Ex. (1). A random variable X has the following probability distribution :
Probability Distribution
X = x 0 1 2 3 4 5 6
P(X = x) k 3k 5k 7k 9k 𝟏𝟏𝒌 13𝒌
Find (i) k (ii) p(X < 3) (iii) P(X ≥ 𝟐) (iv) P(0 < X < 4) (v) P(2 ≤ X ≤ 5)
Solution : For a random voriable X we have
𝒑𝒊 = 𝟏
𝒏
𝒊=𝟏
∴ 𝒌 + 𝟑𝒌 + 𝟓𝒌 + 𝟕𝒌 + 𝟗𝒌 + 𝟏𝟏𝒌 + 𝟏𝟑𝒌 = 𝟏
𝒊. 𝒆. 𝟒𝟗𝒌 = 𝟏 ⇒ 𝒌 =
𝟏
𝟒𝟗
X = x 0 1 2 3 4 5 6
P(X = x) 𝟏
𝟒𝟗
𝟑
𝟒𝟗
𝟓
𝟒𝟗
𝟕
𝟒𝟗
𝟗
𝟒𝟗
𝟏𝟏
𝟒𝟗
𝟏𝟑
𝟒𝟗
(𝒊)𝒌 =
𝟏
𝟒𝟗
(ii) p(X < 3) = P(X = 0) + P(X = 1) + P(X = 2)
=
𝟏
𝟒𝟗
+
𝟑
𝟒𝟗
+
𝟓
𝟒𝟗
=
𝟗
𝟒𝟗
(iii) P(X ≥ 𝟐) = P(X = 2) + P(X = 3) + P(X = 4) + P(X = 5) + P(X = 6)
(iv) P(0 < X < 4) = P(X = 1) + P(X = 2) + P(X = 3)
(v) P(2 ≤ X ≤5) = P(X = 2) +P(X = 3) + P(X = 4) + P(X = 5)
=
𝟓
𝟒𝟗
+
𝟕
𝟒𝟗
+
𝟗
𝟒𝟗
+
𝟏𝟏
𝟒𝟗
=
𝟑𝟐
𝟒𝟗
Ex. (2). Calculate the Expected value and variance of x if x denotes the number obtained
on the uppermost face when o fir die is thrown.
Solution : When a fair die is thrown, the sample space is S = {1,2, 3, 4, 5, 6}.
The probability distribution is
Let X denotes the number obtained on the upper most face.
∴ X can take values 1, 2, 3, 4, 5, 6.
P(X = 1) = P(X = 2) = P(X = 3) = P(X = 4) = P(X = 5) = P(X = 6) =
𝟏
𝟔
X = x 1 2 3 4 5 6 Total
P(X = x) 𝟏
𝟔
𝟏
𝟔
𝟏
𝟔
𝟏
𝟔
𝟏
𝟔
𝟏
𝟔
1
x𝒊 . p𝒊 𝟏
𝟔
𝟐
𝟔
𝟑
𝟔
𝟒
𝟔
𝟓
𝟔
𝟔
𝟔
𝟐𝟏
𝟔
=
𝟕
𝟐
𝒙𝒊
𝟐
. p𝒊
𝟏
𝟔
𝟒
𝟔
𝟗
𝟔
𝟏𝟔
𝟔
𝟐𝟓
𝟔
𝟑𝟔
𝟔
𝟗
𝟔
(i) Expected value = E(X) = 𝒙𝒊 , 𝒑𝒊 =
𝟕
𝟐
= 𝟑. 𝟓
𝒏
𝒊=𝟏
(ii) Variance = V(X) = E(𝑿𝟐) – [𝑬 𝑿 ]𝟐
𝒙𝒊
𝟐
, 𝒑𝒊 − 𝒙𝒊 , 𝒑𝒊
𝒏
𝒊=𝟏
𝟐
𝒏
𝒊=𝟏
=
𝟗𝟏
𝟔
−
𝟕
𝟐
𝟐
=
𝟗𝟏
𝟔
−
𝟒𝟗
𝟒
=
𝟏𝟖𝟐 − 𝟏𝟒𝟕
𝟏𝟐
∴ Variance =
𝟑𝟓
𝟏𝟐
= 𝟐. 𝟗𝟏𝟔𝟕
Ex. (3). A discrete random variable X takes the values -1, 0 and 2 with the 111
probabilities
𝟏
𝟒
,
𝟏
𝟐
,
𝟏
𝟒
respectively. Find V(X) and Standard Deviation.
Solution: Given that the random variable X takes the values -1, 0 and 2.
The corresponding probabilities are
𝟏
𝟒
,
𝟏
𝟐
,
𝟏
𝟒
.
P −𝟏 =
𝟏
𝟒
, P 𝟎 =
𝟏
𝟐
, P 𝟐 =
𝟏
𝟒
X = x -1 0 2 Total
P(X = x) 𝟏
𝟒
𝟏
𝟐
𝟏
𝟒
𝟏
𝒙𝒊𝒑𝒊
-
𝟏
𝟒
𝟎 𝟏
𝟐
𝟏
𝟒
𝒙𝒊
𝟐
𝒑𝒊
𝟏
𝟒
0 1 𝟓
𝟒
(i) Variance = V(X) = E(𝑿𝟐) – [𝑬(𝑿)]𝟐
𝒙𝒊
𝟐 𝒑𝒊 −
𝒏
𝒊=𝟏
𝒙𝒊𝒑𝒊
𝒏
𝒊=𝟏
𝟐
=
𝟓
𝟒
−
𝟏
𝟒
𝟐
=
𝟓
𝟒
−
𝟏
𝟏𝟔
=
𝟓 × 𝟒 − 𝟏
𝟏𝟔
=
𝟐𝟎 − 𝟏
𝟏𝟔
=
𝟏𝟗
𝟏𝟔
= 1.1875
(ii) Standard Deviation = 𝝈 = V(X) =
𝟏𝟗
𝟏𝟔
= 𝟏. 𝟏𝟖𝟕𝟓 = 1.0897
Given data can be tabulated as follows (TABLE ON PREVIOUS PAGE )
Ex. (4). The p.d.f. of X, find P(X<1) and P( 𝑿 < 𝟏) where
Solution : Given that the p.d.f of X is
𝒊 𝑷 𝑿 < 𝟏 = 𝒇 𝒙 𝒅𝒙
𝟏
−𝟐
𝒇 𝒙 =
𝒙 + 𝟐
𝟏𝟖
= 0
𝒊𝒇 − 𝟐 < 𝒙 < 𝟒
𝒐𝒕𝒉𝒆𝒓𝒘𝒊𝒔𝒆.
