F ก                 F 4
                                                         F

                      ก

1.            ก           F
      . 6.1
2.           ก F
     6.1 .3/1-6
3.      ก          F          F
   3.1       F
   3.2 ก           ก              F
   3.3         F
   3.4 ก กF ก             F
4. F       ก         F
   4.1           /           F กF
        1) ก            ก 1-5
        2) ก
   4.2 ก                    F กF
        1) ก           กก                      ก             F ก   F             F
        2) ก F F                ก         กก       ก F
   4.3 ก                              ก                                F ก   F
ก           ก                F              F                         .3                   2                                                                                       165


5.                ก           กก

                                                                                                     ก     ก                F
          F           ก                F
                                                                                                                                                 ก
5.1               /                 F กF
      1) ก                        ก 1-5           -                                       F                    - ก                                       F
      2) ก                                        -                    ก                 ก                       กก
                                                      กก                                               F       - กก
                                                  -                                                                             F                                                ก
                                                               F                                               -                                                     F               F
                                                                                                                                    ก F
5.2      ก                                 F กF
       1) ก                   กก                  -                F                         ก                 - ก                                           F
                               ก            F                                     F ก                           กก
                  ก       F                                F
                              F                   -ก                    F    F ก                               -     F ก                             F                   F
                                                                                                                        F            F
                                                  -                              F ก             F ก                                             F
                                                       F                                           F               ก F                   ก                                   F
                                                                                                                                             F
      2) ก            F F  ก                      -                          ก          ก F          ก         -    ก F                          F ก
                      กก ก F                                           กก        ก F                               กก                                            ก

5.3 ก                                             -                                    F ก                     -
              ก
ก     ก             F                     F                                    .3                            2                                                                      166


                                                                                     ก             ก                       F 4/1
                                                                                                   F
                                                                                                     3

1.           ก                        F
     1.1    ก         F
         1) ก                                               F                                             F
         2) ก F F            F ก                                         F                 F                                                   F
         3) F          F                                                 ก                     F          ก                        F                F
         4)                   F ก                                            F                                F        F
         5) F ก                                     F                                                                          F       F                  F F             F
     1.2            Fก         F
            ก                    ก                                                                    F                                    ,       ก FF             F ก               F
              F                                                 F,               F                 F ก                     F           ก             F          ,                         F
            ก            F                              F                                F ก                                           F                                      F   F
                F F        F
2.
     2.1         ก                F
             F
     2.2 ก / ก                             ก
         ก                                ก                          F
     2.3 ก ก
           ก ก                                 ก ก                                                                ก ก                                   F ก ก

3.    F          ก            F
     3.1     /
         1) ก ก
         2) ก ก
     3.2 ก     ก       ก
         1) ก F ก F 3
         2) ก     Fก F
ก       ก         F                F                    .3                            2                                                           167


         3)       Fก F F
         4) F ก                  กก
         5)                      F
         6) F ก ก ก                                                    F                        ก
         7) F
     3.3      ก                  ก                                 F
         1) F        F               ก                   ก F
          2)                                                                        ก
     3.4        F      F
            ก      F                                      F                                         F ก                 F ก                     F
                         F   F                       F F

4.             ก        F                        /                         /ก
           ก F F
           1) F           F
           2) F
           3)    F ก F 80%
           ก        ก
             F F ก F        3                ก

5. ก ก        ก        ก
   5.1
                    1( F                             )
                     F F        ก                ก             ก                F           ก               F       ก         F F
                  F      F
                    2 (ก    F    F                                              ก               F                   )
                       F F      ก                                                                       F                           ก       F       ก
                    3( ก                             F                                  )
                      F F       ก                                          ก                        ก           F                       F
                        ก ก   ก
     5.2
ก                ก                        F                  F                               .3                                       2                                                           168


                                                    กก                ก                           ก                                                                                              กก
             1(               F                               )
1.           F F                                   ก ก                    ก                       F            ก                       F           ก                       F F               ก ก        F
                       F                           F
             x2 + x + 1                              (                        )
             x2 + x-1                                ( F                                               x-1 F                               ก               )
             x2 + 2x - 1                             (                        )
             3x2 + x - 4                             (                        )
                  2                                                                                            2
             x +4 3
                                                   ( F                                                     x   3
                                                                                                                       F                       ก               )
2.       F                             ก                     F ก                                                                                       ก                             -       ก     ก

     ก                                     F                                                  ก                            F                                                             F
1                                              ก                                          F                        0                                                       ก
                                       F                 F                        ก                                                F               ก                   ก             ก
              F               ก
3.       ก                F                         ก                                                  F                       F                                                 F           ก ก        F
                                  F ก                 กก                              F                        F
                                                     กก                       F                            F
                                   F                                      F                                                                            F           F
              1               x4
                              x2
ก       ก                      F            F                    .3                   2                                      169


                                      กก           ก                ก                                                      กก
                                          กก           F                  F
                              F                            F                                               F   F
       2         12x3
                 4x2
                      1
       3
                 x    2
                          2
                2x        3

       4        12y2
                6y + 2
       5              x
               (2x + 3)2


                                           กก                  F              F
                              F                            F                                               F   F
                      4
       1          x                                                                           x4
                  x2                                                                          x2
       2         12x3                                                                        12x 3
                 4x2                                                                          4x 2
                      1
       3                                                                                          1
                 x    2
                                                                                              x   2
                          2                                                                        2

                2x        3                                                                  2x    3


       4        12y2                                                                       12y 2
                6y + 2                                                                    6y + 2
       5              x                                                                      x
               (2x + 3)2                                                                 (2x + 3) 2


4. กก ก           F                   F                        ก          F ก                 ก                        ก    ก

                      F                                             F             F                    F
                                                                   P(x)           Q(x)                             F
ก            ก                    F                                F                      .3                          2                                                                      170


                                                         กก                              ก         ก                                                                                             กก
                           P(x)
                                                        Q(x)         ≠       0
                           Q(x)
5. ก                                                    ก                        F ก                               F                 F ก                             F                       ก ก        F
  ก  ก                              F                            F                ก                    F                   F                                                             F

                   x
         (1)              (                                          F
               (2x + 3) 2
                                                                F )
                               -2
         (2) y(2y - 4) (                                          F
                                                                                                  y
                                                            F                                            )
                                                                                              (2y − 4) 2
         (3)           x 2 + 4x ( F                                              F                                                 F F                   F
                                                                     )
                       3
                x +3   4
         (4)                                ( F                                      F                                                          F                                    )
                 x −2
6.          F                               ก                                            F ก        F ก                                                 FF                                   ก ก        F
          ก ก                   F                                                                   ก                  F                                     F       ก
     F             F
7.             ก               F ก                                                              ก ก                            ก F                                                           ก     ก
         ก                       F                                                        F                                              ก                               F

                                                                                                                       a
                           ก                                                                               F                             a, b
                                                                                                                       b
                b F Fก                              F
                    F                                                                    ก      F ก                                                                              F
                  ก                                                      F                                                     ก                    F                        F
                                                F           F F ก                                              F
8.   F ก                                                ก 1 F 1                                                                ก                                 ก                   1
 F 1     F                              F                 ก     F ก
ก                        ก                                        F                            F                                   .3                            2                                           171


                                                                               กก                           ก                           ก                                                                   กก
9.               F ก                               ก                                                                                         F                                F                     ก

       2 (ก                                                        F            F                                                            ก                    F                       )
1.       F F                                                                   ก                                                                                      F
ก ก        ก
2.   F                                                                 ก                F           ก                                                 F                               F
   F    F Fก                                                            F                                           F
                                                                                                                                                 x +3
3.                                                 F                       F                                                        ก             F                                           F ก           ก ก    F
                                                                                                                                                 x +5
 ก                F                                        F                                                            ก                  F F      ก                                          F x=2        ก ก
                          F                                                         F                       F                            ก     F x=3                                            ก
                                      F
                                                       x −2
         F                                     F                    x=3
                                                       x+2
                                                  x −2 3−2
                                                          =          ( x F 3)
                                                  x +2 3+ 2
                                                            1
                                                          =
                                                            5
                                                        2
                                                      x +3
     F                                         F                   x = -2
                                                       x −3
                                                   2
                                                 x +3       ( −2) 2 + 3
                                                          =               ( x F -2)
                                                  x −3       ( −2) − 3
                                                            4 +3
                                                          =
                                                              −5
                                                              7
                                                          =
                                                            −5
                                                                                                                                                                                                  2
4.           F                                                         ก                    F                   F                   ก                     F
                                                                                                                                                                                                x −3
 ก                                F                    x                                        F                               F                             F                   F
                                          (                                                             F                   F                Fก                           F                             F
                      F                    F                   F               F F ก 0)
ก                                   ก                    F                      F                     .3                                   2                                             172


                                                                      กก                      ก             ก                                                                             กก
5.                    F                                        ก                              F ก                ก                                                 FF F x
              F                                           F         Fx-3=0
6.                                        ก                   F ก                                   F x F       F F Fก 3
7.                                                F                                   ก                      F ก ก     ก                                                                ก ก     F
                                                               x −4                                                                                                                     ก ก
                  F                           F                                   F                                      x F                         F            F Fก
                                                               x +5
                          ก                           F ก                                                                ก                   F               F
                                                                                                        x+2
          F                           F               x                      F                                                           F                            F         F
                                                                                                        x2 − 4

                          x+2
                                                                                              ก F           x2 - 4           ≠       0
                          x2 − 4
                                                                                                                 x2          ≠       4
                                                                                                                 x       ≠ ±2
                                          x+2
∴                             F                                                                ก F          x                                                                 F F2
                                          x2 − 4
      -2
                                                                                                        x+4
      F                           F                   x                  F                                                                       F                        F         F
                                                                                                        x2 + 9

                      x+4
                                                                                 ก F                    x2 + 9           ≠       0                               x2 ≠ -9
                      x2 + 9
Q F                                                            กก        F F F ก -9
∴x                                                        F ก F        F F
8.  ก                                                 F      F       F ก        ก 1 F 2 F ก
                                                        ก        F ก         F
9.                    F ก                                       ก 1 F 3 ก F         F ก
  F
                          3( ก                                                            F                          )
1.                        F F                                        ก                                 ก                             ก                   F
ก       ก            F              F            .3                2                                  173


                                             กก ก                 ก                               กก
           F                                  ก ก             ก                                   ก ก        F
                       ก F                 ก              30 36
Q                    ก               30 1, 2, 3, 5, 6, 10, 15 30
                     ก               36 1, 2, 3, 4, 6, 9, 12, 18 36
                     ก F                  30 36 1, 2, 3 6
∴                    ก F                 F ก                6
2.                F           F            ก 2-5 F                    F Fก ก
   F
                       ก F                 ก
   (1) 8 12
   (2) 10 15
   (3) 20 30
3.                      F          F                            F                   F F       F   ก     ก
               F                  ก                       F             ก F F
                                ก                     F
                                                P, Q R Q ≠ 0 R ≠ 0
                             P⋅R           P
                                       =
                           Q⋅R Q
4. ก F                               ก            F
             F            F ก                           F                     F           F       ก ก        F
     F                                                                                            ก ก
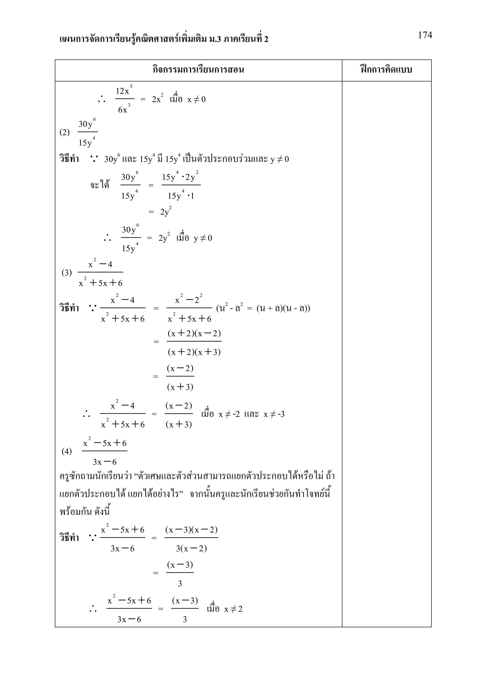
               12x 5
 (1)
                 6x 3
         F                       ก         F            ก F                     F
       F ก
                    Q 12x5 6x3 6x3                                ก F     x≠0
                                       5          3         2
                                 12x           6x ⋅ 2x
                           F               =
                                  6x 3           6x 3 ⋅1
                                             = 2x2
ก      ก         F           F         .3           2                          174


                        กก          ก     ก                                  กก
           12x 5
         ∴     3
                 = 2x2              x≠0
            6x
    30y 6
(2)
    15y 4
      Q 30y6              15y4 15y4              ก F         y≠0
                    30y 6       15y 4 ⋅ 2y 2
               F        4
                            =
                    15y           15y 4 ⋅1
                            = 2y2
                    30y 6
            ∴           4
                            = 2y2          y≠0
                    15y
        x2 − 4
(3) 2
     x + 5x + 6
                 x2 − 4             x2 − 22
       Q 2                    = 2              ( 2 - 2 = ( + )( - ))
            x + 5x + 6            x + 5x + 6
                                  (x + 2)(x − 2)
                              =
                                  (x + 2)(x + 3)
                                 (x − 2)
                             =
                                  (x + 3)
                 x2 − 4          (x − 2)
      ∴ 2                    =                  x ≠ -2     x ≠ -3
            x + 5x + 6           (x + 3)
      x 2 − 5x + 6
(4)
          3x − 6
    ก       ก         F                  F             ก     ก    F    F F
  ก        ก         F ก F F                ก            ก    F ก       F
  F ก
            x 2 − 5x + 6         (x − 3)(x − 2)
       Q                     =
                 3x − 6              3(x − 2)
                                  (x − 3)
                             =
                                     3
                 2
               x − 5x + 6          (x − 3)
       ∴                       =                  x≠2
                   3x − 6              3
ก           ก                                  F                       F                 .3                                       2                                           175




