates for selected African countries, 1980–2010
                                                1980            1990           2010
          AFRICA, average                -               5.30             4.40
          Mauritius                      2.76            2.23             1.80
          Tunisia                        5.33            3.63             1.83
          Morocco                        5.65            4.03             2.31
          Cape Verde                     6.44            5.31             2.61
          Lesotho                        5.59            4.92             3.20
          Algeria                        6.91            4.71             2.32
          Egypt                          5.61            4.56             2.77
          Gabon                          5.17            5.18             3.17
          South Africa                   4.79            3.66             2.48
          Libya                          7.38            4.81             2.59
          Botswana                       6.22            4.70             2.78
          Zimbabwe                       7.10            5.19             3.29
          Seychelles                     nd              nd               2.30*
Source: AfDB, Social and Economic Databases.
Notes: *Estimate is for 2008.
       nd: Data not available

Table 2: Life expectancy at birth, total and disaggregated by gender, for selected African coun-
tries, 1980 and 2010
                                                Life Expectancy at Birth
                                  Total                  Men                 Women
                           1980      2010         1980       2010       1980    2010

       AFRICA, average     50.1       55.7        51.1      54.5        48.5      56.8
       Libya               67.8       74.3        65.8      72.0        70.5      77.2
       Tunisia             68.6       74.2        66.9      72.1        70.6      76.3
       Algeria             67.0       72.7        65.9      71.2        68.3      74.1
       Mauritius           69.2       72.1        65.5      68.5        72.9      75.8
       Morocco             64.1       71.6        62.3      69.4        66.1      73.9
       Egypt               62.9       70.3        61.6      68.6        64.3      72.2
       Botswana            64.2       55.1        61.9      55.1        66.4      54.8
       South Africa        61.4       51.7        57.8      50.3        65.2      53.1
       Lesotho             59.3       45.6        57.4      45.0        61.0      45.7
       Swaziland           60.5       46.4        58.3      47.1        62.6      45.5
       Zimbabwe            60.8       45.7        57.5      45.3        64.3      45.6
       Source: AfDB, Social and Economic Databases (2011).


                                                 9


                           African Development Bank
AfDB                 [AGING POPULATION CHALLENGES IN AFRICA]




5.    Why we                        cent show that the preva-             implications,     principally
                                    lence of chronic conditions           that the burden of care is
should be concerned                 such as angina, osteo-ar-             increasingly being shifted
about an aging pop-                 thritis and diabetes is not           to those least able to afford
ulation in Africa                   only on the rise, but more            it. A study of 15 countries
                                    than twice as high among              in Africa showed that large
Population aging is highly          elderly population aged 60            proportions of the lower-
correlated with physical            and above compared to                 income populations resort
and mental disability and           those under 60 years (Fig-            to borrowing and selling
an increase in the preva-           ure A5).                              assets to cope with high
lence of a number of long-                                                healthcare      expenditures
term chronic conditions. In         The management of long-               (Leive and Xu, 2008). This
2006, the World Health              term chronic conditions               practice drives many fami-
Organization (WHO) pro-             and related disabilities re-          lies into even deeper pov-
jected that diseases associ-        quires    a    considerable           erty and poorer health.
ated with aging such as             amount of resources – both
Parkinson’s disease, Alz-           human and financial –                 An even bigger challenge
heimer’s and other forms            from governments, com-                for Africa is the decline of
of dementia, accounted for          munities, and families. Yet           informal systems of social
6.3% of disability-adjusted         in much of Africa, gov-               protection in the form of
life years. This is signifi-        ernments still spend far              cash and support from both
cantly higher than the con-         less    per    capita    on           extended family and com-
tribution to disability-ad-         healthcare in general, let            munity sources. An addi-
justed life years globally of       alone social protection,              tional challenge is the
HIV/AIDS (5.5%), all can-           than is the case in most              change in family structures
cers (5.3%), heart disease          developed countries. Few              and shrinking social sup-
(4.2%) and respiratory dis-         African countries have                port networks. Tradition-
eases (4.0%). Alzheimer’s           public pension programs or            ally, the informal social
and other forms of demen-           formal systems for caring             protection has been effec-
tia alone account for 12%           for older persons; indeed,            tive for generations in
of the burden of neurologi-         most rely on traditional              providing a major share of
cal disorders. More recent          family structures. For ex-            support to the elderly par-
studies suggest that these          ample, in 2005, govern-               ents and the most vulnera-
conditions are on the rise          ments in 48 of the 53 Afri-           ble. With increasing ur-
due to an aging population.         can countries spent US$               banization, and the ravages
More alarming is the evi-           25.7 per capita on health             of HIV/AIDS, this support
dence suggesting that these         on households, while pri-             network is increasingly
conditions will increase            vate households spent                 being dismantled. In fact in
more rapidly in developing          more than twice that                  some societies, particularly
countries than in developed         amount (US$ 58.2) per                 those experiencing the
countries.                          capita (ICP-Africa data,              HIV/AIDS epidemic, the
                                    2005). Such a high dispar-            roles have been reversed.
Data from six countries             ity in healthcare expendi-            On the one hand, older
with an elderly population          ture between governments              parents are increasingly
equal or exceeding 4 per-           and households has several            caring for grandchildren


                                                 10


                            African Development Bank
AfDB                  [AGING POPULATION CHALLENGES IN AFRICA]