𝒇 𝒙 =
𝒙 + 𝟐
𝟏𝟖
= 0
𝒊𝒇 − 𝟐 < 𝒙 < 𝟒
𝒐𝒕𝒉𝒆𝒓𝒘𝒊𝒔𝒆.
=
𝒙 + 𝟐
𝟏𝟖
𝒅𝒙
𝟏
−𝟐
=
𝟏
𝟏𝟖
(𝒙 + 𝟐) 𝒅𝒙
𝟏
−𝟐
=
𝟏
𝟏𝟖
(𝒙 + 𝟐)𝟐
𝟐 −𝟐
𝟏
=
𝟏
𝟑𝟔
(𝒙 + 𝟐)𝟐
−𝟐
𝟏
=
𝟏
𝟑𝟔
𝟗 − 𝟎 =
𝟗
𝟑𝟔
=
𝟗
𝟑𝟔
= 𝟎. 𝟐𝟓
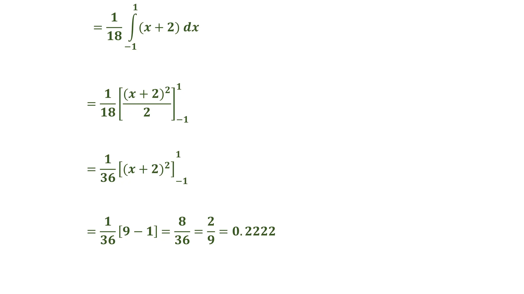
(ii) P( 𝑿 < 𝟏) = P (-1 < X < 1)
=
𝒙 + 𝟐
𝟏𝟖
𝒅𝒙
𝟏
−𝟏
=
𝟏
𝟏𝟖
(𝒙 + 𝟐)𝟐
𝟐 −𝟏
𝟏
=
𝟏
𝟑𝟔
(𝒙 + 𝟐)𝟐
−𝟏
𝟏
=
𝟏
𝟑𝟔
𝟗 − 𝟏 =
𝟖
𝟑𝟔
=
𝟐
𝟗
= 𝟎. 𝟐𝟐𝟐𝟐
=
𝟏
𝟏𝟖
(𝒙 + 𝟐) 𝒅𝒙
𝟏
−𝟏
Ex. (5). A random variable X has the following probability distribution :
Solution:
x 0 1 2 3 4 5 6 7
P(X = x) 0 k 2k 2k 3k 𝒌𝟐
2𝒌𝟐
7𝒌𝟐
+ k
Find (i) k (ii) (X < 3) (iii) P(X > 6) (iv) P(0 < X < 3) (v) P(2 ≤ X ≤ 4)
For given probability distribution
𝒑𝒊 = 𝟏
𝒏
𝒊=𝟏
…(∵ P.D is p.m.f )
∴ P(x = 0) + P(x = 1) + P(x = 2) + … + P(x = 7) = 1
∴ 0 + k + 2k + 2k + 3k + 𝒌𝟐 + 2𝒌𝟐 + 7𝒌𝟐 + k = 1
⇨ 𝟗𝒌 + 𝟏𝟎𝒌𝟐 = 𝟏
⇨ 𝟏𝟎𝒌𝟐
+ 𝟗𝒌 − 𝟏 = 𝟎
⇨ 𝟏𝟎𝒌𝟐 + 𝟏𝟎𝒌 − 𝒌 − 𝟏 = 𝟎
⇨ 𝟏𝟎𝒌(𝒌 + 𝟏) − 𝟏(𝒌 + 𝟏) = 𝟎
⇨ (𝒌 + 𝟏) (10k −𝟏) = 0
⇨ 𝒌 + 𝟏 = 0 or 10k −𝟏 = 0
𝒌 = -1 k =
𝟏
𝟏𝟎
or
For 𝒌 = -1 ⇨ P.D value
P 𝒙 = 𝟏 = −𝟏 which contradiction to fact 𝒑𝒊 ≥ 𝟎
∴ 𝒌 ≠ -1 is not consider
𝐏. 𝐃. will as follows
k =
𝟏
𝟏𝟎
∴
x 0 1 2 3 4 5 6 7
P(X = x) 0 𝟏
𝟏𝟎
𝟐
𝟏𝟎
𝟐
𝟏𝟎
𝟑
𝟏𝟎
𝟏
𝟏𝟎𝟎
𝟐
𝟏𝟎𝟎
𝟏𝟕
𝟏𝟎𝟎
(ii) (X < 3) = P(x = 0 or x = 1 o r x = 2)
= P(x = 0) + P(x = 1) + P(x = 2)
(X < 3) = 0 + k + 2k = 3k =
𝟑
𝟏𝟎
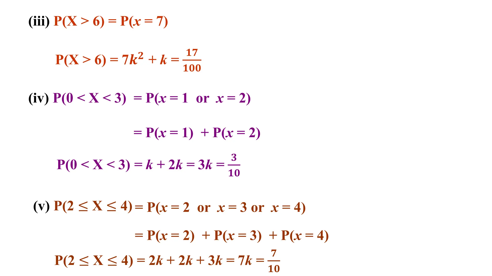
(iii) P(X > 6) = P(x = 7)
P(X > 6) = 7𝒌𝟐 + k =
𝟏𝟕
𝟏𝟎𝟎
(iv) P(0 < X < 3) = P(x = 1 or x = 2)
= P(x = 1) + P(x = 2)
P(0 < X < 3) = k + 2k = 3k =
𝟑
𝟏𝟎
(v) P(2 ≤ X ≤ 4) = P(x = 2 or x = 3 or x = 4)
= P(x = 2) + P(x = 3) + P(x = 4)
P(2 ≤ X ≤ 4) = 2k + 2k + 3k = 7k =
𝟕
𝟏𝟎
Ex. (6). The p.m.f of a random variable X is as follows :
Solution:
X = x 1 2 3 4
P(x) 𝟏
𝟑𝟎
𝟒
𝟑𝟎
𝟗
𝟑𝟎
𝟏𝟔
𝟑𝟎
Find Mean and Variance.