                                                                     กก ก        ก                                                                                                 กก
                                                                        (x − 3)                                                                          3
          ก               ก              F                        ก                                                                                 x-     = x-1
                                                                           3                                                                             3
     F            F                                               ( F F      F 3 F F                                                    ก
 F )
                                                                      (x − 3)                       1            x
           F                     F                                            F                       (x - 3)      -1
                                                                         3                          3            3
5.             F ก                                                   ก 1 F 4                       ก F        F ก ก                                              F


         5.3
                 1) F ก                                            F ก                                                              F
                 2) F ก                                           F ก                    ก ก                F                           F                            ก         F
                 3) F ก                                          F ก                     ก                              F                                                F F

6.          ก                   F/                           Fก                      F
         6.1          ก                          F
             -
         6.2              Fก                                 F
             -        F
             -        F                  ก F                             ก                F                         F

7. ก ก
   7.1 ก ก                           F                           ก                             F
                                                     F
                              F ก                                ก       F   F                 ก ก                              ก                            F
                                             F
                               F ก                               F ก                      FF            F                   F               F

                               F ก                               F ก                                F           F               F               ก                    F
ก   ก          F       F       .3         2                 176


           ก F F
        F ก        F       F    F   F F       F   F   F F
               F
ก        ก         F                   F                   .3                   2                             177


8.       ก
                                                                     ก   ก
                                (           ก                            F                            )

                       ก            ก                                            F
         1.   ก       กก        ก                       F

         2.   ก       F ก               F

         3.   ก                 ก                   F


         4.   ก             ก                   F
                  ก

          ก




                                                                                                          F

          ก                 F                               ก        ก       F




                                                                                                              ..
                                                                                         F   .   ..           ..
ก          ก                  F                 F           .3                     2                                                                178


9.                  F

                ก              ก           ก

                                        กก         ก         ก          ก                                                     F
     ก           .................................. ...........             ................       ............................. ....................
         .................................................................. F ก ......................................................................
                                                                                               ก
                        Fก
                                                                            ก                                    F

 ก
 ก             กก              F
 ก         F             F ก /ก                 ก
                        F ก กF
          ก             FF
                           ก           F
         ก F                                   F ก
ก          ก                  F                  F                  .3               2                                                                   179


                         ก            ก                  กF


                                                                              ก ก
    ก           ..................................            ...........    ................           ............................. ....................
        .................................................................. F ก ......................................................................

                                                                                                ก
             Fก
                                                               ก                                    ก                    F               F       ก
ก
ก ก              ก

ก
ก
                 F            F
    ก
ก         ก                    F                           F                            .3                                 2                                                              180


                                                                                              ก         ก                                    F 4/2
                                                                     ก                              ก                                    F
                                                                                                        7

1.               ก                           F
     1.1        ก                F
           1)           ก                                                     F                                                                                               F F      F
           2)           ก                                                                 F                                                                                    F F       F
           3)                                        ก F                                                            F           ก                             F                   F F
           4)                                        ก F                                                                F       ก                                 F                F F
           5)           ก                             ก                               F                         F                                                       F Fก F
           6)           ก                             ก                           F                         F                                                         F      F Fก F
           7)                                    ก           F                                  F                                                F F                     F F        F
           8)                                        ก F                                        ก                           F                             F                         ก      F
                    F                                                                         F F                                    F                F                   F
     1.2                    Fก                       F
            ก                                            ก                    ก                         ก                                    F                                                 ก F
                ก                            ก                       F                                                      ก                     F                          F   F
                 ก                            ก                          F F                        F

2.
     2.1            ก                            F
         ก     ก                                         F
     2.2 ก / ก   ก
         ก       ก                                                        F
     2.3 ก ก
          ก ก                                                ก ก                                                                ก ก                                    F ก ก

3.    F         ก                        F
     3.1                /
           1)           กก
ก      ก               F                F                    .3                        2                             181


         2)         กก
     3.2 ก                ก           ก
         1)          ก F ก F 3
         2)             ก       Fก F
         3)                Fก F F
         4)     F ก                   กก
         5)                            F
         6)      F ก กก                                                    F                    ก
         7)       F
     3.3            ก                ก                                 F
         1)           F       F          ก                      ก F
          2)                                                                        ก
     3.4            F           F
           ก            F           ก            ก                    ก                 F               ก           ก F
               ก                ก                 F                                 ก               F       F   F    ก
                ก                ก                        F F

4.           ก        F                                   /                    /ก
         ก F F
         1) F           F
         2) F
         3)    F ก F 80%
         ก        ก
           F F ก F        3                           ก

5. ก ก         ก            ก
   5.1
ก         ก                F                        F               .3                          2                                                                         182


                         1 (ก                         F                        )
                           F F                            ก                         ก                         F            ก      ก    ก
                                                                                                                                                                     a c
                     F     ก                      F           F   F       ก                 F a, b, c                 d                                     F         ⋅
                                                                                                                                                                     b d
                                                     a c ac
              F F                    b≠0     d≠0  ⋅ = 
                                                                         
                                                  b d bd 
                         2 (ก              F                    )
                           F F          F ก                      ก                 ก            ก                                                   ก
                                      F ก                         ก
                          3 (ก ก ก                    F                     )
                            F F              ก                    ก ก ก                           ก                                                              F         Fก
                          4 (ก ก ก                      F                     F)
                             F F             ก                  กก ก ก                            ก                                                                  กก         ก
                    ก               F              ก                  F Fก
                          5 (ก ก ก                                 ก          F        F Fก )
                                   ก          ก     .. . ก ก                     ก                                                         F            ก                   ก
                       ก          .. . F ก ก F                         Fก     .. .
                          6 (ก ก ก                          F                        F      F Fก )
                                                              ก ก                  ก ก                                                          F               F Fก
                          7 (ก ก ก                        F                        F       F Fก F                                              )
                              F F            ก                      F       กก ก ก                                                                                   ก ,
                     F                   ก       F             F Fก

 5.2
                                          กก                  ก           ก                                                                         กก
               1 (ก                   F                               )
1.              F F                       ก                               ก                   F                   ก       ก            ก ก                                          F
  ก                                           F      ก                         F        F         F       ก                F a, b, c
                                                    a c
          d                                       F ⋅                         F F                     b≠0                 d≠0
                                                    b d
 a ⋅ c = ac 
            
 b d bd 
ก         ก        F           F               .3      2                                    183




                              กก            ก       ก                                      กก
2.             ก       F ก                      ก
3.                 F    F ก             F                ก F กก          ก ก           ก     ก
ก                      ก
     F     ก                   P, Q, R S
                    P R PR
                 FF ⋅ =                        Q≠0       S≠0
                    Q S QS
4.             ก F          ก                     ก                                    ก ก
                                     3 5
             F                         ⋅
                                     4 6
                      3 5       3⋅5
                   Q ⋅ =                            (          )
                      4 6       4 ⋅6
                                     3⋅5
                             =
                                4 ⋅ (3 ⋅ 2)
                                5                   Q 3 = 1 
                             =                              
                                8                    3 
                                     5 7
         F                            ⋅
                                     9 10
                      5 7           5⋅7
                   Q ⋅ =                            (          )
                      9 10         9 ⋅10
                                     5⋅7
                             =
                                9 ⋅ (5 ⋅ 2)
                                   7                Q 5 = 1 
                             =                              
                                18                   5 
5.                ก     F          ก                   ก ก        F            F       ก ก        F
ก                   ก            F                       F ก     F ก               F   ก ก
               ก
                                    x2 − 4 5
           F                                ⋅          F               F F
                                       x x+2
                    x2 − 4 5                (x 2 − 4)5
                 Q         ⋅           =                   (         )
                       x x+2                  x(x + 2)
ก        ก        F                 F              .3                      2                               184


                                     กก
                                     ก       ก                                                             กก
                                  (x + 2)(x − 2)5
                               =
                                      x(x + 2)
                                 ( ก         ก           )
                              =
                                  5(x − 2)        Q x + 2 = 1 
                                                              
                                      x            x+2 
                       x2 − 4 5          5(x − 2)
                             ⋅        =              x≠0        x ≠ -2
                          x x+2             x
6.        ก          F      F F F ก                 ก 2 F 2 F F
(1) - (4)
7.          ก          F ก                        ก      2 F               2 F F     (1) - (4)

8.            F ก                    ก    2 F         2 F F (5) - (10)                 ก     F     F
ก                           F
              2 (ก                  F               )
1.             F F               F ก                ก                                ก           ก     ก     ก
  ก                                               F ก                                ก           F ก

                                a, b, c       d
   a c a d
     ÷ = ×     b ≠ 0, c ≠ 0                              d≠0
   b d b c
2.    F      ก ก                                                  ก    F
   ก         ก     ก                                      F           F ก
3.       F ก                                                  F        ก                     ก         ก ก        F
                                                                                                       ก ก
                          3 7
          F                ÷
                          4 8
                      3 7    3 8
                     Q ÷ = ×                                               ( ก           )
                      4 8    4 7
                             3 4 ⋅2
                          = ×                                              (Q 8 = 2 × 4)
                             4 7
ก       ก       F             F    .3          2                           185


                          กกก         ก                                   กก
                           3⋅ 4 ⋅ 2
                       =
                            4 ⋅7
                       =
                            3⋅ 2            Q 4 = 1 
                                                    
                              7              4 
                             6
                       =                   ( F F )
                             7
4.     ก       F ก          Fก                  ก F กก         ก
ก ก          F                     F
5.       F Fก            F                   F กก        ก ก ก        ก     ก
           ก           กก
               P, Q, R S
   P R P S
     ÷ = ×             Q ≠ 0, R ≠ 0       S≠0
   Q S Q R
6. ก                   ก ก              F              F
   ก       F                    F     F       F            ก     F
                F                 ก F F ก            F

7.       ก       F   ก         F                                      ก ก
                           x + 5 x 2 − 25
         F                       ÷
                             x        x −1
                       2
               x + 5 x − 25       x + 5 x −1
           Q        ÷          =         ×           ( F F ก )
                 x     x −1          x x 2 − 25
                                  (x + 5)(x − 1)
                               =
                                     x(x 2 − 25)
                                    (x + 5)(x − 1)
                               =                      ( ก      ก )
                                   x(x + 5)(x − 5)
                                     (x − 1)         Q x + 5 = 1 
                               =                                 
                                   x(x − 5)           x +5 
           x + 5 x 2 − 25      (x − 1)
                 ÷        =                   x ≠ 0, x ≠ 1    x≠ ±5
             x      x −1      x(x − 5)
ก       ก        F               F       .3             2                            186


                                     กก       ก   ก                                      กก
8.               ก       F 4x                          F     F        F F   F          ก ก     F
                                      4x                                        1
     F       ( F              F 4x                     F ก           4x            )
                                      1                                         4x
9.           F                    ก                           F ก ก              ก F
                     4         3         2
   ก                 F x - 8x + 16x                    ก         ก     F F
 (x4 - 8x3 + 16x2 = x2(x2 - 8x + 16) = x2(x - 4)(x - 4))
10. ก F                                  ก ก                                           ก ก
                                        x 4 − 6x 3 + 9x 2
      F                                    3    2
                                                          ÷ (x 3 − 9x)
                                         x + x − 12x
  ก F ก                                        ก        ก ก            ก
   F            F                   ก                       F
                  4         3        2
               x − 6x + 9x
                   3       2
                                       ÷ (x 3 − 9x)
                x + x − 12x
                      x 4 − 6x 3 + 9x 2         1
              = 3 2                       × 3                      ( F F ก )
                       x + x − 12x x − 9x
                    x 2 (x 2 − 6x + 9)            1
             =                             × 2                    ( ก      ก )
                      x(x 2 + x − 12) x(x − 9)
                    x 2 (x − 3)(x − 3)               1
             =                             ×
                      x(x − 3)(x + 4) x(x − 3)(x + 3)
                               x 2 (x − 3)(x − 3)
           =
                   x(x − 3)(x + 4) ⋅ x(x − 3)(x + 3)
                             1
           =
                   (x + 4)(x + 3)
           x − 6x 3 + 9x 2
              4
                                                               1
                                     ÷ (x 3 − 9x) =
             x 3 + x 2 − 12x                           (x + 4)(x + 3)
     x ≠ 0, x ≠ ± 3 x ≠ - 4
11.         F ก                       ก 2 F 4             F F ก             2 F
        F 1 F ก
         F 2 F ก                                 ก F              ก             F
ก        ก               F                     F               .3                       2                         187


