Hal - 1
TUTORIAL
INSTALASI LINUX DEBIAN 8.7 (JESSIE)
MENGGUNAKAN VIRTUAL BOX
Disusun Oleh :
JAENUDIN
KEMENTERIAN PENDIDIKAN DAN KEBUDAYAAN
DINAS PENDIDIKAN PROVINSI JAWA BARAT
SMK NEGERI 3 KOTA BEKASI
2017
Hal - 2
A. Tentang Debian
Debian GNU/Linux pertama kali dikeluarkan dengan rilis 0.01 sampai dengan versi terbaru saat
ini yakni rilis 8.0 dengan nama kode Jessie. Kode nama rilis Debian merupakan nama karakter
dari film Toy Story. Distribusi unstable diberikan nama Sid, sesuai dengan karakter emosinya
yang tidak stabil, tetangga sebelah rumah yang secara teratur menghancurkan mainan. Rilis
setelah squeeze akan dinamakan wheezy, nama pinguin mainan karet dalam Toy Story 2. Berikut
penjelasan detail untuk setiap rilis Debian GNU/Linux:
1. Debian 0.01-0.90, Agustus-Desember 1993
2. Debian 0.91, Januari 1994. Pada rilis ini, Debian telah memiliki system pemaketan software
sederhana yang dapat digunakan untuk menginstal dan menghapus paket.
3. Debian 0.93R5, Maret 1995. Pada rilis ini, tanggung jawab untuk proses pemeliharaan setiap
software telah diserahkan ke masing-masing developer, dalam arti kata setiap developer
bertanggung jawab penuh terhadap pemeliharaan paket software yang diserahkan
kepadanya. serta tool ‘dpkg’ telah digunakan untuk menginstal/menghapus paket software
saat system dasar (base sistem) Debian telah terinstal.
4. Debian 0.93R6, November 1995. Rilis 0.93R6 memperkenalkan tool untuk managemen paket
‘dselect’. Pada rilis ini, jumlah developer Debian masih berjumlah 60 orang yang tersebar di
beberapa Negara. Bdade Garbee juga telah membangun server ‘master.debian.org’.
5. Debian 1.0 merupakan rilis premature yang selanjutnya dikembangkan ke rilis 1.1 dengan
nama kode ‘Buzz’ pada tanggal 17 Juni 1996. Rilis ini merupakan rilis pertama yang memiliki
nama kode yang diambil dari tokoh-tokoh dalam film Toy Story. Kepemimpinan Ian Murdock
juga telah diganti ke Bruce Perens. Jumlah paket software yang dipaketkan ke dalam rilis 1.0
berjumlah 474 paket dan menggunakan kernel Linux 2.0
6. Debian 1.2 dengan nama kode ‘Rex’ yang dirilis pada tanggal 12 Desember 1996. Rilis ini
memaketkan 848 paket software yang dipelihara oleh 120 developer.
7. Debian 1.3 dengan nama kode ‘Bo’ dirilis pada tanggal 5 Juni 1997. Pada rilis ini, Debian
GNU/Linux memaketkan 974 paket software dan dipelihara oleh 200 developer.
8. Debian 2.0 dengan nama kode ‘Hamm’ dirilis pada tanggal 24 Juli 1998. Rilis ini merupakan
awal dari dukungan Debian untuk multi-arsitektur yakni Intel x86 dan Motorola 6800 (m68k)
serta transisi ke libc6 dan memaketkan 1500
paket software yang dipelihara oleh 400 developer. Rilis 2.0 merupakan era kepemimpinan
Ian Jackson.
9. Debian 2.1 dengan nama kode ‘Slink’ dirilis pada tanggal 9 Maret 1999. Wichert Akkerman
merupakan project leader dengan dukungan 4 arsitektur yakni intel x86, m68k, alpa serta
sparc. Debian 2.1 memaketkan 2250 paket software (2 CD). Pada rilis ini juga diperkenalkan
sebuah antarmuka managemen paket ‘APT’.
10. Debian 2.2 dengan nama kode ‘Potato’ dirilis pada tanggal 15 Agustus 2000. Rilis ini
ditambahkan 2 dukungan arsitektur baru yakni PowerPC dan ARM dan Wichert Akkerman
masih sebagai project leader. Software yang dipaketkan bersama rilis ini sebanyak ~3900
paket dan dipelihara oleh 450 developer.
11. Debian 3.0 dengan nama kode ‘Woody’ dirilis pada tanggal 19 Juli 2002. Penambahan
dukungan arsitektur juga terjadi di rilis tersebut yakni hppa, ia64, mips, mipsel, s/390 (11
arsitektur). Bdale Garbee bertindak sebagai project leader dengan dukungan 900 developer
dan software yang dipaketkan bersama rilis ini berjumlah ~8500 (7 CD) paket software.
Hal - 3
12. Debian 3.1 dengan nama kode ‘Sarge’ dirilis pada tanggal 6 Juni 2005. Pada rilis ini tidak ada
penambahan dukungan arsitektur baru. Juga dikenalkan sebuah feature baru yakni ‘debian
installer’, sebuah modular installer dengan pendeteksian perangkat keras. Era
kepemimpinan proyek Debian dipegang oleh Branden Robinson dengan jumlah developer
lebih dari 900 orang dan memaketkan paket software-nya ~15400 paket software.
13. Debian 4.0 dengan nama kode ‘Etch’ pada tanggal 8 April 2007. Rilis ini di bawah
kepemimpinan Sam Hocevar yang menambahkan dukungan arsitektur baru yakni AMD64
dan menghilangkan dukungan arsitektur m68k. Pada rilis ini telah ditambahkan instalasi
dengan mode grafik, enkripsi partisi hard disk dan transisi ke X.Org. Jumlah developer
sebanyak 1300 orang dan jumlah paketnya ~18000 paket software dan dikemas ke dalam 20
CD/3 DVD.
14. Debian 5.0 dengan nama kode ‘Lenny’ dirilis pada tanggal 14 Februari 2009. Lenny
mendukung 12 arsitektur computer seperti Ix86, AMD64, alpa, sparc, PowerPC, ARM, armel,
hppa, ia64, mips, mipsel, s/390. Software yang dipaketkan bersama Lenny ~23000 paket
software.
15. Debian 6.0 dengan nama kode ‘Squeeze’ dirilis pada tanggal 6 Februari 2011 dan Debian
6.0.5 dirilis pada tanggal 12 Mei 2012. Dengan jumlah paket lebih dari 29000 dan juga
memaketkan kernel FreeBSD dengan software GNU yang dinamai dengan Debian
GNU/kFreeBSD.
16. Debian 7.0 dengan nama kode ‘Wheezy dirilis pada tanggal 4 April 2013. Dengan jumlah
paket lebih dari 36000 dan juga memaketkan kernel FreeBSD dengan software GNU yang
dinamai dengan Debian GNU/kFreeBSD.
17. Debian 8.0 dengan nama kode ‘Squeeze’ dirilis pada tanggal 25 April 2015. Dengan juga
memaketkan kernel FreeBSD dengan software GNU yang dinamai dengan Debian
GNU/kFreeBSD.
B. Ruang lingkup
Dalam pembelajaran instalasi linux debian 8.7 (jessie) kami menggunakan Aplikasi VM Ware versi
9.0 dan sistem operasi linux debian iso paket #1, paket #2, dan paket #3. Sebenarnya bisa
dilakukan dengan aplikasi Virtual Box.
Pembahasan panduan instalasi linux debian mencakup :
1. Cara menginstalasi linux debian menggunakan VM Ware
2. Mengkonfigurasi Interfaces
3. Menginstall dan Mengkonfigurasi DHCP Server
4. Menginstall dan mengkonfigurasi DNS Server
5. Menginstalasi dan mengkonfigurasi FTP server
6. Menginstalasi dan mengkonfigurasi SSH Server
7. Menginstalasi dan mengkonfigurasi Samba Server
8. Menginstalasi dan mengkonfigurasi NTP Server
9. Menginstalasi dan Mengkonfigurasi HTTP / Web Server
10. Menginstalasi dan Mengkonfigurasi HTTPS
11. Menginstalasi dan Mengkonfigurasi Proxy Server
Hal - 4
C. Instalasi Debian
1. Pastikan anda sudah menginstall Virtual Box
2. Pastikan anda sudah memiliki debian ISO versi 8.0 paket#1, paket#2, paket#3
3. Buka aplikasi Virtual Box, tunggu … akan tampil menu utama seperti dibawah ini
4. Klik : New ................ tampil menu dibawah ini :
isikan name : DEBIAN
isikan type : Linux
isikan Version : Debian (64-bit) atau Debian (32-bit)
Hal - 5
5. Klik : Next
6. Tentukan besarnya memory : misal 512 MB
7. Klik : Next
8. Klik : Create
Hal - 6
9. klik : Next
10. Klik : Next
11. Tentukan besanya Hardisk ( File localtion and size )
misalnya : 10 GB
12. Klik : Create .............................. maa akan kembali ke menu utama Virtual Box
Hal - 7
13. Menentukan Network Jaringan
a) Klik : Network
b) Beri tanda ceklist pada : Enable Network Adafter
c) Pilih pada menu Attached to : Host-only Adaftar
d) Pilih pada menu Name : VirtualBox Host-Only ethernet Adafter
Hal - 8
14. Menentukan Storage
a) Klik : Storage
b) Klik : Empty
c) Klik pada gamabr CD pada menu Optical Drive
d) Klik : Choose Virtual Optical Disk File
Hal - 9
e) Pilih : debian ISO #1
f) Klik : Open
g) Klik : OK .................... maka akan kembali ke menu utama Virtual Box
h) Klik : Start ............ tunggu akan tampil menu utama install debian
Hal - 10
Klik : Install
Maka akan tampil seperti gambar dibawah ini
Pilih : english
Maka akan tampil seperti gambar dibawah ini
Hal - 11
Pilih : other
Maka akan tampil seperti
gambar dibawah ini
Pilih : Asia
Maka akan tampil
seperti gambar dibawah
ini
Hal - 12
Pilih : Indonesia
Maka akan tampil
seperti gambar
dibawah ini
Pilih : united states
Maka akan tampil
seperti gambar
dibawah ini
Hal - 13
Pilih : American english
Maka akan tampil seperti
gambar dibawah ini
Tunggu Linux debian sedang proses, hingga tampil seperti dibawah ini
Klik : Continue
maka akan tampil menu dibawah ini
Hal - 14
Penjelasan menu diatas :
Pilih : Configure network manually : jika anda mensetting network pada saat bersaman
dengan install debian
Pilih : Do Not configure the network at this time : jika anda mensetting network diakhir
selesai install debian
Dalam hal ini kita pilih : Do Not configure the network this time
Selanjutnya akan tampil menu dibawah ini …
Isikan Hostname : debian
Klik Continue, maka akan tampil menu dibawah ini
Hal - 15
Isikan Root password : 1 ( ingat ketika anda ketik angka 1 yang
tampil adalah symbol * (tanda bintang)
Klik Continue, maka akan tampil menu dibawah ini
Isikan kembali password yang sama : 1 ( ingat ketika anda ketik
angka 1 yang tampil adalah symbol * (tanda bintang)
Klik Continue, maka akan tampil menu dibawah ini
Isikan Full name for the new user : jaenudin
Klik Continue, maka akan tampil menu dibawah ini
Hal - 16
Isikan user name for account : jaenudin
(ini adalah nama user anda … harus diingat)
Klik Continue, maka akan tampil menu dibawah ini
Isikan password untuk user jaenudin : 1
(ini adalah password user anda … harus diingat)
Klik Continue, maka akan tampil menu dibawah ini
Isikan kembali password untuk user jaenudin : 1
(ini adalah password user anda … harus diingat)
Klik Continue, maka akan tampil menu dibawah ini
Hal - 17
Pilih : jakarta
maka akan tampil menu dibawah ini
Disini anda memilih untuk partition :
Guided – use entrie disk : membuat partisi secara otomatis
Manual : membuat partisi secara manual
Sebagai pilihan : pilih Guided – use entrie disk
maka akan tampil menu dibawah ini
Disini anda : tekan Enter
maka akan tampil menu dibawah ini
Hal - 18
Disini anda pilih : All files in one partition
maka akan tampil menu dibawah ini
Disini anda pilih : Finish partitioning and write changes to disk
maka akan tampil menu dibawah ini
Disini anda pilih : Yes
maka akan tampil menu dibawah ini
Hal - 19
Disini anda menunggu, hingga sampai 100%
maka akan tampil menu dibawah ini
Disini anda pilih : No
maka akan tampil menu dibawah ini
Disini anda pilih : No
maka akan tampil menu dibawah ini
Hal - 20
Disini anda pilih : No
maka akan tampil menu dibawah ini
Disini anda pastikan tanda * ( tanda bintang ) untuk menu : standard system utility
Klik : continue
Tunggu……. Hingga tampil menu dibawah ini
Disini anda pilih : Yes
Tunggu……. Hingga tampil menu dibawah ini
Hal - 21
Disini anda pilih : /dev/sda
Tunggu……. Hingga tampil menu dibawah ini
Disini anda pilih : continue
Tunggu……. Hingga tampil menu dibawah ini
Disini anda isikan debian login : root
Password : 1
Disini Installasi Linux Debian Selesai
DISINI PULA LINUX DEBIAN SIAP UNTUK DIOPERASIKAN
Hal - 22
D. Mengkonfigurasi Interfaces
# nano /etc/network/interfaces………….. maka akan tampil seperti dibawah ini
> Simpan script tersebut : Tekan Tombol CTRL + X + Y Enter
> Restart interfaces : # /etc/init.d/networking restart … tunggu hingga tampil pesan.
> Lakukan pengecekan apakah ip address tersimpan atau belum
# ifconfig enter
> Lakukan Pengujian interfaces : #ping 192.168.10.1
PING 192.168.10.1 (192.168.10.1) 56(84) bytes of data.
64 bytes from 192.168.10.1: icmp_seq=1 ttl=64 time=0.371 ms
64 bytes from 192.168.10.1: icmp_seq=1 ttl=64 time=0.371 ms
64 bytes from 192.168.10.1: icmp_seq=1 ttl=64 time=0.371 ms
64 bytes from 192.168.10.1: icmp_seq=1 ttl=64 time=0.371 ms
64 bytes from 192.168.10.1: icmp_seq=1 ttl=64 time=0.371 ms
5 packets transmited, 5 received, 0% packet loss, time 3397 ms
rtt main/avg/max/mdev = 0.059/0.124/00.371/0.123 ms
root@server:~#
# This file descripbes the network interfaces available on your system
# and how to activate them, for more informtion, see interfaces (5)
source /etc/network/interfaces.d/*
# The looback network interface
auto lo
iface lo inet loopback
auto eth0
iface eth0 inet static
address 192.168.10.1
netmask 255.255.255.0
network 192.168.10.0
broadcast 192.168.10.255
Hal - 23
E. Menginstall dan mengkonfigurasi Aplikasi dhcp server
1). Aktifkan DVD ISO #2, cararnya :
2). Klik mouse kanan pada icon CD... lihat gambar dibawah ini ..
(3) Pilih DVD ISO #2
(4) Aktifkan CDROM : #apt-cdrom add
(5) Update DVD ISO #2 : #apt-get update
(6) Install DHCP Server : #apt-get install isc-dhcp-server ...... Tekan enter
(7) Tekan Y
(8) Selanjutnya : edit konfigurasi dhcp, ketik perintah dibawah ini :
Maka akan tampil script dhcp dibwah ini…….