left behind by victims of            such as: (i) rapid popula-            security of formal sector,
HIV/AIDS. For example,               tion growth, evidencing in            wage-dependent markets.
more than 60% of orphans             high youth populations and
in South Africa, Zimba-              high unemployment; (ii)               Economic indicators for
bwe, and Namibia – and               high infant and child mor-            the elderly show that
50% in Botswana, Malawi              tality rates, (iii) excessive         households headed by old-
and Tanzania – live with             urban expansion; and (iv)             er persons are among the
their           grandparents         high maternal mortality               poorest. For example, in
(UNICEF, 2003). On the               rates, etc. This has resulted         Kenya       and    Tanzania,
other hand, the rise in              in governments and socie-             households headed by old-
HIV/AIDS death rates has             ties de-prioritizing older            er people have a poverty
led to a rapidly increasing          people in favor of other,             rate that is over 20% high-
new category of neglected            often more vocal age                  er than the national aver-
elderly individuals or older         groups. Governments’ de-              age. In Sierra Leone and
adults living alone, without         velopment priorities are              Uganda, the poverty rate of
the benefit of any caregiv-          tending to favor expendi-             these households is 8% and
ers.                                 tures that invest in the              5% higher than the national
                                     long-term productive po-              average (Kakwani & Sub-
Despite these serious de-            tential of the young. In              barao, 2005; HelpAge,
mographic shifts, aging is           recent years, we have seen            2011). Poverty in old age
not visible in most policy           governments focusing on               often reflects poorer eco-
dialogue. The invisibility           the youth because of high             nomic status earlier in life
of vulnerable older people           levels of unemployment                and has the potential to be
in major policy documents            among this age group and              transmitted to the next
is reinforced by their in-           their potential to create             generations if effective
visibility in most national          social and political unrest           interventions are not ap-
development plans. While             if their demands and life             plied.
the MDGs provide specific            chances are not fulfilled.
targets for children, youth          Thus countries accord low             6.    Conclusions
and women, they do not               priority in their national
refer to older people as a           development policies and              and policy implica-
specific group. As a result,         programs to the aging pop-            tions
older people are less likely         ulations.
to benefit from targeted                                                   This brief has discussed the
development support. Lack            The continent is not well             problems of an aging pop-
of recognition of aging              prepared for a major in-              ulation and the major is-
even in the MDG agenda,              crease in its aging popula-           sues that need to be ad-
which is the overarching             tion. For example, contrib-           dressed. There is a need for
framework for interna-               utory pension schemes                 governments, development
tional development priori-           cover very few people due             partners, communities, and
ties, contributes to this lack       to the informality of most            families themselves to be
of attention.                        livelihood activities and             aware of the problem and
                                     employment. Most socie-               to collaboratively work out
The African continent has            ties are predominantly ru-            a way of tackling the needs
other urgent and pressing            ral and much of the popu-             of this growing segment of
demographic     problems             lation operates outside the           the population. Some broad


                                                  11


                             African Development Bank
AfDB                 [AGING POPULATION CHALLENGES IN AFRICA]


proposals for governments           social protection that cater          free and subsidized health
and health services in par-         to the specific needs of              services, medication and
ticular are outlined below          older people. However,                longer-term         healthcare
to be included in policy            South Africa, Mauritius,              facilities for the elderly.
discussions. Development            Lesotho, Botswana, Cape
partners can also assist            Verde, and Namibia have               Community and family
through research and tar-           introduced non-contribu-              care.
geted support.                      tory social pension pro-              Family and community
                                    grams for the elderly.                will remain the basic re-
Budgetary         provisions.                                             source for the older per-
Governments should pay              National old-age pension              sons in the absence of pub-
greater attention to issues         schemes will need to ex-              licly funded social security
of aging. There is an urgent        tend coverage and also                schemes. There is need to
need to develop and im-             consider contributory pen-            support and promote com-
plement coordinated na-             sion plans for those who              munity-based care in order
tional policies for this age        are working now, in a bid             to ensure that better ser-
cohort and to mainstream            to alleviate old age pov-             vices are provided to the
aging issues in national            erty, guarantee a minimum             aging population. The in-
development frameworks              income for older people,              formal systems of social
and poverty reduction               and prevent the intergener-           protection through extend-
strategies. This is in order        ational transmission of               ed family and community
to address the socioeco-            poverty. The majority of              support will continue to be
nomic needs and rights of           Africa’s population is self-          a viable option for short to
older people and improve            employed and works in the             medium term. Therefore
their well-being. One re-           informal and agriculture              improved        employment
quirement is to make ade-           sectors. This sector does             opportunities to induce
quate provision in national         not offer much in terms of            younger people to remain
budgets for the provision           social security and protec-           in rural homes could bene-
of social services for the          tion, including for old age.          fit the elderly both eco-
elderly. The focus should           Therefore, public–private             nomically and socially and
be on the provision of shel-        partnerships (PPPs) should            would facilitate adequate
ter, healthcare, food securi-       be explored as a way of               support and care for the
ty, nutrition, and social           promoting and expanding               elderly. Strengthening the
security schemes, among             contributory        pension           resources of women, who
others.                             schemes.                              are the traditional caregiv-
                                                                          ers, would benefit all fami-
Scaling up social protec-           Targeted        healthcare.           ly members, including the
tion schemes.                       Healthcare systems will               elderly. This would expand
Most African countries              need to be responsive to              the impact of existing self-
will need to develop and            the needs and demands of              help and mutual aid
improve the coverage of             an aging population, in-              groups. Therefore policies
comprehensive social pro-           cluding the greater access            should also aim at im-
tection systems for their           to specialist services and            proving the situation of
senior citizens. The major-         treatments. In particular,            rural communities, and
ity of African countries do         governments need to con-              specifically target women
not have formal systems of          sider introducing access to


                                                 12


                            African Development Bank
AfDB                 [AGING POPULATION CHALLENGES IN AFRICA]


who make up the majority             tion of statistics pertaining        World Bank, Washington,
of the elderly population.           to aging trends to better            DC.
                                     inform policy decisions;
The role of statistics: scal-              Provide leadership            Kalasa, B. (2001). “Popu-
ing-up the availability of           in the analysis of emerg-            lation and aging in Africa: a
age-disaggregated data.                                                   policy dilemma?” Paper
                                     ing issues around popula-
                                                                          presented at the Interna-
                                     tion aging;
                                                                          tional Scientific Study of
Governments       need   to                Enhance policy ad-            Population’s XXIV General
strengthen their national            vice and support for coor-           Population Conference, held
statistical systems and to           dinated long term solu-              in August 2001 in Brazil.
collect age-disaggregated            tions to promote social
data for all relevant sec-           protection programs that             Kidd, S. and E. Whitehouse
tors. This will allow gov-           include the critical needs           (2009). “Pensions and old
ernments to monitor pro-             of the elderly.                      age    poverty,”   in    R.
gress, for example, in re-                                                Holzmann, D. Robalino, and
ducing old-age poverty and          References:                           N. Takayama (eds.), Closing
in tracking how health                                                    the Gender Gap: The Role of
funds are being expended                                                  Social Pensions. Washing-
                                    African Development Bank
for this age group. Such                                                  ton, DC: World Bank.
                                    Group, Data Portal (ac-
data should be made read-           cessed May 2011).
ily available to policymak-                                               Leive, A. and K. Xu (2008).
                                                                          “Coping with out-of-pocket
ers and other data users,           Anderson, G.F. and P.S. Hus-
                                                                          health payments: empirical
including       development         sey (2000). “Population
                                                                          evidence from 15 African
partners. Further research          Aging: A comparison among
                                                                          countries. Bulletin of the
is needed to build the evi-         industrialized    countries.”
                                                                          World Health Organization,
dence base on aging to              Health Affairs, vol. 19, no. 3,
                                                                          86 (11).
inform policy-making and            pp. 191–203.
programming within a spe-                                                 OECD      (2010).    OECD
                                    Cordaid/HelpAge        Inter-
cific     country context.                                                Factbook: Economic, En-
                                    national. (2011). A Study of
Countries should examine                                                  vironmental and Social Sta-
                                    Older People’s Livelihoods in
the economic and social                                                   tistics. OECD Publishing.
                                    Ethiopia. London and The
implications of population                                                Accessed online October 14,
                                    Hague: HelpAge and Cor-
and demographic changes                                                   2011.
                                    daid.    Report     available
and how these relate to             online                    at:
                                                                          Salomon, J.A. and C.J.L. Mur-
development concerns.               www.helpage.org/downloa
                                                                          ray (2000). “The epi-
                                    d/4d9aeec5f28b8
                                                                          demiological      transition
Development partners such                                                 revisited: new composi-
as the AfDB can play a              HelpAge       International.
                                                                          tional models for causes of
supportive role in several          (2011). Aging in Africa, vol.
                                                                          death by age and sex”. Part
respects:                           36.
                                                                          of the working paper series:
                                                                          The Global Burden of Dis-
                                    Kawani Narak and Kala-
       Help to build the                                                 ease 2000 in Aging Popula-
                                    nidhi Subbarao (2005),
statistical capacity of re-                                               tions. Research Paper No.
                                    Aging and Poverty in Africa
gional member countries                                                   01.17. Harvard Burden of
                                    and the Role of Social Pen-
(RMCs) to undertake the                                                   Disease Unit. Cambridge,
                                    sions, Social Protection Dis-
collection and dissemina-                                                 MA: Harvard Center for
                                    cussion Paper Series. The