                                              กก            ก           ก                                             กก
              3 (ก                ก           ก                     F                )
1.               F F                          ก                         ก        ก           ก            ก         ก ก         F
             F Fก                                                                                                   ก ก
     -         F                          ก                                 กก       ก               กก
         ก                F               Fก F              ก                ก       ก                    ก F
     F
     -            ก           ก  ก ก                                    ก        ก           ก             ก
     ก                    ก     F ก
                            a, b c
     a c              a+c
      +          =                            b≠0
     b b               b
     a c              a−c
      −          =                            b≠0
     b b               b
2.           ก        F                       ก                 F                            F ก      ก             ก ก     F
                 ก F Fก                   F                                                                         ก ก
    F                                 ก             F                            ก       F
    3 6
(1) +
    5 5
      Q                       F
                       F ก Fก 5
               3 6           3+6 9
        ∴ + =                    =
               5 5            5     5
    7 6
(2) −
    9 9
        Q         F F ก Fก 9
               7 6           7−6 1
        ∴ − =                    =
               9 9            9     9
3.    ก        F           F F F F       ก      F ก                                                       Fก
   ก ก               F              F กก      ก ก ก ก                                                      ก
             ก           F
4.         F       F ก        ก ก        F             F                                                  กก
    ก ก ก ก ก                         ก    F ก                                                             ก
      a, b       c                 F F              P, Q                                                        R
ก      ก       F             F          .3                       2                                                           188




                           กก          ก      ก                                                                              กก
5. ก                  F ก        ก ก                   F                                        F กก
     ก ก ก            ก                     ก                  F           ก           F         F ก
   F ก                          ก ก                        F                                                         ก
             ก ก ก                          ก                      F   Fก
6.            ก                           F                                                                              ก     ก
                     P, Q R
    P R P+R
     + =                    Q≠0
    Q Q            Q
    P R P−R
     − =                    Q≠0
    Q Q            Q
7. ก                        ก         F ก                              F ก                                   F           ก     ก
 F
    -ก ก                            ก         F       Fก F                                               ก
               ก          F              ( F       F F ก 0)
    -ก ก                     F                       F Fก                      F                     F
                                 ก          ก           F                              (         F               F
         F ก 0)
8.         F       F ก                 ก F ก                                                   ก F F                     ก ก        F
       F                ก         F                F                                                                     ก ก
           1      5x + 2
(1)            +
      x −2 x −2
                1      5x + 2 1 + 5x + 2
                    +          =                           ( ก                             )
              x −2 x −2                 x−2
                                    5x + 3
                               =                           ( ก                     )
                                     x−2
                1      5x + 2 5x + 3
                    +          =                           x≠2
              x −2 x −2             x−2
             1   2x − 5
(2)             + 2
          x2 − 4 x − 4
ก       ก            F               F           .3                2                                     189


                                    กก ก                        ก                                      กก
                       1       2x − 5 1 + 2x − 5                                                     ก ก      F
                           + 2             = 2                       ( ก            )
                    x2 − 4 x − 4                     x −4                                            ก ก
                                               2x − 4
                                          = 2                        ( ก         )
                                               x −4
                                                      2(x − 2)
                                          =                           ( ก          ก )
                                              (x − 2)(x + 2)
                                          =
                                                     2               Q x − 2 = 1 
                                                                                       
                                              x+2                     x −2 
                      1       2x − 5                   2
                    2
                           + 2            =                           x≠ ±2
                   x −4 x −4                       x+2
            ก                  F                   F          F       ก             F F
    ก                                 F          F           F Fก                         F ก
                               ก             F F                           ก F ±2              ก
      F                                  Fก
                                 F x=3
                         1       2(3) − 5                     2
          F                  + 2               =
                      32 − 4 3 − 4                        3+ 2
                                   1 1                     2
                                     + =
                                   5 5                     5
                                        2                 2
                                               =
                                        5                 5
9.             F ก                  ก 3 F 1                       2            F                 F
  ก               F ก                ก                     F       ก
10.              F ก                 ก 3 F 3 ก                                        F
11. F                                                     ก ก                        ก ก             ก   ก
ก                           ก               F Fก                           ก        ก ก
        F                               F Fก ก
                4 (ก ก ก                                F                F)
1.                 F F              ก                         กก ก ก                          ก
              กก ก ก                           F                       ก         F Fก
ก           ก          F                 F                   .3                                2                                              190


                                      กก        ก    ก                                                                                        กก
2.                              F F           Fก F ก                               ก           4ก F F ก
      ก                           1-16                                         ก            F ก F F F
     ก                ก F                 F         ก                                        F       ก                                  F
       4 F           F ก            F ก           F ก F                             F                              F ก F
             F                  3
3.               ก          F ก                                            ก F                                     F ก
                            กF
4.       F ก F              F ก กF                                         F            F                  F ก
  ก5        F                 F ก F                           F                                         F ก F
     ก F          ก F ก           ก                       F
5.                        F ก F F                                      F                                   ก       F
ก          กก ก            กก                                                       ก                      กก          ก
   กก             F                 F                                              ก ก
         5 (ก ก ก                                               ก                           F             F Fก )
1.              ก       ก       .. .                             ก ก                                ก                           F           ก ก     F
   ก          ก       ก      .. .                             F ก ก                             F          Fก          .. .                 ก ก

     .   .   .       8
                     6 F ก F (24)
     .   .   .        714 F ก F (14)
     .   .   .       1020 F ก F (20)
     .   .   .       1525 F ก F (75)
     .   .   .       20100 F ก F (100)
2.           ก          Fก     .. . F     ก                                                                                F                ก ก     F
 ก ก         ก           ก                    ก        F       F                                                           Fก               ก ก
          ก          F            ก         F   F Fก                                                                                F
     กก ก                     ก ก        F Fก F          F (                                                            F F)
   -    F              ก     F ก               ก ก                                                                     ก
           F     F Fก
   -         Fก           ก            ก                     F
     ก         F    F F ก กF        ก     .. .       F
ก      ก          F           F          .3            2                            191


                                   กก ก            ก                              กก
   - ก F                        F ก
                                     5 1
       F                   ก            +
                                     8 6
       ก F                ก        ก       F .. . 8 6                      (24)
              ก       ก       F       F        ก              F F .. . 8 6
                                                                   5     3
    24 ก                    8 6 F 24 F F                      (        F
                                                                   8     3
 1              4
     F            )
 6              4
                        F ก ก
                    5 1            5 3           1 4
                     + =  × + × 
                                                   
                    8 6          8 3 6 4
                                  15 4
                            =         +
                                  24 24
                                  19
                            =
                                  24
3.            F       F ก                                F           ก
         F                 ก          3 + 5 + 2 − 5 
                                                         
                                     5 3 3 7
             Q . . . 3 5 15                          . . . 3 7 21
              3 5           2 5               3 3 5 5            2 7 5 3
∴  + + −  =  ⋅ + ⋅ + ⋅ − ⋅ 
                                                                    
           5 3 3 7 5 3 3 5 3 7 7 3
                                                9 25           14 15
                                         =  + + − 
                                                                    
                                              15 15   21 21 
                                              34  −1 
                                         =       + 
                                              15  21 
Q . . . 15 21 105
             3 5           2 5                34 7         −1 5
∴  + + −  =  ⋅ + ⋅ 
                                                           
       5 3 3 7                           15 7   21 5 
                                             238  −5 
                                         =        + 
                                             105  105 
                                              233
                                         =
                                              105
ก       ก         F            F           .3             2                             192




                            กก ก                ก                                       กก
4.       ก         F        F F F           F                       ก          ก       ก ก

       a, b, c d
     a c ad + bc
      + =                           b≠0            d≠0
     b d               bd
     a c ad − bc
      − =                          b≠0             d≠0
     b d               bd
5.                        F ก ก
              6 (ก ก ก                        F                    F      F Fก )
1.                                               ก      ก             ก ก
   F     F Fก
2. ก                 ก         F ก              Fก ก             F
ก               F       F Fก          F กก            ก ก ก ก                    ก
          F         F Fก F             F ( F)
                                                              x −2
3.          F                ก     F ก                               F F               ก ก    F
                                                              x +1
x2 1 F                 F ก           ก           F
4.              ก          F              (x + 1)(x - 1)       F (x2 - 1)          F
                  x −2
  F ก                         F F          x2 - 1         F F                ก
                  x +1

         ก      x2 - 1 = (x + 1)(x - 1)
               x −2      x − 2 x −1
             ∴         =        ⋅
               x +1       x +1 x −1
                              (x − 2)(x − 1)
                           =
                                   x2 −1
                               x 2 − 3x + 2
                            =
                                   x 2 −1
ก       ก           F              F           .3               2                                  193


                                  กก ก                  ก                                         กก
                       x −2           x 2 − 3x + 2
                                 =                                 x≠1         x≠-1
                       x +1               x 2 −1
5.                   F ก                               ก             ก          F x
      F F                                     ก F ±1
6. ก               ก          F ก                             .. .           F             F    ก ก     F
                          x                      2                                              ก ก
                                                              F        F       F ก        ( F
                  x2 − x − 6             x 2 − 4x + 3
     ก ก                   ก )
               2
Q             x - x 6 = (x - 3)(x + 2)
              x2 - 4x + 3 = (x - 3)(x - 1)
           . . . x2 - x 6 x2 - 4x + 3 (x - 3)(x + 2)(x - 1)
7. ก F                      ก             F            ก
                                          x                     2
         F                  ก                       + 2
                                    x 2 − x − 6 x − 4x + 3
           Q .. .              x2 - x 6 x2 - 4x + 3 (x - 3)(x + 2)(x - 1)
∴ F                     F                F F             F F F ก กF
        x                    2                         x                   2
                  + 2                    =                         +
 x 2 − x − 6 x − 4x + 3                         (x − 3)(x + 2) (x − 3)(x − 1)
                                x               (x − 1)              2          (x + 2)
                  =                           ⋅           +                  ⋅
                          (x − 3)(x + 2) (x − 1) (x − 3)(x − 1) (x + 2)
                                  x2 − x                           2x + 4
                   =                                  +
                          (x − 3)(x + 2)(x − 1) (x − 3)(x − 1)(x + 2)
                               x2 + x + 4
                  =                                        ( F F )
                          (x − 3)(x + 2)(x − 1)
                 x                   2                            x2 + x + 4
                            +                       =
           x 2 − x − 6 x 2 − 4x + 3                        (x − 3)(x + 2)(x − 1)
       x ≠ 3, x ≠ - 2           x≠1
        F ก                                 F
8.         F ก                    ก 3 F 5, 6                    8                ก      F ก
               F
ก         ก                       F                       F                           .3                            2                                             194


                                                          กก ก                               ก                                                                      กก
 9.            F ก                                        ก 3 F 9                                 10               ก       F           F ก
                  F
                 7 (ก ก ก                                                    F                                                 F        F Fก F )
 1.                 F F           ก                                                       กก       F                                   ก ก
                     ก ,    F                                                  ก        F  F Fก
 2.             F ก        ก ก F                                            F ก F     F         ก 3-4                                                       F
   ก                 F ก F         ก                                     3 F 7               ก F                                             F          F
       F    ก F                 F                                             F F ก F         F                                                        40
           ก F                F                                           ก           ก F ก                                                      ก F

 3.                      ก               ก                                           F                             ก               F     ก
 4. F                                     F F ก F                        ก                             ก                                          F

 5.                  ก               F ก                                 ก


      5.3
            1)               F ก                          F ก                ก ก ก                                     F
            2)                F ก                        F ก                 ก ก ก                                     F
            3)                 F ก                         F ก               ก ก ก                             ก       ก                              ก         ก   ก
                 ก                           F

6.       ก                   F/              Fก                      F
      6.1        ก                   F
          -
      6.2            Fก                          F
          -      F
          -      F                ก F                       ก                    F                         F

7. ก ก
   7.1 ก ก                    F                      ก                                   F
ก            ก                  F                         F              .3                                          2                                                    195


                                    F
                      F ก                   ก             F   F                 ก ก ก                                            ก                            F
                                F
                         F ก                    F ก                       FF             F               F               F

                         F ก                    F ก                              F               F               F           ก                                    F
                             ก F F
                           F ก                        F               F              F                   F F                     F       F               F F
                                            F
                 กก         ก                         ก
                                                          ก ก                  ก ก F                           ก                     F                            ก F ก
                                                 ก                    ก                      F                                               F                    ก F     F



                                                                                                     ก                           ก                        F
    ก                  F                         Fก               ก                                                                              ก                    ก       ก
                     F ก                                                                     ก                               ก                       F
                 ก                  1. ก ก ก
                                    2. ก        ก                                ก                                   F
                                    3.
                                     4. F ก       ก                                                          ก
ก           Fก                      1.      ก F
                                    2.
                                    3. ก F
ก        ก         F                   F                   .3                   2                             196


8.       ก
                                                                     ก   ก
                                (           ก                            F                            )

                       ก            ก                                            F
         1.   ก       กก        ก                       F

         2.   ก       F ก               F

         3.   ก                 ก                   F


         4.   ก             ก                   F
                  ก

          ก




                                                                                                          F

          ก                 F                               ก        ก       F




                                                                                                              ..
                                                                                         F   .   ..           ..
ก          ก                  F                 F           .3                     2                                                                197


9.                  F

                ก              ก           ก

                                        กก         ก         ก          ก                                                     F
     ก           .................................. ...........             ................       ............................. ....................
         .................................................................. F ก ......................................................................
                                                                                               ก
                        Fก
                                                                            ก                                    F

 ก
 ก             กก              F
 ก         F             F ก /ก                 ก
                        F ก กF
          ก             FF
                           ก           F
         ก F                                   F ก
ก          ก                  F                  F                  .3               2                                                                   198


                         ก            ก                  กF


                                                                              ก ก
    ก           ..................................            ...........    ................           ............................. ....................
        .................................................................. F ก ......................................................................

