PENGAMBILAN SAMPEL




                              TEORI SAMPLING MT 505
BERKELOMPOK TIGA TAHAP
(THREE-STAGE CLUSTER
SAMPLING)
Kelompok 7
Nurharis Haryanto   0905883
Atiya Maulani       0905645
Vanissa Hapsari     0905655
Maria Lemorenty     0905721
1.2 PENDAHULUAN KLUSTER SAMPLING
   TIGA TAHAP

                                                         PSU
                                                     Primary Sampling
                                                          Units

hasil dari tahap
kedua juga masih




                                                                                          TEORI SAMPLING MT 505
berupa kluster
                        SSU
                    Secondary Sampling                   SSU                        SSU
                          Units
pada tahap ketiga
diturunkan sampel                  sub dari cluster hasil sampling tahap
dari masing-masing                 pertama
cluster yang
diperoleh dari tahap
kedua
                                                                                    TSU
              TSU        TSU             TSU   TSU       TSU            TSU   TSU         TSU
Sebagaimana proses sampling pada tahap pertama dan kedua, tahap ketiga juga
dapat menggunakan salah satu dari berbagai teknik random yang ada.
KEUNTUNGAN
Keuntungan dari sampling tiga tahap sama dengan klaster
sampling dua tahap. Kita hanya butuh persiapan kerangka
untuk psu,ssu dan tsu dalam pemilihan sampel.




KEKURANGAN
• ketika memilih psu,ssu dan tsu menggunakan sampling acak
sederhana, unit ini harus kurang lebih sama dalam ukuran.
• terdapat banyak keheterogenan antar psu, tetapi
kehomogenan antar ssu dan tsu
Contoh Kasus :
Kita akan mengestimasi jumlah total buku yang dimiliki siswa
kelas enam di kota Bandung. Misal terdapat L = 580 sekolah
dasar (psu) , asumsikan = 10 dipilih sebagai sampel acak dari
psu. Dari sampel sekolah ke-i (psu) mempunyai M i kelas (ssu)
kelas enam, dan andaikan m = 2 kelas (ssu) dipilih dari setiap
sampel sekolah. Terakhir, kita asumsikan terdapat N ij siswa
(tsu) dalam sampel kelas ke-j dari sampel sekolah ke-i dan
subsampel nij siswa dipilih dari kelas ke-j. Andaikan nij = 3
siswa, yaitu 3 siswa dipilih dari N ij = 50 siswa dari kelas ke-j
dalam sekolah ke-i.

Banyaknya buku yang dimiliki masing-masing siswa dalam j
kelas dapat ditunjukkan oleh

    xij1 = 4 buku   xij 2 = 3 buku   xij 3 = 5 buku
Banyaknya buku yang dimiliki siswa dalam subsampel dapat
ditunjukkan oleh xijk . Huruf besar X ijk digunakan sebagai nilai
populasi.
       Harus diingat bahwa beberapa subskrip digunakan untuk dua
pernyataan berbeda. Satu untuk populasi dan yang satu lagi untuk
sampel. Sebagai contoh X ij = X 35 adalah j= 5 kelas dalam i= 3 sekolah
pada populasi. sedangkan, xij = x35 yaitu j = 5 kelas sampel dalam i=
3 sampel sekolah .


                     L          psu sekolah
                     Mi m        ssu kelas
                     N ij nij    tsu siswa
1.2 PENAKSIR TOTAL POPULASI DAN
PENAKSIR      RATA-RATA POPULASI




       �         �




                                        TEORI SAMPLING MT 505
    Populasi   Sampel


       ��        �
                        psu   sekolah


       ���       ���
                 ഥ      ssu   kelas
                        tsu   siswa
�  ��   ���
Penaksir tak bias untuk total populasi
                        �       �
              ෠
                                              � ��
              �= ෠    ෠     ෠                        ����
                �  �    ���
                                ഥ


                                              �
                        �        �




                                                                            TEORI SAMPLING MT 505
                   ഥ
• ����           : banyaknya buku yang dimiliki oleh siswa ke-� dalam


• σ ����         : penaksir total banyaknya buku dari ��� siswa.
                   kelas ke-� dari sekolah ke-�


           σ ���� : penaksir rata-rata banyaknya buku dari ��� siswa yang
     1
    � ��
•



           σ ���� : penaksir dari total banyaknya buku dalam kelas ke-�.
                   dipilih dari kelas ke-�.
    ���
    � ��
•
• σ                σ ����         : penaksir dari total buku untuk � kelas yang
            ���
            � ��
                                                                   ഥ



    ෠ഥ෠σ               σ ���� : penaksir dari rata-rata banyaknya buku per
                                   dipilih dari sekolah ke-�.
     1   � ��
     �   � ��
•




                                                                                    TEORI SAMPLING MT 505
    ෠ ഥ෠σ               σ ���� : penaksir dari total buku dalam sekolah ke-�.
                                   kelas dalam sekolah ke-�
     ��   � ��
     �    � ��
•

• σ            σ ��     σ ���� : total buku dari � sampel sekolah
            ��  �
            �
            ഥ � ��

• ෠ ෠σ                σ ��    σ ���� : penaksir rata-rata dari banyaknya buku per
        1          ��  �
        �          �
                   ഥ � ��



        σ        σ          σ ���� : penaksir dari total buku untuk � sekolah.
    �         ��   ���
    sekolah.

    �         �
              ഥ � ��
•
Misal � = 3 sekolah (psu), dan kita akan menaksir total buku
Contoh Kasus:


asumsikan masing-masing sekolah memiliki �� = 3 kelas (ssu),
yang dimiliki oleh siswa kelas 6. Untuk menyederhanakannya,

dan masing-masing kelas memiliki ��� = 3 siswa (tsu).




