INSECT
HORMONES
Manduca sexta
Rhodnius prolixus
Main Endocrine Centres
Prothoracic (ecdysial) gland
Neurosecretory cells in VNC
Corpus allatum
Corpus cardiacum
Neurosecretory cells in SEG
Neurosecretory cells in brain
Brain
Ovary
Corpora cardiaca
Corpora allata
Neuroendocrine Regulation
Central nervous system
Neurohemal organ
Neurosecretory cells
Neurohormone
Neurohormone
Hormone
Hormone
Endocrine gland
Target cell
• •
• •
•
• • •
• •
•
•
+/-
+/-
+/-
+/-
+/-
+/-
Target cell
Physiological Actions of Hormones
1. Metabolism and homeostasis
* Metabolism of carbohydrates, lipids
* Water balance and diuresis (excretion of water following a blood meal)
* Cardioactive and muscle stimulation/inhibition
2. Growth, molting and metamorphosis
3. Reproduction
4. Diapause = state of arrested development
* Any stage - egg, larval, pupal, adult
5. Phase or caste polymorphism
* Social insects - ants, termites, honeybees
* Locusts and aphids show phase polymorphism
6. Behaviour
* During molting process
* Migration
* Reproductive behavior
* Social behavior
* Pheromones
Sensitive periods for JH
JH level
Ecdysone
level
4th instar 5th instar
Outer epicuticle
Inner epicuticle
Epicuticle
Exocuticle
Endocuticle
Epidermis
Basement membrane
Pore canals
Procuticle
Moulting and Hormones
Moulting Cycle (Part 1)
Step 1 Step 2 Step 3/4
Moulting Cycle (Part 2)
Step 5-7 Ecdysis New Integument
CH2
CH2
CH3
CH3
CH3
CH3
CH3
CH2
O
O
O
C
C
C
H
H
H
C CH2
C
CH3
CH3
CH2
CH2
CH3
CH3
CH3
CH3
CH3
CH2
O
O
O
C
C
C
H
H
H
C CH2
C
CH3
CH2
CH2
CH3
CH3
CH3
CH3
CH3
CH2
O
O
O
C
C
C
H
H
H
C CH2
C
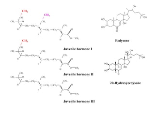
Ecdysone
Juvenile hormone I
Juvenile hormone II
Juvenile hormone III
20-Hydroxyecdysone
Juvenile hormone
Penultimate larval instar Final larval instar Adult
JH sensitive period
JH
Titer
Corpus cardiacum
Corpus allatum
Brain
(neurosecretory cells)
Production, storage and release of
protothoracicotropic hormone (PTTH}
PTTH stimulates
Ecdysone (ec)
Juvenile hormone (JH)
Binding protein (JHBP)
JH-JHBP 20-hydroxyecdysone
chromosomes
RNA
Protein synthesis
Larval structures
chromosomes
RNA
Protein synthesis
Pupal structures
chromosomes
RNA
Protein synthesis
Adult structures
Action pathway for JH and Ecdysone
Moulting video
http://www.vanderbilt.edu/exploration/news/news_bursicon.htm

15012049