                                                                                                ก
             Fก
                                                               ก                                    ก                    F               F       ก
ก
ก ก              ก

ก
ก
                 F            F
    ก
ก         ก             F                           F                         .3                  2                                           199


                                                                               ก          ก                 F 4/3
                                                                                                    F
                                                                                          2

1.               ก                            F
     1.1        ก         F
           1)            ก                            F                 F F               F F F
           2)                                                       F         ก             F   F                               F F       ก F        F
           3)                                                     ก F                    ก        F                 F
           4)                     F                                     ก                F F F                  F           F
     1.2                 Fก                       F
            ก                                                 F               F F             F F                               ก F       ก
                     F                                                               F                      ก           F F F         F         F

2.
     2.1    ก                             F
             F
     2.2 ก / ก                             ก
        ก                                 ก                             Fก
     2.3 ก ก
          ก ก                                         ก ก                                       ก ก                       F ก ก

3.    F         ก                     F
     3.1      /
         1) ก ก
         2) ก ก
     3.2 ก      ก         ก
         1) ก F ก F 3
         2) ก        Fก F
         3)      Fก F F
         4) F ก           กก
ก      ก          F             F                         .3                       2                                                  200


         5)                    F
         6) F ก ก ก                                                      F                      ก
         7) F
     3.3        ก             ก                                      F
         1) F         F          ก                       ก F
          2)                                                                       ก
     3.4          F     F
            ก       F       ก                        F              F F                 F F           F               ก F          ก
              F           F      ก                              F                               ก                 F F F        F

4.           ก        F                              /                       /ก
         ก F F
         1) F           F
         2) F
         3)    F ก F 80%
         ก        ก
           F F ก F        3                      ก

5. ก ก      ก         ก
   5.1
                    1 (ก                     F           F F                      F F )
                                                                                                                           1
                                                                                                                        1−
                      F F                ก               ก               ก          F       ก                 F            3           F
                                                                                                                           1
                                                                                                                        1+
                                                                                                                           3
                F
                    2 (ก                 F                                        F F                     F         )
                     F F                                             ก                  ก           F F
ก                        ก                        F                    F                   .3                        2                                                201


     5.2
                                                                    กก           ก               ก                                                                    กก
                  1 (ก                                          F        F F                     F F )
                                                                                                                                                   1
                                                                                                                                                1−
1.                        F F                               ก        ก               ก            F       ก                     F                  3
                                                                                                                                                   1
                                                                                                                                                1+
                                                                                                                                                   3
                  F                         F
2.        F                                                          ก                                                         5-10                  F
                      F                 ก                    ก                   F
3.                                  F                               ก                    F                F                                      F                ก     ก
      F                    F                                                                                  F                                              กF
    F
4. ก                            F                            F F         F                            F                         F ก             F ก               ก     ก
                                                    F       ก
              F                                 F                                            F                    F                 F
                                        F
5.     ก F               F       F ก
          1       1                       2
   1−                        2
          3 , x , 2x − 4               1− x           F
          1 x+4                2          3
   1+                      1+
          3                    x       1+ x
6.            F       F                    F      F F                                                                     F F               ก                 F   ก     ก
    ก ก, ,                                   ก                                                                        F                                  F
ก กF                        F F         F     F
7. ก            F            ก       F          F                                                                                       F                         ก ก
        F
                        1
                    1−
     F                  3 F F          F F
                        1
                    1+
                        3
ก       ก          F             F           .3                 2                                           202


                                    กก         ก        ก                                                       กก
      ก       F           F ก              F F กF                     ก                                     ก ก
                            1          3 −1          2
                     1− =                        =
                            3            3           3
                            1          3 +1          4
                     1+ =                        =
                            3            3           3
          ก             ก          F                       F      F               F     F               ก
            F      F ก                           ก
                   1            2
               1−
                   3 = 3
                   1            4
               1+
                   3            3
                               2 3
                        =         ×           (          ก                            ก )
                               3 4
                               2×3
                      =                       (          ก                            ก )
                               3× 4
                                   2×3
                     =
                               3 × (2 × 2)
                                1            Q 2 = 1, 3 =
                     =                                                   1
                                                                           
                                2             2                3          
                   1
               1−
                   3 = 1
                   1        2
               1+
                   3
8.        ก       F ก F                       F      F         ก              ก ก                   F       ก     ก
 ก         F ก        F                         F F          F F
  F           F F            F                      F F กF          F                       F           F
                               P, Q R
                        P
                      Q           P S
                      R     = × , Q ≠ 0, R ≠ 0                            S≠0
                                  Q R
                        S
9.          ก F ก                    F      F F         F F                   ก                 F
ก     ก           F             F          .3              2                                    203


                               กก         ก       ก                                              กก
                           x −6                                                                ก ก
          F                 x2          F F          F F
                        x 2 − 36
                            5x
                      x −6
                         2            x −6          5x
              Q 2x               = 2 × 2                         ( F F ก )
                    x − 36              x        x − 36
                       5x
                                       (x − 6)5x
                                 = 2 2
                                      x (x − 36)
                                           (x − 6)5x
                                 = 2                             ( ก         ก )
                                      x (x − 6)(x + 6)
                                 =
                                           5              Q x = 1, x − 6 = 1 
                                                                                 
                                     x(x + 6)              x           x −6 
                 x −6
                    x2                    5
                               =                         x≠0        x≠ ±6
                x 2 − 36             x(x + 6)
                    5x
10.                     F ก          F ก                            ก         x F
                ก F x≠0               x≠ ±6                     ก Fก
11.               F ก                           ก F         F F                F     F
                     F กก                     F        F                                 F
                             F
12.           F                  ก         F x-1                          F F          F   F
  F              1
                  
                 x
13.         ก                   F Fก กF F                     F       F                        ก ก      F
                               1                                                               ก ก
        F                                 F F         F F
                           1 − x −1
                                                                  1
      F                    ก        F 1 − x −1 F F ก 1 -                    F ( Fก )
                                                                  x
ก        ก            F                 F                    .3                         2                          204


                                        กก         ก                ก                                               กก
                        1                1
          Q                   =       1
                    1 − x −1     1−
                                      x
                                   1
                              = x −1
                                   x
                                   x −1
                             = 1÷
                                      x
                                      x
                             = 1×                              (ก               F        F ก )
                                    x −1
                                  x
                             =
                                x −1
                       1           x
                             =                             x≠0                          x≠1
                   1 − x −1      x −1
14.                   F ก                                      F                        F ก               ก   4 F
   1, 3 4
15.      F ก                        ก        4 F           2            ก           F             F ก ก
       F
          2 (ก                      F                               F F                       F       )
1.         F F                                         ก                    ก            F F

                                                       9
      F                ก        F                                                       F F                    F
                                                       2
  F                    Fก
           F         F                            F2
                     9              8 1    1    1
      1            F                 + = 4+ = 4
                     2              2 2    2    2
      2                ก
ก      ก                            F                    F                    .3         2                                205


                                                     กก               ก             ก                                     กก
                                             1                    1
         9÷2 = 4+                                         4
                                             2                    2
2. ก         F   F           F                                    ก           ก               ก6 F              F ก F   ก ก
    ก             F
               11                                                                     21
         (1)          =        .                                                  (4)    =                  .
                3                                                                     2
               15                                                                     45
         (2)          =        .                                                  (5)    =                  .
                2                                                                      6
               19                                                                     70
         (3)          =        .                                                  (6)    =                  .
                3                                                                      9
                2
         (1) 3
                3
               1
         (2) 7
                2
               1
         (3) 6
               3
                 1
         (4) 10
                    2
               3           1
         (5) 7           7
               6           2
               7
         (6) 7
               9
3.                  F   F ก                                               F                       F F               F
          ก                  F                                                      F F   ก             ก
   F
4. ก                 F               F
                                                                      A      R
                         F                       F                F     = Q+
                                                                      B      B
   Q                                             R                    ก
5. ก F                           F                   F                    ก                   F                 ก
ก       ก           F               F           .3             2                   206


                                      กก       ก       ก                             กก
                        2x + 3
        F                                          F
                         x −1
               F       ก       2               ก                 ก

                   1      ก                    F




              2x + 3           5
                       = 2+            x≠1
               x −1          x −1
                          2x + 3     (2x − 2) + 5
                  2 Q             =
                           x −1          x −1
                                      2(x − 1) + 5
                                  =
                                          x −1
                                      2(x − 1)     5
                                   =            +
                                       x −1 x −1
                                             5
                                   = 2+
                                           x −1
              2x + 3           5
                       = 2+            x≠1
               x −1          x −1
6.                  F ก                    F
7.          F ก            ก 4 F 5 7 ก F             F ก
  F



      5.3
            1) F ก             F ก         ก                F   F F       F F
            2) F ก              F ก        ก                F              F F   F
ก      ก                               F                           F                                .3                                2                 207


6.      ก               F/                       Fก                              F
     6.1     ก                       F
         -
     6.2         Fก                              F
         -   F
         -   F                   ก F                             ก                        F                                 F

7. ก ก
   7.1 ก ก                   F                           ก                                        F
                                         F
                  F ก                            ก           F       F                        ก ก                                   F
                                 F
                 F ก                             F ก                                 FF                        F        F               F

                 F ก                             F ก                                          F                    F            F           ก             F
                        ก F F
                 F ก                                     F                   F                        F                F F                  F   F   F F
                                                     F
ก        ก         F                   F                   .3                   2                             208


8.       ก
                                                                     ก   ก
                                (           ก                            F                            )

                       ก            ก                                            F
         1.   ก       กก        ก                       F

         2.   ก       F ก               F

         3.   ก                 ก                   F


         4.   ก             ก                   F
                  ก

          ก




                                                                                                          F

          ก                 F                               ก        ก       F




                                                                                                              ..
                                                                                         F   .   ..           ..
ก          ก                  F                 F           .3                     2                                                                209


9.                  F

                ก              ก           ก

                                        กก         ก         ก          ก                                                     F
     ก           .................................. ...........             ................       ............................. ....................
         .................................................................. F ก ......................................................................
                                                                                               ก
                        Fก
                                                                            ก                                    F

 ก
 ก             กก              F
 ก         F             F ก /ก                 ก
                        F ก กF
          ก             FF
                           ก           F
         ก F                                   F ก
ก          ก                  F                  F                  .3               2                                                                   210


                         ก            ก                  กF


                                                                              ก ก
    ก           ..................................            ...........    ................           ............................. ....................
        .................................................................. F ก ......................................................................

                                                                                                ก
             Fก
                                                               ก                                    ก                    F               F       ก
ก
ก ก              ก

ก
ก
                 F            F
    ก
ก         ก                       F                                        F             .3                            2                                                          211


                                                                                         ก ก                                         F 4/4
                                                                                       ก กF ก                                F
                                                                                              3

1.               ก                                  F
     1.1        ก                   F
           1)                                               ก            กF ก                  F                                     F
           2)                  ก                                                       ก            F           F
           3)                               F                                              ก                F                                    ก                F F
           4)                       ก                            F                                  ก               ก                    F           F              F
           5)                       ก                       กF               F                      ก                    F                               F
     1.2                           Fก                                F
               ก                                                         ก            กF ก              F                                                                   F
           ก               F                                                         ก     F                                                 ก               F                  ก
      ก                F                                F                                           ก               กF           F                       ก              F           F

2.
     2.1    ก   F
         ก กF ก     F
     2.2 ก / ก    ก
         ก        ก       F
     2.3 ก ก
          ก ก         ก ก                                                                                                ก ก                                     F ก ก

3.    F            ก                            F
     3.1                /
         1)             กก
         2)            กก
     3.2 ก                ก       ก
         1)            ก F ก F 3
         2)             ก    Fก F
ก      ก             F   F                   .3                        2                                                      212


         3)         Fก F F
         4) F ก                กก
         5)                    F
         6) F ก ก ก                                                F                ก
         7) F
     3.3      ก             ก                              F
         1) F         F        ก     ก                F
         2)                                                             ก
     3.4        F       F
          ก       F       ก กF ก                  F                                 F ก              F                         ก
          F                ก       F                      F ก                   ก          F                     ก         ก        F
            F                F    ก กF                      F                       ก          F

4.           ก        F                   /                        /ก
         ก F F
         1) F           F
         2) F
         3)    F ก F 80%
         ก        ก
           F F ก F        3           ก

5. ก ก      ก         ก
   5.1
                1
                    F F       ก           F                                 F           (golden ratio)               F F
            ก         F
                2
                    F F           ก           ก                ก                                             F
                3
                    F F           ก       ก                                     กก        กF ก           F
ก          ก                         F                       F                    .3                         2                                                      213


     5.2
                                                   กก                  ก                ก                                                                           กก
                1 (ก กF ก                                      F                                )
1.                                                     F                       (golden ratio)                              F F                                  ก     ก
           ก               F
2.                                                     ก                       F                       F               ก
                                       F                                           กF           ก          F
                                                                                                    1
3.     ก              F        ก                   F                                        F         = 4                         ก                 F
                                                                                                    x
                          x ≠0
4. ก                                           ก               F                 F F ก                                                ก                 F       ก ก        F
   ก              F                                            1 ก         F ก กF      F                                                  F                 F
           F ก F                                             ก F F ก F
5.          ก ก            F                                             ก     F                                                              F                 ก     ก
               กก            ก                             กF ก        F
                 กก กF ก                                     F
             (1)       F                                         ก F
             (2) . . .                                     F         F       F    ก
             (3)         F                                     ก F .. .             F
             (4) กF ก
             (5)
6.                                                                                 ก F F                       F       ก F                        F ก
                                                                                                     2x
 ก          F                  ก                           F               F            ก                =2
                                                                                                    x +1
   ก ก                             F   x+1 F F F ก 0
        F x F                   F F ก -1
 ∴ F                                ก F x = -1
7.   F ก                       กก        F     F
กก        F                       F
    ก F                              ก F ก F                                                           ก                     FF
ก    ก          F         F                  .3   2                     214


