THE
F-TEST
(Two-Way ANOVA with Interaction Effect)
Reporter : ASHLEY I. LINDONGAN
ED.702: STATISTICAL MODELLING & ANALYSIS FOR
DECISION-MAKING
Professor : DR. TARHATA S. GUIAMALON
Two-Way ANOVA with Interaction Effect
Is a statistical method used to assess the effects of two independent variables
(factors) on a dependent variable while also examining with each other.
Key Features:
1. Two Factors: The analysis considers two independent variables, each with
multiple levels.
2. Interaction Effect: This method specifically investigates whether the effect
of one factor depends on the level of the other factor.
3. Main effects: It evaluates the individual impact of each other factor on the
dependent variable, independent of the other factor.
Eg. If you’re studying the effects of two types of fertilizers (Factor A: Organic
and Synthetic) and two watering frequencies (Factor B: Daily and Weekly) on
plant Growth, a two way ANOVA with interaction will tell you:
• How each fertilizer type affects growth
• How watering frequency affects growth
• Whether the effect of fertilizer type varies depending on the watering
frequency
In two-way classification,a set of observation may be classified according to two
criteria at once by means of a rectangular array in which the columns represent
one criterion of classification and rows represent a second criterion of
classification. The data are organized in a table outlined
below:
Two-Way ANOVA with interaction Effect
Example 1. Forty five language students were
randomly assigned to one of three instructors
and to one of the three methods of teaching.
Achievement was measured on a test
administered at the end of the term. Use two
way ANOVA with interaction effect at .05 level of
significance to test the hypotheses.
A B C
Method of Teaching
1
40 50 40
41 50 41
40 48 40
39 48 38
38 45 38
Total
Method of Teaching
2
40 45 50
41 42 46
39 42 43
38 41 43
38 40 42
Total
Method of Teaching
2
40 40 40
43 45 41
41 44 41
39 44 39
38 43 38
Total
Total
TEACHERFACTOR
Solving by the stepwise Method:
I. Problem:
1. Is there a significant difference in the performance of
students under three different teachers?
2. Is there a significant difference in the performance of
students under the three different methods of teaching?
3.Is there an interaction effect between teachers and
method of teaching factors?
Solving by the stepwise Method:
II. Hypotheses :
1. H0: There is no significant difference in the performance of the three
groups of students under three different instructors.
H1:There is a significant difference in the performance of the three
groups of students under three different instructors.
2. H0: There is no significant difference in the performance of the three
groups of students under three different methods of teaching.
H1: There is a significant difference in the performance of the three
groups of students under three different methods of teaching.
3. H0: Interaction effects are not present.
H1: Interaction effects are present.
Solving by the stepwise Method:
III. Level of Significance:
α = 0.05
df total = N-1
df within = k (n-1)
df column = c-1
df row = r-1
df c*r = (c-1) (r-1)
IV. STATISTICS:
F-TEST Two Way ANOVA with interaction effect.
A B C
Method of Teaching
1
40 50 40
41 50 41
40 48 40
39 48 38
38 45 38
Total 198 241 197
Method of Teaching
2
40 45 50
41 42 46
39 42 43
38 41 43
38 40 42
Total 196 210 224
Method of Teaching
3
40 40 40
43 45 41
41 44 41
39 44 39
38 43 38
Total 201 216 199
Total 595 667 620
∑=636
∑=630
∑=616
=1,882
Solving by the stepwise Method:
42
.
78709
45
3541924
45
)
1882
(
)
( 2
2




N
GT
CF
58
.
508
42
.
78709
79218
38
39
...
41
40 2
2
2
2








 CF
SST
2
.
129
8
.
79088
79218
5
)
199
(
5
)
224
(
5
)
197
(
5
)
216
(
5
)
210
(
5
)
241
(
5
)
201
(
5
)
196
(
5
)
198
(
79218
2
2
2
2
2
2
2
2
2













W
SS
Solving by the stepwise Method:
18
.
178
42
.
78709
6
.
78887
42
.
78709
15
1183314
15
)
620
(
)
667
(
)
595
( 2
2
2








 CF
SSc
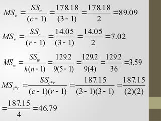
Solving by the stepwise Method:
05
.
14
42
.
78709
47
.
78723
42
.
78709
15
1180852
15
)
616
(
)
630
(
)
636
( 2
2
2