𝒙𝒊 𝒑𝒊 𝒙𝒊𝒑𝒊 𝒙𝒊
𝟐 𝒑𝒊
1 𝟏
𝟑𝟎
𝟏
𝟑𝟎
𝟏
𝟑𝟎
2 𝟏
𝟑𝟎
𝟖
𝟑𝟎
𝟏𝟔
𝟑𝟎
3 𝟗
𝟑𝟎
𝟐𝟕
𝟑𝟎
𝟖𝟏
𝟑𝟎
4 𝟏𝟔
𝟑𝟎
𝟔𝟒
𝟑𝟎
𝟐𝟓𝟔
𝟑𝟎
Total
𝒑𝒊 = 𝟏 𝒙𝒊𝒑𝒊 =
𝟏𝟎𝟎
𝟑𝟎
𝒙𝒊
𝟐
𝒑𝒊 =
𝟑𝟓𝟒
𝟑𝟎
Mean E(X) = 𝒙𝒊𝒑𝒊 =
𝟏𝟎𝟎
𝟑𝟎
𝒏
𝒊=𝟏
Mean =
𝟏𝟎𝟎
𝟑𝟎
Variance V(X) = E(𝑿𝟐
) - [𝐄(𝐗)]𝟐
= 𝒙𝒊
𝟐 𝒑𝒊 − 𝒙𝒊𝒑𝒊
𝒏
𝒊=𝟏
𝟐
𝒏
𝒊=𝟏
=
𝟑𝟓𝟒
𝟑𝟎
−
𝟏𝟎𝟎
𝟑𝟎
𝟐
=
𝟑𝟓𝟒
𝟑𝟎
−
𝟏𝟎,𝟎𝟎𝟎
𝟗𝟎𝟎
Variance =
𝟑𝟓𝟒 ×𝟑𝟎 − 𝟏𝟎,𝟎𝟎𝟎
𝟗𝟎𝟎
=
𝟏𝟖𝟔
𝟐𝟕𝟎
= 0.6888
Ex. (7). From a survey of 20 families in a society, the following data was obtained :
Solution:
No. of children 0 1 2 3 4
No. of families 𝟓 𝟏𝟏 𝟐 𝟎 2
For the random variable X = number of children in a randomly chosen family,
Find E(X) and V(X).
Total no. families = 5 + 11 + 2 + 0 + 2 = 20
X = { 0, 1, 2, 3, 4 }
Denotes random variable of no. children in a chosen family
P[x = 0] =
𝟓
𝟐𝟎
P[x = 1] =
𝟏𝟏
𝟐𝟎
P[x = 2] =
𝟐
𝟐𝟎
, P[x = 3] =
𝟎
𝟐𝟎
and P[x = 4] =
𝟐
𝟐𝟎
𝒙𝒊 𝒑𝒊 𝒙𝒊𝒑𝒊 𝒙𝒊
𝟐 𝒑𝒊
0 𝟓
𝟐𝟎
𝟎 𝟎
1 𝟏𝟏
𝟐𝟎
𝟏𝟏
𝟐𝟎
𝟏𝟏
𝟐𝟎
2 𝟐
𝟐𝟎
𝟒
𝟐𝟎
𝟖
𝟐𝟎
3 𝟎
𝟐𝟎
= 0 𝟎 𝟎
4 𝟐
𝟐𝟎
𝟖
𝟐𝟎
𝟑𝟐
𝟐𝟎
Total
𝒑𝒊 = 𝟏 𝒙𝒊𝒑𝒊 =
𝟐𝟑
𝟐𝟎
𝒙𝒊
𝟐 𝒑𝒊 =
𝟓𝟏
𝟐𝟎
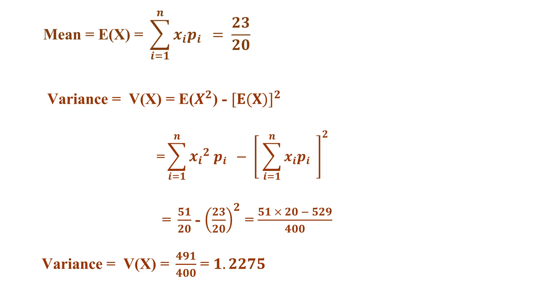
Mean = E(X) = 𝒙𝒊𝒑𝒊 =
𝟐𝟑
𝟐𝟎
𝒏
𝒊=𝟏
Variance = V(X) = E(𝑿𝟐) - [𝐄(𝐗)]𝟐
= 𝒙𝒊
𝟐 𝒑𝒊 − 𝒙𝒊𝒑𝒊
𝒏
𝒊=𝟏
𝟐
𝒏
𝒊=𝟏
=
𝟓𝟏
𝟐𝟎
-
𝟐𝟑
𝟐𝟎
𝟐
=
𝟓𝟏 × 𝟐𝟎 − 𝟓𝟐𝟗
𝟒𝟎𝟎
Variance = V(X) =
𝟒𝟗𝟏
𝟒𝟎𝟎
= 𝟏. 𝟐𝟐𝟕𝟓
Ex. (8). Find the c.d.f F(X) associated with the following p.d.f. f(x):
Solution :
𝒇(𝒙) = 𝒇 𝒙 𝒅𝒙
𝒙
𝟎
𝒇 𝒙 = 𝟏𝟐𝒙𝟐
(𝟏 − 𝒙)
= 0
𝒇𝒐𝒓 𝟎 < 𝒙 < 𝟏
𝒐𝒕𝒉𝒆𝒓𝒘𝒊𝒔𝒆.