                                                 13


                            African Development Bank
AfDB               [AGING POPULATION CHALLENGES IN AFRICA]


Population and Develop-          nomic and Social Affairs,
ment Studies.                    Population Division.                  World Bank (2011). World
                                                                       Development Report: Gender
UN DESA(2011). World             UNICEF (2003), Africa’s               Equality and Development.
Population Prospects: The        Orphaned Generations. New             Washington, DC: World
2010 Revision, CD-ROM Edi-       York, NY.                             Bank.
tion. New York: United Na-       www.unicef.org/sow06/pdf
tions, Department of Eco-        s/africas_orphans.pdf




                                              14


                         African Development Bank
AfDB                    [AGING POPULATION CHALLENGES IN AFRICA]


Annex 1.

Figure A1: Estimated proportion of elderly population, 65 years and above, in Africa, 1950–
2010


    %
    5

     4                                                                                                         3.5
                3.3                                                                           3.3
                                   3.1             3.1              3.1            3.1
     3

     2

     1

     0
             1950            1960               1970           1980         1990           2000            2010

                                    Male                   Female                  Total


Sources: UN DESA (2011); AfDB, Social and Economic Statistics Databases (2011).


Figure A2: Projection of elderly population, 65 years and above, in Africa, 2020–2050
         %

         8
         7                                                                                               6.6
         6                                                                       5.3
         5                                               4.5
                             3.9
         4
         3
         2
         1
         0
                      2020                        2030                    2040                    2050

                                         Male            Female            Total


Sources: UN DESA (2011); AfDB, Social and Economic Statistics Databases (2011).




                                                               15


                               African Development Bank
AfDB                            [AGING POPULATION CHALLENGES IN AFRICA]


Figure A3.       Southern Africa: The Effect of HIV/AIDS on the Adult Age Cohort

         %                                                 Zimbabwe
        60
                  48 46
        50
                             39
        40
        30                                        25
                                                            21 22 23
                                         18 20
        20
                                                                             10 9      9
        10                                                                                 3    3    4
         0
                      0-14                 15-24             25-44             45-64           65+

                                                  1970         1990           2010




                 %                                         Botswana
                 60
                         48
                 50            45
                 40                 33
                                                                        28
                 30                                                24
                                                   22         21
                                             19 20
                 20                                                                   13
                                                                              9 9
                 10                                                                        3 3 4
                  0
                              0-14            15-24            25-44           45-64           65+
                                                  1970        1990           2010



          %                                                Lesotho
         60
         50           44 44
         40                    37

         30                                        23               25
                                          20 20             20 21
         20
                                                                             12 11 10
         10                                                                                4 4 4
             0
                        0-14                15-24            25-44            45-64         65+

                                                    1970            1990            2010



                                                              16


                                    African Development Bank
AfDB                    [AGING POPULATION CHALLENGES IN AFRICA]



     %                                  South Africa
   60

   50
         42
              39
   40
                   30                                 29
   30                                         24 26
                           19 20 20
   20                                                                 16
                                                              12 12
   10                                                                        3 3 5
    0
           0-14             15-24              25-44            45-64         65+

                                       1970       1990         2010




     %                                   Swaziland
   60

   50    47 48
                   38
   40

   30                             25              23
                          19 20           20 20
   20
                                                           11 9 10
   10                                                                      3 3 3
    0
           0-14            15-24              25-44           45-64         65+


                                        1970           1990       2010



Sources: UN DESA (2011); AfDB, Social and Economic Statistics Databases (2011).




                                                17


                        African Development Bank
AfDB                        [AGING POPULATION CHALLENGES IN AFRICA]


Figure A4.        The Effect of HIV/AIDS on the Adult Age Cohort: Selected Comparison Countries

              %                                      Mauritius
             60

             50      44
             40
                          30                              31 31
             30                                                                    24
                               22                    23
                                      20 21
             20                               17
                                                                              14
                                                                         10
             10                                                                                7
                                                                                           3 5
              0
                       0-14            15-24          25-44               45-64              65+

                                                   1970             1990                2010



              %                                       Tunisia

             60

             50      46
                          38
             40
                                                                    32
             30                                                25
                               23
                                       18 20 19           20                            18
             20
                                                                               12 12
             10                                                                                        7
                                                                                                   4 5
              0
                          0-14           15-24              25-44                  45-64            65+

                                                      1970          1990            2010



Sources: UN DESA (2011); AfDB, Social and Economic Statistics Databases (2011).




                                                               18


                                    African Development Bank
AfDB                          [AGING POPULATION CHALLENGES IN AFRICA]


Figure A5: Prevalence of Selected Chronic Conditions by Age, Africa

          %                Prevalence of selected chronic conditions by age, Africa
        70

        60

        50

        40

        30

        20

        10

         0
              Osteo-Arthritis




                                Osteo-Arthritis




                                                  Osteo-Arthritis




                                                                     Osteo-Arthritis




                                                                                         Osteo-Arthritis
                                                                                              Diabetes



                                                                                                           Osteo-Arthritis
                   Diabetes




                                     Diabetes




                                                       Diabetes




                                                                          Diabetes




                                                                                                                Diabetes
                     Angina




                                       Angina




                                                         Angina




                                                                            Angina




                                                                                                Angina




                                                                                                                  Angina
                Mauritius           Tunisia       South Africa           Morocco             Congo         Zimbabwe

                                                   Under 60 yr                  60+ yr



Sources: WHO (2002); World Health Survey: Results from Mauritius, Tunisia, South Africa,
Morocco, Congo and Zimbabwe.




