Embed presentation
Downloaded 10 times









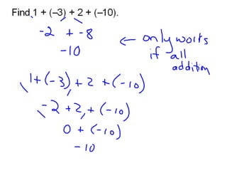
The document discusses rules for adding integers with the same or different signs. When adding integers with the same sign, add the numbers and keep the sign. When adding integers with different signs, subtract the absolute values and keep the sign of the integer with the greater absolute value. It provides examples of applying these rules to expressions involving integers.