= 𝟏𝟐𝒙𝟐(𝟏 − 𝒙)𝒅𝒙
𝒙
𝟎
Also, find P
𝟏
𝟑
< 𝑿 <
𝟏
𝟐
𝒃𝒚 𝒖𝒔𝒊𝒏𝒈 𝒑. 𝒅. 𝒇 𝒂𝒏𝒅 𝒄. 𝒅. 𝒇
= 𝟏𝟐 (𝒙𝟐
− 𝒙𝟑
)𝒅𝒙
𝒙
𝟎
= 𝟏𝟐
𝒙𝟑
𝟑
−
𝒙𝟒
𝟒 𝟎
𝒙
= 𝟏𝟐
𝟒𝒙𝟑 − 𝟑𝒙𝟒
𝟏𝟐
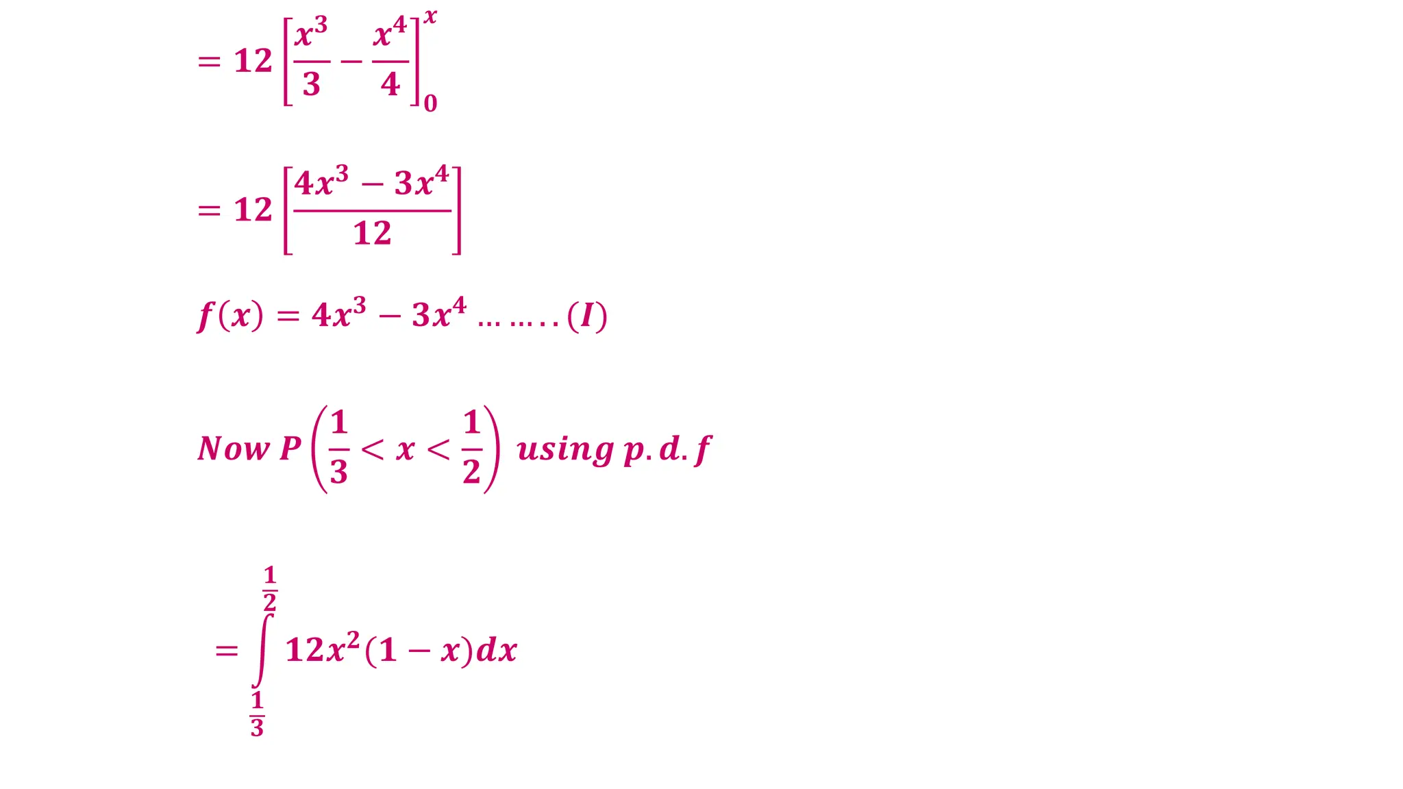
𝒇 𝒙 = 𝟒𝒙𝟑
− 𝟑𝒙𝟒
… … . . (𝑰)
𝑵𝒐𝒘 𝑷
𝟏
𝟑
< 𝒙 <
𝟏
𝟐
𝒖𝒔𝒊𝒏𝒈 𝒑. 𝒅. 𝒇
= 𝟏𝟐𝒙𝟐(𝟏 − 𝒙)𝒅𝒙
𝟏
𝟐
𝟏
𝟑
= 𝟒𝒙𝟑
− 𝟑𝒙𝟒
𝟏
𝟑
𝟏
𝟐
= 𝟒
𝟏
𝟐
𝟑
− 𝟑
𝟏
𝟐
𝟒
− 𝟒
𝟏
𝟑
𝟑
− 𝟑
𝟏
𝟑
𝟒
=
𝟒
𝟖
−
𝟑
𝟏𝟔
−
𝟒
𝟐𝟕
−
𝟑
𝟖𝟏
=
𝟓
𝟏𝟔
−
𝟗
𝟖𝟏
=
𝟒𝟎𝟓 − 𝟏𝟒𝟒
𝟏𝟐𝟗𝟔
=
𝟐𝟗
𝟏𝟒𝟒
𝒇 𝒙 = 𝟎. 𝟐𝟎𝟏𝟑
𝑵𝒐𝒘 𝑷
𝟏
𝟑
< 𝒙 <
𝟏
𝟐
𝒖𝒔𝒊𝒏𝒈 𝒄. 𝒅. 𝒇
𝒇 𝒙 = 𝟒𝒙𝟑 − 𝟑𝒙𝟒
= 𝒇
𝟏
𝟐
− 𝒇
𝟏
𝟑
= 𝟒
𝟏
𝟐
𝟑
− 𝟑
𝟏
𝟐
𝟒
− 𝟒
𝟏
𝟑
𝟑
− 𝟑
𝟏
𝟑
𝟒
=
𝟒
𝟖
−
𝟑
𝟏𝟔
−
𝟒
𝟐𝟕
−
𝟑
𝟖𝟏
=
𝟓
𝟏𝟔
−
𝟗
𝟖𝟏
=
𝟒𝟎𝟓 − 𝟏𝟒𝟒
𝟏𝟐𝟗𝟔
=
𝟐𝟗
𝟏𝟒𝟒
𝒇 𝒙 = 𝟎. 𝟐𝟎𝟏𝟑

15 Probability Distribution Practical (HSC).pdf

  • 1.
    Ex. (1). Arandom variable X has the following probability distribution : Probability Distribution X = x 0 1 2 3 4 5 6 P(X = x) k 3k 5k 7k 9k 𝟏𝟏𝒌 13𝒌 Find (i) k (ii) p(X < 3) (iii) P(X ≥ 𝟐) (iv) P(0 < X < 4) (v) P(2 ≤ X ≤ 5) Solution : For a random voriable X we have 𝒑𝒊 = 𝟏 𝒏 𝒊=𝟏 ∴ 𝒌 + 𝟑𝒌 + 𝟓𝒌 + 𝟕𝒌 + 𝟗𝒌 + 𝟏𝟏𝒌 + 𝟏𝟑𝒌 = 𝟏 𝒊. 𝒆. 𝟒𝟗𝒌 = 𝟏 ⇒ 𝒌 = 𝟏 𝟒𝟗