                                                                    19


                                  African Development Bank

Aging population challenges in africa distribution

  • 1.
    Vol. 1, Issue1 AfDB Aging Population Challenges in Africa Alice Nabalambaa and Mulle Chikokob November 2011 Chief Economist Complex Content Abstract Abstract leading to even greater vulner- ability to poverty. Aging, how- 1. Background This brief describes trends in ever, is not visible in most poli- population aging in Africa rela- cy dialogue, and so tends to be 2. Africa: demographic tive to those in economically deprioritized in terms of budg- trends advanced countries. It high- etary allocations, thereby in- lights the key drivers of the creasing the vulnerability and 3. Country-specific demo- phenomenon, both globally and marginalization of older Afri- graphic trends in the African context more cans. Unlike children, youth, specifically. The brief also ana- and women who are given a 4. The drivers of population lyzes country-specific trends high profile in the MDGs agen- aging in Africa and demonstrates the reasons da, for example the elderly tend why the proportion of popula- not to be targeted as a specific 5. Why we should be con- tion 65 years and older is grow- group in terms of poverty re- cerned about an aging ing in many countries across duction policies. However, cor- population in Africa the continent. Aging is highly rectly managed and with the correlated with long-term phys- appropriate level of healthcare 6. Conclusions and policy ical and mental disability, and provision and social protection implications a number of long term chronic programs population aging can conditions and will likely in- present an unprecedented op- crease personal care require- portunity for older citizens to ments. Furthermore, most soci- enjoy a full and active life, far oeconomic indicators for the beyond the expectations of pre- elderly in Africa are low, and in vious generations. Policymak- many countries poverty rates ers will need to take full ac- Mthuli Ncube among the elderly are signifi- count of the phenomenon, to m.ncube@afdb.org cantly higher than the national safe-guard family and commu- +216 7110 2062 average. In countries with a nity resources and to put in high prevalence of HIV/AIDS, place robust public pension, Charles Leyeka Lufumpa many households are increas- insurance and healthcare sys- c.lufumpa@afdb.org ingly headed by the elderly +216 7110 2175 tems. Désiré Vencatachellum d.vencatachellum@afdb.org +216 7110 2205 a Alice Nabalamba, Principal Statistician, Statistics Department (ESTA), a.nabalamba@afdb.org Victor Murinde b Mulle Chikoko, Principal Social Protection Officer, Human Development Department (OSHD), v.murinde@afdb.org m.chikoko@afdb.org +216 7110 2072 Reviewers: Barbara Barungi, Lead Economist OSFU; Peter Ondiege, Chief Research Economist, EDRE; Ruth Karimi Charo, Social Development Specialist, KEFO; Barfour Osei, Chief Research Econ- omist, EDRE; Tavengwa Nhongo, Africa Platform for Social Protection, Nairobi, Kenya. The findings of this brief reflect opinions of the authors and not those of the African Development Bank, its Board of Directors or the countries they represent. African Development Bank
  • 2.
    AfDB [AGING POPULATION CHALLENGES IN AFRICA] 1. Background youth population (0 to 15 safety nets, increased prev- years) and senior popula- alence of poverty, particu- As of 2010, 36 million tion (65 or older) to the larly among elderly headed elderly people working-age population households, and a shrink- aged 65 years and over (16 to 64 years). It is ex- ing cohort of caregivers in accounted for 3.6% of Af- pressed as the number of countries ravaged by the rica’s population, up from “dependents” for every 100 HIV/AIDS epidemic. 3.3% ten years earlier. In “workers.” The senior de- Linked to the HIV/AIDS 1980, 3.1% of the popula- mographic dependency epidemic are the changing tion was elderly aged 65 ratio is the ratio of seniors family structures where and above, and there has to the working-age popu- older parents are increas- been a steady increase dur- lation.2 ingly caring for grandchil- ing the last forty years. dren left behind by victims Population aging1 in Africa Africa’s population is ag- of HIV/AIDS. More than is expected to accelerate ing simultaneously with its 50 percent of the orphans between 2010 and 2030, as unprecedented growth of in Africa currently live more people reach age 65. the youth population and with their grandparents Projections show that the its related challenges. The with limited resources and elderly could account for aging population in Africa unstable incomes to sup- 4.5% of the population by faces a different set of port their households 2030 and nearly 10% of challenges. Aging is highly (UNICEF, 2003). the population by 2050 linked with long-term (UN DESA, 2011.) In physical and mental disa- Global Aging Trends: many countries in Africa, bility and a number of the proportion of older long-term chronic condi- In many developed coun- persons will be close to tions and will likely in- tries, the aging demo- that of industrialized coun- crease personal care needs. graphic transition is al- tries by 2030 and 2050. Yet, much of Africa faces ready taking shape as the weak health care systems average age of populations One important conse- to adequately address these continues to rise, as a di- quence of an aging popu- emerging health problems rect consequence of the lation is the shift in the among the elderly. As well, postwar II “baby boom” demographic dependency much of the region is faced (Anderson and Hussey, ratio. The total demo- with a lack of viable social 2000). Fertility rates have graphic dependency ratio is declined below the re- the ratio of the combined 2 placement rate of 2.1 in The demographic dependency many industrialized coun- ratio is based on age rather than employment status. It does not tries. Similarly, the average 1 life expectancy at birth Population aging is described account for young people or as the rise in the median age of a seniors who are working, nor for continues to rise. In OECD population resulting in a shift in working-age people who are countries, for example, the the age structure of that popula- unemployed or not in the labor average life expectancy in tion. It is the consequence of a force. It merely reflects popula- number of factors, including tion age structure and is not 2007 was 79.1 years, up by declining fertility rates, de- meant to diminish the contribu- 10.6 years since 1960 creased premature deaths, and tions made by people classified (OECD 2010). prolonged life expectancies. as “dependents.” 2 African Development Bank
  • 3.