                           กก           ก          ก                     กก
                                                                       ก ก     F
                                    F                       ก F
                                           3x
               1                                                  ..
                                            x
                                         2x + 1
               2                                                  ..
                                           2x
                                        4x + 2
               3                                                  ..
                                          2+x
                                           3x
               4                                                  ..
                                          x +1
                                              1
               5                         1+                       ..
                                              x
                                         3x + 2
               6                                                  ..
                                         x2 +1
                                        10x − 3
               7                                                  ..
                                         x2 + 9
                                          12x
               8                                                  ..
                                         4x − 8
                                         6x + 5
               9                                                  ..
                                        2x 2 − 8
                                        7x + 2
               10                                                 ..
                                        5x 2 − 5
       กก      F       F
(1)   x ≠ 0 (2) x ≠ 0 (3) x ≠ -2 (4) x ≠ -1 (5) x ≠ 0
(6)   x                  F F ก F
(7)   x                   F F ก F     (8) x ≠ 2
(9)   x ≠ ± 2 (10) x ≠ ± 1
8.         ก      F ก      กก      F        F   F ก
9.      ก F ก กF ก            F

                           3x
       F       กF ก            =4
                          x +1
ก     ก        F              F            .3        2          215


                       กก            ก        ก               กก
                 3x                                         ก ก
             ก            F               x = -1
               x +1
              3x
        ก           = 4; x ≠         -1
             x +1
          x+1           ;
                 3x
           F          (x + 1)         =      4(x + 1)
               x +1
                            3x        =
                                     4x + 4
                        -4            =
                                     4x - 3x
                            x         =
                                     -4
                                       3x
                x = -4          ก            =4
                                      x +1
                     3( −4)       −12
            F                 =         =4
                   ( −4) + 1      −3
                                    3x
                             ก            = 4 -4
                                   x +1
10. ก F          F
                         1
    F   กF ก 1 + = x
                         x
                   1
           ก 1+ = x F                   x=0
                   x
              1
      ก 1+ = x; x ≠ 0
              x
       x             ;
         F             x + 1 = x2
                   x 2 − x −1 = 0
                    ก                           ก
          − b ± b 2 − 4ac
       x=
                 2a
                        −( −1) ± ( −1) 2 − 4(1)( −1)
        ก       F x=
                                      2(1)
                   ( ก      a = 1, b = -1, c = -1)
ก      ก         F               F            .3                     2                                216


                                กก         ก        ก                                                 กก
                      1± 5
                 x=
                        2
                                                                       1+ 5
11.        F ก                                 ก         F x=
                                                                         2
          1− 5                        1
x =                         ก     1+    = x                        F           2 F        F ก
            2                         x
                                   1+ 5                                              1− 5
                                FF       (               F             )
                                     2                                                 2
                            1
                   ก 1+       =x
                            x
12.          ก        F ก                          F ก       F ก                      ก     5 F   ก     ก
  1       ก F               ก                        F
           2
1.          F F              ก ก         ก                                   F
2.           F F     F        F     F     ก                                                       ก ก
                           x+4         5         1
     F          กF ก              =          −
                           x −1 x −1 x +1
          Q F                            ก         F         x = ±1
                x+4             5      1
            ก            =        −       ; x ≠ ±1
                 x −1 x −1 x +1
                .. .            F          F                  ก (x + 1)(x - 1)
              F          ก        F
                  x+4                            5                      1
(x + 1)(x − 1)             = (x + 1)(x − 1)          − (x + 1)(x − 1)
                  x −1                         x −1                   x +1
       (x + 1)(x + 4) = 5(x+1) (x - 1)
          x2 + 5x + 4 = 5x + 5 x + 1
           x2 + x 2 = 0
       (x + 2)(x − 1) = 0
∴ x = -2                     x=1
3.       F ก           F x = -2       x=1                 ก         F      F
ก            ก                   F                             F                .3             2                                 217


                                                      กก                    ก            ก                                           กก
                                                                                                  x+4    5    1
                                  ก                                 F           x = -2        ก       =    −
                                                                                                  x −1 x −1 x +1
                                                           x+4    5    1
                      F x=1                       ก            =    −     F
                                                           x −1 x −1 x +1
                 x = -2                                          ก
4.                 F ก                                    ก 5 F 2     3 F ก                                            ก

                  3
1.                    F F                                 ก         ก                              กก           กF ก           F

2.                                            F                                          ก                                         ก ก     F
             กก                       F                                     ก                           52,000             F       ก ก
              F             F                                                F F                                  3 F 2
 F       F                                                ก
             ก                                    ก            ก                F
     -                    Fก                                  F F
     -                     FF ก
     -            ก                           Fก                    F ก                     ก       F F
               F ก                             ก                                    F ก ก
                   FF                                                                x
                F                                                                    52,000 - x
             F      F                                     F                                  F              F
               Fก
                                 3                        52,000 − x
                                                      =
                                 2                               x
     2x                           F                     ก      F
                                3x                    =    2(52,000 - x)
                                3x                    =    104,000 - 2x
                                5x                    =    104,000
                                x                     =    20,800
ก                    ก                      F                F           .3           2                                         218


                                                             กก          ก       ก                                                กก
                     F                                              20,800
3. ก                                       F             F ก         F ก                      F                       F
4.                                                      2 ก                                                                   ก     ก
    T( F                                                   ) ก กF ก F                       L( F                  )
                                                               L                                                              ก ก        F
                         ก                              T = 2π        g                           F F       F ก F
                                                               g
2                    กF 1                                   8                               FW                    F F
                                               F
    ก            F                                           ก                กก กF     F               ก
        Fก                    ก                              FF ก              F F ก
                             g L                         2                   T 8
                              L
                         ก T = 2π
                              g
                 F T=8 L=2
                              2
                   8 = 2π
                              g
             กก           2 F   F
                            2
                  64 = 4π 2  
                            g
                64g = 8π 2
                       8π 2
                    g=
                        64
                                                   π2
                                       =
                                           8
                                       ≈ 1.2337
                                 F F                                  FW               1.2337 m/s2
5.           ก                     F                                กก ก กF             F          F          F           F
    ก                                  ก                5 F       4 9 ก F                 F   ก
  F
ก       ก                           F                               F                    .3                                       2                                     219


      5.3
             1) F ก                                   F ก                                                                   ก                       F                     F
                                                          F ก F
             2) F ก                                     F ก     ก                              กF ก                             F
             3) F ก                                    F ก      ก                              กF F                                         ก               F

6.      ก                F/                       Fก                          F
     6.1     ก                    F
         -
     6.2          Fก                              F
         -    F
         -    F               ก F                                 ก                    F                        F

7. ก ก
   7.1 ก ก                F                           ก                                    F
                                      F
                   F ก                            ก           F       F                    ก ก                                                          F
                              F
                   F ก                            F ก                                 FF               F            F               F

                   F ก                            F ก                                          F           F            F               ก                             F
                         ก F F
                   F ก                                    F                       F                F           F F                      F       F               F F
                                              F
ก        ก         F                   F                   .3                   2                             220


8.       ก
                                                                     ก   ก
                                (           ก                            F                            )

                       ก            ก                                            F
         1.   ก       กก        ก                       F

         2.   ก       F ก               F

         3.   ก                 ก                   F


         4.   ก             ก                   F
                  ก

          ก




                                                                                                          F

          ก                 F                               ก        ก       F




                                                                                                              ..
                                                                                         F   .   ..           ..
ก          ก                  F                 F           .3                     2                                                                221


9.                  F

                ก              ก           ก

                                        กก         ก         ก          ก                                                     F
     ก           .................................. ...........             ................       ............................. ....................
         .................................................................. F ก ......................................................................
                                                                                               ก
                        Fก
                                                                            ก                                    F

 ก
 ก             กก              F
 ก         F             F ก /ก                 ก
                        F ก กF
          ก             FF
                           ก           F
         ก F                                   F ก
ก          ก                  F                  F                  .3               2                                                                   222


                         ก            ก                  กF


                                                                              ก ก
    ก           ..................................            ...........    ................           ............................. ....................
        .................................................................. F ก ......................................................................

                                                                                                ก
             Fก
                                                               ก                                    ก                    F               F       ก
ก
ก ก              ก

ก
ก
                 F            F
    ก
ก        ก               F                                   F                     .3                     2                                                   223


                         ก                                                      F                           ก                                  F ก                F 4
                                                                                              (Self Reflection)
          1. ก                                                     F                        F      ก
             1.1                               ก                                    F            F ก         F ก F                     F ก           F                  F
                     ก                     F                                                   Fกก ก               F               F                     F
               1.2       F ก                                               กก                             F                            F                      F

                                               กก                                                    F                               F ก                F 4
                                                       /                    /                    ก ................ /................ /................

          ก            ก
          1.      กก                   F                       F                        F            F
     ..                                                                                                                                    .
     ..                                                                                                                                    .
          2.                                                                                         F F F
     ..                                                                                                                                    .
     ..                                                                                                                                    .
          3.                  F F Fก               F                       F F                           F
     ..                                                                                                                                    .
     ..                                                                                                                                    .
          4.                                               F                                                 กก
     ..                                                                                                                                    .
     ..                                                                                                                                    .

          2. ก                 ก                ก                                           Fก               ก



1.

     ................................................................................................................................................
     ..                                                                                                            .
ก          ก                F                   F                .3                     2                                                                 224




    .......................................................................................................................................................
    ..                                                                                                            .

    ............................................................................................................................................... ...
    ..                                                                                                            .

    .............................................................................................................................................. ....
    ..                                                                                                             .
                  ก กF
    .............................................................................................................................................. ....
    ..                                                                                                             .
    ..                                                                                                             .
2.                        F ก กF
    2.1             กF                   ............................................................................................................. ..
                     ก               ..................... F ................                    .................                 F..........................
           ................................................................................................................................................
     2.2             ก           ก กF                       ก ก ....................................................................................
            ................................           ก F                        F กF                      .................................................
            ................................................................................................................................................
 3.                       ก กF
    3.1 ก F                           ก กF                           ก               ............................. F ..................
           ..................                               ....................... ก ก .......................                                  ก ก
           ................................................................................................................................................
    3.2                      F ก ก                              .................................. F ก                      F .............................
                   .........................................................................................................................................
    3.3                         ก ก                            .........              F/                  F ..........                 .......................
               . . .....................                ..........           .......................... . . .......................
4.                   ก ก กF
       4.1                          F ก กF
       .....................................................................................................................................................
       .....................................................................................................................................................
ก          ก               F                   F                .3                    2                                                                  225


                            ก F
   .......................................................................................................................................................
   .......................................................................................................................................................
   .......................................................................................................................................................
    2.2                         F ก ก                             F
   .......................................................................................................................................................
   .......................................................................................................................................................
                            ก F
   .......................................................................................................................................................
   .......................................................................................................................................................
   .......................................................................................................................................................
    2.3 ก ก                            F            F          ก ก                          F                 ก
          1)                               F ก กF                                         Fก ก
                ...........................................................................................................................................
                                  ..........................................................................................................................
                 ..........................................................................................................................................
           2)                        ก                    F            ก F ก ก ........................................................
                                                                                                                                                          ...
                                   .........................................................................................................................
                                                                                                                                                     ......
    2.4 ก                      FF               ก                       F          ก                   F F
                                                                                                                                                         ..
                                                                                                                                                         ..
                                                                                                                                                         ..
5. ก กF
        ก กF                  ก ก ................................................................................................................
             ก ก F                                    ก
  ........................................................................................................................................................
   .....................................................................................................................................................
   .......................................................................................................................................................
                                                                                                                                                        ...