                                                                                      TEORI SAMPLING MT 505
                                 Tabel 1 Populasi

   �        ��        ��1       ��1�        ��2       ��2�        ��3       ��3�
 Sekolah   Kelas     Siswa      Buku      Siswa       Buku       Siswa      Buku


                              �111 = 2              �121 = 4              �131 = 6

           �1 = 3   �11 = 3   �112 = 4    �12 = 3   �122 = 6    �13 = 3   �132 = 8

                              �113 = 6              �123 = 8              �133 = 10
   1



                              �211 = 4              �221 = 6              �231 = 8

           �2 = 3   �21 = 3   �212 = 6    �22 = 3   �222 = 8    �23 = 3   �232 = 10

                              �213 = 8              �223 = 10             �233 = 12
   2



                              �311 = 6              �321 = 2              �331 = 4

           �3 = 3   �31 = 3   �312 = 8    �32 = 3   �322 = 4    �33 = 3   �332 = 6

                              �313 = 10             �323 = 6              �333 = 8
   3
Berdasarkan Tabel 1 diperoleh total siswa � = 27 siswa, � = 180 buku
Penyelesaian


Pilih sampel sebanyak � = 2 sekolah (psu), dari masing-masing sekolah pilih
� 2 kelas (ssu), dari masing-masing kelas pilih ��� = � 2 siswa (tsu). Kita
akan memiliki sebuah sampel berukuran ��� � = 8 siswa yang akan digunakan
ഥ=                                                    ത=
                                       ഥത=




                                                                                 TEORI SAMPLING MT 505
untuk menaksir total buku dari populasi.
                                    Tabel 1 Sampel

  �=2         � 2         ��� = 2                    ���� = ����
             �12 = 3     �11 = 2        �122 = �111 = 6        �121 = �112 = 4
              ഥ=

 �1 = 3
             �13 = 3     �12 = 2        �131 = �121 = 6       �133 = �122 = 10
             �31 = 3     �21 = 2       �313 = �211 = 10        �312 = �212 = 8
 �3 = 3
             �33 = 3     �22 = 2        �331 = �221 = 6        �333 = �222 = 8
Sekolah (�)   Kelas (�� )   Siswa (��� )

                                1          4 buku
               1
                                2          6 buku
  1            2      (A)       3

               3      (B)       1          6 buku
                                2




                                                      TEORI SAMPLING MT 505
                                3          10 buku
               1


  2            2

               3                1

                                2           8 buku
               1      (C)       3           10 buku

  3            2

               3      (D)       1           4 buku
                                2
                                3           8 buku
Sekolah (�)   Kelas (�)    Siswa (��� )

                                     �111 = 4 𝑏𝑢�𝑢
                     ഥ


                                     �112 = 6 𝑏𝑢�𝑢
                             1
               1     (A)
                             2


                                     �121 = 6 𝑏𝑢�𝑢
 1




                                                      TEORI SAMPLING MT 505
                             1

                                     �122 = 10 𝑏𝑢�𝑢
               2     (B)
                             2

                                     �211 = 8 𝑏𝑢�𝑢

                                     �212 = 10 𝑏𝑢�𝑢
                             1
               1     (C)
                             2


                                     �221 = 4 𝑏𝑢�𝑢
 2


                                     �222 = 8 𝑏𝑢�𝑢
                             1
               2     (D)
                             2
Langkah-langkah menentukan total jumlah buku yang dimiliki siswa kelas 6



                    �  ��   ���
                            �        �
dari populasi


                  ෠
                                                 � ��
                  �= ෠    ෠     ෠                       ����
                    �  �    ���
                                     ഥ


                                                 �
                            �        �
                       ഥ

 Total banyaknya dari ��� siswa yang dipilih dari kelas ke-�.




                                                                       TEORI SAMPLING MT 505
                                     � ��

                                ��� = ෠ ����
                                     �=1

   Kelas �      σ � 11 �11� = �111 + �112 = 4 + 6 = 10
                  �=1

         �      σ � 12 �12� = �121 + �122 = 6 + 10 = 16
                  �=1

         �      σ � 21 �21� = �211 + �212 = 8 + 10 = 18
                  �=1

         �      σ � 22 �22� = �221 + �222 = 4 + 8 = 12
                  �=1
 Penaksir rata-rata banyaknya buku dari ��� siswa yang dipilih dari

                                                � ��
                                             1
   kelas ke-�

                                    �ҧ =        ෠ ����
                                     ��
                                            ���
                                                �=1
 Penaksir dari total banyaknya buku dalam kelas ke-�,
                                                       � ��
                                                  ���




                                                                                      TEORI SAMPLING MT 505
                                  ෠
                                  ��� = ��� ��� =
                                            ෠ො෠       ෠ ����
                                                  ���
                                            ො
                                            ො
                                            ො
                                            ො
                                                       �=1


                        � ��                                                � ��
                      1                                                  ���
                                        Tabel 3

                �ҧ =     ෠ ����                        ෠
                                                       ��� = ��� ��� =
                                                                 ෠ො෠         ෠ ����
                 ��
                     ���                                                 ���
                                                                 ො
                                                                 ො
                                                                 ො
                        �=1                                                 �=1
                                                                 ො

                 1       1                                     3
       �         ൬෠෠ ෠ = ൬෠෠ ෠ = 5
                    10      10                                 ൬෠෠ ෠ = 15
                                                                  10
                 �       2                                     2
                 1       1                                     3
       �         ൬෠෠ ෠ = ൬෠෠ ෠ = 8
                    16      16                                 ൬෠෠ ෠ = 24
                                                                  16
                  ത