    AfDB [AGING POPULATION CHALLENGES IN AFRICA] The UN medium-scenario lights gender differences in years for men. By 2010, projections indicate that the changing population this had risen to 57.1 years fertility rates will remain structure. Section four ad- for women and to 54.8 below the replacement rate dresses the drivers of pop- years for men (Figure 1). through to 2020 for most ulation aging in Africa. of the industrialized coun- Section five demonstrates Healthy life expectancy – tries. At the same time, the why we should be con- defined as life expectancy proportion of persons aged cerned about an aging pop- weighted at each age to 65 years and older will ulation in Africa, high- account for levels of health increase rapidly over the lighting many health and status over the life course – next few decades, to reach socio-economic challenges although lower at 39.5 upwards of a quarter of the faced by Africa’s older years for Africa as a whole population in most coun- population. The brief con- in 2000, had increased to tries. By comparison, only cludes with some broad 42.7 years by 2002 and to 10–14% of the population policy implications to 48.9 years by 2007. was 65 years or older at the guide policy makers and turn of the century in most development partners in Similar to developed coun- industrialized countries general, on how to address tries, the life expectancy (UN DESA, 2011). emerging challenges re- figures indicate that Africa lated to population aging. is also witnessing a shift in The purpose of this brief is the population structure. In to (a) highlight the chang- 1980, 3.1% of Africa’s ing demographics on the 2. Africa: demo- population was aged 65 African continent; and (b) graphic trends and older, but this had ris- to demonstrate the chal- en slightly to 3.5% by lenges of an aging popula- In contrast to industrialized 2010. Women aged 65 tion and the major issues countries, in developing years and older represented that need to be addressed. countries, particularly 3.4–3.9% of the total fe- those in Africa, life ex- male population between The brief is organized in pectancy at birth has re- 1980 and 2010. Men in this six sections. The first sec- mained relatively low for age group represented 2.8– tion introduces trends of both men and women. In 3.2% of the male total population aging in Africa 1990, Africa’s average life population during the same relative to those in eco- expectancy at birth was period (Figure 2). nomically advanced coun- 52.7 years, although it in- tries. Section two analyzes creased steadily to 56.0 Africa specific demo- years until 2010 (AfDB’s graphic trends and demon- Data Portal, 2011)3. In strates the reasons why the 1990, women’s life expec- proportion of population tancy at birth was 54.3 65 years and older is grow- years compared to 51.1 ing in many countries across the continent. In the 3 Statistics presented in this brief third section, the brief fo- have been sourced from ESTA’s cuses on country-specific Social and Economic Statistics trends over time and high- database, unless otherwise attributed. 3 African Development Bank
  • 4.
    AfDB [AGING POPULATION CHALLENGES IN AFRICA] Figure 1: Life expectancy at birth in Africa, 1990–2010 Life expectancy at birth in years 60 57 57 56 54 55 54 53 51 51 48 45 1990 1994 1998 2002 2006 2010 Male Female Total Source: AfDB, Social and Economic Statistics Database (2011). Figure 2: Proportion of men and women aged 65 and above in Africa, 1980–2010 % population aged 65+ 5 3.9 4 3.4 3.2 2.8 3 2 1 0 1980 1990 2000 2010 Male Female Total Sources: UN DESA (2011); AfDB, Social and Economic Statistics Databases (2011). 4 African Development Bank
  • 5.
    AfDB [AGING POPULATION CHALLENGES IN AFRICA] 3. Country-spe- Tunisia (4.6%). By 2010, years and older declined in Tunisia had surpassed all Gabon, São Tomé and cific demographic other countries as the coun- Príncipe, and Equatorial trends try with the highest propor- Guinea, while it remained tion of elderly population unchanged in the Central An examination of the de- (7.3%), followed closely African Republic over the mographic trends at the by Mauritius at 6.9%. The 20-year period. The rea- country level reveals some elderly population of these sons for the decline in the interesting patterns (Figure two countries nearly dou- former three countries are 3). Between 1990 and bled over the 20-year peri- not very clear. Paradoxi- 2010, nearly one-third of od. Other countries such as cally, these three countries the countries (16 out of a Libya, Botswana, and are among those with the total of 53) recorded that at South Africa witnessed a highest GDP per capita in least 4% of their popula- similar phenomenon. Africa, so one might have tions was aged 65 or expected the improved above. In 1990, Gabon had There are marked varia- living standards to lead to the largest elderly popula- tions among African coun- an increase in life expec- tion (5.6%), followed by tries though. The propor- tancy. Cape Verde (4.8%) and tion of population aged 65 Figure 3: African countries with over 4% of their population aged 65 years and over, 1990–2010 % 8 7 6 5.6 5 4.4 4.5 4.3 3.9 4 2.9 3 2 1 0 Libya Morocco South Africa Lesotho Algeria Zimbabwe Congo Republic Tunisia Mauritius Cape Verde Botswana Egypt Gabon Equatorial Guinea Central African Sao Tome & Principe Republic 1990 2010 Sources: UN DESA (2011); AfDB, Social and Economic Statistics Databases (2011). 5 African Development Bank
  • 6.
    AfDB [AGING POPULATION CHALLENGES IN AFRICA] The gender dimension 4% of their total population elevated female mortality (Figure 5) than there were in low-income countries. While the ratio of males to in 1990. The growth in the This is largely attributable females is about 50:50 up elderly female population to high rates of maternal until the age of 64, it over this time frame ranged mortality, especially in quickly changes after this from 1.2% in Algeria to Sub-Saharan Africa. This age, with women outliving 3% in Tunisia. This repre- is exacerbated by inade- men (Figure 4). Among sents an increase of quate access to healthcare those aged 65 and older, 404,000 and 207,000 fe- in many countries in Sub- there were 25% more males aged 65 or older in Saharan Africa, and to low women than men in 2010. Algeria and Tunisia re- investments in the health This pattern is consistent spectively. However, Ga- sector. These weaknesses with demographic changes bon, São Tomé and Prín- in the system mean that elsewhere in the world. cipe, and Congo Republic fewer women live to reach experienced a decline over the age of 65 than might In 2010 there were 17 the 20-year period. Evi- otherwise be the case more African countries dence emerging from re- (World Bank, 2011). with an elderly female cent gender equality stud- population that exceeded ies points to a persistently Figure 4: Africa’s population of men and women by age group, 2010 (millions) 65+ million 16 20 million 60-64 9 10 55-59 12 13 50-54 15 16 45-49 18 19 40-44 22 22 35-39 28 27 30-34 34 34 25-29 42 41 20-24 48 48 15-19 54 53 10-14 60 59 5-9 68 67 0-4 78 76 150 100 50 0 50 100 150 Male Female Sources: UN DESA (2011); AfDB, Social and Economic Statistics Databases (2011). 6 African Development Bank
  • 7.