  • 2.
    X = x0 1 2 3 4 5 6 P(X = x) 𝟏 𝟒𝟗 𝟑 𝟒𝟗 𝟓 𝟒𝟗 𝟕 𝟒𝟗 𝟗 𝟒𝟗 𝟏𝟏 𝟒𝟗 𝟏𝟑 𝟒𝟗 (𝒊)𝒌 = 𝟏 𝟒𝟗 (ii) p(X < 3) = P(X = 0) + P(X = 1) + P(X = 2) = 𝟏 𝟒𝟗 + 𝟑 𝟒𝟗 + 𝟓 𝟒𝟗 = 𝟗 𝟒𝟗 (iii) P(X ≥ 𝟐) = P(X = 2) + P(X = 3) + P(X = 4) + P(X = 5) + P(X = 6) (iv) P(0 < X < 4) = P(X = 1) + P(X = 2) + P(X = 3) (v) P(2 ≤ X ≤5) = P(X = 2) +P(X = 3) + P(X = 4) + P(X = 5) = 𝟓 𝟒𝟗 + 𝟕 𝟒𝟗 + 𝟗 𝟒𝟗 + 𝟏𝟏 𝟒𝟗 = 𝟑𝟐 𝟒𝟗
  • 3.
    Ex. (2). Calculatethe Expected value and variance of x if x denotes the number obtained on the uppermost face when o fir die is thrown. Solution : When a fair die is thrown, the sample space is S = {1,2, 3, 4, 5, 6}. The probability distribution is Let X denotes the number obtained on the upper most face. ∴ X can take values 1, 2, 3, 4, 5, 6. P(X = 1) = P(X = 2) = P(X = 3) = P(X = 4) = P(X = 5) = P(X = 6) = 𝟏 𝟔 X = x 1 2 3 4 5 6 Total P(X = x) 𝟏 𝟔 𝟏 𝟔 𝟏 𝟔 𝟏 𝟔 𝟏 𝟔 𝟏 𝟔 1
  • 4.