Unit4

  • 1.
    F ก F 4 F ก 1. ก F . 6.1 2. ก F 6.1 .3/1-6 3. ก F F 3.1 F 3.2 ก ก F 3.3 F 3.4 ก กF ก F 4. F ก F 4.1 / F กF 1) ก ก 1-5 2) ก 4.2 ก F กF 1) ก กก ก F ก F F 2) ก F F ก กก ก F 4.3 ก ก F ก F
  • 2.
    ก F F .3 2 165 5. ก กก ก ก F F ก F ก 5.1 / F กF 1) ก ก 1-5 - F - ก F 2) ก - ก ก กก กก F - กก - F ก F - F F ก F 5.2 ก F กF 1) ก กก - F ก - ก F ก F F ก กก ก F F F -ก F F ก - F ก F F F F - F ก F ก F F F ก F ก F F 2) ก F F ก - ก ก F ก - ก F F ก กก ก F กก ก F กก ก 5.3 ก - F ก - ก
  • 3.
    ก F F .3 2 166 ก ก F 4/1 F 3 1. ก F 1.1 ก F 1) ก F F 2) ก F F F ก F F F 3) F F ก F ก F F 4) F ก F F F 5) F ก F F F F F F 1.2 Fก F ก ก F , ก FF F ก F F F, F F ก F ก F , F ก F F F ก F F F F F F 2. 2.1 ก F F 2.2 ก / ก ก ก ก F 2.3 ก ก ก ก ก ก ก ก F ก ก 3. F ก F 3.1 / 1) ก ก 2) ก ก 3.2 ก ก ก 1) ก F ก F 3 2) ก Fก F
  • 4.
    ก F F .3 2 167 3) Fก F F 4) F ก กก 5) F 6) F ก ก ก F ก 7) F 3.3 ก ก F 1) F F ก ก F 2) ก 3.4 F F ก F F F ก F ก F F F F F 4. ก F / /ก ก F F 1) F F 2) F 3) F ก F 80% ก ก F F ก F 3 ก 5. ก ก ก ก 5.1 1( F ) F F ก ก ก F ก F ก F F F F 2 (ก F F ก F ) F F ก F ก F ก 3( ก F ) F F ก ก ก F F ก ก ก 5.2
  • 5.
    ก F F .3 2 168 กก ก ก กก 1( F ) 1. F F ก ก ก F ก F ก F F ก ก F F F x2 + x + 1 ( ) x2 + x-1 ( F x-1 F ก ) x2 + 2x - 1 ( ) 3x2 + x - 4 ( ) 2 2 x +4 3 ( F x 3 F ก ) 2. F ก F ก ก - ก ก ก F ก F F 1 ก F 0 ก F F ก F ก ก ก F ก 3. ก F ก F F F ก ก F F ก กก F F กก F F F F F F 1 x4 x2
  • 6.
    ก F F .3 2 169 กก ก ก กก กก F F F F F F 2 12x3 4x2 1 3 x 2 2 2x 3 4 12y2 6y + 2 5 x (2x + 3)2 กก F F F F F F 4 1 x x4 x2 x2 2 12x3 12x 3 4x2 4x 2 1 3 1 x 2 x 2 2 2 2x 3 2x 3 4 12y2 12y 2 6y + 2 6y + 2 5 x x (2x + 3)2 (2x + 3) 2 4. กก ก F F ก F ก ก ก ก F F F F P(x) Q(x) F
  • 7.
    ก F F .3 2 170 กก ก ก กก P(x) Q(x) ≠ 0 Q(x) 5. ก ก F ก F F ก F ก ก F ก ก F F ก F F F x (1) ( F (2x + 3) 2 F ) -2 (2) y(2y - 4) ( F y F ) (2y − 4) 2 (3) x 2 + 4x ( F F F F F ) 3 x +3 4 (4) ( F F F ) x −2 6. F ก F ก F ก FF ก ก F ก ก F ก F F ก F F 7. ก F ก ก ก ก F ก ก ก F F ก F a ก F a, b b b F Fก F F ก F ก F ก F ก F F F F F ก F 8. F ก ก 1 F 1 ก ก 1 F 1 F F ก F ก
  • 8.
    ก F F .3 2 171 กก ก ก กก 9. F ก ก F F ก 2 (ก F F ก F ) 1. F F ก F ก ก ก 2. F ก F ก F F F F Fก F F x +3 3. F F ก F F ก ก ก F x +5 ก F F ก F F ก F x=2 ก ก F F F ก F x=3 ก F x −2 F F x=3 x+2 x −2 3−2 = ( x F 3) x +2 3+ 2 1 = 5 2 x +3 F F x = -2 x −3 2 x +3 ( −2) 2 + 3 = ( x F -2) x −3 ( −2) − 3 4 +3 = −5 7 = −5 2 4. F ก F F ก F x −3 ก F x F F F F ( F F Fก F F F F F F F ก 0)
  • 9.
    ก F F .3 2 172 กก ก ก กก 5. F ก F ก ก FF F x F F Fx-3=0 6. ก F ก F x F F F Fก 3 7. F ก F ก ก ก ก ก F x −4 ก ก F F F x F F F Fก x +5 ก F ก ก F F x+2 F F x F F F F x2 − 4 x+2 ก F x2 - 4 ≠ 0 x2 − 4 x2 ≠ 4 x ≠ ±2 x+2 ∴ F ก F x F F2 x2 − 4 -2 x+4 F F x F F F F x2 + 9 x+4 ก F x2 + 9 ≠ 0 x2 ≠ -9 x2 + 9 Q F กก F F F ก -9 ∴x F ก F F F 8. ก F F F ก ก 1 F 2 F ก ก F ก F 9. F ก ก 1 F 3 ก F F ก F 3( ก F ) 1. F F ก ก ก F
  • 10.
    ก F F .3 2 173 กก ก ก กก F ก ก ก ก ก F ก F ก 30 36 Q ก 30 1, 2, 3, 5, 6, 10, 15 30 ก 36 1, 2, 3, 4, 6, 9, 12, 18 36 ก F 30 36 1, 2, 3 6 ∴ ก F F ก 6 2. F F ก 2-5 F F Fก ก F ก F ก (1) 8 12 (2) 10 15 (3) 20 30 3. F F F F F F ก ก F ก F ก F F ก F P, Q R Q ≠ 0 R ≠ 0 P⋅R P = Q⋅R Q 4. ก F ก F F F ก F F F ก ก F F ก ก 12x 5 (1) 6x 3 F ก F ก F F F ก Q 12x5 6x3 6x3 ก F x≠0 5 3 2 12x 6x ⋅ 2x F = 6x 3 6x 3 ⋅1 = 2x2
  • 11.
    ก F F .3 2 174 กก ก ก กก 12x 5 ∴ 3 = 2x2 x≠0 6x 30y 6 (2) 15y 4 Q 30y6 15y4 15y4 ก F y≠0 30y 6 15y 4 ⋅ 2y 2 F 4 = 15y 15y 4 ⋅1 = 2y2 30y 6 ∴ 4 = 2y2 y≠0 15y x2 − 4 (3) 2 x + 5x + 6 x2 − 4 x2 − 22 Q 2 = 2 ( 2 - 2 = ( + )( - )) x + 5x + 6 x + 5x + 6 (x + 2)(x − 2) = (x + 2)(x + 3) (x − 2) = (x + 3) x2 − 4 (x − 2) ∴ 2 = x ≠ -2 x ≠ -3 x + 5x + 6 (x + 3) x 2 − 5x + 6 (4) 3x − 6 ก ก F F ก ก F F F ก ก F ก F F ก ก F ก F F ก x 2 − 5x + 6 (x − 3)(x − 2) Q = 3x − 6 3(x − 2) (x − 3) = 3 2 x − 5x + 6 (x − 3) ∴ = x≠2 3x − 6 3
  • 12.
    ก F F .3 2 175 กก ก ก กก (x − 3) 3 ก ก F ก x- = x-1 3 3 F F ( F F F 3 F F ก F ) (x − 3) 1 x F F F (x - 3) -1 3 3 3 5. F ก ก 1 F 4 ก F F ก ก F 5.3 1) F ก F ก F 2) F ก F ก ก ก F F ก F 3) F ก F ก ก F F F 6. ก F/ Fก F 6.1 ก F - 6.2 Fก F - F - F ก F ก F F 7. ก ก 7.1 ก ก F ก F F F ก ก F F ก ก ก F F F ก F ก FF F F F F ก F ก F F F ก F
  • 13.
    ก F F .3 2 176 ก F F F ก F F F F F F F F F F
  • 14.
    ก F F .3 2 177 8. ก ก ก ( ก F ) ก ก F 1. ก กก ก F 2. ก F ก F 3. ก ก F 4. ก ก F ก ก F ก F ก ก F .. F . .. ..
  • 15.
    ก F F .3 2 178 9. F ก ก ก กก ก ก ก F ก .................................. ........... ................ ............................. .................... .................................................................. F ก ...................................................................... ก Fก ก F ก ก กก F ก F F ก /ก ก F ก กF ก FF ก F ก F F ก
  • 16.
    ก F F .3 2 179 ก ก กF ก ก ก .................................. ........... ................ ............................. .................... .................................................................. F ก ...................................................................... ก Fก ก ก F F ก ก ก ก ก ก ก F F ก
  • 17.
    ก F F .3 2 180 ก ก F 4/2 ก ก F 7 1. ก F 1.1 ก F 1) ก F F F F 2) ก F F F F 3) ก F F ก F F F 4) ก F F ก F F F 5) ก ก F F F Fก F 6) ก ก F F F F Fก F 7) ก F F F F F F F 8) ก F ก F F ก F F F F F F F 1.2 Fก F ก ก ก ก F ก F ก ก F ก F F F ก ก F F F 2. 2.1 ก F ก ก F 2.2 ก / ก ก ก ก F 2.3 ก ก ก ก ก ก ก ก F ก ก 3. F ก F 3.1 / 1) กก
  • 18.
    ก F F .3 2 181 2) กก 3.2 ก ก ก 1) ก F ก F 3 2) ก Fก F 3) Fก F F 4) F ก กก 5) F 6) F ก กก F ก 7) F 3.3 ก ก F 1) F F ก ก F 2) ก 3.4 F F ก F ก ก ก F ก ก F ก ก F ก F F F ก ก ก F F 4. ก F / /ก ก F F 1) F F 2) F 3) F ก F 80% ก ก F F ก F 3 ก 5. ก ก ก ก 5.1
  • 19.
    ก F F .3 2 182 1 (ก F ) F F ก ก F ก ก ก a c F ก F F F ก F a, b, c d F ⋅ b d a c ac F F b≠0 d≠0  ⋅ =     b d bd  2 (ก F ) F F F ก ก ก ก ก F ก ก 3 (ก ก ก F ) F F ก ก ก ก ก F Fก 4 (ก ก ก F F) F F ก กก ก ก ก กก ก ก F ก F Fก 5 (ก ก ก ก F F Fก ) ก ก .. . ก ก ก F ก ก ก .. . F ก ก F Fก .. . 6 (ก ก ก F F F Fก ) ก ก ก ก F F Fก 7 (ก ก ก F F F Fก F ) F F ก F กก ก ก ก , F ก F F Fก 5.2 กก ก ก กก 1 (ก F ) 1. F F ก ก F ก ก ก ก F ก F ก F F F ก F a, b, c a c d F ⋅ F F b≠0 d≠0 b d  a ⋅ c = ac     b d bd 
  • 20.
    ก F F .3 2 183 กก ก ก กก 2. ก F ก ก 3. F F ก F ก F กก ก ก ก ก ก ก F ก P, Q, R S P R PR FF ⋅ = Q≠0 S≠0 Q S QS 4. ก F ก ก ก ก 3 5 F ⋅ 4 6 3 5 3⋅5 Q ⋅ = ( ) 4 6 4 ⋅6 3⋅5 = 4 ⋅ (3 ⋅ 2) 5 Q 3 = 1  =   8  3  5 7 F ⋅ 9 10 5 7 5⋅7 Q ⋅ = ( ) 9 10 9 ⋅10 5⋅7 = 9 ⋅ (5 ⋅ 2) 7 Q 5 = 1  =   18  5  5. ก F ก ก ก F F ก ก F ก ก F F ก F ก F ก ก ก x2 − 4 5 F ⋅ F F F x x+2 x2 − 4 5 (x 2 − 4)5 Q ⋅ = ( ) x x+2 x(x + 2)
  • 21.
    ก F F .3 2 184 กก ก ก กก (x + 2)(x − 2)5 = x(x + 2) ( ก ก ) = 5(x − 2) Q x + 2 = 1    x  x+2  x2 − 4 5 5(x − 2) ⋅ = x≠0 x ≠ -2 x x+2 x 6. ก F F F F ก ก 2 F 2 F F (1) - (4) 7. ก F ก ก 2 F 2 F F (1) - (4) 8. F ก ก 2 F 2 F F (5) - (10) ก F F ก F 2 (ก F ) 1. F F F ก ก ก ก ก ก ก F ก ก F ก a, b, c d a c a d ÷ = × b ≠ 0, c ≠ 0 d≠0 b d b c 2. F ก ก ก F ก ก ก F F ก 3. F ก F ก ก ก ก F ก ก 3 7 F ÷ 4 8 3 7 3 8 Q ÷ = × ( ก ) 4 8 4 7 3 4 ⋅2 = × (Q 8 = 2 × 4) 4 7
  • 22.
    ก F F .3 2 185 กกก ก กก 3⋅ 4 ⋅ 2 = 4 ⋅7 = 3⋅ 2 Q 4 = 1    7  4  6 = ( F F ) 7 4. ก F ก Fก ก F กก ก ก ก F F 5. F Fก F F กก ก ก ก ก ก ก กก P, Q, R S P R P S ÷ = × Q ≠ 0, R ≠ 0 S≠0 Q S Q R 6. ก ก ก F F ก F F F F ก F F ก F F ก F 7. ก F ก F ก ก x + 5 x 2 − 25 F ÷ x x −1 2 x + 5 x − 25 x + 5 x −1 Q ÷ = × ( F F ก ) x x −1 x x 2 − 25 (x + 5)(x − 1) = x(x 2 − 25) (x + 5)(x − 1) = ( ก ก ) x(x + 5)(x − 5) (x − 1) Q x + 5 = 1  =   x(x − 5)  x +5  x + 5 x 2 − 25 (x − 1) ÷ = x ≠ 0, x ≠ 1 x≠ ±5 x x −1 x(x − 5)
  • 23.
    ก F F .3 2 186 กก ก ก กก 8. ก F 4x F F F F F ก ก F 4x 1 F ( F F 4x F ก 4x ) 1 4x 9. F ก F ก ก ก F 4 3 2 ก F x - 8x + 16x ก ก F F (x4 - 8x3 + 16x2 = x2(x2 - 8x + 16) = x2(x - 4)(x - 4)) 10. ก F ก ก ก ก x 4 − 6x 3 + 9x 2 F 3 2 ÷ (x 3 − 9x) x + x − 12x ก F ก ก ก ก ก F F ก F 4 3 2 x − 6x + 9x 3 2 ÷ (x 3 − 9x) x + x − 12x x 4 − 6x 3 + 9x 2 1 = 3 2 × 3 ( F F ก ) x + x − 12x x − 9x x 2 (x 2 − 6x + 9) 1 = × 2 ( ก ก ) x(x 2 + x − 12) x(x − 9) x 2 (x − 3)(x − 3) 1 = × x(x − 3)(x + 4) x(x − 3)(x + 3) x 2 (x − 3)(x − 3) = x(x − 3)(x + 4) ⋅ x(x − 3)(x + 3) 1 = (x + 4)(x + 3) x − 6x 3 + 9x 2 4 1 ÷ (x 3 − 9x) = x 3 + x 2 − 12x (x + 4)(x + 3) x ≠ 0, x ≠ ± 3 x ≠ - 4 11. F ก ก 2 F 4 F F ก 2 F F 1 F ก F 2 F ก ก F ก F
  • 24.
    ก F F .3 2 187 กก ก ก กก 3 (ก ก ก F ) 1. F F ก ก ก ก ก ก ก F F Fก ก ก - F ก กก ก กก ก F Fก F ก ก ก ก F F - ก ก ก ก ก ก ก ก ก ก F ก a, b c a c a+c + = b≠0 b b b a c a−c − = b≠0 b b b 2. ก F ก F F ก ก ก ก F ก F Fก F ก ก F ก F ก F 3 6 (1) + 5 5 Q F F ก Fก 5 3 6 3+6 9 ∴ + = = 5 5 5 5 7 6 (2) − 9 9 Q F F ก Fก 9 7 6 7−6 1 ∴ − = = 9 9 9 9 3. ก F F F F F ก F ก Fก ก ก F F กก ก ก ก ก ก ก F 4. F F ก ก ก F F กก ก ก ก ก ก ก F ก ก a, b c F F P, Q R
  • 25.