    AfDB [AGING POPULATION CHALLENGES IN AFRICA] Figure 5: African countries with at least 4% elderly (65 and older) female population, 1990 and 2010 % 12 10 8 6 4 2 0 Algeria Morocco Tunisia South Africa Lesotho Congo Republic Ghana Mauritius Cape Verde Botswana Zimbabwe Gabon Namibia Egypt Central African Republic Sao Tome and Principe Libyan 1990 2010 Source: AfDB, Social and Economic Statistics Databases. Figure 6 shows that far (4.1%). By 2000, the num- Gabon also witnessed a fewer countries have a ber had nearly doubled decrease in its male elderly male elderly population with the addition of Mau- population from 5.1% in exceeding 4% of their total ritius, Morocco, and Egypt 1990 to 4.0% in 2010. Tu- populations, compared to and this increased to a total nisia, Mauritius, and Mo- their elderly female popu- of nine countries by 2010. rocco recorded the highest lations. By 1990, only four The new additions were increases in the proportion countries had a male el- Libya, Algeria, and Côte of elderly male population derly population of 4% or d’Ivoire. However, São between 1990 and 2010, greater, namely Gabon Tomé and Príncipe’s male while Côte d’Ivoire and (5.1%), Tunisia (4.8%), elderly population dropped Libya also made good pro- Cape Verde (4.4%), and from 4.1% in 1990 and gress over the 20-year pe- São Tomé and Príncipe 2000, to 3.4% by 2010. riod. 7 African Development Bank
  • 8.
    AfDB [AGING POPULATION CHALLENGES IN AFRICA] Figure 6: African countries with at least 4% elderly (aged 65 years and over) male population, 1990–2010 % 7 6 5 4 3 2 1 0 Cape Verde Libya Mauritius Algeria Egypt Morocco Africa Côte d'Ivoire Tunisia Gabon Sao Tome & Principe 1990 2000 2010 Source: AfDB, Social and Economic Statistics Databases. 4. The drivers of The rise in the elderly pop- proportion of the national ulation in many of these population can be at- population aging in countries corresponds to a tributed to a shrinking Africa sharp decline in the fertility adult age cohort due to a rates compared to the rest high prevalence of HIV- Overall, it has been the of Africa over a 40-year AIDS, linked to the fact middle-income countries – period (Table 1). Likewise, that HIV-AIDS is concen- such as Mauritius, Tunisia, many of these countries trated in the younger pop- Morocco, Algeria, Egypt, have made remarkable ulation. In fact while fer- and South Africa – which strides in improving health tility rates have dropped have witnessed the greatest care delivery systems, re- substantially, the life ex- increase in population ag- ducing child mortality and pectancy of all five coun- ing. These countries’ pop- as a result are experiencing tries has declined over the ulations aged 65 years and improved life expectancy 20 year period (Tables 1 older range between 4.5% at birth and healthy life and 2). Similarly, the adult and 7.3% of the total pop- expectancy (Table 2). age cohort has either expe- ulation. Other countries However, for countries rienced stagnant or nega- such as Libya, Botswana, such as South Africa, Bot- tive growth (Figure A3) Zimbabwe, and Djibouti swana, Lesotho, Zimbabwe when compared to coun- have also witnessed a sig- and Swaziland, the in- tries such as Mauritius and nificant increase in their crease in the size of the Tunisia where the elderly population. elderly population as a 8 African Development Bank
  • 9.
    AfDB [AGING POPULATION CHALLENGES IN AFRICA] same age cohort has grown from 20-32% and 10-24% among 25-44 and 45-64 year olds respec- tively (Figure A4). Table 1: Fertility rates for selected African countries, 1980–2010 1980 1990 2010 AFRICA, average - 5.30 4.40 Mauritius 2.76 2.23 1.80 Tunisia 5.33 3.63 1.83 Morocco 5.65 4.03 2.31 Cape Verde 6.44 5.31 2.61 Lesotho 5.59 4.92 3.20 Algeria 6.91 4.71 2.32 Egypt 5.61 4.56 2.77 Gabon 5.17 5.18 3.17 South Africa 4.79 3.66 2.48 Libya 7.38 4.81 2.59 Botswana 6.22 4.70 2.78 Zimbabwe 7.10 5.19 3.29 Seychelles nd nd 2.30* Source: AfDB, Social and Economic Databases. Notes: *Estimate is for 2008. nd: Data not available Table 2: Life expectancy at birth, total and disaggregated by gender, for selected African coun- tries, 1980 and 2010 Life Expectancy at Birth Total Men Women 1980 2010 1980 2010 1980 2010 AFRICA, average 50.1 55.7 51.1 54.5 48.5 56.8 Libya 67.8 74.3 65.8 72.0 70.5 77.2 Tunisia 68.6 74.2 66.9 72.1 70.6 76.3 Algeria 67.0 72.7 65.9 71.2 68.3 74.1 Mauritius 69.2 72.1 65.5 68.5 72.9 75.8 Morocco 64.1 71.6 62.3 69.4 66.1 73.9 Egypt 62.9 70.3 61.6 68.6 64.3 72.2 Botswana 64.2 55.1 61.9 55.1 66.4 54.8 South Africa 61.4 51.7 57.8 50.3 65.2 53.1 Lesotho 59.3 45.6 57.4 45.0 61.0 45.7 Swaziland 60.5 46.4 58.3 47.1 62.6 45.5 Zimbabwe 60.8 45.7 57.5 45.3 64.3 45.6 Source: AfDB, Social and Economic Databases (2011). 9 African Development Bank
  • 10.
    AfDB [AGING POPULATION CHALLENGES IN AFRICA] 5. Why we cent show that the preva- implications, principally lence of chronic conditions that the burden of care is should be concerned such as angina, osteo-ar- increasingly being shifted about an aging pop- thritis and diabetes is not to those least able to afford ulation in Africa only on the rise, but more it. A study of 15 countries than twice as high among in Africa showed that large Population aging is highly elderly population aged 60 proportions of the lower- correlated with physical and above compared to income populations resort and mental disability and those under 60 years (Fig- to borrowing and selling an increase in the preva- ure A5). assets to cope with high lence of a number of long- healthcare expenditures term chronic conditions. In The management of long- (Leive and Xu, 2008). This 2006, the World Health term chronic conditions practice drives many fami- Organization (WHO) pro- and related disabilities re- lies into even deeper pov- jected that diseases associ- quires a considerable erty and poorer health. ated with aging such as amount of resources – both Parkinson’s disease, Alz- human and financial – An even bigger challenge heimer’s and other forms from governments, com- for Africa is the decline of of dementia, accounted for munities, and families. Yet informal systems of social 6.3% of disability-adjusted in much of Africa, gov- protection in the form of life years. This is signifi- ernments still spend far cash and support from both cantly higher than the con- less per capita on extended family and com- tribution to disability-ad- healthcare in general, let munity sources. An addi- justed life years globally of alone social protection, tional challenge is the HIV/AIDS (5.5%), all can- than is the case in most change in family structures cers (5.3%), heart disease developed countries. Few and shrinking social sup- (4.2%) and respiratory dis- African countries have port networks. Tradition- eases (4.0%). Alzheimer’s public pension programs or ally, the informal social and other forms of demen- formal systems for caring protection has been effec- tia alone account for 12% for older persons; indeed, tive for generations in of the burden of neurologi- most rely on traditional providing a major share of cal disorders. More recent family structures. For ex- support to the elderly par- studies suggest that these ample, in 2005, govern- ents and the most vulnera- conditions are on the rise ments in 48 of the 53 Afri- ble. With increasing ur- due to an aging population. can countries spent US$ banization, and the ravages More alarming is the evi- 25.7 per capita on health of HIV/AIDS, this support dence suggesting that these on households, while pri- network is increasingly conditions will increase vate households spent being dismantled. In fact in more rapidly in developing more than twice that some societies, particularly countries than in developed amount (US$ 58.2) per those experiencing the countries. capita (ICP-Africa data, HIV/AIDS epidemic, the 2005). Such a high dispar- roles have been reversed. Data from six countries ity in healthcare expendi- On the one hand, older with an elderly population ture between governments parents are increasingly equal or exceeding 4 per- and households has several caring for grandchildren 10 African Development Bank