 CF
SSr
Solving by the stepwise Method:
15
.
187
05
.
14
18
.
178
2
.
129
58
.
508
*








 r
c
w
t
r
c SS
SS
SS
SS
SS
59
.
3
36
2
.
129
)
4
(
9
2
.
129
)
1
5
(
9
2
.
129
)
1
(







n
k
SS
MS w
w
09
.
89
2
18
.
178
)
1
3
(
18
.
178
)
1
(






c
SS
MS c
c
02
.
7
2
05
.
14
)
1
3
(
05
.
14
)
1
(






r
SS
MS r
r
79
.
46
4
15
.
187
)
2
)(
2
(
15
.
187
)
1
3
)(
1
3
(
15
.
187
)
1
)(
1
(
*
*









r
c
SS
MS r
c
r
c
dft = N-1 = 45-1 = 44
dfw= k (n-1) = 9 (5-1) = 9 (4) = 36
dfc = (c-1) = (3-1) = 2
dfr = (r-1) =(3-1) = 2
dfc*r = ( c-1 ) ( r-1 ) = ( 3-1 ) ( 3-1 ) = 4
The number degrees of freedom for the different
parts of this problem are:
ANOVA TAB LE
F-Value
Source of
Variation
SS df MS computed Tabular Interpretation
Between
Columns 178.18 2 89.09 24.82 3.26 S
Rows 14.05 2 7.02 1.95 3.26 NS
Interaction 187.15 4 46.79 13.03 0.11 S
Within 129.20 36 3.59
Total 508.58 44
82
.
24
59
.
3
09
.
89



w
c
MS
MS
Columns
F-Value Computed:
95
.
1
59
.
3
02
.
7



w
r
MS
MS
Row
03
.
13
59
.
3
79
.
46
*



w
r
c
MS
MS
n
Interactio
26
.
3
36
2
)
(
)
(



df
Within
df
column
Columnsdf
F-Value Tabular at 0.5
26
.
3
36
2
)
(
)
(



df
within
df
row
Rowdf
63
.
2
36
4
)
(
)
(



df
Within
df
n
Interactio
ndf
Interactio
V-Decision Rule: If the computed F value is greater
than the F critical/tabular value, reject H0
VI-Conclusion: With the computed F-value
(column) of 24.82 compared to the F-tabular value
of 3.26 at .05 level of significance with 2 and 36
degrees of freedom, the null hypothesis is
rejected in favor of the research hypothesis w/c
means that there is a significant difference in the
performance of the three groups of students
under three different instructors. It implies that
instructor B is better than instructor A.
tabular value of 3.26 at 0.05 level of significance with 2 and 36
degrees of freedom. Hence, the null hypothesis of no significant
differences in the performance of the students under the three
different methods of teaching is accepted.
However, the F-value (interaction) of 13.03 is greater than the
F-tabular value of 2.63 at 0.05 level of significance with 4 and 36
degrees of freedom. Thus, the research hypothesis is accepted
which means that interaction effect is present. It implies that
there is interaction effect between the instructors and their
methods of teaching. students under instructor B have better
THANK YOU!!!
THANK YOU!!!
THANK YOU!!!