                 �       2                                     2
                 1       1                                     3
       �         ൬෠෠ ෠ = ൬෠෠ ෠ = 9
                    18      18                                 ൬෠෠ ෠ = 27
                                                                  18
                  ത

                 �       2                                     2
                 1       1                                     3
       �         ൬෠෠ ෠ = ൬෠෠ ෠ = 6
                    12      12                                 ൬෠෠ ෠ = 18
                                                                  12
                  ത

                 �ത      2                                     2
 Penaksir dari total buku untuk � kelas yang dipilih dari sekolah ke-�.
                                 ഥ
 Penaksir dari rata-rata banyaknya buku per kelas dalam sekolah ke-�


                                  Tabel 4

                     � ��                                � ��
                ���                               �




                                                                      TEORI SAMPLING MT 505
                                            ෠ 1
               �                                   �

              ෠     ෠ ����                  ��
                                            ധ = ෠ �� ෠ ����
                ���                            �
                                               ഥ ���
               ഥ                                   ഥ


               �    �=1                            �    �=1

              3      3                         1       39
      �+�     ൬෠෠ ෠+ ൬෠෠ ෠ = 39
                 10     16                     ൬෠෠ ෠ =
                                                  39
              2      2                         2       2
              3      3                         1       45
      �+�     ൬෠෠ ෠+ ൬෠෠ ෠ = 45
                 18     12                       ෠ ෠=
                                               ൬෠ 45
              2      2                         2       2
 Penaksir dari total buku dalam sekolah ke-�.
                                Tabel 1
                                        � ��
                             ��   ���
                                �
                      ෠
                      �� =      ෠     ෠ ����
                             �
                             ഥ ���
                                ഥ




                                                    TEORI SAMPLING MT 505
                                �       �=1

                    �=1             3
                                ෠ = ൬෠෠ ෠
                                ��     39
                                    2
                                    3
                    �=2         ෠ = ൬෠෠ ෠
                                ��     45
                                    2

 Penaksir total buku dari � sampel sekolah
                                    3          3
               ෠ ��   = �1 + �2 = ෠39෠+ ෠45෠= 126
                �
                 ෠      ෠    ෠
                                    2          2
                �
�෠           ෠
                  ത= 1 σ �=2 �� = 1 ෠ ෠= 63 buku
                                     126
 Penaksir rata-rata dari banyaknya buku per sekolah.

                        � �=1      2


 Penaksir tak bias dari total banyaknya buku untuk � = 3 sekolah.
           ෠ � � �� �ഥ� �
           � = σ � ഥ σ � �� σ � �� ���� = ෠ ෠ 63෠= 189 buku
                                           3 ෠




                                                               TEORI SAMPLING MT 505
                �   �       � ��
ˆ
   1.3 VARIANS DARI
                 X
                                ˆ
Varians dari estimator tak bias X , untuk sampling cluster 3-tahap
didapatkan dengan menggabungkan dua varians sampling cluster 2-
tahap.




                                                                 TEORI SAMPLING MT 505
Skema 2-tahap
                          psu———ssu

               ˆ
Dengan varians X
                  ˆ
                V(X) = (psu varians S2 ) + (ssu varians Si2 )
                                     b
Skema 3-tahap
            psu—————ssu
                 (1st case)
                              ssu ————— tsu
                                 (2nd case)
             ˆ
Varians dari X pada kasus 2-tahap
                    (M - m) S2 M M 2 N i − ni Si2
           ˆ ) = M2
         V(X
                      M
                             b

                            m m
                               + ∑ Ni N n
                                          i     i

             1 M
        2
dimana Sb =     ∑(Xi − X )
            M -1 i
                           2



                1 Ni
         Si2 =     ∑
               N -1 j
                      ( X ij − X i ) 2
Substitusikan varians ke psu dan ssu pada kasus 3-tahap, akan
didapatkan


                   2 (M i − m ) S
                     2         L                          2
       L-l S  L
 (2) L   2
             + ∑ Mi  b                                    i
        L l   l j      Mi       m
                               L
             1
 dimana S =
            L -1
                2
                b∑ (X i − X i ) 2



                                Mi
                  1
             S =
               i
                2
                      ∑ (Xij − X i )
                 Mi -1 j
                                     2
Selanjutnya, kita substitusikan varians 2-tahap ke ssu dan tsu dari kasus
3-tahap. Maka:


               Mi − m S   Mi     2              Mi
                                                          N ij − n ij S    2

  (3)        M   2
                 i
                Mi m m
                        +       i
                                                ∑N
                                                j
                                                     2
                                                     ij
                                                             N ij    n ij
                                                                          ij


                                     (3) M i2

  dimana
                                N0
                     1
              S =2
                ij        ∑ ( X ijk − X ij )
                  N ij − 1 k
                                             2
ˆ
Lalu, gabungkan persamaan (2) dan (3) untuk mendapatkan X
3-tahap
(4)




Persamaan diatas dapat dibagi menjadi 3 komponen, yaitu:
Example 1.
                                            .   ,

Menggunakan contoh 11.2, akan dihitung varians dari X
                                                ,         ˆ
                                         ,
1. Cari X ij (jumlah total buku pada kelas ke - j dan sekolah ke - i)
                                         ,

                                                ,
                                                ,


Untuk X11 kita dapatkan
        N11 = 3
X11 =   ∑Xk
                  11k   = X111 + X112 + X113 = 2 + 4 + 6 = 12


Kemudian untuk X ij lainnya kita hitung dengan cara yang sama,
didapatkan :
X11 = 12, X 12 = 18, X13 = 24
X 21 = 18, X 22 = 24, X 23 = 30
X 31 = 24, X 32 = 12, X 33 = 18
2. Cari X i (jumlah total buku pada sekolah ke - i)