(9) Lakukan pengeditan script dhcp server diatas hingga hasilnya , seperti dibawah ini
(10) Simpan perubahan script dhcp server : Tekan CTRL X + Y dan enter
(11) Restart DHCP Server : #/etc/init.d/isc-dhcp-server ..... enter
# A slighhtly different configuration for an internal subnet.
# subnet 192.168.1.0 netmask 255.255.255.0 {
# range 192.168.1.2 192.168.1.100;
# option domain-name-servers 192.168,1.10;
# option domain-name “smkn3.sch.id;
# option routers 192.168.1.1;
# option broadcast-address 192.168.1.255;
# default-lease-time 600;
# max-lease-time 7200;
#}
# A slighhtly different configuration for an internal subnet.
subnet 192.168.10.0 netmask 255.255.255.0 {
range 192.168.10.100 192.168.10.120;
option domain-name-servers 192.168,10.1;
option domain-name “smkn3.net;
option routers 192.168.10.1;
option broadcast-address 192.168.10.255;
default-lease-time 600;
max-lease-time 7200;
}
#nano /etc/dhcp/dhcpd.conf
Hal - 24
(12) Menguji Aplikasi dhcp server ke PC Client
1. Buka LAN pc client, lihat gambar dibawah ini
Maka akan tampil kota dialog seperti dibawah ini …
2. Buka LAN – Virtual Host-Only Network, maka tampil kotak dialog seperti dibawah ini …
3. Klik detail, maka akan tampil hasilnya seperti dibawah ini ..
Jika tampil seperti gambar
diatas, menunjukan pc client
berhasil mendapatkan IP
address dari server.
Hal - 25
F. Menginstall dan Mengkonfigurasi SSH Server
Pengertian SSH ( Scure Shell Hosting )
SSH (Secure Shell Hosting) adalah protokol atau aplikasi yang memungkinkan pertukaran
data antara dua perangkat jaringan yang lebih aman dibandingkan dengan telnet, rsh dan
rlogin. SSH banyak digunakan pada sistem berbasis Linux dan Unix untuk mengakses akun
shell. SSH pertama kali dikembangkan oleh openBSD project dan kemudian versi rilis p
(port) di manage oleh team porting ke sistem operasi lainnya, temasuk Linux. Dengan ssh
semua percakapan antara server dan klien di enkripsi, artinya apabila percakapan tersebut
disadap, penyadap tidak akan memahami isinya.
Arsitektur SSH ( Scure Shell Hosting )
SSH-2 protokol memiliki arsitektur internal pada lapisan terpisah dengan baik. Yaitu:
 Lapisan transportasi (RFC 4253). Lapisan ini menangani pertukaran kunci awal dan
server otentikasi dan set up enkripsi, kompresi dan integritas verifikasi. Lapisan
otentikasi pengguna (RFC 4252). Lapisan ini menangani otentikasi klien dan
menyediakan sejumlah metode otentikasi. Lapisan koneksi. Lapisan ini mendefinisikan
konsep kanal, kanal permintaan dan permintaan global menggunakan layanan yang
disediakan SSH. SSHFP DNS record (RFC 4255) menyediakan sidik jari kunci publik
untuk membantu memverifikasi keaslian host.
 Sejak SSH memiliki kelemahan desain yang melekat dan membuatnya rentan (misalnya,
terhadap serangan man-in-the-middle). Dalam semua versi SSH, penting untuk
memverifikasi kunci publik sebelum menerimanya secara valid. Menerima seorang
kunci publik atttacker sebagai kunci publik yang valid memiliki efek membuka
password yang ditransmisikan dan memungkinkan serangan man in-the-middle.
Cara Kerja SSH
Misalkan suatu client mencoba mengakses suatu linux server melalui SSH. SH daemon yang
berjalan baik pada linux server maupun SSH client telah mempunyai pasangan
public/private key yang masing-masing menjadi identitas SSH bagi keduanya. Langkah-
langkah koneksinya adalah sebagai berikut :
Langkah 1
Client bind pada local port nomor besar dan melakukan koneksi ke port 22 pada server.
Langkah 2
Client dan server setuju untuk menggunakan sesi SSH tertentu.Hal ini penting karena SSH
v.1 dan v.2 tidak kompatibel.
Langkah 3
Client meminta public key dan host key milik server.
Langkah 4
Client dan server menyetujui algoritma enkripsi yang akan dipakai (misalnya TripleDES atau
IDEA).
Hal - 26
Langkah 5
Client membentuk suatu session key yang didapat dari client dan mengenkripsinya
menggunakan public key milik server.
Langkah 6
Server men-decrypt session ky yang didapat dari client, meng-re-encrypt-nya dengan public
key milik client, dan mengirimkannya kembali ke client untuk verivikasi.
Langkah 7
Pemakai mengotentikasi dirinya ke server di dalam aliran data terenkripsi dalam session
key tersebut.
Sampai disini koneksi telah terbentuk, dan client dapat selanjutnya bekerja secara interaktif
pada server atau mentransfer file ke atau dari server. Langkah ketujuh diatas dapat
dilaksanakan dengan berbagai cara (username/password, kerberos, RSA dan lain-lain)
Implementasi SSH
Implementasi SSH terlihat dalam produk-produk berikut :
 FreeSSH
 OpenSSH (Unix, Windows)
 LSH (unix)
 PuTTY (Windows)
 Okhapkin s port of SSH1(windows)
 MacSSH (Macintosh)
 TeraTerm (windows)
 NitfyTelnet 1.1 SSH (Machintosh)
 Commercial SSH
 SSH communication Security (unix, windows)
 F-Secure SSH (unix,Windows)
 Secure CRT, SecureFX (windows)
 Vshell (Windows)
Metode Enskripsi
SSH menggunakan metode public-key cryptography untuk mengenskripsi komunikasi
antara dua host, demikian pula untuk autentikasi pemakai. Dengan metode ini, kita akan
memerlukan 2 buah kunci berbeda yang digunakan baik untuk melakukan enkripsi dan
dekripsi. Dua buah kunci tersebut masing-masing disebut public key (dipublikasikan ke
public/ orang lain) dan private key (dirahasiakan/ hanya pemiliknya yang tahu). Masing-
masing kunci di atas dapat digunakan untuk melakukan enkripsi dan dekripsi.
SSH dapat digunakan untuk login secara aman ke remote host atau menyalin data antar
ghost, sementara mencegah man-in-themiddle attacks (pembajakan sesi) dan DNS spoofing
atau dapat dikatakan secure shell adalah program yang melakukan loging terhadap
komputer lain dalam jaringan, mengeksekusi perintah lewat mesin secara remote, dan
memindahkan file dari satu mesin ke mesin lainnya. SSH merupakan produk serbaguna yang
dirancang untuk melakukan banyak hal, yang kebanyakan berupa penciptaan tunnel antar
host.
Hal - 27
(1) Menginstall dan mengkonfigurasi Aplikasi SSH server
Perlu diketahui, bahwa untuk menginstall aplikasi ssh server diperlukan dvd debian 1,
atau file iso debian 8.00 #1.
Langkah – Langkahnya :
1) Login sebagai root
2). Aktifkan DVD ISO #1, cararnya :
3). Klik mouse kanan pada icon CD... lihat gambar dibawah ini ..
4) Pilih DVD ISO #1
5) Aktifkan CDROM : #apt-cdrom add
6) Update DVD ISO #2 : #apt-get update
7) Install ssh Server : #apt-get install openssh-server -y atau ssh Tekan enter
8) Tekan Y
9) Selanjutnya : edit konfigurasi ssh server, ketik perintah dibawah ini :
Login as : root
Password : 1
root@debian:~#
#nano /etc/ssh/ssh_config
Hilangkan tanda pagar (#)
pada script Port 22
Hal - 28
10) Simpan perubahan script sshserver : Tekan CTRL X + Y dan enter
11) Selanjutnya : restart ssh server, ketik perintah dibawah ini :
( 2) Menguji SSH dhcp server ke PC Client
Pengujian SSH Server ke PC Client menggunakan aplikasi berbasis windows yaitu :
putty dan aplikasi ini bisa didownload dengan free
Pengujian SSH server menggunakan VM-Ware, caranya :
1) Pastikan DHCP Server dan SSH Server Aktif
2) Buka aplikasi Putty di Pc Client, tunggu akan tampil menu seperti dibawah ini
#/etc/init.d/ssh restart
Masukan IP server : 192.168.2.1
Masukan Port : 22
Klik : Open, ... tunggu akan tampil seperti gambar
dibawah ini
Hal - 29
Login as : jaenudin ( nama user anda )
Password : 1 ( password user anda )
Jika akan masuk ke Root, maka ketikan
perintah seperti dibawah ini :
jaenudin@jaenudin-20:~$ su
Password : 1
root@jaenudin-20:~#
Ket : Ini hasil Remote PC Client Ke PC Server
Pengggunaan hasil remote ini ; selayaknya anda bisa melakukan apa saja seperti di server
Hal - 30
G. Menginstall dan mengkonfigurasi Aplikasi FTP server
Perlu diketahui, bahwa untuk menginstall aplikasi dhcp server diperlukan dvd debian 2,
atau file iso debian 8.00 #2.
Langkah – Langkahnya :
1) Login sebagai root
2). Aktifkan DVD ISO #2, cararnya :
3). Klik mouse kanan pada icon CD... lihat gambar dibawah ini ..
4) Pilih DVD ISO #2
5) Aktifkan CDROM : #apt-cdrom add
6) Update DVD ISO #2 : #apt-get update
7) Install vsftpd Server :#apt-get install vsftpd Tekan enter
8) Tekan Y
9) Selanjutnya : edit konfigurasi vsftpd, ketik perintah dibawah ini :
Maka akan tampil script vsftpd dibawah ini…….
#nano /etc/vsftpd.conf
Login as : root
Password : 1
root@debian:~#
Hal - 31
10) Lakukan : penyimpanan : tekan tombol X + Y enter
(11) Lakukan : restart : root@debian:~#/etc/init.d/vsftpd restart
12) Lakukan Pengujian FTP Server pada client, lihat gambar dibawah ini
Pengujian FTP Server dapat dilakukan dengan 2 cara, yaitu :
a. Melalui Browser
b. Melalui Fillezilla
a. Pengujian FTP Server melalui Browser
maka akan tampil hasilnya seperti dibawah ini ....
Berdasarkan script diatas, carilah script :
local_enable=YES ……………………….. pastikan tanda pagarnya hilang
write_enable=YES ………………………. Pastikan tanda pagarnya hilang
Masukan alamat FTP :
ftp://192.168.2.1
Nama Pengguna : jaenudin
password : 1
Log In
ini hasil pengujian melalui
Browser
Hal - 32
b. Pengujian FTP Server melalui Filezilla
Host : 192.168.2.1 ................. ip yang yang menuju ke Client
Username : jaenudin ............. ( nama user anda )
Password : 1 ......................... ( password user anda )
Keterangan :
1. Ketika anda login berhasil, maka anda bisa mengupload data dari komputer ke server
2. Jika anda akan keluar dari filezilla, gunakan perintah : klik menu Server, Klik
Disconnect
Hal - 33
H. NTP Server
Pengertian NTP Server
NTP (Network Time Protocol) merupakan sebuah mekanisme atau protokol yang digunakan
untuk melakukan sinkronisasi terhadap penunjuk waktu dalam sebuah sistem komputer
dan jaringan. Prosessinkronisasi ini dilakukan di dalam jalur komunikasi data yang biasanya
menggunakan protokol komunikasi TCP/IP. Sehingga proses ini sendiri dapat dilihat sebagai
proses komunikasi data biasa yang hanya melakukan pertukaran paket-paket data saja.
NTP menggunakan port komunikasi UDP nomor 123. Protokol ini memang didesain untuk
dapat bekerja dengan baik meskipun media komunikasi bervariasi, mulai dari yang waktu
latensinya tinggi hingga rendah, mulai dari media kabel sampai dengan media udara.
Protokol ini memungkinkan perangkat-perangkat komputer anda untuk tetap dapat
melakukan sinkronisasi waktu dengan sangat tepat dalam berbagai media.
Prinsip Kerja NTP
NTP bekerja dengan menggunakan algoritma Marzullo dengan menggunakan referensi skala
waktu UTC. Sebuah jaringan NTP biasanya mendapatkan perhitungan waktunya dari
sumber waktu yang terpercaya seperti misalnya radio clock atau atomic clock yang
terhubung dengan sebuah time server. Kemudian jaringan NTP ini akan mendistribusikan
perhitungan waktu akurat ini ke dalam jaringan lain. Sebuah NTP client akan melakukan
sinkronisasi dengan NTP server dalam sebuah interval pooling yang biasanya berkisar
antara 64 sampai 1024 detik. Namun, waktu sinkronisasi ini biasa berubah secara dramatis
bergantung kepada kondisi dan keadaan jaringan yang akan digunakannya.
Hal - 34
NTP menggunakan sistem hirarki dalam bekerja dan melakukan sinkronisasinya. Sistem
hirarki ini menggunakan istilah Clock stratum atau strata untuk menggambarkan tingkatan-
tingkatannya. Di mana clock strata tingkat pertama merupakan perangkat komputer yang
melakukan sinkronisasi dengan penghitung waktu eksternal seperti misalnya GPS clock,
atomic clock atau radio clock yang sangat akurat. Perangkat berstatus stratum 2 merupakan
perangkat yang dikirimi perhitungan waktu oleh stratum 1 secara langsung dengan
menggunakan protokol NTP. Begitu seterusnya sistem hirarki berjalan. Parameter kedua,
NTP akan melakukan proses komparasi terhadap beberapa perhitungan waktu dari
beberapa server.
Sebuah perangkat NTP yang memiliki pencatatan waktu yang paling berbeda dengan yang
lainnya pasti akan dihindari oleh perangkat-perangkat lainnya, meskipun nilai stratumnya
paling rendah daripada mesin yang lain. NTP versi 4 biasanya dapat menjaga ketepatan
waktu hingga 10 millisecond 1/100 detik dalam media komunikasi publik atau Internet. Di
dalam jaringan lokal yang kondisinya ideal, NTP dapat menjaga ketepatan perhitungannya
hingga 20 microsecond atau 1/5000 detik. Timestamp atau pencatatan waktu yang
digunakan oleh protokol NTP adalah sepanjang 64-bit yang terdiri dari 32-bit pertama
untuk perhitungan detik, dan 32-bit berikutnya untuk perhitungan pecahan dari satuan
detik. Dari spesifikasi ini, maka NTP akan memiliki skala waktu sebesar 2/32 detik atau
sebesar 136 tahun dengan berdasarkan perhitungan menggunakan teori resolusi 2 -32 detik
( sekitar 0.233 nanosecond ).
Meskipun perhitungan waktu NTP akan kembali berulang ketika sudah mencapai 2 32 ,
implementasinya dibuat sedemikian rupa sehingga waktu NTP tidak akan terganggu dengan
programprogram penyesuai waktu lainnya. Lagi pula fasilitas NTP pada perangkat-
perangkat komputer juga paling lama digunakan selama beberapa decade saja, jadi jika
berjalan dengan baik maka aplikasi NTP tidak akan mengalami masalah berarti.
(1) Menginstall, Mengkonfigurasi dan Menguji NTP Server
Langkah – Langkahnya :
1) Login sebagai root
2). Aktifkan DVD ISO #1, cararnya :
3). Klik mouse kanan pada icon CD... lihat gambar dibawah ini ..
Login as : root
Password : 1
root@debian:~#
Hal - 35
4) Pilih DVD ISO #1
5) Aktifkan CDROM : #apt-cdrom add
6) Update DVD ISO #2 : #apt-get update
7) Install vsftpd Server :# apt-get -y install ntp Tekan enter
8) Tekan Y
9) Selanjutnya : edit konfigurasi ntp, ketik perintah dibawah ini :
# nano /etc/ntp.conf ....... tekan enter
9) Simpan script NTP Server : Tekan CTRL X + Y enter
#/etc/ntp.conf, configuration for ntpd
driftfile /var/lib/ntp/ntp.drift
#statsdir /var/log/ntpstats/ ................. hilangkan tanda # (pagarnya)
statistics loopstats peerstats clockstats
filegen loopstats file loopstats type day enable
filegen peerstats file peerstats type day enable
filegen clockstats file clockstats type day enable
# You do need to talk to an NTP server or two (or three).
#server ntp.your-provider.example .....................diisi nama domain jika ada domain
# pool.ntp.org maps to more than 300 low-stratum NTP servers.
# Your server will pick a different set every time it starts up.
# *** Please consider joining the pool! ***
# *** ***
server 0.debian.pool.ntp.org iburst ............................. beri tanda pagarnya (#)
server 1.debian.pool.ntp.org iburst ............................. beri tanda pagarnya (#)
server 2.debian.pool.ntp.org iburst ............................. beri tanda pagarnya (#)
server 3.debian.pool.ntp.org iburst ............................ beri tanda pagarnya (#)
server 192.168.2.1 ............................................................ tambahan ip nda
#By default, exchange time with everybody, but don't allow configuration.