  • 11.
    AfDB [AGING POPULATION CHALLENGES IN AFRICA] left behind by victims of such as: (i) rapid popula- security of formal sector, HIV/AIDS. For example, tion growth, evidencing in wage-dependent markets. more than 60% of orphans high youth populations and in South Africa, Zimba- high unemployment; (ii) Economic indicators for bwe, and Namibia – and high infant and child mor- the elderly show that 50% in Botswana, Malawi tality rates, (iii) excessive households headed by old- and Tanzania – live with urban expansion; and (iv) er persons are among the their grandparents high maternal mortality poorest. For example, in (UNICEF, 2003). On the rates, etc. This has resulted Kenya and Tanzania, other hand, the rise in in governments and socie- households headed by old- HIV/AIDS death rates has ties de-prioritizing older er people have a poverty led to a rapidly increasing people in favor of other, rate that is over 20% high- new category of neglected often more vocal age er than the national aver- elderly individuals or older groups. Governments’ de- age. In Sierra Leone and adults living alone, without velopment priorities are Uganda, the poverty rate of the benefit of any caregiv- tending to favor expendi- these households is 8% and ers. tures that invest in the 5% higher than the national long-term productive po- average (Kakwani & Sub- Despite these serious de- tential of the young. In barao, 2005; HelpAge, mographic shifts, aging is recent years, we have seen 2011). Poverty in old age not visible in most policy governments focusing on often reflects poorer eco- dialogue. The invisibility the youth because of high nomic status earlier in life of vulnerable older people levels of unemployment and has the potential to be in major policy documents among this age group and transmitted to the next is reinforced by their in- their potential to create generations if effective visibility in most national social and political unrest interventions are not ap- development plans. While if their demands and life plied. the MDGs provide specific chances are not fulfilled. targets for children, youth Thus countries accord low 6. Conclusions and women, they do not priority in their national refer to older people as a development policies and and policy implica- specific group. As a result, programs to the aging pop- tions older people are less likely ulations. to benefit from targeted This brief has discussed the development support. Lack The continent is not well problems of an aging pop- of recognition of aging prepared for a major in- ulation and the major is- even in the MDG agenda, crease in its aging popula- sues that need to be ad- which is the overarching tion. For example, contrib- dressed. There is a need for framework for interna- utory pension schemes governments, development tional development priori- cover very few people due partners, communities, and ties, contributes to this lack to the informality of most families themselves to be of attention. livelihood activities and aware of the problem and employment. Most socie- to collaboratively work out The African continent has ties are predominantly ru- a way of tackling the needs other urgent and pressing ral and much of the popu- of this growing segment of demographic problems lation operates outside the the population. Some broad 11 African Development Bank
  • 12.
    AfDB [AGING POPULATION CHALLENGES IN AFRICA] proposals for governments social protection that cater free and subsidized health and health services in par- to the specific needs of services, medication and ticular are outlined below older people. However, longer-term healthcare to be included in policy South Africa, Mauritius, facilities for the elderly. discussions. Development Lesotho, Botswana, Cape partners can also assist Verde, and Namibia have Community and family through research and tar- introduced non-contribu- care. geted support. tory social pension pro- Family and community grams for the elderly. will remain the basic re- Budgetary provisions. source for the older per- Governments should pay National old-age pension sons in the absence of pub- greater attention to issues schemes will need to ex- licly funded social security of aging. There is an urgent tend coverage and also schemes. There is need to need to develop and im- consider contributory pen- support and promote com- plement coordinated na- sion plans for those who munity-based care in order tional policies for this age are working now, in a bid to ensure that better ser- cohort and to mainstream to alleviate old age pov- vices are provided to the aging issues in national erty, guarantee a minimum aging population. The in- development frameworks income for older people, formal systems of social and poverty reduction and prevent the intergener- protection through extend- strategies. This is in order ational transmission of ed family and community to address the socioeco- poverty. The majority of support will continue to be nomic needs and rights of Africa’s population is self- a viable option for short to older people and improve employed and works in the medium term. Therefore their well-being. One re- informal and agriculture improved employment quirement is to make ade- sectors. This sector does opportunities to induce quate provision in national not offer much in terms of younger people to remain budgets for the provision social security and protec- in rural homes could bene- of social services for the tion, including for old age. fit the elderly both eco- elderly. The focus should Therefore, public–private nomically and socially and be on the provision of shel- partnerships (PPPs) should would facilitate adequate ter, healthcare, food securi- be explored as a way of support and care for the ty, nutrition, and social promoting and expanding elderly. Strengthening the security schemes, among contributory pension resources of women, who others. schemes. are the traditional caregiv- ers, would benefit all fami- Scaling up social protec- Targeted healthcare. ly members, including the tion schemes. Healthcare systems will elderly. This would expand Most African countries need to be responsive to the impact of existing self- will need to develop and the needs and demands of help and mutual aid improve the coverage of an aging population, in- groups. Therefore policies comprehensive social pro- cluding the greater access should also aim at im- tection systems for their to specialist services and proving the situation of senior citizens. The major- treatments. In particular, rural communities, and ity of African countries do governments need to con- specifically target women not have formal systems of sider introducing access to 12 African Development Bank