    ก F F .3 2 188 กก ก ก กก 5. ก F ก ก ก F F กก ก ก ก ก ก F ก F F ก F ก ก ก F ก ก ก ก ก F Fก 6. ก F ก ก P, Q R P R P+R + = Q≠0 Q Q Q P R P−R − = Q≠0 Q Q Q 7. ก ก F ก F ก F ก ก F -ก ก ก F Fก F ก ก F ( F F F ก 0) -ก ก F F Fก F F ก ก F ( F F F ก 0) 8. F F ก ก F ก ก F F ก ก F F ก F F ก ก 1 5x + 2 (1) + x −2 x −2 1 5x + 2 1 + 5x + 2 + = ( ก ) x −2 x −2 x−2 5x + 3 = ( ก ) x−2 1 5x + 2 5x + 3 + = x≠2 x −2 x −2 x−2 1 2x − 5 (2) + 2 x2 − 4 x − 4
  • 26.
    ก F F .3 2 189 กก ก ก กก 1 2x − 5 1 + 2x − 5 ก ก F + 2 = 2 ( ก ) x2 − 4 x − 4 x −4 ก ก 2x − 4 = 2 ( ก ) x −4 2(x − 2) = ( ก ก ) (x − 2)(x + 2) = 2 Q x − 2 = 1    x+2  x −2  1 2x − 5 2 2 + 2 = x≠ ±2 x −4 x −4 x+2 ก F F F ก F F ก F F F Fก F ก ก F F ก F ±2 ก F Fก F x=3 1 2(3) − 5 2 F + 2 = 32 − 4 3 − 4 3+ 2 1 1 2 + = 5 5 5 2 2 = 5 5 9. F ก ก 3 F 1 2 F F ก F ก ก F ก 10. F ก ก 3 F 3 ก F 11. F ก ก ก ก ก ก ก ก F Fก ก ก ก F F Fก ก 4 (ก ก ก F F) 1. F F ก กก ก ก ก กก ก ก F ก F Fก
  • 27.
    ก F F .3 2 190 กก ก ก กก 2. F F Fก F ก ก 4ก F F ก ก 1-16 ก F ก F F F ก ก F F ก F ก F 4 F F ก F ก F ก F F F ก F F 3 3. ก F ก ก F F ก กF 4. F ก F F ก กF F F F ก ก5 F F ก F F F ก F ก F ก F ก ก F 5. F ก F F F ก F ก กก ก กก ก กก ก กก F F ก ก 5 (ก ก ก ก F F Fก ) 1. ก ก .. . ก ก ก F ก ก F ก ก ก .. . F ก ก F Fก .. . ก ก . . . 8 6 F ก F (24) . . . 714 F ก F (14) . . . 1020 F ก F (20) . . . 1525 F ก F (75) . . . 20100 F ก F (100) 2. ก Fก .. . F ก F ก ก F ก ก ก ก ก F F Fก ก ก ก F ก F F Fก F กก ก ก ก F Fก F F ( F F) - F ก F ก ก ก ก F F Fก - Fก ก ก F ก F F F ก กF ก .. . F
  • 28.
    ก F F .3 2 191 กก ก ก กก - ก F F ก 5 1 F ก + 8 6 ก F ก ก F .. . 8 6 (24) ก ก F F ก F F .. . 8 6 5 3 24 ก 8 6 F 24 F F ( F 8 3 1 4 F ) 6 4 F ก ก 5 1 5 3 1 4 + =  × + ×      8 6 8 3 6 4 15 4 = + 24 24 19 = 24 3. F F ก F ก F ก  3 + 5 + 2 − 5      5 3 3 7 Q . . . 3 5 15 . . . 3 7 21 3 5 2 5 3 3 5 5 2 7 5 3 ∴  + + −  =  ⋅ + ⋅ + ⋅ − ⋅          5 3 3 7 5 3 3 5 3 7 7 3 9 25 14 15 =  + + −       15 15   21 21  34  −1  = +  15  21  Q . . . 15 21 105 3 5 2 5 34 7 −1 5 ∴  + + −  =  ⋅ + ⋅          5 3 3 7  15 7   21 5  238  −5  = +  105  105  233 = 105
  • 29.
    ก F F .3 2 192 กก ก ก กก 4. ก F F F F F ก ก ก ก a, b, c d a c ad + bc + = b≠0 d≠0 b d bd a c ad − bc − = b≠0 d≠0 b d bd 5. F ก ก 6 (ก ก ก F F F Fก ) 1. ก ก ก ก F F Fก 2. ก ก F ก Fก ก F ก F F Fก F กก ก ก ก ก ก F F Fก F F ( F) x −2 3. F ก F ก F F ก ก F x +1 x2 1 F F ก ก F 4. ก F (x + 1)(x - 1) F (x2 - 1) F x −2 F ก F F x2 - 1 F F ก x +1 ก x2 - 1 = (x + 1)(x - 1) x −2 x − 2 x −1 ∴ = ⋅ x +1 x +1 x −1 (x − 2)(x − 1) = x2 −1 x 2 − 3x + 2 = x 2 −1
  • 30.
    ก F F .3 2 193 กก ก ก กก x −2 x 2 − 3x + 2 = x≠1 x≠-1 x +1 x 2 −1 5. F ก ก ก F x F F ก F ±1 6. ก ก F ก .. . F F ก ก F x 2 ก ก F F F ก ( F x2 − x − 6 x 2 − 4x + 3 ก ก ก ) 2 Q x - x 6 = (x - 3)(x + 2) x2 - 4x + 3 = (x - 3)(x - 1) . . . x2 - x 6 x2 - 4x + 3 (x - 3)(x + 2)(x - 1) 7. ก F ก F ก x 2 F ก + 2 x 2 − x − 6 x − 4x + 3 Q .. . x2 - x 6 x2 - 4x + 3 (x - 3)(x + 2)(x - 1) ∴ F F F F F F F ก กF x 2 x 2 + 2 = + x 2 − x − 6 x − 4x + 3 (x − 3)(x + 2) (x − 3)(x − 1) x (x − 1) 2 (x + 2) = ⋅ + ⋅ (x − 3)(x + 2) (x − 1) (x − 3)(x − 1) (x + 2) x2 − x 2x + 4 = + (x − 3)(x + 2)(x − 1) (x − 3)(x − 1)(x + 2) x2 + x + 4 = ( F F ) (x − 3)(x + 2)(x − 1) x 2 x2 + x + 4 + = x 2 − x − 6 x 2 − 4x + 3 (x − 3)(x + 2)(x − 1) x ≠ 3, x ≠ - 2 x≠1 F ก F 8. F ก ก 3 F 5, 6 8 ก F ก F
  • 31.
    ก F F .3 2 194 กก ก ก กก 9. F ก ก 3 F 9 10 ก F F ก F 7 (ก ก ก F F F Fก F ) 1. F F ก กก F ก ก ก , F ก F F Fก 2. F ก ก ก F F ก F F ก 3-4 F ก F ก F ก 3 F 7 ก F F F F ก F F F F ก F F 40 ก F F ก ก F ก ก F 3. ก ก F ก F ก 4. F F F ก F ก ก F 5. ก F ก ก 5.3 1) F ก F ก ก ก ก F 2) F ก F ก ก ก ก F 3) F ก F ก ก ก ก ก ก ก ก ก ก F 6. ก F/ Fก F 6.1 ก F - 6.2 Fก F - F - F ก F ก F F 7. ก ก 7.1 ก ก F ก F
  • 32.
    ก F F .3 2 195 F F ก ก F F ก ก ก ก F F F ก F ก FF F F F F ก F ก F F F ก F ก F F F ก F F F F F F F F F F กก ก ก ก ก ก ก F ก F ก F ก ก ก F F ก F F ก ก F ก F Fก ก ก ก ก F ก ก ก F ก 1. ก ก ก 2. ก ก ก F 3. 4. F ก ก ก ก Fก 1. ก F 2. 3. ก F
  • 33.
    ก F F .3 2 196 8. ก ก ก ( ก F ) ก ก F 1. ก กก ก F 2. ก F ก F 3. ก ก F 4. ก ก F ก ก F ก F ก ก F .. F . .. ..
  • 34.
    ก F F .3 2 197 9. F ก ก ก กก ก ก ก F ก .................................. ........... ................ ............................. .................... .................................................................. F ก ...................................................................... ก Fก ก F ก ก กก F ก F F ก /ก ก F ก กF ก FF ก F ก F F ก
  • 35.
    ก F F .3 2 198 ก ก กF ก ก ก .................................. ........... ................ ............................. .................... .................................................................. F ก ...................................................................... ก Fก ก ก F F ก ก ก ก ก ก ก F F ก
  • 36.
    ก F F .3 2 199 ก ก F 4/3 F 2 1. ก F 1.1 ก F 1) ก F F F F F F 2) F ก F F F F ก F F 3) ก F ก F F 4) F ก F F F F F 1.2 Fก F ก F F F F F ก F ก F F ก F F F F F 2. 2.1 ก F F 2.2 ก / ก ก ก ก Fก 2.3 ก ก ก ก ก ก ก ก F ก ก 3. F ก F 3.1 / 1) ก ก 2) ก ก 3.2 ก ก ก 1) ก F ก F 3 2) ก Fก F 3) Fก F F 4) F ก กก
  • 37.
    ก F F .3 2 200 5) F 6) F ก ก ก F ก 7) F 3.3 ก ก F 1) F F ก ก F 2) ก 3.4 F F ก F ก F F F F F F ก F ก F F ก F ก F F F F 4. ก F / /ก ก F F 1) F F 2) F 3) F ก F 80% ก ก F F ก F 3 ก 5. ก ก ก ก 5.1 1 (ก F F F F F ) 1 1− F F ก ก ก F ก F 3 F 1 1+ 3 F 2 (ก F F F F ) F F ก ก F F
  • 38.
    ก F F .3 2 201 5.2 กก ก ก กก 1 (ก F F F F F ) 1 1− 1. F F ก ก ก F ก F 3 1 1+ 3 F F 2. F ก 5-10 F F ก ก F 3. F ก F F F ก ก F F F กF F 4. ก F F F F F F ก F ก ก ก F ก F F F F F F 5. ก F F F ก 1 1 2 1− 2 3 , x , 2x − 4 1− x F 1 x+4 2 3 1+ 1+ 3 x 1+ x 6. F F F F F F F ก F ก ก ก ก, , ก F F ก กF F F F F 7. ก F ก F F F ก ก F 1 1− F 3 F F F F 1 1+ 3
  • 39.
    ก F F .3 2 202 กก ก ก กก ก F F ก F F กF ก ก ก 1 3 −1 2 1− = = 3 3 3 1 3 +1 4 1+ = = 3 3 3 ก ก F F F F F ก F F ก ก 1 2 1− 3 = 3 1 4 1+ 3 3 2 3 = × ( ก ก ) 3 4 2×3 = ( ก ก ) 3× 4 2×3 = 3 × (2 × 2) 1 Q 2 = 1, 3 = =  1  2  2 3  1 1− 3 = 1 1 2 1+ 3 8. ก F ก F F F ก ก ก F ก ก ก F ก F F F F F F F F F F F กF F F F P, Q R P Q P S R = × , Q ≠ 0, R ≠ 0 S≠0 Q R S 9. ก F ก F F F F F ก F
  • 40.
    ก F F .3 2 203 กก ก ก กก x −6 ก ก F x2 F F F F x 2 − 36 5x x −6 2 x −6 5x Q 2x = 2 × 2 ( F F ก ) x − 36 x x − 36 5x (x − 6)5x = 2 2 x (x − 36) (x − 6)5x = 2 ( ก ก ) x (x − 6)(x + 6) = 5 Q x = 1, x − 6 = 1    x(x + 6)  x x −6  x −6 x2 5 = x≠0 x≠ ±6 x 2 − 36 x(x + 6) 5x 10. F ก F ก ก x F ก F x≠0 x≠ ±6 ก Fก 11. F ก ก F F F F F F กก F F F F 12. F ก F x-1 F F F F F 1   x 13. ก F Fก กF F F F ก ก F 1 ก ก F F F F F 1 − x −1 1 F ก F 1 − x −1 F F ก 1 - F ( Fก ) x
  • 41.
    ก F F .3 2 204 กก ก ก กก 1 1 Q = 1 1 − x −1 1− x 1 = x −1 x x −1 = 1÷ x x = 1× (ก F F ก ) x −1 x = x −1 1 x = x≠0 x≠1 1 − x −1 x −1 14. F ก F F ก ก 4 F 1, 3 4 15. F ก ก 4 F 2 ก F F ก ก F 2 (ก F F F F ) 1. F F ก ก F F 9 F ก F F F F 2 F Fก F F F2 9 8 1 1 1 1 F + = 4+ = 4 2 2 2 2 2 2 ก
  • 42.
    ก F F .3 2 205 กก ก ก กก 1 1 9÷2 = 4+ 4 2 2 2. ก F F F ก ก ก6 F F ก F ก ก ก F 11 21 (1) = . (4) = . 3 2 15 45 (2) = . (5) = . 2 6 19 70 (3) = . (6) = . 3 9 2 (1) 3 3 1 (2) 7 2 1 (3) 6 3 1 (4) 10 2 3 1 (5) 7 7 6 2 7 (6) 7 9 3. F F ก F F F F ก F F F ก ก F 4. ก F F A R F F F = Q+ B B Q R ก 5. ก F F F ก F ก
  • 43.
    ก F F .3 2 206 กก ก ก กก 2x + 3 F F x −1 F ก 2 ก ก 1 ก F 2x + 3 5 = 2+ x≠1 x −1 x −1 2x + 3 (2x − 2) + 5 2 Q = x −1 x −1 2(x − 1) + 5 = x −1 2(x − 1) 5 = + x −1 x −1 5 = 2+ x −1 2x + 3 5 = 2+ x≠1 x −1 x −1 6. F ก F 7. F ก ก 4 F 5 7 ก F F ก F 5.3 1) F ก F ก ก F F F F F 2) F ก F ก ก F F F F
  • 44.
    ก F F .3 2 207 6. ก F/ Fก F 6.1 ก F - 6.2 Fก F - F - F ก F ก F F 7. ก ก 7.1 ก ก F ก F F F ก ก F F ก ก F F F ก F ก FF F F F F ก F ก F F F ก F ก F F F ก F F F F F F F F F F
  • 45.
    ก F F .3 2 208 8. ก ก ก ( ก F ) ก ก F 1. ก กก ก F 2. ก F ก F 3. ก ก F 4. ก ก F ก ก F ก F ก ก F .. F . .. ..
  • 46.
    ก F F .3 2 209 9. F ก ก ก กก ก ก ก F ก .................................. ........... ................ ............................. .................... .................................................................. F ก ...................................................................... ก Fก ก F ก ก กก F ก F F ก /ก ก F ก กF ก FF ก F ก F F ก
  • 47.
    ก F F .3 2 210 ก ก กF ก ก ก .................................. ........... ................ ............................. .................... .................................................................. F ก ...................................................................... ก Fก ก ก F F ก ก ก ก ก ก ก F F ก
  • 48.
    ก F F .3 2 211 ก ก F 4/4 ก กF ก F 3 1. ก F 1.1 ก F 1) ก กF ก F F 2) ก ก F F 3) F ก F ก F F 4) ก F ก ก F F F 5) ก กF F ก F F 1.2 Fก F ก ก กF ก F F ก F ก F ก F ก ก F F ก กF F ก F F 2. 2.1 ก F ก กF ก F 2.2 ก / ก ก ก ก F 2.3 ก ก ก ก ก ก ก ก F ก ก 3. F ก F 3.1 / 1) กก 2) กก 3.2 ก ก ก 1) ก F ก F 3 2) ก Fก F
  • 49.
    ก F F .3 2 212 3) Fก F F 4) F ก กก 5) F 6) F ก ก ก F ก 7) F 3.3 ก ก F 1) F F ก ก F 2) ก 3.4 F F ก F ก กF ก F F ก F ก F ก F F ก ก F ก ก F F F ก กF F ก F 4. ก F / /ก ก F F 1) F F 2) F 3) F ก F 80% ก ก F F ก F 3 ก 5. ก ก ก ก 5.1 1 F F ก F F (golden ratio) F F ก F 2 F F ก ก ก F 3 F F ก ก กก กF ก F
  • 50.