#See /usr/share/doc/ntp-doc/html/accopt.html for details. restrict -4 default kod notrap
nomodify nopeer noquery restrict -6 default kod notrap nomodify nopeer noquery
#Local users may interrogate the ntp server more closely.
restrict 127.0.0.1
restrict ::
#Clients from this (example!) subnet have unlimitedaccess,
#but only if cryptographically authenticated
restrict 192.168.123.0 mask 255.255.255.0 notrust (isi network ip dan netmask)
#If you want to provide time to your local subnet, change the next line.
#(Again, the address is an example only.)
#broadcast 192.168.123.255
#If you want to listen to time broadcasts on your local subnet,
# de-comment the next lines. Please do this only if you trust everybody
# on the network!
#disable auth
#broadcastclient
Hal - 36
10) Restart NTP Server
11) Lakukan Pengujian NTP pada Server
hasilnya seperti dibawah ini ..
12) Lakukan Pengujian NTP Server pada Client Windows
Double klik pada ada icon jam di kanan bawah layar Windows 7 anda. Pilih change
date and time setting. Lalu akan muncul tampilan berikut ini.
Selanjutnya akan muncul tampilan berikut setelah anda memilih tab Internet Time. Lalu
pilih tombol Change setting
# /etc/init.d/ntp restart
debian-server:~# ntpq -p
Hal - 37
Setelah itu akan muncul form berikut. Pada form ini time server yang digunakan
masihlah bawaan dari windows.
Setelah anda menekan tombol update now maka akan muncul tampilan seperti di
bawah ini. Tampilan berikut ini menyatakan bahwa komputer client telah tersinkronisasi
dengan waktu yang ada di server.
192.168.2.1
Hal - 38
I. Menginstall dan Mengkonfigurasi Samba Server
Apa itu Samba?
1. Samba adalah program yang dapat menjembatani kompleksitas berbagai platform system operasi
Linux(UNIX) dengan mesin Windows yang dijalankan dalam suatu jaringan komputer. Samba
merupakan aplikasi dari UNIX dan Linux, yang dikenal dengan SMB(Service Message Block)
protocol. Banyak sistem operasi seperti Windows dan OS/2 yang menggunakan SMB untuk
menciptakan jaringan client/server. Protokol Samba memungkinkan server Linux/UNIX untuk
berkomunikasi dengan mesin client yang mengunakan OS Windows dalam satu jaringan.
2. Samba adalah sebuah software yang bekerja di sistem operasi linux, unix dan windows yang
menggunakan protokol network smb (server massage block). Smb adalah sebuah protokol komunikasi
data yang juga digunakan oleh Microsoft dan OS/2 untuk menampilkan fungsi jaringan client-server
yang menyediakan sharing file dan printer serta tugas-tugas lainnya yang berhubungan.
3. Samba adalah himpunan aplikasi yang bertujuan agar komputer dengan sistem operasi Linux, BSD(
atau UNIX lainnya) dapat bertindak sebagai file dan print server yang berbasis protokol SMB (session
message block).
Samba yaitu aplikasi yang digunakan untuk menghubungkan server yang memakai sistem operasi Linux
dengan komputer client yang memakai sistem operasi selain linux, seperti windows atau Apple
Machintos.
Samba Server merupakan server yang berfungsi sebagai penyedia fasilitas File Sharing antar komputer
dengan sistem operasi yang berbeda di dalam suatu jaringan lokal, misalnya sharing data antara
komputer Linux dengan komputer Windows
Fungsi Samba?
1. Menghubungkan antara mesin Linux (UNIX) dengan mesin Windows. Sebagai perangkat lunak cukup
banyak fungsi yang dapat dilakukan oleh samba software, mulai dari menjembatani sharing file,
sharing device, PDC, firewall, DNS, DHCP, FTP, webserver, sebagai gateway, mail server, proxy dan
lain-lain. Fasilitas pengremote seperti telnet dan ssh juga tersedia. Salah satu keunggulan lainnya
adalah adanya aplikasi pengaturan yang tidak lagi hanya berbasis teks, tetapi juga berbasis grafis
yaitu swat. Menempatkan masin Linux/UNIX sebagai PDC (Primary Domain Controller) seperti yang
dilakukan oleh NT dalam jaringan Wondows.
2. Samba PDC (Primary Domain Controller) bertujuan sebagai komputer yang akan melakukan validasi
user kepada setiap client yang akan bergabung dalam satu domain tertentu, dengan kata lain hanya
user yang terdaftar yang diijinkan masuk ke domain tersebut dan mengakses semua fasilitas domain
yang disediakan.
3. Dapat berfungsi sebagai domain controller pada jaringan Microsoft Windows.
Keunggulan Samba?
Keunggulan menggunakan samba :
1. Gratis atau free
2. Tersedia untuk berbagai macam platform
3. Mudah dikonfigurasi oleh administrator
4. Sudah terhubung langsung dengan jaringan dan jarang ditemui masalah dalam
penggunaannya di jaringan
5. Mudah dikonfigurasi sesuai dengan kebutuhan administrator
6. Dapat diandalkan karena jarang terjadi kesalahan, kecuali sever computer anda bermasalah
dengan perangkat kerasnya.
7. Mempunyai performa yang maksimal
Hal - 39
Konfigurasi samba terletak pada direktori etc/samba/smb.conf
BAGAIMANA SAMBA SERVER BEKERJA
Samba di dalam LiNUX terdiri dari 2 daemon kunci : smb dan nmbd, keduanya ada di bawah
/etc/rc.d/init.d (untuk RedHat) , Kedua daemon ini mampu melakukan 4 tugas dasar dari NetBEUI:
1. File & Print Sharing,
2. Authentication dan Authorization,
3. Name Resolution dan
4. Browsing
dengan pembagian tugas sebagai berikut:
smb melakukan proses File & Print Sharing serta Authentication dan Authorization, sedangnmbd
melakukan proses Name Resolution dan Browsing
Bagaimana cara Kerja Protokol?
NetBEUI merupakan non-routable protokol yang bersifat broadcast based. Dalam proses file dan print
sharing, ada 2 proses yang berjalan:
1. Mailslots
2. Named Pipes
Mailslot adalah proses unidirectional communication, yang memungkinkan setiap kita membuka
icon Network Neighborhood di Desktop, kita dapat melihat komputer mana saja yang sedang on-
line. Analogi untuk keadaan ini sama seperti kalau satu komputer on-line dia akan terus
Ilustrasi Samba
Hal - 40
mengabarkan berita ke teman-temannya dalam satu domain, "Halo saya Workstation satu, di node
5. Hubungi saya, ya?"
Sedang Named Pipes adalah proses bidirectional communication. Proses ini terjadi begitu kita
mengakses sebuah komputer, kemudian kita melihat resource apa yang bisa dibuka di komputer
tersebut dan begitu kita berhasil masuk ke komputer tersebut dan menggunakan resource-nya,
maka terjadilah Named Pipes.
Proses ini mampu dilakukan juga dengan sangat baik oleh Samba. Sebuah Samba server dapat
memberi akses pada sebuah komputer yang menjalankan Windows atau LAN Manager, atau MS-
DOS Client untuk menggunakan filenya.
Dengan berkembangnya TCP/IP, maka NT 4.0 menambahkan satu feature yang disebut Windows
Socket (Winsock.dll). Gunanya agar protokol NetBEUI yang tidak bisa routing, bisa run-over
protokol yang bisa routing seperti TCP/IP. Para pengguna Novell Netware mungkin familiar
dengan istilah "IPX encapsulated with TCP/IP"., nah seperti itulah proses NetBEUI yang run over
TCP/IP. Di sini letak keunggulan Samba, karena setiap proses RPC (Remote Procedure Call)
membutuhkan satu protokol transport, maka begitu kita install protokol TCP/IP di Windows,
kemudian kita jadikan IP address Samba sebagai WINS (Windows Internet Name Server) dari
komputer itu, maka... voala... Windows akan menganggap mesin LINUX kita sebagai Windows.
WINS itu sendiri tidak lain adalah NetBIOS Name Service (NBNS). Yang melakukan proses
Name Resolution dan Browsing...oops, sepertinya di atas saya sudah menulis kalau dua proses ini
dijalankan oleh nmbd...
Memang, WINS = NBNS, yang merupakan servis di mana NetBIOS Name di-resolve ke IP
address, mirip seperti DNS (Domain Name Service) yang me-resolve IP adress ke host name.
Mengapa ini Bisa Terjadi?
Disebabkan oleh proses I/O redirection dari LAN Manager dan Windows membutuhkan sebuah transport
protocol, yang secara default adalah NetBEUI. Tetapi dengan mengaktifkan WINS di Samba, kita sudah
menjalankan proses NBNS. Jadi name resolution yang selama ini disebut Microsoft sebagai ciri khas
Microsoft TCP/IP sebenarnya adalah NetBIOS Name Server, yang sudah ada sejak dulu
1. Menginstall Samba Server
# apt-get install samba samba-common
If your computer gets IP address information from a DHCP server on the network, the DHCP server
may also provide information about WINS servers (“NetBIOS name â servers”) present on the
network. This requires a change to your smb.conf file so that DHCP-provided WINS settings will
automatically be read from /etc/samba/dhcp.conf.
The dhcp3-client package must be installed to take advantage of this feature.
Modify smb.conf to use WINS settings from DHCP?
Karena komputer saya sudah di set menggunakan IP static,
Anda pilih NO
2. Mengkonfigurasi Samba Server
Contoh : Anda akan berbagi sharing berupa mp3
Caranya :
Sebelum anda melakukan mengedit script samba, lakukan cofi file seperti dibawh ini
# cp /etc/samba/smb.conf /etc/samba/smb.conf.asli
# nano /etc/samba/smb.conf
Hal - 41
Lakukan edit Konfigurasi pada point yang dijelaskan dibawah ini
Cari menu seperti dibawah ini ...
#====== Global Settings =========
[global]
workgroup = labserver ………….. labserver nama workgroup
###### Authentication #######
# security = user ………………….. defaultnya .. artinya setiap PC yang mengakses
samba harus mengisi username dan password.
security = share ………………… jika anda mengakses samba tanpa user dan password
Tambahkan script dibagian paling bawah ….
[mp3] ---------------------------------------- nama yang disharing
path = /home/mp3 ------------- mp3 adalah nama directory
browsable = yes
writable = yes
3. Simpan konfigurasi samba : tekan Ctrl + X + Y + enter
4. Restart Konfigurasi SAMBA
# /etc/init.d/samba restart
5. Membuat Directory mp3 pada directory /home
# mkdir /home/mp3
6. Membuat user untuk mengakses samba server
# adduser fadli …………………. Bebas / nama account
Masukan password
# smbpasswd -a fadli …………… memberi password pada user fadli
New SMB password :
Retrype new SMB password :
Added user data.
7. Lakukan Pengujian ke Client
Untuk mengujinya, anda buat file : test.html pada direktori /home/mp3/test.html
# nano /home/mp3/test.html
Ketik isinya seperti dibawah ini :
<h1>Ini contoh hasil sharing MP3 dengan samba</h1>
Terus anda simpan : Tekan ctrl X + Y enter
8. Coba anda test ke client windows XP
 buat workgroup labserver
 nama computer winxp
 domain = smkn3.sch.id
 anda buka workgroup labserver, maka akan tampil seperti dibawah ini
Hal - 42
Anda ketik user name : tkj
Password : 1
Maka akan tampil folder server yang disharing
Catatan Tambahan :
1. Kalau anda akan menambah sharing, misalkan berupa DVDROM, caranya :
Tambahkan script dibawah script ini ...
[mp3] ---------------------------------------- nama yang disharing
path = /home/mp3 ------------- mp3 adalah nama directory
browsable = yes
writable = yes
[cdrom] ------------------------------------ untuk sharing CD-ROM
comment = Samba server’s CD-ROM
path = /media/cdrom
writable = no
locking = yes
public = yes
keterangan : untuk dapat membuka cdrom pada CLIENT anda harus mengaktifkan cdrom di pc
server, caranya : # mount /media/cdrom
Hal - 43
2. Kalau sharing isi data flashdisk, caranya dibawah ini ...
Buat script dibawah ini ...
[flashdisk] ----------------------- sharing data dari flashdisk
path = /mnt/fd
writable = yes
locking = yes
- buat folder untuk flashdisk pada directory /mnt/fd
# mkdir /mnt/fd
# mount /dev/sdb1 /mnt/fd …………….. untuk mengaktifkan flashdisk
- masuk kedirectory fd
# cd /mnt/fd
# ls
Keluar deh isinya ……
Ini baru berhasil anda membuat sharing mp3 dengan samba
Semoga berhasil.
Hal - 44
J. DNS SERVER
LATIHAN SOAL DNS SERVER
1. Ada salah satu SMK membutuhkan seorang administrator untuk di pekerjakan dibagian
Server. Software yang dinginkan oleh sekolah adalah Linux debian 8.0 dengan aplikasi
DNS Server. Jalur IP Address yang diminta adalah kelas C dengan membutuhkan jumlah
pengguna 24 client.
2. Nama domainnya : smk.sch.id
IP address : 192.168.10.1/24
Nama Hostname : server
Nama User Root : tkj
Password Root : 1
Tugas anda adalah :
1. Menginstal Linux debian 8
2. Menginstal DNS server
3. dan mengkonfigurasinya DNS server
4. Menguji DNS Server
JAWABAN :
1. Pasttikan anda sudah menginstall debian 8 dengan benar
2. Mensetting / Mengkonfigurasi Interfaces, caranya :
root@server:~#nano /etc/network/interfaces
Hal - 45
3. Lakukan Penyimpanan : Tekan ctrl X + Y enter
4. Lakukan Restart interfaces : root@server:~#/etc/init.d/networking restart
5. Lakukan Pengecekan apakah interfaces tersimpan atau belum
root@server:~#ifconfig
6. Lakukan Pengujian interfaces :
root@server:~#ping 192.168.10.1
7. Menginstall DNS Server
Sebelum anda melakukan install DNS, perlu diketahui bahwa aplikasi install yang digunakan
adalah bind9. dan file yang di konfigurasikan adalah : named.conf.local, db.local, db.127
file tersebut berada di direktory /etc/bind
Menginstall dns server
Aktifkan DVD ISO #1, cararnya :
1). Klik mouse kanan pada icon CD... lihat gambar dibawah ini ..