    x𝒊 . p𝒊𝟏 𝟔 𝟐 𝟔 𝟑 𝟔 𝟒 𝟔 𝟓 𝟔 𝟔 𝟔 𝟐𝟏 𝟔 = 𝟕 𝟐 𝒙𝒊 𝟐 . p𝒊 𝟏 𝟔 𝟒 𝟔 𝟗 𝟔 𝟏𝟔 𝟔 𝟐𝟓 𝟔 𝟑𝟔 𝟔 𝟗 𝟔 (i) Expected value = E(X) = 𝒙𝒊 , 𝒑𝒊 = 𝟕 𝟐 = 𝟑. 𝟓 𝒏 𝒊=𝟏 (ii) Variance = V(X) = E(𝑿𝟐) – [𝑬 𝑿 ]𝟐 𝒙𝒊 𝟐 , 𝒑𝒊 − 𝒙𝒊 , 𝒑𝒊 𝒏 𝒊=𝟏 𝟐 𝒏 𝒊=𝟏 = 𝟗𝟏 𝟔 − 𝟕 𝟐 𝟐 = 𝟗𝟏 𝟔 − 𝟒𝟗 𝟒 = 𝟏𝟖𝟐 − 𝟏𝟒𝟕 𝟏𝟐 ∴ Variance = 𝟑𝟓 𝟏𝟐 = 𝟐. 𝟗𝟏𝟔𝟕
  • 5.
    Ex. (3). Adiscrete random variable X takes the values -1, 0 and 2 with the 111 probabilities 𝟏 𝟒 , 𝟏 𝟐 , 𝟏 𝟒 respectively. Find V(X) and Standard Deviation. Solution: Given that the random variable X takes the values -1, 0 and 2. The corresponding probabilities are 𝟏 𝟒 , 𝟏 𝟐 , 𝟏 𝟒 . P −𝟏 = 𝟏 𝟒 , P 𝟎 = 𝟏 𝟐 , P 𝟐 = 𝟏 𝟒 X = x -1 0 2 Total P(X = x) 𝟏 𝟒 𝟏 𝟐 𝟏 𝟒 𝟏 𝒙𝒊𝒑𝒊 - 𝟏 𝟒 𝟎 𝟏 𝟐 𝟏 𝟒 𝒙𝒊 𝟐 𝒑𝒊 𝟏 𝟒 0 1 𝟓 𝟒
  • 6.
    (i) Variance =V(X) = E(𝑿𝟐) – [𝑬(𝑿)]𝟐 𝒙𝒊 𝟐 𝒑𝒊 − 𝒏 𝒊=𝟏 𝒙𝒊𝒑𝒊 𝒏 𝒊=𝟏 𝟐 = 𝟓 𝟒 − 𝟏 𝟒 𝟐 = 𝟓 𝟒 − 𝟏 𝟏𝟔 = 𝟓 × 𝟒 − 𝟏 𝟏𝟔 = 𝟐𝟎 − 𝟏 𝟏𝟔 = 𝟏𝟗 𝟏𝟔 = 1.1875 (ii) Standard Deviation = 𝝈 = V(X) = 𝟏𝟗 𝟏𝟔 = 𝟏. 𝟏𝟖𝟕𝟓 = 1.0897 Given data can be tabulated as follows (TABLE ON PREVIOUS PAGE )
  • 7.
    Ex. (4). Thep.d.f. of X, find P(X<1) and P( 𝑿 < 𝟏) where Solution : Given that the p.d.f of X is 𝒊 𝑷 𝑿 < 𝟏 = 𝒇 𝒙 𝒅𝒙 𝟏 −𝟐 𝒇 𝒙 = 𝒙 + 𝟐 𝟏𝟖 = 0 𝒊𝒇 − 𝟐 < 𝒙 < 𝟒 𝒐𝒕𝒉𝒆𝒓𝒘𝒊𝒔𝒆. 𝒇 𝒙 = 𝒙 + 𝟐 𝟏𝟖 = 0 𝒊𝒇 − 𝟐 < 𝒙 < 𝟒 𝒐𝒕𝒉𝒆𝒓𝒘𝒊𝒔𝒆. = 𝒙 + 𝟐 𝟏𝟖 𝒅𝒙 𝟏 −𝟐
  • 8.
    = 𝟏 𝟏𝟖 (𝒙 + 𝟐)𝒅𝒙 𝟏 −𝟐 = 𝟏 𝟏𝟖 (𝒙 + 𝟐)𝟐 𝟐 −𝟐 𝟏 = 𝟏 𝟑𝟔 (𝒙 + 𝟐)𝟐 −𝟐 𝟏 = 𝟏 𝟑𝟔 𝟗 − 𝟎 = 𝟗 𝟑𝟔 = 𝟗 𝟑𝟔 = 𝟎. 𝟐𝟓 (ii) P( 𝑿 < 𝟏) = P (-1 < X < 1) = 𝒙 + 𝟐 𝟏𝟖 𝒅𝒙 𝟏 −𝟏
  • 9.
    = 𝟏 𝟏𝟖 (𝒙 + 𝟐)𝟐 𝟐−𝟏 𝟏 = 𝟏 𝟑𝟔 (𝒙 + 𝟐)𝟐 −𝟏 𝟏 = 𝟏 𝟑𝟔 𝟗 − 𝟏 = 𝟖 𝟑𝟔 = 𝟐 𝟗 = 𝟎. 𝟐𝟐𝟐𝟐 = 𝟏 𝟏𝟖 (𝒙 + 𝟐) 𝒅𝒙 𝟏 −𝟏
  • 10.