Two way ANOVA with Interaction Effects.pptx

  • 1.
    THE F-TEST (Two-Way ANOVA withInteraction Effect) Reporter : ASHLEY I. LINDONGAN ED.702: STATISTICAL MODELLING & ANALYSIS FOR DECISION-MAKING Professor : DR. TARHATA S. GUIAMALON
  • 2.
    Two-Way ANOVA withInteraction Effect Is a statistical method used to assess the effects of two independent variables (factors) on a dependent variable while also examining with each other. Key Features: 1. Two Factors: The analysis considers two independent variables, each with multiple levels. 2. Interaction Effect: This method specifically investigates whether the effect of one factor depends on the level of the other factor. 3. Main effects: It evaluates the individual impact of each other factor on the dependent variable, independent of the other factor. Eg. If you’re studying the effects of two types of fertilizers (Factor A: Organic and Synthetic) and two watering frequencies (Factor B: Daily and Weekly) on plant Growth, a two way ANOVA with interaction will tell you: • How each fertilizer type affects growth • How watering frequency affects growth • Whether the effect of fertilizer type varies depending on the watering frequency
  • 3.
    In two-way classification,aset of observation may be classified according to two criteria at once by means of a rectangular array in which the columns represent one criterion of classification and rows represent a second criterion of classification. The data are organized in a table outlined below:
  • 4.
    Two-Way ANOVA withinteraction Effect Example 1. Forty five language students were randomly assigned to one of three instructors and to one of the three methods of teaching. Achievement was measured on a test administered at the end of the term. Use two way ANOVA with interaction effect at .05 level of significance to test the hypotheses.
  • 5.
    A B C Methodof Teaching 1 40 50 40 41 50 41 40 48 40 39 48 38 38 45 38 Total Method of Teaching 2 40 45 50 41 42 46 39 42 43 38 41 43 38 40 42 Total Method of Teaching 2 40 40 40 43 45 41 41 44 41 39 44 39 38 43 38 Total Total TEACHERFACTOR
  • 6.
    Solving by thestepwise Method: I. Problem: 1. Is there a significant difference in the performance of students under three different teachers? 2. Is there a significant difference in the performance of students under the three different methods of teaching? 3.Is there an interaction effect between teachers and method of teaching factors?
  • 7.
    Solving by thestepwise Method: II. Hypotheses : 1. H0: There is no significant difference in the performance of the three groups of students under three different instructors. H1:There is a significant difference in the performance of the three groups of students under three different instructors. 2. H0: There is no significant difference in the performance of the three groups of students under three different methods of teaching. H1: There is a significant difference in the performance of the three groups of students under three different methods of teaching. 3. H0: Interaction effects are not present. H1: Interaction effects are present.
  • 8.
    Solving by thestepwise Method: III. Level of Significance: α = 0.05 df total = N-1 df within = k (n-1) df column = c-1 df row = r-1 df c*r = (c-1) (r-1) IV. STATISTICS: F-TEST Two Way ANOVA with interaction effect.
  • 9.
    A B C Methodof Teaching 1 40 50 40 41 50 41 40 48 40 39 48 38 38 45 38 Total 198 241 197 Method of Teaching 2 40 45 50 41 42 46 39 42 43 38 41 43 38 40 42 Total 196 210 224 Method of Teaching 3 40 40 40 43 45 41 41 44 41 39 44 39 38 43 38 Total 201 216 199 Total 595 667 620 ∑=636 ∑=630 ∑=616 =1,882
  • 10.
    Solving by thestepwise Method: 42 . 78709 45 3541924 45 ) 1882 ( ) ( 2 2     N GT CF 58 . 508 42 . 78709 79218 38 39 ... 41 40 2 2 2 2          CF SST 2 . 129 8 . 79088 79218 5 ) 199 ( 5 ) 224 ( 5 ) 197 ( 5 ) 216 ( 5 ) 210 ( 5 ) 241 ( 5 ) 201 ( 5 ) 196 ( 5 ) 198 ( 79218 2 2 2 2 2 2 2 2 2              W SS
  • 11.
    Solving by thestepwise Method: 18 . 178 42 . 78709 6 . 78887 42 . 78709 15 1183314 15 ) 620 ( ) 667 ( ) 595 ( 2 2 2          CF SSc
  • 12.
    Solving by thestepwise Method: 05 . 14 42 . 78709 47 . 78723 42 . 78709 15 1180852 15 ) 616 ( ) 630 ( ) 636 ( 2 2 2          CF SSr
  • 13.
    Solving by thestepwise Method: 15 . 187 05 . 14 18 . 178 2 . 129 58 . 508 *          r c w t r c SS SS SS SS SS
  • 14.
  • 15.
    dft = N-1= 45-1 = 44 dfw= k (n-1) = 9 (5-1) = 9 (4) = 36 dfc = (c-1) = (3-1) = 2 dfr = (r-1) =(3-1) = 2 dfc*r = ( c-1 ) ( r-1 ) = ( 3-1 ) ( 3-1 ) = 4 The number degrees of freedom for the different parts of this problem are:
  • 16.
    ANOVA TAB LE F-Value Sourceof Variation SS df MS computed Tabular Interpretation Between Columns 178.18 2 89.09 24.82 3.26 S Rows 14.05 2 7.02 1.95 3.26 NS Interaction 187.15 4 46.79 13.03 0.11 S Within 129.20 36 3.59 Total 508.58 44
  • 17.
  • 18.
    26 . 3 36 2 ) ( ) (    df Within df column Columnsdf F-Value Tabular at0.5 26 . 3 36 2 ) ( ) (    df within df row Rowdf 63 . 2 36 4 ) ( ) (    df Within df n Interactio ndf Interactio
  • 21.
    V-Decision Rule: Ifthe computed F value is greater than the F critical/tabular value, reject H0 VI-Conclusion: With the computed F-value (column) of 24.82 compared to the F-tabular value of 3.26 at .05 level of significance with 2 and 36 degrees of freedom, the null hypothesis is rejected in favor of the research hypothesis w/c means that there is a significant difference in the performance of the three groups of students under three different instructors. It implies that instructor B is better than instructor A.
  • 22.
    tabular value of3.26 at 0.05 level of significance with 2 and 36 degrees of freedom. Hence, the null hypothesis of no significant differences in the performance of the students under the three different methods of teaching is accepted. However, the F-value (interaction) of 13.03 is greater than the F-tabular value of 2.63 at 0.05 level of significance with 4 and 36 degrees of freedom. Thus, the research hypothesis is accepted which means that interaction effect is present. It implies that there is interaction effect between the instructors and their methods of teaching. students under instructor B have better
  • 23.