Hal - 46
(2) Pilih DVD ISO #1
(3) Aktifkan CDROM : #apt-cdrom add
(4) Update DVD ISO #1 : #apt-get update
(5) Install Alikasi DNS Server : #apt-get install bind9 . maka akan tampil dibawah ini
tekan : y
Mengkonfigurasi DNS Server, yakni :
1. Mengedit file named.conf.local
root@server:~#nano /etc/bind/named.conf.local
Hal - 47
2. Lakukan Penyimpanan : tekan ctrl x + y enter
3. Lakukan mengcopy file db.local menjadi db.server
root@server:~#cp /etc/bind/db.local /etc/bind/db.server
4. Lakukan mengcopy fle db.127 menjadi db.192
root@server:~#cp /etc/bind/db.127 /etc/bind/db.192
5. Mengedit file db.server
root@server:~#nano /etc/bind/db.server
6. Lakukan Penyimpanan : tekan ctrl x + y enter
7. Mengedit file db.192
root@server:~#nano /etc/bind/db.192
Hal - 48
8. Lakukan Penyimpanan : tekan ctrl x + y enter
9. Lakukan restart bind9 :
root@server:~#/etc/init.d/bind9 restart
10. Lakukan Pengujian DNS
root@server:~#nslookup smk.sch.id
root@server:~#nslookup www.smkn3.net
root@server:~# nslookup 192.168.10.1
SELESAI BELAJAR DNS
Server: www.smk.sch.id
Address: 192.168.10.1#53
Server: smk.sch.id
Address: 192.168.10.1#53
Server: 192.168.10.1
Address: 192.168.10.1#53
1.10.168.192.in-addr.arpa name = smk.sch.id
1.10.168.192.in-addr.arpa name = www.smk.sch.id
Hal - 49
K. WEB/HTTP SERVER
1. Menginstall Web/Http Server
Paket yang digunakan DVD Debian #1
#apt-get install apache2
#apt-get install php5
#apt-get install mysql-server
#apt-get install mysql-client
#apt-get install mysql-php5
#apt-get install phpmyadmin
#apt-get install lynx
Mengcopy file dari direktory : /etc/apache2/sites-available/000-default.conf .. menjadi web.conf
caranya :
Lakukan Edit file : web.conf yang tadi anda buat, dengan cara :
PERHATIKAN ..... KETIKA MENGINSTALL
Tampil : New password for the MySQL “root” user : Ketik admin - Lalu Enter
Tampil : Refeat password for the MySQL “root” user : Ketik admin - Lalu Enter
Beri tanda bintang [ * ] apache2 dengan Ketik Tombol spasi pada Keyboard Pilik Ok - Lalu Enter
Configure database for phpmyadmin with dbconfig-common? Pilik Yes - Lalu Enter
Password of the database’s administrative user : Ketik admin - Pilik Ok - Lalu Enter
MySQL application password for phpmyadmin : Ketik admin - Pilik Ok - Lalu Enter
Password confirmation : Ketik admin - Pilik Ok - Lalu Enter
#cp /etc/apache2/sites-available/000-default.conf /etc/ apache2/sites-available/web.conf
#nano /etc/apache2/sites-available/web.conf . lakukan edit script hasilnya lihat dibawah ini
Hal - 50
> Membuat User Admin agar HTTP dapat diakses secara pribadi
1) Aktifkan modul userdir dengan menggunakan perintah berikut :
Lakukan Penyimpanan SCRIPT yang diedit tadi : Tekan Ctrl + X + Y enter
Lakukan NON AKTIFKAN file : 000-default.conf, dengan cara :
Lakukan MENGAKTIFKAN file : web.conf, dengan cara :
membuat sub direktori public_html dalam direktori var/www, dengan perintah :
Membuat file index.html pada directory /var/www/public_html/
#a2dissite 000-default.conf
a2ensite web.conf
#mkdir /var/www/public_html/
#nano /var/www/public_html/index.html ......................... ketik dibawah ini
SELAMAT DATANG
Lakukan Penyimpanan : Ctrl X + enter
Lakukan Restart : #/etc/init.d/apache2 restart
lakukan pengujian :
#lynx smkn3.net
#lynx www.smkn3.net
#lynx 192.168.10.10
Pengujian Pada Webrowser : smkn3.net
Jika tampil : SELAMAT DATANG, berarti berhasil
Jika tampil : SELAMAT DATANG, berarti berhasil
#a2enmod userdir, akan tampil pesan dibawah ini ...
Enabling module userdir.
Hasilnya
To activate the new configuration, you need to run:
service apache2 restart
Lalu restart Apache :
Jika tampil seperti disamping kanan
berarti berhasil
#/etc/init.d/apache2 restart
Hal - 51
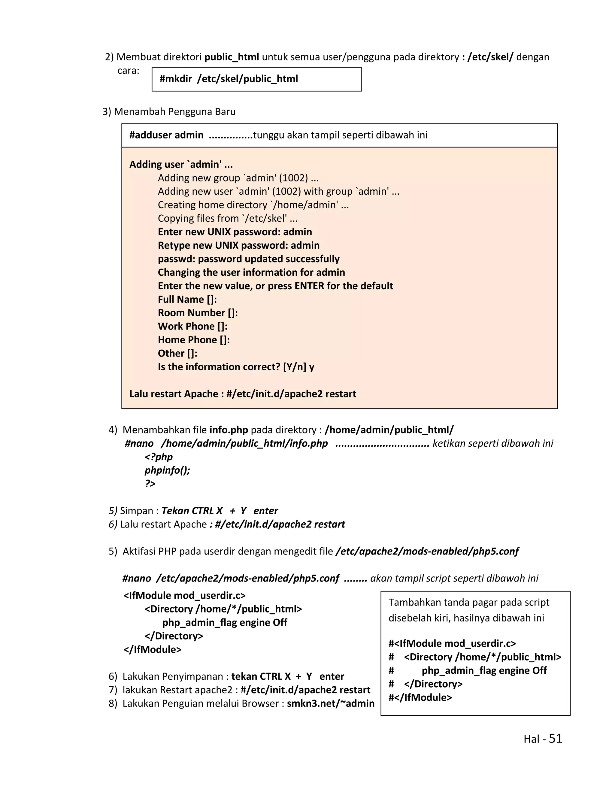
2) Membuat direktori public_html untuk semua user/pengguna pada direktory : /etc/skel/ dengan
cara:
3) Menambah Pengguna Baru
4) Menambahkan file info.php pada direktory : /home/admin/public_html/
#nano /home/admin/public_html/info.php ................................ ketikan seperti dibawah ini
<?php
phpinfo();
?>
5) Simpan : Tekan CTRL X + Y enter
6) Lalu restart Apache : #/etc/init.d/apache2 restart
5) Aktifasi PHP pada userdir dengan mengedit file /etc/apache2/mods-enabled/php5.conf
#nano /etc/apache2/mods-enabled/php5.conf ........ akan tampil script seperti dibawah ini
<IfModule mod_userdir.c>
<Directory /home/*/public_html>
php_admin_flag engine Off
</Directory>
</IfModule>
6) Lakukan Penyimpanan : tekan CTRL X + Y enter
7) lakukan Restart apache2 : #/etc/init.d/apache2 restart
8) Lakukan Penguian melalui Browser : smkn3.net/~admin
Adding user `admin' ...
Adding new group `admin' (1002) ...
Adding new user `admin' (1002) with group `admin' ...
Creating home directory `/home/admin' ...
Copying files from `/etc/skel' ...
Enter new UNIX password: admin
Retype new UNIX password: admin
passwd: password updated successfully
Changing the user information for admin
Enter the new value, or press ENTER for the default
Full Name []:
Room Number []:
Work Phone []:
Home Phone []:
Other []:
Is the information correct? [Y/n] y
Lalu restart Apache : #/etc/init.d/apache2 restart
#mkdir /etc/skel/public_html
#adduser admin ...............tunggu akan tampil seperti dibawah ini
Tambahkan tanda pagar pada script
disebelah kiri, hasilnya dibawah ini
#<IfModule mod_userdir.c>
# <Directory /home/*/public_html>
# php_admin_flag engine Off
# </Directory>
#</IfModule>
Hal - 52
L. HTTPS SERVER
1. Installasi Paket openssl, ssl-cert, dengan perintah berikut :
#apt-get install openssl ssl-cert
2. Buat direktory ssl pada : /etc/apache2/ dan aktifkan mode ssl dengan perintah :
#mkdir /etc/apache2/ssl
3. Aktifkan mode ssl dengan perintah :
#a2enmod ssl
4. Melakukan geerate sertifikat keamanan ssl
# openssl req -x509 -days 730 -newkey rsa:2048 -keyout /etc/apache2/ssl/apache.key -out
/etc/apache2/ssl/apache.crt
... tunggu akan tampil seperti dibawah ini ..
Generating a 2048 bit RSA private key
...+++
..+++
writing new private key to '/etc/apache2/ssl/apache.key'
Enter PEM pass phrase: admin ............................................. diisi admin
Verifying - Enter PEM pass phrase: admin .......................... diisi admin
Country Name (2 letter code) [AU]:ID
State or Province Name (full name) [Some-State]:JAWA BARAT
Locality Name (eg, city) []:BEKASI
Organization Name (eg, company) [Internet Widgits Pty Ltd]:SMK
Organizational Unit Name (eg, section) []:SEKOLAH
Common Name (e.g. server FQDN or YOUR name) []:smkn3.net ........ (nama domain)
Email Address []:admin@smkn3.net
5. Edit file default-ssl dalam direktori etc/apache2/sites-available
edit script dibawah ini .......
DocumentRoot /var/www/html
SSLCertificateFile /etc/ssl/certs/ssl-cert-snakeoil.pem
SSLCertificateKeyFile /etc/ssl/private/ssl-cert-snakeoil.key
6. Simpan perubahan srcipt : tekan Ctrl X + Y enter
7. Aktifkan konfigurasi SSL : #a2ensite default-ssl.conf
8. Restart Services apache2 : #/etc/init.d/apache2 restart . tunggu akan tampil pesan dibawah ini ..
Masukan passprase
[....] Restarting apache2 (via systemctl): apache2.serviceEnter passphrase for SSL/TLS keys for
server.smkn.sch.id:443 (RSA): ******* .................. isi password
9. Buat Direktori public_ssl dalam direktori /var/www
#mkdir /var/www/public_ssl
# nano /etc/apache2/sites-available/default-ssl.conf
Hasilnya Seperti dibawah ini ....
DocumentRoot /var/www/public_ssl
SSLCertificateFile /etc/apache2/ssl/apache.crt
SSLCertificateKeyFile /etc/apache2/ssl/apache.key
Hal - 53
10. buat file index.html pada directory /var/www/public_ssl
#nano /var/www/public_ssl/index.html
ketikan : INI CONTOH HTTPS
11. Simpan : tekan ctrl X + Y enter
12. Restart apache2 : #/etc/init.d/apache2 restart
13. Pengujian HTPPS dengan mengetikan : https://smkn3.net hasilnya seperti dibawah ini
Hal - 54
Hal - 55
MEMBUAT PUBLIC_SSL, AGAR BISA DI BROWSING : https://smkn3.net/~admin
13. Membuat direkroty : public_ssl pada directory : /home/admin/
#mkdir /home/admin/public_ssl
14. Menambahkan file info.php pada direktory : /home/admin/public_ssl/
#nano /home/admin/public_ssl/index.php
ketikan script dibawah ini :
<?php
phpinfo();
?>
Simpan : tekan ctrl X + Y enter
15. Restart apache2 : #/etc/init.d/apache2 restart
16. Lakukan pengujian pada browser : https://smkn3.net/~admin
Hal - 56
M. MAIL SERVER
Langkah – Langkahnya :
1) Login sebagai root
2). Aktifkan DVD ISO #1, cararnya :
3). Klik mouse kanan pada icon CD... lihat gambar dibawah ini ..
4) Pilih DVD ISO #1
5) Aktifkan CDROM : #apt-cdrom add
6) Update DVD ISO #1 : #apt-get update
7) Install vsftpd Server :# apt-get postfix squirrelmail courier-imap courier-pop
8) Tekan : Y
9) Aktifkan DVD ISO #1
10) Tekan Enter
11) Pilih : OK
12) Tekan enter
Login as : root
Password : 1
root@debian:~#
Hal - 57
13) Pilih : Internet Site
14) Pilih : OK
15) Isikan pada pertanyaan System mail name : smkn3.net .... ini nama domain
16) Pilih : OK ........................... tunggu sedang proses
17) Aktifkan DVD ISO #2
18) Tekan : Enter
Hal - 58
19) Pilih : No
20) Aktifkan DVD ISO #3
21) Tekan enter
22) Konfigurasi postfix : #nano /etc/postfix/mai.cf .... tekan enter
edit script dibawah ini, sehingga hasilnya seperti dibawah ini ...
Hal - 59
Cari Scrip dan edit, hasilnya seperti dibawah ini :
myhostname = smkn3.net ....................................................................... isi nama domain
destination = smkn3.net, smkn3.net, localhost.smkn3.net, localhost
mynetwork = 127.0.0.0/24,192.168.10.0/24 .................... tambahkan ip server
#mailbox_command = procmail -a "$EXTENTION" ....... tambahkan tanda pagar (#)
home_mailbox = Maildir/ ................................... ini tambahan
23) Restart postfix : #/etc/init.d/postfix restart
24) Membuat direktory Maildir pada direktory : /etc/skel/
#maildirmake /etc/skel/Maildir
24) Konfigurasi apache2
#nano /etc/apache2/sites-available/000-default.conf
25) Gerakan kursor kebagian paling, bawah, tambahkan scrip seperti dibawah ini :
26) Simpan : tekan ctrl X + Y tekan enter
27) Buat user sebanyak 2, yakni : user1 dan user2
#adduser user1
script ini : untuk menjalankan
domain smkn3.net
script ini : untuk menjalankan
mail. smkn3.net
Hal - 60
Adding user 'user1' ...
Adding new group 'user1' (1003) ...
Adding new user 'user1' (1003) with group 'user1' ...
Creating home directory '/home/user1' ...
Copying files from '/etc/skel' ...
enter new UNIX password : 1 ...................... masukan password
Retrype new UNIX paswword : 1 ............masukan password kembali
passwd: password update successfylly
Changing the user information for user1
Enter the new value, or press ENTER for the default
Full Name [ ] : enter
Room Number [ ] : enter
Work Phone [ ] : enter
Home Phone [ ] : enter
Other [ ] : enter
Is the information correct/ [Y/N] : Y ... enter
#adduser user2
Adding user 'user2' ...
Adding new group 'user2' (1003) ...
Adding new user 'user2' (1003) with group 'user2' ...
Creating home directory '/home/user2' ...
Copying files from '/etc/skel' ...
enter new UNIX password : 1 ...................... masukan password
Retrype new UNIX paswword : 1 ............masukan password kembali
passwd: password update successfylly
Changing the user information for user1
Enter the new value, or press ENTER for the default
Full Name [ ] : enter
Room Number [ ] : enter
Work Phone [ ] : enter
Home Phone [ ] : enter
Other [ ] : enter
Is the information correct/ [Y/N] : Y ... enter
Hal - 61
28) Buat direktory public_html pada direktory : /var/www
#mkdir /var/www/public_html
29) Buat file index.html pada direktory : /var/www/public_html
#nano /var/www/public_html/index.html
ketik : SELAMAT DATANG DI SERVER KAMI
30) Restart apache : #/etc/init.d/apache2 restart
31) lakukan pengujian domian : smkn3.net dan subdomain : www.smkn3.net
Buka browser : smkn3.net atau www.smkn3.net
32) Lakukan pengujian mail server
buka browser : mail.smkn3.net
Hal - 62
Masukan name : user1
Masukan Password : 1
Klik : Login
Klik : Compose
to : user2
cc : tidak usah diisi
Bcc : tidak usah diisi
Subject : Kirim Berita
Klik : Send
Klik : SignOut
SELAMAT BUAT ANDA BERHASIL MEMBUAT MAIL SERVER
Send
Hal - 63
Klik : Click hire to log back in
Pengecekan email ..
Name : user2
Password : 1
Klik : Login
Jika Tampil seperti gambar diatas, berarti mail server berhasil
Hal - 64
N. PROXY SERVER
A. Menginstall dan mengkonfigurasi Aplikasi PROXY server
1). Aktifkan DVD DEBIAN ISO #2, cararnya :
2). Klik mouse kanan pada icon CD... lihat gambar dibawah ini ..
3) Pilih DVD debian ISO #2
4) Aktifkan CDROM : #apt-cdrom add
5) Update DVD DEBIAN ISO #1 : #apt-get update
6) Install vsftpd Server :# apt-get install squid3
7) Tekan : Y
8) Aktifkan DVD ISO DEBIAN #1
Ketika tampil pertanyaan seperti gambar dibawah ini ..