    ก F F .3 2 213 5.2 กก ก ก กก 1 (ก กF ก F ) 1. F (golden ratio) F F ก ก ก F 2. ก F F ก F กF ก F 1 3. ก F ก F F = 4 ก F x x ≠0 4. ก ก F F F ก ก F ก ก F ก F 1 ก F ก กF F F F F ก F ก F F ก F 5. ก ก F ก F F ก ก กก ก กF ก F กก กF ก F (1) F ก F (2) . . . F F F ก (3) F ก F .. . F (4) กF ก (5) 6. ก F F F ก F F ก 2x ก F ก F F ก =2 x +1 ก ก F x+1 F F F ก 0 F x F F F ก -1 ∴ F ก F x = -1 7. F ก กก F F กก F F ก F ก F ก F ก FF
  • 51.
    ก F F .3 2 214 กก ก ก กก ก ก F F ก F 3x 1 .. x 2x + 1 2 .. 2x 4x + 2 3 .. 2+x 3x 4 .. x +1 1 5 1+ .. x 3x + 2 6 .. x2 +1 10x − 3 7 .. x2 + 9 12x 8 .. 4x − 8 6x + 5 9 .. 2x 2 − 8 7x + 2 10 .. 5x 2 − 5 กก F F (1) x ≠ 0 (2) x ≠ 0 (3) x ≠ -2 (4) x ≠ -1 (5) x ≠ 0 (6) x F F ก F (7) x F F ก F (8) x ≠ 2 (9) x ≠ ± 2 (10) x ≠ ± 1 8. ก F ก กก F F F ก 9. ก F ก กF ก F 3x F กF ก =4 x +1
  • 52.
    ก F F .3 2 215 กก ก ก กก 3x ก ก ก F x = -1 x +1 3x ก = 4; x ≠ -1 x +1 x+1 ; 3x F (x + 1) = 4(x + 1) x +1 3x = 4x + 4 -4 = 4x - 3x x = -4 3x x = -4 ก =4 x +1 3( −4) −12 F = =4 ( −4) + 1 −3 3x ก = 4 -4 x +1 10. ก F F 1 F กF ก 1 + = x x 1 ก 1+ = x F x=0 x 1 ก 1+ = x; x ≠ 0 x x ; F x + 1 = x2 x 2 − x −1 = 0 ก ก − b ± b 2 − 4ac x= 2a −( −1) ± ( −1) 2 − 4(1)( −1) ก F x= 2(1) ( ก a = 1, b = -1, c = -1)
  • 53.
    ก F F .3 2 216 กก ก ก กก 1± 5 x= 2 1+ 5 11. F ก ก F x= 2 1− 5 1 x = ก 1+ = x F 2 F F ก 2 x 1+ 5 1− 5 FF ( F ) 2 2 1 ก 1+ =x x 12. ก F ก F ก F ก ก 5 F ก ก 1 ก F ก F 2 1. F F ก ก ก F 2. F F F F F ก ก ก x+4 5 1 F กF ก = − x −1 x −1 x +1 Q F ก F x = ±1 x+4 5 1 ก = − ; x ≠ ±1 x −1 x −1 x +1 .. . F F ก (x + 1)(x - 1) F ก F x+4 5 1 (x + 1)(x − 1) = (x + 1)(x − 1) − (x + 1)(x − 1) x −1 x −1 x +1 (x + 1)(x + 4) = 5(x+1) (x - 1) x2 + 5x + 4 = 5x + 5 x + 1 x2 + x 2 = 0 (x + 2)(x − 1) = 0 ∴ x = -2 x=1 3. F ก F x = -2 x=1 ก F F
  • 54.
    ก F F .3 2 217 กก ก ก กก x+4 5 1 ก F x = -2 ก = − x −1 x −1 x +1 x+4 5 1 F x=1 ก = − F x −1 x −1 x +1 x = -2 ก 4. F ก ก 5 F 2 3 F ก ก 3 1. F F ก ก กก กF ก F 2. F ก ก ก F กก F ก 52,000 F ก ก F F F F 3 F 2 F F ก ก ก ก F - Fก F F - FF ก - ก Fก F ก ก F F F ก ก F ก ก FF x F 52,000 - x F F F F F Fก 3 52,000 − x = 2 x 2x F ก F 3x = 2(52,000 - x) 3x = 104,000 - 2x 5x = 104,000 x = 20,800
  • 55.
    ก F F .3 2 218 กก ก ก กก F 20,800 3. ก F F ก F ก F F 4. 2 ก ก ก T( F ) ก กF ก F L( F ) L ก ก F ก T = 2π g F F F ก F g 2 กF 1 8 FW F F F ก F ก กก กF F ก Fก ก FF ก F F ก g L 2 T 8 L ก T = 2π g F T=8 L=2 2 8 = 2π g กก 2 F F 2 64 = 4π 2   g 64g = 8π 2 8π 2 g= 64 π2 = 8 ≈ 1.2337 F F FW 1.2337 m/s2 5. ก F กก ก กF F F F F ก ก 5 F 4 9 ก F F ก F
  • 56.
    ก F F .3 2 219 5.3 1) F ก F ก ก F F F ก F 2) F ก F ก ก กF ก F 3) F ก F ก ก กF F ก F 6. ก F/ Fก F 6.1 ก F - 6.2 Fก F - F - F ก F ก F F 7. ก ก 7.1 ก ก F ก F F F ก ก F F ก ก F F F ก F ก FF F F F F ก F ก F F F ก F ก F F F ก F F F F F F F F F F
  • 57.
    ก F F .3 2 220 8. ก ก ก ( ก F ) ก ก F 1. ก กก ก F 2. ก F ก F 3. ก ก F 4. ก ก F ก ก F ก F ก ก F .. F . .. ..
  • 58.
    ก F F .3 2 221 9. F ก ก ก กก ก ก ก F ก .................................. ........... ................ ............................. .................... .................................................................. F ก ...................................................................... ก Fก ก F ก ก กก F ก F F ก /ก ก F ก กF ก FF ก F ก F F ก
  • 59.
    ก F F .3 2 222 ก ก กF ก ก ก .................................. ........... ................ ............................. .................... .................................................................. F ก ...................................................................... ก Fก ก ก F F ก ก ก ก ก ก ก F F ก
  • 60.
    ก F F .3 2 223 ก F ก F ก F 4 (Self Reflection) 1. ก F F ก 1.1 ก F F ก F ก F F ก F F ก F Fกก ก F F F 1.2 F ก กก F F F กก F F ก F 4 / / ก ................ /................ /................ ก ก 1. กก F F F F .. . .. . 2. F F F .. . .. . 3. F F Fก F F F F .. . .. . 4. F กก .. . .. . 2. ก ก ก Fก ก 1. ................................................................................................................................................ .. .
  • 61.
    ก F F .3 2 224 ....................................................................................................................................................... .. . ............................................................................................................................................... ... .. . .............................................................................................................................................. .... .. . ก กF .............................................................................................................................................. .... .. . .. . 2. F ก กF 2.1 กF ............................................................................................................. .. ก ..................... F ................ ................. F.......................... ................................................................................................................................................ 2.2 ก ก กF ก ก .................................................................................... ................................ ก F F กF ................................................. ................................................................................................................................................ 3. ก กF 3.1 ก F ก กF ก ............................. F .................. .................. ....................... ก ก ....................... ก ก ................................................................................................................................................ 3.2 F ก ก .................................. F ก F ............................. ......................................................................................................................................... 3.3 ก ก ......... F/ F .......... ....................... . . ..................... .......... .......................... . . ....................... 4. ก ก กF 4.1 F ก กF ..................................................................................................................................................... .....................................................................................................................................................
  • 62.
    ก F F .3 2 225 ก F ....................................................................................................................................................... ....................................................................................................................................................... ....................................................................................................................................................... 2.2 F ก ก F ....................................................................................................................................................... ....................................................................................................................................................... ก F ....................................................................................................................................................... ....................................................................................................................................................... ....................................................................................................................................................... 2.3 ก ก F F ก ก F ก 1) F ก กF Fก ก ........................................................................................................................................... .......................................................................................................................... .......................................................................................................................................... 2) ก F ก F ก ก ........................................................ ... ......................................................................................................................... ...... 2.4 ก FF ก F ก F F .. .. .. 5. ก กF ก กF ก ก ................................................................................................................ ก ก F ก ........................................................................................................................................................ ..................................................................................................................................................... ....................................................................................................................................................... ...