Untuk X1 kita dapatkan
      M1
X1 = ∑ X1j = X11 + X12 + X13 = 12 + 18 + 24 = 54
      j



Dengan cara yang sama, kita dapatkan
X1 = 54, X 2 = 72, X 3 = 54
ˆ
3. Cari X (rata - rata jumlah buku di setiap sekolah)
       M1
ˆ = 1 ∑ X = 1 (54 + 72 + 54) = 60
X        1
    L       3

           2
4.Cari S   b

      1 L
S2 =
 b
     L -1
          ∑ (X i − X ) 2

      1
   =      [(54 - 60) 2 + (72 - 60) 2 + (54 - 60) 2 ] = 108
     3 -1
5. Cari X1 (rata - rata jumlah buku di setiap kelas
pada sekolah ke - i)


Untuk i = 1 , kita dapatkan
          M1
     1          1
X1 =
     M1
        ∑ X1j = 3 (12 + 18 + 24) = 18

Dengan cara yang sama, akan didapatkan
X1 = 18, X 2 = 24, X3 = 18
2
6.Cari Si

      1 M1
 2
S1 =
     M1 − 1
            ∑ (X1j −X1 ) 2



     1             2           2           2
  =      [(12 - 18) + (18 - 18) + (24 - 18) ] = 36
    3 -1
Dengan cara yang sama, akan didapatkan
 2           2
S = 36 dan S = 36
 2           3
7.Cari Xij (rata - rata jumlah buku setiap siswa di kelas ke - j
dan sekolah ke - i).
       1             1
X11 =
      N11
          ∑ X11k = 3 (12) = 4
Dengan cara yang sama, akan didapatkan
X11 = 4, X12 = 6, X13 = 8
X 21 = 6, X 22 = 8, X 23 = 10
X31 = 8, X32 = 4, X33 = 6
2
8. Cari Sij
                    N11
          1
 2
S =
 11
      N11     −1
                 ∑ (X     1ik   − X 111 )   2



     1           2         2         2
  =      [(2 - 4) + (4 - 4) + (6 - 4) ] = 4
    3 -1
Dengan cara yang sama, akan didapatkan
 2             2                2               2
S = 4, S = 4, S = 4, S = 4
 12            13               21              22
 2             2                2               2
S = 4, S = 4, S = 4, S = 4
 23            31               32              33
2 Mi − m S
                2       L             2
         L-l S  L
  ˆ    2
V(X) = L       + ∑ Mi
                b                     i
          L l   l       Mi m
        L   L       L N ij − nij S
                                 2

       + ∑ M i ∑ N ij
              2     2            ij

        l                N ij nij
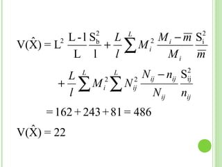
     = 162 + 243 + 81 = 486
  ˆ
V(X) = 22
1.4 ESTIMATOR DARI

Bentuk dari estimator untuk klaster sampling 2-tahap :

   ( )   M − m Sb2 M                      N i − ni S i2
                                   m
  ˆ ˆ
 V X =M2          +                ∑ N i2




                                                          TEORI SAMPLING MT 505
          M m m                              N i ni

 s =
  2
  b
      1 m ˆ ˆ
     m −1
          ∑ X −X   (       )   2
                                          ˆ  1 m ˆ
                                          X = ∑ Xi
                                             m
         1 ni
 si2 =       ∑  ( xij − xi ) 2            xi =
                                               xi
       ni − 1 j                                ni
             ni
 ˆ = Ni
                                                ni
 Xi
     ni
            ∑x    ij                      xi = ∑ xij
Untuk kasus 3-tahap, penaksir varians menjadi :


 ( )     L − 1 S b2 L 2 M i − m Si2 L l M i m 2 N ij − nij Sij
                                                             2
 ˆ ˆ
V X = L2           − Mi            + ∑     ∑ N ij N n
          L l       l    Mi m l i m j                 ij    ij


                sb =
                 2     1 l ˆ ˆ
                         ∑ X −X
                     l −1 i
                                  (               )   2




                si2 =
                        1 mi
                            ∑
                      mi − 1 j
                                      (
                                      ˆ
                               X ij − X i                 )   2




                =         (
                    1 l ˆ ˆ
                      ∑ X−X
                  l −1 j
                                          )   2




                                      (                   )
                              n
                         1     ij
                                                              2
                sij =
                 2
                             ∑ xijk − xij
                      nij − 1 k
Ketika l < L kita dapat menyederhanakan estimator untuk variansi di
atas menjadi:

         L   L −1 2 l l                    l l M i mi 2 N ij − nij sij 
     ( )
             2                                                         2
                                2 M i − m si
    ˆ ˆ
   V X =         lSb − ∑ M i              + ∑     ∑ N ij N n 
        l  L         L         M i mi L i mi j               ij    ij 
                                                                          
              sb 
                2
           =L 
             2
              l 
              


Contoh :
Diketahui ada suatu populasi L =580 sekolah, kemudian diambil
sebuah sample l=5 sekolah, m = 2 kelas dari setiap sekolah ,dan n = 4
 siswa dari setiap kelas . Estimasi berapa banyak jumlah buku yang
dimiliki siswa dalam populasi jika diketahui L=580 , l=5, 1/L=5/580.
Ausmsikan M i = M = 6 kelas per sekolah dan N ij = N = 40 siswa per
kelas.
Sekolah   Siswa   Kelas j=1                     Kelas j=2
1         k=1     x111=5                        x121=4
                                                         nik
            2     x112=4                        x122=6
                                                         ∑x
                             nik
                                                                             = 16
                  x113=7 ∑
                           x       11k   = 23                        12 k
            3                                   x123=1
            4     x114=7                        x124=5