    Ex. (5). Arandom variable X has the following probability distribution : Solution: x 0 1 2 3 4 5 6 7 P(X = x) 0 k 2k 2k 3k 𝒌𝟐 2𝒌𝟐 7𝒌𝟐 + k Find (i) k (ii) (X < 3) (iii) P(X > 6) (iv) P(0 < X < 3) (v) P(2 ≤ X ≤ 4) For given probability distribution 𝒑𝒊 = 𝟏 𝒏 𝒊=𝟏 …(∵ P.D is p.m.f ) ∴ P(x = 0) + P(x = 1) + P(x = 2) + … + P(x = 7) = 1 ∴ 0 + k + 2k + 2k + 3k + 𝒌𝟐 + 2𝒌𝟐 + 7𝒌𝟐 + k = 1 ⇨ 𝟗𝒌 + 𝟏𝟎𝒌𝟐 = 𝟏
  • 11.
    ⇨ 𝟏𝟎𝒌𝟐 + 𝟗𝒌− 𝟏 = 𝟎 ⇨ 𝟏𝟎𝒌𝟐 + 𝟏𝟎𝒌 − 𝒌 − 𝟏 = 𝟎 ⇨ 𝟏𝟎𝒌(𝒌 + 𝟏) − 𝟏(𝒌 + 𝟏) = 𝟎 ⇨ (𝒌 + 𝟏) (10k −𝟏) = 0 ⇨ 𝒌 + 𝟏 = 0 or 10k −𝟏 = 0 𝒌 = -1 k = 𝟏 𝟏𝟎 or For 𝒌 = -1 ⇨ P.D value P 𝒙 = 𝟏 = −𝟏 which contradiction to fact 𝒑𝒊 ≥ 𝟎
  • 12.
    ∴ 𝒌 ≠-1 is not consider 𝐏. 𝐃. will as follows k = 𝟏 𝟏𝟎 ∴ x 0 1 2 3 4 5 6 7 P(X = x) 0 𝟏 𝟏𝟎 𝟐 𝟏𝟎 𝟐 𝟏𝟎 𝟑 𝟏𝟎 𝟏 𝟏𝟎𝟎 𝟐 𝟏𝟎𝟎 𝟏𝟕 𝟏𝟎𝟎 (ii) (X < 3) = P(x = 0 or x = 1 o r x = 2) = P(x = 0) + P(x = 1) + P(x = 2) (X < 3) = 0 + k + 2k = 3k = 𝟑 𝟏𝟎
  • 13.
    (iii) P(X >6) = P(x = 7) P(X > 6) = 7𝒌𝟐 + k = 𝟏𝟕 𝟏𝟎𝟎 (iv) P(0 < X < 3) = P(x = 1 or x = 2) = P(x = 1) + P(x = 2) P(0 < X < 3) = k + 2k = 3k = 𝟑 𝟏𝟎 (v) P(2 ≤ X ≤ 4) = P(x = 2 or x = 3 or x = 4) = P(x = 2) + P(x = 3) + P(x = 4) P(2 ≤ X ≤ 4) = 2k + 2k + 3k = 7k = 𝟕 𝟏𝟎
  • 14.
    Ex. (6). Thep.m.f of a random variable X is as follows : Solution: X = x 1 2 3 4 P(x) 𝟏 𝟑𝟎 𝟒 𝟑𝟎 𝟗 𝟑𝟎 𝟏𝟔 𝟑𝟎 Find Mean and Variance. 𝒙𝒊 𝒑𝒊 𝒙𝒊𝒑𝒊 𝒙𝒊 𝟐 𝒑𝒊 1 𝟏 𝟑𝟎 𝟏 𝟑𝟎 𝟏 𝟑𝟎 2 𝟏 𝟑𝟎 𝟖 𝟑𝟎 𝟏𝟔 𝟑𝟎 3 𝟗 𝟑𝟎 𝟐𝟕 𝟑𝟎 𝟖𝟏 𝟑𝟎 4 𝟏𝟔 𝟑𝟎 𝟔𝟒 𝟑𝟎 𝟐𝟓𝟔 𝟑𝟎 Total 𝒑𝒊 = 𝟏 𝒙𝒊𝒑𝒊 = 𝟏𝟎𝟎 𝟑𝟎 𝒙𝒊 𝟐 𝒑𝒊 = 𝟑𝟓𝟒 𝟑𝟎
  • 15.
    Mean E(X) =𝒙𝒊𝒑𝒊 = 𝟏𝟎𝟎 𝟑𝟎 𝒏 𝒊=𝟏 Mean = 𝟏𝟎𝟎 𝟑𝟎 Variance V(X) = E(𝑿𝟐 ) - [𝐄(𝐗)]𝟐 = 𝒙𝒊 𝟐 𝒑𝒊 − 𝒙𝒊𝒑𝒊 𝒏 𝒊=𝟏 𝟐 𝒏 𝒊=𝟏 = 𝟑𝟓𝟒 𝟑𝟎 − 𝟏𝟎𝟎 𝟑𝟎 𝟐 = 𝟑𝟓𝟒 𝟑𝟎 − 𝟏𝟎,𝟎𝟎𝟎 𝟗𝟎𝟎 Variance = 𝟑𝟓𝟒 ×𝟑𝟎 − 𝟏𝟎,𝟎𝟎𝟎 𝟗𝟎𝟎 = 𝟏𝟖𝟔 𝟐𝟕𝟎 = 0.6888
  • 16.
    Ex. (7). Froma survey of 20 families in a society, the following data was obtained : Solution: No. of children 0 1 2 3 4 No. of families 𝟓 𝟏𝟏 𝟐 𝟎 2 For the random variable X = number of children in a randomly chosen family, Find E(X) and V(X). Total no. families = 5 + 11 + 2 + 0 + 2 = 20 X = { 0, 1, 2, 3, 4 } Denotes random variable of no. children in a chosen family P[x = 0] = 𝟓 𝟐𝟎 P[x = 1] = 𝟏𝟏 𝟐𝟎
  • 17.