Hal - 65
10) Klik : Force Umount
11) Tekan Enter
12) Aktifkan DVD ISO DEBIAN #2
13) Klik : Force Umount
14) Tekan Enter
15) Mengkonfigurasi Squid
#nano /etc/squid3/squid.conf
Cari script dibawah ini: dengan cara tekan ctrl + w, terus ketikan : http_port 3128
http_port 3128
cache mem 256 MB .................................... ini tambahan
cache_mgr admin@smkn3.net ................. ini tambahan
visible_hostname www.smkn3.net ........ ini tambahan
Cari script dibawah ini: dengan cara tekan ctrl + w, terus ketikan : acl connect
acl CONNECT method CONNECT
acl blok dstdomain "/etc/blokir" .......... ini tambahan
http_access deny all ...................................... ini tambahan
http_access allow all ...................................... ini tambahan
Cari script dibawah ini: dengan cara tekan ctrl + w, terus ketikan : http_access deny
all
#http_access deny all .............................................. tambahkan tanda pagar (#)
16) Simpan : tekan ctrl x + y enter
17) Membuat website yang akan diblokir, misalnya : facebook.com, youtube.com
pada direktory : /etc/blokir
#nano /etc/blokir
youtube.com
facebook.com
www.youtube.com
www.facebook.com
18) Simpan : tekan ctrl x + y enter
19) Restart squid3 : #/etc/init.d/squid3 restart
20) Lakukan Pengujian pada browser, caranya :
1. Buka browser, misalnya Mozilla
2. Klik yang dilingkari
3. Klik Pengaturan
Hal - 66
4. Klik : menu Canggih
5. Klik : Jaringan ( network )
6. Klik : Pengaturan
Hal - 67
7. Beri tanda ceklist pada : Konfigurasi proxy secara manual
8. isikan : 192.168.10.1 (ip anda) pada Proxy untuk HTTP
9. isikan : 3128 (port proxy) pada port
10. Klik : OK
11. Ketikn pada brwoser, yakni : youtube.com
Jika muncul error berarti berhasil

Tutorial 8.7.1 jessie

  • 1.
    Hal - 1 TUTORIAL INSTALASILINUX DEBIAN 8.7 (JESSIE) MENGGUNAKAN VIRTUAL BOX Disusun Oleh : JAENUDIN KEMENTERIAN PENDIDIKAN DAN KEBUDAYAAN DINAS PENDIDIKAN PROVINSI JAWA BARAT SMK NEGERI 3 KOTA BEKASI 2017
  • 2.
    Hal - 2 A.Tentang Debian Debian GNU/Linux pertama kali dikeluarkan dengan rilis 0.01 sampai dengan versi terbaru saat ini yakni rilis 8.0 dengan nama kode Jessie. Kode nama rilis Debian merupakan nama karakter dari film Toy Story. Distribusi unstable diberikan nama Sid, sesuai dengan karakter emosinya yang tidak stabil, tetangga sebelah rumah yang secara teratur menghancurkan mainan. Rilis setelah squeeze akan dinamakan wheezy, nama pinguin mainan karet dalam Toy Story 2. Berikut penjelasan detail untuk setiap rilis Debian GNU/Linux: 1. Debian 0.01-0.90, Agustus-Desember 1993 2. Debian 0.91, Januari 1994. Pada rilis ini, Debian telah memiliki system pemaketan software sederhana yang dapat digunakan untuk menginstal dan menghapus paket. 3. Debian 0.93R5, Maret 1995. Pada rilis ini, tanggung jawab untuk proses pemeliharaan setiap software telah diserahkan ke masing-masing developer, dalam arti kata setiap developer bertanggung jawab penuh terhadap pemeliharaan paket software yang diserahkan kepadanya. serta tool ‘dpkg’ telah digunakan untuk menginstal/menghapus paket software saat system dasar (base sistem) Debian telah terinstal. 4. Debian 0.93R6, November 1995. Rilis 0.93R6 memperkenalkan tool untuk managemen paket ‘dselect’. Pada rilis ini, jumlah developer Debian masih berjumlah 60 orang yang tersebar di beberapa Negara. Bdade Garbee juga telah membangun server ‘master.debian.org’. 5. Debian 1.0 merupakan rilis premature yang selanjutnya dikembangkan ke rilis 1.1 dengan nama kode ‘Buzz’ pada tanggal 17 Juni 1996. Rilis ini merupakan rilis pertama yang memiliki nama kode yang diambil dari tokoh-tokoh dalam film Toy Story. Kepemimpinan Ian Murdock juga telah diganti ke Bruce Perens. Jumlah paket software yang dipaketkan ke dalam rilis 1.0 berjumlah 474 paket dan menggunakan kernel Linux 2.0 6. Debian 1.2 dengan nama kode ‘Rex’ yang dirilis pada tanggal 12 Desember 1996. Rilis ini memaketkan 848 paket software yang dipelihara oleh 120 developer. 7. Debian 1.3 dengan nama kode ‘Bo’ dirilis pada tanggal 5 Juni 1997. Pada rilis ini, Debian GNU/Linux memaketkan 974 paket software dan dipelihara oleh 200 developer. 8. Debian 2.0 dengan nama kode ‘Hamm’ dirilis pada tanggal 24 Juli 1998. Rilis ini merupakan awal dari dukungan Debian untuk multi-arsitektur yakni Intel x86 dan Motorola 6800 (m68k) serta transisi ke libc6 dan memaketkan 1500 paket software yang dipelihara oleh 400 developer. Rilis 2.0 merupakan era kepemimpinan Ian Jackson. 9. Debian 2.1 dengan nama kode ‘Slink’ dirilis pada tanggal 9 Maret 1999. Wichert Akkerman merupakan project leader dengan dukungan 4 arsitektur yakni intel x86, m68k, alpa serta sparc. Debian 2.1 memaketkan 2250 paket software (2 CD). Pada rilis ini juga diperkenalkan sebuah antarmuka managemen paket ‘APT’. 10. Debian 2.2 dengan nama kode ‘Potato’ dirilis pada tanggal 15 Agustus 2000. Rilis ini ditambahkan 2 dukungan arsitektur baru yakni PowerPC dan ARM dan Wichert Akkerman masih sebagai project leader. Software yang dipaketkan bersama rilis ini sebanyak ~3900 paket dan dipelihara oleh 450 developer. 11. Debian 3.0 dengan nama kode ‘Woody’ dirilis pada tanggal 19 Juli 2002. Penambahan dukungan arsitektur juga terjadi di rilis tersebut yakni hppa, ia64, mips, mipsel, s/390 (11 arsitektur). Bdale Garbee bertindak sebagai project leader dengan dukungan 900 developer dan software yang dipaketkan bersama rilis ini berjumlah ~8500 (7 CD) paket software.
  • 3.
    Hal - 3 12.Debian 3.1 dengan nama kode ‘Sarge’ dirilis pada tanggal 6 Juni 2005. Pada rilis ini tidak ada penambahan dukungan arsitektur baru. Juga dikenalkan sebuah feature baru yakni ‘debian installer’, sebuah modular installer dengan pendeteksian perangkat keras. Era kepemimpinan proyek Debian dipegang oleh Branden Robinson dengan jumlah developer lebih dari 900 orang dan memaketkan paket software-nya ~15400 paket software. 13. Debian 4.0 dengan nama kode ‘Etch’ pada tanggal 8 April 2007. Rilis ini di bawah kepemimpinan Sam Hocevar yang menambahkan dukungan arsitektur baru yakni AMD64 dan menghilangkan dukungan arsitektur m68k. Pada rilis ini telah ditambahkan instalasi dengan mode grafik, enkripsi partisi hard disk dan transisi ke X.Org. Jumlah developer sebanyak 1300 orang dan jumlah paketnya ~18000 paket software dan dikemas ke dalam 20 CD/3 DVD. 14. Debian 5.0 dengan nama kode ‘Lenny’ dirilis pada tanggal 14 Februari 2009. Lenny mendukung 12 arsitektur computer seperti Ix86, AMD64, alpa, sparc, PowerPC, ARM, armel, hppa, ia64, mips, mipsel, s/390. Software yang dipaketkan bersama Lenny ~23000 paket software. 15. Debian 6.0 dengan nama kode ‘Squeeze’ dirilis pada tanggal 6 Februari 2011 dan Debian 6.0.5 dirilis pada tanggal 12 Mei 2012. Dengan jumlah paket lebih dari 29000 dan juga memaketkan kernel FreeBSD dengan software GNU yang dinamai dengan Debian GNU/kFreeBSD. 16. Debian 7.0 dengan nama kode ‘Wheezy dirilis pada tanggal 4 April 2013. Dengan jumlah paket lebih dari 36000 dan juga memaketkan kernel FreeBSD dengan software GNU yang dinamai dengan Debian GNU/kFreeBSD. 17. Debian 8.0 dengan nama kode ‘Squeeze’ dirilis pada tanggal 25 April 2015. Dengan juga memaketkan kernel FreeBSD dengan software GNU yang dinamai dengan Debian GNU/kFreeBSD. B. Ruang lingkup Dalam pembelajaran instalasi linux debian 8.7 (jessie) kami menggunakan Aplikasi VM Ware versi 9.0 dan sistem operasi linux debian iso paket #1, paket #2, dan paket #3. Sebenarnya bisa dilakukan dengan aplikasi Virtual Box. Pembahasan panduan instalasi linux debian mencakup : 1. Cara menginstalasi linux debian menggunakan VM Ware 2. Mengkonfigurasi Interfaces 3. Menginstall dan Mengkonfigurasi DHCP Server 4. Menginstall dan mengkonfigurasi DNS Server 5. Menginstalasi dan mengkonfigurasi FTP server 6. Menginstalasi dan mengkonfigurasi SSH Server 7. Menginstalasi dan mengkonfigurasi Samba Server 8. Menginstalasi dan mengkonfigurasi NTP Server 9. Menginstalasi dan Mengkonfigurasi HTTP / Web Server 10. Menginstalasi dan Mengkonfigurasi HTTPS 11. Menginstalasi dan Mengkonfigurasi Proxy Server
  • 4.
    Hal - 4 C.Instalasi Debian 1. Pastikan anda sudah menginstall Virtual Box 2. Pastikan anda sudah memiliki debian ISO versi 8.0 paket#1, paket#2, paket#3 3. Buka aplikasi Virtual Box, tunggu … akan tampil menu utama seperti dibawah ini 4. Klik : New ................ tampil menu dibawah ini : isikan name : DEBIAN isikan type : Linux isikan Version : Debian (64-bit) atau Debian (32-bit)
  • 5.
    Hal - 5 5.Klik : Next 6. Tentukan besarnya memory : misal 512 MB 7. Klik : Next 8. Klik : Create
  • 6.
    Hal - 6 9.klik : Next 10. Klik : Next 11. Tentukan besanya Hardisk ( File localtion and size ) misalnya : 10 GB 12. Klik : Create .............................. maa akan kembali ke menu utama Virtual Box
  • 7.
    Hal - 7 13.Menentukan Network Jaringan a) Klik : Network b) Beri tanda ceklist pada : Enable Network Adafter c) Pilih pada menu Attached to : Host-only Adaftar d) Pilih pada menu Name : VirtualBox Host-Only ethernet Adafter
  • 8.
    Hal - 8 14.Menentukan Storage a) Klik : Storage b) Klik : Empty c) Klik pada gamabr CD pada menu Optical Drive d) Klik : Choose Virtual Optical Disk File
  • 9.
    Hal - 9 e)Pilih : debian ISO #1 f) Klik : Open g) Klik : OK .................... maka akan kembali ke menu utama Virtual Box h) Klik : Start ............ tunggu akan tampil menu utama install debian
  • 10.
    Hal - 10 Klik: Install Maka akan tampil seperti gambar dibawah ini Pilih : english Maka akan tampil seperti gambar dibawah ini
  • 11.
    Hal - 11 Pilih: other Maka akan tampil seperti gambar dibawah ini Pilih : Asia Maka akan tampil seperti gambar dibawah ini
  • 12.
    Hal - 12 Pilih: Indonesia Maka akan tampil seperti gambar dibawah ini Pilih : united states Maka akan tampil seperti gambar dibawah ini
  • 13.
    Hal - 13 Pilih: American english Maka akan tampil seperti gambar dibawah ini Tunggu Linux debian sedang proses, hingga tampil seperti dibawah ini Klik : Continue maka akan tampil menu dibawah ini
  • 14.
    Hal - 14 Penjelasanmenu diatas : Pilih : Configure network manually : jika anda mensetting network pada saat bersaman dengan install debian Pilih : Do Not configure the network at this time : jika anda mensetting network diakhir selesai install debian Dalam hal ini kita pilih : Do Not configure the network this time Selanjutnya akan tampil menu dibawah ini … Isikan Hostname : debian Klik Continue, maka akan tampil menu dibawah ini
  • 15.
    Hal - 15 IsikanRoot password : 1 ( ingat ketika anda ketik angka 1 yang tampil adalah symbol * (tanda bintang) Klik Continue, maka akan tampil menu dibawah ini Isikan kembali password yang sama : 1 ( ingat ketika anda ketik angka 1 yang tampil adalah symbol * (tanda bintang) Klik Continue, maka akan tampil menu dibawah ini Isikan Full name for the new user : jaenudin Klik Continue, maka akan tampil menu dibawah ini
  • 16.
    Hal - 16 Isikanuser name for account : jaenudin (ini adalah nama user anda … harus diingat) Klik Continue, maka akan tampil menu dibawah ini Isikan password untuk user jaenudin : 1 (ini adalah password user anda … harus diingat) Klik Continue, maka akan tampil menu dibawah ini Isikan kembali password untuk user jaenudin : 1 (ini adalah password user anda … harus diingat) Klik Continue, maka akan tampil menu dibawah ini
  • 17.
    Hal - 17 Pilih: jakarta maka akan tampil menu dibawah ini Disini anda memilih untuk partition : Guided – use entrie disk : membuat partisi secara otomatis Manual : membuat partisi secara manual Sebagai pilihan : pilih Guided – use entrie disk maka akan tampil menu dibawah ini Disini anda : tekan Enter maka akan tampil menu dibawah ini
  • 18.
    Hal - 18 Disinianda pilih : All files in one partition maka akan tampil menu dibawah ini Disini anda pilih : Finish partitioning and write changes to disk maka akan tampil menu dibawah ini Disini anda pilih : Yes maka akan tampil menu dibawah ini
  • 19.
    Hal - 19 Disinianda menunggu, hingga sampai 100% maka akan tampil menu dibawah ini Disini anda pilih : No maka akan tampil menu dibawah ini Disini anda pilih : No maka akan tampil menu dibawah ini
  • 20.
    Hal - 20 Disinianda pilih : No maka akan tampil menu dibawah ini Disini anda pastikan tanda * ( tanda bintang ) untuk menu : standard system utility Klik : continue Tunggu……. Hingga tampil menu dibawah ini Disini anda pilih : Yes Tunggu……. Hingga tampil menu dibawah ini
  • 21.
    Hal - 21 Disinianda pilih : /dev/sda Tunggu……. Hingga tampil menu dibawah ini Disini anda pilih : continue Tunggu……. Hingga tampil menu dibawah ini Disini anda isikan debian login : root Password : 1 Disini Installasi Linux Debian Selesai DISINI PULA LINUX DEBIAN SIAP UNTUK DIOPERASIKAN
  • 22.
    Hal - 22 D.Mengkonfigurasi Interfaces # nano /etc/network/interfaces………….. maka akan tampil seperti dibawah ini > Simpan script tersebut : Tekan Tombol CTRL + X + Y Enter > Restart interfaces : # /etc/init.d/networking restart … tunggu hingga tampil pesan. > Lakukan pengecekan apakah ip address tersimpan atau belum # ifconfig enter > Lakukan Pengujian interfaces : #ping 192.168.10.1 PING 192.168.10.1 (192.168.10.1) 56(84) bytes of data. 64 bytes from 192.168.10.1: icmp_seq=1 ttl=64 time=0.371 ms 64 bytes from 192.168.10.1: icmp_seq=1 ttl=64 time=0.371 ms 64 bytes from 192.168.10.1: icmp_seq=1 ttl=64 time=0.371 ms 64 bytes from 192.168.10.1: icmp_seq=1 ttl=64 time=0.371 ms 64 bytes from 192.168.10.1: icmp_seq=1 ttl=64 time=0.371 ms 5 packets transmited, 5 received, 0% packet loss, time 3397 ms rtt main/avg/max/mdev = 0.059/0.124/00.371/0.123 ms root@server:~# # This file descripbes the network interfaces available on your system # and how to activate them, for more informtion, see interfaces (5) source /etc/network/interfaces.d/* # The looback network interface auto lo iface lo inet loopback auto eth0 iface eth0 inet static address 192.168.10.1 netmask 255.255.255.0 network 192.168.10.0 broadcast 192.168.10.255
  • 23.