2         k=1     x211=5                        x221=4
                           nik                            nik
            2     x212=4                        x222=6
                           ∑ x 21k = 16                  ∑x            22 k   = 17
            3     x213=7                        x223=1
            4     x214=7                        x224=5


3         k=1     x311=5                        x321=4
            2     x312=4 nik                    x322=6 nik
                           ∑ x 31k = 12                 ∑x           32 k   = 15
            3     x313=7                        x323=1
            4     x314=7                        x324=5


4         k=1     x411=5                        x421=4
                             nik                               nik
            2     x412=4                        x422=6
                            ∑x     41k = 10                  ∑x             42 k   = 21
            3     x413=7                        x423=1
            4     x414=7                        x424=5


5         k=1     x511=5                        x521=4
                            nik                           nik
            2     x512=4                        x522=6
                            ∑x     51k   = 21            ∑x            42 k   = 17
            3     x513=7                        x523=1
            4     x514=7                        x524=5
1.5 ALOKASI SAMPEL
Misal biaya pemilihan psu,ssu dan tsu yaitu c1 , c2 , dan c3 kemudian total biaya
dimisalkan c , maka :
                     c = c1l +c2lm +c3lm n
Dari persamaan fungsi biaya tersebut kita menentukan
dengan cara meminimumkan         . Untuk menyederhanakan, kita
asumsikan bahwa nij = n . Karena itu menjadi :
.




dimana
Dengan menggunakan pengali Lagrange diperoleh :