    P[x = 2]= 𝟐 𝟐𝟎 , P[x = 3] = 𝟎 𝟐𝟎 and P[x = 4] = 𝟐 𝟐𝟎 𝒙𝒊 𝒑𝒊 𝒙𝒊𝒑𝒊 𝒙𝒊 𝟐 𝒑𝒊 0 𝟓 𝟐𝟎 𝟎 𝟎 1 𝟏𝟏 𝟐𝟎 𝟏𝟏 𝟐𝟎 𝟏𝟏 𝟐𝟎 2 𝟐 𝟐𝟎 𝟒 𝟐𝟎 𝟖 𝟐𝟎 3 𝟎 𝟐𝟎 = 0 𝟎 𝟎 4 𝟐 𝟐𝟎 𝟖 𝟐𝟎 𝟑𝟐 𝟐𝟎 Total 𝒑𝒊 = 𝟏 𝒙𝒊𝒑𝒊 = 𝟐𝟑 𝟐𝟎 𝒙𝒊 𝟐 𝒑𝒊 = 𝟓𝟏 𝟐𝟎
  • 18.
    Mean = E(X)= 𝒙𝒊𝒑𝒊 = 𝟐𝟑 𝟐𝟎 𝒏 𝒊=𝟏 Variance = V(X) = E(𝑿𝟐) - [𝐄(𝐗)]𝟐 = 𝒙𝒊 𝟐 𝒑𝒊 − 𝒙𝒊𝒑𝒊 𝒏 𝒊=𝟏 𝟐 𝒏 𝒊=𝟏 = 𝟓𝟏 𝟐𝟎 - 𝟐𝟑 𝟐𝟎 𝟐 = 𝟓𝟏 × 𝟐𝟎 − 𝟓𝟐𝟗 𝟒𝟎𝟎 Variance = V(X) = 𝟒𝟗𝟏 𝟒𝟎𝟎 = 𝟏. 𝟐𝟐𝟕𝟓
  • 19.
    Ex. (8). Findthe c.d.f F(X) associated with the following p.d.f. f(x): Solution : 𝒇(𝒙) = 𝒇 𝒙 𝒅𝒙 𝒙 𝟎 𝒇 𝒙 = 𝟏𝟐𝒙𝟐 (𝟏 − 𝒙) = 0 𝒇𝒐𝒓 𝟎 < 𝒙 < 𝟏 𝒐𝒕𝒉𝒆𝒓𝒘𝒊𝒔𝒆. = 𝟏𝟐𝒙𝟐(𝟏 − 𝒙)𝒅𝒙 𝒙 𝟎 Also, find P 𝟏 𝟑 < 𝑿 < 𝟏 𝟐 𝒃𝒚 𝒖𝒔𝒊𝒏𝒈 𝒑. 𝒅. 𝒇 𝒂𝒏𝒅 𝒄. 𝒅. 𝒇 = 𝟏𝟐 (𝒙𝟐 − 𝒙𝟑 )𝒅𝒙 𝒙 𝟎
  • 20.
    = 𝟏𝟐 𝒙𝟑 𝟑 − 𝒙𝟒 𝟒 𝟎 𝒙 =𝟏𝟐 𝟒𝒙𝟑 − 𝟑𝒙𝟒 𝟏𝟐 𝒇 𝒙 = 𝟒𝒙𝟑 − 𝟑𝒙𝟒 … … . . (𝑰) 𝑵𝒐𝒘 𝑷 𝟏 𝟑 < 𝒙 < 𝟏 𝟐 𝒖𝒔𝒊𝒏𝒈 𝒑. 𝒅. 𝒇 = 𝟏𝟐𝒙𝟐(𝟏 − 𝒙)𝒅𝒙 𝟏 𝟐 𝟏 𝟑
  • 21.
    = 𝟒𝒙𝟑 − 𝟑𝒙𝟒 𝟏 𝟑 𝟏 𝟐 =𝟒 𝟏 𝟐 𝟑 − 𝟑 𝟏 𝟐 𝟒 − 𝟒 𝟏 𝟑 𝟑 − 𝟑 𝟏 𝟑 𝟒 = 𝟒 𝟖 − 𝟑 𝟏𝟔 − 𝟒 𝟐𝟕 − 𝟑 𝟖𝟏 = 𝟓 𝟏𝟔 − 𝟗 𝟖𝟏 = 𝟒𝟎𝟓 − 𝟏𝟒𝟒 𝟏𝟐𝟗𝟔 = 𝟐𝟗 𝟏𝟒𝟒 𝒇 𝒙 = 𝟎. 𝟐𝟎𝟏𝟑
  • 22.
    𝑵𝒐𝒘 𝑷 𝟏 𝟑 < 𝒙< 𝟏 𝟐 𝒖𝒔𝒊𝒏𝒈 𝒄. 𝒅. 𝒇 𝒇 𝒙 = 𝟒𝒙𝟑 − 𝟑𝒙𝟒 = 𝒇 𝟏 𝟐 − 𝒇 𝟏 𝟑 = 𝟒 𝟏 𝟐 𝟑 − 𝟑 𝟏 𝟐 𝟒 − 𝟒 𝟏 𝟑 𝟑 − 𝟑 𝟏 𝟑 𝟒 = 𝟒 𝟖 − 𝟑 𝟏𝟔 − 𝟒 𝟐𝟕 − 𝟑 𝟖𝟏 = 𝟓 𝟏𝟔 − 𝟗 𝟖𝟏 = 𝟒𝟎𝟓 − 𝟏𝟒𝟒 𝟏𝟐𝟗𝟔
  • 23.