    Hal - 23 E.Menginstall dan mengkonfigurasi Aplikasi dhcp server 1). Aktifkan DVD ISO #2, cararnya : 2). Klik mouse kanan pada icon CD... lihat gambar dibawah ini .. (3) Pilih DVD ISO #2 (4) Aktifkan CDROM : #apt-cdrom add (5) Update DVD ISO #2 : #apt-get update (6) Install DHCP Server : #apt-get install isc-dhcp-server ...... Tekan enter (7) Tekan Y (8) Selanjutnya : edit konfigurasi dhcp, ketik perintah dibawah ini : Maka akan tampil script dhcp dibwah ini……. (9) Lakukan pengeditan script dhcp server diatas hingga hasilnya , seperti dibawah ini (10) Simpan perubahan script dhcp server : Tekan CTRL X + Y dan enter (11) Restart DHCP Server : #/etc/init.d/isc-dhcp-server ..... enter # A slighhtly different configuration for an internal subnet. # subnet 192.168.1.0 netmask 255.255.255.0 { # range 192.168.1.2 192.168.1.100; # option domain-name-servers 192.168,1.10; # option domain-name “smkn3.sch.id; # option routers 192.168.1.1; # option broadcast-address 192.168.1.255; # default-lease-time 600; # max-lease-time 7200; #} # A slighhtly different configuration for an internal subnet. subnet 192.168.10.0 netmask 255.255.255.0 { range 192.168.10.100 192.168.10.120; option domain-name-servers 192.168,10.1; option domain-name “smkn3.net; option routers 192.168.10.1; option broadcast-address 192.168.10.255; default-lease-time 600; max-lease-time 7200; } #nano /etc/dhcp/dhcpd.conf
  • 24.
    Hal - 24 (12)Menguji Aplikasi dhcp server ke PC Client 1. Buka LAN pc client, lihat gambar dibawah ini Maka akan tampil kota dialog seperti dibawah ini … 2. Buka LAN – Virtual Host-Only Network, maka tampil kotak dialog seperti dibawah ini … 3. Klik detail, maka akan tampil hasilnya seperti dibawah ini .. Jika tampil seperti gambar diatas, menunjukan pc client berhasil mendapatkan IP address dari server.
  • 25.
    Hal - 25 F.Menginstall dan Mengkonfigurasi SSH Server Pengertian SSH ( Scure Shell Hosting ) SSH (Secure Shell Hosting) adalah protokol atau aplikasi yang memungkinkan pertukaran data antara dua perangkat jaringan yang lebih aman dibandingkan dengan telnet, rsh dan rlogin. SSH banyak digunakan pada sistem berbasis Linux dan Unix untuk mengakses akun shell. SSH pertama kali dikembangkan oleh openBSD project dan kemudian versi rilis p (port) di manage oleh team porting ke sistem operasi lainnya, temasuk Linux. Dengan ssh semua percakapan antara server dan klien di enkripsi, artinya apabila percakapan tersebut disadap, penyadap tidak akan memahami isinya. Arsitektur SSH ( Scure Shell Hosting ) SSH-2 protokol memiliki arsitektur internal pada lapisan terpisah dengan baik. Yaitu:  Lapisan transportasi (RFC 4253). Lapisan ini menangani pertukaran kunci awal dan server otentikasi dan set up enkripsi, kompresi dan integritas verifikasi. Lapisan otentikasi pengguna (RFC 4252). Lapisan ini menangani otentikasi klien dan menyediakan sejumlah metode otentikasi. Lapisan koneksi. Lapisan ini mendefinisikan konsep kanal, kanal permintaan dan permintaan global menggunakan layanan yang disediakan SSH. SSHFP DNS record (RFC 4255) menyediakan sidik jari kunci publik untuk membantu memverifikasi keaslian host.  Sejak SSH memiliki kelemahan desain yang melekat dan membuatnya rentan (misalnya, terhadap serangan man-in-the-middle). Dalam semua versi SSH, penting untuk memverifikasi kunci publik sebelum menerimanya secara valid. Menerima seorang kunci publik atttacker sebagai kunci publik yang valid memiliki efek membuka password yang ditransmisikan dan memungkinkan serangan man in-the-middle. Cara Kerja SSH Misalkan suatu client mencoba mengakses suatu linux server melalui SSH. SH daemon yang berjalan baik pada linux server maupun SSH client telah mempunyai pasangan public/private key yang masing-masing menjadi identitas SSH bagi keduanya. Langkah- langkah koneksinya adalah sebagai berikut : Langkah 1 Client bind pada local port nomor besar dan melakukan koneksi ke port 22 pada server. Langkah 2 Client dan server setuju untuk menggunakan sesi SSH tertentu.Hal ini penting karena SSH v.1 dan v.2 tidak kompatibel. Langkah 3 Client meminta public key dan host key milik server. Langkah 4 Client dan server menyetujui algoritma enkripsi yang akan dipakai (misalnya TripleDES atau IDEA).
  • 26.
    Hal - 26 Langkah5 Client membentuk suatu session key yang didapat dari client dan mengenkripsinya menggunakan public key milik server. Langkah 6 Server men-decrypt session ky yang didapat dari client, meng-re-encrypt-nya dengan public key milik client, dan mengirimkannya kembali ke client untuk verivikasi. Langkah 7 Pemakai mengotentikasi dirinya ke server di dalam aliran data terenkripsi dalam session key tersebut. Sampai disini koneksi telah terbentuk, dan client dapat selanjutnya bekerja secara interaktif pada server atau mentransfer file ke atau dari server. Langkah ketujuh diatas dapat dilaksanakan dengan berbagai cara (username/password, kerberos, RSA dan lain-lain) Implementasi SSH Implementasi SSH terlihat dalam produk-produk berikut :  FreeSSH  OpenSSH (Unix, Windows)  LSH (unix)  PuTTY (Windows)  Okhapkin s port of SSH1(windows)  MacSSH (Macintosh)  TeraTerm (windows)  NitfyTelnet 1.1 SSH (Machintosh)  Commercial SSH  SSH communication Security (unix, windows)  F-Secure SSH (unix,Windows)  Secure CRT, SecureFX (windows)  Vshell (Windows) Metode Enskripsi SSH menggunakan metode public-key cryptography untuk mengenskripsi komunikasi antara dua host, demikian pula untuk autentikasi pemakai. Dengan metode ini, kita akan memerlukan 2 buah kunci berbeda yang digunakan baik untuk melakukan enkripsi dan dekripsi. Dua buah kunci tersebut masing-masing disebut public key (dipublikasikan ke public/ orang lain) dan private key (dirahasiakan/ hanya pemiliknya yang tahu). Masing- masing kunci di atas dapat digunakan untuk melakukan enkripsi dan dekripsi. SSH dapat digunakan untuk login secara aman ke remote host atau menyalin data antar ghost, sementara mencegah man-in-themiddle attacks (pembajakan sesi) dan DNS spoofing atau dapat dikatakan secure shell adalah program yang melakukan loging terhadap komputer lain dalam jaringan, mengeksekusi perintah lewat mesin secara remote, dan memindahkan file dari satu mesin ke mesin lainnya. SSH merupakan produk serbaguna yang dirancang untuk melakukan banyak hal, yang kebanyakan berupa penciptaan tunnel antar host.
  • 27.
    Hal - 27 (1)Menginstall dan mengkonfigurasi Aplikasi SSH server Perlu diketahui, bahwa untuk menginstall aplikasi ssh server diperlukan dvd debian 1, atau file iso debian 8.00 #1. Langkah – Langkahnya : 1) Login sebagai root 2). Aktifkan DVD ISO #1, cararnya : 3). Klik mouse kanan pada icon CD... lihat gambar dibawah ini .. 4) Pilih DVD ISO #1 5) Aktifkan CDROM : #apt-cdrom add 6) Update DVD ISO #2 : #apt-get update 7) Install ssh Server : #apt-get install openssh-server -y atau ssh Tekan enter 8) Tekan Y 9) Selanjutnya : edit konfigurasi ssh server, ketik perintah dibawah ini : Login as : root Password : 1 root@debian:~# #nano /etc/ssh/ssh_config Hilangkan tanda pagar (#) pada script Port 22
  • 28.
    Hal - 28 10)Simpan perubahan script sshserver : Tekan CTRL X + Y dan enter 11) Selanjutnya : restart ssh server, ketik perintah dibawah ini : ( 2) Menguji SSH dhcp server ke PC Client Pengujian SSH Server ke PC Client menggunakan aplikasi berbasis windows yaitu : putty dan aplikasi ini bisa didownload dengan free Pengujian SSH server menggunakan VM-Ware, caranya : 1) Pastikan DHCP Server dan SSH Server Aktif 2) Buka aplikasi Putty di Pc Client, tunggu akan tampil menu seperti dibawah ini #/etc/init.d/ssh restart Masukan IP server : 192.168.2.1 Masukan Port : 22 Klik : Open, ... tunggu akan tampil seperti gambar dibawah ini
  • 29.
    Hal - 29 Loginas : jaenudin ( nama user anda ) Password : 1 ( password user anda ) Jika akan masuk ke Root, maka ketikan perintah seperti dibawah ini : jaenudin@jaenudin-20:~$ su Password : 1 root@jaenudin-20:~# Ket : Ini hasil Remote PC Client Ke PC Server Pengggunaan hasil remote ini ; selayaknya anda bisa melakukan apa saja seperti di server
  • 30.
    Hal - 30 G.Menginstall dan mengkonfigurasi Aplikasi FTP server Perlu diketahui, bahwa untuk menginstall aplikasi dhcp server diperlukan dvd debian 2, atau file iso debian 8.00 #2. Langkah – Langkahnya : 1) Login sebagai root 2). Aktifkan DVD ISO #2, cararnya : 3). Klik mouse kanan pada icon CD... lihat gambar dibawah ini .. 4) Pilih DVD ISO #2 5) Aktifkan CDROM : #apt-cdrom add 6) Update DVD ISO #2 : #apt-get update 7) Install vsftpd Server :#apt-get install vsftpd Tekan enter 8) Tekan Y 9) Selanjutnya : edit konfigurasi vsftpd, ketik perintah dibawah ini : Maka akan tampil script vsftpd dibawah ini……. #nano /etc/vsftpd.conf Login as : root Password : 1 root@debian:~#
  • 31.
    Hal - 31 10)Lakukan : penyimpanan : tekan tombol X + Y enter (11) Lakukan : restart : root@debian:~#/etc/init.d/vsftpd restart 12) Lakukan Pengujian FTP Server pada client, lihat gambar dibawah ini Pengujian FTP Server dapat dilakukan dengan 2 cara, yaitu : a. Melalui Browser b. Melalui Fillezilla a. Pengujian FTP Server melalui Browser maka akan tampil hasilnya seperti dibawah ini .... Berdasarkan script diatas, carilah script : local_enable=YES ……………………….. pastikan tanda pagarnya hilang write_enable=YES ………………………. Pastikan tanda pagarnya hilang Masukan alamat FTP : ftp://192.168.2.1 Nama Pengguna : jaenudin password : 1 Log In ini hasil pengujian melalui Browser
  • 32.
    Hal - 32 b.Pengujian FTP Server melalui Filezilla Host : 192.168.2.1 ................. ip yang yang menuju ke Client Username : jaenudin ............. ( nama user anda ) Password : 1 ......................... ( password user anda ) Keterangan : 1. Ketika anda login berhasil, maka anda bisa mengupload data dari komputer ke server 2. Jika anda akan keluar dari filezilla, gunakan perintah : klik menu Server, Klik Disconnect
  • 33.
    Hal - 33 H.NTP Server Pengertian NTP Server NTP (Network Time Protocol) merupakan sebuah mekanisme atau protokol yang digunakan untuk melakukan sinkronisasi terhadap penunjuk waktu dalam sebuah sistem komputer dan jaringan. Prosessinkronisasi ini dilakukan di dalam jalur komunikasi data yang biasanya menggunakan protokol komunikasi TCP/IP. Sehingga proses ini sendiri dapat dilihat sebagai proses komunikasi data biasa yang hanya melakukan pertukaran paket-paket data saja. NTP menggunakan port komunikasi UDP nomor 123. Protokol ini memang didesain untuk dapat bekerja dengan baik meskipun media komunikasi bervariasi, mulai dari yang waktu latensinya tinggi hingga rendah, mulai dari media kabel sampai dengan media udara. Protokol ini memungkinkan perangkat-perangkat komputer anda untuk tetap dapat melakukan sinkronisasi waktu dengan sangat tepat dalam berbagai media. Prinsip Kerja NTP NTP bekerja dengan menggunakan algoritma Marzullo dengan menggunakan referensi skala waktu UTC. Sebuah jaringan NTP biasanya mendapatkan perhitungan waktunya dari sumber waktu yang terpercaya seperti misalnya radio clock atau atomic clock yang terhubung dengan sebuah time server. Kemudian jaringan NTP ini akan mendistribusikan perhitungan waktu akurat ini ke dalam jaringan lain. Sebuah NTP client akan melakukan sinkronisasi dengan NTP server dalam sebuah interval pooling yang biasanya berkisar antara 64 sampai 1024 detik. Namun, waktu sinkronisasi ini biasa berubah secara dramatis bergantung kepada kondisi dan keadaan jaringan yang akan digunakannya.
  • 34.
    Hal - 34 NTPmenggunakan sistem hirarki dalam bekerja dan melakukan sinkronisasinya. Sistem hirarki ini menggunakan istilah Clock stratum atau strata untuk menggambarkan tingkatan- tingkatannya. Di mana clock strata tingkat pertama merupakan perangkat komputer yang melakukan sinkronisasi dengan penghitung waktu eksternal seperti misalnya GPS clock, atomic clock atau radio clock yang sangat akurat. Perangkat berstatus stratum 2 merupakan perangkat yang dikirimi perhitungan waktu oleh stratum 1 secara langsung dengan menggunakan protokol NTP. Begitu seterusnya sistem hirarki berjalan. Parameter kedua, NTP akan melakukan proses komparasi terhadap beberapa perhitungan waktu dari beberapa server. Sebuah perangkat NTP yang memiliki pencatatan waktu yang paling berbeda dengan yang lainnya pasti akan dihindari oleh perangkat-perangkat lainnya, meskipun nilai stratumnya paling rendah daripada mesin yang lain. NTP versi 4 biasanya dapat menjaga ketepatan waktu hingga 10 millisecond 1/100 detik dalam media komunikasi publik atau Internet. Di dalam jaringan lokal yang kondisinya ideal, NTP dapat menjaga ketepatan perhitungannya hingga 20 microsecond atau 1/5000 detik. Timestamp atau pencatatan waktu yang digunakan oleh protokol NTP adalah sepanjang 64-bit yang terdiri dari 32-bit pertama untuk perhitungan detik, dan 32-bit berikutnya untuk perhitungan pecahan dari satuan detik. Dari spesifikasi ini, maka NTP akan memiliki skala waktu sebesar 2/32 detik atau sebesar 136 tahun dengan berdasarkan perhitungan menggunakan teori resolusi 2 -32 detik ( sekitar 0.233 nanosecond ). Meskipun perhitungan waktu NTP akan kembali berulang ketika sudah mencapai 2 32 , implementasinya dibuat sedemikian rupa sehingga waktu NTP tidak akan terganggu dengan programprogram penyesuai waktu lainnya. Lagi pula fasilitas NTP pada perangkat- perangkat komputer juga paling lama digunakan selama beberapa decade saja, jadi jika berjalan dengan baik maka aplikasi NTP tidak akan mengalami masalah berarti. (1) Menginstall, Mengkonfigurasi dan Menguji NTP Server Langkah – Langkahnya : 1) Login sebagai root 2). Aktifkan DVD ISO #1, cararnya : 3). Klik mouse kanan pada icon CD... lihat gambar dibawah ini .. Login as : root Password : 1 root@debian:~#
  • 35.