3 stage cluster sampling

  • 1.
    PENGAMBILAN SAMPEL TEORI SAMPLING MT 505 BERKELOMPOK TIGA TAHAP (THREE-STAGE CLUSTER SAMPLING) Kelompok 7 Nurharis Haryanto 0905883 Atiya Maulani 0905645 Vanissa Hapsari 0905655 Maria Lemorenty 0905721
  • 2.
    1.2 PENDAHULUAN KLUSTERSAMPLING TIGA TAHAP PSU Primary Sampling Units hasil dari tahap kedua juga masih TEORI SAMPLING MT 505 berupa kluster SSU Secondary Sampling SSU SSU Units pada tahap ketiga diturunkan sampel sub dari cluster hasil sampling tahap dari masing-masing pertama cluster yang diperoleh dari tahap kedua TSU TSU TSU TSU TSU TSU TSU TSU TSU Sebagaimana proses sampling pada tahap pertama dan kedua, tahap ketiga juga dapat menggunakan salah satu dari berbagai teknik random yang ada.
  • 3.
    KEUNTUNGAN Keuntungan dari samplingtiga tahap sama dengan klaster sampling dua tahap. Kita hanya butuh persiapan kerangka untuk psu,ssu dan tsu dalam pemilihan sampel. KEKURANGAN • ketika memilih psu,ssu dan tsu menggunakan sampling acak sederhana, unit ini harus kurang lebih sama dalam ukuran. • terdapat banyak keheterogenan antar psu, tetapi kehomogenan antar ssu dan tsu
  • 4.
    Contoh Kasus : Kitaakan mengestimasi jumlah total buku yang dimiliki siswa kelas enam di kota Bandung. Misal terdapat L = 580 sekolah dasar (psu) , asumsikan = 10 dipilih sebagai sampel acak dari psu. Dari sampel sekolah ke-i (psu) mempunyai M i kelas (ssu) kelas enam, dan andaikan m = 2 kelas (ssu) dipilih dari setiap sampel sekolah. Terakhir, kita asumsikan terdapat N ij siswa (tsu) dalam sampel kelas ke-j dari sampel sekolah ke-i dan subsampel nij siswa dipilih dari kelas ke-j. Andaikan nij = 3 siswa, yaitu 3 siswa dipilih dari N ij = 50 siswa dari kelas ke-j dalam sekolah ke-i. Banyaknya buku yang dimiliki masing-masing siswa dalam j kelas dapat ditunjukkan oleh xij1 = 4 buku xij 2 = 3 buku xij 3 = 5 buku
  • 5.
    Banyaknya buku yangdimiliki siswa dalam subsampel dapat ditunjukkan oleh xijk . Huruf besar X ijk digunakan sebagai nilai populasi. Harus diingat bahwa beberapa subskrip digunakan untuk dua pernyataan berbeda. Satu untuk populasi dan yang satu lagi untuk sampel. Sebagai contoh X ij = X 35 adalah j= 5 kelas dalam i= 3 sekolah pada populasi. sedangkan, xij = x35 yaitu j = 5 kelas sampel dalam i= 3 sampel sekolah . L  psu sekolah Mi m ssu kelas N ij nij tsu siswa
  • 6.
    1.2 PENAKSIR TOTALPOPULASI DAN PENAKSIR RATA-RATA POPULASI � � TEORI SAMPLING MT 505 Populasi Sampel �� � psu sekolah ��� ��� ഥ ssu kelas tsu siswa
  • 7.
    � �� ��� Penaksir tak bias untuk total populasi � � ෠ � �� �= ෠ ෠ ෠ ���� � � ��� ഥ � � � TEORI SAMPLING MT 505 ഥ • ���� : banyaknya buku yang dimiliki oleh siswa ke-� dalam • σ ���� : penaksir total banyaknya buku dari ��� siswa. kelas ke-� dari sekolah ke-� σ ���� : penaksir rata-rata banyaknya buku dari ��� siswa yang 1 � �� • σ ���� : penaksir dari total banyaknya buku dalam kelas ke-�. dipilih dari kelas ke-�. ��� � �� •
  • 8.
    • σ σ ���� : penaksir dari total buku untuk � kelas yang ��� � �� ഥ ෠ഥ෠σ σ ���� : penaksir dari rata-rata banyaknya buku per dipilih dari sekolah ke-�. 1 � �� � � �� • TEORI SAMPLING MT 505 ෠ ഥ෠σ σ ���� : penaksir dari total buku dalam sekolah ke-�. kelas dalam sekolah ke-� �� � �� � � �� • • σ σ �� σ ���� : total buku dari � sampel sekolah �� � � ഥ � �� • ෠ ෠σ σ �� σ ���� : penaksir rata-rata dari banyaknya buku per 1 �� � � � ഥ � �� σ σ σ ���� : penaksir dari total buku untuk � sekolah. � �� ��� sekolah. � � ഥ � �� •
  • 9.
    Misal � =3 sekolah (psu), dan kita akan menaksir total buku Contoh Kasus: asumsikan masing-masing sekolah memiliki �� = 3 kelas (ssu), yang dimiliki oleh siswa kelas 6. Untuk menyederhanakannya, dan masing-masing kelas memiliki ��� = 3 siswa (tsu). TEORI SAMPLING MT 505 Tabel 1 Populasi � �� ��1 ��1� ��2 ��2� ��3 ��3� Sekolah Kelas Siswa Buku Siswa Buku Siswa Buku �111 = 2 �121 = 4 �131 = 6 �1 = 3 �11 = 3 �112 = 4 �12 = 3 �122 = 6 �13 = 3 �132 = 8 �113 = 6 �123 = 8 �133 = 10 1 �211 = 4 �221 = 6 �231 = 8 �2 = 3 �21 = 3 �212 = 6 �22 = 3 �222 = 8 �23 = 3 �232 = 10 �213 = 8 �223 = 10 �233 = 12 2 �311 = 6 �321 = 2 �331 = 4 �3 = 3 �31 = 3 �312 = 8 �32 = 3 �322 = 4 �33 = 3 �332 = 6 �313 = 10 �323 = 6 �333 = 8 3