  • 13.
    AfDB [AGING POPULATION CHALLENGES IN AFRICA] who make up the majority tion of statistics pertaining World Bank, Washington, of the elderly population. to aging trends to better DC. inform policy decisions; The role of statistics: scal-  Provide leadership Kalasa, B. (2001). “Popu- ing-up the availability of in the analysis of emerg- lation and aging in Africa: a age-disaggregated data. policy dilemma?” Paper ing issues around popula- presented at the Interna- tion aging; tional Scientific Study of Governments need to  Enhance policy ad- Population’s XXIV General strengthen their national vice and support for coor- Population Conference, held statistical systems and to dinated long term solu- in August 2001 in Brazil. collect age-disaggregated tions to promote social data for all relevant sec- protection programs that Kidd, S. and E. Whitehouse tors. This will allow gov- include the critical needs (2009). “Pensions and old ernments to monitor pro- of the elderly. age poverty,” in R. gress, for example, in re- Holzmann, D. Robalino, and ducing old-age poverty and References: N. Takayama (eds.), Closing in tracking how health the Gender Gap: The Role of funds are being expended Social Pensions. Washing- African Development Bank for this age group. Such ton, DC: World Bank. Group, Data Portal (ac- data should be made read- cessed May 2011). ily available to policymak- Leive, A. and K. Xu (2008). “Coping with out-of-pocket ers and other data users, Anderson, G.F. and P.S. Hus- health payments: empirical including development sey (2000). “Population evidence from 15 African partners. Further research Aging: A comparison among countries. Bulletin of the is needed to build the evi- industrialized countries.” World Health Organization, dence base on aging to Health Affairs, vol. 19, no. 3, 86 (11). inform policy-making and pp. 191–203. programming within a spe- OECD (2010). OECD Cordaid/HelpAge Inter- cific country context. Factbook: Economic, En- national. (2011). A Study of Countries should examine vironmental and Social Sta- Older People’s Livelihoods in the economic and social tistics. OECD Publishing. Ethiopia. London and The implications of population Accessed online October 14, Hague: HelpAge and Cor- and demographic changes 2011. daid. Report available and how these relate to online at: Salomon, J.A. and C.J.L. Mur- development concerns. www.helpage.org/downloa ray (2000). “The epi- d/4d9aeec5f28b8 demiological transition Development partners such revisited: new composi- as the AfDB can play a HelpAge International. tional models for causes of supportive role in several (2011). Aging in Africa, vol. death by age and sex”. Part respects: 36. of the working paper series: The Global Burden of Dis- Kawani Narak and Kala-  Help to build the ease 2000 in Aging Popula- nidhi Subbarao (2005), statistical capacity of re- tions. Research Paper No. Aging and Poverty in Africa gional member countries 01.17. Harvard Burden of and the Role of Social Pen- (RMCs) to undertake the Disease Unit. Cambridge, sions, Social Protection Dis- collection and dissemina- MA: Harvard Center for cussion Paper Series. The 13 African Development Bank
  • 14.
    AfDB [AGING POPULATION CHALLENGES IN AFRICA] Population and Develop- nomic and Social Affairs, ment Studies. Population Division. World Bank (2011). World Development Report: Gender UN DESA(2011). World UNICEF (2003), Africa’s Equality and Development. Population Prospects: The Orphaned Generations. New Washington, DC: World 2010 Revision, CD-ROM Edi- York, NY. Bank. tion. New York: United Na- www.unicef.org/sow06/pdf tions, Department of Eco- s/africas_orphans.pdf 14 African Development Bank
  • 15.
    AfDB [AGING POPULATION CHALLENGES IN AFRICA] Annex 1. Figure A1: Estimated proportion of elderly population, 65 years and above, in Africa, 1950– 2010 % 5 4 3.5 3.3 3.3 3.1 3.1 3.1 3.1 3 2 1 0 1950 1960 1970 1980 1990 2000 2010 Male Female Total Sources: UN DESA (2011); AfDB, Social and Economic Statistics Databases (2011). Figure A2: Projection of elderly population, 65 years and above, in Africa, 2020–2050 % 8 7 6.6 6 5.3 5 4.5 3.9 4 3 2 1 0 2020 2030 2040 2050 Male Female Total Sources: UN DESA (2011); AfDB, Social and Economic Statistics Databases (2011). 15 African Development Bank
  • 16.
    AfDB [AGING POPULATION CHALLENGES IN AFRICA] Figure A3. Southern Africa: The Effect of HIV/AIDS on the Adult Age Cohort % Zimbabwe 60 48 46 50 39 40 30 25 21 22 23 18 20 20 10 9 9 10 3 3 4 0 0-14 15-24 25-44 45-64 65+ 1970 1990 2010 % Botswana 60 48 50 45 40 33 28 30 24 22 21 19 20 20 13 9 9 10 3 3 4 0 0-14 15-24 25-44 45-64 65+ 1970 1990 2010 % Lesotho 60 50 44 44 40 37 30 23 25 20 20 20 21 20 12 11 10 10 4 4 4 0 0-14 15-24 25-44 45-64 65+ 1970 1990 2010 16 African Development Bank
  • 17.
    AfDB [AGING POPULATION CHALLENGES IN AFRICA] % South Africa 60 50 42 39 40 30 29 30 24 26 19 20 20 20 16 12 12 10 3 3 5 0 0-14 15-24 25-44 45-64 65+ 1970 1990 2010 % Swaziland 60 50 47 48 38 40 30 25 23 19 20 20 20 20 11 9 10 10 3 3 3 0 0-14 15-24 25-44 45-64 65+ 1970 1990 2010 Sources: UN DESA (2011); AfDB, Social and Economic Statistics Databases (2011). 17 African Development Bank
  • 18.
    AfDB [AGING POPULATION CHALLENGES IN AFRICA] Figure A4. The Effect of HIV/AIDS on the Adult Age Cohort: Selected Comparison Countries % Mauritius 60 50 44 40 30 31 31 30 24 22 23 20 21 20 17 14 10 10 7 3 5 0 0-14 15-24 25-44 45-64 65+ 1970 1990 2010 % Tunisia 60 50 46 38 40 32 30 25 23 18 20 19 20 18 20 12 12 10 7 4 5 0 0-14 15-24 25-44 45-64 65+ 1970 1990 2010 Sources: UN DESA (2011); AfDB, Social and Economic Statistics Databases (2011). 18 African Development Bank
  • 19.
    AfDB [AGING POPULATION CHALLENGES IN AFRICA] Figure A5: Prevalence of Selected Chronic Conditions by Age, Africa % Prevalence of selected chronic conditions by age, Africa 70 60 50 40 30 20 10 0 Osteo-Arthritis Osteo-Arthritis Osteo-Arthritis Osteo-Arthritis Osteo-Arthritis Diabetes Osteo-Arthritis Diabetes Diabetes Diabetes Diabetes Diabetes Angina Angina Angina Angina Angina Angina Mauritius Tunisia South Africa Morocco Congo Zimbabwe Under 60 yr 60+ yr Sources: WHO (2002); World Health Survey: Results from Mauritius, Tunisia, South Africa, Morocco, Congo and Zimbabwe. 19 African Development Bank