    Hal - 35 4)Pilih DVD ISO #1 5) Aktifkan CDROM : #apt-cdrom add 6) Update DVD ISO #2 : #apt-get update 7) Install vsftpd Server :# apt-get -y install ntp Tekan enter 8) Tekan Y 9) Selanjutnya : edit konfigurasi ntp, ketik perintah dibawah ini : # nano /etc/ntp.conf ....... tekan enter 9) Simpan script NTP Server : Tekan CTRL X + Y enter #/etc/ntp.conf, configuration for ntpd driftfile /var/lib/ntp/ntp.drift #statsdir /var/log/ntpstats/ ................. hilangkan tanda # (pagarnya) statistics loopstats peerstats clockstats filegen loopstats file loopstats type day enable filegen peerstats file peerstats type day enable filegen clockstats file clockstats type day enable # You do need to talk to an NTP server or two (or three). #server ntp.your-provider.example .....................diisi nama domain jika ada domain # pool.ntp.org maps to more than 300 low-stratum NTP servers. # Your server will pick a different set every time it starts up. # *** Please consider joining the pool! *** # *** *** server 0.debian.pool.ntp.org iburst ............................. beri tanda pagarnya (#) server 1.debian.pool.ntp.org iburst ............................. beri tanda pagarnya (#) server 2.debian.pool.ntp.org iburst ............................. beri tanda pagarnya (#) server 3.debian.pool.ntp.org iburst ............................ beri tanda pagarnya (#) server 192.168.2.1 ............................................................ tambahan ip nda #By default, exchange time with everybody, but don't allow configuration. #See /usr/share/doc/ntp-doc/html/accopt.html for details. restrict -4 default kod notrap nomodify nopeer noquery restrict -6 default kod notrap nomodify nopeer noquery #Local users may interrogate the ntp server more closely. restrict 127.0.0.1 restrict :: #Clients from this (example!) subnet have unlimitedaccess, #but only if cryptographically authenticated restrict 192.168.123.0 mask 255.255.255.0 notrust (isi network ip dan netmask) #If you want to provide time to your local subnet, change the next line. #(Again, the address is an example only.) #broadcast 192.168.123.255 #If you want to listen to time broadcasts on your local subnet, # de-comment the next lines. Please do this only if you trust everybody # on the network! #disable auth #broadcastclient
  • 36.
    Hal - 36 10)Restart NTP Server 11) Lakukan Pengujian NTP pada Server hasilnya seperti dibawah ini .. 12) Lakukan Pengujian NTP Server pada Client Windows Double klik pada ada icon jam di kanan bawah layar Windows 7 anda. Pilih change date and time setting. Lalu akan muncul tampilan berikut ini. Selanjutnya akan muncul tampilan berikut setelah anda memilih tab Internet Time. Lalu pilih tombol Change setting # /etc/init.d/ntp restart debian-server:~# ntpq -p
  • 37.
    Hal - 37 Setelahitu akan muncul form berikut. Pada form ini time server yang digunakan masihlah bawaan dari windows. Setelah anda menekan tombol update now maka akan muncul tampilan seperti di bawah ini. Tampilan berikut ini menyatakan bahwa komputer client telah tersinkronisasi dengan waktu yang ada di server. 192.168.2.1
  • 38.
    Hal - 38 I.Menginstall dan Mengkonfigurasi Samba Server Apa itu Samba? 1. Samba adalah program yang dapat menjembatani kompleksitas berbagai platform system operasi Linux(UNIX) dengan mesin Windows yang dijalankan dalam suatu jaringan komputer. Samba merupakan aplikasi dari UNIX dan Linux, yang dikenal dengan SMB(Service Message Block) protocol. Banyak sistem operasi seperti Windows dan OS/2 yang menggunakan SMB untuk menciptakan jaringan client/server. Protokol Samba memungkinkan server Linux/UNIX untuk berkomunikasi dengan mesin client yang mengunakan OS Windows dalam satu jaringan. 2. Samba adalah sebuah software yang bekerja di sistem operasi linux, unix dan windows yang menggunakan protokol network smb (server massage block). Smb adalah sebuah protokol komunikasi data yang juga digunakan oleh Microsoft dan OS/2 untuk menampilkan fungsi jaringan client-server yang menyediakan sharing file dan printer serta tugas-tugas lainnya yang berhubungan. 3. Samba adalah himpunan aplikasi yang bertujuan agar komputer dengan sistem operasi Linux, BSD( atau UNIX lainnya) dapat bertindak sebagai file dan print server yang berbasis protokol SMB (session message block). Samba yaitu aplikasi yang digunakan untuk menghubungkan server yang memakai sistem operasi Linux dengan komputer client yang memakai sistem operasi selain linux, seperti windows atau Apple Machintos. Samba Server merupakan server yang berfungsi sebagai penyedia fasilitas File Sharing antar komputer dengan sistem operasi yang berbeda di dalam suatu jaringan lokal, misalnya sharing data antara komputer Linux dengan komputer Windows Fungsi Samba? 1. Menghubungkan antara mesin Linux (UNIX) dengan mesin Windows. Sebagai perangkat lunak cukup banyak fungsi yang dapat dilakukan oleh samba software, mulai dari menjembatani sharing file, sharing device, PDC, firewall, DNS, DHCP, FTP, webserver, sebagai gateway, mail server, proxy dan lain-lain. Fasilitas pengremote seperti telnet dan ssh juga tersedia. Salah satu keunggulan lainnya adalah adanya aplikasi pengaturan yang tidak lagi hanya berbasis teks, tetapi juga berbasis grafis yaitu swat. Menempatkan masin Linux/UNIX sebagai PDC (Primary Domain Controller) seperti yang dilakukan oleh NT dalam jaringan Wondows. 2. Samba PDC (Primary Domain Controller) bertujuan sebagai komputer yang akan melakukan validasi user kepada setiap client yang akan bergabung dalam satu domain tertentu, dengan kata lain hanya user yang terdaftar yang diijinkan masuk ke domain tersebut dan mengakses semua fasilitas domain yang disediakan. 3. Dapat berfungsi sebagai domain controller pada jaringan Microsoft Windows. Keunggulan Samba? Keunggulan menggunakan samba : 1. Gratis atau free 2. Tersedia untuk berbagai macam platform 3. Mudah dikonfigurasi oleh administrator 4. Sudah terhubung langsung dengan jaringan dan jarang ditemui masalah dalam penggunaannya di jaringan 5. Mudah dikonfigurasi sesuai dengan kebutuhan administrator 6. Dapat diandalkan karena jarang terjadi kesalahan, kecuali sever computer anda bermasalah dengan perangkat kerasnya. 7. Mempunyai performa yang maksimal
  • 39.
    Hal - 39 Konfigurasisamba terletak pada direktori etc/samba/smb.conf BAGAIMANA SAMBA SERVER BEKERJA Samba di dalam LiNUX terdiri dari 2 daemon kunci : smb dan nmbd, keduanya ada di bawah /etc/rc.d/init.d (untuk RedHat) , Kedua daemon ini mampu melakukan 4 tugas dasar dari NetBEUI: 1. File & Print Sharing, 2. Authentication dan Authorization, 3. Name Resolution dan 4. Browsing dengan pembagian tugas sebagai berikut: smb melakukan proses File & Print Sharing serta Authentication dan Authorization, sedangnmbd melakukan proses Name Resolution dan Browsing Bagaimana cara Kerja Protokol? NetBEUI merupakan non-routable protokol yang bersifat broadcast based. Dalam proses file dan print sharing, ada 2 proses yang berjalan: 1. Mailslots 2. Named Pipes Mailslot adalah proses unidirectional communication, yang memungkinkan setiap kita membuka icon Network Neighborhood di Desktop, kita dapat melihat komputer mana saja yang sedang on- line. Analogi untuk keadaan ini sama seperti kalau satu komputer on-line dia akan terus Ilustrasi Samba
  • 40.
    Hal - 40 mengabarkanberita ke teman-temannya dalam satu domain, "Halo saya Workstation satu, di node 5. Hubungi saya, ya?" Sedang Named Pipes adalah proses bidirectional communication. Proses ini terjadi begitu kita mengakses sebuah komputer, kemudian kita melihat resource apa yang bisa dibuka di komputer tersebut dan begitu kita berhasil masuk ke komputer tersebut dan menggunakan resource-nya, maka terjadilah Named Pipes. Proses ini mampu dilakukan juga dengan sangat baik oleh Samba. Sebuah Samba server dapat memberi akses pada sebuah komputer yang menjalankan Windows atau LAN Manager, atau MS- DOS Client untuk menggunakan filenya. Dengan berkembangnya TCP/IP, maka NT 4.0 menambahkan satu feature yang disebut Windows Socket (Winsock.dll). Gunanya agar protokol NetBEUI yang tidak bisa routing, bisa run-over protokol yang bisa routing seperti TCP/IP. Para pengguna Novell Netware mungkin familiar dengan istilah "IPX encapsulated with TCP/IP"., nah seperti itulah proses NetBEUI yang run over TCP/IP. Di sini letak keunggulan Samba, karena setiap proses RPC (Remote Procedure Call) membutuhkan satu protokol transport, maka begitu kita install protokol TCP/IP di Windows, kemudian kita jadikan IP address Samba sebagai WINS (Windows Internet Name Server) dari komputer itu, maka... voala... Windows akan menganggap mesin LINUX kita sebagai Windows. WINS itu sendiri tidak lain adalah NetBIOS Name Service (NBNS). Yang melakukan proses Name Resolution dan Browsing...oops, sepertinya di atas saya sudah menulis kalau dua proses ini dijalankan oleh nmbd... Memang, WINS = NBNS, yang merupakan servis di mana NetBIOS Name di-resolve ke IP address, mirip seperti DNS (Domain Name Service) yang me-resolve IP adress ke host name. Mengapa ini Bisa Terjadi? Disebabkan oleh proses I/O redirection dari LAN Manager dan Windows membutuhkan sebuah transport protocol, yang secara default adalah NetBEUI. Tetapi dengan mengaktifkan WINS di Samba, kita sudah menjalankan proses NBNS. Jadi name resolution yang selama ini disebut Microsoft sebagai ciri khas Microsoft TCP/IP sebenarnya adalah NetBIOS Name Server, yang sudah ada sejak dulu 1. Menginstall Samba Server # apt-get install samba samba-common If your computer gets IP address information from a DHCP server on the network, the DHCP server may also provide information about WINS servers (“NetBIOS name â servers”) present on the network. This requires a change to your smb.conf file so that DHCP-provided WINS settings will automatically be read from /etc/samba/dhcp.conf. The dhcp3-client package must be installed to take advantage of this feature. Modify smb.conf to use WINS settings from DHCP? Karena komputer saya sudah di set menggunakan IP static, Anda pilih NO 2. Mengkonfigurasi Samba Server Contoh : Anda akan berbagi sharing berupa mp3 Caranya : Sebelum anda melakukan mengedit script samba, lakukan cofi file seperti dibawh ini # cp /etc/samba/smb.conf /etc/samba/smb.conf.asli # nano /etc/samba/smb.conf
  • 41.
    Hal - 41 Lakukanedit Konfigurasi pada point yang dijelaskan dibawah ini Cari menu seperti dibawah ini ... #====== Global Settings ========= [global] workgroup = labserver ………….. labserver nama workgroup ###### Authentication ####### # security = user ………………….. defaultnya .. artinya setiap PC yang mengakses samba harus mengisi username dan password. security = share ………………… jika anda mengakses samba tanpa user dan password Tambahkan script dibagian paling bawah …. [mp3] ---------------------------------------- nama yang disharing path = /home/mp3 ------------- mp3 adalah nama directory browsable = yes writable = yes 3. Simpan konfigurasi samba : tekan Ctrl + X + Y + enter 4. Restart Konfigurasi SAMBA # /etc/init.d/samba restart 5. Membuat Directory mp3 pada directory /home # mkdir /home/mp3 6. Membuat user untuk mengakses samba server # adduser fadli …………………. Bebas / nama account Masukan password # smbpasswd -a fadli …………… memberi password pada user fadli New SMB password : Retrype new SMB password : Added user data. 7. Lakukan Pengujian ke Client Untuk mengujinya, anda buat file : test.html pada direktori /home/mp3/test.html # nano /home/mp3/test.html Ketik isinya seperti dibawah ini : <h1>Ini contoh hasil sharing MP3 dengan samba</h1> Terus anda simpan : Tekan ctrl X + Y enter 8. Coba anda test ke client windows XP  buat workgroup labserver  nama computer winxp  domain = smkn3.sch.id  anda buka workgroup labserver, maka akan tampil seperti dibawah ini
  • 42.
    Hal - 42 Andaketik user name : tkj Password : 1 Maka akan tampil folder server yang disharing Catatan Tambahan : 1. Kalau anda akan menambah sharing, misalkan berupa DVDROM, caranya : Tambahkan script dibawah script ini ... [mp3] ---------------------------------------- nama yang disharing path = /home/mp3 ------------- mp3 adalah nama directory browsable = yes writable = yes [cdrom] ------------------------------------ untuk sharing CD-ROM comment = Samba server’s CD-ROM path = /media/cdrom writable = no locking = yes public = yes keterangan : untuk dapat membuka cdrom pada CLIENT anda harus mengaktifkan cdrom di pc server, caranya : # mount /media/cdrom
  • 43.
    Hal - 43 2.Kalau sharing isi data flashdisk, caranya dibawah ini ... Buat script dibawah ini ... [flashdisk] ----------------------- sharing data dari flashdisk path = /mnt/fd writable = yes locking = yes - buat folder untuk flashdisk pada directory /mnt/fd # mkdir /mnt/fd # mount /dev/sdb1 /mnt/fd …………….. untuk mengaktifkan flashdisk - masuk kedirectory fd # cd /mnt/fd # ls Keluar deh isinya …… Ini baru berhasil anda membuat sharing mp3 dengan samba Semoga berhasil.
  • 44.
    Hal - 44 J.DNS SERVER LATIHAN SOAL DNS SERVER 1. Ada salah satu SMK membutuhkan seorang administrator untuk di pekerjakan dibagian Server. Software yang dinginkan oleh sekolah adalah Linux debian 8.0 dengan aplikasi DNS Server. Jalur IP Address yang diminta adalah kelas C dengan membutuhkan jumlah pengguna 24 client. 2. Nama domainnya : smk.sch.id IP address : 192.168.10.1/24 Nama Hostname : server Nama User Root : tkj Password Root : 1 Tugas anda adalah : 1. Menginstal Linux debian 8 2. Menginstal DNS server 3. dan mengkonfigurasinya DNS server 4. Menguji DNS Server JAWABAN : 1. Pasttikan anda sudah menginstall debian 8 dengan benar 2. Mensetting / Mengkonfigurasi Interfaces, caranya : root@server:~#nano /etc/network/interfaces
  • 45.
    Hal - 45 3.Lakukan Penyimpanan : Tekan ctrl X + Y enter 4. Lakukan Restart interfaces : root@server:~#/etc/init.d/networking restart 5. Lakukan Pengecekan apakah interfaces tersimpan atau belum root@server:~#ifconfig 6. Lakukan Pengujian interfaces : root@server:~#ping 192.168.10.1 7. Menginstall DNS Server Sebelum anda melakukan install DNS, perlu diketahui bahwa aplikasi install yang digunakan adalah bind9. dan file yang di konfigurasikan adalah : named.conf.local, db.local, db.127 file tersebut berada di direktory /etc/bind Menginstall dns server Aktifkan DVD ISO #1, cararnya : 1). Klik mouse kanan pada icon CD... lihat gambar dibawah ini ..
  • 46.
    Hal - 46 (2)Pilih DVD ISO #1 (3) Aktifkan CDROM : #apt-cdrom add (4) Update DVD ISO #1 : #apt-get update (5) Install Alikasi DNS Server : #apt-get install bind9 . maka akan tampil dibawah ini tekan : y Mengkonfigurasi DNS Server, yakni : 1. Mengedit file named.conf.local root@server:~#nano /etc/bind/named.conf.local
  • 47.
    Hal - 47 2.Lakukan Penyimpanan : tekan ctrl x + y enter 3. Lakukan mengcopy file db.local menjadi db.server root@server:~#cp /etc/bind/db.local /etc/bind/db.server 4. Lakukan mengcopy fle db.127 menjadi db.192 root@server:~#cp /etc/bind/db.127 /etc/bind/db.192 5. Mengedit file db.server root@server:~#nano /etc/bind/db.server 6. Lakukan Penyimpanan : tekan ctrl x + y enter 7. Mengedit file db.192 root@server:~#nano /etc/bind/db.192
  • 48.