  • 10.
    Berdasarkan Tabel 1diperoleh total siswa � = 27 siswa, � = 180 buku Penyelesaian Pilih sampel sebanyak � = 2 sekolah (psu), dari masing-masing sekolah pilih � 2 kelas (ssu), dari masing-masing kelas pilih ��� = � 2 siswa (tsu). Kita akan memiliki sebuah sampel berukuran ��� � = 8 siswa yang akan digunakan ഥ= ത= ഥത= TEORI SAMPLING MT 505 untuk menaksir total buku dari populasi. Tabel 1 Sampel �=2 � 2 ��� = 2 ���� = ���� �12 = 3 �11 = 2 �122 = �111 = 6 �121 = �112 = 4 ഥ= �1 = 3 �13 = 3 �12 = 2 �131 = �121 = 6 �133 = �122 = 10 �31 = 3 �21 = 2 �313 = �211 = 10 �312 = �212 = 8 �3 = 3 �33 = 3 �22 = 2 �331 = �221 = 6 �333 = �222 = 8
  • 11.
    Sekolah (�) Kelas (�� ) Siswa (��� ) 1 4 buku 1 2 6 buku 1 2 (A) 3 3 (B) 1 6 buku 2 TEORI SAMPLING MT 505 3 10 buku 1 2 2 3 1 2 8 buku 1 (C) 3 10 buku 3 2 3 (D) 1 4 buku 2 3 8 buku
  • 12.
    Sekolah (�) Kelas (�) Siswa (��� ) �111 = 4 𝑏𝑢�𝑢 ഥ �112 = 6 𝑏𝑢�𝑢 1 1 (A) 2 �121 = 6 𝑏𝑢�𝑢 1 TEORI SAMPLING MT 505 1 �122 = 10 𝑏𝑢�𝑢 2 (B) 2 �211 = 8 𝑏𝑢�𝑢 �212 = 10 𝑏𝑢�𝑢 1 1 (C) 2 �221 = 4 𝑏𝑢�𝑢 2 �222 = 8 𝑏𝑢�𝑢 1 2 (D) 2
  • 13.
    Langkah-langkah menentukan totaljumlah buku yang dimiliki siswa kelas 6 � �� ��� � � dari populasi ෠ � �� �= ෠ ෠ ෠ ���� � � ��� ഥ � � � ഥ  Total banyaknya dari ��� siswa yang dipilih dari kelas ke-�. TEORI SAMPLING MT 505 � �� ��� = ෠ ���� �=1 Kelas � σ � 11 �11� = �111 + �112 = 4 + 6 = 10 �=1 � σ � 12 �12� = �121 + �122 = 6 + 10 = 16 �=1 � σ � 21 �21� = �211 + �212 = 8 + 10 = 18 �=1 � σ � 22 �22� = �221 + �222 = 4 + 8 = 12 �=1
  • 14.
     Penaksir rata-ratabanyaknya buku dari ��� siswa yang dipilih dari � �� 1 kelas ke-� �ҧ = ෠ ���� �� ��� �=1  Penaksir dari total banyaknya buku dalam kelas ke-�, � �� ��� TEORI SAMPLING MT 505 ෠ ��� = ��� ��� = ෠ො෠ ෠ ���� ��� ො ො ො ො �=1 � �� � �� 1 ��� Tabel 3 �ҧ = ෠ ���� ෠ ��� = ��� ��� = ෠ො෠ ෠ ���� �� ��� ��� ො ො ො �=1 �=1 ො 1 1 3 � ൬෠෠ ෠ = ൬෠෠ ෠ = 5 10 10 ൬෠෠ ෠ = 15 10 � 2 2 1 1 3 � ൬෠෠ ෠ = ൬෠෠ ෠ = 8 16 16 ൬෠෠ ෠ = 24 16 ത � 2 2 1 1 3 � ൬෠෠ ෠ = ൬෠෠ ෠ = 9 18 18 ൬෠෠ ෠ = 27 18 ത � 2 2 1 1 3 � ൬෠෠ ෠ = ൬෠෠ ෠ = 6 12 12 ൬෠෠ ෠ = 18 12 ത �ത 2 2
  • 15.
     Penaksir daritotal buku untuk � kelas yang dipilih dari sekolah ke-�. ഥ  Penaksir dari rata-rata banyaknya buku per kelas dalam sekolah ke-� Tabel 4 � �� � �� ��� � TEORI SAMPLING MT 505 ෠ 1 � � ෠ ෠ ���� �� ധ = ෠ �� ෠ ���� ��� � ഥ ��� ഥ ഥ � �=1 � �=1 3 3 1 39 �+� ൬෠෠ ෠+ ൬෠෠ ෠ = 39 10 16 ൬෠෠ ෠ = 39 2 2 2 2 3 3 1 45 �+� ൬෠෠ ෠+ ൬෠෠ ෠ = 45 18 12 ෠ ෠= ൬෠ 45 2 2 2 2
  • 16.
     Penaksir daritotal buku dalam sekolah ke-�. Tabel 1 � �� �� ��� � ෠ �� = ෠ ෠ ���� � ഥ ��� ഥ TEORI SAMPLING MT 505 � �=1 �=1 3 ෠ = ൬෠෠ ෠ �� 39 2 3 �=2 ෠ = ൬෠෠ ෠ �� 45 2  Penaksir total buku dari � sampel sekolah 3 3 ෠ �� = �1 + �2 = ෠39෠+ ෠45෠= 126 � ෠ ෠ ෠ 2 2 �
  • 17.
    �෠ ෠ ത= 1 σ �=2 �� = 1 ෠ ෠= 63 buku 126  Penaksir rata-rata dari banyaknya buku per sekolah. � �=1 2  Penaksir tak bias dari total banyaknya buku untuk � = 3 sekolah. ෠ � � �� �ഥ� � � = σ � ഥ σ � �� σ � �� ���� = ෠ ෠ 63෠= 189 buku 3 ෠ TEORI SAMPLING MT 505 � � � ��
  • 18.
    ˆ 1.3 VARIANS DARI X ˆ Varians dari estimator tak bias X , untuk sampling cluster 3-tahap didapatkan dengan menggabungkan dua varians sampling cluster 2- tahap. TEORI SAMPLING MT 505 Skema 2-tahap psu———ssu ˆ Dengan varians X ˆ V(X) = (psu varians S2 ) + (ssu varians Si2 ) b
  • 19.
    Skema 3-tahap psu—————ssu (1st case) ssu ————— tsu (2nd case) ˆ Varians dari X pada kasus 2-tahap (M - m) S2 M M 2 N i − ni Si2 ˆ ) = M2 V(X M b m m + ∑ Ni N n i i 1 M 2 dimana Sb = ∑(Xi − X ) M -1 i 2 1 Ni Si2 = ∑ N -1 j ( X ij − X i ) 2
  • 20.
    Substitusikan varians kepsu dan ssu pada kasus 3-tahap, akan didapatkan 2 (M i − m ) S 2 L 2 L-l S L (2) L 2 + ∑ Mi b i L l l j Mi m L 1 dimana S = L -1 2 b∑ (X i − X i ) 2 Mi 1 S = i 2 ∑ (Xij − X i ) Mi -1 j 2
  • 21.
    Selanjutnya, kita substitusikanvarians 2-tahap ke ssu dan tsu dari kasus 3-tahap. Maka: Mi − m S Mi 2 Mi N ij − n ij S 2 (3) M 2 i Mi m m + i ∑N j 2 ij N ij n ij ij (3) M i2 dimana N0 1 S =2 ij ∑ ( X ijk − X ij ) N ij − 1 k 2
  • 22.
    ˆ Lalu, gabungkan persamaan(2) dan (3) untuk mendapatkan X 3-tahap (4) Persamaan diatas dapat dibagi menjadi 3 komponen, yaitu:
  • 23.
    Example 1. . , Menggunakan contoh 11.2, akan dihitung varians dari X , ˆ , 1. Cari X ij (jumlah total buku pada kelas ke - j dan sekolah ke - i) , , , Untuk X11 kita dapatkan N11 = 3 X11 = ∑Xk 11k = X111 + X112 + X113 = 2 + 4 + 6 = 12 Kemudian untuk X ij lainnya kita hitung dengan cara yang sama, didapatkan : X11 = 12, X 12 = 18, X13 = 24 X 21 = 18, X 22 = 24, X 23 = 30 X 31 = 24, X 32 = 12, X 33 = 18
  • 24.
    2. Cari Xi (jumlah total buku pada sekolah ke - i) Untuk X1 kita dapatkan M1 X1 = ∑ X1j = X11 + X12 + X13 = 12 + 18 + 24 = 54 j Dengan cara yang sama, kita dapatkan X1 = 54, X 2 = 72, X 3 = 54
  • 25.
    ˆ 3. Cari X(rata - rata jumlah buku di setiap sekolah) M1 ˆ = 1 ∑ X = 1 (54 + 72 + 54) = 60 X 1 L 3 2 4.Cari S b 1 L S2 = b L -1 ∑ (X i − X ) 2 1 = [(54 - 60) 2 + (72 - 60) 2 + (54 - 60) 2 ] = 108 3 -1
  • 26.
    5. Cari X1(rata - rata jumlah buku di setiap kelas pada sekolah ke - i) Untuk i = 1 , kita dapatkan M1 1 1 X1 = M1 ∑ X1j = 3 (12 + 18 + 24) = 18 Dengan cara yang sama, akan didapatkan X1 = 18, X 2 = 24, X3 = 18
  • 27.
    2 6.Cari Si 1 M1 2 S1 = M1 − 1 ∑ (X1j −X1 ) 2 1 2 2 2 = [(12 - 18) + (18 - 18) + (24 - 18) ] = 36 3 -1 Dengan cara yang sama, akan didapatkan 2 2 S = 36 dan S = 36 2 3
  • 28.
    7.Cari Xij (rata- rata jumlah buku setiap siswa di kelas ke - j dan sekolah ke - i). 1 1 X11 = N11 ∑ X11k = 3 (12) = 4 Dengan cara yang sama, akan didapatkan X11 = 4, X12 = 6, X13 = 8 X 21 = 6, X 22 = 8, X 23 = 10 X31 = 8, X32 = 4, X33 = 6
  • 29.
    2 8. Cari Sij N11 1 2 S = 11 N11 −1 ∑ (X 1ik − X 111 ) 2 1 2 2 2 = [(2 - 4) + (4 - 4) + (6 - 4) ] = 4 3 -1 Dengan cara yang sama, akan didapatkan 2 2 2 2 S = 4, S = 4, S = 4, S = 4 12 13 21 22 2 2 2 2 S = 4, S = 4, S = 4, S = 4 23 31 32 33
  • 30.
    2 Mi −m S 2 L 2 L-l S L ˆ 2 V(X) = L + ∑ Mi b i L l l Mi m L L L N ij − nij S 2 + ∑ M i ∑ N ij 2 2 ij l N ij nij = 162 + 243 + 81 = 486 ˆ V(X) = 22
  • 31.
    1.4 ESTIMATOR DARI Bentukdari estimator untuk klaster sampling 2-tahap : ( ) M − m Sb2 M N i − ni S i2 m ˆ ˆ V X =M2 + ∑ N i2 TEORI SAMPLING MT 505 M m m N i ni s = 2 b 1 m ˆ ˆ m −1 ∑ X −X ( ) 2 ˆ 1 m ˆ X = ∑ Xi m 1 ni si2 = ∑ ( xij − xi ) 2 xi = xi ni − 1 j ni ni ˆ = Ni ni Xi ni ∑x ij xi = ∑ xij
  • 32.
    Untuk kasus 3-tahap,penaksir varians menjadi : ( ) L − 1 S b2 L 2 M i − m Si2 L l M i m 2 N ij − nij Sij 2 ˆ ˆ V X = L2 − Mi + ∑ ∑ N ij N n L l l Mi m l i m j ij ij sb = 2 1 l ˆ ˆ ∑ X −X l −1 i ( ) 2 si2 = 1 mi ∑ mi − 1 j ( ˆ X ij − X i ) 2 = ( 1 l ˆ ˆ ∑ X−X l −1 j ) 2 ( ) n 1 ij 2 sij = 2 ∑ xijk − xij nij − 1 k
  • 33.
    Ketika l <L kita dapat menyederhanakan estimator untuk variansi di atas menjadi:  L   L −1 2 l l l l M i mi 2 N ij − nij sij  ( ) 2 2 2 M i − m si ˆ ˆ V X =   lSb − ∑ M i + ∑ ∑ N ij N n  l  L L M i mi L i mi j ij ij    sb  2 =L  2  l    Contoh : Diketahui ada suatu populasi L =580 sekolah, kemudian diambil sebuah sample l=5 sekolah, m = 2 kelas dari setiap sekolah ,dan n = 4 siswa dari setiap kelas . Estimasi berapa banyak jumlah buku yang dimiliki siswa dalam populasi jika diketahui L=580 , l=5, 1/L=5/580. Ausmsikan M i = M = 6 kelas per sekolah dan N ij = N = 40 siswa per kelas.
  • 34.
    Sekolah Siswa Kelas j=1 Kelas j=2 1 k=1 x111=5 x121=4 nik 2 x112=4 x122=6 ∑x nik = 16 x113=7 ∑ x 11k = 23 12 k 3 x123=1 4 x114=7 x124=5 2 k=1 x211=5 x221=4 nik nik 2 x212=4 x222=6 ∑ x 21k = 16 ∑x 22 k = 17 3 x213=7 x223=1 4 x214=7 x224=5 3 k=1 x311=5 x321=4 2 x312=4 nik x322=6 nik ∑ x 31k = 12 ∑x 32 k = 15 3 x313=7 x323=1 4 x314=7 x324=5 4 k=1 x411=5 x421=4 nik nik 2 x412=4 x422=6 ∑x 41k = 10 ∑x 42 k = 21 3 x413=7 x423=1 4 x414=7 x424=5 5 k=1 x511=5 x521=4 nik nik 2 x512=4 x522=6 ∑x 51k = 21 ∑x 42 k = 17 3 x513=7 x523=1 4 x514=7 x524=5
  • 35.
    1.5 ALOKASI SAMPEL Misalbiaya pemilihan psu,ssu dan tsu yaitu c1 , c2 , dan c3 kemudian total biaya dimisalkan c , maka : c = c1l +c2lm +c3lm n Dari persamaan fungsi biaya tersebut kita menentukan dengan cara meminimumkan . Untuk menyederhanakan, kita asumsikan bahwa nij = n . Karena itu menjadi : . dimana
  • 36.
    Dengan menggunakan pengaliLagrange diperoleh :

Editor's Notes

  • #2 TEORI SAMPLING MT 505