    Hal - 48 8.Lakukan Penyimpanan : tekan ctrl x + y enter 9. Lakukan restart bind9 : root@server:~#/etc/init.d/bind9 restart 10. Lakukan Pengujian DNS root@server:~#nslookup smk.sch.id root@server:~#nslookup www.smkn3.net root@server:~# nslookup 192.168.10.1 SELESAI BELAJAR DNS Server: www.smk.sch.id Address: 192.168.10.1#53 Server: smk.sch.id Address: 192.168.10.1#53 Server: 192.168.10.1 Address: 192.168.10.1#53 1.10.168.192.in-addr.arpa name = smk.sch.id 1.10.168.192.in-addr.arpa name = www.smk.sch.id
  • 49.
    Hal - 49 K.WEB/HTTP SERVER 1. Menginstall Web/Http Server Paket yang digunakan DVD Debian #1 #apt-get install apache2 #apt-get install php5 #apt-get install mysql-server #apt-get install mysql-client #apt-get install mysql-php5 #apt-get install phpmyadmin #apt-get install lynx Mengcopy file dari direktory : /etc/apache2/sites-available/000-default.conf .. menjadi web.conf caranya : Lakukan Edit file : web.conf yang tadi anda buat, dengan cara : PERHATIKAN ..... KETIKA MENGINSTALL Tampil : New password for the MySQL “root” user : Ketik admin - Lalu Enter Tampil : Refeat password for the MySQL “root” user : Ketik admin - Lalu Enter Beri tanda bintang [ * ] apache2 dengan Ketik Tombol spasi pada Keyboard Pilik Ok - Lalu Enter Configure database for phpmyadmin with dbconfig-common? Pilik Yes - Lalu Enter Password of the database’s administrative user : Ketik admin - Pilik Ok - Lalu Enter MySQL application password for phpmyadmin : Ketik admin - Pilik Ok - Lalu Enter Password confirmation : Ketik admin - Pilik Ok - Lalu Enter #cp /etc/apache2/sites-available/000-default.conf /etc/ apache2/sites-available/web.conf #nano /etc/apache2/sites-available/web.conf . lakukan edit script hasilnya lihat dibawah ini
  • 50.
    Hal - 50 >Membuat User Admin agar HTTP dapat diakses secara pribadi 1) Aktifkan modul userdir dengan menggunakan perintah berikut : Lakukan Penyimpanan SCRIPT yang diedit tadi : Tekan Ctrl + X + Y enter Lakukan NON AKTIFKAN file : 000-default.conf, dengan cara : Lakukan MENGAKTIFKAN file : web.conf, dengan cara : membuat sub direktori public_html dalam direktori var/www, dengan perintah : Membuat file index.html pada directory /var/www/public_html/ #a2dissite 000-default.conf a2ensite web.conf #mkdir /var/www/public_html/ #nano /var/www/public_html/index.html ......................... ketik dibawah ini SELAMAT DATANG Lakukan Penyimpanan : Ctrl X + enter Lakukan Restart : #/etc/init.d/apache2 restart lakukan pengujian : #lynx smkn3.net #lynx www.smkn3.net #lynx 192.168.10.10 Pengujian Pada Webrowser : smkn3.net Jika tampil : SELAMAT DATANG, berarti berhasil Jika tampil : SELAMAT DATANG, berarti berhasil #a2enmod userdir, akan tampil pesan dibawah ini ... Enabling module userdir. Hasilnya To activate the new configuration, you need to run: service apache2 restart Lalu restart Apache : Jika tampil seperti disamping kanan berarti berhasil #/etc/init.d/apache2 restart
  • 51.
    Hal - 51 2)Membuat direktori public_html untuk semua user/pengguna pada direktory : /etc/skel/ dengan cara: 3) Menambah Pengguna Baru 4) Menambahkan file info.php pada direktory : /home/admin/public_html/ #nano /home/admin/public_html/info.php ................................ ketikan seperti dibawah ini <?php phpinfo(); ?> 5) Simpan : Tekan CTRL X + Y enter 6) Lalu restart Apache : #/etc/init.d/apache2 restart 5) Aktifasi PHP pada userdir dengan mengedit file /etc/apache2/mods-enabled/php5.conf #nano /etc/apache2/mods-enabled/php5.conf ........ akan tampil script seperti dibawah ini <IfModule mod_userdir.c> <Directory /home/*/public_html> php_admin_flag engine Off </Directory> </IfModule> 6) Lakukan Penyimpanan : tekan CTRL X + Y enter 7) lakukan Restart apache2 : #/etc/init.d/apache2 restart 8) Lakukan Penguian melalui Browser : smkn3.net/~admin Adding user `admin' ... Adding new group `admin' (1002) ... Adding new user `admin' (1002) with group `admin' ... Creating home directory `/home/admin' ... Copying files from `/etc/skel' ... Enter new UNIX password: admin Retype new UNIX password: admin passwd: password updated successfully Changing the user information for admin Enter the new value, or press ENTER for the default Full Name []: Room Number []: Work Phone []: Home Phone []: Other []: Is the information correct? [Y/n] y Lalu restart Apache : #/etc/init.d/apache2 restart #mkdir /etc/skel/public_html #adduser admin ...............tunggu akan tampil seperti dibawah ini Tambahkan tanda pagar pada script disebelah kiri, hasilnya dibawah ini #<IfModule mod_userdir.c> # <Directory /home/*/public_html> # php_admin_flag engine Off # </Directory> #</IfModule>
  • 52.
    Hal - 52 L.HTTPS SERVER 1. Installasi Paket openssl, ssl-cert, dengan perintah berikut : #apt-get install openssl ssl-cert 2. Buat direktory ssl pada : /etc/apache2/ dan aktifkan mode ssl dengan perintah : #mkdir /etc/apache2/ssl 3. Aktifkan mode ssl dengan perintah : #a2enmod ssl 4. Melakukan geerate sertifikat keamanan ssl # openssl req -x509 -days 730 -newkey rsa:2048 -keyout /etc/apache2/ssl/apache.key -out /etc/apache2/ssl/apache.crt ... tunggu akan tampil seperti dibawah ini .. Generating a 2048 bit RSA private key ...+++ ..+++ writing new private key to '/etc/apache2/ssl/apache.key' Enter PEM pass phrase: admin ............................................. diisi admin Verifying - Enter PEM pass phrase: admin .......................... diisi admin Country Name (2 letter code) [AU]:ID State or Province Name (full name) [Some-State]:JAWA BARAT Locality Name (eg, city) []:BEKASI Organization Name (eg, company) [Internet Widgits Pty Ltd]:SMK Organizational Unit Name (eg, section) []:SEKOLAH Common Name (e.g. server FQDN or YOUR name) []:smkn3.net ........ (nama domain) Email Address []:admin@smkn3.net 5. Edit file default-ssl dalam direktori etc/apache2/sites-available edit script dibawah ini ....... DocumentRoot /var/www/html SSLCertificateFile /etc/ssl/certs/ssl-cert-snakeoil.pem SSLCertificateKeyFile /etc/ssl/private/ssl-cert-snakeoil.key 6. Simpan perubahan srcipt : tekan Ctrl X + Y enter 7. Aktifkan konfigurasi SSL : #a2ensite default-ssl.conf 8. Restart Services apache2 : #/etc/init.d/apache2 restart . tunggu akan tampil pesan dibawah ini .. Masukan passprase [....] Restarting apache2 (via systemctl): apache2.serviceEnter passphrase for SSL/TLS keys for server.smkn.sch.id:443 (RSA): ******* .................. isi password 9. Buat Direktori public_ssl dalam direktori /var/www #mkdir /var/www/public_ssl # nano /etc/apache2/sites-available/default-ssl.conf Hasilnya Seperti dibawah ini .... DocumentRoot /var/www/public_ssl SSLCertificateFile /etc/apache2/ssl/apache.crt SSLCertificateKeyFile /etc/apache2/ssl/apache.key
  • 53.
    Hal - 53 10.buat file index.html pada directory /var/www/public_ssl #nano /var/www/public_ssl/index.html ketikan : INI CONTOH HTTPS 11. Simpan : tekan ctrl X + Y enter 12. Restart apache2 : #/etc/init.d/apache2 restart 13. Pengujian HTPPS dengan mengetikan : https://smkn3.net hasilnya seperti dibawah ini
  • 54.
  • 55.
    Hal - 55 MEMBUATPUBLIC_SSL, AGAR BISA DI BROWSING : https://smkn3.net/~admin 13. Membuat direkroty : public_ssl pada directory : /home/admin/ #mkdir /home/admin/public_ssl 14. Menambahkan file info.php pada direktory : /home/admin/public_ssl/ #nano /home/admin/public_ssl/index.php ketikan script dibawah ini : <?php phpinfo(); ?> Simpan : tekan ctrl X + Y enter 15. Restart apache2 : #/etc/init.d/apache2 restart 16. Lakukan pengujian pada browser : https://smkn3.net/~admin
  • 56.
    Hal - 56 M.MAIL SERVER Langkah – Langkahnya : 1) Login sebagai root 2). Aktifkan DVD ISO #1, cararnya : 3). Klik mouse kanan pada icon CD... lihat gambar dibawah ini .. 4) Pilih DVD ISO #1 5) Aktifkan CDROM : #apt-cdrom add 6) Update DVD ISO #1 : #apt-get update 7) Install vsftpd Server :# apt-get postfix squirrelmail courier-imap courier-pop 8) Tekan : Y 9) Aktifkan DVD ISO #1 10) Tekan Enter 11) Pilih : OK 12) Tekan enter Login as : root Password : 1 root@debian:~#
  • 57.
    Hal - 57 13)Pilih : Internet Site 14) Pilih : OK 15) Isikan pada pertanyaan System mail name : smkn3.net .... ini nama domain 16) Pilih : OK ........................... tunggu sedang proses 17) Aktifkan DVD ISO #2 18) Tekan : Enter
  • 58.
    Hal - 58 19)Pilih : No 20) Aktifkan DVD ISO #3 21) Tekan enter 22) Konfigurasi postfix : #nano /etc/postfix/mai.cf .... tekan enter edit script dibawah ini, sehingga hasilnya seperti dibawah ini ...
  • 59.
    Hal - 59 CariScrip dan edit, hasilnya seperti dibawah ini : myhostname = smkn3.net ....................................................................... isi nama domain destination = smkn3.net, smkn3.net, localhost.smkn3.net, localhost mynetwork = 127.0.0.0/24,192.168.10.0/24 .................... tambahkan ip server #mailbox_command = procmail -a "$EXTENTION" ....... tambahkan tanda pagar (#) home_mailbox = Maildir/ ................................... ini tambahan 23) Restart postfix : #/etc/init.d/postfix restart 24) Membuat direktory Maildir pada direktory : /etc/skel/ #maildirmake /etc/skel/Maildir 24) Konfigurasi apache2 #nano /etc/apache2/sites-available/000-default.conf 25) Gerakan kursor kebagian paling, bawah, tambahkan scrip seperti dibawah ini : 26) Simpan : tekan ctrl X + Y tekan enter 27) Buat user sebanyak 2, yakni : user1 dan user2 #adduser user1 script ini : untuk menjalankan domain smkn3.net script ini : untuk menjalankan mail. smkn3.net
  • 60.
    Hal - 60 Addinguser 'user1' ... Adding new group 'user1' (1003) ... Adding new user 'user1' (1003) with group 'user1' ... Creating home directory '/home/user1' ... Copying files from '/etc/skel' ... enter new UNIX password : 1 ...................... masukan password Retrype new UNIX paswword : 1 ............masukan password kembali passwd: password update successfylly Changing the user information for user1 Enter the new value, or press ENTER for the default Full Name [ ] : enter Room Number [ ] : enter Work Phone [ ] : enter Home Phone [ ] : enter Other [ ] : enter Is the information correct/ [Y/N] : Y ... enter #adduser user2 Adding user 'user2' ... Adding new group 'user2' (1003) ... Adding new user 'user2' (1003) with group 'user2' ... Creating home directory '/home/user2' ... Copying files from '/etc/skel' ... enter new UNIX password : 1 ...................... masukan password Retrype new UNIX paswword : 1 ............masukan password kembali passwd: password update successfylly Changing the user information for user1 Enter the new value, or press ENTER for the default Full Name [ ] : enter Room Number [ ] : enter Work Phone [ ] : enter Home Phone [ ] : enter Other [ ] : enter Is the information correct/ [Y/N] : Y ... enter
  • 61.
    Hal - 61 28)Buat direktory public_html pada direktory : /var/www #mkdir /var/www/public_html 29) Buat file index.html pada direktory : /var/www/public_html #nano /var/www/public_html/index.html ketik : SELAMAT DATANG DI SERVER KAMI 30) Restart apache : #/etc/init.d/apache2 restart 31) lakukan pengujian domian : smkn3.net dan subdomain : www.smkn3.net Buka browser : smkn3.net atau www.smkn3.net 32) Lakukan pengujian mail server buka browser : mail.smkn3.net
  • 62.
    Hal - 62 Masukanname : user1 Masukan Password : 1 Klik : Login Klik : Compose to : user2 cc : tidak usah diisi Bcc : tidak usah diisi Subject : Kirim Berita Klik : Send Klik : SignOut SELAMAT BUAT ANDA BERHASIL MEMBUAT MAIL SERVER Send
  • 63.
    Hal - 63 Klik: Click hire to log back in Pengecekan email .. Name : user2 Password : 1 Klik : Login Jika Tampil seperti gambar diatas, berarti mail server berhasil
  • 64.
    Hal - 64 N.PROXY SERVER A. Menginstall dan mengkonfigurasi Aplikasi PROXY server 1). Aktifkan DVD DEBIAN ISO #2, cararnya : 2). Klik mouse kanan pada icon CD... lihat gambar dibawah ini .. 3) Pilih DVD debian ISO #2 4) Aktifkan CDROM : #apt-cdrom add 5) Update DVD DEBIAN ISO #1 : #apt-get update 6) Install vsftpd Server :# apt-get install squid3 7) Tekan : Y 8) Aktifkan DVD ISO DEBIAN #1 Ketika tampil pertanyaan seperti gambar dibawah ini ..
  • 65.
    Hal - 65 10)Klik : Force Umount 11) Tekan Enter 12) Aktifkan DVD ISO DEBIAN #2 13) Klik : Force Umount 14) Tekan Enter 15) Mengkonfigurasi Squid #nano /etc/squid3/squid.conf Cari script dibawah ini: dengan cara tekan ctrl + w, terus ketikan : http_port 3128 http_port 3128 cache mem 256 MB .................................... ini tambahan cache_mgr admin@smkn3.net ................. ini tambahan visible_hostname www.smkn3.net ........ ini tambahan Cari script dibawah ini: dengan cara tekan ctrl + w, terus ketikan : acl connect acl CONNECT method CONNECT acl blok dstdomain "/etc/blokir" .......... ini tambahan http_access deny all ...................................... ini tambahan http_access allow all ...................................... ini tambahan Cari script dibawah ini: dengan cara tekan ctrl + w, terus ketikan : http_access deny all #http_access deny all .............................................. tambahkan tanda pagar (#) 16) Simpan : tekan ctrl x + y enter 17) Membuat website yang akan diblokir, misalnya : facebook.com, youtube.com pada direktory : /etc/blokir #nano /etc/blokir youtube.com facebook.com www.youtube.com www.facebook.com 18) Simpan : tekan ctrl x + y enter 19) Restart squid3 : #/etc/init.d/squid3 restart 20) Lakukan Pengujian pada browser, caranya : 1. Buka browser, misalnya Mozilla 2. Klik yang dilingkari 3. Klik Pengaturan
  • 66.
    Hal - 66 4.Klik : menu Canggih 5. Klik : Jaringan ( network ) 6. Klik : Pengaturan
  • 67.
    Hal - 67 7.Beri tanda ceklist pada : Konfigurasi proxy secara manual 8. isikan : 192.168.10.1 (ip anda) pada Proxy untuk HTTP 9. isikan : 3128 (port proxy) pada port 10. Klik : OK 11. Ketikn pada brwoser, yakni : youtube.com Jika muncul error berarti berhasil